Erythromycin And Benzoyl Peroxide Topical Gel Usp

Erythromycin And Benzoyl Peroxide Topical Gel Usp
SPL v6
SPL
SPL Set ID d449d7e2-5c25-406d-87ab-30809d292476
Route
TOPICAL
Published
Effective Date 2025-09-09
Document Type 34391-3 Human Prescription Drug Label

Drug Facts

Composition & Product

Active Ingredients
Erythromycin (30 mg) Benzoyl Peroxide (50 mg)
Inactive Ingredients
Water Carbomer 940 Alcohol Sodium Hydroxide Docusate Sodium

Identifiers & Packaging

Marketing Status
ANDA Active Since 2016-10-18

Description

NOTE: PRIOR TO DISPENSING, TAP VIAL UNTIL ALL POWDER FLOWS FREELY. ADD INDICATED AMOUNT OF ROOM TEMPERATURE 70% ETHYL ALCOHOL TO VIAL (TO THE MARK) AND IMMEDIATELY SHAKE VIGOROUSLY TO COMPLETELY DISSOLVE ERYTHROMYCIN, THEN IMMEDIATELY ADD THIS SOLUTION TO GEL AND STIR UNTIL HOMOGENEOUS IN APPEARANCE (1 TO 1-1/2 MINUTES). Erythromycin and Benzoyl Peroxide Topical Gel USP Topical Gel: erythromycin (3%), benzoyl peroxide (5%) For Dermatological Use Only – Not for Ophthalmic Use Reconstitute Before Dispensing

Indications and Usage

Erythromycin and Benzoyl Peroxide Topical Gel USP is indicated for the topical treatment of acne vulgaris.

Dosage and Administration

Erythromycin and Benzoyl Peroxide Topical Gel USP should be applied twice daily, morning and evening, or as directed by a physician, to affected areas after the skin is thoroughly washed, rinsed with warm water and gently patted dry.

Contraindications

Erythromycin and Benzoyl Peroxide Topical Gel USP is contraindicated in those individuals who have shown hypersensitivity to any of its components.

Adverse Reactions

In controlled clinical trials, the incidence of adverse reactions associated with the use of Erythromycin and Benzoyl Peroxide Topical Gel USP was approximately 3%. These were dryness and urticarial reaction. The following additional local adverse reactions have been reported occasionally: irritation of the skin including peeling, itching, burning sensation, erythema, inflammation of the face, eyes and nose, and irritation of the eyes. Skin discoloration, oiliness and tenderness of the skin have also been reported. To report SUSPECTED ADVERSE REACTIONS, contact Rising Pharma Holdings, Inc. at 1-844-874-7464 or FDA at 1-800-FDA-1088 or www.fda.gov/medwatch.

How Supplied

Size (Net weight) NDC Benzoyl Peroxide Gel Active Erythromycin Powder (In Plastic Vial) 70% Ethyl Alcohol To Be Added 23.3 grams (as dispensed) 64980-328-01 20 grams 0.8 grams 3 mL 46.6 grams (as dispensed) 64980-328-02 40 grams 1.6 grams 6 mL Pharmacist Important - Prior to dispensing, tap vial until all powder flows freely. Add indicated amount of room temperature 70% ETHYL ALCOHOL to vial (to the mark) and immediately shake vigorously to completely dissolve erythromycin, then immediately add this solution to gel and stir until homogeneous in appearance (1 to 1-1/2 minutes). Erythromycin and Benzoyl Peroxide Topical Gel USP should then be stored under refrigeration. Do not freeze. Place a 3-month expiration date on the label. Note: Prior to reconstitution, store at room temperature between 15˚ and 30˚C (59˚-86˚F). After reconstitution , store under refrigeration between 2˚and 8˚C (36˚-46˚F). Do not freeze. Keep tightly closed. Keep out of the reach of children. Rx only Manufactured by: Lyne Laboratories, Inc., Brockton, MA 02301 Manufactured for: Rising Pharma Holdings, Inc., East Brunswick, NJ 08816 Revised : 08/2025 PIR32846-00


Medication Information

Indications and Usage

Erythromycin and Benzoyl Peroxide Topical Gel USP is indicated for the topical treatment of acne vulgaris.

Dosage and Administration

Erythromycin and Benzoyl Peroxide Topical Gel USP should be applied twice daily, morning and evening, or as directed by a physician, to affected areas after the skin is thoroughly washed, rinsed with warm water and gently patted dry.

Contraindications

Erythromycin and Benzoyl Peroxide Topical Gel USP is contraindicated in those individuals who have shown hypersensitivity to any of its components.

Adverse Reactions

In controlled clinical trials, the incidence of adverse reactions associated with the use of Erythromycin and Benzoyl Peroxide Topical Gel USP was approximately 3%. These were dryness and urticarial reaction.

The following additional local adverse reactions have been reported occasionally: irritation of the skin including peeling, itching, burning sensation, erythema, inflammation of the face, eyes and nose, and irritation of the eyes. Skin discoloration, oiliness and tenderness of the skin have also been reported.

To report SUSPECTED ADVERSE REACTIONS, contact Rising Pharma Holdings, Inc. at 1-844-874-7464 or FDA at 1-800-FDA-1088 or www.fda.gov/medwatch.

How Supplied

Size (Net weight) NDC Benzoyl Peroxide Gel Active Erythromycin Powder (In Plastic Vial) 70% Ethyl Alcohol To Be Added 23.3 grams (as dispensed) 64980-328-01 20 grams 0.8 grams 3 mL 46.6 grams (as dispensed) 64980-328-02 40 grams 1.6 grams 6 mL Pharmacist Important - Prior to dispensing, tap vial until all powder flows freely. Add indicated amount of room temperature 70% ETHYL ALCOHOL to vial (to the mark) and immediately shake vigorously to completely dissolve erythromycin, then immediately add this solution to gel and stir until homogeneous in appearance (1 to 1-1/2 minutes). Erythromycin and Benzoyl Peroxide Topical Gel USP should then be stored under refrigeration. Do not freeze. Place a 3-month expiration date on the label. Note: Prior to reconstitution, store at room temperature between 15˚ and 30˚C (59˚-86˚F). After reconstitution , store under refrigeration between 2˚and 8˚C (36˚-46˚F). Do not freeze. Keep tightly closed. Keep out of the reach of children. Rx only Manufactured by: Lyne Laboratories, Inc., Brockton, MA 02301 Manufactured for: Rising Pharma Holdings, Inc., East Brunswick, NJ 08816 Revised : 08/2025 PIR32846-00

Description

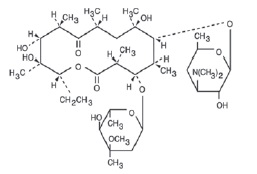
Erythromycin and Benzoyl Peroxide Topical Gel USP contains erythromycin [(3R*, 4S*, 5S*, 6R*, 7R*, 9R*, 11R*, 12R*, 13S*, 14R*)-4-[(2,6-Dideoxy-3-C-methyl-3-0-methyl-α-L-ribo-hexopyranosyl)-oxy]-14-ethyl-7,12,13-trihydroxy-3,5,7,9,11,13-hexamethyl-6-[[3,4,6-trideoxy-3-dimethylamino)-β-D-xylo-hexopyranosyl]oxy]oxacyclotetradecane-2,10-dione]. Erythromycin is a macrolide antibiotic produced from a strain of Saccharopolyspora erythraea (formerly Streptomyces erythreus). It is a base and readily forms salts with acids.

Chemically, erythromycin is (C37H67NO13). It has the following structural formula:

Erythromycin has the molecular weight of 733.94. It is a white crystalline powder and has a solubility of approximately 1 mg/mL in water and is soluble in alcohol at 25˚C.

Erythromycin and Benzoyl Peroxide Topical Gel USP also contains benzoyl peroxide for topical use. Benzoyl peroxide is an antibacterial and keratolytic agent.

Chemically, benzoyl peroxide is (C14H10O4). It has the following structural formula:

Benzoyl peroxide has the molecular weight of 242.23. It is a white granular powder and is sparingly soluble in water and alcohol and soluble in acetone, chloroform and ether.

Each gram of Erythromycin and Benzoyl Peroxide Topical Gel USP contains, as dispensed, 30 mg (3%) of erythromycin and 50 mg (5%) of benzoyl peroxide in a base of purified water USP, carbomer 940 NF, ethyl alcohol 20%, sodium hydroxide NF, docusate sodium and fragrance.

Section 34072-9

General: For topical use only; not for ophthalmic use. Concomitant topical acne therapy should be used with caution because a possible cumulative irritancy effect may occur, especially with the use of peeling, desquamating or abrasive agents. If severe irritation develops, discontinue use and institute appropriate therapy.

The use of antibiotic agents may be associated with the overgrowth of nonsusceptible organisms including fungi. If this occurs, discontinue use and take appropriate measures.

Avoid contact with eyes and all mucous membranes.

Section 34076-0

Information for Patients: Patients using Erythromycin and Benzoyl Peroxide Topical Gel USP should receive the following information and instructions:

  • This medication is to be used as directed by the physician. It is for external use only. Avoid contact with the eyes, nose, mouth, and all mucous membranes.
  • This medication should not be used for any disorder other than that for which it was prescribed.
  • Patients should not use any other topical acne preparation unless otherwise directed by physician.
  • Patients should report to their physician any signs of local adverse reactions.
  • Erythromycin and Benzoyl Peroxide Topical Gel USP may bleach hair or colored fabric.
  • Keep product refrigerated and discard after 3 months.
Section 34080-2

Nursing Women: It is not known whether Erythromycin and Benzoyl Peroxide Topical Gel USP is excreted in human milk after topical application. However, erythromycin is excreted in human milk following oral and parenteral erythromycin administration. Therefore, caution should be exercised when erythromycin is administered to a nursing woman.

Section 34081-0

Pediatric Use: Safety and effectiveness of this product in pediatric patients below the age of 12 have not been established.

Section 34083-6

Carcinogenesis, Mutagenesis and Impairment of Fertility: Data from a study using mice known to be highly susceptible to cancer suggests that benzoyl peroxide acts as a tumor promoter. The clinical significance of this is unknown.

No animal studies have been performed to evaluate the carcinogenic and mutagenic potential or effects on fertility of topical erythromycin. However, long-term (2-year) oral studies in rats with erythromycin ethylsuccinate and erythromycin base did not provide evidence of tumorigenicity. There was no apparent effect on male or female fertility in rats fed erythromycin (base) at levels up to 0.25% of diet.

Section 42228-7

Pregnancy: Teratogenic Effects: 

Animal reproduction studies have not been conducted with Erythromycin and Benzoyl Peroxide Topical Gel USP or benzoyl peroxide.

There was no evidence of teratogenicity or any other adverse effect on reproduction in female rats fed erythromycin base (up to 0.25% diet) prior to and during mating, during gestation and through weaning of two successive litters.

There are no well-controlled trials in pregnant women with Erythromycin and Benzoyl Peroxide Topical Gel USP. It also is not known whether Erythromycin and Benzoyl Peroxide Topical Gel USP can cause fetal harm when administered to a pregnant woman or can affect reproductive capacity. Erythromycin and Benzoyl Peroxide Topical Gel USP should be given to a pregnant woman only if clearly needed.

Section 51945-4

———PRINCIPAL DISPLAY PANEL 23.3g———

Rising®                                     NDC 64980-328-23

Erythromycin and

Benzoyl Peroxide

Topical Gel USP

FOR TOPICAL USE ONLY

                                                                      Rx only

One 23.3g Jar (as dispensed)

Rising ®                                    NDC 64980-328-01



Erythromycin and

Benzoyl Peroxide

Topical Gel USP



FOR TOPICAL USE ONLY

                                                                      Rx only

One 23.3g Jar (as dispensed)

Warnings

Pseudomembranous colitis has been reported with nearly all antibacterial agents, including erythromycin, and may range in severity from mild to life-threatening. Therefore, it is important to consider this diagnosis in patients who present with diarrhea subsequent to the administration of antibacterial agents.

Treatment with antibacterial agents alters the normal flora of the colon and may permit overgrowth of clostridia. Studies indicate that a toxin produced by Clostridium difficile is one primary cause of “antibiotic-associated colitis.”

After the diagnosis of pseudomembranous colitis has been established, therapeutic measures should be initiated. Mild cases of pseudomembranous colitis usually respond to drug discontinuation alone. In moderate to severe cases, consideration should be given to management with fluids and electrolytes, protein supplementation and treatment with an antibacterial drug clinically effective against C. difficile colitis.

Microbiology

Erythromycin acts by inhibition of protein synthesis in susceptible organisms by reversibly binding to 50 S ribosomal subunits, thereby inhibiting translocation of aminoacyl transfer-RNA and inhibiting polypeptide synthesis. Antagonism has been demonstrated in vitro between erythromycin, lincomycin, chloramphenicol and clindamycin.

Benzoyl peroxide is an antibacterial agent which has been shown to be effective against Propionibacterium acnes, an anaerobe found in sebaceous follicles and comedones. The antibacterial action of benzoyl peroxide is believed to be due to the release of active oxygen.

Clinical Pharmacology

The exact mechanism by which erythromycin reduces lesions of acne vulgaris is not fully known; however, the effect appears to be due in part to the antibacterial activity of the drug.

Benzoyl peroxide has a keratolytic and desquamative effect which may also contribute to its efficacy. Benzoyl peroxide has been shown to be absorbed by the skin where it is converted to benzoic acid.

How Supplied and Compounding Directions
Size

(Net weight)
NDC Benzoyl Peroxide Gel Active Erythromycin

Powder (In Plastic Vial)
70% Ethyl Alcohol

To Be Added
23.3 grams

(as dispensed)
64980-328-01 20 grams 0.8 grams 3 mL
46.6 grams

(as dispensed)
64980-328-02 40 grams 1.6 grams 6 mL

Pharmacist Important - Prior to dispensing, tap vial until all powder flows freely. Add indicated amount of room temperature 70% ETHYL ALCOHOL to vial (to the mark) and immediately shake vigorously to completely dissolve erythromycin, then immediately add this solution to gel and stir until homogeneous in appearance (1 to 1-1/2 minutes). Erythromycin and Benzoyl Peroxide Topical Gel USP should then be stored under refrigeration. Do not freeze. Place a 3-month expiration date on the label.

Note: Prior to reconstitution, store at room temperature between 15˚ and 30˚C (59˚-86˚F).

After reconstitution, store under refrigeration between 2˚and 8˚C (36˚-46˚F).

Do not freeze. Keep tightly closed. Keep out of the reach of children.

Rx only

Manufactured by: Lyne Laboratories, Inc., Brockton, MA 02301

Manufactured for: Rising Pharma Holdings, Inc., East Brunswick, NJ 08816

Revised: 08/2025

PIR32846-00

To the Pharmacist: Important: Please Read Complete Compounding Directions

NOTE: PRIOR TO DISPENSING, TAP VIAL UNTIL ALL POWDER FLOWS FREELY. ADD INDICATED AMOUNT OF ROOM TEMPERATURE 70% ETHYL ALCOHOL TO VIAL (TO THE MARK) AND IMMEDIATELY SHAKE VIGOROUSLY TO COMPLETELY DISSOLVE ERYTHROMYCIN, THEN IMMEDIATELY ADD THIS SOLUTION TO GEL AND STIR UNTIL HOMOGENEOUS IN APPEARANCE (1 TO 1-1/2 MINUTES).



Erythromycin and Benzoyl Peroxide Topical Gel USP

Topical Gel: erythromycin (3%),

benzoyl peroxide (5%)

For Dermatological Use Only – Not for Ophthalmic Use

Reconstitute Before Dispensing


Structured Label Content

Section 34072-9 (34072-9)

General: For topical use only; not for ophthalmic use. Concomitant topical acne therapy should be used with caution because a possible cumulative irritancy effect may occur, especially with the use of peeling, desquamating or abrasive agents. If severe irritation develops, discontinue use and institute appropriate therapy.

The use of antibiotic agents may be associated with the overgrowth of nonsusceptible organisms including fungi. If this occurs, discontinue use and take appropriate measures.

Avoid contact with eyes and all mucous membranes.

Section 34076-0 (34076-0)

Information for Patients: Patients using Erythromycin and Benzoyl Peroxide Topical Gel USP should receive the following information and instructions:

  • This medication is to be used as directed by the physician. It is for external use only. Avoid contact with the eyes, nose, mouth, and all mucous membranes.
  • This medication should not be used for any disorder other than that for which it was prescribed.
  • Patients should not use any other topical acne preparation unless otherwise directed by physician.
  • Patients should report to their physician any signs of local adverse reactions.
  • Erythromycin and Benzoyl Peroxide Topical Gel USP may bleach hair or colored fabric.
  • Keep product refrigerated and discard after 3 months.
Section 34080-2 (34080-2)

Nursing Women: It is not known whether Erythromycin and Benzoyl Peroxide Topical Gel USP is excreted in human milk after topical application. However, erythromycin is excreted in human milk following oral and parenteral erythromycin administration. Therefore, caution should be exercised when erythromycin is administered to a nursing woman.

Section 34081-0 (34081-0)

Pediatric Use: Safety and effectiveness of this product in pediatric patients below the age of 12 have not been established.

Section 34083-6 (34083-6)

Carcinogenesis, Mutagenesis and Impairment of Fertility: Data from a study using mice known to be highly susceptible to cancer suggests that benzoyl peroxide acts as a tumor promoter. The clinical significance of this is unknown.

No animal studies have been performed to evaluate the carcinogenic and mutagenic potential or effects on fertility of topical erythromycin. However, long-term (2-year) oral studies in rats with erythromycin ethylsuccinate and erythromycin base did not provide evidence of tumorigenicity. There was no apparent effect on male or female fertility in rats fed erythromycin (base) at levels up to 0.25% of diet.

Section 42228-7 (42228-7)

Pregnancy: Teratogenic Effects: 

Animal reproduction studies have not been conducted with Erythromycin and Benzoyl Peroxide Topical Gel USP or benzoyl peroxide.

There was no evidence of teratogenicity or any other adverse effect on reproduction in female rats fed erythromycin base (up to 0.25% diet) prior to and during mating, during gestation and through weaning of two successive litters.

There are no well-controlled trials in pregnant women with Erythromycin and Benzoyl Peroxide Topical Gel USP. It also is not known whether Erythromycin and Benzoyl Peroxide Topical Gel USP can cause fetal harm when administered to a pregnant woman or can affect reproductive capacity. Erythromycin and Benzoyl Peroxide Topical Gel USP should be given to a pregnant woman only if clearly needed.

Section 51945-4 (51945-4)

———PRINCIPAL DISPLAY PANEL 23.3g———

Rising®                                     NDC 64980-328-23

Erythromycin and

Benzoyl Peroxide

Topical Gel USP

FOR TOPICAL USE ONLY

                                                                      Rx only

One 23.3g Jar (as dispensed)

Rising ®                                    NDC 64980-328-01



Erythromycin and

Benzoyl Peroxide

Topical Gel USP



FOR TOPICAL USE ONLY

                                                                      Rx only

One 23.3g Jar (as dispensed)

Warnings (WARNINGS)

Pseudomembranous colitis has been reported with nearly all antibacterial agents, including erythromycin, and may range in severity from mild to life-threatening. Therefore, it is important to consider this diagnosis in patients who present with diarrhea subsequent to the administration of antibacterial agents.

Treatment with antibacterial agents alters the normal flora of the colon and may permit overgrowth of clostridia. Studies indicate that a toxin produced by Clostridium difficile is one primary cause of “antibiotic-associated colitis.”

After the diagnosis of pseudomembranous colitis has been established, therapeutic measures should be initiated. Mild cases of pseudomembranous colitis usually respond to drug discontinuation alone. In moderate to severe cases, consideration should be given to management with fluids and electrolytes, protein supplementation and treatment with an antibacterial drug clinically effective against C. difficile colitis.

Description (DESCRIPTION)

Erythromycin and Benzoyl Peroxide Topical Gel USP contains erythromycin [(3R*, 4S*, 5S*, 6R*, 7R*, 9R*, 11R*, 12R*, 13S*, 14R*)-4-[(2,6-Dideoxy-3-C-methyl-3-0-methyl-α-L-ribo-hexopyranosyl)-oxy]-14-ethyl-7,12,13-trihydroxy-3,5,7,9,11,13-hexamethyl-6-[[3,4,6-trideoxy-3-dimethylamino)-β-D-xylo-hexopyranosyl]oxy]oxacyclotetradecane-2,10-dione]. Erythromycin is a macrolide antibiotic produced from a strain of Saccharopolyspora erythraea (formerly Streptomyces erythreus). It is a base and readily forms salts with acids.

Chemically, erythromycin is (C37H67NO13). It has the following structural formula:

Erythromycin has the molecular weight of 733.94. It is a white crystalline powder and has a solubility of approximately 1 mg/mL in water and is soluble in alcohol at 25˚C.

Erythromycin and Benzoyl Peroxide Topical Gel USP also contains benzoyl peroxide for topical use. Benzoyl peroxide is an antibacterial and keratolytic agent.

Chemically, benzoyl peroxide is (C14H10O4). It has the following structural formula:

Benzoyl peroxide has the molecular weight of 242.23. It is a white granular powder and is sparingly soluble in water and alcohol and soluble in acetone, chloroform and ether.

Each gram of Erythromycin and Benzoyl Peroxide Topical Gel USP contains, as dispensed, 30 mg (3%) of erythromycin and 50 mg (5%) of benzoyl peroxide in a base of purified water USP, carbomer 940 NF, ethyl alcohol 20%, sodium hydroxide NF, docusate sodium and fragrance.

Microbiology

Erythromycin acts by inhibition of protein synthesis in susceptible organisms by reversibly binding to 50 S ribosomal subunits, thereby inhibiting translocation of aminoacyl transfer-RNA and inhibiting polypeptide synthesis. Antagonism has been demonstrated in vitro between erythromycin, lincomycin, chloramphenicol and clindamycin.

Benzoyl peroxide is an antibacterial agent which has been shown to be effective against Propionibacterium acnes, an anaerobe found in sebaceous follicles and comedones. The antibacterial action of benzoyl peroxide is believed to be due to the release of active oxygen.

Adverse Reactions (ADVERSE REACTIONS)

In controlled clinical trials, the incidence of adverse reactions associated with the use of Erythromycin and Benzoyl Peroxide Topical Gel USP was approximately 3%. These were dryness and urticarial reaction.

The following additional local adverse reactions have been reported occasionally: irritation of the skin including peeling, itching, burning sensation, erythema, inflammation of the face, eyes and nose, and irritation of the eyes. Skin discoloration, oiliness and tenderness of the skin have also been reported.

To report SUSPECTED ADVERSE REACTIONS, contact Rising Pharma Holdings, Inc. at 1-844-874-7464 or FDA at 1-800-FDA-1088 or www.fda.gov/medwatch.

Contraindications (CONTRAINDICATIONS)

Erythromycin and Benzoyl Peroxide Topical Gel USP is contraindicated in those individuals who have shown hypersensitivity to any of its components.

Clinical Pharmacology (CLINICAL PHARMACOLOGY)

The exact mechanism by which erythromycin reduces lesions of acne vulgaris is not fully known; however, the effect appears to be due in part to the antibacterial activity of the drug.

Benzoyl peroxide has a keratolytic and desquamative effect which may also contribute to its efficacy. Benzoyl peroxide has been shown to be absorbed by the skin where it is converted to benzoic acid.

Indications and Usage (INDICATIONS AND USAGE)

Erythromycin and Benzoyl Peroxide Topical Gel USP is indicated for the topical treatment of acne vulgaris.

Dosage and Administration (DOSAGE AND ADMINISTRATION)

Erythromycin and Benzoyl Peroxide Topical Gel USP should be applied twice daily, morning and evening, or as directed by a physician, to affected areas after the skin is thoroughly washed, rinsed with warm water and gently patted dry.

How Supplied and Compounding Directions
Size

(Net weight)
NDC Benzoyl Peroxide Gel Active Erythromycin

Powder (In Plastic Vial)
70% Ethyl Alcohol

To Be Added
23.3 grams

(as dispensed)
64980-328-01 20 grams 0.8 grams 3 mL
46.6 grams

(as dispensed)
64980-328-02 40 grams 1.6 grams 6 mL

Pharmacist Important - Prior to dispensing, tap vial until all powder flows freely. Add indicated amount of room temperature 70% ETHYL ALCOHOL to vial (to the mark) and immediately shake vigorously to completely dissolve erythromycin, then immediately add this solution to gel and stir until homogeneous in appearance (1 to 1-1/2 minutes). Erythromycin and Benzoyl Peroxide Topical Gel USP should then be stored under refrigeration. Do not freeze. Place a 3-month expiration date on the label.

Note: Prior to reconstitution, store at room temperature between 15˚ and 30˚C (59˚-86˚F).

After reconstitution, store under refrigeration between 2˚and 8˚C (36˚-46˚F).

Do not freeze. Keep tightly closed. Keep out of the reach of children.

Rx only

Manufactured by: Lyne Laboratories, Inc., Brockton, MA 02301

Manufactured for: Rising Pharma Holdings, Inc., East Brunswick, NJ 08816

Revised: 08/2025

PIR32846-00

To the Pharmacist: Important: Please Read Complete Compounding Directions (TO THE PHARMACIST: IMPORTANT: PLEASE READ COMPLETE COMPOUNDING DIRECTIONS)

NOTE: PRIOR TO DISPENSING, TAP VIAL UNTIL ALL POWDER FLOWS FREELY. ADD INDICATED AMOUNT OF ROOM TEMPERATURE 70% ETHYL ALCOHOL TO VIAL (TO THE MARK) AND IMMEDIATELY SHAKE VIGOROUSLY TO COMPLETELY DISSOLVE ERYTHROMYCIN, THEN IMMEDIATELY ADD THIS SOLUTION TO GEL AND STIR UNTIL HOMOGENEOUS IN APPEARANCE (1 TO 1-1/2 MINUTES).



Erythromycin and Benzoyl Peroxide Topical Gel USP

Topical Gel: erythromycin (3%),

benzoyl peroxide (5%)

For Dermatological Use Only – Not for Ophthalmic Use

Reconstitute Before Dispensing


Advanced Ingredient Data


Raw Label Data

All Sections (JSON)