These Highlights Do Not Include All The Information Needed To Use Mounjaro Safely And Effectively. See Full Prescribing Information For Mounjaro.

These Highlights Do Not Include All The Information Needed To Use Mounjaro Safely And Effectively. See Full Prescribing Information For Mounjaro.
SPL v36
SPL
SPL Set ID d2d7da5d-ad07-4228-955f-cf7e355c8cc0
Route
SUBCUTANEOUS
Published
Effective Date 2026-01-20
Document Type 34391-3 HUMAN PRESCRIPTION DRUG LABEL

Drug Facts

Composition & Product

Active Ingredients
Tirzepatide (2.5 mg)
Inactive Ingredients
Sodium Phosphate, Dibasic, Heptahydrate Sodium Chloride Hydrochloric Acid Sodium Hydroxide Water Benzyl Alcohol Glycerin Phenol

Identifiers & Packaging

Marketing Status
NDA Active Since 2026-01-20

Description

Indications and Usage ( 1 ) 12/2025 Dosage and Administration ( 2 )     Recommended Dosage ( 2.1 ) 12/2025     Important Administration Instructions ( 2.2 ) 01/2026 Warnings and Precautions     Severe Gastrointestinal Adverse Reactions ( 5.6 ) 12/2025 Never Share a MOUNJARO KwikPen Between     Patients ( 5.10 ) 01/2026

Indications and Usage

MOUNJARO ® is indicated as an adjunct to diet and exercise to improve glycemic control in adults and pediatric patients 10 years of age and older with type 2 diabetes mellitus.

Dosage and Administration

The recommended starting dosage is 2.5 mg injected subcutaneously once weekly. ( 2.1 ) After 4 weeks, increase to 5 mg injected subcutaneously once weekly. ( 2.1 ) If additional glycemic control is needed, increase the dosage in 2.5 mg increments after at least 4 weeks on the current dose. ( 2.1 ) Maximum dosage ( 2.1 ): Adults: 15 mg subcutaneously once weekly. Pediatric patients 10 years of age and older: 10 mg subcutaneously once weekly. Administer once weekly at any time of day, with or without meals. ( 2.2 ) Inject subcutaneously in the abdomen, thigh, or another person should inject in the back of the upper arm. Rotate injection sites with each dose. ( 2.2 ) Refer to the Full Prescribing Information for additional important administration instructions about MOUNJARO presentations. ( 2.2 )

Warnings and Precautions

Acute Pancreatitis: Has been observed in patients treated with GLP-1 receptor agonists, or MOUNJARO. Discontinue if pancreatitis is suspected. ( 5.2 ) Hypoglycemia with Concomitant Use of Insulin Secretagogues or Insulin: Concomitant use with an insulin secretagogue or insulin may increase the risk of hypoglycemia, including severe hypoglycemia. Reducing dose of insulin secretagogue or insulin may be necessary. ( 5.3 ) Hypersensitivity Reactions: Serious hypersensitivity reactions (e.g., anaphylaxis and angioedema) have been reported. Discontinue MOUNJARO if suspected and promptly seek medical advice. ( 5.4 ) Acute Kidney Injury Due to Volume Depletion: Monitor renal function in patients reporting adverse reactions that could lead to volume depletion. ( 5.5 ) Severe Gastrointestinal Adverse Reactions: Use has been associated with gastrointestinal adverse reactions, sometimes severe. MOUNJARO is not recommended in patients with severe gastroparesis. ( 5.6 ) Diabetic Retinopathy Complications in Patients with a History of Diabetic Retinopathy: Has not been studied in patients with non-proliferative diabetic retinopathy requiring acute therapy, proliferative diabetic retinopathy, or diabetic macular edema. Monitor patients with a history of diabetic retinopathy for progression. ( 5.7 ) Acute Gallbladder Disease: Has occurred in clinical trials. If cholelithiasis is suspected, gallbladder studies and clinical follow-up are indicated. ( 5.8 ) Pulmonary Aspiration During General Anesthesia or Deep Sedation: Has been reported in patients receiving GLP-1 receptor agonists undergoing elective surgeries or procedures. Instruct patients to inform healthcare providers of any planned surgeries or procedures. ( 5.9 ) Never share a MOUNJARO KwikPen between patients, even if the pen needle is changed. ( 5.10 )

Contraindications

MOUNJARO is contraindicated in patients with: A personal or family history of medullary thyroid carcinoma (MTC) or in patients with Multiple Endocrine Neoplasia syndrome type 2 (MEN 2) [see Warnings and Precautions ( 5.1 )] . Known serious hypersensitivity to tirzepatide or any of the excipients in MOUNJARO. Serious hypersensitivity reactions, including anaphylaxis and angioedema, have been reported with MOUNJARO [see Warnings and Precautions ( 5.4 )] .

Adverse Reactions

The following serious adverse reactions are described below or elsewhere in the prescribing information: Risk of Thyroid C-cell Tumors [see Warnings and Precautions ( 5.1 )] Acute Pancreatitis [see Warnings and Precautions ( 5.2 )] Hypoglycemia with Concomitant Use of Insulin Secretagogues or Insulin [see Warnings and Precautions ( 5.3 )] Hypersensitivity Reactions [see Warnings and Precautions ( 5.4 )] Acute Kidney Injury Due to Volume Depletion [see Warnings and Precautions ( 5.5 )] Severe Gastrointestinal Adverse Reactions [see Warnings and Precautions ( 5.6 )] Diabetic Retinopathy Complications in Patients with a History of Diabetic Retinopathy [see Warnings and Precautions ( 5.7 )] Acute Gallbladder Disease [see Warnings and Precautions ( 5.8 )] Pulmonary Aspiration During General Anesthesia or Deep Sedation [see Warnings and Precautions ( 5.9 )]

Drug Interactions

MOUNJARO delays gastric emptying and has the potential to impact the absorption of concomitantly administered oral medications. ( 7.2 )

Storage and Handling

Do not freeze MOUNJARO. Do not use MOUNJARO if frozen. Protect MOUNJARO from heat and light. Store MOUNJARO in the original carton to protect from light. MOUNJARO Single-dose Pen and Single-dose Vial Store MOUNJARO single-dose pen and single-dose vial in a refrigerator at 2°C to 8°C (36°F to 46°F). If needed, each single-dose pen or single-dose vial can be stored unrefrigerated at temperatures not to exceed 30°C (86°F) for up to 21 days. MOUNJARO Multi-dose Vial or Single-Patient-Use KwikPen Unopened vial or single-patient-use KwikPen: Store unopened multi-dose vial or single-patient-use KwikPen in the refrigerator at 2°C to 8°C (36°F to 46°F). The unopened multi-dose vial or single-patient-use KwikPen can be used until the expiration date on the label if kept in the refrigerator. If stored at room temperature [up to 30°C (86°F)], throw away unopened multi-dose vial or single-patient-use KwikPen after 30 days. After vial or single-patient-use KwikPen has been opened: Store opened (in-use) multi-dose vial or single-patient-use KwikPen in the original carton in the refrigerator at 2°C to 8°C (36°F to 46°F) or at room temperature [up to 30°C (86°F)]. Throw away opened multi-dose vial or single-patient-use KwikPen after a total of 30 days at room temperature, 30 days after first use, or after taking 4 weekly doses, even if there is medicine left in it.

How Supplied

MOUNJARO is a clear, colorless to slightly yellow solution available in cartons containing 4 pre-filled single-dose pens, 1 single-dose vial, 1 multi-dose vial, or 1 Single-Patient-Use KwikPen as follows: Single-Dose Vial and Prefilled Pen Strength 4 pack Single-dose Pen NDC 1 pack Single-dose Vial NDC 2.5 mg/0.5 mL 0002-1506-80 0002-1152-01 5 mg/0.5 mL 0002-1495-80 0002-1243-01 7.5 mg/0.5 mL 0002-1484-80 0002-2214-01 10 mg/0.5 mL 0002-1471-80 0002-2340-01 12.5 mg/0.5 mL 0002-1460-80 0002-2423-01 15 mg/0.5 mL 0002-1457-80 0002-3002-01 Multi-Dose Vial Doses per Vial Strength 1-pack Multi-dose Vial NDC 4 doses of 2.5 mg/0.6 mL 10 mg/2.4 mL (4.17 mg/mL) 0002-4052-11 4 doses of 5 mg/0.6 mL 20 mg/2.4 mL (8.33 mg/mL) 0002-4103-11 4 doses of 7.5 mg/0.6 mL 30 mg/2.4 mL (12.5 mg/mL) 0002-4210-11 4 doses of 10 mg/0.6 mL 40 mg/2.4 mL (16.7 mg/mL) 0002-4304-11 4 doses of 12.5 mg/0.6 mL 50 mg/2.4 mL (20.8 mg/mL) 0002-4523-11 4 doses of 15 mg/0.6 mL 60 mg/2.4 mL (25 mg/mL) 0002-4612-11 Single-Patient-Use KwikPen (with four weekly doses) Doses per KwikPen Strength 1-pack Single-Patient-Use KwikPen NDC 4 doses of 2.5 mg 10 mg/2.4 mL (4.17 mg/mL) 0002-3466-11 4 doses of 5 mg 20 mg/2.4 mL (8.33 mg/mL) 0002-3455-11 4 doses of 7.5 mg 30 mg/2.4 mL (12.5 mg/mL) 0002-3444-11 4 doses of 10 mg 40 mg/2.4 mL (16.7 mg/mL) 0002-3433-11 4 doses of 12.5 mg 50 mg/2.4 mL (20.8 mg/mL) 0002-3422-11 4 doses of 15 mg 60 mg/2.4 mL (25 mg/mL) 0002-3411-11


Medication Information

Warnings and Precautions

Acute Pancreatitis: Has been observed in patients treated with GLP-1 receptor agonists, or MOUNJARO. Discontinue if pancreatitis is suspected. ( 5.2 ) Hypoglycemia with Concomitant Use of Insulin Secretagogues or Insulin: Concomitant use with an insulin secretagogue or insulin may increase the risk of hypoglycemia, including severe hypoglycemia. Reducing dose of insulin secretagogue or insulin may be necessary. ( 5.3 ) Hypersensitivity Reactions: Serious hypersensitivity reactions (e.g., anaphylaxis and angioedema) have been reported. Discontinue MOUNJARO if suspected and promptly seek medical advice. ( 5.4 ) Acute Kidney Injury Due to Volume Depletion: Monitor renal function in patients reporting adverse reactions that could lead to volume depletion. ( 5.5 ) Severe Gastrointestinal Adverse Reactions: Use has been associated with gastrointestinal adverse reactions, sometimes severe. MOUNJARO is not recommended in patients with severe gastroparesis. ( 5.6 ) Diabetic Retinopathy Complications in Patients with a History of Diabetic Retinopathy: Has not been studied in patients with non-proliferative diabetic retinopathy requiring acute therapy, proliferative diabetic retinopathy, or diabetic macular edema. Monitor patients with a history of diabetic retinopathy for progression. ( 5.7 ) Acute Gallbladder Disease: Has occurred in clinical trials. If cholelithiasis is suspected, gallbladder studies and clinical follow-up are indicated. ( 5.8 ) Pulmonary Aspiration During General Anesthesia or Deep Sedation: Has been reported in patients receiving GLP-1 receptor agonists undergoing elective surgeries or procedures. Instruct patients to inform healthcare providers of any planned surgeries or procedures. ( 5.9 ) Never share a MOUNJARO KwikPen between patients, even if the pen needle is changed. ( 5.10 )

Indications and Usage

MOUNJARO ® is indicated as an adjunct to diet and exercise to improve glycemic control in adults and pediatric patients 10 years of age and older with type 2 diabetes mellitus.

Dosage and Administration

The recommended starting dosage is 2.5 mg injected subcutaneously once weekly. ( 2.1 ) After 4 weeks, increase to 5 mg injected subcutaneously once weekly. ( 2.1 ) If additional glycemic control is needed, increase the dosage in 2.5 mg increments after at least 4 weeks on the current dose. ( 2.1 ) Maximum dosage ( 2.1 ): Adults: 15 mg subcutaneously once weekly. Pediatric patients 10 years of age and older: 10 mg subcutaneously once weekly. Administer once weekly at any time of day, with or without meals. ( 2.2 ) Inject subcutaneously in the abdomen, thigh, or another person should inject in the back of the upper arm. Rotate injection sites with each dose. ( 2.2 ) Refer to the Full Prescribing Information for additional important administration instructions about MOUNJARO presentations. ( 2.2 )

Contraindications

MOUNJARO is contraindicated in patients with: A personal or family history of medullary thyroid carcinoma (MTC) or in patients with Multiple Endocrine Neoplasia syndrome type 2 (MEN 2) [see Warnings and Precautions ( 5.1 )] . Known serious hypersensitivity to tirzepatide or any of the excipients in MOUNJARO. Serious hypersensitivity reactions, including anaphylaxis and angioedema, have been reported with MOUNJARO [see Warnings and Precautions ( 5.4 )] .

Adverse Reactions

The following serious adverse reactions are described below or elsewhere in the prescribing information: Risk of Thyroid C-cell Tumors [see Warnings and Precautions ( 5.1 )] Acute Pancreatitis [see Warnings and Precautions ( 5.2 )] Hypoglycemia with Concomitant Use of Insulin Secretagogues or Insulin [see Warnings and Precautions ( 5.3 )] Hypersensitivity Reactions [see Warnings and Precautions ( 5.4 )] Acute Kidney Injury Due to Volume Depletion [see Warnings and Precautions ( 5.5 )] Severe Gastrointestinal Adverse Reactions [see Warnings and Precautions ( 5.6 )] Diabetic Retinopathy Complications in Patients with a History of Diabetic Retinopathy [see Warnings and Precautions ( 5.7 )] Acute Gallbladder Disease [see Warnings and Precautions ( 5.8 )] Pulmonary Aspiration During General Anesthesia or Deep Sedation [see Warnings and Precautions ( 5.9 )]

Drug Interactions

MOUNJARO delays gastric emptying and has the potential to impact the absorption of concomitantly administered oral medications. ( 7.2 )

Storage and Handling

Do not freeze MOUNJARO. Do not use MOUNJARO if frozen. Protect MOUNJARO from heat and light. Store MOUNJARO in the original carton to protect from light. MOUNJARO Single-dose Pen and Single-dose Vial Store MOUNJARO single-dose pen and single-dose vial in a refrigerator at 2°C to 8°C (36°F to 46°F). If needed, each single-dose pen or single-dose vial can be stored unrefrigerated at temperatures not to exceed 30°C (86°F) for up to 21 days. MOUNJARO Multi-dose Vial or Single-Patient-Use KwikPen Unopened vial or single-patient-use KwikPen: Store unopened multi-dose vial or single-patient-use KwikPen in the refrigerator at 2°C to 8°C (36°F to 46°F). The unopened multi-dose vial or single-patient-use KwikPen can be used until the expiration date on the label if kept in the refrigerator. If stored at room temperature [up to 30°C (86°F)], throw away unopened multi-dose vial or single-patient-use KwikPen after 30 days. After vial or single-patient-use KwikPen has been opened: Store opened (in-use) multi-dose vial or single-patient-use KwikPen in the original carton in the refrigerator at 2°C to 8°C (36°F to 46°F) or at room temperature [up to 30°C (86°F)]. Throw away opened multi-dose vial or single-patient-use KwikPen after a total of 30 days at room temperature, 30 days after first use, or after taking 4 weekly doses, even if there is medicine left in it.

How Supplied

MOUNJARO is a clear, colorless to slightly yellow solution available in cartons containing 4 pre-filled single-dose pens, 1 single-dose vial, 1 multi-dose vial, or 1 Single-Patient-Use KwikPen as follows: Single-Dose Vial and Prefilled Pen Strength 4 pack Single-dose Pen NDC 1 pack Single-dose Vial NDC 2.5 mg/0.5 mL 0002-1506-80 0002-1152-01 5 mg/0.5 mL 0002-1495-80 0002-1243-01 7.5 mg/0.5 mL 0002-1484-80 0002-2214-01 10 mg/0.5 mL 0002-1471-80 0002-2340-01 12.5 mg/0.5 mL 0002-1460-80 0002-2423-01 15 mg/0.5 mL 0002-1457-80 0002-3002-01 Multi-Dose Vial Doses per Vial Strength 1-pack Multi-dose Vial NDC 4 doses of 2.5 mg/0.6 mL 10 mg/2.4 mL (4.17 mg/mL) 0002-4052-11 4 doses of 5 mg/0.6 mL 20 mg/2.4 mL (8.33 mg/mL) 0002-4103-11 4 doses of 7.5 mg/0.6 mL 30 mg/2.4 mL (12.5 mg/mL) 0002-4210-11 4 doses of 10 mg/0.6 mL 40 mg/2.4 mL (16.7 mg/mL) 0002-4304-11 4 doses of 12.5 mg/0.6 mL 50 mg/2.4 mL (20.8 mg/mL) 0002-4523-11 4 doses of 15 mg/0.6 mL 60 mg/2.4 mL (25 mg/mL) 0002-4612-11 Single-Patient-Use KwikPen (with four weekly doses) Doses per KwikPen Strength 1-pack Single-Patient-Use KwikPen NDC 4 doses of 2.5 mg 10 mg/2.4 mL (4.17 mg/mL) 0002-3466-11 4 doses of 5 mg 20 mg/2.4 mL (8.33 mg/mL) 0002-3455-11 4 doses of 7.5 mg 30 mg/2.4 mL (12.5 mg/mL) 0002-3444-11 4 doses of 10 mg 40 mg/2.4 mL (16.7 mg/mL) 0002-3433-11 4 doses of 12.5 mg 50 mg/2.4 mL (20.8 mg/mL) 0002-3422-11 4 doses of 15 mg 60 mg/2.4 mL (25 mg/mL) 0002-3411-11

Description

Indications and Usage ( 1 ) 12/2025 Dosage and Administration ( 2 )     Recommended Dosage ( 2.1 ) 12/2025     Important Administration Instructions ( 2.2 ) 01/2026 Warnings and Precautions     Severe Gastrointestinal Adverse Reactions ( 5.6 ) 12/2025 Never Share a MOUNJARO KwikPen Between     Patients ( 5.10 ) 01/2026

Section 42229-5

Never share MOUNJARO KwikPen between patients, even if the pen needle is changed. Sharing poses a risk for transmission of blood-borne pathogens.

Section 43683-2
Indications and Usage (1) 12/2025
Dosage and Administration (2)

    Recommended Dosage (2.1)
12/2025
    Important Administration Instructions (2.2) 01/2026
Warnings and Precautions
    Severe Gastrointestinal Adverse Reactions (5.6) 12/2025
Never Share a MOUNJARO KwikPen Between

    Patients (5.10)
01/2026
Section 51945-4

PACKAGE LABEL – MOUNJARO KwikPen – 2.5 mg per dose (10 mg/2.4 mL [4.17 mg/mL])

NDC 0002-3466-11

Rx Only

Mounjaro®

KwikPen®

(tirzepatide) injection

2.5 mg per dose

10 mg/2.4 mL (4.17 mg/mL)

1 Pen with 4 doses of 2.5 mg

TURN THE DOSE KNOB ALL THE WAY UNTIL YOU SEE A

. THIS IS ONE DOSE.

For Single-Patient-Use Only

For Subcutaneous Use

Needles not included

Dispense enclosed Medication Guide to each patient.

Use MOUNJARO KwikPen once weekly

Read the INSTRUCTIONS FOR USE. This product may have different steps than other products.

10 Overdosage

In the event of an overdosage, consider contacting the Poison Help line (1-800-222-1222) or a medical toxicologist for additional overdosage management recommendations. Initiate appropriate supportive treatment according to the patient's clinical signs and symptoms. A period of observation and treatment for these symptoms may be necessary, taking into account the half-life of tirzepatide of approximately 5 days.

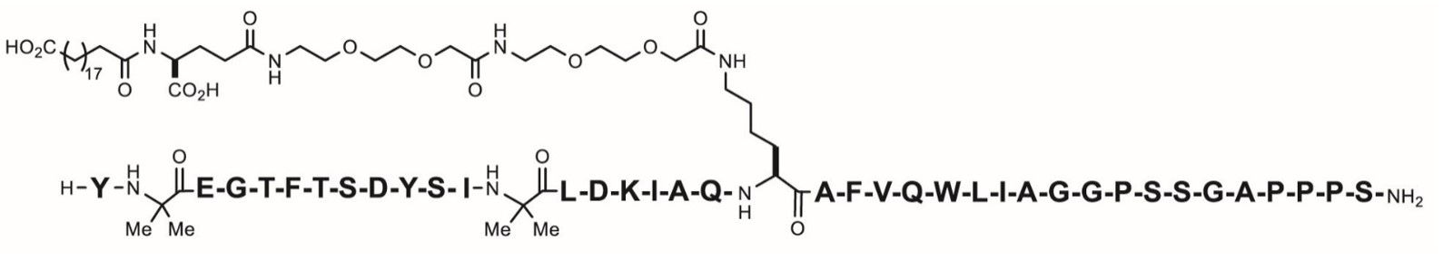
11 Description

MOUNJARO (tirzepatide) injection, for subcutaneous use, contains tirzepatide, a once weekly GIP receptor and GLP-1 receptor agonist. Tirzepatide is based on the GIP sequence and contains aminoisobutyric acid (Aib) in positions 2 and 13, a C-terminal amide, and Lys residue at position 20 that is attached to 1,20-eicosanedioic acid via a linker. The molecular weight is 4813.53 Da and the empirical formula is C225H348N48O68.

Structural formula:

MOUNJARO is a clear, colorless to slightly yellow, sterile solution for subcutaneous use. Each single-dose pen or single-dose vial contains a 0.5 mL solution of 2.5 mg, 5 mg, 7.5 mg, 10 mg, 12.5 mg, or 15 mg of tirzepatide and the following excipients: sodium chloride (4.1 mg), sodium phosphate dibasic heptahydrate (0.7 mg), and water for injection. Each multi-dose vial or single-patient-use KwikPen contains 2.4 mL of solution, which provides 4 doses of 2.5 mg, 5 mg, 7.5 mg, 10 mg, 12.5 mg, or 15 mg of tirzepatide per 0.6 mL. Each dose contains the following excipients: benzyl alcohol (5.4 mg), glycerin (4.8 mg), phenol (1.08 mg), sodium chloride (1.05 mg), sodium phosphate dibasic heptahydrate (0.8 mg), and water for injection. Hydrochloric acid solution and/or sodium hydroxide solution may have been added to adjust the pH. MOUNJARO has a pH of 6.5 to 7.5.

Each single-patient-use KwikPen contains additional volume to allow for device priming.

16.1 How Supplied

MOUNJARO is a clear, colorless to slightly yellow solution available in cartons containing 4 pre-filled single-dose pens, 1 single-dose vial, 1 multi-dose vial, or 1 Single-Patient-Use KwikPen as follows:

Single-Dose Vial and Prefilled Pen
Strength 4 pack Single-dose Pen NDC 1 pack Single-dose Vial NDC
2.5 mg/0.5 mL 0002-1506-80 0002-1152-01
5 mg/0.5 mL 0002-1495-80 0002-1243-01
7.5 mg/0.5 mL 0002-1484-80 0002-2214-01
10 mg/0.5 mL 0002-1471-80 0002-2340-01
12.5 mg/0.5 mL 0002-1460-80 0002-2423-01
15 mg/0.5 mL 0002-1457-80 0002-3002-01
Multi-Dose Vial
Doses per Vial Strength 1-pack Multi-dose Vial NDC
4 doses of 2.5 mg/0.6 mL 10 mg/2.4 mL (4.17 mg/mL) 0002-4052-11
4 doses of 5 mg/0.6 mL 20 mg/2.4 mL (8.33 mg/mL) 0002-4103-11
4 doses of 7.5 mg/0.6 mL 30 mg/2.4 mL (12.5 mg/mL) 0002-4210-11
4 doses of 10 mg/0.6 mL 40 mg/2.4 mL (16.7 mg/mL) 0002-4304-11
4 doses of 12.5 mg/0.6 mL 50 mg/2.4 mL (20.8 mg/mL) 0002-4523-11
4 doses of 15 mg/0.6 mL 60 mg/2.4 mL (25 mg/mL) 0002-4612-11
Single-Patient-Use KwikPen (with four weekly doses)
Doses per KwikPen Strength 1-pack Single-Patient-Use KwikPen NDC
4 doses of 2.5 mg 10 mg/2.4 mL (4.17 mg/mL) 0002-3466-11
4 doses of 5 mg 20 mg/2.4 mL (8.33 mg/mL) 0002-3455-11
4 doses of 7.5 mg 30 mg/2.4 mL (12.5 mg/mL) 0002-3444-11
4 doses of 10 mg 40 mg/2.4 mL (16.7 mg/mL) 0002-3433-11
4 doses of 12.5 mg 50 mg/2.4 mL (20.8 mg/mL) 0002-3422-11
4 doses of 15 mg 60 mg/2.4 mL (25 mg/mL) 0002-3411-11
8.4 Pediatric Use

The safety and effectiveness of MOUNJARO as an adjunct to diet and exercise to improve glycemic control in pediatric patients 10 years of age and older with type 2 diabetes mellitus have been established. Use of MOUNJARO for this indication is supported by a 30-week, randomized, double-blind, placebo-controlled trial with a 22-week open label extension in 99 pediatric patients [see Clinical Studies (14.5)].

Adverse reactions reported in pediatric patients 10 years of age and older treated with MOUNJARO were similar to those reported in adults with the exception of a higher incidence of vomiting, abdominal pain, and hypoglycemia [see Adverse Reactions (6.1)].

The safety and effectiveness of MOUNJARO have not been established in pediatric patients less than 10 years of age.

8.5 Geriatric Use

In the pool of seven clinical trials, 1539 (30.1%) MOUNJARO-treated patients were 65 years of age or older, and 212 (4.1%) MOUNJARO-treated patients were 75 years of age or older at baseline.

No overall differences in safety or efficacy were detected between these patients and younger patients, but greater sensitivity of some older individuals cannot be ruled out.

12.6 Immunogenicity

The observed incidence of anti-drug antibodies is highly dependent on the sensitivity and specificity of the assay. Differences in assay methods preclude meaningful comparisons of the incidence of anti-drug antibodies in the trials described below with the incidence of anti-drug antibodies in other trials.

During the 40- to 104-week treatment periods with ADA sampling conducted up to 44 to 108 weeks in seven clinical trials in adults with type 2 diabetes mellitus [see Clinical Studies (14)], 51% (2,570/5,025) of MOUNJARO-treated patients developed anti-tirzepatide antibodies. In these trials, anti-tirzepatide antibody formation in 34% and 14% of MOUNJARO-treated adult patients showed cross-reactivity to native GIP or native GLP-1, respectively.

Of the 2,570 MOUNJARO-treated patients who developed anti-tirzepatide antibodies during the treatment periods in these seven trials, 2% and 2% developed neutralizing antibodies against tirzepatide activity on the GIP or GLP-1 receptors, respectively, and 0.9% and 0.4% developed neutralizing antibodies against native GIP or GLP-1, respectively.

During the 30-week double-blind placebo-controlled period of the glycemic control trial in pediatric patients 10 years of age or older with type 2 diabetes mellitus [see Clinical Studies (14.5)], 30/61 (49%) of MOUNJARO-treated pediatric patients developed anti-tirzepatide antibodies. Anti-tirzepatide antibodies showed cross reactivity to native GIP or native GLP-1 in 26% and 8% of MOUNJARO-treated pediatric patients, respectively. There were no neutralizing antibodies against tirzepatide activity on the GIP or GLP-1 receptors. No pediatric patients developed neutralizing antibodies against native GIP or GLP-1.

There was no identified clinically significant effect of anti-tirzepatide antibodies on pharmacokinetics or effectiveness of MOUNJARO. More MOUNJARO-treated adult and pediatric patients who developed anti-tirzepatide antibodies experienced hypersensitivity reactions or injection site reactions than those who did not develop these antibodies [see Adverse Reactions (6.1)].

4 Contraindications

MOUNJARO is contraindicated in patients with:

  • A personal or family history of medullary thyroid carcinoma (MTC) or in patients with Multiple Endocrine Neoplasia syndrome type 2 (MEN 2) [see Warnings and Precautions (5.1)].
  • Known serious hypersensitivity to tirzepatide or any of the excipients in MOUNJARO. Serious hypersensitivity reactions, including anaphylaxis and angioedema, have been reported with MOUNJARO [see Warnings and Precautions (5.4)].
6 Adverse Reactions

The following serious adverse reactions are described below or elsewhere in the prescribing information:

  • Risk of Thyroid C-cell Tumors [see Warnings and Precautions (5.1)]
  • Acute Pancreatitis [see Warnings and Precautions (5.2)]
  • Hypoglycemia with Concomitant Use of Insulin Secretagogues or Insulin [see Warnings and Precautions (5.3)]
  • Hypersensitivity Reactions [see Warnings and Precautions (5.4)]
  • Acute Kidney Injury Due to Volume Depletion [see Warnings and Precautions (5.5)]
  • Severe Gastrointestinal Adverse Reactions [see Warnings and Precautions (5.6)]
  • Diabetic Retinopathy Complications in Patients with a History of Diabetic Retinopathy [see Warnings and Precautions (5.7)]
  • Acute Gallbladder Disease [see Warnings and Precautions (5.8)]
  • Pulmonary Aspiration During General Anesthesia or Deep Sedation [see Warnings and Precautions (5.9)]
7 Drug Interactions

MOUNJARO delays gastric emptying and has the potential to impact the absorption of concomitantly administered oral medications. (7.2)

7.2 Oral Medications

MOUNJARO delays gastric emptying and thereby has the potential to impact the absorption of concomitantly administered oral medications. Caution should be exercised when oral medications are concomitantly administered with MOUNJARO.

Monitor patients on oral medications dependent on threshold concentrations for efficacy and those with a narrow therapeutic index (e.g., warfarin) when concomitantly administered with MOUNJARO.

Advise patients using oral hormonal contraceptives to switch to a non-oral contraceptive method or add a barrier method of contraception for 4 weeks after initiation and for 4 weeks after each dose escalation with MOUNJARO. Hormonal contraceptives that are not administered orally should not be affected [see Use in Specific Populations (8.3) and Clinical Pharmacology (12.2, 12.3)].

8.6 Renal Impairment

No dosage adjustment of MOUNJARO is recommended for patients with renal impairment. In subjects with renal impairment including end-stage renal disease (ESRD), no change in tirzepatide pharmacokinetics (PK) was observed [see Clinical Pharmacology (12.3)]. Monitor renal function when initiating or escalating doses of MOUNJARO in patients with renal impairment reporting severe adverse gastrointestinal reactions [see Warnings and Precautions (5.5)].

12.2 Pharmacodynamics

Tirzepatide lowers fasting and postprandial glucose concentration, decreases food intake, and reduces body weight in patients with type 2 diabetes mellitus.

12.3 Pharmacokinetics

The pharmacokinetics of tirzepatide is similar between healthy subjects and patients with type 2 diabetes mellitus. Steady-state plasma tirzepatide concentrations were achieved following 4 weeks of once weekly administration. Tirzepatide exposure increases in a dose-proportional manner.

2.1 Recommended Dosage
  • The recommended starting dosage of MOUNJARO is 2.5 mg injected subcutaneously once weekly [see Dosage and Administration (2.2)]. Follow the dosage escalation below to reduce the risk of gastrointestinal adverse reactions [see Warnings and Precautions (5.6) and Adverse Reactions (6.1)]. The 2.5 mg dosage is for treatment initiation and is not intended for glycemic control.
  • After 4 weeks, increase the dosage to 5 mg injected subcutaneously once weekly.
  • If additional glycemic control is needed, increase the dosage in 2.5 mg increments after at least 4 weeks on the current dose. The maximum dosage of MOUNJARO is:
    • 15 mg injected subcutaneously once weekly in adults.
    • 10 mg injected subcutaneously once weekly in pediatric patients.
  • If a dose is missed, instruct patients to administer MOUNJARO as soon as possible within 4 days (96 hours) after the missed dose. If more than 4 days have passed, skip the missed dose and administer the next dose on the regularly scheduled day. In each case, patients can then resume their regular once weekly dosing schedule.
  • The day of weekly administration can be changed, if necessary, as long as the time between the two doses is at least 3 days (72 hours).
5.2 Acute Pancreatitis

Acute pancreatitis, including fatal and non-fatal hemorrhagic or necrotizing pancreatitis, has been observed in patients treated with GLP-1 receptor agonists, or MOUNJARO [see Adverse Reactions (6)].

After initiation of MOUNJARO, observe patients carefully for signs and symptoms of acute pancreatitis, which may include persistent or severe abdominal pain (sometimes radiating to the back) and which may or may not be accompanied by nausea or vomiting. If pancreatitis is suspected, discontinue MOUNJARO and initiate appropriate management.

8.7 Hepatic Impairment

No dosage adjustment of MOUNJARO is recommended for patients with hepatic impairment. In a clinical pharmacology study in subjects with varying degrees of hepatic impairment, no change in tirzepatide PK was observed [see Clinical Pharmacology (12.3)].

1 Indications and Usage

MOUNJARO® is indicated as an adjunct to diet and exercise to improve glycemic control in adults and pediatric patients 10 years of age and older with type 2 diabetes mellitus.

12.1 Mechanism of Action

Tirzepatide is a GIP receptor and GLP-1 receptor agonist. It contains a C20 fatty diacid that enables albumin binding and prolongs the half-life. Tirzepatide selectively binds to and activates both the GIP and GLP-1 receptors, the targets for native GIP and GLP-1.

Tirzepatide enhances first- and second-phase insulin secretion, and reduces glucagon levels, both in a glucose-dependent manner.

16.2 Storage and Handling
  • Do not freeze MOUNJARO. Do not use MOUNJARO if frozen.
  • Protect MOUNJARO from heat and light.
  • Store MOUNJARO in the original carton to protect from light.

MOUNJARO Single-dose Pen and Single-dose Vial

  • Store MOUNJARO single-dose pen and single-dose vial in a refrigerator at 2°C to 8°C (36°F to 46°F).
  • If needed, each single-dose pen or single-dose vial can be stored unrefrigerated at temperatures not to exceed 30°C (86°F) for up to 21 days.

MOUNJARO Multi-dose Vial or Single-Patient-Use KwikPen

Unopened vial or single-patient-use KwikPen:

  • Store unopened multi-dose vial or single-patient-use KwikPen in the refrigerator at 2°C to 8°C (36°F to 46°F). The unopened multi-dose vial or single-patient-use KwikPen can be used until the expiration date on the label if kept in the refrigerator.
  • If stored at room temperature [up to 30°C (86°F)], throw away unopened multi-dose vial or single-patient-use KwikPen after 30 days.

After vial or single-patient-use KwikPen has been opened:

  • Store opened (in-use) multi-dose vial or single-patient-use KwikPen in the original carton in the refrigerator at 2°C to 8°C (36°F to 46°F) or at room temperature [up to 30°C (86°F)].
  • Throw away opened multi-dose vial or single-patient-use KwikPen after a total of 30 days at room temperature, 30 days after first use, or after taking 4 weekly doses, even if there is medicine left in it.
Mounjaro Medication Guide

This Medication Guide has been approved by the U.S. Food and Drug Administration

Revised: January 2026

Medication Guide

MOUNJARO® [mown-JAHR-OH]

(tirzepatide)

injection, for subcutaneous use
Do not share your MOUNJARO KwikPen or needles with other people, even if the needle has been changed. You may give other people a serious infection, or get a serious infection from them.

What is the most important information I should know about MOUNJARO?

MOUNJARO may cause serious side effects, including:

  • Possible thyroid tumors, including cancer. Tell your healthcare provider if you get a lump or swelling in your neck, hoarseness, trouble swallowing, or shortness of breath. These may be symptoms of thyroid cancer. In studies with rats, MOUNJARO and medicines that work like MOUNJARO caused thyroid tumors, including thyroid cancer. It is not known if MOUNJARO will cause thyroid tumors, or a type of thyroid cancer called medullary thyroid carcinoma (MTC) in people.
  • Do not use MOUNJARO if you or any of your family have ever had a type of thyroid cancer called medullary thyroid carcinoma (MTC), or if you have an endocrine system condition called Multiple Endocrine Neoplasia syndrome type 2 (MEN 2).
What is MOUNJARO?

  • MOUNJARO is an injectable prescription medicine that is used along with diet and exercise to improve blood sugar (glucose) in adults and children 10 years of age and older with type 2 diabetes mellitus.
  • It is not known if MOUNJARO is safe and effective for use in children under 10 years of age.
Do not use MOUNJARO if:

  • you or any of your family have ever had a type of thyroid cancer called MTC or if you have an endocrine system condition called MEN 2.
  • you have had a serious allergic reaction to tirzepatide or any of the ingredients in MOUNJARO. See the end of this Medication Guide for a complete list of ingredients in MOUNJARO. See " What are the possible side effects of MOUNJARO? " for symptoms of a serious allergic reaction.
Before using MOUNJARO, tell your healthcare provider about all of your medical conditions, including if you:

  • have or have had problems with your pancreas.
  • have severe problems with your stomach, such as slowed emptying of your stomach (gastroparesis) or problems with digesting food.
  • have a history of diabetic retinopathy.
  • are scheduled to have surgery or other procedures that use anesthesia or deep sleepiness (deep sedation).
  • are pregnant or plan to become pregnant. It is not known if MOUNJARO will harm your unborn baby. Tell your healthcare provider if you become pregnant while using MOUNJARO.
    • Birth control pills by mouth may not work as well while using MOUNJARO. If you take birth control pills by mouth, your healthcare provider may recommend another type of birth control for 4 weeks after you start MOUNJARO and for 4 weeks after each increase in your dose of MOUNJARO. Talk to your healthcare provider about birth control methods that may be right for you while using MOUNJARO.



  • are breastfeeding or plan to breastfeed. MOUNJARO may pass into your breast milk. Talk to your healthcare provider about the best way to feed your baby while using MOUNJARO.
Tell your healthcare provider about all the medicines you take, including prescription and over-the-counter medicines, vitamins, and herbal supplements. MOUNJARO may affect the way some medicines work, and some medicines may affect the way MOUNJARO works.

Before using MOUNJARO, talk to your healthcare provider about low blood sugar and how to manage it. Tell your healthcare provider if you are taking other medicines to treat diabetes including insulin or sulfonylureas.

Know the medicines you take. Keep a list of them to show your healthcare provider and pharmacist when you get a new medicine.
How should I use MOUNJARO?

  • Read the Instructions for Use that comes with MOUNJARO.
  • Use MOUNJARO exactly as your healthcare provider tells you to.
  • Your healthcare provider should show you how to prepare and inject your dose of MOUNJARO before injecting for the first time.
  • A caregiver may give you MOUNJARO injections or you may self-inject if a healthcare provider determines that it is appropriate.
  • Children should not inject themselves with MOUNJARO KwikPen. An adult caregiver should give a child his or her injections with MOUNJARO KwikPen.
  • Self-injection is not recommended for people who are visually impaired.
  • If using MOUNJARO vials, always use a new syringe and needle for each injection.
  • Inject MOUNJARO under the skin (subcutaneously) of your stomach (abdomen), thigh, or another person should inject in the back of the upper arm. Do not inject MOUNJARO into a muscle (intramuscularly) or vein (intravenously).
  • Use MOUNJARO 1 time each week, at any time of the day.
  • You may change the day of the week you use MOUNJARO as long as the time between the 2 doses is at least 3 days (72 hours).
  • If you miss a dose of MOUNJARO, take the missed dose as soon as possible within 4 days (96 hours) after the missed dose. If more than 4 days have passed, skip the missed dose and take your next dose on the regularly scheduled day. Do not take 2 doses of MOUNJARO within 3 days of each other.
  • MOUNJARO may be taken with or without food.
  • Do not mix insulin and MOUNJARO together in the same injection.
  • You may give an injection of MOUNJARO and insulin in the same body area (such as your stomach area), but not right next to each other.
  • Change (rotate) your injection site with each weekly injection. Do not use the same site for each injection.
  • If you take too much MOUNJARO, call your healthcare provider or Poison Help line at 1-800-222-1222 or go to the nearest hospital emergency room right away.

What are the possible side effects of MOUNJARO?

MOUNJARO may cause serious side effects, including:

  • See What is the most important information I should know about MOUNJARO?
  • inflammation of your pancreas (pancreatitis). Stop using MOUNJARO and call your healthcare provider right away if you have severe pain in your stomach area (abdomen) that will not go away, with or without nausea or vomiting. Sometimes you may feel the pain from your abdomen to your back.
  • low blood sugar (hypoglycemia). Your risk for getting low blood sugar may be higher if you use MOUNJARO with another medicine that can cause low blood sugar, such as a sulfonylurea or insulin.

    Signs and symptoms of low blood sugar may include:

  • dizziness or light-headedness
  • sweating
  • confusion or drowsiness
  • headache
  • blurred vision
  • slurred speech
  • shakiness
  • fast heartbeat
  • anxiety, irritability, or mood changes
  • hunger
  • weakness
  • feeling jittery
  • serious allergic reactions. Stop using MOUNJARO and get medical help right away if you have any symptoms of a serious allergic reaction including:

  • swelling of your face, lips, tongue, or throat
  • problems breathing or swallowing
  • severe rash or itching
  • fainting or feeling dizzy
  • very rapid heartbeat
  • dehydration leading to kidney problems. Diarrhea, nausea, and vomiting may cause a loss of fluids (dehydration) which may cause kidney problems. It is important for you to drink fluids to help reduce your chance of dehydration. Tell your healthcare provider right away if you have nausea, vomiting, or diarrhea that does not go away.
  • severe stomach problems. Stomach problems, sometimes severe, have been reported in people who use MOUNJARO. Tell your healthcare provider if you have stomach problems that are severe or will not go away.
  • changes in vision. Tell your healthcare provider if you have changes in vision during treatment with MOUNJARO.
  • gallbladder problems. Gallbladder problems have happened in some people who use MOUNJARO. Tell your healthcare provider right away if you get symptoms of gallbladder problems which may include:

  • pain in your upper stomach (abdomen)
  • fever
  • yellowing of skin or eyes (jaundice)
  • clay-colored stools
  • food or liquid getting into the lungs during surgery or other procedures that use anesthesia or deep sleepiness (deep sedation). MOUNJARO may increase the chance of food getting into your lungs during surgery or other procedures. Tell all your healthcare providers that you are taking MOUNJARO before you are scheduled to have surgery or other procedures.
The most common side effects of MOUNJARO include:
  • nausea
  • diarrhea
  • decreased appetite
  • vomiting
  • constipation
  • indigestion
  • stomach (abdominal) pain
Talk to your healthcare provider if you have any side effect that bothers you or that does not go away. These are not all the possible side effects of MOUNJARO. Call your doctor for medical advice about side effects. You may report side effects to FDA at 1-800-FDA-1088.
How should I store MOUNJARO?

  • Store MOUNJARO in the original carton to protect it from light.
  • Do not freeze MOUNJARO. Do not use MOUNJARO if frozen.
  • Store each single-dose pen or single-dose vial in the refrigerator between 36⁰F to 46⁰F (2⁰C to 8⁰C). If needed, each single-dose pen or single-dose vial can be stored at room temperature up to 86⁰F (30⁰C) for up to 21 days.
  • Store multi-dose vial or single-patient-use KwikPen in the refrigerator between 36°F to 46°F (2°C to 8°C) or at room temperature [up to 86°F (30°C)]. Throw away the multi-dose vial or single-patient-use KwikPen after a total of 30 days at room temperature, 30 days after first use, or after taking 4 weekly doses, even if it still has medicine in it.
Keep MOUNJARO and all medicines out of the reach of children.
General information about the safe and effective use of MOUNJARO.

Medicines are sometimes prescribed for purposes other than those listed in a Medication Guide. Do not use MOUNJARO for a condition for which it was not prescribed. Do not give MOUNJARO to other people, even if they have the same symptoms you have. It may harm them. You can ask your pharmacist or healthcare provider for information about MOUNJARO that is written for health professionals.
What are the ingredients in MOUNJARO?

Active ingredient: tirzepatide

Inactive ingredients: sodium chloride, sodium phosphate dibasic heptahydrate, and water for injection. Benzyl alcohol, glycerin, and phenol are also inactive ingredients in the multi-dose vial and single-patient-use KwikPen. Hydrochloric acid solution and/or sodium hydroxide solution may have been added to adjust the pH.

MOUNJARO® and KwikPen® are registered trademarks of Eli Lilly and Company.

Marketed by: Lilly USA, LLC Indianapolis, IN 46285, USA

Copyright © 2022, 2026, Eli Lilly and Company. All rights reserved.

For more information, go to www.MOUNJARO.com or call 1-800-545-5979.

MOU-0008-MG-20260120

5 Warnings and Precautions
  • Acute Pancreatitis: Has been observed in patients treated with GLP-1 receptor agonists, or MOUNJARO. Discontinue if pancreatitis is suspected. (5.2)
  • Hypoglycemia with Concomitant Use of Insulin Secretagogues or Insulin: Concomitant use with an insulin secretagogue or insulin may increase the risk of hypoglycemia, including severe hypoglycemia. Reducing dose of insulin secretagogue or insulin may be necessary. (5.3)
  • Hypersensitivity Reactions: Serious hypersensitivity reactions (e.g., anaphylaxis and angioedema) have been reported. Discontinue MOUNJARO if suspected and promptly seek medical advice. (5.4)
  • Acute Kidney Injury Due to Volume Depletion: Monitor renal function in patients reporting adverse reactions that could lead to volume depletion. (5.5)
  • Severe Gastrointestinal Adverse Reactions: Use has been associated with gastrointestinal adverse reactions, sometimes severe. MOUNJARO is not recommended in patients with severe gastroparesis. (5.6)
  • Diabetic Retinopathy Complications in Patients with a History of Diabetic Retinopathy: Has not been studied in patients with non-proliferative diabetic retinopathy requiring acute therapy, proliferative diabetic retinopathy, or diabetic macular edema. Monitor patients with a history of diabetic retinopathy for progression. (5.7)
  • Acute Gallbladder Disease: Has occurred in clinical trials. If cholelithiasis is suspected, gallbladder studies and clinical follow-up are indicated. (5.8)
  • Pulmonary Aspiration During General Anesthesia or Deep Sedation: Has been reported in patients receiving GLP-1 receptor agonists undergoing elective surgeries or procedures. Instruct patients to inform healthcare providers of any planned surgeries or procedures. (5.9)
  • Never share a MOUNJARO KwikPen between patients, even if the pen needle is changed. (5.10)
2 Dosage and Administration
  • The recommended starting dosage is 2.5 mg injected subcutaneously once weekly. (2.1)
  • After 4 weeks, increase to 5 mg injected subcutaneously once weekly. (2.1)
  • If additional glycemic control is needed, increase the dosage in 2.5 mg increments after at least 4 weeks on the current dose. (2.1)
  • Maximum dosage (2.1):
    • Adults: 15 mg subcutaneously once weekly.
    • Pediatric patients 10 years of age and older: 10 mg subcutaneously once weekly.
  • Administer once weekly at any time of day, with or without meals. (2.2)
  • Inject subcutaneously in the abdomen, thigh, or another person should inject in the back of the upper arm. Rotate injection sites with each dose. (2.2)
  • Refer to the Full Prescribing Information for additional important administration instructions about MOUNJARO presentations. (2.2)
3 Dosage Forms and Strengths

Injection: Clear, colorless to slightly yellow solution in pre-filled single-dose pens, single-dose vials, multi-dose vials, or single-patient-use KwikPens, each available in the following strengths. The multi-dose vials and single-patient-use KwikPen each contain 4 doses:

Single-dose Pen or Vial
2.5 mg/0.5 mL
5 mg/0.5 mL
7.5 mg/0.5 mL
10 mg/0.5 mL
12.5 mg/0.5 mL
15 mg/0.5 mL
Multi-dose Vial (4 doses per vial)
Dose per Injection Total Strength per Total Volume Strength per mL
2.5 mg/0.6 mL 10 mg/2.4 mL 4.17 mg/mL
5 mg/0.6 mL 20 mg/2.4 mL 8.33 mg/mL
7.5 mg/0.6 mL 30 mg/2.4 mL 12.5 mg/mL
10 mg/0.6 mL 40 mg/2.4 mL 16.7 mg/mL
12.5 mg/0.6 mL 50 mg/2.4 mL 20.8 mg/mL
15 mg/0.6 mL 60 mg/2.4 mL 25 mg/mL
Single-Patient-Use KwikPen (4 doses per KwikPen)
Dose per Injection Total Strength per Total Volume Strength per mL
2.5 mg 10 mg/2.4 mL 4.17 mg/mL
5 mg 20 mg/2.4 mL 8.33 mg/mL
7.5 mg 30 mg/2.4 mL 12.5 mg/mL
10 mg 40 mg/2.4 mL 16.7 mg/mL
12.5 mg 50 mg/2.4 mL 20.8 mg/mL
15 mg 60 mg/2.4 mL 25 mg/mL
6.2 Postmarketing Experience

The following adverse reactions have been reported during post-approval use of MOUNJARO. Because these reactions are reported voluntarily from a population of uncertain size, it is not always possible to reliably estimate their frequency or establish a causal relationship to drug exposure.

Hypersensitivity: anaphylaxis, angioedema

Gastrointestinal: acute pancreatitis, hemorrhagic and necrotizing pancreatitis sometimes resulting in death, ileus, intestinal obstruction, severe constipation including fecal impaction

Pulmonary: Pulmonary aspiration has occurred in patients receiving GLP-1 receptor agonists undergoing elective surgeries or procedures requiring general anesthesia or deep sedation

Renal: acute renal failure or worsening of chronic renal failure, sometimes requiring hemodialysis

Skin and Subcutaneous Tissue: alopecia

5.8 Acute Gallbladder Disease

Acute events of gallbladder disease such as cholelithiasis or cholecystitis have been reported in GLP-1 receptor agonist trials and postmarketing.

In MOUNJARO placebo-controlled clinical trials in adults, acute gallbladder disease (cholelithiasis, biliary colic, and cholecystectomy) was reported by 0.6% of MOUNJARO-treated patients and 0% of placebo-treated patients. If cholelithiasis is suspected, gallbladder diagnostic studies and appropriate clinical follow-up are indicated.

8 Use in Specific Populations
  • Pregnancy: Based on animal studies, may cause fetal harm. (8.1)
  • Females of Reproductive Potential: Advise females using oral contraceptives to switch to a non-oral contraceptive method or add a barrier method of contraception for 4 weeks after initiation and for 4 weeks after each dose escalation. (8.3)
5.4 Hypersensitivity Reactions

Serious hypersensitivity reactions (e.g., anaphylaxis, angioedema) have been reported in patients treated with MOUNJARO. If hypersensitivity reactions occur, discontinue use of MOUNJARO; treat promptly per standard of care, and monitor until signs and symptoms resolve. Do not use in patients with a previous serious hypersensitivity reaction to tirzepatide or any of the excipients in MOUNJARO [see Contraindications (4), Adverse Reactions (6.2)].

Anaphylaxis and angioedema have been reported with GLP-1 receptor agonists. Use caution in patients with a history of angioedema or anaphylaxis with a GLP-1 receptor agonist because it is unknown whether such patients will be predisposed to these reactions with MOUNJARO.

6.1 Clinical Trials Experience

Because clinical trials are conducted under widely varying conditions, adverse reaction rates observed in the clinical trials of a drug cannot be directly compared to rates in the clinical trials of another drug and may not reflect the rates observed in practice.

14.1 Overview of Clinical Studies

The effectiveness of MOUNJARO as an adjunct to diet and exercise to improve glycemic control in adults with type 2 diabetes mellitus was established in five trials. In these trials, MOUNJARO was studied as monotherapy (SURPASS-1); as an add-on to metformin, sulfonylureas, and/or sodium-glucose co-transporter 2 inhibitors (SGLT2 inhibitors) (SURPASS-2, -3, and -4); and in combination with basal insulin with or without metformin (SURPASS-5). In these trials, MOUNJARO (5 mg, 10 mg, and 15 mg given subcutaneously once weekly) was compared with placebo, semaglutide 1 mg, insulin degludec, and/or insulin glargine [see Clinical Studies (14.2, 14.3, 14.4)].

In adult patients with type 2 diabetes mellitus, treatment with MOUNJARO produced a statistically significant reduction from baseline in HbA1c compared to placebo. The effectiveness of MOUNJARO was not impacted by age, gender, race, ethnicity, region, or by baseline BMI, HbA1c, diabetes duration, or renal function.

MOUNJARO 5 mg and 10 mg was studied in pediatric patients 10 years of age and older with type 2 diabetes in combination with metformin and/or basal insulin [see Clinical Studies (14.5)].

17 Patient Counseling Information

Advise the patient to read the FDA-approved patient labeling (Medication Guide and Instructions for Use).

5.1 Risk of Thyroid C Cell Tumors

In both sexes of rats, tirzepatide caused a dose-dependent and treatment-duration-dependent increase in the incidence of thyroid C-cell tumors (adenomas and carcinomas) in a 2-year study at clinically relevant plasma exposures [see Nonclinical Toxicology (13.1)]. It is unknown whether MOUNJARO causes thyroid C-cell tumors, including medullary thyroid carcinoma (MTC), in humans as human relevance of tirzepatide-induced rodent thyroid C-cell tumors has not been determined.

MOUNJARO is contraindicated in patients with a personal or family history of MTC or in patients with MEN 2. Counsel patients regarding the potential risk for MTC with the use of MOUNJARO and inform them of symptoms of thyroid tumors (e.g., a mass in the neck, dysphagia, dyspnea, persistent hoarseness).

Routine monitoring of serum calcitonin or using thyroid ultrasound is of uncertain value for early detection of MTC in patients treated with MOUNJARO. Such monitoring may increase the risk of unnecessary procedures, due to the low test specificity for serum calcitonin and a high background incidence of thyroid disease. Significantly elevated serum calcitonin values may indicate MTC and patients with MTC usually have calcitonin values >50 ng/L. If serum calcitonin is measured and found to be elevated, the patient should be further evaluated. Patients with thyroid nodules noted on physical examination or neck imaging should also be further evaluated.

Warning: Risk of Thyroid C Cell Tumors
  • In both male and female rats, tirzepatide causes dose-dependent and treatment-duration-dependent thyroid C-cell tumors at clinically relevant exposures. It is unknown whether MOUNJARO causes thyroid C-cell tumors, including medullary thyroid carcinoma (MTC), in humans as human relevance of tirzepatide-induced rodent thyroid C-cell tumors has not been determined [see Warnings and Precautions (5.1) and Nonclinical Toxicology (13.1)].
  • MOUNJARO is contraindicated in patients with a personal or family history of MTC or in patients with Multiple Endocrine Neoplasia syndrome type 2 (MEN 2) [see Contraindications (4)] . Counsel patients regarding the potential risk for MTC with the use of MOUNJARO and inform them of symptoms of thyroid tumors (e.g., a mass in the neck, dysphagia, dyspnea, persistent hoarseness). Routine monitoring of serum calcitonin or using thyroid ultrasound is of uncertain value for early detection of MTC in patients treated with MOUNJARO [see Contraindications (4) and Warnings and Precautions (5.1)].
2.2 Important Administration Instructions
  • Inform patients and their caregiver(s) which MOUNJARO presentation (e.g., vial, pre-filled single-dose pen, single-patient-use KwikPen) they will receive and ensure they receive training appropriate for that specific presentation. If the prescribed MOUNJARO presentation changes, ensure patients and caregivers receive appropriate training and instruct them to consult the Instructions for Use for the newly prescribed presentation.
  • Prior to initiation, train patients and their caregiver(s) on proper injection technique for the prescribed MOUNJARO presentation [see Instructions for Use]. After training, a patient may self-inject MOUNJARO if the healthcare provider determines that it can be properly administered, except for the following:
    • MOUNJARO KwikPen is not recommended for self-administration by pediatric patients.
    • MOUNJARO KwikPen is not recommended for self-administration by those who are visually impaired.
  • Instruct patients using MOUNJARO vials to use a syringe appropriate for dose administration (e.g., a 1 mL syringe capable of measuring a 0.5 mL or 0.6 mL dose) and always use a new syringe and needle for each injection.
  • Administer MOUNJARO once weekly, any time of day, with or without meals.
  • Inject MOUNJARO subcutaneously in the abdomen, thigh, or another person should inject in the back of the upper arm.
  • Rotate injection sites with each dose.
  • Inspect MOUNJARO visually before use. It should appear clear and colorless to slightly yellow. Do not use MOUNJARO if particulate matter or discoloration is seen.
  • When using MOUNJARO with insulin, administer as separate injections and never mix. It is acceptable to inject MOUNJARO and insulin in the same body region, but the injections should not be adjacent to each other.
5.6 Severe Gastrointestinal Adverse Reactions

Use of MOUNJARO has been associated with gastrointestinal adverse reactions, sometimes severe [see Adverse Reactions (6)]. In the pool of placebo-controlled trials in adults, severe gastrointestinal adverse reactions occurred more frequently among patients receiving MOUNJARO (5 mg 1.3%, 10 mg 0.4%, 15 mg 1.2%) than placebo (0.9%). Severe gastrointestinal adverse reactions have also been reported postmarketing with GLP-1 receptor agonists.

MOUNJARO is not recommended in patients with severe gastroparesis.

Mounjaro Single Dose Pen Instructions for Use
INSTRUCTIONS FOR USE

MOUNJARO® (mown-JAHR-OH)

(tirzepatide)

injection, for subcutaneous use









2.5 mg/0.5 mL single-dose pen

5 mg/0.5 mL single-dose pen

7.5 mg/0.5 mL single-dose pen

10 mg/0.5 mL single-dose pen

12.5 mg/0.5 mL single-dose pen

15 mg/0.5 mL single-dose pen

use 1 time each week

Important information you need to know before injecting MOUNJARO

Read this Instructions for Use and the Medication Guide before using your MOUNJARO Pen and each time you get a refill. There may be new information. This information does not take the place of talking to your healthcare provider about your medical condition or treatment.

Talk to your healthcare provider about how to inject MOUNJARO the right way.

  • MOUNJARO is a single-dose prefilled pen.
  • MOUNJARO is used 1 time each week.
  • Inject under the skin (subcutaneously) only.
  • You or another person can inject into your stomach (abdomen) or thigh.
  • Another person can inject into the back of your upper arm.

Guide to parts

Preparing to inject MOUNJARO

Remove the Pen from the refrigerator.

Leave the gray base cap on until you are ready to inject.
Check the Pen label to make sure you have the right medicine and dose, and that it has not expired.





Inspect the Pen to make sure that it is not damaged.


Make sure the medicine:
  • is not frozen
  • is not cloudy
  • is colorless to slightly yellow
  • does not have particles
Wash your hands.
Step

1
Choose your injection site


Your healthcare provider can help you choose the injection site that is best for you.



You or another person can inject the medicine in your stomach (abdomen) or thigh.


Another person should give you the injection in the back of your upper arm.

Change (rotate) your injection site each week.

You may use the same area of your body but be sure to choose a different injection site in that area.
Step

2
Pull off the gray base cap
Make sure the Pen is locked.

Do not unlock the Pen until you place the clear base on your skin and are ready to inject.
Pull the gray base cap straight off and throw it away in your household trash.

Do not put the gray base cap back on – this could damage the needle.

Do not touch the needle.
Step

3
Place clear base on skin, then unlock


Place the clear base flat against your skin at the injection site.


Unlock by turning the lock ring.

Step

4

Press and hold up to 10 seconds


Press and hold the purple injection button for up to 10 seconds.

Listen for:

• First click = injection started

• Second click = injection completed


You will know your injection is complete when the gray plunger is visible.
After your injection, place the used Pen in a sharps container.
See Disposing of your used Pen.

Disposing of your used Pen

  • Put your used Pen in an FDA-cleared sharps disposal container right away after use. Do not throw away (dispose of) Pens in your household trash.



  • If you do not have an FDA-cleared sharps disposal container, you may use a household container that is:
    • -
      made of a heavy-duty plastic,
    • -
      can be closed with a tight-fitting, puncture-resistant lid, without sharps being able to come out,
    • -
      upright and stable during use,
    • -
      leak-resistant, and
    • -
      properly labeled to warn of hazardous waste inside the container.


  • When your sharps disposal container is almost full, you will need to follow your community guidelines for the right way to dispose of your sharps disposal container. There may be state or local laws about how you should throw away used needles and syringes. For more information about safe sharps disposal, and for specific information about sharps disposal in the state that you live in, go to the FDA's website at: http://www.fda.gov/safesharpsdisposal.



  • Do not recycle your used sharps disposal container.

Storage and handling

  • Store your Pen in the refrigerator between 36°F to 46°F (2°C to 8°C).



  • You may store your Pen at room temperature up to 86°F (30°C) for up to 21 days.



  • Do not freeze your Pen. If the Pen has been frozen, throw the Pen away and use a new Pen.



  • Store your Pen in the original carton to protect your Pen from light.



  • The Pen has glass parts. Handle it carefully. If you drop the Pen on a hard surface, do not use it. Use a new Pen for your injection.



  • Keep your MOUNJARO Pen and all medicines out of the reach of children.

Commonly asked questions

What if I see air bubbles in my Pen?

Air bubbles are normal.

What if my Pen is not at room temperature?

It is not necessary to warm the Pen to room temperature.

What if I unlock the Pen and press the purple injection button before pulling off the gray base cap?

Do not remove the gray base cap. Throw away the Pen and get a new Pen.

What if there is a drop of liquid on the tip of the needle when I remove the gray base cap?

A drop of liquid on the tip of the needle is normal. Do not touch the needle.

Do I need to hold the injection button down until the injection is complete?

This is not necessary, but it may help you keep the Pen steady against your skin.

I heard more than 2 clicks during my injection—2 loud clicks and 1 soft one. Did I get my complete injection?

Some people may hear a soft click right before the second loud click. That is the normal operation of the Pen. Do not remove the Pen from your skin until you hear the second loud click.

I am not sure if my Pen worked the right way.

Check to see if you have received your dose. Your dose was delivered the right way if the gray plunger is visible. Also, see Step 4 of the instructions.

If you do not see the gray plunger, contact Lilly at 1-800-Lilly-Rx (1-800-545-5979) for further instructions. Until then, store your Pen safely to avoid an accidental needle stick.

What if there is a drop of liquid or blood on my skin after my injection?

This is normal. Press a cotton ball or gauze over the injection site. Do not rub the injection site.

Other information

• If you have vision problems, do not use your Pen without help from a person trained to use the MOUNJARO Pen.

Where to learn more

• If you have questions or problems with your MOUNJARO Pen, contact Lilly at 1-800-Lilly-Rx (1-800-545-5979) or call your healthcare provider.

• For more information about the MOUNJARO Pen, visit our website at www.mounjaro.com.



Scan this code to launch

www.mounjaro.com

Marketed by:

Lilly USA, LLC

Indianapolis, IN 46285, USA

MOUNJARO is a registered trademark of Eli Lilly and Company.

Copyright © 2022, 2024, Eli Lilly and Company. All rights reserved.

This Instructions for Use has been approved by the U.S. Food and Drug Administration. Revised: May 2024

MOU-0003-IFU-20240516

Mounjaro Single Dose Vial Instructions for Use
INSTRUCTIONS FOR USE

MOUNJARO® [mown-JAHR-OH]

(tirzepatide)

injection, for subcutaneous use



2.5 mg/0.5 mL single-dose vial

5 mg/0.5 mL single-dose vial

7.5 mg/0.5 mL single-dose vial

10 mg/0.5 mL single-dose vial

12.5 mg/0.5 mL single-dose vial

15 mg/0.5 mL single-dose vial

Important information you need to know before injecting MOUNJARO

Read this Instructions for Use before you start taking MOUNJARO and each time you get a new vial. There may be new information. This information does not take the place of talking to your healthcare provider about your medical condition or your treatment.

Do not share your needles or syringes with other people. You may give other people a serious infection or get a serious infection from them.

Talk to your healthcare provider about how to inject MOUNJARO the right way.

  • MOUNJARO is a single-dose vial.
  • MOUNJARO is used 1 time each week.
  • Inject under the skin (subcutaneously) only.
  • You or another person may inject into your stomach (abdomen) or thigh.
  • Another person can inject into the back of your upper arm.

Gather supplies needed to give your injection

  • 1 single-dose MOUNJARO vial
  • 1 syringe and 1 needle, supplied separately (for example, use a 1 mL syringe and needle as recommended by your healthcare provider)
  • 1 alcohol swab
  • gauze
  • 1 sharps container for throwing away used needles and syringes. See “Disposing of used needles and syringes” at the end of these instructions.
Guide to parts



Vial
Needle and Syringe (not included)

Note: The needle and syringe are not included. The needle and syringe recommended by your healthcare provider may look different than the needle and syringe in this Instructions for Use.

Preparing to inject MOUNJARO

Remove the vial from the refrigerator.

Check the vial label to make sure you have the right medicine and dose, and that it has not expired.

Make sure the medicine:

  • is not frozen
  • is not cloudy
  • is colorless to slightly yellow
  • does not have particles

Always use a new syringe and needle for each injection to prevent infections and blocked needles. Do not reuse or share your syringes or needles with other people. You may give other people a serious infection or get a serious infection from them.

Wash your hands with soap and water.

Step 1:

Pull off the plastic protective cap. Do not remove the rubber stopper.
Step 2:

Wipe the rubber stopper with an alcohol swab.
Step 3:

Remove the outer wrapping from the syringe.
Step 4:

Remove the outer wrapping from the needle.

The syringe that your healthcare provider recommended may have a pre-attached needle. If the needle is attached, skip to step 6.
Step 5:

Place the needle on top of the syringe and turn until it is tight and firmly attached.
Step 6:

Remove the needle shield by pulling straight off.
Step 7:

Hold the syringe in one hand with the needle pointing up. With the other hand pull down on the plunger until the plunger tip reaches the line on the syringe indicating that 0.5 mL of air has been drawn into the syringe.
Step 8:

Push the needle through the rubber stopper of the vial.


Step 9:

Push the plunger all the way in. This puts air into the vial and makes it easier to pull the solution from the vial.


Step 10:

Turn the vial and syringe upside down. Make sure that the tip of the needle is in the liquid and slowly pull the plunger down until the plunger tip is past the 0.5 mL line.

If there are air bubbles, tap the syringe gently a few times to let any air bubbles rise to the top.
Step 11:

Slowly push the plunger up until the plunger tip reaches the 0.5 mL line.
Step 12:

Pull the syringe out of the rubber stopper of the vial.

Injecting MOUNJARO

  • Inject exactly as your healthcare provider has shown you. Your healthcare provider should tell you if you should pinch the skin before injecting.
  • Change (rotate) your injection site within the area you choose for each dose to reduce your risk of getting lipodystrophy (pits in skin or thickened skin) and localized cutaneous amyloidosis (skin with lumps) at the injection sites.
  • Do not inject where the skin has pits, is thickened, or has lumps.
  • Do not inject where the skin is tender, bruised, scaly or hard, or into scars or damaged skin.
  • Do not mix MOUNJARO with any other medicine.
  • Do not inject MOUNJARO in the same injection site used for other medicines.
Step 13:

Choose your injection site.

You can inject MOUNJARO under the skin (subcutaneously) of your stomach area (abdomen) or thighs.

Someone else can inject in your stomach area, thighs, or the back of the upper arms.
Step 14:

Insert the needle into your skin.
Step 15:

Push down on the plunger to inject your dose.

The needle should stay in your skin for at least 5 seconds to make sure you have injected all of your dose.
Step 16:

Pull the needle out of your skin.

  • If you see blood after you take the needle out of your skin, press the injection site with a piece of gauze or an alcohol swab. Do not rub the area.
  • Do not recap the needle. Recapping the needle can lead to a needle stick injury.

Disposing of used needles and syringes

  • Put your used needle and syringe in an FDA-cleared sharps disposal container right away after use. Do not throw away (dispose of) loose needles and syringes in your household trash.
  • If you do not have an FDA-cleared sharps disposal container, you may use a household container that is:
    • -
      made of a heavy-duty plastic,
    • -
      can be closed with a tight-fitting, puncture-resistant lid, without sharps being able to come out,
    • -
      upright and stable during use,
    • -
      leak-resistant, and
    • -
      properly labeled to warn of hazardous waste inside the container.
  • When your sharps disposal container is almost full, you will need to follow your community guidelines for the right way to dispose of your sharps disposal container. There may be state or local laws about how you should throw away used needles and syringes. For more information about safe sharps disposal, and for specific information about sharps disposal in the state that you live in, go to the FDA’s website at:

    http://www.fda.gov/safesharpsdisposal.
  • Do not dispose of your used sharps disposal container in your household trash unless your community guidelines permit this. Do not recycle your used sharps disposal container.

Storing MOUNJARO

  • Store all unopened vials in the refrigerator at 36°F to 46°F (2°C to 8°C).
  • You may store the unopened vial at room temperature up to 86°F (30°C) for up to 21 days.
  • Do not freeze. Do not use if MOUNJARO has been frozen.
  • Store the vial in the original carton to protect from light.
  • Throw away all opened vials after use, even if there is medicine left in the vial.

Keep MOUNJARO vials, syringes, needles, and all medicines out of the reach of children.

If you have any questions or problems with your MOUNJARO, contact Lilly at 1-800-Lilly-Rx (1-800-545-5979) or call your healthcare provider for help.

Marketed by:

Lilly USA, LLC

Indianapolis, IN 46285, USA

MOUNJARO is a registered trademark of Eli Lilly and Company.

Copyright © 2023, 2024, Eli Lilly and Company. All rights reserved.

MON-VL-0002-IFU-20240229

This Instructions for Use has been approved by the U.S. Food and Drug Administration.

Revised: February 2024

5.5 Acute Kidney Injury Due to Volume Depletion

There have been postmarketing reports of acute kidney injury, in some cases requiring hemodialysis, in patients treated with GLP-1 receptor agonists, or MOUNJARO. The majority of the reported events occurred in patients who experienced gastrointestinal adverse reactions leading to dehydration such as nausea, vomiting, or diarrhea [see Adverse Reactions (6)].

Monitor renal function in patients reporting adverse reactions to MOUNJARO that could lead to volume depletion, especially during dosage initiation and escalation of MOUNJARO.

Mounjaro Multiple Dose Vial Instructions for Use

INSTRUCTIONS FOR USE

MOUNJARO ® [mown-JAHR-OH]

(tirzepatide)

injection, for subcutaneous use

Multi-dose vial

Each vial contains 4 doses, one dose taken weekly.

Important information you need to know before injecting MOUNJARO

Read this Instructions for Use before you start taking MOUNJARO and each time you get a new vial. There may be new information. This information does not take the place of talking to your healthcare provider about your medical condition or your treatment.

Do not share your needles or syringes with other people.

Talk to your healthcare provider about how to inject MOUNJARO the right way.

  • MOUNJARO is a multi-dose vial. The vial contains 4 doses, one dose taken weekly.
  • Inject 0.6 mL in a single weekly injection, under the skin (subcutaneously).
  • You or another person may inject into your stomach (abdomen) or thigh.
  • Another person can inject into the back of your upper arm.

Gather supplies needed to give your injection

  • 1 multi-dose MOUNJARO vial
  • 1 syringe and 1 needle, supplied separately (for example, use a 1 mL syringe and needle as recommended by your healthcare provider)
  • 1 alcohol swab
  • gauze
  • 1 sharps container for throwing away used needles and syringes. See “Disposing of used needles and syringes” at the end of these instructions.
Guide to parts
Vial Needle and Syringe (not included)

Note: The needle and syringe are not included. The needle and syringe recommended by your healthcare provider may look different than the needle and syringe in this Instructions for Use.

Preparing to inject MOUNJARO

Check the vial label to make sure you have the right medicine and dose, and that it has not expired.

Make sure the medicine:

  • is not frozen
  • is colorless to slightly yellow
  • is not cloudy
  • does not have particles

Always use a new syringe and needle for each injection to prevent infections and blocked needles. Do not reuse or share your syringes or needles with other people. You may give other people a serious infection or get a serious infection from them.

Wash your hands with soap and water.

Step 1:

If you are using a new vial, pull off the plastic protective cap. Do not remove the rubber stopper.
Step 2:

Wipe the rubber stopper with an alcohol swab.
Step 3:

Remove the outer wrapping from the syringe.
Step 4:

Remove the outer wrapping from the needle.

The syringe that your healthcare provider recommended may have a pre-attached needle. If the needle is attached, skip to step 6.
Step 5:

Place the needle on top of the syringe and turn until it is tight and firmly attached.
Step 6:

Remove the needle shield by pulling straight off.
Step 7:

Hold the syringe in one hand with the needle pointing up. With the other hand pull down on the plunger until the plunger tip reaches the line on the syringe indicating that 0.6 mL of air has been drawn into the syringe.
Step 8:

Push the needle through the rubber stopper of the vial.
Step 9:

Push the plunger all the way in. This puts air into the vial and makes it easier to pull the solution from the vial.
Step 10:

Turn the vial and syringe upside down. Make sure that the tip of the needle is in the liquid and slowly pull the plunger down until the plunger tip is past the 0.6 mL line.

If there are air bubbles, tap the syringe gently a few times to let any air bubbles rise to the top.
Step 11:

Slowly push the plunger up until the plunger tip reaches the 0.6 mL line.
Step 12:

Pull the syringe out of the rubber stopper of the vial.

Injecting MOUNJARO

  • Inject exactly as your healthcare provider has shown you. Your healthcare provider should tell you if you should pinch the skin before injecting.
  • Change (rotate) your injection site within the area you choose for each dose to reduce your risk of getting lipodystrophy (pits in skin or thickened skin) and localized cutaneous amyloidosis (skin with lumps) at the injection sites.
  • Do not inject where the skin has pits, is thickened, or has lumps.
  • Do not inject where the skin is tender, bruised, scaly or hard, or into scars or damaged skin.
  • Do not mix MOUNJARO with any other medicine.
  • Do not inject MOUNJARO in the same injection site used for other medicines.
Step 13:

Choose your injection site.

You can inject MOUNJARO under the skin (subcutaneously) of your stomach area (abdomen) or thighs.

Someone else can inject in your stomach area, thighs, or the back of the upper arms.
Step 14:

Insert the needle into your skin.
Step 15:

Push down on the plunger to inject your dose.

The needle should stay in your skin for at least 5 seconds to make sure you have injected all of your dose.
Step 16:

Pull the needle out of your skin.

  • If you see blood after you take the needle out of your skin, press the injection site with a piece of gauze. Do not rub the area.
  • Do not recap the needle. Recapping the needle can lead to a needle stick injury.

Disposing of used needles and syringes

  • Put your used needle and syringe in an FDA-cleared sharps disposal container right away after use. Do not throw away (dispose of) loose needles and syringes in your household trash.
  • If you do not have an FDA-cleared sharps disposal container, you may use a household container that is:
    • -
      made of a heavy-duty plastic,
    • -
      can be closed with a tight-fitting, puncture-resistant lid, without sharps being able to come out,
    • -
      upright and stable during use,
    • -
      leak-resistant, and
    • -
      properly labeled to warn of hazardous waste inside the container.
  • When your sharps disposal container is almost full, you will need to follow your community guidelines for the right way to dispose of your sharps disposal container. There may be state or local laws about how you should throw away used needles and syringes. For more information about safe sharps disposal, and for specific information about sharps disposal in the state that you live in, go to the FDA's website at:

    http://www.fda.gov/safesharpsdisposal.
  • Do not dispose of your used sharps disposal container in your household trash unless your community guidelines permit this. Do not recycle your used sharps disposal container.

Storing MOUNJARO

  • Do not freeze. Do not use if MOUNJARO has been frozen.
  • Store MOUNJARO in the original carton. Keep away from light.

Unopened vial:

  • Store unopened vial in the refrigerator at 36°F to 46°F (2°C to 8°C). It can be used until the expiration date on the label if kept in the refrigerator.
  • If stored at room temperature [up to 86°F (30°C)], throw away unopened vial after 30 days.

After vial has been opened:

  • Store opened (in-use) vial in the original carton in the refrigerator at 36°F to 46°F (2°C to 8°C) or at room temperature [up to 86°F (30°C)]. Throw away opened vial after a total of 30 days at room temperature, 30 days after first use, or after taking 4 weekly doses, even if there is medicine left in it.

Keep MOUNJARO vials, syringes, needles, and all medicines out of the reach of children.

If you have any questions or problems with your MOUNJARO, contact Lilly at 1-800-Lilly-Rx (1-800-545-5979) or call your healthcare provider for help.

Marketed by:

Lilly USA, LLC

Indianapolis, IN 46285, USA

MOUNJARO is a registered trademark of Eli Lilly and Company.

Copyright © 2026, Eli Lilly and Company. All rights reserved.

MON-MDV-0001-IFU-20260107

This Instructions for Use has been approved by the U.S. Food and Drug Administration.

Revised: January 2026

Mounjaro Kwikpen Multi Dose Pen Instructions for Use

INSTRUCTIONS FOR USE

MOUNJARO® [mown-JAHR-OH] KwikPen ® [KWIHK pehn]

(tirzepatide)

injection, for subcutaneous use

multi-dose single-patient-use prefilled pen

Each pen contains 4 fixed doses, one dose taken weekly.

This Instructions for Use contains information on how to inject MOUNJARO.

Important information you need to know before injecting MOUNJARO

Read this INSTRUCTIONS FOR USE before you start injecting MOUNJARO KwikPen (Pen) and each time you get another new Pen. There may be new information. This information does not take the place of talking to your healthcare provider about your medical condition or your treatment.

  • MOUNJARO KwikPen is a disposable multi-dose single-patient-use prefilled pen. The Pen contains 4 fixed doses, one dose taken weekly. Inject a single weekly injection, under the skin (subcutaneously).
  • For your weekly dose, you need to turn the dose knob all the way until it stops AND the

    icon is in dose window.

  • After 4 doses, throw away (discard) the Pen, including the unused medicine. The Pen will prevent you from dialing a full dose after you have given yourself 4 weekly doses. Do not inject the leftover medicine. Do not transfer MOUNJARO from your Pen into a syringe.
  • Do not share your MOUNJARO Pen with other people, even if the pen needle has been changed. You may give other people a serious infection or get a serious infection from them.
  • People who are blind or have vision problems should not use the Pen without help from a person trained to use the Pen.
Guide to parts

Parts of the MOUNJARO Pen

Supplies needed to give your injection
  • MOUNJARO KwikPen
  • KwikPen-compatible Pen Needle (not included)
  • Alcohol swab
  • Gauze or cotton ball
  • FDA-cleared sharps disposal container or household container
Preparing to inject MOUNJARO
Step 1:

  • Wash your hands with soap and water.
Step 2:

  • Pull the Pen cap straight off.
  • Inspect the Pen and label. Do not use if:
    • the medicine name or dose strength does not match your prescription.
    • the Pen is expired (EXP) or looks damaged.
    • the medicine has been frozen, has particles, is cloudy, or is discolored. MOUNJARO should be colorless to slightly yellow.
Step 3:

  • Wipe the red inner seal with an alcohol swab.
Step 4:

  • Select a new pen needle. Always use a new pen needle for each injection to help prevent infections and blocked needles.
  • Pull off the paper tab from the outer needle shield.
Step 5:

  • Push the capped pen needle straight onto the Pen and twist the pen needle on until it is tight.
Step 6:

  • Pull off the outer needle shield and keep it. This will be reused.
  • Pull off the inner needle shield. Put it in your household trash.
a. Outer needle shield b. Inner needle shield

Priming your Pen
Prime before each weekly injection. Priming removes air from the cartridge and makes sure that your Pen is working correctly.
Step 7:
  • Slowly turn the dose knob until you hear 2 clicks and the

    extended line is shown in the dose window.

    This is the prime position. It can be corrected by turning the dose knob in either direction until the prime position lines up to the dose indicator.

Step 8:

  • Hold your Pen with the needle pointing up.
  • Tap the cartridge holder gently to collect air bubbles at the top.
Step 9:

  • Release some medicine into the air by pushing the dose knob in until it stops, then slowly count to 5 while holding the dose knob. The

    icon must be shown in the dose window. Do not inject into your body.

    Your Pen has been primed if a small amount (a drop) of medicine comes out of the tip of the pen needle.

    • If you do not see medicine, repeat steps 7-9, no more than 2 additional times.
    • If you still do not see medicine, then change the pen needle and repeat steps 7-9, no more than 1 additional time.
    • If you still do not see medicine, contact Lilly at

      1-800-LillyRx (1-800-545-5979).
Injecting MOUNJARO
Step 10:

  • Choose an injection site.
    • You or another person can inject the medicine in your thigh or stomach (abdomen) at least 2 inches from the belly button.
    • Another person should give you the injection in the back of your upper arm.
  • Change (rotate) your injection site each week. You may use the same area of your body but be sure to choose a different injection site in that area.
a. Front        b. Back
Step 11:
  • Turn the dose knob all the way until it stops AND the

    icon is in the dose window. This is your weekly dose.



    Do not count clicks as you select the dose.

Step 12:

  • Insert the needle into your skin.









  • Inject the medicine by pushing the dose knob in until it stops then slowly count to 5 while holding the dose knob. You may notice the plunger moving with each injection. The

    icon must be shown in the dose window before removing the needle.

Step 13:

  • Pull the needle out of your skin. A drop of medicine on the needle tip is normal. It will not affect your dose.
  • Confirm the

    icon is in the dose window.

    If you see the
    icon in the dose window, you have received the full dose.

    If you do not see the
    icon in the dose window, insert the needle back into your skin and finish your injection. Do not redial the dose.

    If you still do not think you received the full dose, do not start over or repeat the injection. See “Troubleshooting” section for more information.

After your MOUNJARO injection
Step 14:

  • If you see blood after you pull the needle out of your skin, lightly press the injection site with gauze or a cotton ball.

    Do not rub the injection site.
Step 15:

  • Carefully replace the outer needle shield.
Step 16:

  • Unscrew the capped needle and put the needle in a sharps container (see "Disposing of MOUNJARO KwikPen and pen needles" section).

    Do not store the Pen with the needle attached to prevent leaking, blocking the needle, and air from entering the Pen.
Step 17:

  • Replace the Pen cap.

    Do not store the Pen without the Pen cap attached.
Storing your MOUNJARO KwikPen

Unused Pens:

  • Store unused Pens in the refrigerator between 36°F to 46°F (2°C to 8°C).
  • Unused Pens may be used until the expiration date (EXP) printed on the label if the Pen has been kept in the refrigerator.
  • Do not freeze your Pen. Throw away (discard) the Pen if it has been frozen.

Used Pens:

  • You may store your used Pen at room temperature up to 86°F (30°C) after your injection.
  • Keep away from heat and light.
  • Keep your Pen and needles out of the sight and reach of children.
  • Throw away the Pen 30 days after first use even though the Pen has medicine left in it.
  • Throw away the Pen after receiving 4 weekly doses. Attempting to inject any leftover medicine could result in an incomplete dose even though the Pen still has medicine left in it.
Disposing of MOUNJARO KwikPen and pen needles
  • Put your used pen needles in an FDA-cleared sharps disposal container right away after use.
  • Do not throw away (discard) loose pen needles in your household trash.
  • Discard the used Pen in your household trash or FDA-cleared sharps disposal container after you have removed the needle.
  • If you do not have an FDA-cleared sharps disposal container, you may use a household container that is:
    • made of a heavy-duty plastic,
    • can be closed with a tight-fitting, puncture-resistant lid, without sharps being able to come out,
    • upright and stable during use,
    • leak-resistant, and
    • properly labeled to warn of hazardous waste inside the container.
  • When your sharps disposal container is almost full, you will need to follow your community guidelines for the right way to dispose of your sharps disposal container. There may be state or local laws about how you should throw away (discard) used needles. For more information about safe sharps disposal, and for specific information about sharps disposal in the state you live in, go to the FDA's website at: http://www.fda.gov/safesharpsdisposal.
  • Do not dispose of your used sharps disposal container in your household trash unless your community guidelines permit this. Do not recycle your used sharps disposal container.
Troubleshooting
  • If you cannot remove the Pen cap, gently twist the Pen cap back and forth, and then pull the Pen cap straight off.
  • If the dose knob is hard to push:
    • pushing the dose knob more slowly will make it easier to inject.
    • your needle may be blocked. Put on a new pen needle and prime the Pen.
    • you may have dust, food, or liquid inside the Pen. Throw the Pen away and get a new Pen.
  • If the Pen prevents you from turning the dose knob until the

    is in the dose window:

    • Throw away (discard) the Pen, including the unused medicine. There may not be enough medicine left in the pen to give a full dose. Do not attempt to inject the leftover medicine.

Additional Information:

If you have any questions or problems with MOUNJARO KwikPen:

  • Call your healthcare provider
  • Call 1-800-Lilly-Rx (1-800-545-5979)
  • Visit www.mounjaro.com
Scan this code to launch

www.mounjaro.com

MOUNJARO® and KwikPen® are registered trademarks of Eli Lilly and Company.

Marketed by:

Lilly USA, LLC

Indianapolis, IN 46285, USA

Copyright ©2026, Eli Lilly and Company. All rights reserved.

MOUNJARO KwikPen meets the current dose accuracy and functional requirements of ISO 11608-1.

This Instructions for Use has been approved by the U.S. Food and Drug Administration.

Revised: January 2026

MOUKP-0002-IFU-20260121

Medication Calendar
Use MOUNJARO 1 time a week.

Write the day of the week you choose to inject. Inject on this day each week (Example: Monday).
I inject my weekly dose on the dates below.
(Month/Day) (Month/Day) (Month/Day) (Month/Day)
 
13.1 Carcinogenesis, Mutagenesis, Impairment of Fertility

A 2-year carcinogenicity study was conducted with tirzepatide in male and female rats at doses of 0.15, 0.50, and 1.5 mg/kg (0.1-, 0.4-, and 1-fold the MRHD of 15 mg once weekly based on AUC) administered by subcutaneous injection twice weekly. A statistically significant increase in thyroid C-cell adenomas was observed in males (≥0.5 mg/kg) and females (≥0.15 mg/kg), and a statistically significant increase in thyroid C-cell adenomas and carcinomas combined was observed in males and females at all doses examined. In a 6-month carcinogenicity study in rasH2 transgenic mice, tirzepatide at doses of 1, 3, and 10 mg/kg administered by subcutaneous injection twice weekly was not tumorigenic.

Tirzepatide was not genotoxic in a rat bone marrow micronucleus assay.

In fertility and early embryonic development studies, male and female rats were administered twice weekly subcutaneous doses of 0.5, 1.5, or 3 mg/kg (0.3-, 1-, and 2-fold and 0.3-, 0.9-, and 2-fold, respectively, the MRHD of 15 mg once weekly based on AUC). No effects of tirzepatide were observed on sperm morphology, mating, fertility, and conception. In female rats, an increase in the number of females with prolonged diestrus and a decrease in the mean number of corpora lutea resulting in a decrease in the mean number of implantation sites and viable embryos was observed at all dose levels. These effects were considered secondary to the pharmacological effects of tirzepatide on food consumption and body weight.

Package Label Mounjaro Single Dose Vial 5 Mg/0.5 Ml Dose

NDC 0002-1243-01

Mounjaro®

(tirzepatide) injection

5 mg/0.5 mL

Single-dose Vial - discard unused portion

Rx Only

For Subcutaneous Use

Needles and Syringes are not included

Dispense enclosed Medication Guide to each patient.

Lilly

Package Label Mounjaro Single Dose Vial 10 Mg/0.5 Ml Dose

NDC 0002-2340-01

Mounjaro®

(tirzepatide) injection

10 mg/0.5 mL

Single-dose Vial - discard unused portion

Rx Only

For Subcutaneous Use

Needles and Syringes are not included

Dispense enclosed Medication Guide to each patient.

Lilly

Package Label Mounjaro Single Dose Vial 15 Mg/0.5 Ml Dose

NDC 0002-3002-01

Mounjaro®

(tirzepatide) injection

15 mg/0.5 mL

Single-dose Vial - discard unused portion

Rx Only

For Subcutaneous Use

Needles and Syringes are not included

Dispense enclosed Medication Guide to each patient.

Lilly

Package Label Mounjaro Single Dose Vial 2.5 Mg/0.5 Ml Dose

NDC 0002-1152-01

Mounjaro®

(tirzepatide) injection

2.5 mg/0.5 mL

Single-dose Vial - discard unused portion

Rx Only

For Subcutaneous Use

Needles and Syringes are not included

Dispense enclosed Medication Guide to each patient.

Lilly

Package Label Mounjaro Single Dose Vial 7.5 Mg/0.5 Ml Dose

NDC 0002-2214-01

Mounjaro®

(tirzepatide) injection

7.5 mg/0.5 mL

Single-dose Vial - discard unused portion

Rx Only

For Subcutaneous Use

Needles and Syringes are not included

Dispense enclosed Medication Guide to each patient.

Lilly

Package Label Mounjaro Single Dose Vial 12.5 Mg/0.5 Ml Dose

NDC 0002-2423-01

Mounjaro®

(tirzepatide) injection

12.5 mg/0.5 mL

Single-dose Vial - discard unused portion

Rx Only

For Subcutaneous Use

Needles and Syringes are not included

Dispense enclosed Medication Guide to each patient.

Lilly

5.9 Pulmonary Aspiration During General Anesthesia Or Deep Sedation

MOUNJARO delays gastric emptying [see Clinical Pharmacology (12.2)]. There have been rare postmarketing reports of pulmonary aspiration in patients receiving GLP-1 receptor agonists undergoing elective surgeries or procedures requiring general anesthesia or deep sedation who had residual gastric contents despite reported adherence to preoperative fasting recommendations.

Available data are insufficient to inform recommendations to mitigate the risk of pulmonary aspiration during general anesthesia or deep sedation in patients taking MOUNJARO, including whether modifying preoperative fasting recommendations or temporarily discontinuing MOUNJARO could reduce the incidence of retained gastric contents. Instruct patients to inform healthcare providers prior to any planned surgeries or procedures if they are taking MOUNJARO.

Package Label Mounjaro Prefilled Pen (autoinjector) 5 Mg/0.5 Ml Dose

NDC 0002-1495-80

Mounjaro®

(tirzepatide) injection

5 mg/0.5 mL

Use one pen every week.

4 Single-dose prefilled pens

4 x 5 mg/0.5 mL prefilled pens

Rx Only

For Subcutaneous Use

Dispense enclosed Medication Guide to each patient.

Lilly

5.3 Hypoglycemia With Concomitant Use of Insulin Secretagogues Or Insulin

Patients receiving MOUNJARO in combination with an insulin secretagogue (e.g., sulfonylurea) or insulin may have an increased risk of hypoglycemia, including severe hypoglycemia [see Adverse Reactions (6.1), Drug Interactions (7.1)].

The risk of hypoglycemia may be lowered by a reduction in the dose of sulfonylurea (or other concomitantly administered insulin secretagogue) or insulin. Inform patients using these concomitant medications of the risk of hypoglycemia and educate them on the signs and symptoms of hypoglycemia.

Package Label Mounjaro Prefilled Pen (autoinjector) 10 Mg/0.5 Ml Dose

NDC 0002-1471-80

Mounjaro®

(tirzepatide) injection

10 mg/0.5 mL

Use one pen every week.

4 Single-dose prefilled pens

4 x 10 mg/0.5 mL prefilled pens

Rx Only

For Subcutaneous Use

Dispense enclosed Medication Guide to each patient.

Lilly

Package Label Mounjaro Prefilled Pen (autoinjector) 15 Mg/0.5 Ml Dose

NDC 0002-1457-80

Mounjaro®

(tirzepatide) injection

15 mg/0.5 mL

Use one pen every week.

4 Single-dose prefilled pens

4 x 15 mg/0.5 mL prefilled pens

Rx Only

For Subcutaneous Use

Dispense enclosed Medication Guide to each patient.

Lilly

Package Label Mounjaro Prefilled Pen (autoinjector) 2.5 Mg/0.5 Ml Dose

NDC 0002-1506-80

Mounjaro®

(tirzepatide) injection

2.5 mg/0.5 mL

Use one pen every week.

4 Single-dose prefilled pens

4 x 2.5 mg/0.5 mL prefilled pens

Rx Only

For Subcutaneous Use

Dispense enclosed Medication Guide to each patient.

Lilly

Package Label Mounjaro Prefilled Pen (autoinjector) 7.5 Mg/0.5 Ml Dose

NDC 0002-1484-80

Mounjaro®

(tirzepatide) injection

7.5 mg/0.5 mL

Use one pen every week.

4 Single-dose prefilled pens

4 x 7.5 mg/0.5 mL prefilled pens

Rx Only

For Subcutaneous Use

Dispense enclosed Medication Guide to each patient.

Lilly

Package Label Mounjaro Prefilled Pen (autoinjector) 12.5 Mg/0.5 Ml Dose

NDC 0002-1460-80

Mounjaro®

(tirzepatide) injection

12.5 mg/0.5 mL

Use one pen every week.

4 Single-dose prefilled pens

4 x 12.5 mg/0.5 mL prefilled pens

Rx Only

For Subcutaneous Use

Dispense enclosed Medication Guide to each patient.

Lilly

14.2 Monotherapy Use of Mounjaro in Adult Patients With Type 2 Diabetes Mellitus

SURPASS-1 (NCT03954834) was a 40-week double-blind trial that randomized 478 adult patients with type 2 diabetes mellitus with inadequate glycemic control with diet and exercise to subcutaneous MOUNJARO 5 mg, MOUNJARO 10 mg, MOUNJARO 15 mg, or placebo once weekly.

Patients had a mean age of 54 years, and 52% were men. The mean duration of type 2 diabetes mellitus was 4.7 years, and the mean BMI was 32 kg/m2. Overall, 36% were White, 35% were Asian, 25% were American Indians/Alaska Natives, and 5% were Black or African American; 43% identified as Hispanic or Latino ethnicity.

Monotherapy with MOUNJARO 5 mg, 10 mg and 15 mg once weekly for 40 weeks resulted in a statistically significant reduction in HbA1c compared with placebo (see Table 4).

Table 4: Results at Week 40 in a Trial of MOUNJARO as Monotherapy in Adult Patients with Type 2 Diabetes Mellitus with Inadequate Glycemic Control with Diet and Exercise

a The modified intent-to-treat population consists of all randomly assigned participants who were exposed to at least 1 dose of study drug. Patients who discontinued study treatment because they did not meet study enrollment criteria were excluded. During the trial, rescue medication (additional antihyperglycemic medication) was initiated by 25%, 2%, 3%, and 2% of patients randomized to placebo, MOUNJARO 5 mg, 10 mg, and 15 mg, respectively. At Week 40 the HbA1c data were missing for 12%, 6%, 7%, and 14% of patients randomized to placebo, MOUNJARO 5 mg, 10 mg, and 15 mg, respectively. Missing Week 40 data were imputed using placebo-based multiple imputation.

b Least-squares mean from ANCOVA adjusted for baseline value and other stratification factors.

c p<0.001 (two-sided) for superiority versus placebo, adjusted for multiplicity.

d Analyzed using logistic regression adjusted for baseline value and other stratification factors.

Placebo MOUNJARO

5 mg
MOUNJARO

10 mg
MOUNJARO

15 mg
Modified Intent-to-Treat (mITT) Population (N)a 113 121 121 120
HbA1c (%)
     Baseline (mean) 8.1 8.0 7.9 7.9
     Change at Week 40b -0.1 -1.8 -1.7 -1.7
     Difference from placebob (95% CI) -- -1.7c

(-2.0, -1.4)
-1.6c

(-1.9, -1.3)
-1.6c

(-1.9, -1.3)
Patients (%) achieving HbA1c <7%d 23 82c 85c 78c
Fasting Serum Glucose (mg/dL)
     Baseline (mean) 155 154 153 154
     Change at Week 40b 4 -40 -40 -39
     Difference from

     placebob (95% CI)
-- -43c

(-55, -32)
-43c

(-55, -32)
-42c

(-54, -30)
Body Weight (kg)
     Baseline (mean) 84.5 87.0 86.2 85.5
     Change at Week 40b -1.0 -6.3 -7.0 -7.8
     Difference from

     placebob (95% CI)
-- -5.3c

(-6.8, -3.9)
-6.0c

(-7.4, -4.6)
-6.8c

(-8.3, -5.4)
7.1 Concomitant Use With An Insulin Secretagogue (e.g., Sulfonylurea) Or With Insulin

When initiating MOUNJARO, consider reducing the dose of concomitantly administered insulin secretagogues (e.g., sulfonylureas) or insulin to reduce the risk of hypoglycemia [see Warnings and Precautions (5.3)].

Package Label Mounjaro Multi Dose Vial 15 Mg/0.6 Ml Dose (60 Mg/2.4 Ml[25 Mg/ml])

Rx Only

NDC 0002-4612-11

Mounjaro

(tirzepatide) injection

60 mg/2.4 mL

(25 mg/mL)

ATTENTION:

Contains 4 doses of 15 mg/0.6 mL

2.4 mL MULTI-DOSE VIAL

For Subcutaneous Use

Needles and Syringes are not included

Dispense enclosed Medication Guide to each patient.

Lilly

Package Label Mounjaro Multi Dose Vial 5 Mg/0.6 Ml Dose (20 Mg/2.4 Ml [8.33 Mg/ml])

Rx Only

NDC 0002-4103-11

Mounjaro

(tirzepatide) injection

20 mg/2.4 mL

(8.33 mg/mL)

ATTENTION:

Contains 4 doses of 5 mg/0.6 mL

2.4 mL MULTI-DOSE VIAL

For Subcutaneous Use

Needles and Syringes are not included

Dispense enclosed Medication Guide to each patient.

Lilly

Package Label Mounjaro Multi Dose Vial 10 Mg/0.6 Ml Dose (40 Mg/2.4 Ml [16.7 Mg/ml])

Rx Only

NDC 0002-4304-11

Mounjaro

(tirzepatide) injection

40 mg/2.4 mL

(16.7 mg/mL)

ATTENTION:

Contains 4 doses of 10 mg/0.6 mL

2.4 mL MULTI-DOSE VIAL

For Subcutaneous Use

Needles and Syringes are not included

Dispense enclosed Medication Guide to each patient.

Lilly

5.7 Diabetic Retinopathy Complications in Patients With A History of Diabetic Retinopathy

Rapid improvement in glucose control has been associated with a temporary worsening of diabetic retinopathy. MOUNJARO has not been studied in patients with non-proliferative diabetic retinopathy requiring acute therapy, proliferative diabetic retinopathy, or diabetic macular edema. Patients with a history of diabetic retinopathy should be monitored for progression of diabetic retinopathy.

Package Label Mounjaro Multi Dose Vial 2.5 Mg/0.6 Ml Dose (10 Mg/2.4 Ml [4.17 Mg/ml])

Rx Only

NDC 0002-4052-11

Mounjaro

(tirzepatide) injection

10 mg/2.4 mL

(4.17 mg/mL)

ATTENTION:

Contains 4 doses of 2.5 mg/0.6 mL

2.4 mL MULTI-DOSE VIAL

For Subcutaneous Use

Needles and Syringes are not included

Dispense enclosed Medication Guide to each patient.

Lilly

Package Label Mounjaro Multi Dose Vial 7.5 Mg/0.6 Ml Dose (30 Mg/2.4 Ml [12.5 Mg/ml])

Rx Only

NDC 0002-4210-11

Mounjaro

(tirzepatide) injection

30 mg/2.4 mL

(12.5 mg/mL)

ATTENTION:

Contains 4 doses of 7.5 mg/0.6 mL

2.4 mL MULTI-DOSE VIAL

For Subcutaneous Use

Needles and Syringes are not included

Dispense enclosed Medication Guide to each patient.

Lilly

Package Label Mounjaro Multi Dose Vial 12.5 Mg/0.6 Ml Dose (50 Mg/2.4 Ml [20.8 Mg/ml])

Rx Only

NDC 0002-4523-11

Mounjaro

(tirzepatide) injection

50 mg/2.4 mL

(20.8 mg/mL)

ATTENTION:

Contains 4 doses of 12.5 mg/0.6 mL

2.4 mL MULTI-DOSE VIAL

For Subcutaneous Use

Needles and Syringes are not included

Dispense enclosed Medication Guide to each patient.

Lilly

14.4 Mounjaro Use in Combination With Basal Insulin With Or Without Metformin in Adult Patients With Type 2 Diabetes Mellitus

SURPASS-5 (NCT04039503) was a 40-week double-blind trial that randomized 475 adult patients with type 2 diabetes mellitus with inadequate glycemic control on insulin glargine 100 units/mL, with or without metformin, to subcutaneous MOUNJARO 5 mg, MOUNJARO 10 mg, MOUNJARO 15 mg once weekly, or placebo. The dose of background insulin glargine was adjusted using a treat-to-target algorithm based on self-measured fasting blood glucose values, targeting <100 mg/dL.

Patients had a mean age of 61 years, and 56% were men. The mean duration of type 2 diabetes mellitus was 13.3 years, and the mean baseline BMI was 33 kg/m2. Overall, 80% were White, 1% were Black or African American, and 18% were Asian; 5% identified as Hispanic or Latino ethnicity.

The mean dose of insulin glargine at baseline was 34, 32, 35, and 33 units/day for patients receiving MOUNJARO 5 mg, 10 mg, 15 mg, and placebo, respectively. At randomization, the initial insulin glargine dose in patients with HbA1c ≤8.0% was reduced by 20%. At week 40, mean dose of insulin glargine was 38, 36, 29, and 59 units/day for patients receiving MOUNJARO 5 mg, 10 mg, 15 mg, and placebo, respectively.

Treatment with MOUNJARO 5 mg once weekly, 10 mg once weekly and 15 mg once weekly for 40 weeks resulted in a statistically significant reduction in HbA1c compared with placebo (see Table 8).

Table 8: Results at Week 40 in a Trial of MOUNJARO Added to Basal Insulin with or without Metformin in Adult Patients with Type 2 Diabetes Mellitus

a The modified intent-to-treat population consists of all randomly assigned participants who were exposed to at least 1 dose of study drug. Patients who discontinued study treatment because they did not meet study enrollment criteria were excluded. During the trial, rescue medication (additional antihyperglycemic medication) was initiated by 4%, 1%, 0%, and 1% of patients randomized to placebo, MOUNJARO 5 mg, 10 mg, and 15 mg, respectively. At Week 40 the HbA1c endpoint was missing for 2%, 6%, 3%, and 7% of patients randomized to placebo, MOUNJARO 5 mg, 10 mg, and 15 mg, respectively. Missing Week 40 data were imputed using placebo-based multiple imputation.

b Least-squares mean from ANCOVA adjusted for baseline value and other stratification factors.

c p<0.001 (two-sided) for superiority versus placebo, adjusted for multiplicity.

d Analyzed using logistic regression adjusted for baseline value and other stratification factors.

Placebo MOUNJARO

5 mg
MOUNJARO

10 mg
MOUNJARO

15 mg
Modified Intent-to-Treat (mITT) Population (N)a 119 116 118 118
HbA1c (%)
     Baseline (mean) 8.4 8.3 8.4 8.2
     Change at Week 40b -0.9 -2.1 -2.4 -2.3
     Difference from placebob (95% CI) -- -1.2c

(-1.5, -1.0)
-1.5c

(-1.8, -1.3)
-1.5c

(-1.7, -1.2)
Patients (%) achieving HbA1c <7%d 35 87c 90c 85c
Fasting Serum Glucose (mg/dL)
     Baseline (mean) 164 163 163 160
     Change at Week 40b -39 -58 -64 -63
     Difference from placebob (95% CI) -- -19c

(-27, -11)
-25c

(-32, -17)
-23c

(-31, -16)
Body Weight (kg)
     Baseline (mean) 94.2 95.8 94.6 96.0
     Change at Week 40b 1.6 -5.4 -7.5 -8.8
     Difference from placebob (95% CI) -- -7.1c

(-8.7, -5.4)
-9.1c

(-10.7, -7.5)
-10.5c

(-12.1, -8.8)
14.5 Mounjaro Use in Combination With Metformin Or Basal Insulin, Or Both in Pediatric Patients 10 Years of Age and Older With Type 2 Diabetes Mellitus

SURPASS-PEDS (NCT05260021) was a 30-week double-blind, placebo-controlled trial with a 22-week open-label extension that randomized 99 pediatric patients 10 years of age and older with type 2 diabetes mellitus with inadequate glycemic control on metformin (69%), or basal insulin (8%), or both (23%) to receive subcutaneous MOUNJARO 5 mg, MOUNJARO 10 mg, or placebo once weekly as add-on therapy.

Patients had a mean age of 15 years, and 61% were female. The mean duration of type 2 diabetes mellitus was 2.4 years, mean HbA1c was 8.0%, mean weight was 97 kg, and the mean baseline BMI was 35 kg/m2. Overall, 58% were White, 11% were Black or African American, 6% were Asian, 20% were American Indian or Alaska Native, and 5% were other races; 66% identified as Hispanic or Latino ethnicity.

Treatment with MOUNJARO 5 mg once weekly and 10 mg once weekly for 30 weeks, both pooled and individually, resulted in a statistically significant reduction in HbA1c compared with placebo (see Table 9).

Table 9: Results at Week 30 in a Trial of MOUNJARO Added to Metformin or Basal Insulin, or Both in Pediatric Patients 10 Years of Age and Older with Type 2 Diabetes Mellitus

a The modified intent-to-treat population consists of all randomly assigned participants who were exposed to at least 1 dose of study drug. During the trial, rescue medication (additional antihyperglycemic medication) was initiated by 6%, 0%, and 0% of patients randomized to placebo, MOUNJARO 5 mg, and 10 mg, respectively. At Week 30 the HbA1c endpoint was missing for 6%, 9%, and 18% of patients randomized to placebo, MOUNJARO 5 mg, and 10 mg, respectively. Missing Week 30 data were imputed using multiple imputation with placebo wash-out or with assumption of missing at random.

b Least-squares mean from ANCOVA adjusted for baseline value and other stratification factors.

c p<0.001 (two-sided) for superiority versus placebo, adjusted for multiplicity.

d Response in (%) is calculated by combining proportion of participants achieving target in imputed datasets using Rubin's rule.

e p<0.01 (two-sided) for superiority versus placebo, adjusted for multiplicity.

f Any missing values at baseline were imputed as missing at random.

Placebo MOUNJARO

5 mg
MOUNJARO

10 mg
MOUNJARO

5 mg/10 mg pooled
Modified Intent-to-Treat (mITT) Population (N)a 34 32 33 65
HbA1c (%)
      Baseline (mean) 8.0 8.2 7.9 8.1
      Change at Week 30b -0.2 -1.9 -2.2 -2.0
      Difference from placebob (95% CI) -- -1.7c

(-2.4, -1.0)
-2.0c

(-2.7, -1.3)
-1.8c

(-2.4, -1.2)
Patients (%) with HbA1c ≤6.5% at Week 30d 28 68c 81c 75c
Fasting Serum Glucose (mg/dL)
      Baseline (mean) 156f 148f 152f 150f
      Change at Week 30b -5 -35 -51 -43
      Difference from placebob (95% CI) -- -30e

(-53, -8)
-46c

(-68, -24)
-38c

(-57, -19)
BMI (kg/m2)
      Baseline (mean) 34.7 33.9 37.7 35.8
      Percent Change at Week 30b -0.5 -6.9 -10.8 -8.8
      Difference from placebo (%)b (95% CI) -- -6.4c

(-9.5, -3.2)
-10.3c

(-13.5, -7.1)
-8.3c

(-11.0, -5.6)

Structured Label Content

Section 42229-5 (42229-5)

Never share MOUNJARO KwikPen between patients, even if the pen needle is changed. Sharing poses a risk for transmission of blood-borne pathogens.

Section 43683-2 (43683-2)
Indications and Usage (1) 12/2025
Dosage and Administration (2)

    Recommended Dosage (2.1)
12/2025
    Important Administration Instructions (2.2) 01/2026
Warnings and Precautions
    Severe Gastrointestinal Adverse Reactions (5.6) 12/2025
Never Share a MOUNJARO KwikPen Between

    Patients (5.10)
01/2026
Section 51945-4 (51945-4)

PACKAGE LABEL – MOUNJARO KwikPen – 2.5 mg per dose (10 mg/2.4 mL [4.17 mg/mL])

NDC 0002-3466-11

Rx Only

Mounjaro®

KwikPen®

(tirzepatide) injection

2.5 mg per dose

10 mg/2.4 mL (4.17 mg/mL)

1 Pen with 4 doses of 2.5 mg

TURN THE DOSE KNOB ALL THE WAY UNTIL YOU SEE A

. THIS IS ONE DOSE.

For Single-Patient-Use Only

For Subcutaneous Use

Needles not included

Dispense enclosed Medication Guide to each patient.

Use MOUNJARO KwikPen once weekly

Read the INSTRUCTIONS FOR USE. This product may have different steps than other products.

10 Overdosage (10 OVERDOSAGE)

In the event of an overdosage, consider contacting the Poison Help line (1-800-222-1222) or a medical toxicologist for additional overdosage management recommendations. Initiate appropriate supportive treatment according to the patient's clinical signs and symptoms. A period of observation and treatment for these symptoms may be necessary, taking into account the half-life of tirzepatide of approximately 5 days.

11 Description (11 DESCRIPTION)

MOUNJARO (tirzepatide) injection, for subcutaneous use, contains tirzepatide, a once weekly GIP receptor and GLP-1 receptor agonist. Tirzepatide is based on the GIP sequence and contains aminoisobutyric acid (Aib) in positions 2 and 13, a C-terminal amide, and Lys residue at position 20 that is attached to 1,20-eicosanedioic acid via a linker. The molecular weight is 4813.53 Da and the empirical formula is C225H348N48O68.

Structural formula:

MOUNJARO is a clear, colorless to slightly yellow, sterile solution for subcutaneous use. Each single-dose pen or single-dose vial contains a 0.5 mL solution of 2.5 mg, 5 mg, 7.5 mg, 10 mg, 12.5 mg, or 15 mg of tirzepatide and the following excipients: sodium chloride (4.1 mg), sodium phosphate dibasic heptahydrate (0.7 mg), and water for injection. Each multi-dose vial or single-patient-use KwikPen contains 2.4 mL of solution, which provides 4 doses of 2.5 mg, 5 mg, 7.5 mg, 10 mg, 12.5 mg, or 15 mg of tirzepatide per 0.6 mL. Each dose contains the following excipients: benzyl alcohol (5.4 mg), glycerin (4.8 mg), phenol (1.08 mg), sodium chloride (1.05 mg), sodium phosphate dibasic heptahydrate (0.8 mg), and water for injection. Hydrochloric acid solution and/or sodium hydroxide solution may have been added to adjust the pH. MOUNJARO has a pH of 6.5 to 7.5.

Each single-patient-use KwikPen contains additional volume to allow for device priming.

16.1 How Supplied

MOUNJARO is a clear, colorless to slightly yellow solution available in cartons containing 4 pre-filled single-dose pens, 1 single-dose vial, 1 multi-dose vial, or 1 Single-Patient-Use KwikPen as follows:

Single-Dose Vial and Prefilled Pen
Strength 4 pack Single-dose Pen NDC 1 pack Single-dose Vial NDC
2.5 mg/0.5 mL 0002-1506-80 0002-1152-01
5 mg/0.5 mL 0002-1495-80 0002-1243-01
7.5 mg/0.5 mL 0002-1484-80 0002-2214-01
10 mg/0.5 mL 0002-1471-80 0002-2340-01
12.5 mg/0.5 mL 0002-1460-80 0002-2423-01
15 mg/0.5 mL 0002-1457-80 0002-3002-01
Multi-Dose Vial
Doses per Vial Strength 1-pack Multi-dose Vial NDC
4 doses of 2.5 mg/0.6 mL 10 mg/2.4 mL (4.17 mg/mL) 0002-4052-11
4 doses of 5 mg/0.6 mL 20 mg/2.4 mL (8.33 mg/mL) 0002-4103-11
4 doses of 7.5 mg/0.6 mL 30 mg/2.4 mL (12.5 mg/mL) 0002-4210-11
4 doses of 10 mg/0.6 mL 40 mg/2.4 mL (16.7 mg/mL) 0002-4304-11
4 doses of 12.5 mg/0.6 mL 50 mg/2.4 mL (20.8 mg/mL) 0002-4523-11
4 doses of 15 mg/0.6 mL 60 mg/2.4 mL (25 mg/mL) 0002-4612-11
Single-Patient-Use KwikPen (with four weekly doses)
Doses per KwikPen Strength 1-pack Single-Patient-Use KwikPen NDC
4 doses of 2.5 mg 10 mg/2.4 mL (4.17 mg/mL) 0002-3466-11
4 doses of 5 mg 20 mg/2.4 mL (8.33 mg/mL) 0002-3455-11
4 doses of 7.5 mg 30 mg/2.4 mL (12.5 mg/mL) 0002-3444-11
4 doses of 10 mg 40 mg/2.4 mL (16.7 mg/mL) 0002-3433-11
4 doses of 12.5 mg 50 mg/2.4 mL (20.8 mg/mL) 0002-3422-11
4 doses of 15 mg 60 mg/2.4 mL (25 mg/mL) 0002-3411-11
8.4 Pediatric Use

The safety and effectiveness of MOUNJARO as an adjunct to diet and exercise to improve glycemic control in pediatric patients 10 years of age and older with type 2 diabetes mellitus have been established. Use of MOUNJARO for this indication is supported by a 30-week, randomized, double-blind, placebo-controlled trial with a 22-week open label extension in 99 pediatric patients [see Clinical Studies (14.5)].

Adverse reactions reported in pediatric patients 10 years of age and older treated with MOUNJARO were similar to those reported in adults with the exception of a higher incidence of vomiting, abdominal pain, and hypoglycemia [see Adverse Reactions (6.1)].

The safety and effectiveness of MOUNJARO have not been established in pediatric patients less than 10 years of age.

8.5 Geriatric Use

In the pool of seven clinical trials, 1539 (30.1%) MOUNJARO-treated patients were 65 years of age or older, and 212 (4.1%) MOUNJARO-treated patients were 75 years of age or older at baseline.

No overall differences in safety or efficacy were detected between these patients and younger patients, but greater sensitivity of some older individuals cannot be ruled out.

12.6 Immunogenicity

The observed incidence of anti-drug antibodies is highly dependent on the sensitivity and specificity of the assay. Differences in assay methods preclude meaningful comparisons of the incidence of anti-drug antibodies in the trials described below with the incidence of anti-drug antibodies in other trials.

During the 40- to 104-week treatment periods with ADA sampling conducted up to 44 to 108 weeks in seven clinical trials in adults with type 2 diabetes mellitus [see Clinical Studies (14)], 51% (2,570/5,025) of MOUNJARO-treated patients developed anti-tirzepatide antibodies. In these trials, anti-tirzepatide antibody formation in 34% and 14% of MOUNJARO-treated adult patients showed cross-reactivity to native GIP or native GLP-1, respectively.

Of the 2,570 MOUNJARO-treated patients who developed anti-tirzepatide antibodies during the treatment periods in these seven trials, 2% and 2% developed neutralizing antibodies against tirzepatide activity on the GIP or GLP-1 receptors, respectively, and 0.9% and 0.4% developed neutralizing antibodies against native GIP or GLP-1, respectively.

During the 30-week double-blind placebo-controlled period of the glycemic control trial in pediatric patients 10 years of age or older with type 2 diabetes mellitus [see Clinical Studies (14.5)], 30/61 (49%) of MOUNJARO-treated pediatric patients developed anti-tirzepatide antibodies. Anti-tirzepatide antibodies showed cross reactivity to native GIP or native GLP-1 in 26% and 8% of MOUNJARO-treated pediatric patients, respectively. There were no neutralizing antibodies against tirzepatide activity on the GIP or GLP-1 receptors. No pediatric patients developed neutralizing antibodies against native GIP or GLP-1.

There was no identified clinically significant effect of anti-tirzepatide antibodies on pharmacokinetics or effectiveness of MOUNJARO. More MOUNJARO-treated adult and pediatric patients who developed anti-tirzepatide antibodies experienced hypersensitivity reactions or injection site reactions than those who did not develop these antibodies [see Adverse Reactions (6.1)].

4 Contraindications (4 CONTRAINDICATIONS)

MOUNJARO is contraindicated in patients with:

  • A personal or family history of medullary thyroid carcinoma (MTC) or in patients with Multiple Endocrine Neoplasia syndrome type 2 (MEN 2) [see Warnings and Precautions (5.1)].
  • Known serious hypersensitivity to tirzepatide or any of the excipients in MOUNJARO. Serious hypersensitivity reactions, including anaphylaxis and angioedema, have been reported with MOUNJARO [see Warnings and Precautions (5.4)].
6 Adverse Reactions (6 ADVERSE REACTIONS)

The following serious adverse reactions are described below or elsewhere in the prescribing information:

  • Risk of Thyroid C-cell Tumors [see Warnings and Precautions (5.1)]
  • Acute Pancreatitis [see Warnings and Precautions (5.2)]
  • Hypoglycemia with Concomitant Use of Insulin Secretagogues or Insulin [see Warnings and Precautions (5.3)]
  • Hypersensitivity Reactions [see Warnings and Precautions (5.4)]
  • Acute Kidney Injury Due to Volume Depletion [see Warnings and Precautions (5.5)]
  • Severe Gastrointestinal Adverse Reactions [see Warnings and Precautions (5.6)]
  • Diabetic Retinopathy Complications in Patients with a History of Diabetic Retinopathy [see Warnings and Precautions (5.7)]
  • Acute Gallbladder Disease [see Warnings and Precautions (5.8)]
  • Pulmonary Aspiration During General Anesthesia or Deep Sedation [see Warnings and Precautions (5.9)]
7 Drug Interactions (7 DRUG INTERACTIONS)

MOUNJARO delays gastric emptying and has the potential to impact the absorption of concomitantly administered oral medications. (7.2)

7.2 Oral Medications

MOUNJARO delays gastric emptying and thereby has the potential to impact the absorption of concomitantly administered oral medications. Caution should be exercised when oral medications are concomitantly administered with MOUNJARO.

Monitor patients on oral medications dependent on threshold concentrations for efficacy and those with a narrow therapeutic index (e.g., warfarin) when concomitantly administered with MOUNJARO.

Advise patients using oral hormonal contraceptives to switch to a non-oral contraceptive method or add a barrier method of contraception for 4 weeks after initiation and for 4 weeks after each dose escalation with MOUNJARO. Hormonal contraceptives that are not administered orally should not be affected [see Use in Specific Populations (8.3) and Clinical Pharmacology (12.2, 12.3)].

8.6 Renal Impairment

No dosage adjustment of MOUNJARO is recommended for patients with renal impairment. In subjects with renal impairment including end-stage renal disease (ESRD), no change in tirzepatide pharmacokinetics (PK) was observed [see Clinical Pharmacology (12.3)]. Monitor renal function when initiating or escalating doses of MOUNJARO in patients with renal impairment reporting severe adverse gastrointestinal reactions [see Warnings and Precautions (5.5)].

12.2 Pharmacodynamics

Tirzepatide lowers fasting and postprandial glucose concentration, decreases food intake, and reduces body weight in patients with type 2 diabetes mellitus.

12.3 Pharmacokinetics

The pharmacokinetics of tirzepatide is similar between healthy subjects and patients with type 2 diabetes mellitus. Steady-state plasma tirzepatide concentrations were achieved following 4 weeks of once weekly administration. Tirzepatide exposure increases in a dose-proportional manner.

2.1 Recommended Dosage
  • The recommended starting dosage of MOUNJARO is 2.5 mg injected subcutaneously once weekly [see Dosage and Administration (2.2)]. Follow the dosage escalation below to reduce the risk of gastrointestinal adverse reactions [see Warnings and Precautions (5.6) and Adverse Reactions (6.1)]. The 2.5 mg dosage is for treatment initiation and is not intended for glycemic control.
  • After 4 weeks, increase the dosage to 5 mg injected subcutaneously once weekly.
  • If additional glycemic control is needed, increase the dosage in 2.5 mg increments after at least 4 weeks on the current dose. The maximum dosage of MOUNJARO is:
    • 15 mg injected subcutaneously once weekly in adults.
    • 10 mg injected subcutaneously once weekly in pediatric patients.
  • If a dose is missed, instruct patients to administer MOUNJARO as soon as possible within 4 days (96 hours) after the missed dose. If more than 4 days have passed, skip the missed dose and administer the next dose on the regularly scheduled day. In each case, patients can then resume their regular once weekly dosing schedule.
  • The day of weekly administration can be changed, if necessary, as long as the time between the two doses is at least 3 days (72 hours).
5.2 Acute Pancreatitis

Acute pancreatitis, including fatal and non-fatal hemorrhagic or necrotizing pancreatitis, has been observed in patients treated with GLP-1 receptor agonists, or MOUNJARO [see Adverse Reactions (6)].

After initiation of MOUNJARO, observe patients carefully for signs and symptoms of acute pancreatitis, which may include persistent or severe abdominal pain (sometimes radiating to the back) and which may or may not be accompanied by nausea or vomiting. If pancreatitis is suspected, discontinue MOUNJARO and initiate appropriate management.

8.7 Hepatic Impairment

No dosage adjustment of MOUNJARO is recommended for patients with hepatic impairment. In a clinical pharmacology study in subjects with varying degrees of hepatic impairment, no change in tirzepatide PK was observed [see Clinical Pharmacology (12.3)].

1 Indications and Usage (1 INDICATIONS AND USAGE)

MOUNJARO® is indicated as an adjunct to diet and exercise to improve glycemic control in adults and pediatric patients 10 years of age and older with type 2 diabetes mellitus.

12.1 Mechanism of Action

Tirzepatide is a GIP receptor and GLP-1 receptor agonist. It contains a C20 fatty diacid that enables albumin binding and prolongs the half-life. Tirzepatide selectively binds to and activates both the GIP and GLP-1 receptors, the targets for native GIP and GLP-1.

Tirzepatide enhances first- and second-phase insulin secretion, and reduces glucagon levels, both in a glucose-dependent manner.

16.2 Storage and Handling
  • Do not freeze MOUNJARO. Do not use MOUNJARO if frozen.
  • Protect MOUNJARO from heat and light.
  • Store MOUNJARO in the original carton to protect from light.

MOUNJARO Single-dose Pen and Single-dose Vial

  • Store MOUNJARO single-dose pen and single-dose vial in a refrigerator at 2°C to 8°C (36°F to 46°F).
  • If needed, each single-dose pen or single-dose vial can be stored unrefrigerated at temperatures not to exceed 30°C (86°F) for up to 21 days.

MOUNJARO Multi-dose Vial or Single-Patient-Use KwikPen

Unopened vial or single-patient-use KwikPen:

  • Store unopened multi-dose vial or single-patient-use KwikPen in the refrigerator at 2°C to 8°C (36°F to 46°F). The unopened multi-dose vial or single-patient-use KwikPen can be used until the expiration date on the label if kept in the refrigerator.
  • If stored at room temperature [up to 30°C (86°F)], throw away unopened multi-dose vial or single-patient-use KwikPen after 30 days.

After vial or single-patient-use KwikPen has been opened:

  • Store opened (in-use) multi-dose vial or single-patient-use KwikPen in the original carton in the refrigerator at 2°C to 8°C (36°F to 46°F) or at room temperature [up to 30°C (86°F)].
  • Throw away opened multi-dose vial or single-patient-use KwikPen after a total of 30 days at room temperature, 30 days after first use, or after taking 4 weekly doses, even if there is medicine left in it.
Mounjaro Medication Guide

This Medication Guide has been approved by the U.S. Food and Drug Administration

Revised: January 2026

Medication Guide

MOUNJARO® [mown-JAHR-OH]

(tirzepatide)

injection, for subcutaneous use
Do not share your MOUNJARO KwikPen or needles with other people, even if the needle has been changed. You may give other people a serious infection, or get a serious infection from them.

What is the most important information I should know about MOUNJARO?

MOUNJARO may cause serious side effects, including:

  • Possible thyroid tumors, including cancer. Tell your healthcare provider if you get a lump or swelling in your neck, hoarseness, trouble swallowing, or shortness of breath. These may be symptoms of thyroid cancer. In studies with rats, MOUNJARO and medicines that work like MOUNJARO caused thyroid tumors, including thyroid cancer. It is not known if MOUNJARO will cause thyroid tumors, or a type of thyroid cancer called medullary thyroid carcinoma (MTC) in people.
  • Do not use MOUNJARO if you or any of your family have ever had a type of thyroid cancer called medullary thyroid carcinoma (MTC), or if you have an endocrine system condition called Multiple Endocrine Neoplasia syndrome type 2 (MEN 2).
What is MOUNJARO?

  • MOUNJARO is an injectable prescription medicine that is used along with diet and exercise to improve blood sugar (glucose) in adults and children 10 years of age and older with type 2 diabetes mellitus.
  • It is not known if MOUNJARO is safe and effective for use in children under 10 years of age.
Do not use MOUNJARO if:

  • you or any of your family have ever had a type of thyroid cancer called MTC or if you have an endocrine system condition called MEN 2.
  • you have had a serious allergic reaction to tirzepatide or any of the ingredients in MOUNJARO. See the end of this Medication Guide for a complete list of ingredients in MOUNJARO. See " What are the possible side effects of MOUNJARO? " for symptoms of a serious allergic reaction.
Before using MOUNJARO, tell your healthcare provider about all of your medical conditions, including if you:

  • have or have had problems with your pancreas.
  • have severe problems with your stomach, such as slowed emptying of your stomach (gastroparesis) or problems with digesting food.
  • have a history of diabetic retinopathy.
  • are scheduled to have surgery or other procedures that use anesthesia or deep sleepiness (deep sedation).
  • are pregnant or plan to become pregnant. It is not known if MOUNJARO will harm your unborn baby. Tell your healthcare provider if you become pregnant while using MOUNJARO.
    • Birth control pills by mouth may not work as well while using MOUNJARO. If you take birth control pills by mouth, your healthcare provider may recommend another type of birth control for 4 weeks after you start MOUNJARO and for 4 weeks after each increase in your dose of MOUNJARO. Talk to your healthcare provider about birth control methods that may be right for you while using MOUNJARO.



  • are breastfeeding or plan to breastfeed. MOUNJARO may pass into your breast milk. Talk to your healthcare provider about the best way to feed your baby while using MOUNJARO.
Tell your healthcare provider about all the medicines you take, including prescription and over-the-counter medicines, vitamins, and herbal supplements. MOUNJARO may affect the way some medicines work, and some medicines may affect the way MOUNJARO works.

Before using MOUNJARO, talk to your healthcare provider about low blood sugar and how to manage it. Tell your healthcare provider if you are taking other medicines to treat diabetes including insulin or sulfonylureas.

Know the medicines you take. Keep a list of them to show your healthcare provider and pharmacist when you get a new medicine.
How should I use MOUNJARO?

  • Read the Instructions for Use that comes with MOUNJARO.
  • Use MOUNJARO exactly as your healthcare provider tells you to.
  • Your healthcare provider should show you how to prepare and inject your dose of MOUNJARO before injecting for the first time.
  • A caregiver may give you MOUNJARO injections or you may self-inject if a healthcare provider determines that it is appropriate.
  • Children should not inject themselves with MOUNJARO KwikPen. An adult caregiver should give a child his or her injections with MOUNJARO KwikPen.
  • Self-injection is not recommended for people who are visually impaired.
  • If using MOUNJARO vials, always use a new syringe and needle for each injection.
  • Inject MOUNJARO under the skin (subcutaneously) of your stomach (abdomen), thigh, or another person should inject in the back of the upper arm. Do not inject MOUNJARO into a muscle (intramuscularly) or vein (intravenously).
  • Use MOUNJARO 1 time each week, at any time of the day.
  • You may change the day of the week you use MOUNJARO as long as the time between the 2 doses is at least 3 days (72 hours).
  • If you miss a dose of MOUNJARO, take the missed dose as soon as possible within 4 days (96 hours) after the missed dose. If more than 4 days have passed, skip the missed dose and take your next dose on the regularly scheduled day. Do not take 2 doses of MOUNJARO within 3 days of each other.
  • MOUNJARO may be taken with or without food.
  • Do not mix insulin and MOUNJARO together in the same injection.
  • You may give an injection of MOUNJARO and insulin in the same body area (such as your stomach area), but not right next to each other.
  • Change (rotate) your injection site with each weekly injection. Do not use the same site for each injection.
  • If you take too much MOUNJARO, call your healthcare provider or Poison Help line at 1-800-222-1222 or go to the nearest hospital emergency room right away.

What are the possible side effects of MOUNJARO?

MOUNJARO may cause serious side effects, including:

  • See What is the most important information I should know about MOUNJARO?
  • inflammation of your pancreas (pancreatitis). Stop using MOUNJARO and call your healthcare provider right away if you have severe pain in your stomach area (abdomen) that will not go away, with or without nausea or vomiting. Sometimes you may feel the pain from your abdomen to your back.
  • low blood sugar (hypoglycemia). Your risk for getting low blood sugar may be higher if you use MOUNJARO with another medicine that can cause low blood sugar, such as a sulfonylurea or insulin.

    Signs and symptoms of low blood sugar may include:

  • dizziness or light-headedness
  • sweating
  • confusion or drowsiness
  • headache
  • blurred vision
  • slurred speech
  • shakiness
  • fast heartbeat
  • anxiety, irritability, or mood changes
  • hunger
  • weakness
  • feeling jittery
  • serious allergic reactions. Stop using MOUNJARO and get medical help right away if you have any symptoms of a serious allergic reaction including:

  • swelling of your face, lips, tongue, or throat
  • problems breathing or swallowing
  • severe rash or itching
  • fainting or feeling dizzy
  • very rapid heartbeat
  • dehydration leading to kidney problems. Diarrhea, nausea, and vomiting may cause a loss of fluids (dehydration) which may cause kidney problems. It is important for you to drink fluids to help reduce your chance of dehydration. Tell your healthcare provider right away if you have nausea, vomiting, or diarrhea that does not go away.
  • severe stomach problems. Stomach problems, sometimes severe, have been reported in people who use MOUNJARO. Tell your healthcare provider if you have stomach problems that are severe or will not go away.
  • changes in vision. Tell your healthcare provider if you have changes in vision during treatment with MOUNJARO.
  • gallbladder problems. Gallbladder problems have happened in some people who use MOUNJARO. Tell your healthcare provider right away if you get symptoms of gallbladder problems which may include:

  • pain in your upper stomach (abdomen)
  • fever
  • yellowing of skin or eyes (jaundice)
  • clay-colored stools
  • food or liquid getting into the lungs during surgery or other procedures that use anesthesia or deep sleepiness (deep sedation). MOUNJARO may increase the chance of food getting into your lungs during surgery or other procedures. Tell all your healthcare providers that you are taking MOUNJARO before you are scheduled to have surgery or other procedures.
The most common side effects of MOUNJARO include:
  • nausea
  • diarrhea
  • decreased appetite
  • vomiting
  • constipation
  • indigestion
  • stomach (abdominal) pain
Talk to your healthcare provider if you have any side effect that bothers you or that does not go away. These are not all the possible side effects of MOUNJARO. Call your doctor for medical advice about side effects. You may report side effects to FDA at 1-800-FDA-1088.
How should I store MOUNJARO?

  • Store MOUNJARO in the original carton to protect it from light.
  • Do not freeze MOUNJARO. Do not use MOUNJARO if frozen.
  • Store each single-dose pen or single-dose vial in the refrigerator between 36⁰F to 46⁰F (2⁰C to 8⁰C). If needed, each single-dose pen or single-dose vial can be stored at room temperature up to 86⁰F (30⁰C) for up to 21 days.
  • Store multi-dose vial or single-patient-use KwikPen in the refrigerator between 36°F to 46°F (2°C to 8°C) or at room temperature [up to 86°F (30°C)]. Throw away the multi-dose vial or single-patient-use KwikPen after a total of 30 days at room temperature, 30 days after first use, or after taking 4 weekly doses, even if it still has medicine in it.
Keep MOUNJARO and all medicines out of the reach of children.
General information about the safe and effective use of MOUNJARO.

Medicines are sometimes prescribed for purposes other than those listed in a Medication Guide. Do not use MOUNJARO for a condition for which it was not prescribed. Do not give MOUNJARO to other people, even if they have the same symptoms you have. It may harm them. You can ask your pharmacist or healthcare provider for information about MOUNJARO that is written for health professionals.
What are the ingredients in MOUNJARO?

Active ingredient: tirzepatide

Inactive ingredients: sodium chloride, sodium phosphate dibasic heptahydrate, and water for injection. Benzyl alcohol, glycerin, and phenol are also inactive ingredients in the multi-dose vial and single-patient-use KwikPen. Hydrochloric acid solution and/or sodium hydroxide solution may have been added to adjust the pH.

MOUNJARO® and KwikPen® are registered trademarks of Eli Lilly and Company.

Marketed by: Lilly USA, LLC Indianapolis, IN 46285, USA

Copyright © 2022, 2026, Eli Lilly and Company. All rights reserved.

For more information, go to www.MOUNJARO.com or call 1-800-545-5979.

MOU-0008-MG-20260120

5 Warnings and Precautions (5 WARNINGS AND PRECAUTIONS)
  • Acute Pancreatitis: Has been observed in patients treated with GLP-1 receptor agonists, or MOUNJARO. Discontinue if pancreatitis is suspected. (5.2)
  • Hypoglycemia with Concomitant Use of Insulin Secretagogues or Insulin: Concomitant use with an insulin secretagogue or insulin may increase the risk of hypoglycemia, including severe hypoglycemia. Reducing dose of insulin secretagogue or insulin may be necessary. (5.3)
  • Hypersensitivity Reactions: Serious hypersensitivity reactions (e.g., anaphylaxis and angioedema) have been reported. Discontinue MOUNJARO if suspected and promptly seek medical advice. (5.4)
  • Acute Kidney Injury Due to Volume Depletion: Monitor renal function in patients reporting adverse reactions that could lead to volume depletion. (5.5)
  • Severe Gastrointestinal Adverse Reactions: Use has been associated with gastrointestinal adverse reactions, sometimes severe. MOUNJARO is not recommended in patients with severe gastroparesis. (5.6)
  • Diabetic Retinopathy Complications in Patients with a History of Diabetic Retinopathy: Has not been studied in patients with non-proliferative diabetic retinopathy requiring acute therapy, proliferative diabetic retinopathy, or diabetic macular edema. Monitor patients with a history of diabetic retinopathy for progression. (5.7)
  • Acute Gallbladder Disease: Has occurred in clinical trials. If cholelithiasis is suspected, gallbladder studies and clinical follow-up are indicated. (5.8)
  • Pulmonary Aspiration During General Anesthesia or Deep Sedation: Has been reported in patients receiving GLP-1 receptor agonists undergoing elective surgeries or procedures. Instruct patients to inform healthcare providers of any planned surgeries or procedures. (5.9)
  • Never share a MOUNJARO KwikPen between patients, even if the pen needle is changed. (5.10)
2 Dosage and Administration (2 DOSAGE AND ADMINISTRATION)
  • The recommended starting dosage is 2.5 mg injected subcutaneously once weekly. (2.1)
  • After 4 weeks, increase to 5 mg injected subcutaneously once weekly. (2.1)
  • If additional glycemic control is needed, increase the dosage in 2.5 mg increments after at least 4 weeks on the current dose. (2.1)
  • Maximum dosage (2.1):
    • Adults: 15 mg subcutaneously once weekly.
    • Pediatric patients 10 years of age and older: 10 mg subcutaneously once weekly.
  • Administer once weekly at any time of day, with or without meals. (2.2)
  • Inject subcutaneously in the abdomen, thigh, or another person should inject in the back of the upper arm. Rotate injection sites with each dose. (2.2)
  • Refer to the Full Prescribing Information for additional important administration instructions about MOUNJARO presentations. (2.2)
3 Dosage Forms and Strengths (3 DOSAGE FORMS AND STRENGTHS)

Injection: Clear, colorless to slightly yellow solution in pre-filled single-dose pens, single-dose vials, multi-dose vials, or single-patient-use KwikPens, each available in the following strengths. The multi-dose vials and single-patient-use KwikPen each contain 4 doses:

Single-dose Pen or Vial
2.5 mg/0.5 mL
5 mg/0.5 mL
7.5 mg/0.5 mL
10 mg/0.5 mL
12.5 mg/0.5 mL
15 mg/0.5 mL
Multi-dose Vial (4 doses per vial)
Dose per Injection Total Strength per Total Volume Strength per mL
2.5 mg/0.6 mL 10 mg/2.4 mL 4.17 mg/mL
5 mg/0.6 mL 20 mg/2.4 mL 8.33 mg/mL
7.5 mg/0.6 mL 30 mg/2.4 mL 12.5 mg/mL
10 mg/0.6 mL 40 mg/2.4 mL 16.7 mg/mL
12.5 mg/0.6 mL 50 mg/2.4 mL 20.8 mg/mL
15 mg/0.6 mL 60 mg/2.4 mL 25 mg/mL
Single-Patient-Use KwikPen (4 doses per KwikPen)
Dose per Injection Total Strength per Total Volume Strength per mL
2.5 mg 10 mg/2.4 mL 4.17 mg/mL
5 mg 20 mg/2.4 mL 8.33 mg/mL
7.5 mg 30 mg/2.4 mL 12.5 mg/mL
10 mg 40 mg/2.4 mL 16.7 mg/mL
12.5 mg 50 mg/2.4 mL 20.8 mg/mL
15 mg 60 mg/2.4 mL 25 mg/mL
6.2 Postmarketing Experience

The following adverse reactions have been reported during post-approval use of MOUNJARO. Because these reactions are reported voluntarily from a population of uncertain size, it is not always possible to reliably estimate their frequency or establish a causal relationship to drug exposure.

Hypersensitivity: anaphylaxis, angioedema

Gastrointestinal: acute pancreatitis, hemorrhagic and necrotizing pancreatitis sometimes resulting in death, ileus, intestinal obstruction, severe constipation including fecal impaction

Pulmonary: Pulmonary aspiration has occurred in patients receiving GLP-1 receptor agonists undergoing elective surgeries or procedures requiring general anesthesia or deep sedation

Renal: acute renal failure or worsening of chronic renal failure, sometimes requiring hemodialysis

Skin and Subcutaneous Tissue: alopecia

5.8 Acute Gallbladder Disease

Acute events of gallbladder disease such as cholelithiasis or cholecystitis have been reported in GLP-1 receptor agonist trials and postmarketing.

In MOUNJARO placebo-controlled clinical trials in adults, acute gallbladder disease (cholelithiasis, biliary colic, and cholecystectomy) was reported by 0.6% of MOUNJARO-treated patients and 0% of placebo-treated patients. If cholelithiasis is suspected, gallbladder diagnostic studies and appropriate clinical follow-up are indicated.

8 Use in Specific Populations (8 USE IN SPECIFIC POPULATIONS)
  • Pregnancy: Based on animal studies, may cause fetal harm. (8.1)
  • Females of Reproductive Potential: Advise females using oral contraceptives to switch to a non-oral contraceptive method or add a barrier method of contraception for 4 weeks after initiation and for 4 weeks after each dose escalation. (8.3)
5.4 Hypersensitivity Reactions

Serious hypersensitivity reactions (e.g., anaphylaxis, angioedema) have been reported in patients treated with MOUNJARO. If hypersensitivity reactions occur, discontinue use of MOUNJARO; treat promptly per standard of care, and monitor until signs and symptoms resolve. Do not use in patients with a previous serious hypersensitivity reaction to tirzepatide or any of the excipients in MOUNJARO [see Contraindications (4), Adverse Reactions (6.2)].

Anaphylaxis and angioedema have been reported with GLP-1 receptor agonists. Use caution in patients with a history of angioedema or anaphylaxis with a GLP-1 receptor agonist because it is unknown whether such patients will be predisposed to these reactions with MOUNJARO.

6.1 Clinical Trials Experience

Because clinical trials are conducted under widely varying conditions, adverse reaction rates observed in the clinical trials of a drug cannot be directly compared to rates in the clinical trials of another drug and may not reflect the rates observed in practice.

14.1 Overview of Clinical Studies

The effectiveness of MOUNJARO as an adjunct to diet and exercise to improve glycemic control in adults with type 2 diabetes mellitus was established in five trials. In these trials, MOUNJARO was studied as monotherapy (SURPASS-1); as an add-on to metformin, sulfonylureas, and/or sodium-glucose co-transporter 2 inhibitors (SGLT2 inhibitors) (SURPASS-2, -3, and -4); and in combination with basal insulin with or without metformin (SURPASS-5). In these trials, MOUNJARO (5 mg, 10 mg, and 15 mg given subcutaneously once weekly) was compared with placebo, semaglutide 1 mg, insulin degludec, and/or insulin glargine [see Clinical Studies (14.2, 14.3, 14.4)].

In adult patients with type 2 diabetes mellitus, treatment with MOUNJARO produced a statistically significant reduction from baseline in HbA1c compared to placebo. The effectiveness of MOUNJARO was not impacted by age, gender, race, ethnicity, region, or by baseline BMI, HbA1c, diabetes duration, or renal function.

MOUNJARO 5 mg and 10 mg was studied in pediatric patients 10 years of age and older with type 2 diabetes in combination with metformin and/or basal insulin [see Clinical Studies (14.5)].

17 Patient Counseling Information (17 PATIENT COUNSELING INFORMATION)

Advise the patient to read the FDA-approved patient labeling (Medication Guide and Instructions for Use).

5.1 Risk of Thyroid C Cell Tumors (5.1 Risk of Thyroid C-Cell Tumors)

In both sexes of rats, tirzepatide caused a dose-dependent and treatment-duration-dependent increase in the incidence of thyroid C-cell tumors (adenomas and carcinomas) in a 2-year study at clinically relevant plasma exposures [see Nonclinical Toxicology (13.1)]. It is unknown whether MOUNJARO causes thyroid C-cell tumors, including medullary thyroid carcinoma (MTC), in humans as human relevance of tirzepatide-induced rodent thyroid C-cell tumors has not been determined.

MOUNJARO is contraindicated in patients with a personal or family history of MTC or in patients with MEN 2. Counsel patients regarding the potential risk for MTC with the use of MOUNJARO and inform them of symptoms of thyroid tumors (e.g., a mass in the neck, dysphagia, dyspnea, persistent hoarseness).

Routine monitoring of serum calcitonin or using thyroid ultrasound is of uncertain value for early detection of MTC in patients treated with MOUNJARO. Such monitoring may increase the risk of unnecessary procedures, due to the low test specificity for serum calcitonin and a high background incidence of thyroid disease. Significantly elevated serum calcitonin values may indicate MTC and patients with MTC usually have calcitonin values >50 ng/L. If serum calcitonin is measured and found to be elevated, the patient should be further evaluated. Patients with thyroid nodules noted on physical examination or neck imaging should also be further evaluated.

Warning: Risk of Thyroid C Cell Tumors (WARNING: RISK OF THYROID C-CELL TUMORS)
  • In both male and female rats, tirzepatide causes dose-dependent and treatment-duration-dependent thyroid C-cell tumors at clinically relevant exposures. It is unknown whether MOUNJARO causes thyroid C-cell tumors, including medullary thyroid carcinoma (MTC), in humans as human relevance of tirzepatide-induced rodent thyroid C-cell tumors has not been determined [see Warnings and Precautions (5.1) and Nonclinical Toxicology (13.1)].
  • MOUNJARO is contraindicated in patients with a personal or family history of MTC or in patients with Multiple Endocrine Neoplasia syndrome type 2 (MEN 2) [see Contraindications (4)] . Counsel patients regarding the potential risk for MTC with the use of MOUNJARO and inform them of symptoms of thyroid tumors (e.g., a mass in the neck, dysphagia, dyspnea, persistent hoarseness). Routine monitoring of serum calcitonin or using thyroid ultrasound is of uncertain value for early detection of MTC in patients treated with MOUNJARO [see Contraindications (4) and Warnings and Precautions (5.1)].
2.2 Important Administration Instructions
  • Inform patients and their caregiver(s) which MOUNJARO presentation (e.g., vial, pre-filled single-dose pen, single-patient-use KwikPen) they will receive and ensure they receive training appropriate for that specific presentation. If the prescribed MOUNJARO presentation changes, ensure patients and caregivers receive appropriate training and instruct them to consult the Instructions for Use for the newly prescribed presentation.
  • Prior to initiation, train patients and their caregiver(s) on proper injection technique for the prescribed MOUNJARO presentation [see Instructions for Use]. After training, a patient may self-inject MOUNJARO if the healthcare provider determines that it can be properly administered, except for the following:
    • MOUNJARO KwikPen is not recommended for self-administration by pediatric patients.
    • MOUNJARO KwikPen is not recommended for self-administration by those who are visually impaired.
  • Instruct patients using MOUNJARO vials to use a syringe appropriate for dose administration (e.g., a 1 mL syringe capable of measuring a 0.5 mL or 0.6 mL dose) and always use a new syringe and needle for each injection.
  • Administer MOUNJARO once weekly, any time of day, with or without meals.
  • Inject MOUNJARO subcutaneously in the abdomen, thigh, or another person should inject in the back of the upper arm.
  • Rotate injection sites with each dose.
  • Inspect MOUNJARO visually before use. It should appear clear and colorless to slightly yellow. Do not use MOUNJARO if particulate matter or discoloration is seen.
  • When using MOUNJARO with insulin, administer as separate injections and never mix. It is acceptable to inject MOUNJARO and insulin in the same body region, but the injections should not be adjacent to each other.
5.6 Severe Gastrointestinal Adverse Reactions

Use of MOUNJARO has been associated with gastrointestinal adverse reactions, sometimes severe [see Adverse Reactions (6)]. In the pool of placebo-controlled trials in adults, severe gastrointestinal adverse reactions occurred more frequently among patients receiving MOUNJARO (5 mg 1.3%, 10 mg 0.4%, 15 mg 1.2%) than placebo (0.9%). Severe gastrointestinal adverse reactions have also been reported postmarketing with GLP-1 receptor agonists.

MOUNJARO is not recommended in patients with severe gastroparesis.

Mounjaro Single Dose Pen Instructions for Use (Mounjaro Single-Dose Pen Instructions for Use)
INSTRUCTIONS FOR USE

MOUNJARO® (mown-JAHR-OH)

(tirzepatide)

injection, for subcutaneous use









2.5 mg/0.5 mL single-dose pen

5 mg/0.5 mL single-dose pen

7.5 mg/0.5 mL single-dose pen

10 mg/0.5 mL single-dose pen

12.5 mg/0.5 mL single-dose pen

15 mg/0.5 mL single-dose pen

use 1 time each week

Important information you need to know before injecting MOUNJARO

Read this Instructions for Use and the Medication Guide before using your MOUNJARO Pen and each time you get a refill. There may be new information. This information does not take the place of talking to your healthcare provider about your medical condition or treatment.

Talk to your healthcare provider about how to inject MOUNJARO the right way.

  • MOUNJARO is a single-dose prefilled pen.
  • MOUNJARO is used 1 time each week.
  • Inject under the skin (subcutaneously) only.
  • You or another person can inject into your stomach (abdomen) or thigh.
  • Another person can inject into the back of your upper arm.

Guide to parts

Preparing to inject MOUNJARO

Remove the Pen from the refrigerator.

Leave the gray base cap on until you are ready to inject.
Check the Pen label to make sure you have the right medicine and dose, and that it has not expired.





Inspect the Pen to make sure that it is not damaged.


Make sure the medicine:
  • is not frozen
  • is not cloudy
  • is colorless to slightly yellow
  • does not have particles
Wash your hands.
Step

1
Choose your injection site


Your healthcare provider can help you choose the injection site that is best for you.



You or another person can inject the medicine in your stomach (abdomen) or thigh.


Another person should give you the injection in the back of your upper arm.

Change (rotate) your injection site each week.

You may use the same area of your body but be sure to choose a different injection site in that area.
Step

2
Pull off the gray base cap
Make sure the Pen is locked.

Do not unlock the Pen until you place the clear base on your skin and are ready to inject.
Pull the gray base cap straight off and throw it away in your household trash.

Do not put the gray base cap back on – this could damage the needle.

Do not touch the needle.
Step

3
Place clear base on skin, then unlock


Place the clear base flat against your skin at the injection site.


Unlock by turning the lock ring.

Step

4

Press and hold up to 10 seconds


Press and hold the purple injection button for up to 10 seconds.

Listen for:

• First click = injection started

• Second click = injection completed


You will know your injection is complete when the gray plunger is visible.
After your injection, place the used Pen in a sharps container.
See Disposing of your used Pen.

Disposing of your used Pen

  • Put your used Pen in an FDA-cleared sharps disposal container right away after use. Do not throw away (dispose of) Pens in your household trash.



  • If you do not have an FDA-cleared sharps disposal container, you may use a household container that is:
    • -
      made of a heavy-duty plastic,
    • -
      can be closed with a tight-fitting, puncture-resistant lid, without sharps being able to come out,
    • -
      upright and stable during use,
    • -
      leak-resistant, and
    • -
      properly labeled to warn of hazardous waste inside the container.


  • When your sharps disposal container is almost full, you will need to follow your community guidelines for the right way to dispose of your sharps disposal container. There may be state or local laws about how you should throw away used needles and syringes. For more information about safe sharps disposal, and for specific information about sharps disposal in the state that you live in, go to the FDA's website at: http://www.fda.gov/safesharpsdisposal.



  • Do not recycle your used sharps disposal container.

Storage and handling

  • Store your Pen in the refrigerator between 36°F to 46°F (2°C to 8°C).



  • You may store your Pen at room temperature up to 86°F (30°C) for up to 21 days.



  • Do not freeze your Pen. If the Pen has been frozen, throw the Pen away and use a new Pen.



  • Store your Pen in the original carton to protect your Pen from light.



  • The Pen has glass parts. Handle it carefully. If you drop the Pen on a hard surface, do not use it. Use a new Pen for your injection.



  • Keep your MOUNJARO Pen and all medicines out of the reach of children.

Commonly asked questions

What if I see air bubbles in my Pen?

Air bubbles are normal.

What if my Pen is not at room temperature?

It is not necessary to warm the Pen to room temperature.

What if I unlock the Pen and press the purple injection button before pulling off the gray base cap?

Do not remove the gray base cap. Throw away the Pen and get a new Pen.

What if there is a drop of liquid on the tip of the needle when I remove the gray base cap?

A drop of liquid on the tip of the needle is normal. Do not touch the needle.

Do I need to hold the injection button down until the injection is complete?

This is not necessary, but it may help you keep the Pen steady against your skin.

I heard more than 2 clicks during my injection—2 loud clicks and 1 soft one. Did I get my complete injection?

Some people may hear a soft click right before the second loud click. That is the normal operation of the Pen. Do not remove the Pen from your skin until you hear the second loud click.

I am not sure if my Pen worked the right way.

Check to see if you have received your dose. Your dose was delivered the right way if the gray plunger is visible. Also, see Step 4 of the instructions.

If you do not see the gray plunger, contact Lilly at 1-800-Lilly-Rx (1-800-545-5979) for further instructions. Until then, store your Pen safely to avoid an accidental needle stick.

What if there is a drop of liquid or blood on my skin after my injection?

This is normal. Press a cotton ball or gauze over the injection site. Do not rub the injection site.

Other information

• If you have vision problems, do not use your Pen without help from a person trained to use the MOUNJARO Pen.

Where to learn more

• If you have questions or problems with your MOUNJARO Pen, contact Lilly at 1-800-Lilly-Rx (1-800-545-5979) or call your healthcare provider.

• For more information about the MOUNJARO Pen, visit our website at www.mounjaro.com.



Scan this code to launch

www.mounjaro.com

Marketed by:

Lilly USA, LLC

Indianapolis, IN 46285, USA

MOUNJARO is a registered trademark of Eli Lilly and Company.

Copyright © 2022, 2024, Eli Lilly and Company. All rights reserved.

This Instructions for Use has been approved by the U.S. Food and Drug Administration. Revised: May 2024

MOU-0003-IFU-20240516

Mounjaro Single Dose Vial Instructions for Use (Mounjaro Single-Dose Vial Instructions for Use)
INSTRUCTIONS FOR USE

MOUNJARO® [mown-JAHR-OH]

(tirzepatide)

injection, for subcutaneous use



2.5 mg/0.5 mL single-dose vial

5 mg/0.5 mL single-dose vial

7.5 mg/0.5 mL single-dose vial

10 mg/0.5 mL single-dose vial

12.5 mg/0.5 mL single-dose vial

15 mg/0.5 mL single-dose vial

Important information you need to know before injecting MOUNJARO

Read this Instructions for Use before you start taking MOUNJARO and each time you get a new vial. There may be new information. This information does not take the place of talking to your healthcare provider about your medical condition or your treatment.

Do not share your needles or syringes with other people. You may give other people a serious infection or get a serious infection from them.

Talk to your healthcare provider about how to inject MOUNJARO the right way.

  • MOUNJARO is a single-dose vial.
  • MOUNJARO is used 1 time each week.
  • Inject under the skin (subcutaneously) only.
  • You or another person may inject into your stomach (abdomen) or thigh.
  • Another person can inject into the back of your upper arm.

Gather supplies needed to give your injection

  • 1 single-dose MOUNJARO vial
  • 1 syringe and 1 needle, supplied separately (for example, use a 1 mL syringe and needle as recommended by your healthcare provider)
  • 1 alcohol swab
  • gauze
  • 1 sharps container for throwing away used needles and syringes. See “Disposing of used needles and syringes” at the end of these instructions.
Guide to parts



Vial
Needle and Syringe (not included)

Note: The needle and syringe are not included. The needle and syringe recommended by your healthcare provider may look different than the needle and syringe in this Instructions for Use.

Preparing to inject MOUNJARO

Remove the vial from the refrigerator.

Check the vial label to make sure you have the right medicine and dose, and that it has not expired.

Make sure the medicine:

  • is not frozen
  • is not cloudy
  • is colorless to slightly yellow
  • does not have particles

Always use a new syringe and needle for each injection to prevent infections and blocked needles. Do not reuse or share your syringes or needles with other people. You may give other people a serious infection or get a serious infection from them.

Wash your hands with soap and water.

Step 1:

Pull off the plastic protective cap. Do not remove the rubber stopper.
Step 2:

Wipe the rubber stopper with an alcohol swab.
Step 3:

Remove the outer wrapping from the syringe.
Step 4:

Remove the outer wrapping from the needle.

The syringe that your healthcare provider recommended may have a pre-attached needle. If the needle is attached, skip to step 6.
Step 5:

Place the needle on top of the syringe and turn until it is tight and firmly attached.
Step 6:

Remove the needle shield by pulling straight off.
Step 7:

Hold the syringe in one hand with the needle pointing up. With the other hand pull down on the plunger until the plunger tip reaches the line on the syringe indicating that 0.5 mL of air has been drawn into the syringe.
Step 8:

Push the needle through the rubber stopper of the vial.


Step 9:

Push the plunger all the way in. This puts air into the vial and makes it easier to pull the solution from the vial.


Step 10:

Turn the vial and syringe upside down. Make sure that the tip of the needle is in the liquid and slowly pull the plunger down until the plunger tip is past the 0.5 mL line.

If there are air bubbles, tap the syringe gently a few times to let any air bubbles rise to the top.
Step 11:

Slowly push the plunger up until the plunger tip reaches the 0.5 mL line.
Step 12:

Pull the syringe out of the rubber stopper of the vial.

Injecting MOUNJARO

  • Inject exactly as your healthcare provider has shown you. Your healthcare provider should tell you if you should pinch the skin before injecting.
  • Change (rotate) your injection site within the area you choose for each dose to reduce your risk of getting lipodystrophy (pits in skin or thickened skin) and localized cutaneous amyloidosis (skin with lumps) at the injection sites.
  • Do not inject where the skin has pits, is thickened, or has lumps.
  • Do not inject where the skin is tender, bruised, scaly or hard, or into scars or damaged skin.
  • Do not mix MOUNJARO with any other medicine.
  • Do not inject MOUNJARO in the same injection site used for other medicines.
Step 13:

Choose your injection site.

You can inject MOUNJARO under the skin (subcutaneously) of your stomach area (abdomen) or thighs.

Someone else can inject in your stomach area, thighs, or the back of the upper arms.
Step 14:

Insert the needle into your skin.
Step 15:

Push down on the plunger to inject your dose.

The needle should stay in your skin for at least 5 seconds to make sure you have injected all of your dose.
Step 16:

Pull the needle out of your skin.

  • If you see blood after you take the needle out of your skin, press the injection site with a piece of gauze or an alcohol swab. Do not rub the area.
  • Do not recap the needle. Recapping the needle can lead to a needle stick injury.

Disposing of used needles and syringes

  • Put your used needle and syringe in an FDA-cleared sharps disposal container right away after use. Do not throw away (dispose of) loose needles and syringes in your household trash.
  • If you do not have an FDA-cleared sharps disposal container, you may use a household container that is:
    • -
      made of a heavy-duty plastic,
    • -
      can be closed with a tight-fitting, puncture-resistant lid, without sharps being able to come out,
    • -
      upright and stable during use,
    • -
      leak-resistant, and
    • -
      properly labeled to warn of hazardous waste inside the container.
  • When your sharps disposal container is almost full, you will need to follow your community guidelines for the right way to dispose of your sharps disposal container. There may be state or local laws about how you should throw away used needles and syringes. For more information about safe sharps disposal, and for specific information about sharps disposal in the state that you live in, go to the FDA’s website at:

    http://www.fda.gov/safesharpsdisposal.
  • Do not dispose of your used sharps disposal container in your household trash unless your community guidelines permit this. Do not recycle your used sharps disposal container.

Storing MOUNJARO

  • Store all unopened vials in the refrigerator at 36°F to 46°F (2°C to 8°C).
  • You may store the unopened vial at room temperature up to 86°F (30°C) for up to 21 days.
  • Do not freeze. Do not use if MOUNJARO has been frozen.
  • Store the vial in the original carton to protect from light.
  • Throw away all opened vials after use, even if there is medicine left in the vial.

Keep MOUNJARO vials, syringes, needles, and all medicines out of the reach of children.

If you have any questions or problems with your MOUNJARO, contact Lilly at 1-800-Lilly-Rx (1-800-545-5979) or call your healthcare provider for help.

Marketed by:

Lilly USA, LLC

Indianapolis, IN 46285, USA

MOUNJARO is a registered trademark of Eli Lilly and Company.

Copyright © 2023, 2024, Eli Lilly and Company. All rights reserved.

MON-VL-0002-IFU-20240229

This Instructions for Use has been approved by the U.S. Food and Drug Administration.

Revised: February 2024

5.5 Acute Kidney Injury Due to Volume Depletion

There have been postmarketing reports of acute kidney injury, in some cases requiring hemodialysis, in patients treated with GLP-1 receptor agonists, or MOUNJARO. The majority of the reported events occurred in patients who experienced gastrointestinal adverse reactions leading to dehydration such as nausea, vomiting, or diarrhea [see Adverse Reactions (6)].

Monitor renal function in patients reporting adverse reactions to MOUNJARO that could lead to volume depletion, especially during dosage initiation and escalation of MOUNJARO.

Mounjaro Multiple Dose Vial Instructions for Use (Mounjaro Multiple-Dose Vial Instructions for Use)

INSTRUCTIONS FOR USE

MOUNJARO ® [mown-JAHR-OH]

(tirzepatide)

injection, for subcutaneous use

Multi-dose vial

Each vial contains 4 doses, one dose taken weekly.

Important information you need to know before injecting MOUNJARO

Read this Instructions for Use before you start taking MOUNJARO and each time you get a new vial. There may be new information. This information does not take the place of talking to your healthcare provider about your medical condition or your treatment.

Do not share your needles or syringes with other people.

Talk to your healthcare provider about how to inject MOUNJARO the right way.

  • MOUNJARO is a multi-dose vial. The vial contains 4 doses, one dose taken weekly.
  • Inject 0.6 mL in a single weekly injection, under the skin (subcutaneously).
  • You or another person may inject into your stomach (abdomen) or thigh.
  • Another person can inject into the back of your upper arm.

Gather supplies needed to give your injection

  • 1 multi-dose MOUNJARO vial
  • 1 syringe and 1 needle, supplied separately (for example, use a 1 mL syringe and needle as recommended by your healthcare provider)
  • 1 alcohol swab
  • gauze
  • 1 sharps container for throwing away used needles and syringes. See “Disposing of used needles and syringes” at the end of these instructions.
Guide to parts
Vial Needle and Syringe (not included)

Note: The needle and syringe are not included. The needle and syringe recommended by your healthcare provider may look different than the needle and syringe in this Instructions for Use.

Preparing to inject MOUNJARO

Check the vial label to make sure you have the right medicine and dose, and that it has not expired.

Make sure the medicine:

  • is not frozen
  • is colorless to slightly yellow
  • is not cloudy
  • does not have particles

Always use a new syringe and needle for each injection to prevent infections and blocked needles. Do not reuse or share your syringes or needles with other people. You may give other people a serious infection or get a serious infection from them.

Wash your hands with soap and water.

Step 1:

If you are using a new vial, pull off the plastic protective cap. Do not remove the rubber stopper.
Step 2:

Wipe the rubber stopper with an alcohol swab.
Step 3:

Remove the outer wrapping from the syringe.
Step 4:

Remove the outer wrapping from the needle.

The syringe that your healthcare provider recommended may have a pre-attached needle. If the needle is attached, skip to step 6.
Step 5:

Place the needle on top of the syringe and turn until it is tight and firmly attached.
Step 6:

Remove the needle shield by pulling straight off.
Step 7:

Hold the syringe in one hand with the needle pointing up. With the other hand pull down on the plunger until the plunger tip reaches the line on the syringe indicating that 0.6 mL of air has been drawn into the syringe.
Step 8:

Push the needle through the rubber stopper of the vial.
Step 9:

Push the plunger all the way in. This puts air into the vial and makes it easier to pull the solution from the vial.
Step 10:

Turn the vial and syringe upside down. Make sure that the tip of the needle is in the liquid and slowly pull the plunger down until the plunger tip is past the 0.6 mL line.

If there are air bubbles, tap the syringe gently a few times to let any air bubbles rise to the top.
Step 11:

Slowly push the plunger up until the plunger tip reaches the 0.6 mL line.
Step 12:

Pull the syringe out of the rubber stopper of the vial.

Injecting MOUNJARO

  • Inject exactly as your healthcare provider has shown you. Your healthcare provider should tell you if you should pinch the skin before injecting.
  • Change (rotate) your injection site within the area you choose for each dose to reduce your risk of getting lipodystrophy (pits in skin or thickened skin) and localized cutaneous amyloidosis (skin with lumps) at the injection sites.
  • Do not inject where the skin has pits, is thickened, or has lumps.
  • Do not inject where the skin is tender, bruised, scaly or hard, or into scars or damaged skin.
  • Do not mix MOUNJARO with any other medicine.
  • Do not inject MOUNJARO in the same injection site used for other medicines.
Step 13:

Choose your injection site.

You can inject MOUNJARO under the skin (subcutaneously) of your stomach area (abdomen) or thighs.

Someone else can inject in your stomach area, thighs, or the back of the upper arms.
Step 14:

Insert the needle into your skin.
Step 15:

Push down on the plunger to inject your dose.

The needle should stay in your skin for at least 5 seconds to make sure you have injected all of your dose.
Step 16:

Pull the needle out of your skin.

  • If you see blood after you take the needle out of your skin, press the injection site with a piece of gauze. Do not rub the area.
  • Do not recap the needle. Recapping the needle can lead to a needle stick injury.

Disposing of used needles and syringes

  • Put your used needle and syringe in an FDA-cleared sharps disposal container right away after use. Do not throw away (dispose of) loose needles and syringes in your household trash.
  • If you do not have an FDA-cleared sharps disposal container, you may use a household container that is:
    • -
      made of a heavy-duty plastic,
    • -
      can be closed with a tight-fitting, puncture-resistant lid, without sharps being able to come out,
    • -
      upright and stable during use,
    • -
      leak-resistant, and
    • -
      properly labeled to warn of hazardous waste inside the container.
  • When your sharps disposal container is almost full, you will need to follow your community guidelines for the right way to dispose of your sharps disposal container. There may be state or local laws about how you should throw away used needles and syringes. For more information about safe sharps disposal, and for specific information about sharps disposal in the state that you live in, go to the FDA's website at:

    http://www.fda.gov/safesharpsdisposal.
  • Do not dispose of your used sharps disposal container in your household trash unless your community guidelines permit this. Do not recycle your used sharps disposal container.

Storing MOUNJARO

  • Do not freeze. Do not use if MOUNJARO has been frozen.
  • Store MOUNJARO in the original carton. Keep away from light.

Unopened vial:

  • Store unopened vial in the refrigerator at 36°F to 46°F (2°C to 8°C). It can be used until the expiration date on the label if kept in the refrigerator.
  • If stored at room temperature [up to 86°F (30°C)], throw away unopened vial after 30 days.

After vial has been opened:

  • Store opened (in-use) vial in the original carton in the refrigerator at 36°F to 46°F (2°C to 8°C) or at room temperature [up to 86°F (30°C)]. Throw away opened vial after a total of 30 days at room temperature, 30 days after first use, or after taking 4 weekly doses, even if there is medicine left in it.

Keep MOUNJARO vials, syringes, needles, and all medicines out of the reach of children.

If you have any questions or problems with your MOUNJARO, contact Lilly at 1-800-Lilly-Rx (1-800-545-5979) or call your healthcare provider for help.

Marketed by:

Lilly USA, LLC

Indianapolis, IN 46285, USA

MOUNJARO is a registered trademark of Eli Lilly and Company.

Copyright © 2026, Eli Lilly and Company. All rights reserved.

MON-MDV-0001-IFU-20260107

This Instructions for Use has been approved by the U.S. Food and Drug Administration.

Revised: January 2026

Mounjaro Kwikpen Multi Dose Pen Instructions for Use (Mounjaro KwikPen Multi-Dose Pen Instructions for Use)

INSTRUCTIONS FOR USE

MOUNJARO® [mown-JAHR-OH] KwikPen ® [KWIHK pehn]

(tirzepatide)

injection, for subcutaneous use

multi-dose single-patient-use prefilled pen

Each pen contains 4 fixed doses, one dose taken weekly.

This Instructions for Use contains information on how to inject MOUNJARO.

Important information you need to know before injecting MOUNJARO

Read this INSTRUCTIONS FOR USE before you start injecting MOUNJARO KwikPen (Pen) and each time you get another new Pen. There may be new information. This information does not take the place of talking to your healthcare provider about your medical condition or your treatment.

  • MOUNJARO KwikPen is a disposable multi-dose single-patient-use prefilled pen. The Pen contains 4 fixed doses, one dose taken weekly. Inject a single weekly injection, under the skin (subcutaneously).
  • For your weekly dose, you need to turn the dose knob all the way until it stops AND the

    icon is in dose window.

  • After 4 doses, throw away (discard) the Pen, including the unused medicine. The Pen will prevent you from dialing a full dose after you have given yourself 4 weekly doses. Do not inject the leftover medicine. Do not transfer MOUNJARO from your Pen into a syringe.
  • Do not share your MOUNJARO Pen with other people, even if the pen needle has been changed. You may give other people a serious infection or get a serious infection from them.
  • People who are blind or have vision problems should not use the Pen without help from a person trained to use the Pen.
Guide to parts

Parts of the MOUNJARO Pen

Supplies needed to give your injection
  • MOUNJARO KwikPen
  • KwikPen-compatible Pen Needle (not included)
  • Alcohol swab
  • Gauze or cotton ball
  • FDA-cleared sharps disposal container or household container
Preparing to inject MOUNJARO
Step 1:

  • Wash your hands with soap and water.
Step 2:

  • Pull the Pen cap straight off.
  • Inspect the Pen and label. Do not use if:
    • the medicine name or dose strength does not match your prescription.
    • the Pen is expired (EXP) or looks damaged.
    • the medicine has been frozen, has particles, is cloudy, or is discolored. MOUNJARO should be colorless to slightly yellow.
Step 3:

  • Wipe the red inner seal with an alcohol swab.
Step 4:

  • Select a new pen needle. Always use a new pen needle for each injection to help prevent infections and blocked needles.
  • Pull off the paper tab from the outer needle shield.
Step 5:

  • Push the capped pen needle straight onto the Pen and twist the pen needle on until it is tight.
Step 6:

  • Pull off the outer needle shield and keep it. This will be reused.
  • Pull off the inner needle shield. Put it in your household trash.
a. Outer needle shield b. Inner needle shield

Priming your Pen
Prime before each weekly injection. Priming removes air from the cartridge and makes sure that your Pen is working correctly.
Step 7:
  • Slowly turn the dose knob until you hear 2 clicks and the

    extended line is shown in the dose window.

    This is the prime position. It can be corrected by turning the dose knob in either direction until the prime position lines up to the dose indicator.

Step 8:

  • Hold your Pen with the needle pointing up.
  • Tap the cartridge holder gently to collect air bubbles at the top.
Step 9:

  • Release some medicine into the air by pushing the dose knob in until it stops, then slowly count to 5 while holding the dose knob. The

    icon must be shown in the dose window. Do not inject into your body.

    Your Pen has been primed if a small amount (a drop) of medicine comes out of the tip of the pen needle.

    • If you do not see medicine, repeat steps 7-9, no more than 2 additional times.
    • If you still do not see medicine, then change the pen needle and repeat steps 7-9, no more than 1 additional time.
    • If you still do not see medicine, contact Lilly at

      1-800-LillyRx (1-800-545-5979).
Injecting MOUNJARO
Step 10:

  • Choose an injection site.
    • You or another person can inject the medicine in your thigh or stomach (abdomen) at least 2 inches from the belly button.
    • Another person should give you the injection in the back of your upper arm.
  • Change (rotate) your injection site each week. You may use the same area of your body but be sure to choose a different injection site in that area.
a. Front        b. Back
Step 11:
  • Turn the dose knob all the way until it stops AND the

    icon is in the dose window. This is your weekly dose.



    Do not count clicks as you select the dose.

Step 12:

  • Insert the needle into your skin.









  • Inject the medicine by pushing the dose knob in until it stops then slowly count to 5 while holding the dose knob. You may notice the plunger moving with each injection. The

    icon must be shown in the dose window before removing the needle.

Step 13:

  • Pull the needle out of your skin. A drop of medicine on the needle tip is normal. It will not affect your dose.
  • Confirm the

    icon is in the dose window.

    If you see the
    icon in the dose window, you have received the full dose.

    If you do not see the
    icon in the dose window, insert the needle back into your skin and finish your injection. Do not redial the dose.

    If you still do not think you received the full dose, do not start over or repeat the injection. See “Troubleshooting” section for more information.

After your MOUNJARO injection
Step 14:

  • If you see blood after you pull the needle out of your skin, lightly press the injection site with gauze or a cotton ball.

    Do not rub the injection site.
Step 15:

  • Carefully replace the outer needle shield.
Step 16:

  • Unscrew the capped needle and put the needle in a sharps container (see "Disposing of MOUNJARO KwikPen and pen needles" section).

    Do not store the Pen with the needle attached to prevent leaking, blocking the needle, and air from entering the Pen.
Step 17:

  • Replace the Pen cap.

    Do not store the Pen without the Pen cap attached.
Storing your MOUNJARO KwikPen

Unused Pens:

  • Store unused Pens in the refrigerator between 36°F to 46°F (2°C to 8°C).
  • Unused Pens may be used until the expiration date (EXP) printed on the label if the Pen has been kept in the refrigerator.
  • Do not freeze your Pen. Throw away (discard) the Pen if it has been frozen.

Used Pens:

  • You may store your used Pen at room temperature up to 86°F (30°C) after your injection.
  • Keep away from heat and light.
  • Keep your Pen and needles out of the sight and reach of children.
  • Throw away the Pen 30 days after first use even though the Pen has medicine left in it.
  • Throw away the Pen after receiving 4 weekly doses. Attempting to inject any leftover medicine could result in an incomplete dose even though the Pen still has medicine left in it.
Disposing of MOUNJARO KwikPen and pen needles
  • Put your used pen needles in an FDA-cleared sharps disposal container right away after use.
  • Do not throw away (discard) loose pen needles in your household trash.
  • Discard the used Pen in your household trash or FDA-cleared sharps disposal container after you have removed the needle.
  • If you do not have an FDA-cleared sharps disposal container, you may use a household container that is:
    • made of a heavy-duty plastic,
    • can be closed with a tight-fitting, puncture-resistant lid, without sharps being able to come out,
    • upright and stable during use,
    • leak-resistant, and
    • properly labeled to warn of hazardous waste inside the container.
  • When your sharps disposal container is almost full, you will need to follow your community guidelines for the right way to dispose of your sharps disposal container. There may be state or local laws about how you should throw away (discard) used needles. For more information about safe sharps disposal, and for specific information about sharps disposal in the state you live in, go to the FDA's website at: http://www.fda.gov/safesharpsdisposal.
  • Do not dispose of your used sharps disposal container in your household trash unless your community guidelines permit this. Do not recycle your used sharps disposal container.
Troubleshooting
  • If you cannot remove the Pen cap, gently twist the Pen cap back and forth, and then pull the Pen cap straight off.
  • If the dose knob is hard to push:
    • pushing the dose knob more slowly will make it easier to inject.
    • your needle may be blocked. Put on a new pen needle and prime the Pen.
    • you may have dust, food, or liquid inside the Pen. Throw the Pen away and get a new Pen.
  • If the Pen prevents you from turning the dose knob until the

    is in the dose window:

    • Throw away (discard) the Pen, including the unused medicine. There may not be enough medicine left in the pen to give a full dose. Do not attempt to inject the leftover medicine.

Additional Information:

If you have any questions or problems with MOUNJARO KwikPen:

  • Call your healthcare provider
  • Call 1-800-Lilly-Rx (1-800-545-5979)
  • Visit www.mounjaro.com
Scan this code to launch

www.mounjaro.com

MOUNJARO® and KwikPen® are registered trademarks of Eli Lilly and Company.

Marketed by:

Lilly USA, LLC

Indianapolis, IN 46285, USA

Copyright ©2026, Eli Lilly and Company. All rights reserved.

MOUNJARO KwikPen meets the current dose accuracy and functional requirements of ISO 11608-1.

This Instructions for Use has been approved by the U.S. Food and Drug Administration.

Revised: January 2026

MOUKP-0002-IFU-20260121

Medication Calendar
Use MOUNJARO 1 time a week.

Write the day of the week you choose to inject. Inject on this day each week (Example: Monday).
I inject my weekly dose on the dates below.
(Month/Day) (Month/Day) (Month/Day) (Month/Day)
 
13.1 Carcinogenesis, Mutagenesis, Impairment of Fertility

A 2-year carcinogenicity study was conducted with tirzepatide in male and female rats at doses of 0.15, 0.50, and 1.5 mg/kg (0.1-, 0.4-, and 1-fold the MRHD of 15 mg once weekly based on AUC) administered by subcutaneous injection twice weekly. A statistically significant increase in thyroid C-cell adenomas was observed in males (≥0.5 mg/kg) and females (≥0.15 mg/kg), and a statistically significant increase in thyroid C-cell adenomas and carcinomas combined was observed in males and females at all doses examined. In a 6-month carcinogenicity study in rasH2 transgenic mice, tirzepatide at doses of 1, 3, and 10 mg/kg administered by subcutaneous injection twice weekly was not tumorigenic.

Tirzepatide was not genotoxic in a rat bone marrow micronucleus assay.

In fertility and early embryonic development studies, male and female rats were administered twice weekly subcutaneous doses of 0.5, 1.5, or 3 mg/kg (0.3-, 1-, and 2-fold and 0.3-, 0.9-, and 2-fold, respectively, the MRHD of 15 mg once weekly based on AUC). No effects of tirzepatide were observed on sperm morphology, mating, fertility, and conception. In female rats, an increase in the number of females with prolonged diestrus and a decrease in the mean number of corpora lutea resulting in a decrease in the mean number of implantation sites and viable embryos was observed at all dose levels. These effects were considered secondary to the pharmacological effects of tirzepatide on food consumption and body weight.

Package Label Mounjaro Single Dose Vial 5 Mg/0.5 Ml Dose (PACKAGE LABEL - Mounjaro Single-Dose Vial - 5 mg/0.5 mL Dose)

NDC 0002-1243-01

Mounjaro®

(tirzepatide) injection

5 mg/0.5 mL

Single-dose Vial - discard unused portion

Rx Only

For Subcutaneous Use

Needles and Syringes are not included

Dispense enclosed Medication Guide to each patient.

Lilly

Package Label Mounjaro Single Dose Vial 10 Mg/0.5 Ml Dose (PACKAGE LABEL - Mounjaro Single-Dose Vial - 10 mg/0.5 mL Dose)

NDC 0002-2340-01

Mounjaro®

(tirzepatide) injection

10 mg/0.5 mL

Single-dose Vial - discard unused portion

Rx Only

For Subcutaneous Use

Needles and Syringes are not included

Dispense enclosed Medication Guide to each patient.

Lilly

Package Label Mounjaro Single Dose Vial 15 Mg/0.5 Ml Dose (PACKAGE LABEL - Mounjaro Single-Dose Vial - 15 mg/0.5 mL Dose)

NDC 0002-3002-01

Mounjaro®

(tirzepatide) injection

15 mg/0.5 mL

Single-dose Vial - discard unused portion

Rx Only

For Subcutaneous Use

Needles and Syringes are not included

Dispense enclosed Medication Guide to each patient.

Lilly

Package Label Mounjaro Single Dose Vial 2.5 Mg/0.5 Ml Dose (PACKAGE LABEL - Mounjaro Single-Dose Vial - 2.5 mg/0.5 mL Dose)

NDC 0002-1152-01

Mounjaro®

(tirzepatide) injection

2.5 mg/0.5 mL

Single-dose Vial - discard unused portion

Rx Only

For Subcutaneous Use

Needles and Syringes are not included

Dispense enclosed Medication Guide to each patient.

Lilly

Package Label Mounjaro Single Dose Vial 7.5 Mg/0.5 Ml Dose (PACKAGE LABEL - Mounjaro Single-Dose Vial - 7.5 mg/0.5 mL Dose)

NDC 0002-2214-01

Mounjaro®

(tirzepatide) injection

7.5 mg/0.5 mL

Single-dose Vial - discard unused portion

Rx Only

For Subcutaneous Use

Needles and Syringes are not included

Dispense enclosed Medication Guide to each patient.

Lilly

Package Label Mounjaro Single Dose Vial 12.5 Mg/0.5 Ml Dose (PACKAGE LABEL - Mounjaro Single-Dose Vial - 12.5 mg/0.5 mL Dose)

NDC 0002-2423-01

Mounjaro®

(tirzepatide) injection

12.5 mg/0.5 mL

Single-dose Vial - discard unused portion

Rx Only

For Subcutaneous Use

Needles and Syringes are not included

Dispense enclosed Medication Guide to each patient.

Lilly

5.9 Pulmonary Aspiration During General Anesthesia Or Deep Sedation (5.9 Pulmonary Aspiration During General Anesthesia or Deep Sedation)

MOUNJARO delays gastric emptying [see Clinical Pharmacology (12.2)]. There have been rare postmarketing reports of pulmonary aspiration in patients receiving GLP-1 receptor agonists undergoing elective surgeries or procedures requiring general anesthesia or deep sedation who had residual gastric contents despite reported adherence to preoperative fasting recommendations.

Available data are insufficient to inform recommendations to mitigate the risk of pulmonary aspiration during general anesthesia or deep sedation in patients taking MOUNJARO, including whether modifying preoperative fasting recommendations or temporarily discontinuing MOUNJARO could reduce the incidence of retained gastric contents. Instruct patients to inform healthcare providers prior to any planned surgeries or procedures if they are taking MOUNJARO.

Package Label Mounjaro Prefilled Pen (autoinjector) 5 Mg/0.5 Ml Dose (PACKAGE LABEL - Mounjaro Prefilled Pen (Autoinjector) - 5 mg/0.5 mL Dose)

NDC 0002-1495-80

Mounjaro®

(tirzepatide) injection

5 mg/0.5 mL

Use one pen every week.

4 Single-dose prefilled pens

4 x 5 mg/0.5 mL prefilled pens

Rx Only

For Subcutaneous Use

Dispense enclosed Medication Guide to each patient.

Lilly

5.3 Hypoglycemia With Concomitant Use of Insulin Secretagogues Or Insulin (5.3 Hypoglycemia with Concomitant Use of Insulin Secretagogues or Insulin)

Patients receiving MOUNJARO in combination with an insulin secretagogue (e.g., sulfonylurea) or insulin may have an increased risk of hypoglycemia, including severe hypoglycemia [see Adverse Reactions (6.1), Drug Interactions (7.1)].

The risk of hypoglycemia may be lowered by a reduction in the dose of sulfonylurea (or other concomitantly administered insulin secretagogue) or insulin. Inform patients using these concomitant medications of the risk of hypoglycemia and educate them on the signs and symptoms of hypoglycemia.

Package Label Mounjaro Prefilled Pen (autoinjector) 10 Mg/0.5 Ml Dose (PACKAGE LABEL - Mounjaro Prefilled Pen (Autoinjector) - 10 mg/0.5 mL Dose)

NDC 0002-1471-80

Mounjaro®

(tirzepatide) injection

10 mg/0.5 mL

Use one pen every week.

4 Single-dose prefilled pens

4 x 10 mg/0.5 mL prefilled pens

Rx Only

For Subcutaneous Use

Dispense enclosed Medication Guide to each patient.

Lilly

Package Label Mounjaro Prefilled Pen (autoinjector) 15 Mg/0.5 Ml Dose (PACKAGE LABEL - Mounjaro Prefilled Pen (Autoinjector) - 15 mg/0.5 mL Dose)

NDC 0002-1457-80

Mounjaro®

(tirzepatide) injection

15 mg/0.5 mL

Use one pen every week.

4 Single-dose prefilled pens

4 x 15 mg/0.5 mL prefilled pens

Rx Only

For Subcutaneous Use

Dispense enclosed Medication Guide to each patient.

Lilly

Package Label Mounjaro Prefilled Pen (autoinjector) 2.5 Mg/0.5 Ml Dose (PACKAGE LABEL - Mounjaro Prefilled Pen (Autoinjector) - 2.5 mg/0.5 mL Dose)

NDC 0002-1506-80

Mounjaro®

(tirzepatide) injection

2.5 mg/0.5 mL

Use one pen every week.

4 Single-dose prefilled pens

4 x 2.5 mg/0.5 mL prefilled pens

Rx Only

For Subcutaneous Use

Dispense enclosed Medication Guide to each patient.

Lilly

Package Label Mounjaro Prefilled Pen (autoinjector) 7.5 Mg/0.5 Ml Dose (PACKAGE LABEL - Mounjaro Prefilled Pen (Autoinjector) - 7.5 mg/0.5 mL Dose)

NDC 0002-1484-80

Mounjaro®

(tirzepatide) injection

7.5 mg/0.5 mL

Use one pen every week.

4 Single-dose prefilled pens

4 x 7.5 mg/0.5 mL prefilled pens

Rx Only

For Subcutaneous Use

Dispense enclosed Medication Guide to each patient.

Lilly

Package Label Mounjaro Prefilled Pen (autoinjector) 12.5 Mg/0.5 Ml Dose (PACKAGE LABEL - Mounjaro Prefilled Pen (Autoinjector) - 12.5 mg/0.5 mL Dose)

NDC 0002-1460-80

Mounjaro®

(tirzepatide) injection

12.5 mg/0.5 mL

Use one pen every week.

4 Single-dose prefilled pens

4 x 12.5 mg/0.5 mL prefilled pens

Rx Only

For Subcutaneous Use

Dispense enclosed Medication Guide to each patient.

Lilly

14.2 Monotherapy Use of Mounjaro in Adult Patients With Type 2 Diabetes Mellitus (14.2 Monotherapy Use of MOUNJARO in Adult Patients with Type 2 Diabetes Mellitus)

SURPASS-1 (NCT03954834) was a 40-week double-blind trial that randomized 478 adult patients with type 2 diabetes mellitus with inadequate glycemic control with diet and exercise to subcutaneous MOUNJARO 5 mg, MOUNJARO 10 mg, MOUNJARO 15 mg, or placebo once weekly.

Patients had a mean age of 54 years, and 52% were men. The mean duration of type 2 diabetes mellitus was 4.7 years, and the mean BMI was 32 kg/m2. Overall, 36% were White, 35% were Asian, 25% were American Indians/Alaska Natives, and 5% were Black or African American; 43% identified as Hispanic or Latino ethnicity.

Monotherapy with MOUNJARO 5 mg, 10 mg and 15 mg once weekly for 40 weeks resulted in a statistically significant reduction in HbA1c compared with placebo (see Table 4).

Table 4: Results at Week 40 in a Trial of MOUNJARO as Monotherapy in Adult Patients with Type 2 Diabetes Mellitus with Inadequate Glycemic Control with Diet and Exercise

a The modified intent-to-treat population consists of all randomly assigned participants who were exposed to at least 1 dose of study drug. Patients who discontinued study treatment because they did not meet study enrollment criteria were excluded. During the trial, rescue medication (additional antihyperglycemic medication) was initiated by 25%, 2%, 3%, and 2% of patients randomized to placebo, MOUNJARO 5 mg, 10 mg, and 15 mg, respectively. At Week 40 the HbA1c data were missing for 12%, 6%, 7%, and 14% of patients randomized to placebo, MOUNJARO 5 mg, 10 mg, and 15 mg, respectively. Missing Week 40 data were imputed using placebo-based multiple imputation.

b Least-squares mean from ANCOVA adjusted for baseline value and other stratification factors.

c p<0.001 (two-sided) for superiority versus placebo, adjusted for multiplicity.

d Analyzed using logistic regression adjusted for baseline value and other stratification factors.

Placebo MOUNJARO

5 mg
MOUNJARO

10 mg
MOUNJARO

15 mg
Modified Intent-to-Treat (mITT) Population (N)a 113 121 121 120
HbA1c (%)
     Baseline (mean) 8.1 8.0 7.9 7.9
     Change at Week 40b -0.1 -1.8 -1.7 -1.7
     Difference from placebob (95% CI) -- -1.7c

(-2.0, -1.4)
-1.6c

(-1.9, -1.3)
-1.6c

(-1.9, -1.3)
Patients (%) achieving HbA1c <7%d 23 82c 85c 78c
Fasting Serum Glucose (mg/dL)
     Baseline (mean) 155 154 153 154
     Change at Week 40b 4 -40 -40 -39
     Difference from

     placebob (95% CI)
-- -43c

(-55, -32)
-43c

(-55, -32)
-42c

(-54, -30)
Body Weight (kg)
     Baseline (mean) 84.5 87.0 86.2 85.5
     Change at Week 40b -1.0 -6.3 -7.0 -7.8
     Difference from

     placebob (95% CI)
-- -5.3c

(-6.8, -3.9)
-6.0c

(-7.4, -4.6)
-6.8c

(-8.3, -5.4)
7.1 Concomitant Use With An Insulin Secretagogue (e.g., Sulfonylurea) Or With Insulin (7.1 Concomitant Use with an Insulin Secretagogue (e.g., Sulfonylurea) or with Insulin)

When initiating MOUNJARO, consider reducing the dose of concomitantly administered insulin secretagogues (e.g., sulfonylureas) or insulin to reduce the risk of hypoglycemia [see Warnings and Precautions (5.3)].

Package Label Mounjaro Multi Dose Vial 15 Mg/0.6 Ml Dose (60 Mg/2.4 Ml[25 Mg/ml]) (PACKAGE LABEL - Mounjaro Multi-Dose Vial - 15 mg/0.6 mL Dose (60 mg/2.4 mL[25 mg/mL]))

Rx Only

NDC 0002-4612-11

Mounjaro

(tirzepatide) injection

60 mg/2.4 mL

(25 mg/mL)

ATTENTION:

Contains 4 doses of 15 mg/0.6 mL

2.4 mL MULTI-DOSE VIAL

For Subcutaneous Use

Needles and Syringes are not included

Dispense enclosed Medication Guide to each patient.

Lilly

Package Label Mounjaro Multi Dose Vial 5 Mg/0.6 Ml Dose (20 Mg/2.4 Ml [8.33 Mg/ml]) (PACKAGE LABEL - Mounjaro Multi-Dose Vial - 5 mg/0.6 mL Dose (20 mg/2.4 mL [8.33 mg/mL]))

Rx Only

NDC 0002-4103-11

Mounjaro

(tirzepatide) injection

20 mg/2.4 mL

(8.33 mg/mL)

ATTENTION:

Contains 4 doses of 5 mg/0.6 mL

2.4 mL MULTI-DOSE VIAL

For Subcutaneous Use

Needles and Syringes are not included

Dispense enclosed Medication Guide to each patient.

Lilly

Package Label Mounjaro Multi Dose Vial 10 Mg/0.6 Ml Dose (40 Mg/2.4 Ml [16.7 Mg/ml]) (PACKAGE LABEL - Mounjaro Multi-Dose Vial - 10 mg/0.6 mL Dose (40 mg/2.4 mL [16.7 mg/mL]))

Rx Only

NDC 0002-4304-11

Mounjaro

(tirzepatide) injection

40 mg/2.4 mL

(16.7 mg/mL)

ATTENTION:

Contains 4 doses of 10 mg/0.6 mL

2.4 mL MULTI-DOSE VIAL

For Subcutaneous Use

Needles and Syringes are not included

Dispense enclosed Medication Guide to each patient.

Lilly

5.7 Diabetic Retinopathy Complications in Patients With A History of Diabetic Retinopathy (5.7 Diabetic Retinopathy Complications in Patients with a History of Diabetic Retinopathy)

Rapid improvement in glucose control has been associated with a temporary worsening of diabetic retinopathy. MOUNJARO has not been studied in patients with non-proliferative diabetic retinopathy requiring acute therapy, proliferative diabetic retinopathy, or diabetic macular edema. Patients with a history of diabetic retinopathy should be monitored for progression of diabetic retinopathy.

Package Label Mounjaro Multi Dose Vial 2.5 Mg/0.6 Ml Dose (10 Mg/2.4 Ml [4.17 Mg/ml]) (PACKAGE LABEL - Mounjaro Multi-Dose Vial - 2.5 mg/0.6 mL Dose (10 mg/2.4 mL [4.17 mg/mL]))

Rx Only

NDC 0002-4052-11

Mounjaro

(tirzepatide) injection

10 mg/2.4 mL

(4.17 mg/mL)

ATTENTION:

Contains 4 doses of 2.5 mg/0.6 mL

2.4 mL MULTI-DOSE VIAL

For Subcutaneous Use

Needles and Syringes are not included

Dispense enclosed Medication Guide to each patient.

Lilly

Package Label Mounjaro Multi Dose Vial 7.5 Mg/0.6 Ml Dose (30 Mg/2.4 Ml [12.5 Mg/ml]) (PACKAGE LABEL - Mounjaro Multi-Dose Vial - 7.5 mg/0.6 mL Dose (30 mg/2.4 mL [12.5 mg/mL]))

Rx Only

NDC 0002-4210-11

Mounjaro

(tirzepatide) injection

30 mg/2.4 mL

(12.5 mg/mL)

ATTENTION:

Contains 4 doses of 7.5 mg/0.6 mL

2.4 mL MULTI-DOSE VIAL

For Subcutaneous Use

Needles and Syringes are not included

Dispense enclosed Medication Guide to each patient.

Lilly

Package Label Mounjaro Multi Dose Vial 12.5 Mg/0.6 Ml Dose (50 Mg/2.4 Ml [20.8 Mg/ml]) (PACKAGE LABEL - Mounjaro Multi-Dose Vial - 12.5 mg/0.6 mL Dose (50 mg/2.4 mL [20.8 mg/mL]))

Rx Only

NDC 0002-4523-11

Mounjaro

(tirzepatide) injection

50 mg/2.4 mL

(20.8 mg/mL)

ATTENTION:

Contains 4 doses of 12.5 mg/0.6 mL

2.4 mL MULTI-DOSE VIAL

For Subcutaneous Use

Needles and Syringes are not included

Dispense enclosed Medication Guide to each patient.

Lilly

14.4 Mounjaro Use in Combination With Basal Insulin With Or Without Metformin in Adult Patients With Type 2 Diabetes Mellitus (14.4 MOUNJARO Use in Combination with Basal Insulin with or without Metformin in Adult Patients with Type 2 Diabetes Mellitus)

SURPASS-5 (NCT04039503) was a 40-week double-blind trial that randomized 475 adult patients with type 2 diabetes mellitus with inadequate glycemic control on insulin glargine 100 units/mL, with or without metformin, to subcutaneous MOUNJARO 5 mg, MOUNJARO 10 mg, MOUNJARO 15 mg once weekly, or placebo. The dose of background insulin glargine was adjusted using a treat-to-target algorithm based on self-measured fasting blood glucose values, targeting <100 mg/dL.

Patients had a mean age of 61 years, and 56% were men. The mean duration of type 2 diabetes mellitus was 13.3 years, and the mean baseline BMI was 33 kg/m2. Overall, 80% were White, 1% were Black or African American, and 18% were Asian; 5% identified as Hispanic or Latino ethnicity.

The mean dose of insulin glargine at baseline was 34, 32, 35, and 33 units/day for patients receiving MOUNJARO 5 mg, 10 mg, 15 mg, and placebo, respectively. At randomization, the initial insulin glargine dose in patients with HbA1c ≤8.0% was reduced by 20%. At week 40, mean dose of insulin glargine was 38, 36, 29, and 59 units/day for patients receiving MOUNJARO 5 mg, 10 mg, 15 mg, and placebo, respectively.

Treatment with MOUNJARO 5 mg once weekly, 10 mg once weekly and 15 mg once weekly for 40 weeks resulted in a statistically significant reduction in HbA1c compared with placebo (see Table 8).

Table 8: Results at Week 40 in a Trial of MOUNJARO Added to Basal Insulin with or without Metformin in Adult Patients with Type 2 Diabetes Mellitus

a The modified intent-to-treat population consists of all randomly assigned participants who were exposed to at least 1 dose of study drug. Patients who discontinued study treatment because they did not meet study enrollment criteria were excluded. During the trial, rescue medication (additional antihyperglycemic medication) was initiated by 4%, 1%, 0%, and 1% of patients randomized to placebo, MOUNJARO 5 mg, 10 mg, and 15 mg, respectively. At Week 40 the HbA1c endpoint was missing for 2%, 6%, 3%, and 7% of patients randomized to placebo, MOUNJARO 5 mg, 10 mg, and 15 mg, respectively. Missing Week 40 data were imputed using placebo-based multiple imputation.

b Least-squares mean from ANCOVA adjusted for baseline value and other stratification factors.

c p<0.001 (two-sided) for superiority versus placebo, adjusted for multiplicity.

d Analyzed using logistic regression adjusted for baseline value and other stratification factors.

Placebo MOUNJARO

5 mg
MOUNJARO

10 mg
MOUNJARO

15 mg
Modified Intent-to-Treat (mITT) Population (N)a 119 116 118 118
HbA1c (%)
     Baseline (mean) 8.4 8.3 8.4 8.2
     Change at Week 40b -0.9 -2.1 -2.4 -2.3
     Difference from placebob (95% CI) -- -1.2c

(-1.5, -1.0)
-1.5c

(-1.8, -1.3)
-1.5c

(-1.7, -1.2)
Patients (%) achieving HbA1c <7%d 35 87c 90c 85c
Fasting Serum Glucose (mg/dL)
     Baseline (mean) 164 163 163 160
     Change at Week 40b -39 -58 -64 -63
     Difference from placebob (95% CI) -- -19c

(-27, -11)
-25c

(-32, -17)
-23c

(-31, -16)
Body Weight (kg)
     Baseline (mean) 94.2 95.8 94.6 96.0
     Change at Week 40b 1.6 -5.4 -7.5 -8.8
     Difference from placebob (95% CI) -- -7.1c

(-8.7, -5.4)
-9.1c

(-10.7, -7.5)
-10.5c

(-12.1, -8.8)
14.5 Mounjaro Use in Combination With Metformin Or Basal Insulin, Or Both in Pediatric Patients 10 Years of Age and Older With Type 2 Diabetes Mellitus (14.5 MOUNJARO Use in Combination with Metformin or Basal Insulin, or Both in Pediatric Patients 10 Years of Age and Older with Type 2 Diabetes Mellitus)

SURPASS-PEDS (NCT05260021) was a 30-week double-blind, placebo-controlled trial with a 22-week open-label extension that randomized 99 pediatric patients 10 years of age and older with type 2 diabetes mellitus with inadequate glycemic control on metformin (69%), or basal insulin (8%), or both (23%) to receive subcutaneous MOUNJARO 5 mg, MOUNJARO 10 mg, or placebo once weekly as add-on therapy.

Patients had a mean age of 15 years, and 61% were female. The mean duration of type 2 diabetes mellitus was 2.4 years, mean HbA1c was 8.0%, mean weight was 97 kg, and the mean baseline BMI was 35 kg/m2. Overall, 58% were White, 11% were Black or African American, 6% were Asian, 20% were American Indian or Alaska Native, and 5% were other races; 66% identified as Hispanic or Latino ethnicity.

Treatment with MOUNJARO 5 mg once weekly and 10 mg once weekly for 30 weeks, both pooled and individually, resulted in a statistically significant reduction in HbA1c compared with placebo (see Table 9).

Table 9: Results at Week 30 in a Trial of MOUNJARO Added to Metformin or Basal Insulin, or Both in Pediatric Patients 10 Years of Age and Older with Type 2 Diabetes Mellitus

a The modified intent-to-treat population consists of all randomly assigned participants who were exposed to at least 1 dose of study drug. During the trial, rescue medication (additional antihyperglycemic medication) was initiated by 6%, 0%, and 0% of patients randomized to placebo, MOUNJARO 5 mg, and 10 mg, respectively. At Week 30 the HbA1c endpoint was missing for 6%, 9%, and 18% of patients randomized to placebo, MOUNJARO 5 mg, and 10 mg, respectively. Missing Week 30 data were imputed using multiple imputation with placebo wash-out or with assumption of missing at random.

b Least-squares mean from ANCOVA adjusted for baseline value and other stratification factors.

c p<0.001 (two-sided) for superiority versus placebo, adjusted for multiplicity.

d Response in (%) is calculated by combining proportion of participants achieving target in imputed datasets using Rubin's rule.

e p<0.01 (two-sided) for superiority versus placebo, adjusted for multiplicity.

f Any missing values at baseline were imputed as missing at random.

Placebo MOUNJARO

5 mg
MOUNJARO

10 mg
MOUNJARO

5 mg/10 mg pooled
Modified Intent-to-Treat (mITT) Population (N)a 34 32 33 65
HbA1c (%)
      Baseline (mean) 8.0 8.2 7.9 8.1
      Change at Week 30b -0.2 -1.9 -2.2 -2.0
      Difference from placebob (95% CI) -- -1.7c

(-2.4, -1.0)
-2.0c

(-2.7, -1.3)
-1.8c

(-2.4, -1.2)
Patients (%) with HbA1c ≤6.5% at Week 30d 28 68c 81c 75c
Fasting Serum Glucose (mg/dL)
      Baseline (mean) 156f 148f 152f 150f
      Change at Week 30b -5 -35 -51 -43
      Difference from placebob (95% CI) -- -30e

(-53, -8)
-46c

(-68, -24)
-38c

(-57, -19)
BMI (kg/m2)
      Baseline (mean) 34.7 33.9 37.7 35.8
      Percent Change at Week 30b -0.5 -6.9 -10.8 -8.8
      Difference from placebo (%)b (95% CI) -- -6.4c

(-9.5, -3.2)
-10.3c

(-13.5, -7.1)
-8.3c

(-11.0, -5.6)

Advanced Ingredient Data


Raw Label Data

All Sections (JSON)