Clindamycin Phosphate Gel Usp, 1% For External Use

Clindamycin Phosphate Gel Usp, 1% For External Use
SPL v4
SPL
SPL Set ID d36bad26-f337-4a71-a6e5-d97b60f4e385
Route
TOPICAL
Published
Effective Date 2026-01-28
Document Type 34391-3 HUMAN PRESCRIPTION DRUG LABEL

Drug Facts

Composition & Product

Active Ingredients
Clindamycin (10 mg)
Inactive Ingredients
Allantoin Carbomer Homopolymer Type B (allyl Pentaerythritol Crosslinked) Methylparaben Polyethylene Glycol 400 Propylene Glycol Sodium Hydroxide Water

Identifiers & Packaging

Marketing Status
ANDA Active Since 2021-02-10

Description

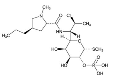
Clindamycin phosphate gel USP, 1% contains clindamycin phosphate, USP, at a concentration equivalent to 10 mg clindamycin per gram. Clindamycin phosphate is a water soluble ester of the semi-synthetic antibacterial drug produced by a 7(S)-chloro-substitution of the 7(R)-hydroxyl group of the parent compound lincomycin. The gel contains allantoin, carbomer homopolymer type B, methylparaben, polyethylene glycol 400, propylene glycol, sodium hydroxide, and purified water. The structural formula is represented below:   Molecular formula: C 18 H 34 ClN 2 O 8 PS Molecular weight: 504.96 g/mol The chemical name for clindamycin phosphate, USP is Methyl 7-chloro-6,7,8-trideoxy-6-(1‑ methyl- trans -4-propyl-L-2-pyrrolidinecarboxamido)-1-thio-L- threo -α-D- galacto ‑ octopyranoside 2-(dihydrogen phosphate). Clindamycin phosphate, USP is white to off-white, hygroscopic, crystalline powder. Clindamycin phosphate is freely soluble in water, slightly soluble in dehydrated ethanol, very slightly soluble in acetone, insoluble in chloroform, ether and benzene.

Indications and Usage

Clindamycin phosphate gel is indicated in the treatment of acne vulgaris. In view of the potential for diarrhea, bloody diarrhea and pseudomembranous colitis, the physician should consider whether other agents are more appropriate (see CONTRAINDICATIONS , WARNINGS and ADVERSE REACTIONS ).

Dosage and Administration

Apply a thin film of, clindamycin phosphate gel USP 1% twice daily to affected area. Preserve in tightly closed containers.

Contraindications

Clindamycin phosphate gel is contraindicated in individuals with a history of hypersensitivity to preparations containing clindamycin or lincomycin, a history of regional enteritis or ulcerative colitis, or a history of antibiotic-associated colitis.

Adverse Reactions

In 18 clinical studies of various formulations of clindamycin phosphate using placebo vehicle and/or active comparator drugs as controls, patients experienced a number of treatment emergent adverse dermatologic events [see table below]. Number of Patients Reporting Events   Treatment Emergent Adverse Event   Solution   n=553(%)   Gel   n=148(%)   Lotion n=160(%)   Burning   62 (11)   15 (10)   17 (11)   Itching   36 ( 7)   15 (10)   17 (11)   Burning/Itching   60 (11)   # ( – )   # ( – )   Dryness   105 (19)   34 (23)   29 (18)   Erythema   86 (16)   10 ( 7)   22 (14)   Oiliness/Oily Skin   8 ( 1)   26 (18)   12* (10)   Peeling   61 (11)   # ( – )   11 ( 7)   # not recorded   * of 126 subjects Orally and parenterally administered clindamycin has been associated with severe colitis which may end fatally. Cases of diarrhea, bloody diarrhea and colitis (including pseudomembranous colitis) have been reported as adverse reactions in patients treated with oral and parenteral formulations of clindamycin and rarely with topical clindamycin (see WARNINGS ). Abdominal pain, gastrointestinal disturbances, gram-negative folliculitis, eye pain and contact dermatitis have also been reported in association with the use of topical formulations of clindamycin.

Drug Interactions

Clindamycin has been shown to have neuromuscular blocking properties that may enhance the action of other neuromuscular blocking agents. Therefore, it should be used with caution in patients receiving such agents.

How Supplied

Clindamycin phosphate gel USP, 1% containing clindamycin phosphate, USP equivalent to 10 mg clindamycin per gram is available in the following sizes: 60 gram tube—NDC 68462-866-65 30 gram tube—NDC 68462-866-35 Store at 20°C to 25°C (68°F to 77°F) [see USP Controlled Room Temperature]. Protect from freezing. Rx only Distributed by: Glenmark Pharmaceuticals Inc., USA Elmwood Park, NJ 07407 Questions? 1 (888) 721-7115 www.glenmarkpharma-us.com Revised: December 2025


Medication Information

Indications and Usage

Clindamycin phosphate gel is indicated in the treatment of acne vulgaris. In view of the potential for diarrhea, bloody diarrhea and pseudomembranous colitis, the physician should consider whether other agents are more appropriate (see CONTRAINDICATIONS, WARNINGS and ADVERSE REACTIONS).

Dosage and Administration

Apply a thin film of, clindamycin phosphate gel USP 1% twice daily to affected area.

Preserve in tightly closed containers.

Contraindications

Clindamycin phosphate gel is contraindicated in individuals with a history of hypersensitivity to preparations containing clindamycin or lincomycin, a history of regional enteritis or ulcerative colitis, or a history of antibiotic-associated colitis.

Adverse Reactions

In 18 clinical studies of various formulations of clindamycin phosphate using placebo vehicle and/or active comparator drugs as controls, patients experienced a number of treatment emergent adverse dermatologic events [see table below].

Number of Patients Reporting Events

  •  
    Treatment Emergent Adverse Event
  •  
    Solution
  •  
    n=553(%)
  •  
    Gel
  •  
    n=148(%)
  •  
    Lotion n=160(%)
  •  
    Burning
  •  
    62 (11)
  •  
    15 (10)
  •  
    17 (11)
  •  
    Itching
  •  
    36 ( 7)
  •  
    15 (10)
  •  
    17 (11)
  •  
    Burning/Itching
  •  
    60 (11)
  •  
    # ( – )
  •  
    # ( – )
  •  
    Dryness
  •  
    105 (19)
  •  
    34 (23)
  •  
    29 (18)
  •  
    Erythema
  •  
    86 (16)
  •  
    10 ( 7)
  •  
    22 (14)
  •  
    Oiliness/Oily Skin
  •  
    8 ( 1)
  •  
    26 (18)
  •  
    12* (10)
  •  
    Peeling
  •  
    61 (11)
  •  
    # ( – )
  •  
    11 ( 7)
  •  
    # not recorded
  •  
    * of 126 subjects

Orally and parenterally administered clindamycin has been associated with severe colitis which may end fatally.

Cases of diarrhea, bloody diarrhea and colitis (including pseudomembranous colitis) have been reported as adverse reactions in patients treated with oral and parenteral formulations of clindamycin and rarely with topical clindamycin (see WARNINGS).

Abdominal pain, gastrointestinal disturbances, gram-negative folliculitis, eye pain and contact dermatitis have also been reported in association with the use of topical formulations of clindamycin.

Drug Interactions

Clindamycin has been shown to have neuromuscular blocking properties that may enhance the action of other neuromuscular blocking agents. Therefore, it should be used with caution in patients receiving such agents.

How Supplied

Clindamycin phosphate gel USP, 1% containing clindamycin phosphate, USP equivalent to 10 mg clindamycin per gram is available in the following sizes:

60 gram tube—NDC 68462-866-65

30 gram tube—NDC 68462-866-35

Store at 20°C to 25°C (68°F to 77°F) [see USP Controlled Room Temperature]. Protect from freezing.

Rx only

Distributed by:

Glenmark Pharmaceuticals Inc., USA

Elmwood Park, NJ 07407

Questions? 1 (888) 721-7115

www.glenmarkpharma-us.com

Revised: December 2025

Description

Clindamycin phosphate gel USP, 1% contains clindamycin phosphate, USP, at a concentration equivalent to 10 mg clindamycin per gram.

Clindamycin phosphate is a water soluble ester of the semi-synthetic antibacterial drug produced by a 7(S)-chloro-substitution of the 7(R)-hydroxyl group of the parent compound lincomycin.

The gel contains allantoin, carbomer homopolymer type B, methylparaben, polyethylene glycol 400, propylene glycol, sodium hydroxide, and purified water.

The structural formula is represented below:

  •  
    Molecular formula: C18H34ClN2O8PS Molecular weight: 504.96 g/mol

The chemical name for clindamycin phosphate, USP is Methyl 7-chloro-6,7,8-trideoxy-6-(1‑ methyl-trans-4-propyl-L-2-pyrrolidinecarboxamido)-1-thio-L-threo-α-D-galacto‑ octopyranoside 2-(dihydrogen phosphate).

Clindamycin phosphate, USP is white to off-white, hygroscopic, crystalline powder. Clindamycin phosphate is freely soluble in water, slightly soluble in dehydrated ethanol, very slightly soluble in acetone, insoluble in chloroform, ether and benzene.

General

Clindamycin phosphate should be prescribed with caution in atopic individuals.

Warnings

Orally and parenterally administered clindamycin has been associated with severe colitis which may result in patient death. Use of the topical formulation of clindamycin results in systemic absorption from the skin surface. Diarrhea, bloody diarrhea, and colitis (including pseudomembranous colitis) have been reported with the use of topical and systemic clindamycin.

Studies indicate a toxin(s) produced by clostridia is one primary cause of antibiotic- associated colitis. The colitis is usually characterized by severe persistent diarrhea and severe abdominal cramps and may be associated with the passage of blood and mucus. Endoscopic examination may reveal pseudomembranous colitis. Stool culture for Clostridioides difficile and stool assay for C. difficile toxin may be helpful diagnostically.

When significant diarrhea occurs, the drug should be discontinued. Large bowel endoscopy should be considered to establish a definitive diagnosis in cases of severe diarrhea.

Antiperistaltic agents such as opiates and diphenoxylate with atropine may prolong and/or worsen the condition. Vancomycin has been found to be effective in the treatment of antibiotic-associated pseudomembranous colitis produced by Clostridioides difficile. The usual adult dosage is 500 milligrams to 2 grams of vancomycin orally per day in three to four divided doses administered for 7 to 10 days. Cholestyramine or colestipol resins bind vancomycin in vitro . If both a resin and vancomycin are to be administered concurrently, it may be advisable to separate the time of administration of each drug.

Diarrhea, colitis, and pseudomembranous colitis have been observed to begin up to several weeks following cessation of oral and parenteral therapy with clindamycin.

Overdosage

Topically applied clindamycin phosphate can be absorbed in sufficient amounts to produce systemic effects (see WARNINGS).

Microbiology

Clindamycin inhibits bacterial protein synthesis by binding to the 23S RNA of the 50S subunit of the ribosome. Clindamycin is bacteriostatic.

Antimicrobial Activity

Clindamycin is active in vitro against most isolates of Propionibacterium acnes; however, the clinical significance is unknown.

Resistance

Resistance to clindamycin is most often caused by modification of specific bases of the 23S ribosomal RNA. Cross-resistance between clindamycin and lincomycin is complete. Because the binding sites for these antibacterial drugs overlap, cross resistance is sometimes observed among lincosamides, macrolides and streptogramin B. Macrolide‑inducible resistance to clindamycin occurs in some isolates of macrolide-resistant bacteria.

Geriatric Use

Clinical studies for clindamycin phosphate did not include sufficient numbers of subjects aged 65 and over to determine whether they respond differently from younger subjects. Other reported clinical experience has not identified differences in responses between the elderly and younger patients.

Pediatric Use

Safety and effectiveness in pediatric patients under the age of 12 have not been established.

Nursing Mothers

It is not known whether clindamycin is excreted in breast milk following use of clindamycin phosphate gel. However, orally and parenterally administered clindamycin has been reported to appear in breast milk. Clindamycin has the potential to cause adverse effects on the breast-fed infant's gastrointestinal flora. Monitor the breast-fed infant for possible adverse effects on the gastrointestinal flora, such as diarrhea, candidiasis (thrush, diaper rash) or rarely, blood in the stool indicating possible antibiotic-associated colitis.

The developmental and health benefits of breastfeeding should be considered along with the mother's clinical need for clindamycin and any potential adverse effects on the breast-fed child from clindamycin or from the underlying maternal condition.

Clinical Considerations

If used during lactation and clindamycin phosphate is applied to the chest, care should be taken to avoid accidental ingestion by the infant.

Pharmacokinetics

Following multiple topical applications of clindamycin phosphate at a concentration equivalent to 10 mg clindamycin per mL in an isopropyl alcohol and water solution, very low levels of clindamycin are present in the serum (0 to 3 ng/mL) and less than 0.2% of the dose is recovered in urine as clindamycin.

Although clindamycin phosphate is inactive in vitro, rapid in vivo hydrolysis converts this compound to the antibacterially active clindamycin.

Mechanism of Action

The mechanism of action of clindamycin in treating acne vulgaris is unknown.

Principal Display Panel
Pregnancy: Teratogenic Effects

In clinical trials with pregnant women, the systemic administration of clindamycin during the second and third trimesters has not been associated with an increased frequency of congenital abnormalities. There are no adequate studies in pregnant women during the first trimester of pregnancy. Clindamycin should be used during the first trimester of pregnancy only if clearly needed.


Structured Label Content

General

Clindamycin phosphate should be prescribed with caution in atopic individuals.

Warnings (WARNINGS)

Orally and parenterally administered clindamycin has been associated with severe colitis which may result in patient death. Use of the topical formulation of clindamycin results in systemic absorption from the skin surface. Diarrhea, bloody diarrhea, and colitis (including pseudomembranous colitis) have been reported with the use of topical and systemic clindamycin.

Studies indicate a toxin(s) produced by clostridia is one primary cause of antibiotic- associated colitis. The colitis is usually characterized by severe persistent diarrhea and severe abdominal cramps and may be associated with the passage of blood and mucus. Endoscopic examination may reveal pseudomembranous colitis. Stool culture for Clostridioides difficile and stool assay for C. difficile toxin may be helpful diagnostically.

When significant diarrhea occurs, the drug should be discontinued. Large bowel endoscopy should be considered to establish a definitive diagnosis in cases of severe diarrhea.

Antiperistaltic agents such as opiates and diphenoxylate with atropine may prolong and/or worsen the condition. Vancomycin has been found to be effective in the treatment of antibiotic-associated pseudomembranous colitis produced by Clostridioides difficile. The usual adult dosage is 500 milligrams to 2 grams of vancomycin orally per day in three to four divided doses administered for 7 to 10 days. Cholestyramine or colestipol resins bind vancomycin in vitro . If both a resin and vancomycin are to be administered concurrently, it may be advisable to separate the time of administration of each drug.

Diarrhea, colitis, and pseudomembranous colitis have been observed to begin up to several weeks following cessation of oral and parenteral therapy with clindamycin.

Overdosage (OVERDOSAGE)

Topically applied clindamycin phosphate can be absorbed in sufficient amounts to produce systemic effects (see WARNINGS).

Description (DESCRIPTION)

Clindamycin phosphate gel USP, 1% contains clindamycin phosphate, USP, at a concentration equivalent to 10 mg clindamycin per gram.

Clindamycin phosphate is a water soluble ester of the semi-synthetic antibacterial drug produced by a 7(S)-chloro-substitution of the 7(R)-hydroxyl group of the parent compound lincomycin.

The gel contains allantoin, carbomer homopolymer type B, methylparaben, polyethylene glycol 400, propylene glycol, sodium hydroxide, and purified water.

The structural formula is represented below:

  •  
    Molecular formula: C18H34ClN2O8PS Molecular weight: 504.96 g/mol

The chemical name for clindamycin phosphate, USP is Methyl 7-chloro-6,7,8-trideoxy-6-(1‑ methyl-trans-4-propyl-L-2-pyrrolidinecarboxamido)-1-thio-L-threo-α-D-galacto‑ octopyranoside 2-(dihydrogen phosphate).

Clindamycin phosphate, USP is white to off-white, hygroscopic, crystalline powder. Clindamycin phosphate is freely soluble in water, slightly soluble in dehydrated ethanol, very slightly soluble in acetone, insoluble in chloroform, ether and benzene.

How Supplied (HOW SUPPLIED)

Clindamycin phosphate gel USP, 1% containing clindamycin phosphate, USP equivalent to 10 mg clindamycin per gram is available in the following sizes:

60 gram tube—NDC 68462-866-65

30 gram tube—NDC 68462-866-35

Store at 20°C to 25°C (68°F to 77°F) [see USP Controlled Room Temperature]. Protect from freezing.

Rx only

Distributed by:

Glenmark Pharmaceuticals Inc., USA

Elmwood Park, NJ 07407

Questions? 1 (888) 721-7115

www.glenmarkpharma-us.com

Revised: December 2025

Microbiology

Clindamycin inhibits bacterial protein synthesis by binding to the 23S RNA of the 50S subunit of the ribosome. Clindamycin is bacteriostatic.

Antimicrobial Activity

Clindamycin is active in vitro against most isolates of Propionibacterium acnes; however, the clinical significance is unknown.

Resistance

Resistance to clindamycin is most often caused by modification of specific bases of the 23S ribosomal RNA. Cross-resistance between clindamycin and lincomycin is complete. Because the binding sites for these antibacterial drugs overlap, cross resistance is sometimes observed among lincosamides, macrolides and streptogramin B. Macrolide‑inducible resistance to clindamycin occurs in some isolates of macrolide-resistant bacteria.

Geriatric Use

Clinical studies for clindamycin phosphate did not include sufficient numbers of subjects aged 65 and over to determine whether they respond differently from younger subjects. Other reported clinical experience has not identified differences in responses between the elderly and younger patients.

Pediatric Use

Safety and effectiveness in pediatric patients under the age of 12 have not been established.

Nursing Mothers

It is not known whether clindamycin is excreted in breast milk following use of clindamycin phosphate gel. However, orally and parenterally administered clindamycin has been reported to appear in breast milk. Clindamycin has the potential to cause adverse effects on the breast-fed infant's gastrointestinal flora. Monitor the breast-fed infant for possible adverse effects on the gastrointestinal flora, such as diarrhea, candidiasis (thrush, diaper rash) or rarely, blood in the stool indicating possible antibiotic-associated colitis.

The developmental and health benefits of breastfeeding should be considered along with the mother's clinical need for clindamycin and any potential adverse effects on the breast-fed child from clindamycin or from the underlying maternal condition.

Clinical Considerations

If used during lactation and clindamycin phosphate is applied to the chest, care should be taken to avoid accidental ingestion by the infant.

Pharmacokinetics

Following multiple topical applications of clindamycin phosphate at a concentration equivalent to 10 mg clindamycin per mL in an isopropyl alcohol and water solution, very low levels of clindamycin are present in the serum (0 to 3 ng/mL) and less than 0.2% of the dose is recovered in urine as clindamycin.

Although clindamycin phosphate is inactive in vitro, rapid in vivo hydrolysis converts this compound to the antibacterially active clindamycin.

Adverse Reactions (ADVERSE REACTIONS)

In 18 clinical studies of various formulations of clindamycin phosphate using placebo vehicle and/or active comparator drugs as controls, patients experienced a number of treatment emergent adverse dermatologic events [see table below].

Number of Patients Reporting Events

  •  
    Treatment Emergent Adverse Event
  •  
    Solution
  •  
    n=553(%)
  •  
    Gel
  •  
    n=148(%)
  •  
    Lotion n=160(%)
  •  
    Burning
  •  
    62 (11)
  •  
    15 (10)
  •  
    17 (11)
  •  
    Itching
  •  
    36 ( 7)
  •  
    15 (10)
  •  
    17 (11)
  •  
    Burning/Itching
  •  
    60 (11)
  •  
    # ( – )
  •  
    # ( – )
  •  
    Dryness
  •  
    105 (19)
  •  
    34 (23)
  •  
    29 (18)
  •  
    Erythema
  •  
    86 (16)
  •  
    10 ( 7)
  •  
    22 (14)
  •  
    Oiliness/Oily Skin
  •  
    8 ( 1)
  •  
    26 (18)
  •  
    12* (10)
  •  
    Peeling
  •  
    61 (11)
  •  
    # ( – )
  •  
    11 ( 7)
  •  
    # not recorded
  •  
    * of 126 subjects

Orally and parenterally administered clindamycin has been associated with severe colitis which may end fatally.

Cases of diarrhea, bloody diarrhea and colitis (including pseudomembranous colitis) have been reported as adverse reactions in patients treated with oral and parenteral formulations of clindamycin and rarely with topical clindamycin (see WARNINGS).

Abdominal pain, gastrointestinal disturbances, gram-negative folliculitis, eye pain and contact dermatitis have also been reported in association with the use of topical formulations of clindamycin.

Contraindications (CONTRAINDICATIONS)

Clindamycin phosphate gel is contraindicated in individuals with a history of hypersensitivity to preparations containing clindamycin or lincomycin, a history of regional enteritis or ulcerative colitis, or a history of antibiotic-associated colitis.

Drug Interactions

Clindamycin has been shown to have neuromuscular blocking properties that may enhance the action of other neuromuscular blocking agents. Therefore, it should be used with caution in patients receiving such agents.

Mechanism of Action

The mechanism of action of clindamycin in treating acne vulgaris is unknown.

Indications and Usage (INDICATIONS AND USAGE)

Clindamycin phosphate gel is indicated in the treatment of acne vulgaris. In view of the potential for diarrhea, bloody diarrhea and pseudomembranous colitis, the physician should consider whether other agents are more appropriate (see CONTRAINDICATIONS, WARNINGS and ADVERSE REACTIONS).

Principal Display Panel (PRINCIPAL DISPLAY PANEL)
Dosage and Administration (DOSAGE AND ADMINISTRATION)

Apply a thin film of, clindamycin phosphate gel USP 1% twice daily to affected area.

Preserve in tightly closed containers.

Pregnancy: Teratogenic Effects

In clinical trials with pregnant women, the systemic administration of clindamycin during the second and third trimesters has not been associated with an increased frequency of congenital abnormalities. There are no adequate studies in pregnant women during the first trimester of pregnancy. Clindamycin should be used during the first trimester of pregnancy only if clearly needed.


Advanced Ingredient Data


Raw Label Data

All Sections (JSON)