SPL v6
SPL
SPL Set ID d2be8de3-04fe-4e92-82b4-98d749b89596
Route
ORAL
Published
Effective Date 2011-12-02
Document Type 34391-3 Human Prescription Drug Label

Drug Facts

Composition & Product

Active Ingredients
Granisetron (1 mg)
Inactive Ingredients
Hypromelloses Lactose Monohydrate Magnesium Stearate Cellulose, Microcrystalline Polyethylene Glycol, Unspecified Polysorbate 80 Sodium Starch Glycolate Type A Potato Titanium Dioxide

Identifiers & Packaging

Pill Appearance
Imprint: 1GN Shape: triangle Color: white Size: 7 mm Score: 1
Marketing Status
ANDA Active Since 2009-06-22

Description

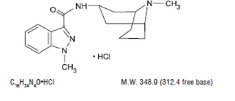
Granisetron hydrochloride tablets USP contain granisetron hydrochloride USP, an antinauseant and antiemetic agent. Chemically it is endo -N-(9-methyl-9-azabicyclo [3.3.1] non-3-yl)-1-methyl-1H-indazole-3-carboxamide hydrochloride. Granisetron hydrochloride is a white to off-white crystalline powder that is freely soluble in water and slightly soluble in methanol.

Indications and Usage

Granisetron hydrochloride tablets USP are indicated for the prevention of: Nausea and vomiting associated with initial and repeat courses of emetogenic cancer therapy, including high-dose cisplatin. Nausea and vomiting associated with radiation, including total body irradiation and fractionated abdominal radiation.

Contraindications

Granisetron hydrochloride is contraindicated in patients with known hypersensitivity to the drug or any of its components.

Adverse Reactions

QT prolongation has been reported with granisetron hydrochloride (see PRECAUTIONS and Drug Interactions ).

Drug Interactions

Granisetron does not induce or inhibit the cytochrome P-450 drug-metabolizing enzyme system in vitro . There have been no definitive drug-drug interaction studies to examine pharmacokinetic or pharmacodynamic interaction with other drugs; however, in humans, granisetron hydrochloride Injection has been safely administered with drugs representing benzodiazepines, neuroleptics, and anti-ulcer medications commonly prescribed with antiemetic treatments. Granisetron hydrochloride Injection also does not appear to interact with emetogenic cancer chemotherapies. Because granisetron is metabolized by hepatic cytochrome P-450 drug-metabolizing enzymes, inducers or inhibitors of these enzymes may change the clearance and, hence, the half-life of granisetron. No specific interaction studies have been conducted in anesthetized patients. In addition, the activity of the cytochrome P-450 subfamily 3A4 (involved in the metabolism of some of the main narcotic analgesic agents) is not modified by granisetron hydrochloride in vitro. In in vitro human microsomal studies, ketoconazole inhibited ring oxidation of granisetron. However, the clinical significance of in vivo pharmacokinetic interactions with ketoconazole is not known. In a human pharmacokinetic study, hepatic enzyme induction with phenobarbital resulted in a 25% increase in total plasma clearance of intravenous granisetron. The clinical significance of this change is not known. QT prolongation has been reported with granisetron hydrochloride. Use of granisetron hydrochloride in patients concurrently treated with drugs known to prolong the QT interval and/or are arrhythmogenic may result in clinical consequences. Serotonin syndrome (including altered mental status, autonomic instability, and neuromuscular symptoms) has been described following the concomitant use of 5-HT 3 receptor antagonists and other serotonergic drugs, including selective serotonin reuptake inhibitors (SSRIs) and serotonin and noradrenaline reuptake inhibitors (SNRIs) [see Warnings].


Medication Information

Indications and Usage

Granisetron hydrochloride tablets USP are indicated for the prevention of:



Nausea and vomiting associated with initial and repeat courses of emetogenic cancer therapy, including high-dose cisplatin.

Nausea and vomiting associated with radiation, including total body irradiation and fractionated abdominal radiation.

Contraindications


Granisetron hydrochloride is contraindicated in patients with known hypersensitivity to the drug or any of its components.

Adverse Reactions


QT prolongation has been reported with granisetron hydrochloride (see PRECAUTIONS and Drug Interactions ).

Drug Interactions

Granisetron does not induce or inhibit the cytochrome P-450 drug-metabolizing enzyme system in vitro. There have been no definitive drug-drug interaction studies to examine pharmacokinetic or pharmacodynamic interaction with other drugs; however, in humans, granisetron hydrochloride Injection has been safely administered with drugs representing benzodiazepines, neuroleptics, and anti-ulcer medications commonly prescribed with antiemetic treatments. Granisetron hydrochloride Injection also does not appear to interact with emetogenic cancer chemotherapies. Because granisetron is metabolized by hepatic cytochrome P-450 drug-metabolizing enzymes, inducers or inhibitors of these enzymes may change the clearance and, hence, the half-life of granisetron. No specific interaction studies have been conducted in anesthetized patients. In addition, the activity of the cytochrome P-450 subfamily 3A4 (involved in the metabolism of some of the main narcotic analgesic agents) is not modified by granisetron hydrochloride in vitro.



In in vitro human microsomal studies, ketoconazole inhibited ring oxidation of granisetron. However, the clinical significance of in vivo pharmacokinetic interactions with ketoconazole is not known. In a human pharmacokinetic study, hepatic enzyme induction with phenobarbital resulted in a 25% increase in total plasma clearance of intravenous granisetron. The clinical significance of this change is not known.



QT prolongation has been reported with granisetron hydrochloride. Use of granisetron hydrochloride in patients concurrently treated with drugs known to prolong the QT interval and/or are arrhythmogenic may result in clinical consequences.



Serotonin syndrome (including altered mental status, autonomic instability, and neuromuscular symptoms) has been described following the concomitant use of 5-HT3 receptor antagonists and other serotonergic drugs, including selective serotonin reuptake inhibitors (SSRIs) and serotonin and noradrenaline reuptake inhibitors (SNRIs) [see Warnings].





Description


Granisetron hydrochloride tablets USP contain granisetron hydrochloride USP, an antinauseant and antiemetic agent. Chemically it is endo-N-(9-methyl-9-azabicyclo [3.3.1] non-3-yl)-1-methyl-1H-indazole-3-carboxamide hydrochloride.









Granisetron hydrochloride is a white to off-white crystalline powder that is freely soluble in water and slightly soluble in methanol.



Section 42229-5

Moderatly Emetogenic Chemotherapy

The first trial compared granisetron hydrochloride tablets  doses of 0.25 mg to 2 mg twice a day, in 930 cancer patients receiving, principally, cyclophosphamide, carboplatin, and cisplatin (20 mg/m2 to 50 mg/m2). Efficacy was based on complete response (i.e., no vomiting, no moderate or severe nausea, no rescue medication), no vomiting, and no nausea. Table 2 summarizes the results of this study. 

Rx Only


Storage


Store between 20º to 25ºC (68º and 77ºF) [see USP Controlled Room Temperature]. Keep container closed tightly. Protect from light. Retain in carton until time of use.



Warnings

Serotonin Syndrome

The development of serotonin syndrome has been reported with 5-HT3 receptor antagonists. Most reports have been associated with concomitant use of serotonergic drugs (e.g., selective serotonin reuptake inhibitors (SSRIs), serotonin and norepinephrine reuptake inhibitors (SNRIs), monoamine oxidase inhibitors, mirtazapine, fentanyl, lithium, tramadol, and intravenous methylene blue). Some of the reported cases were fatal. Serotonin syndrome occurring with overdose of another 5-HT3 receptor antagoinist alone has also been reported. The majority of reports of serotonin syndrome related to 5-HT3 receptor antagonist use occurred in a post-anesthesia care unit or an infusion center.



Symptoms associated with serotonin syndrome may include the following combination of signs and symptoms: mental status changes (e.g., agitation, hallucinations, delirium, and coma), autonomic instability (e.g., tachycardia, labile blood pressure, dizziness, diaphoresis, flushing, hyperthermia), neuromuscular symptoms (e.g., tremor, rigidity, myoclonus, hyperreflexia, incoordination), seizures, with or without gastrointestinal symptoms (e.g., nausea, vomiting, diarrhea). Patients should be monitored for the emergence of serotonin syndrome, especially with concomitant use of granisetron and other serotonergic drugs. If symptoms of serotonin syndrome occur, discontinue granisetron and initiate supportive treatment. Patients should be informed of the increased risk of serotonin syndrome, especially if granisetron is used concomitantly with other serotonergic drugs (see Drug Interactions and Patient Counseling Information ).

Pregnancy


Teratogenic Effects



Pregnancy Category B. Reproduction studies have been performed in pregnant rats at oral doses up to 125 mg/kg/day (750 mg/m2/day, 507 times the recommended human dose based on body surface area) and pregnant rabbits at oral doses up to 32 mg/kg/day (378 mg/m2/day, 255 times the recommended human dose based on body surface area) and have revealed no evidence of impaired fertility or harm to the fetus due to granisetron. There are, however, no adequate and well-controlled studies in pregnant women. Because animal reproduction studies are not always predictive of human response, this drug should be used during pregnancy only if clearly needed.

Overdosage


There is no specific treatment for granisetron hydrochloride overdosage. In case of overdosage, symptomatic treatment should be given. Overdosage of up to 38.5 mg of granisetron hydrochloride injection has been reported without symptoms or only the occurrence of a slight headache.

Precautions


Granisetron is not a drug that stimulates gastric or intestinal peristalsis. It should not be used instead of nasogastric suction. The use of granisetron in patients following abdominal surgery or in patients with chemotherapy-induced nausea and vomiting may mask a progressive ileus and/or gastric distention.



An adequate QT assessment has not been conducted, but QT prolongation has been reported with granisetron. Therefore, granisetron should be used with caution in patients with pre-existing arrhythmias or cardiac conduction disorders, as this might lead to clinical consequences. Patients with cardiac disease, on cardio-toxic chemotherapy, with concomitant electrolyte abnormalities and/or on concomitant medications that prolong the QT interval are particularly at risk.



Geriatric Use


During clinical trials, 325 patients 65 years of age or older received granisetron hydrochloride tablets; 298 were 65 to 74 years of age, and 27 were 75 years of age or older. Efficacy and safety were maintained with increasing age.

Pediatric Use


Safety and effectiveness in pediatric patients have not been established.

Nursing Mothers


It is not known whether granisetron is excreted in human milk. Because many drugs are excreted in human milk, caution should be exercised when granisetron hydrochloride is administered to a nursing woman.

Pharmacokinetics


In healthy volunteers and adult cancer patients undergoing chemotherapy, administration of granisetron hydrochloride tablets produced mean pharmacokinetic data shown in Table 1.

Table 1: Pharmacokinetic Parameters (Median [range]) Following Granisetron hydrochloride Tablets

*Not determined after oral administration; following a single intravenous dose of 40 mcg/kg, terminal phase half-life was determined to be 8.95 hours.


Peak Plasma

Concentration

(ng/mL)


Terminal Phase

Plasma Half-Life

(h)


Volume of Distribution

(L/kg)


Total

Clearance

(L/h/kg)


Cancer Patients

1 mg bid, 7 days

(n=27)

5.99

[0.63 to 30.9]

N.D.*

N.D.

0.52

[0.09 to 7.37]

Volunteers

single 1 mg dose

(n=39)

3.63

[0.27 to 9.14]

6.23

[0.96 to 19.9]

3.94

[1.89 to 39.4]

0.41

[0.11 to 24.6]



Absorption



When granisetron tablets were administered with food, AUC was decreased by 5% and Cmax increased by 30% in non-fasted healthy volunteers who received a single dose of 10 mg.

Distribution



Plasma protein binding is approximately 65% and granisetron distributes freely between plasma and red blood cells. 



Metabolism



Granisetron metabolism involves N-demethylation and aromatic ring oxidation followed by conjugation. In vitro liver microsomal studies show that granisetron's major route of metabolism is inhibited by ketoconazole, suggestive of metabolism mediated by the cytochrome P-450 3A subfamily. Animal studies suggest that some of the metabolites may also have 5-HT3 receptor antagonist activity.



Elimination



Clearance is predominantly by hepatic metabolism. In normal volunteers, approximately 11% of the orally administered dose is eliminated unchanged in the urine in 48 hours. The remainder of the dose is excreted as metabolites, 48% in the urine and 38% in the feces. 



Subpopulations



Gender



The effects of gender on the pharmacokinetics of granisetron hydrochloride tablets have not been studied. However, after intravenous infusion of granisetron hydrochloride, no difference in mean AUC was found between males and females, although males had a higher Cmax generally. 



In elderly and pediatric patients and in patients with renal failure or hepatic impairment, the pharmacokinetics of granisetron was determined following administration of intravenous granisetron. 



Elderly



The ranges of the pharmacokinetic parameters in elderly volunteers (mean age 71 years), given a single 40 mcg/kg intravenous dose of granisetron hydrochloride injection, were generally similar to those in younger healthy volunteers; mean values were lower for clearance and longer for half-life in the elderly. 



Renal Failure Patients



Total clearance of granisetron was not affected in patients with severe renal failure who received a single 40 mcg/kg intravenous dose of granisetron hydrochloride injection. 



Hepatically Impaired Patients 



A pharmacokinetic study with intravenous granisetron hydrochloride in patients with hepatic impairment due to neoplastic liver involvement showed that total clearance was approximately halved compared to patients without hepatic impairment. Given the wide variability in pharmacokinetic parameters noted in patients, dosage adjustment in patients with hepatic functional impairment is not necessary. 



Pediatric Patients 

A pharmacokinetic study in pediatric cancer patients (2 to 16 years of age), given a single 40 mcg/kg intravenous dose of granisetron hydrochloride injection, showed that volume of distribution and total clearance increased with age. No relationship with age was observed for peak plasma concentration or terminal phase plasma half-life. When volume of distribution and total clearance are adjusted for body weight, the pharmacokinetics of granisetron are similar in pediatric and adult cancer patients

Clinical Pharmacology

Granisetron is a selective 5-hydroxytryptamine3 (5-HT3) receptor antagonist with little or no affinity for other serotonin receptors, including 5-HT1; 5-HT1A; 5-HT1B/C; 5-HT2; for alpha1-, alpha2-, or beta-adrenoreceptors; for dopamine-D2; or for histamine-H1; benzodiazepine; picrotoxin or opioid receptors.

Serotonin receptors of the 5-HT3 type are located peripherally on vagal nerve terminals and centrally in the chemoreceptor trigger zone of the area postrema. During chemotherapy that induces vomiting, mucosal enterochromaffin cells release serotonin, which stimulates 5-HT3 receptors. This evokes vagal afferent discharge, inducing vomiting. Animal studies demonstrate that, in binding to 5-HT3 receptors, granisetron blocks serotonin stimulation and subsequent vomiting after emetogenic stimuli such as cisplatin. In the ferret animal model, a single granisetron injection prevented vomiting due to high-dose cisplatin or arrested vomiting within 5 to 30 seconds.

In most human studies, granisetron has had little effect on blood pressure, heart rate or ECG. No evidence of an effect on plasma prolactin or aldosterone concentrations has been found in other studies.

Following single and multiple oral doses, granisetron hydrochloride tablets slowed colonic transit in normal volunteers. However, granisetron hydrochloride had no effect on oro-cecal transit time in normal volunteers when given as a single intravenous (IV) infusion of 50 mcg/kg or 200 mcg/kg.

Emetogenic Chemotherapy


The recommended adult dosage of oral granisetron hydrochloride is 2 mg once daily or 1 mg twice daily. In the 2 mg once-daily regimen, two 1 mg tablets are given up to 1 hour before chemotherapy. In the 1 mg twice-daily regimen, the first 1 mg tablet is given up to 1 hour before chemotherapy, and the second tablet 12 hours after the first. Either regimen is administered only on the day(s) chemotherapy is given. Continued treatment, while not on chemotherapy, has not been found to be useful.



Use in the Elderly, Renal Failure Patients or Hepatically Impaired Patients



No dosage adjustment is recommended (see CLINICAL PHARMACOLOGY : Pharmacokinetics ).



Pediatric Use

Safety and effectiveness in pediatric patients have not been established.

Postmarketing Experience


QT prolongation has been reported with granisetron (see  PRECAUTIONS and  Drug Interactions ).

Patient Counseling Information

Advise patients of the possibility of serotonin syndrome with concomitant use of granisetron and another serotonergic agent such as medications to treat depression and migraines. Advise patients to seek immediate medical attention if the following symptoms occur: changes in mental status, autonomic instability, neuromuscular symptoms with or without gastrointestinal symptoms.

Manufactured by:

NATCO PHARMA LIMITED

Kothur- 509 228,

India.

Tablets for Oral Administration


Each white, triangular, biconvex, film-coated granisetron hydrochloride tablet USP contains 1.12 mg granisetron hydrochloride equivalent to granisetron, 1 mg. Inactive ingredients are: hypromellose, lactose monohydrate, magnesium stearate, microcrystalline cellulose, polyethylene glycol, polysorbate 80, sodium starch glycolate, and titanium dioxide.

Radiation Induced Nausea and Vomiting


Total Body Irradiation



In a double-blind randomized study, 18 patients receiving granisetron hydrochloride tablets, 2 mg daily, experienced significantly greater antiemetic protection compared to patients in a historical negative control group who received conventional (non-5-HT3 antagonist) antiemetics. Total body irradiation consisted of 11 fractions of 120 cGy administered over 4 days, with three fractions on each of the first 3 days, and two fractions on the fourth day. Granisetron hydrochloride tablets were given one hour before the first radiation fraction of each day.

Twenty-two percent (22%) of patients treated with granisetron hydrochloride tablets did not experience vomiting or receive rescue antiemetics over the entire 4-day dosing period, compared to 0% of patients in the historical negative control group (p<0.01).

In addition, patients who received granisetron hydrochloride tablets also experienced significantly fewer emetic episodes during the first day of radiation and over the 4 day treatment period, compared to patients in the historical negative control group. The median time to the first emetic episode was 36 hours for patients who received granisetron hydrochloride tablets.



Fractionated Abdominal Radiation

The efficacy of granisetron hydrochloride tablets, 2 mg daily, was evaluated in a double-blind, placebo-controlled randomized trial of 260 patients. granisetron hydrochloride tablets were given 1 hour before radiation, composed of up to 20 daily fractions of 180 to 300 cGy each. The exceptions were patients with seminoma or those receiving whole abdomen irradiation who initially received 150 cGy per fraction. Radiation was administered to the upper abdomen with a field size of at least 100 cm2.

The proportion of patients without emesis and those without nausea for granisetron hydrochloride tablets, compared to placebo, was statistically significant (p<0.0001) at 24 hours after radiation, irrespective of the radiation dose. Granisetron hydrochloride was superior to placebo in patients receiving up to 10 daily fractions of radiation, but was not superior to placebo in patients receiving 20 fractions.



Patients treated with granisetron hydrochloride tablets (n=134) had a significantly longer time to the first episode of vomiting (35 days vs. 9 days, p<0.001) relative to those patients who received placebo (n=126), and a significantly longer time to the first episode of nausea (11 days vs. 1 day, p<0.001). granisetron hydrochloride provided significantly greater protection from nausea and vomiting than placebo.

Chemotherapy Induced Nausea and Vomiting

Granisetron hydrochloride tablets prevent nausea and vomiting associated with initial and repeat courses of emetogenic cancer therapy, as shown by 24 hour efficacy data from studies using both moderately- and highly-emetogenic chemotherapy.

Carcinogenesis, Mutagenesis, Impairment of Fertility


In a 24 month carcinogenicity study, rats were treated orally with granisetron 1, 5 or 50 mg/kg/day (6, 30 or 300 mg/m2/day). The 50mg/kg/day dose was reduced to 25 mg/kg/day (150 mg/m2/day) during week 59 due to toxicity. For a 50 kg person of average height (1.46 m2 body surface area), these doses represent 4, 20, and 101 times the recommended clinical dose (1.48 mg/m2, oral) on a body surface area basis. There was a statistically significant increase in the incidence of hepatocellular carcinomas and adenomas in males treated with 5 mg/kg/day (30 mg/m2/day, 20 times the recommended human dose based on body surface area) and above, and in females treated with 25 mg/kg/day (150 mg/m2/day, 101 times the recommended human dose based on body surface area). No increase in liver tumors was observed at a dose of 1 mg/kg/day (6 mg/m2/day, 4 times the recommended human dose based on body surface area) in males and 5 mg/kg/day (30 mg/m2/day, 20 times the recommended human dose based on body surface area) in females. In a 12 month oral toxicity study, treatment with granisetron 100 mg/kg/day (600 mg/m2/day, 405 times the recommended human dose based on body surface area) produced hepatocellular adenomas in male and female rats while no such tumors were found in the control rats. A 24 month mouse carcinogenicity study of granisetron did not show a statistically significant increase in tumor incidence, but the study was not conclusive.

Because of the tumor findings in rat studies, granisetron hydrochloride should be prescribed only at the dose and for the indication recommended (see INDICATIONS AND USAGE, and DOSAGE AND ADMINISTRATION ).

Granisetron was not mutagenic in in vitro Ames test and mouse lymphoma cell forward mutation assay, and in vivo mouse micronucleus test and in vitro and ex vivo rat hepatocyte UDS assays. It, however, produced a significant increase in UDS in HeLa cells in vitro and a significant increased incidence of cells with polyploidy in an in vitro human lymphocyte chromosomal aberration test.

Granisetron at oral doses up to 100 mg/kg/day (600 mg/m2/day, 405 times the recommended human dose based on body surface area) was found to have no effect on fertility and reproductive performance of male and female rats.

Granisetron Hydrochloride Tablets Usp, 1mg* Blister of 2 Tablets




Rx only



NDC 63850-0005-2



*Each tablet contains 1.12 mg granisetron hydrochloride USP equivalent to granisetron,1 mg



This unit-dose package is not-child-resistant.





Dosage: Chemotherapy: 2 mg once daily or 1 mg twice daily. In the 2 mg once daily regimen, two 1 mg tablets are given up to 1 hour before chemotherapy. In the 1 mg twice daily regimen, the first 1 mg tablets is given up to 1 hour before chemotherapy and the second tablets 12 hours after the first.



Radiation: Two 1 mg tablets are taken within 1 hour of radiation. See accompanying prescribing information.



Storage between 20° and 25°(68° and 77°F) [see USP Controlled Room Temperature]. protect from light. Retain in carton until time of use.



Foil_ 2 Tablets









Carton Label



Radiation (either Total Body Irradiation Or Fractionated Abdominal Radiation)

The recommended adult dosage of oral granisetron hydrochloride is 2 mg once daily. Two 1 mg tablets are taken within 1 hour of radiation.



Pediatric Use



Safety and effectiveness in pediatric patients have not been established.



Use in the Elderly

No dosage adjustment is recommended.

Granisetron Hydrochloride Tablets Usp, 1 Mg * Blister of 20 (2x10) Unit Dose Tablets


RX only



NDC 63850-0005-1



*Each tablet contains 1.12 mg granisetron hydrochloride USP equivalent to granisetron,1 mg



This unit-dose package is not-child-resistant.

For institutional use only.




Dosage: Chemotherapy: 2 mg once daily or 1 mg twice daily. In the 2 mg once daily regimen, two 1 mg tablets are given up to 1 hour before chemotherapy. In the 1 mg twice daily regimen, the first 1 mg tablets is given up to 1 hour before chemotherapy and the second tablets 12 hours after the first.



Radiation: Two 1 mg tablets are taken within 1 hour of radiation. See accompanying prescribing information.



Storage between 20° and 25°(68° and 77°F) [see USP Controlled Room Temperature]. protect from light. Retain in carton until time of use.



Uint dose Tablets-Foil





Carton Label












Structured Label Content

Section 42229-5 (42229-5)

Moderatly Emetogenic Chemotherapy

The first trial compared granisetron hydrochloride tablets  doses of 0.25 mg to 2 mg twice a day, in 930 cancer patients receiving, principally, cyclophosphamide, carboplatin, and cisplatin (20 mg/m2 to 50 mg/m2). Efficacy was based on complete response (i.e., no vomiting, no moderate or severe nausea, no rescue medication), no vomiting, and no nausea. Table 2 summarizes the results of this study. 

Rx Only (RX Only)


Storage


Store between 20º to 25ºC (68º and 77ºF) [see USP Controlled Room Temperature]. Keep container closed tightly. Protect from light. Retain in carton until time of use.



Warnings (WARNINGS)

Serotonin Syndrome

The development of serotonin syndrome has been reported with 5-HT3 receptor antagonists. Most reports have been associated with concomitant use of serotonergic drugs (e.g., selective serotonin reuptake inhibitors (SSRIs), serotonin and norepinephrine reuptake inhibitors (SNRIs), monoamine oxidase inhibitors, mirtazapine, fentanyl, lithium, tramadol, and intravenous methylene blue). Some of the reported cases were fatal. Serotonin syndrome occurring with overdose of another 5-HT3 receptor antagoinist alone has also been reported. The majority of reports of serotonin syndrome related to 5-HT3 receptor antagonist use occurred in a post-anesthesia care unit or an infusion center.



Symptoms associated with serotonin syndrome may include the following combination of signs and symptoms: mental status changes (e.g., agitation, hallucinations, delirium, and coma), autonomic instability (e.g., tachycardia, labile blood pressure, dizziness, diaphoresis, flushing, hyperthermia), neuromuscular symptoms (e.g., tremor, rigidity, myoclonus, hyperreflexia, incoordination), seizures, with or without gastrointestinal symptoms (e.g., nausea, vomiting, diarrhea). Patients should be monitored for the emergence of serotonin syndrome, especially with concomitant use of granisetron and other serotonergic drugs. If symptoms of serotonin syndrome occur, discontinue granisetron and initiate supportive treatment. Patients should be informed of the increased risk of serotonin syndrome, especially if granisetron is used concomitantly with other serotonergic drugs (see Drug Interactions and Patient Counseling Information ).

Pregnancy


Teratogenic Effects



Pregnancy Category B. Reproduction studies have been performed in pregnant rats at oral doses up to 125 mg/kg/day (750 mg/m2/day, 507 times the recommended human dose based on body surface area) and pregnant rabbits at oral doses up to 32 mg/kg/day (378 mg/m2/day, 255 times the recommended human dose based on body surface area) and have revealed no evidence of impaired fertility or harm to the fetus due to granisetron. There are, however, no adequate and well-controlled studies in pregnant women. Because animal reproduction studies are not always predictive of human response, this drug should be used during pregnancy only if clearly needed.

Overdosage (OVERDOSAGE)


There is no specific treatment for granisetron hydrochloride overdosage. In case of overdosage, symptomatic treatment should be given. Overdosage of up to 38.5 mg of granisetron hydrochloride injection has been reported without symptoms or only the occurrence of a slight headache.

Description (DESCRIPTION)


Granisetron hydrochloride tablets USP contain granisetron hydrochloride USP, an antinauseant and antiemetic agent. Chemically it is endo-N-(9-methyl-9-azabicyclo [3.3.1] non-3-yl)-1-methyl-1H-indazole-3-carboxamide hydrochloride.









Granisetron hydrochloride is a white to off-white crystalline powder that is freely soluble in water and slightly soluble in methanol.



Precautions (PRECAUTIONS)


Granisetron is not a drug that stimulates gastric or intestinal peristalsis. It should not be used instead of nasogastric suction. The use of granisetron in patients following abdominal surgery or in patients with chemotherapy-induced nausea and vomiting may mask a progressive ileus and/or gastric distention.



An adequate QT assessment has not been conducted, but QT prolongation has been reported with granisetron. Therefore, granisetron should be used with caution in patients with pre-existing arrhythmias or cardiac conduction disorders, as this might lead to clinical consequences. Patients with cardiac disease, on cardio-toxic chemotherapy, with concomitant electrolyte abnormalities and/or on concomitant medications that prolong the QT interval are particularly at risk.



Geriatric Use


During clinical trials, 325 patients 65 years of age or older received granisetron hydrochloride tablets; 298 were 65 to 74 years of age, and 27 were 75 years of age or older. Efficacy and safety were maintained with increasing age.

Pediatric Use


Safety and effectiveness in pediatric patients have not been established.

Nursing Mothers


It is not known whether granisetron is excreted in human milk. Because many drugs are excreted in human milk, caution should be exercised when granisetron hydrochloride is administered to a nursing woman.

Pharmacokinetics


In healthy volunteers and adult cancer patients undergoing chemotherapy, administration of granisetron hydrochloride tablets produced mean pharmacokinetic data shown in Table 1.

Table 1: Pharmacokinetic Parameters (Median [range]) Following Granisetron hydrochloride Tablets

*Not determined after oral administration; following a single intravenous dose of 40 mcg/kg, terminal phase half-life was determined to be 8.95 hours.


Peak Plasma

Concentration

(ng/mL)


Terminal Phase

Plasma Half-Life

(h)


Volume of Distribution

(L/kg)


Total

Clearance

(L/h/kg)


Cancer Patients

1 mg bid, 7 days

(n=27)

5.99

[0.63 to 30.9]

N.D.*

N.D.

0.52

[0.09 to 7.37]

Volunteers

single 1 mg dose

(n=39)

3.63

[0.27 to 9.14]

6.23

[0.96 to 19.9]

3.94

[1.89 to 39.4]

0.41

[0.11 to 24.6]



Absorption



When granisetron tablets were administered with food, AUC was decreased by 5% and Cmax increased by 30% in non-fasted healthy volunteers who received a single dose of 10 mg.

Distribution



Plasma protein binding is approximately 65% and granisetron distributes freely between plasma and red blood cells. 



Metabolism



Granisetron metabolism involves N-demethylation and aromatic ring oxidation followed by conjugation. In vitro liver microsomal studies show that granisetron's major route of metabolism is inhibited by ketoconazole, suggestive of metabolism mediated by the cytochrome P-450 3A subfamily. Animal studies suggest that some of the metabolites may also have 5-HT3 receptor antagonist activity.



Elimination



Clearance is predominantly by hepatic metabolism. In normal volunteers, approximately 11% of the orally administered dose is eliminated unchanged in the urine in 48 hours. The remainder of the dose is excreted as metabolites, 48% in the urine and 38% in the feces. 



Subpopulations



Gender



The effects of gender on the pharmacokinetics of granisetron hydrochloride tablets have not been studied. However, after intravenous infusion of granisetron hydrochloride, no difference in mean AUC was found between males and females, although males had a higher Cmax generally. 



In elderly and pediatric patients and in patients with renal failure or hepatic impairment, the pharmacokinetics of granisetron was determined following administration of intravenous granisetron. 



Elderly



The ranges of the pharmacokinetic parameters in elderly volunteers (mean age 71 years), given a single 40 mcg/kg intravenous dose of granisetron hydrochloride injection, were generally similar to those in younger healthy volunteers; mean values were lower for clearance and longer for half-life in the elderly. 



Renal Failure Patients



Total clearance of granisetron was not affected in patients with severe renal failure who received a single 40 mcg/kg intravenous dose of granisetron hydrochloride injection. 



Hepatically Impaired Patients 



A pharmacokinetic study with intravenous granisetron hydrochloride in patients with hepatic impairment due to neoplastic liver involvement showed that total clearance was approximately halved compared to patients without hepatic impairment. Given the wide variability in pharmacokinetic parameters noted in patients, dosage adjustment in patients with hepatic functional impairment is not necessary. 



Pediatric Patients 

A pharmacokinetic study in pediatric cancer patients (2 to 16 years of age), given a single 40 mcg/kg intravenous dose of granisetron hydrochloride injection, showed that volume of distribution and total clearance increased with age. No relationship with age was observed for peak plasma concentration or terminal phase plasma half-life. When volume of distribution and total clearance are adjusted for body weight, the pharmacokinetics of granisetron are similar in pediatric and adult cancer patients

Adverse Reactions (ADVERSE REACTIONS)


QT prolongation has been reported with granisetron hydrochloride (see PRECAUTIONS and Drug Interactions ).

Contraindications (CONTRAINDICATIONS)


Granisetron hydrochloride is contraindicated in patients with known hypersensitivity to the drug or any of its components.

Drug Interactions

Granisetron does not induce or inhibit the cytochrome P-450 drug-metabolizing enzyme system in vitro. There have been no definitive drug-drug interaction studies to examine pharmacokinetic or pharmacodynamic interaction with other drugs; however, in humans, granisetron hydrochloride Injection has been safely administered with drugs representing benzodiazepines, neuroleptics, and anti-ulcer medications commonly prescribed with antiemetic treatments. Granisetron hydrochloride Injection also does not appear to interact with emetogenic cancer chemotherapies. Because granisetron is metabolized by hepatic cytochrome P-450 drug-metabolizing enzymes, inducers or inhibitors of these enzymes may change the clearance and, hence, the half-life of granisetron. No specific interaction studies have been conducted in anesthetized patients. In addition, the activity of the cytochrome P-450 subfamily 3A4 (involved in the metabolism of some of the main narcotic analgesic agents) is not modified by granisetron hydrochloride in vitro.



In in vitro human microsomal studies, ketoconazole inhibited ring oxidation of granisetron. However, the clinical significance of in vivo pharmacokinetic interactions with ketoconazole is not known. In a human pharmacokinetic study, hepatic enzyme induction with phenobarbital resulted in a 25% increase in total plasma clearance of intravenous granisetron. The clinical significance of this change is not known.



QT prolongation has been reported with granisetron hydrochloride. Use of granisetron hydrochloride in patients concurrently treated with drugs known to prolong the QT interval and/or are arrhythmogenic may result in clinical consequences.



Serotonin syndrome (including altered mental status, autonomic instability, and neuromuscular symptoms) has been described following the concomitant use of 5-HT3 receptor antagonists and other serotonergic drugs, including selective serotonin reuptake inhibitors (SSRIs) and serotonin and noradrenaline reuptake inhibitors (SNRIs) [see Warnings].





Clinical Pharmacology (CLINICAL PHARMACOLOGY)

Granisetron is a selective 5-hydroxytryptamine3 (5-HT3) receptor antagonist with little or no affinity for other serotonin receptors, including 5-HT1; 5-HT1A; 5-HT1B/C; 5-HT2; for alpha1-, alpha2-, or beta-adrenoreceptors; for dopamine-D2; or for histamine-H1; benzodiazepine; picrotoxin or opioid receptors.

Serotonin receptors of the 5-HT3 type are located peripherally on vagal nerve terminals and centrally in the chemoreceptor trigger zone of the area postrema. During chemotherapy that induces vomiting, mucosal enterochromaffin cells release serotonin, which stimulates 5-HT3 receptors. This evokes vagal afferent discharge, inducing vomiting. Animal studies demonstrate that, in binding to 5-HT3 receptors, granisetron blocks serotonin stimulation and subsequent vomiting after emetogenic stimuli such as cisplatin. In the ferret animal model, a single granisetron injection prevented vomiting due to high-dose cisplatin or arrested vomiting within 5 to 30 seconds.

In most human studies, granisetron has had little effect on blood pressure, heart rate or ECG. No evidence of an effect on plasma prolactin or aldosterone concentrations has been found in other studies.

Following single and multiple oral doses, granisetron hydrochloride tablets slowed colonic transit in normal volunteers. However, granisetron hydrochloride had no effect on oro-cecal transit time in normal volunteers when given as a single intravenous (IV) infusion of 50 mcg/kg or 200 mcg/kg.

Indications and Usage (INDICATIONS AND USAGE)

Granisetron hydrochloride tablets USP are indicated for the prevention of:



Nausea and vomiting associated with initial and repeat courses of emetogenic cancer therapy, including high-dose cisplatin.

Nausea and vomiting associated with radiation, including total body irradiation and fractionated abdominal radiation.

Emetogenic Chemotherapy


The recommended adult dosage of oral granisetron hydrochloride is 2 mg once daily or 1 mg twice daily. In the 2 mg once-daily regimen, two 1 mg tablets are given up to 1 hour before chemotherapy. In the 1 mg twice-daily regimen, the first 1 mg tablet is given up to 1 hour before chemotherapy, and the second tablet 12 hours after the first. Either regimen is administered only on the day(s) chemotherapy is given. Continued treatment, while not on chemotherapy, has not been found to be useful.



Use in the Elderly, Renal Failure Patients or Hepatically Impaired Patients



No dosage adjustment is recommended (see CLINICAL PHARMACOLOGY : Pharmacokinetics ).



Pediatric Use

Safety and effectiveness in pediatric patients have not been established.

Postmarketing Experience


QT prolongation has been reported with granisetron (see  PRECAUTIONS and  Drug Interactions ).

Patient Counseling Information (PATIENT COUNSELING INFORMATION)

Advise patients of the possibility of serotonin syndrome with concomitant use of granisetron and another serotonergic agent such as medications to treat depression and migraines. Advise patients to seek immediate medical attention if the following symptoms occur: changes in mental status, autonomic instability, neuromuscular symptoms with or without gastrointestinal symptoms.

Manufactured by:

NATCO PHARMA LIMITED

Kothur- 509 228,

India.

Tablets for Oral Administration


Each white, triangular, biconvex, film-coated granisetron hydrochloride tablet USP contains 1.12 mg granisetron hydrochloride equivalent to granisetron, 1 mg. Inactive ingredients are: hypromellose, lactose monohydrate, magnesium stearate, microcrystalline cellulose, polyethylene glycol, polysorbate 80, sodium starch glycolate, and titanium dioxide.

Radiation Induced Nausea and Vomiting (Radiation-Induced Nausea and Vomiting)


Total Body Irradiation



In a double-blind randomized study, 18 patients receiving granisetron hydrochloride tablets, 2 mg daily, experienced significantly greater antiemetic protection compared to patients in a historical negative control group who received conventional (non-5-HT3 antagonist) antiemetics. Total body irradiation consisted of 11 fractions of 120 cGy administered over 4 days, with three fractions on each of the first 3 days, and two fractions on the fourth day. Granisetron hydrochloride tablets were given one hour before the first radiation fraction of each day.

Twenty-two percent (22%) of patients treated with granisetron hydrochloride tablets did not experience vomiting or receive rescue antiemetics over the entire 4-day dosing period, compared to 0% of patients in the historical negative control group (p<0.01).

In addition, patients who received granisetron hydrochloride tablets also experienced significantly fewer emetic episodes during the first day of radiation and over the 4 day treatment period, compared to patients in the historical negative control group. The median time to the first emetic episode was 36 hours for patients who received granisetron hydrochloride tablets.



Fractionated Abdominal Radiation

The efficacy of granisetron hydrochloride tablets, 2 mg daily, was evaluated in a double-blind, placebo-controlled randomized trial of 260 patients. granisetron hydrochloride tablets were given 1 hour before radiation, composed of up to 20 daily fractions of 180 to 300 cGy each. The exceptions were patients with seminoma or those receiving whole abdomen irradiation who initially received 150 cGy per fraction. Radiation was administered to the upper abdomen with a field size of at least 100 cm2.

The proportion of patients without emesis and those without nausea for granisetron hydrochloride tablets, compared to placebo, was statistically significant (p<0.0001) at 24 hours after radiation, irrespective of the radiation dose. Granisetron hydrochloride was superior to placebo in patients receiving up to 10 daily fractions of radiation, but was not superior to placebo in patients receiving 20 fractions.



Patients treated with granisetron hydrochloride tablets (n=134) had a significantly longer time to the first episode of vomiting (35 days vs. 9 days, p<0.001) relative to those patients who received placebo (n=126), and a significantly longer time to the first episode of nausea (11 days vs. 1 day, p<0.001). granisetron hydrochloride provided significantly greater protection from nausea and vomiting than placebo.

Chemotherapy Induced Nausea and Vomiting (Chemotherapy-Induced Nausea and Vomiting)

Granisetron hydrochloride tablets prevent nausea and vomiting associated with initial and repeat courses of emetogenic cancer therapy, as shown by 24 hour efficacy data from studies using both moderately- and highly-emetogenic chemotherapy.

Carcinogenesis, Mutagenesis, Impairment of Fertility


In a 24 month carcinogenicity study, rats were treated orally with granisetron 1, 5 or 50 mg/kg/day (6, 30 or 300 mg/m2/day). The 50mg/kg/day dose was reduced to 25 mg/kg/day (150 mg/m2/day) during week 59 due to toxicity. For a 50 kg person of average height (1.46 m2 body surface area), these doses represent 4, 20, and 101 times the recommended clinical dose (1.48 mg/m2, oral) on a body surface area basis. There was a statistically significant increase in the incidence of hepatocellular carcinomas and adenomas in males treated with 5 mg/kg/day (30 mg/m2/day, 20 times the recommended human dose based on body surface area) and above, and in females treated with 25 mg/kg/day (150 mg/m2/day, 101 times the recommended human dose based on body surface area). No increase in liver tumors was observed at a dose of 1 mg/kg/day (6 mg/m2/day, 4 times the recommended human dose based on body surface area) in males and 5 mg/kg/day (30 mg/m2/day, 20 times the recommended human dose based on body surface area) in females. In a 12 month oral toxicity study, treatment with granisetron 100 mg/kg/day (600 mg/m2/day, 405 times the recommended human dose based on body surface area) produced hepatocellular adenomas in male and female rats while no such tumors were found in the control rats. A 24 month mouse carcinogenicity study of granisetron did not show a statistically significant increase in tumor incidence, but the study was not conclusive.

Because of the tumor findings in rat studies, granisetron hydrochloride should be prescribed only at the dose and for the indication recommended (see INDICATIONS AND USAGE, and DOSAGE AND ADMINISTRATION ).

Granisetron was not mutagenic in in vitro Ames test and mouse lymphoma cell forward mutation assay, and in vivo mouse micronucleus test and in vitro and ex vivo rat hepatocyte UDS assays. It, however, produced a significant increase in UDS in HeLa cells in vitro and a significant increased incidence of cells with polyploidy in an in vitro human lymphocyte chromosomal aberration test.

Granisetron at oral doses up to 100 mg/kg/day (600 mg/m2/day, 405 times the recommended human dose based on body surface area) was found to have no effect on fertility and reproductive performance of male and female rats.

Granisetron Hydrochloride Tablets Usp, 1mg* Blister of 2 Tablets (Granisetron Hydrochloride Tablets USP, 1mg* - Blister of 2 Tablets)




Rx only



NDC 63850-0005-2



*Each tablet contains 1.12 mg granisetron hydrochloride USP equivalent to granisetron,1 mg



This unit-dose package is not-child-resistant.





Dosage: Chemotherapy: 2 mg once daily or 1 mg twice daily. In the 2 mg once daily regimen, two 1 mg tablets are given up to 1 hour before chemotherapy. In the 1 mg twice daily regimen, the first 1 mg tablets is given up to 1 hour before chemotherapy and the second tablets 12 hours after the first.



Radiation: Two 1 mg tablets are taken within 1 hour of radiation. See accompanying prescribing information.



Storage between 20° and 25°(68° and 77°F) [see USP Controlled Room Temperature]. protect from light. Retain in carton until time of use.



Foil_ 2 Tablets









Carton Label



Radiation (either Total Body Irradiation Or Fractionated Abdominal Radiation) (Radiation (Either Total Body Irradiation or Fractionated Abdominal Radiation))

The recommended adult dosage of oral granisetron hydrochloride is 2 mg once daily. Two 1 mg tablets are taken within 1 hour of radiation.



Pediatric Use



Safety and effectiveness in pediatric patients have not been established.



Use in the Elderly

No dosage adjustment is recommended.

Granisetron Hydrochloride Tablets Usp, 1 Mg * Blister of 20 (2x10) Unit Dose Tablets (Granisetron Hydrochloride Tablets USP, 1 mg *- Blister of 20 (2x10) Unit Dose Tablets)


RX only



NDC 63850-0005-1



*Each tablet contains 1.12 mg granisetron hydrochloride USP equivalent to granisetron,1 mg



This unit-dose package is not-child-resistant.

For institutional use only.




Dosage: Chemotherapy: 2 mg once daily or 1 mg twice daily. In the 2 mg once daily regimen, two 1 mg tablets are given up to 1 hour before chemotherapy. In the 1 mg twice daily regimen, the first 1 mg tablets is given up to 1 hour before chemotherapy and the second tablets 12 hours after the first.



Radiation: Two 1 mg tablets are taken within 1 hour of radiation. See accompanying prescribing information.



Storage between 20° and 25°(68° and 77°F) [see USP Controlled Room Temperature]. protect from light. Retain in carton until time of use.



Uint dose Tablets-Foil





Carton Label












Advanced Ingredient Data


Raw Label Data

All Sections (JSON)