Remifentanil Hydrochloride For Injection

these highlights do not include all the information needed to use remifentanil hydrochloride for injection safely and effectively. see full prescribing information for remifentanil hydrochloride for injection.
SPL v6
SPL
SPL Set ID d2374b84-81c9-44f9-a4a9-1071281b2531
Route
intravenous
Published
Effective Date 2020-07-15
Document Type 34391-3 HUMAN PRESCRIPTION DRUG LABEL

Drug Facts

Composition & Product

Active Ingredients
remifentanil (15 mg)
Inactive Ingredients
glycine hydrochloric acid

Identifiers & Packaging

Marketing Status
anda active Since 2018-01-19

Indications and Usage

Remifentanil hydrochloride (HCl) for injection is indicated for intravenous (IV) administration: • As an analgesic agent for use during the induction and maintenance of general anesthesia for inpatient and outpatient procedures. • For continuation as an analgesic into the immediate postoperative period in adult patients under the direct supervision of an anesthesia practitioner in a postoperative anesthesia care unit or intensive care setting. • As an analgesic component of monitored anesthesia care in adult patients.

Dosage and Administration

Monitor patients closely for respiratory depression when initiating therapy and following dosage increases with remifentanil HCl and adjust the dosage accordingly [see Warnings and Precautions ( 5.2 )]. Remifentanil HCl is for intravenous use only. Continuous infusions of remifentanil HCl should be administered only by an infusion device. The injection site should be close to the venous cannula and all IV tubing should be cleared at the time of discontinuation of infusion. Remifentanil HCl should not be administered without dilution. Consider an alternative to remifentanil HCl for patients taking mixed agonist/antagonist and partial agonist opioid analgesics due to reduced analgesic effect or potential withdrawal symptoms. If concomitant use is warranted, carefully observe the patient, particularly during treatment initiation and dose adjustment. Discontinue remifentanil HCl if patient is not responding appropriately to treatment. Discard unused portion.

Contraindications

Remifentanil HCl is contraindicated: • For epidural or intrathecal administration due to the presence of glycine in the formulation [see Nonclinical Toxicology ( 13 )] . • In patients with hypersensitivity to remifentanil (e.g., anaphylaxis) [see Adverse Reactions ( 6.2 )] .

Warnings and Precautions

• Respiratory Depression in Spontaneously Breathing Patients : Monitor closely, particularly during initiation and titration. ( 5.2 ) • Risks from Use as Postoperative Analgesia with Concomitant Benzodiazepines or other CNS Depressants : Hypotension, profound sedation, respiratory depression, coma, and death may result from the concomitant use of Remifentanil hydrochloride for injection with benzodiazepines or other CNS depressants. ( 5.3 ) • Serotonin Syndrome : Potentially life-threatening condition could result from concomitant serotonergic drug administration. Discontinue Remifentanil hydrochloride for injection if serotonin syndrome is suspected. ( 5.4 ) • Administration : Continuous infusions of Remifentanil hydrochloride for injection should be administered only by an infusion device. ( 5.5 ) • Skeletal Muscle Rigidity : is related to the dose and speed of administration. Muscle rigidity induced by Remifentanil hydrochloride for injection should be managed in the context of the patient's clinical condition. ( 5.6 ) • Potential Inactivation by Nonspecific Esterases in Blood Products : Remifentanil hydrochloride for injection should not be administered into the same IV tubing with blood due to potential inactivation by nonspecific esterases in blood products. ( 5.7 ) • Bradycardia : Monitor heart rate during dosage initiation and titration. It is responsive to ephedrine or anticholinergic drugs. ( 5.8 ) • Hypotension : Monitor blood pressure during dosage initiation and titration. It is responsive to decreases in the administration of Remifentanil hydrochloride for injection or to IV fluids or catecholamine administration. ( 5.9 ) • Intraoperative Awareness : Inoperative awareness has been reported in patients under 55 years of age when Remifentanil hydrochloride for injection has been administered with propofol infusion rates of ≤ 75 mcg/kg/min. ( 5.10 ) • Risks of Use in Spontaneously Breathing Patients with Increased Intracranial Pressure, Brain Tumors, Head Injury, or Impaired Consciousness : Monitor for sedation and respiratory depression. ( 5.11 ) • Risks of Use in Patients with Biliary Tract Disease : Monitor patients with biliary tract disease, including acute pancreatitis, for worsening symptoms. ( 5.12 ) • Increased Risk of Seizures in Patients with Seizure Disorders : Monitor patients with a history of seizure disorders for worsened seizure control during Remifentanil hydrochloride for injection therapy. ( 5.13 ) • Rapid Offset of Action : Standard monitoring should be maintained in the postoperative period to ensure adequate recovery without stimulation. ( 5.14 )

Adverse Reactions

The following serious adverse reactions are described, or described in greater detail, in other sections: • Addiction, Abuse, and Misuse [see Warnings and Precautions ( 5.1 )] • Respiratory Depression in Spontaneously Breathing Patients [see Warnings and Precautions ( 5.2 )] • Interactions with Benzodiazepines or other CNS Depressants [see Warnings and Precautions ( 5.3 )] • Serotonin Syndrome [see Warnings and Precautions ( 5.4 )] • Skeletal Muscle Rigidity [see Warnings and Precautions ( 5.6 )] • Bradycardia [see Warnings and Precautions ( 5.8 )] • Hypotension [see Warnings and Precautions ( 5.9 )] • Biliary Tract Disease [see Warnings and Precautions ( 5.12 )] • Seizures [see Warnings and Precautions ( 5.13 )]

Drug Interactions

Table 18 includes clinically significant drug interactions with remifentanil HCl. Table 18: Clinically Significant Drug Interactions with Remifentanil HCl Benzodiazepines and other Central Nervous System (CNS) Depressants Clinical Impact: Due to additive pharmacologic effect, the concomitant use of benzodiazepines or other CNS depressants including alcohol, increases the risk of hypotension, respiratory depression, profound sedation, coma, and death. Intervention: Limit dosages and durations to the minimum required. Follow patients closely for signs of respiratory depression and sedation. Patients should be advised to avoid alcohol for 24 hours after surgery [see Warnings and Precautions ( 5.3 )] . Examples: Benzodiazepines and other sedatives/hypnotics, anxiolytics, tranquilizers, muscle relaxants, general anesthetics, antipsychotics, other opioids, alcohol. Serotonergic Drugs Clinical Impact: The concomitant use of opioids with other drugs that affect the serotonergic neurotransmitter system has resulted in serotonin syndrome [see Warnings and Precautions ( 5.4 )]. Intervention: If concomitant use is warranted, carefully observe the patient, particularly during treatment initiation and dose adjustment. Discontinue remifentanil HCl if serotonin syndrome is suspected. Examples: Selective serotonin reuptake inhibitors (SSRIs), serotonin and norepinephrine reuptake inhibitors (SNRIs), tricyclic antidepressants (TCAs), triptans, 5-HT3 receptor antagonists, drugs that effect the serotonin neurotransmitter system (e.g., mirtazapine, trazodone, tramadol), certain muscle relaxants (i.e., cyclobenzaprine, metaxalone), monoamine oxidase (MAO) inhibitors (those intended to treat psychiatric disorders and also others, such as linezolid and intravenous methylene blue). Monoamine Oxidase Inhibitors (MAOIs) Clinical Impact: MAOI interactions with opioids may manifest as serotonin syndrome [see Warnings and Precautions ( 5.4 )] or opioid toxicity (e.g., respiratory depression, coma) [see Warnings and Precautions ( 5.2 )]. If urgent use of remifentanil HCl is necessary, use test doses and frequent titration of small doses while closely monitoring blood pressure and signs and symptoms of CNS and respiratory depression. Intervention: The use of remifentanil HCl is not recommended for patients taking MAOIs or within 14 days of stopping such treatment. Mixed Agonist/Antagonist and Partial Agonist Opioid Analgesics Clinical Impact: May reduce the analgesic effect of remifentanil HCl and/or precipitate withdrawal symptoms. Intervention: If concomitant use is warranted, carefully observe the patient, particularly during treatment initiation and dose adjustment. Consider discontinuing remifentanil HCl if patient is not responding appropriately to treatment and institute alternative analgesic treatment. Examples: butorphanol, nalbuphine, pentazocine, buprenorphine

How Supplied

Remifentanil HCl for injection should be stored at 2° to 25°C (36° to 77°F). Remifentanil HCl for IV use is supplied as follows: Product Code Unit of Sale Strength Each 723103 NDC 63323-723-03 Unit of 10 1 mg per vial NDC 63323-723-01 3 mL Single Dose Vial 724105 NDC 63323-724-05 Unit of 10 2 mg per vial NDC 63323-724-01 5 mL Single Dose Vial 725110 NDC 63323-725-10 Unit of 10 5 mg per vial NDC 63323-725-01 10 mL Single Dose Vial Discard unused portion. The container closure is not made with natural rubber latex. The brand names mentioned in this document are the trademarks of their respective owners.

Storage and Handling

Remifentanil HCl for injection should be stored at 2° to 25°C (36° to 77°F). Remifentanil HCl for IV use is supplied as follows: Product Code Unit of Sale Strength Each 723103 NDC 63323-723-03 Unit of 10 1 mg per vial NDC 63323-723-01 3 mL Single Dose Vial 724105 NDC 63323-724-05 Unit of 10 2 mg per vial NDC 63323-724-01 5 mL Single Dose Vial 725110 NDC 63323-725-10 Unit of 10 5 mg per vial NDC 63323-725-01 10 mL Single Dose Vial Discard unused portion. The container closure is not made with natural rubber latex. The brand names mentioned in this document are the trademarks of their respective owners.

Description

Warnings and Precautions ( 5.4 )                          06/2020


Medication Information

Warnings and Precautions

• Respiratory Depression in Spontaneously Breathing Patients : Monitor closely, particularly during initiation and titration. ( 5.2 ) • Risks from Use as Postoperative Analgesia with Concomitant Benzodiazepines or other CNS Depressants : Hypotension, profound sedation, respiratory depression, coma, and death may result from the concomitant use of Remifentanil hydrochloride for injection with benzodiazepines or other CNS depressants. ( 5.3 ) • Serotonin Syndrome : Potentially life-threatening condition could result from concomitant serotonergic drug administration. Discontinue Remifentanil hydrochloride for injection if serotonin syndrome is suspected. ( 5.4 ) • Administration : Continuous infusions of Remifentanil hydrochloride for injection should be administered only by an infusion device. ( 5.5 ) • Skeletal Muscle Rigidity : is related to the dose and speed of administration. Muscle rigidity induced by Remifentanil hydrochloride for injection should be managed in the context of the patient's clinical condition. ( 5.6 ) • Potential Inactivation by Nonspecific Esterases in Blood Products : Remifentanil hydrochloride for injection should not be administered into the same IV tubing with blood due to potential inactivation by nonspecific esterases in blood products. ( 5.7 ) • Bradycardia : Monitor heart rate during dosage initiation and titration. It is responsive to ephedrine or anticholinergic drugs. ( 5.8 ) • Hypotension : Monitor blood pressure during dosage initiation and titration. It is responsive to decreases in the administration of Remifentanil hydrochloride for injection or to IV fluids or catecholamine administration. ( 5.9 ) • Intraoperative Awareness : Inoperative awareness has been reported in patients under 55 years of age when Remifentanil hydrochloride for injection has been administered with propofol infusion rates of ≤ 75 mcg/kg/min. ( 5.10 ) • Risks of Use in Spontaneously Breathing Patients with Increased Intracranial Pressure, Brain Tumors, Head Injury, or Impaired Consciousness : Monitor for sedation and respiratory depression. ( 5.11 ) • Risks of Use in Patients with Biliary Tract Disease : Monitor patients with biliary tract disease, including acute pancreatitis, for worsening symptoms. ( 5.12 ) • Increased Risk of Seizures in Patients with Seizure Disorders : Monitor patients with a history of seizure disorders for worsened seizure control during Remifentanil hydrochloride for injection therapy. ( 5.13 ) • Rapid Offset of Action : Standard monitoring should be maintained in the postoperative period to ensure adequate recovery without stimulation. ( 5.14 )

Indications and Usage

Remifentanil hydrochloride (HCl) for injection is indicated for intravenous (IV) administration: • As an analgesic agent for use during the induction and maintenance of general anesthesia for inpatient and outpatient procedures. • For continuation as an analgesic into the immediate postoperative period in adult patients under the direct supervision of an anesthesia practitioner in a postoperative anesthesia care unit or intensive care setting. • As an analgesic component of monitored anesthesia care in adult patients.

Dosage and Administration

Monitor patients closely for respiratory depression when initiating therapy and following dosage increases with remifentanil HCl and adjust the dosage accordingly [see Warnings and Precautions ( 5.2 )]. Remifentanil HCl is for intravenous use only. Continuous infusions of remifentanil HCl should be administered only by an infusion device. The injection site should be close to the venous cannula and all IV tubing should be cleared at the time of discontinuation of infusion. Remifentanil HCl should not be administered without dilution. Consider an alternative to remifentanil HCl for patients taking mixed agonist/antagonist and partial agonist opioid analgesics due to reduced analgesic effect or potential withdrawal symptoms. If concomitant use is warranted, carefully observe the patient, particularly during treatment initiation and dose adjustment. Discontinue remifentanil HCl if patient is not responding appropriately to treatment. Discard unused portion.

Contraindications

Remifentanil HCl is contraindicated: • For epidural or intrathecal administration due to the presence of glycine in the formulation [see Nonclinical Toxicology ( 13 )] . • In patients with hypersensitivity to remifentanil (e.g., anaphylaxis) [see Adverse Reactions ( 6.2 )] .

Adverse Reactions

The following serious adverse reactions are described, or described in greater detail, in other sections: • Addiction, Abuse, and Misuse [see Warnings and Precautions ( 5.1 )] • Respiratory Depression in Spontaneously Breathing Patients [see Warnings and Precautions ( 5.2 )] • Interactions with Benzodiazepines or other CNS Depressants [see Warnings and Precautions ( 5.3 )] • Serotonin Syndrome [see Warnings and Precautions ( 5.4 )] • Skeletal Muscle Rigidity [see Warnings and Precautions ( 5.6 )] • Bradycardia [see Warnings and Precautions ( 5.8 )] • Hypotension [see Warnings and Precautions ( 5.9 )] • Biliary Tract Disease [see Warnings and Precautions ( 5.12 )] • Seizures [see Warnings and Precautions ( 5.13 )]

Drug Interactions

Table 18 includes clinically significant drug interactions with remifentanil HCl. Table 18: Clinically Significant Drug Interactions with Remifentanil HCl Benzodiazepines and other Central Nervous System (CNS) Depressants Clinical Impact: Due to additive pharmacologic effect, the concomitant use of benzodiazepines or other CNS depressants including alcohol, increases the risk of hypotension, respiratory depression, profound sedation, coma, and death. Intervention: Limit dosages and durations to the minimum required. Follow patients closely for signs of respiratory depression and sedation. Patients should be advised to avoid alcohol for 24 hours after surgery [see Warnings and Precautions ( 5.3 )] . Examples: Benzodiazepines and other sedatives/hypnotics, anxiolytics, tranquilizers, muscle relaxants, general anesthetics, antipsychotics, other opioids, alcohol. Serotonergic Drugs Clinical Impact: The concomitant use of opioids with other drugs that affect the serotonergic neurotransmitter system has resulted in serotonin syndrome [see Warnings and Precautions ( 5.4 )]. Intervention: If concomitant use is warranted, carefully observe the patient, particularly during treatment initiation and dose adjustment. Discontinue remifentanil HCl if serotonin syndrome is suspected. Examples: Selective serotonin reuptake inhibitors (SSRIs), serotonin and norepinephrine reuptake inhibitors (SNRIs), tricyclic antidepressants (TCAs), triptans, 5-HT3 receptor antagonists, drugs that effect the serotonin neurotransmitter system (e.g., mirtazapine, trazodone, tramadol), certain muscle relaxants (i.e., cyclobenzaprine, metaxalone), monoamine oxidase (MAO) inhibitors (those intended to treat psychiatric disorders and also others, such as linezolid and intravenous methylene blue). Monoamine Oxidase Inhibitors (MAOIs) Clinical Impact: MAOI interactions with opioids may manifest as serotonin syndrome [see Warnings and Precautions ( 5.4 )] or opioid toxicity (e.g., respiratory depression, coma) [see Warnings and Precautions ( 5.2 )]. If urgent use of remifentanil HCl is necessary, use test doses and frequent titration of small doses while closely monitoring blood pressure and signs and symptoms of CNS and respiratory depression. Intervention: The use of remifentanil HCl is not recommended for patients taking MAOIs or within 14 days of stopping such treatment. Mixed Agonist/Antagonist and Partial Agonist Opioid Analgesics Clinical Impact: May reduce the analgesic effect of remifentanil HCl and/or precipitate withdrawal symptoms. Intervention: If concomitant use is warranted, carefully observe the patient, particularly during treatment initiation and dose adjustment. Consider discontinuing remifentanil HCl if patient is not responding appropriately to treatment and institute alternative analgesic treatment. Examples: butorphanol, nalbuphine, pentazocine, buprenorphine

Storage and Handling

Remifentanil HCl for injection should be stored at 2° to 25°C (36° to 77°F). Remifentanil HCl for IV use is supplied as follows: Product Code Unit of Sale Strength Each 723103 NDC 63323-723-03 Unit of 10 1 mg per vial NDC 63323-723-01 3 mL Single Dose Vial 724105 NDC 63323-724-05 Unit of 10 2 mg per vial NDC 63323-724-01 5 mL Single Dose Vial 725110 NDC 63323-725-10 Unit of 10 5 mg per vial NDC 63323-725-01 10 mL Single Dose Vial Discard unused portion. The container closure is not made with natural rubber latex. The brand names mentioned in this document are the trademarks of their respective owners.

How Supplied

Remifentanil HCl for injection should be stored at 2° to 25°C (36° to 77°F). Remifentanil HCl for IV use is supplied as follows: Product Code Unit of Sale Strength Each 723103 NDC 63323-723-03 Unit of 10 1 mg per vial NDC 63323-723-01 3 mL Single Dose Vial 724105 NDC 63323-724-05 Unit of 10 2 mg per vial NDC 63323-724-01 5 mL Single Dose Vial 725110 NDC 63323-725-10 Unit of 10 5 mg per vial NDC 63323-725-01 10 mL Single Dose Vial Discard unused portion. The container closure is not made with natural rubber latex. The brand names mentioned in this document are the trademarks of their respective owners.

Description

Warnings and Precautions ( 5.4 )                          06/2020

Section 42229-5

Induction of Anesthesia

Remifentanil HCl should be administered at an infusion rate of 0.5 to 1 mcg/kg/min with a hypnotic or volatile agent for the induction of anesthesia. If endotracheal intubation is to occur less than 8 minutes after the start of the infusion of remifentanil HCl, then an initial dose of 1 mcg/kg may be administered over 30 to 60 seconds.

Remifentanil HCl should not be used as a sole agent for induction of anesthesia because loss of consciousness cannot be assured and because of a high incidence of apnea, muscle rigidity, and tachycardia.

Section 43683-2

Warnings and Precautions (5.4)                          06/2020

9.2 Abuse

Remifentanil HCl is a Schedule II controlled drug substance that can produce drug dependence of the morphine type and has the potential for being abused.

Remifentanil HCl contains remifentanil, a substance with a high potential for abuse similar to other opioids including fentanyl, alfentanil, sufentanil, and meperidine. Remifentanil HCl can be abused and is subject to misuse, addiction, and criminal diversion.

Drug addiction is a cluster of behavioral, cognitive, and physiological phenomena that develop after repeated substance use and includes: a strong desire to take the drug, difficulties in controlling its use, persisting in its use despite harmful consequences, a higher priority given to drug use than to other activities and obligations, increased tolerance, and sometimes a physical withdrawal. Abuse and addiction are separate and distinct from physical dependence and tolerance. Health care providers should be aware that addiction may not be accompanied by concurrent tolerance and symptoms of physical dependence in all addicts. In addition, abuse of opioids can occur in the absence of true addiction.

Remifentanil HCl, like other opioids, can be diverted for non-medical use into illicit channels of distribution. Careful record-keeping of prescribing information, including quantity, frequency, and renewal requests, as required by state and federal law, is strongly advised.

14.2 Recovery

In 2,169 patients receiving remifentanil HCl for periods up to 16 hours, recovery from anesthesia was rapid, predictable, and independent of the duration of the infusion of remifentanil HCl. In the seven controlled, general surgery studies, extubation occurred in a median of 5 minutes (range: -3 to 17 minutes in 95% of patients) in outpatient anesthesia and 10 minutes (range: 0 to 32 minutes in 95% of patients) in inpatient anesthesia. Recovery in studies using nitrous oxide or propofol was faster than in those using isoflurane as the concurrent anesthetic. There was no case of remifentanil-induced delayed respiratory depression occurring more than 30 minutes after discontinuation of remifentanil [see Warnings and Precautions (5.14)].

In a double-blind, randomized study, administration of morphine sulfate (0.15 mg/kg) intravenously 20 minutes before the anticipated end of surgery to 98 patients did not delay recovery of respiratory drive in patients undergoing major surgery with remifentanil-propofol total IV anesthesia.

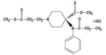
11 Description

Remifentanil hydrochloride for injection is an opioid agonist. The chemical name is 3-[4-methoxycarbonyl-4-[(1-oxopropyl)phenylamino]-1-piperidine]propanoic acid methyl ester, hydrochloride salt. The molecular weight is 412.91. Its molecular formula is C20H28N2O5•HCl, and it has the following chemical structure.

Remifentanil hydrochloride for injection is a sterile, nonpyrogenic, preservative-free, white to off-white lyophilized powder for intravenous (IV) administration after reconstitution and dilution. Each vial contains 1 mg, 2 mg, or 5 mg of remifentanil base; 15 mg glycine; and hydrochloric acid to buffer the solutions to a nominal pH of 3 after reconstitution. When reconstituted as directed, solutions of remifentanil HCl are clear and colorless and contain remifentanil hydrochloride (HCl) equivalent to 1 mg/mL of remifentanil base. The pH of reconstituted solutions of remifentanil HCl ranges from 2.5 to 3.5. Remifentanil HCl has a pKa of 7.07. Remifentanil HCl has an n-octanol:water partition coefficient of 17.9 at pH 7.3.

9.3 Dependence

Both tolerance and physical dependence can develop during chronic opioid therapy. Tolerance is the need for increasing doses of opioids to maintain a defined effect such as analgesia (in the absence of disease progression or other external factors). Tolerance may occur to both the desired and undesired effects of drugs, and may develop at different rates for different effects.

Physical dependence results in withdrawal symptoms after abrupt discontinuation or a significant dosage reduction of a drug. Withdrawal also may be precipitated through the administration of drugs with opioid antagonist activity (e.g., naloxone, nalmefene), mixed agonist/antagonist analgesics (pentazocine, butorphanol, nalbuphine), or partial agonists (buprenorphine). Physical dependence may not occur to a clinically significant degree until after several days to weeks of continued opioid usage.

5.8 Bradycardia

Bradycardia has been reported with remifentanil HCl and is responsive to ephedrine or anticholinergic drugs, such as atropine and glycopyrrolate.

5.9 Hypotension

Hypotension has been reported with remifentanil HCl and is responsive to decreases in the administration of remifentanil HCl or to IV fluids or catecholamine (ephedrine, epinephrine, norepinephrine, etc.) administration.

14.6 Neurosurgery

Remifentanil HCl was administered to 61 patients undergoing craniotomy for removal of a supratentorial mass lesion. In these studies, ventilation was controlled to maintain a predicted PaCO2 of approximately 28 mmHg. In one study (n = 30) with remifentanil HCl and 66% nitrous oxide, the median time to extubation and to patient response to verbal commands was 5 minutes (range -1 to 19 minutes). Intracranial pressure and cerebrovascular responsiveness to carbon dioxide were normal [see Clinical Pharmacology (12.2)].

A randomized, controlled study compared remifentanil HCl (n = 31) to fentanyl (n = 32). Remifentanil HCl (1 mcg/kg/min) and fentanyl (2 mcg/kg/min) were administered after induction with thiopental and pancuronium. A similar number of patients (6%) receiving remifentanil HCl and fentanyl had hypotension during induction. Anesthesia was maintained with nitrous oxide and remifentanil HCl at a mean infusion rate of 0.23 mcg/kg/min (range 0.1 to 0.4) compared with a fentanyl mean infusion rate of 0.04 mcg/kg/min (range 0.02 to 0.07). Supplemental isoflurane was administered as needed. The patients receiving remifentanil HCl required a lower mean isoflurane dose (0.07 MAC-hours) compared with 0.64 MAC-hours for the fentanyl patients (P = 0.04). Remifentanil HCl was discontinued at the end of anesthesia, whereas fentanyl was discontinued at the time of bone flap replacement (a median time of 44 minutes before the end of surgery). Median time to extubation was similar (5 and 3.5 minutes, respectively, with remifentanil HCl and fentanyl). None of the patients receiving remifentanil HCl required naloxone compared to seven of the fentanyl patients (P = 0.01). Eighty-one percent (81%) of patients receiving remifentanil HCl recovered (awake, alert, and oriented) within 30 minutes after surgery compared with 59% of fentanyl patients ( P = 0.06). At 45 minutes, recovery rates were similar (81% and 69% respectively for remifentanil HCl and fentanyl, P = 0.27). Patients receiving remifentanil HCl required an analgesic for headache sooner than fentanyl patients (median of 35 minutes compared with 136 minutes, respectively [ P = 0.04]). No adverse cerebrovascular effects were seen in this study [see Clinical Pharmacology (12.2)].

8.4 Pediatric Use

The efficacy and safety of remifentanil HCl as an analgesic agent for use in the maintenance of general anesthesia in outpatient and inpatient pediatric surgery have been established in controlled clinical studies in pediatric patients from birth to 12 years [see Clinical Studies (14.4)].

The initial maintenance infusion regimen of remifentanil HCl evaluated in pediatric patients from birth to 2 months of age was 0.4 mcg/kg/min, the approved adult regimen for use with N2O. The clearance rate observed in neonates was highly variable and on average was 2 times higher than in the young healthy adult population. Therefore, while a starting infusion rate of 0.4 mcg/kg/min may be appropriate for some neonates, an increased infusion rate may be necessary to maintain adequate surgical anesthesia, and additional bolus doses may be required. The individual dose for each patient should be carefully titrated. [See Clinical Pharmacology: Specific Populations: Pediatric Population (12.3) and Dosage and Administration, Table 2 and Maintenance of Anesthesia (2.2).]

Remifentanil HCl has not been studied in pediatric patients for use as a postoperative analgesic or as an analgesic component of monitored anesthesia care.

8.5 Geriatric Use

Of the total number of subjects in clinical studies of remifentanil HCl, 486 were 65 and over (age range 66 to 90 years). While the effective biological half-life of remifentanil is unchanged, elderly patients have been shown to be twice as sensitive as the younger population to the pharmacodynamic effects of remifentanil. The recommended starting dose of remifentanil HCl should be decreased by 50% in patients over 65 years of age [see Clinical Pharmacology (12.3) and Dosage and Administration (2.2)]. Titrate the dosage of remifentanil HCl slowly in geriatric patients. [See Warnings and Precautions (5.4).]

The clearance of remifentanil is reduced (approximately 25%) in the elderly (> 65 years of age) compared to young adults (average 25 years of age). However, remifentanil blood concentrations fall as rapidly after termination of administration in the elderly as in young adults.

5.5 Administration

Continuous infusions of remifentanil HCl should be administered only by an infusion device. IV bolus administration of remifentanil HCl should be used only during the maintenance of general anesthesia. In nonintubated patients, single doses of remifentanil HCl should be administered over 30 to 60 seconds.

Interruption of an infusion of remifentanil HCl will result in rapid offset of effect. Rapid clearance and lack of drug accumulation result in rapid dissipation of respiratory depressant and analgesic effects upon discontinuation of remifentanil HCl at recommended doses. Discontinuation of an infusion of remifentanil HCl should be preceded by the establishment of adequate postoperative analgesia.

Injections of remifentanil HCl should be made into IV tubing at or close to the venous cannula. Upon discontinuation of remifentanil HCl, the IV tubing should be cleared to prevent the inadvertent administration of remifentanil HCl at a later point in time. Failure to adequately clear the IV tubing to remove residual remifentanil HCl has been associated with the appearance of respiratory depression, apnea, and muscle rigidity upon the administration of additional fluids or medications through the same IV tubing.

14 Clinical Studies

Remifentanil HCl was evaluated in 3,341 patients undergoing general anesthesia (n = 2,706) and monitored anesthesia care (n = 639). These patients were evaluated in the following settings: inpatient (n = 2,079) which included cardiovascular (n = 426), and neurosurgical (n = 61), and outpatient (n = 1,349). Four-hundred and eighty-six (486) elderly patients (age range 66 to 90 years) and 410 pediatric patients (age range birth to 12 years) received remifentanil HCl. Of the general anesthesia patients, 682 also received remifentanil HCl as an IV analgesic agent during the immediate postoperative period.

2.5 Discontinuation

Upon discontinuation of remifentanil HCl, the IV tubing should be cleared to prevent the inadvertent administration of remifentanil HCl at a later time.

For patients undergoing surgical procedures where postoperative pain is generally anticipated, alternative analgesics should be administered prior to discontinuation of remifentanil HCl. The choice of analgesic should be appropriate for the patient's surgical procedure and the level of follow-up care [see Clinical Studies (14)].

4 Contraindications

Remifentanil HCl is contraindicated:

  • For epidural or intrathecal administration due to the presence of glycine in the formulation [see Nonclinical Toxicology (13)].
  • In patients with hypersensitivity to remifentanil (e.g., anaphylaxis) [see Adverse Reactions (6.2)].
6 Adverse Reactions

The following serious adverse reactions are described, or described in greater detail, in other sections:

  • Addiction, Abuse, and Misuse [see Warnings and Precautions (5.1)]
  • Respiratory Depression in Spontaneously Breathing Patients [see Warnings and Precautions (5.2)]
  • Interactions with Benzodiazepines or other CNS Depressants [see Warnings and Precautions (5.3)]
  • Serotonin Syndrome [see Warnings and Precautions (5.4)]
  • Skeletal Muscle Rigidity [see Warnings and Precautions (5.6)]
  • Bradycardia [see Warnings and Precautions (5.8)]
  • Hypotension [see Warnings and Precautions (5.9)]
  • Biliary Tract Disease [see Warnings and Precautions (5.12)]
  • Seizures [see Warnings and Precautions (5.13)]
7 Drug Interactions

Table 18 includes clinically significant drug interactions with remifentanil HCl.

Table 18: Clinically Significant Drug Interactions with Remifentanil HCl

Benzodiazepines and other Central Nervous System (CNS) Depressants

Clinical Impact:

Due to additive pharmacologic effect, the concomitant use of benzodiazepines or other CNS depressants including alcohol, increases the risk of hypotension, respiratory depression, profound sedation, coma, and death.

Intervention:

Limit dosages and durations to the minimum required. Follow patients closely for signs of respiratory depression and sedation. Patients should be advised to avoid alcohol for 24 hours after surgery [see Warnings and Precautions (5.3)].

Examples:

Benzodiazepines and other sedatives/hypnotics, anxiolytics, tranquilizers, muscle relaxants, general anesthetics, antipsychotics, other opioids, alcohol.

Serotonergic Drugs

Clinical Impact:

The concomitant use of opioids with other drugs that affect the serotonergic neurotransmitter system has resulted in serotonin syndrome [see Warnings and Precautions (5.4)].

Intervention:

If concomitant use is warranted, carefully observe the patient, particularly during treatment initiation and dose adjustment. Discontinue remifentanil HCl if serotonin syndrome is suspected.

Examples:

Selective serotonin reuptake inhibitors (SSRIs), serotonin and norepinephrine reuptake inhibitors (SNRIs), tricyclic antidepressants (TCAs), triptans, 5-HT3 receptor antagonists, drugs that effect the serotonin neurotransmitter system (e.g., mirtazapine, trazodone, tramadol), certain muscle relaxants (i.e., cyclobenzaprine, metaxalone), monoamine oxidase (MAO) inhibitors (those intended to treat psychiatric disorders and also others, such as linezolid and intravenous methylene blue).

Monoamine Oxidase Inhibitors (MAOIs)

Clinical Impact:

MAOI interactions with opioids may manifest as serotonin syndrome [see Warnings and Precautions (5.4)] or opioid toxicity (e.g., respiratory depression, coma) [see Warnings and Precautions (5.2)].

If urgent use of remifentanil HCl is necessary, use test doses and frequent titration of small doses while closely monitoring blood pressure and signs and symptoms of CNS and respiratory depression.

Intervention:

The use of remifentanil HCl is not recommended for patients taking MAOIs or within 14 days of stopping such treatment.

Mixed Agonist/Antagonist and Partial Agonist Opioid Analgesics

Clinical Impact:

May reduce the analgesic effect of remifentanil HCl and/or precipitate withdrawal symptoms.

Intervention:

If concomitant use is warranted, carefully observe the patient, particularly during treatment initiation and dose adjustment. Consider discontinuing remifentanil HCl if patient is not responding appropriately to treatment and institute alternative analgesic treatment.

Examples:

butorphanol, nalbuphine, pentazocine, buprenorphine

12.2 Pharmacodynamics

The analgesic effects of remifentanil HCl are rapid in onset and offset. Its effects and side effects are dose dependent and similar to other μ-opioids. Remifentanil HCl in humans has a rapid blood-brain equilibration half-time of 1 ± 1 minutes (mean ± SD) and a rapid onset of action. The pharmacodynamic effects of remifentanil HCl closely follow the measured blood concentrations, allowing direct correlation between dose, blood levels, and response. Blood concentration decreases 50% in 3 to 6 minutes after a 1-minute infusion or after prolonged continuous infusion due to rapid distribution and elimination processes and is independent of duration of drug administration. Recovery from the effects of remifentanil HCl occurs rapidly (within 5 to 10 minutes). New steady-state concentrations occur within 5 to 10 minutes after changes in infusion rate. When used as a component of an anesthetic technique, remifentanil HCl can be rapidly titrated to the desired depth of anesthesia/analgesia (e.g., as required by varying levels of intraoperative stress) by changing the continuous infusion rate or by administering an IV bolus injection.

12.3 Pharmacokinetics

After IV doses administered over 60 seconds, the pharmacokinetics of remifentanil fit a three-compartment model with a rapid distribution half-life of one minute, a slower distribution half-life of 6 minutes, and a terminal elimination half-life of 10 to 20 minutes. Since the terminal elimination component contributes less than 10% of the overall area under the concentration versus time curve (AUC), the effective biological half-life of remifentanil HCl is 3 to 10 minutes. This is similar to the 3- to 10-minute half-life measured after termination of prolonged infusions (up to 4 hours; see Figure 2) and correlates with recovery times observed in the clinical setting after infusions up to 12 hours. Concentrations of remifentanil are proportional to the dose administered throughout the recommended dose range. The pharmacokinetics of remifentanil are unaffected by the presence of renal or hepatic impairment.

2.2 General Anesthesia

Remifentanil HCl is not recommended as the sole agent in general anesthesia because loss of consciousness cannot be assured and because of a high incidence of apnea, muscle rigidity, and tachycardia. Remifentanil HCl is synergistic with other anesthetics; therefore, clinicians may need to reduce doses of thiopental, propofol, isoflurane, and midazolam by up to 75% with the coadministration of remifentanil HCl. The administration of remifentanil HCl must be individualized based on the patient's response.

1 Indications and Usage

Remifentanil hydrochloride (HCl) for injection is indicated for intravenous (IV) administration:

  • As an analgesic agent for use during the induction and maintenance of general anesthesia for inpatient and outpatient procedures.
  • For continuation as an analgesic into the immediate postoperative period in adult patients under the direct supervision of an anesthesia practitioner in a postoperative anesthesia care unit or intensive care setting.
  • As an analgesic component of monitored anesthesia care in adult patients.
12.1 Mechanism of Action

Remifentanil HCl is a μ-opioid agonist with rapid onset and peak effect, and short duration of action. The μ-opioid activity of remifentanil HCl is antagonized by opioid antagonists such as naloxone.

Unlike other opioids, remifentanil HCl is rapidly metabolized by hydrolysis of the propanoic acid-methyl ester linkage by nonspecific blood and tissue esterases. Remifentanil HCl is not a substrate for plasma cholinesterase (pseudocholinesterase) and, therefore, patients with atypical cholinesterase are expected to have a normal duration of action.

9.1 Controlled Substance

Remifentanil HCl contains remifentanil, a Schedule II controlled substance.

14.4 Pediatric Anesthesia

Remifentanil HCl has been evaluated for maintenance of general anesthesia in 410 pediatric patients from birth to 12 years undergoing inpatient and outpatient procedures. Four clinical studies have been performed.

Study 1, an open-label, randomized, controlled clinical trial (n = 129), compared remifentanil HCl (n = 68) with alfentanil (n = 19), isoflurane (n = 22), or propofol (n = 20) in children 2 to 12 years of age undergoing strabismus surgery. After induction of anesthesia which included the administration of atropine, remifentanil HCl was administered as an initial infusion of 1 mcg/kg/min with 70% nitrous oxide. The infusion rate required during maintenance of anesthesia was 0.73 to 1.95 mcg/kg/min. Time to extubation and to purposeful movement was a median of 10 minutes (range 1 to 24 minutes).

Study 2, a double-blind, randomized, controlled trial (n = 222), compared remifentanil HCl (n = 119) to fentanyl (n =103) in children 2 to 12 years of age undergoing tonsillectomy with or without adenoidectomy. After induction of anesthesia, patients received a 0.25 mcg/kg/min infusion of remifentanil HCl or fentanyl by IV bolus with nitrous oxide/oxygen (2:1) and either halothane or sevoflurane for maintenance of anesthesia. The mean infusion rate required during maintenance of anesthesia was 0.3 mcg/kg/min (range 0.2 to 1.3 mcg/kg/min). The continuous infusion rate was decreased to 0.05 mcg/kg/min approximately 10 minutes prior to the end of surgery. Time to spontaneous purposeful movement was a median of 8 minutes (range 1 to 19 minutes). Time to extubation was a median of 9 minutes (range 2 to 19 minutes).

Study 3, an open-label, randomized, controlled trial (n = 271), compared remifentanil HCl (n = 185) with a regional anesthetic technique (n = 86) in children 1 to 12 years of age undergoing major abdominal, urological, or orthopedic surgery. Patients received a 0.25 mcg/kg/min infusion of remifentanil HCl following a 1.0 mcg/kg bolus or bupivacaine by epidural infusion, along with isoflurane and nitrous oxide after the induction of anesthesia. The mean infusion rate required during maintenance of anesthesia was 0.25 mcg/kg/min (range 0 to 0.75 mcg/kg/min). Both treatments were effective in attenuating responses to skin incision during surgery. The hemodynamic profile of the remifentanil HCl group was consistent with an opioid-based general anesthetic technique. Time to spontaneous purposeful movement was a median of 15 minutes (range, 2 to 75 minutes) in the remifentanil group. Time to extubation was a median of 13 minutes (range, 4 to 31 minutes) in the remifentanil group.

Study 4, an open-label, randomized, controlled trial (n = 60), compared remifentanil HCl (n = 38) with halothane (n =22) in ASA 1 or 2, full term neonates and infants ≤ 8 weeks of age weighing at least 2500 grams who were undergoing pyloromyotomy. After induction of anesthesia, which included the administration of atropine, patients received 0.4 mcg/kg/min of remifentanil HCl or 0.4% halothane with 70% nitrous oxide for initial maintenance of anesthesia and then both agents were adjusted according to clinical response. Bolus doses of 1 mcg/kg administered over 30 to 60 seconds were used to treat brief episodes of hypertension and tachycardia, and infusion rates were increased by 50% to treat sustained hypertension and tachycardia. The range of infusion rates of remifentanil HCl required during maintenance of anesthesia was 0.4 to 1 mcg/kg/min.

Seventy-one percent (71%) of remifentanil HCl patients required supplementary boluses or rate increases from the starting dose of 0.4 mcg/kg/min to treat hypertension, tachycardia, movement or somatic signs of light anesthesia. Twenty-four percent of the patients required an increase from the initial rate of 0.4 mcg/kg/min prior to incision and 26% of patients required an infusion rate between 0.8 and 1.0 mcg/kg/min, most often during gastric manipulation. The continuous infusion rate was decreased to 0.05 mcg/kg/min approximately 10 minutes before the end of surgery.

In the remifentanil HCl group, median time from discontinuation of anesthesia to spontaneous purposeful movement was 6.5 minutes (range, 1 to 13 minutes) and median time to extubation was 8.5 minutes (range, 1 to 14 minutes).

The initial maintenance infusion regimen of remifentanil HCl evaluated in pediatric patients from birth to 2 months of age was 0.4 mcg/kg/min, the approved adult regimen for use with N2O. The clearance rate observed in the neonatal population was highly variable and on average was two times higher than in the young healthy adult population. [See Clinical Pharmacology: Specific Populations: Pediatric Population (12.3) and Dosage and Administration, Table 2 (2.2).]

No pediatric patients receiving remifentanil HCl required naloxone during the immediate postoperative recovery period.

5 Warnings and Precautions
  • Respiratory Depression in Spontaneously Breathing Patients: Monitor closely, particularly during initiation and titration. (5.2)
  • Risks from Use as Postoperative Analgesia with Concomitant Benzodiazepines or other CNS Depressants: Hypotension, profound sedation, respiratory depression, coma, and death may result from the concomitant use of Remifentanil hydrochloride for injection with benzodiazepines or other CNS depressants. (5.3)
  • Serotonin Syndrome: Potentially life-threatening condition could result from concomitant serotonergic drug administration. Discontinue Remifentanil hydrochloride for injection if serotonin syndrome is suspected. (5.4)
  • Administration: Continuous infusions of Remifentanil hydrochloride for injection should be administered only by an infusion device. (5.5)
  • Skeletal Muscle Rigidity: is related to the dose and speed of administration. Muscle rigidity induced by Remifentanil hydrochloride for injection should be managed in the context of the patient's clinical condition. (5.6)
  • Potential Inactivation by Nonspecific Esterases in Blood Products: Remifentanil hydrochloride for injection should not be administered into the same IV tubing with blood due to potential inactivation by nonspecific esterases in blood products. (5.7)
  • Bradycardia: Monitor heart rate during dosage initiation and titration. It is responsive to ephedrine or anticholinergic drugs. (5.8)
  • Hypotension: Monitor blood pressure during dosage initiation and titration. It is responsive to decreases in the administration of Remifentanil hydrochloride for injection or to IV fluids or catecholamine administration. (5.9)
  • Intraoperative Awareness: Inoperative awareness has been reported in patients under 55 years of age when Remifentanil hydrochloride for injection has been administered with propofol infusion rates of ≤ 75 mcg/kg/min. (5.10)
  • Risks of Use in Spontaneously Breathing Patients with Increased Intracranial Pressure, Brain Tumors, Head Injury, or Impaired Consciousness: Monitor for sedation and respiratory depression. (5.11)
  • Risks of Use in Patients with Biliary Tract Disease: Monitor patients with biliary tract disease, including acute pancreatitis, for worsening symptoms. (5.12)
  • Increased Risk of Seizures in Patients with Seizure Disorders: Monitor patients with a history of seizure disorders for worsened seizure control during Remifentanil hydrochloride for injection therapy. (5.13)
  • Rapid Offset of Action: Standard monitoring should be maintained in the postoperative period to ensure adequate recovery without stimulation. (5.14)
2 Dosage and Administration
  • Monitor patients closely for respiratory depression when initiating therapy and following dosage increases and adjust the dosage accordingly. (2.1)
  • Initial Dosage in Adults: See full prescribing information for recommended doses in adult patients. (2.2, 2.3)
  • Initial Dosage in Pediatric Patients: See full prescribing information for recommended doses in pediatric patients. (2.2)
  • Geriatric Patients: The starting doses should be decreased by 50% in elderly patients (> 65 years). (2.6)
5.14 Rapid Offset of Action

Analgesic activity will subside within 5 to 10 minutes after discontinuation of administration of remifentanil HCl. However, respiratory depression may continue in some patients for up to 30 minutes after termination of infusion due to residual effects of concomitant anesthetics. Standard monitoring should be maintained in the postoperative period to ensure adequate recovery without stimulation. For patients undergoing surgical procedures where postoperative pain is generally anticipated, other analgesics should be administered prior to the discontinuation of remifentanil HCl.

3 Dosage Forms and Strengths

For injection: 1 mg, 2 mg, and 5 mg:

3 mL Vial

1 mg lyophilized powder

5 mL Vial

2 mg lyophilized powder

10 mL Vial

5 mg lyophilized powder

5.6 Skeletal Muscle Rigidity

Skeletal muscle rigidity can be caused by remifentanil HCl and is related to the dose and speed of administration. Remifentanil HCl may cause chest wall rigidity (inability to ventilate) after single doses of > 1 mcg/kg administered over 30 to 60 seconds, or after infusion rates > 0.1 mcg/kg/min. Single doses < 1 mcg/kg may cause chest wall rigidity when given concurrently with a continuous infusion of remifentanil HCl.

Muscle rigidity induced by remifentanil HCl should be managed in the context of the patient's clinical condition. Muscle rigidity occurring during the induction of anesthesia should be treated by the administration of a neuromuscular blocking agent and the concurrent induction medications and can be treated by decreasing the rate or discontinuing the infusion of remifentanil HCl or by administering a neuromuscular blocking agent. The neuromuscular blocking agents used should be compatible with the patient's cardiovascular status.

Muscle rigidity seen during the use of remifentanil HCl in spontaneously breathing patients may be treated by stopping or decreasing the rate of administration of remifentanil HCl. Resolution of muscle rigidity after discontinuing the infusion of remifentanil HCl occurs within minutes. In the case of life-threatening muscle rigidity, a rapid onset neuromuscular blocker or naloxone may be administered.

6.2 Postmarketing Experience

The following adverse reactions have been identified during post approval use of remifentanil. Because these reactions are reported voluntarily from a population of uncertain size, it is not always possible to reliably estimate their frequency or establish a causal relationship to drug exposure.

Cardiovascular: Asystole

Serotonin syndrome: Cases of serotonin syndrome, a potentially life-threatening condition, have been reported during concomitant use of opioids with serotonergic drugs.

Anaphylaxis: Anaphylaxis has been reported with ingredients contained in remifentanil HCl.

8.7 Long Term Use in the Icu

No data are available on the long-term (longer than 16 hours) use of remifentanil HCl as an analgesic in ICU patients.

5.10 Intraoperative Awareness

Intraoperative awareness has been reported in patients under 55 years of age when remifentanil HCL has been administered with propofol infusion rates of ≤ 75 mcg/kg/min.

8 Use in Specific Populations
  • Pregnancy: May cause fetal harm. (8.1)
  • Labor or Delivery: Respiratory depression and other opioid effects may occur in newborns whose mothers are given Remifentanil hydrochloride for injection shortly before delivery. (8.1)
  • Lactation: Infants exposed to Remifentanil hydrochloride for injection through breast milk should be monitored for excess sedation and respiratory depression. (8.2)
  • Pediatric Use: Remifentanil hydrochloride for injection has not been studied in pediatric patients for use as a postoperative analgesic or as an analgesic component of monitored anesthesia care. (8.4)
14.8 Monitored Anesthesia Care

Remifentanil HCl has been studied in the monitored anesthesia care setting in 609 patients in eight clinical studies. Nearly all patients received supplemental oxygen in these studies. Two early dose-finding studies demonstrated that use of sedation as an endpoint for titration of remifentanil HCl led to a high incidence of muscle rigidity (69%) and respiratory depression. Subsequent trials titrated remifentanil HCl to specific clinical endpoints of patient comfort, analgesia, and adequate respiration (respiratory rate > 8 breaths/min) with a corresponding lower incidence of muscle rigidity (3%) and respiratory depression. With doses of midazolam > 2 mg (4 to 8 mg), the dose of remifentanil HCl could be decreased by 50%, but the incidence of respiratory depression rose to 32%.

The efficacy of a single dose of remifentanil HCl (1.0 mcg/kg over 30 seconds) was compared to alfentanil (7 mcg/kg over 30 seconds) in patients undergoing ophthalmic surgery. More patients receiving remifentanil HCl were pain free at the time of the nerve block (77% versus 44%, P = 0.02) and more experienced nausea (12% versus 4%) than those receiving alfentanil.

In a randomized, controlled study (n = 118), remifentanil HCl 0.5 mcg/kg over 30 to 60 seconds followed by a continuous infusion of 0.1 mcg/kg/min, was compared to a propofol bolus (500 mcg/kg) followed by a continuous infusion (50 mcg/kg/min) in patients who received a local or regional anesthetic nerve block 5 minutes later. The incidence of moderate or severe pain during placement of the block was similar between groups (2% with remifentanil HCl and 8% with propofol, P = 0.2) and more patients receiving remifentanil HCl experienced nausea (26% versus 2%, P < 0.001). The final mean infusion rate of remifentanil HCl was 0.08 mcg/kg/min.

In a randomized, double-blind study, remifentanil HCl with or without midazolam was evaluated in 159 patients undergoing superficial surgical procedures under local anesthesia. Remifentanil HCl was administered without midazolam as a 1 mcg/kg dose over 30 seconds followed by a continuous infusion of 0.1 mcg/kg/min. In the group of patients that received midazolam, remifentanil HCl was administered as a 0.5 mcg/kg dose over 30 seconds followed by a continuous infusion of 0.05 mcg/kg/min and midazolam 2 mg was administered 5 minutes later. The occurrence of moderate or severe pain during the local anesthetic injection was similar between groups (16% and 20%). Other effects for remifentanil HCl alone and remifentanil HCl/midazolam were: respiratory depression with oxygen desaturation (SPO2 < 90%), 5% and 2%; nausea, 8% and 2%; and pruritus, 23% and 12%. Titration of remifentanil HCl resulted in prompt resolution of respiratory depression (median 3 minutes, range 0 to 6 minutes). The final mean infusion rate of remifentanil HCl was 0.12 mcg/kg/min (range 0.03 to 0.3) for the group receiving remifentanil HCl alone and 0.07 mcg/kg/min (range 0.02 to 0.2) for the group receiving remifentanil HCl/midazolam.

6.1 Clinical Trials Experience

Because clinical trials are conducted under widely varying conditions, adverse reaction rates observed in the clinical trials of a drug cannot be directly compared to rates in the clinical trials of another drug and may not reflect the rates observed in practice.

Adverse event information is derived from controlled clinical studies that were conducted in a variety of surgical procedures of varying duration, using a variety of premedications and other anesthetics, and in patient populations with diverse characteristics including underlying disease.

5.1 Addiction, Abuse, and Misuse

Remifentanil HCl contains remifentanil, a Schedule II controlled substance. As an opioid, remifentanil HCl exposes users to the risks of addiction, abuse, and misuse [see Drug Abuse and Dependence (9)].

Opioids are sought by drug abusers and people with addiction disorders and are subject to criminal diversion. Consider these risks when handling remifentanil HCl. Strategies to reduce these risks include proper product storage and control practices for a C-II drug. Contact local state professional licensing board or state controlled substances authority for information on how to prevent and detect abuse or diversion of this product.

8.6 Use in Morbidly Obese Patients

As for all potent opioids, caution is required with use in morbidly obese patients because of alterations in cardiovascular and respiratory physiology [see Dosage and Administration (2.2)].

14.5 Coronary Artery Bypass Surgery

Remifentanil HCl was originally administered to 225 subjects undergoing elective CABG surgery in two dose-ranging studies without active comparators. Subsequently, two double-blind, double-dummy clinical studies (N = 426) evaluated remifentanil HCl (n = 236) at recommended doses versus active comparators (n = 190).

The first comparator study, a multi-center, randomized, double-blind, double-dummy, parallel-group study (N = 369), compared remifentanil HCl (n = 201) with fentanyl (n = 168) in adult patients undergoing elective CABG surgery. Subjects received 1 to 3 mg midazolam and 0.05 mg/kg morphine IV as premedication. Anesthesia was induced with propofol 0.5 mg/kg (higher doses administered with remifentanil HCl were associated with excessive hypotension) over one minute plus 10-mg boluses every 10 seconds until loss of consciousness followed by either cisatracurium 0.2 mg/kg or vecuronium 0.15 mg/kg. Patients randomized to remifentanil HCl received a 1 mcg/kg/min infusion of remifentanil HCl followed by a placebo bolus administered over 3 minutes. In the active control group, a placebo IV infusion was started and a fentanyl bolus 10 mcg/kg was administered over 3 minutes. All subjects received isoflurane titrated initially to end tidal concentration of 0.5%. During maintenance, the group randomized to remifentanil HCl received as needed 0.5-1 mcg/kg/min IV rate increases (to a maximum of 4 mcg/kg/min) of remifentanil HCl and 1 mcg/kg IV boluses of remifentanil HCl. The active control group received 2 mcg/kg IV boluses of fentanyl and increases in placebo IV infusion rate.

The second comparator study, a multi-center, double-blind, randomized, parallel group study (N = 57), compared remifentanil HCl (n = 35) to fentanyl (n = 22) in adult patients undergoing elective CABG surgery with poor left ventricular function (ejection fraction < 0.35). Subjects received oral lorazepam 40 mcg/kg as premedication. Anesthesia was induced using etomidate until loss of consciousness, followed by a low-dose propofol infusion (3 mg/kg/hr) and pancuronium 0.15 mg/kg. Subjects in the group administered remifentanil HCl received a placebo bolus dose and a continuous infusion of remifentanil HCl 1 mcg/kg/min and subjects in the fentanyl group received a bolus loading dose of 15 mcg/kg and placebo continuous infusion. During maintenance, supplemental bolus doses of remifentanil HCl (0.5 mcg/kg) and infusion rate increases of 0.5 to 1 mcg/kg/min (maximum rate allowed was 4 mcg/kg/min) of remifentanil HCl were administered to one group; while the fentanyl group was given intermittent maintenance bolus doses of 2 mcg/kg and increases in the placebo infusion rate.

In these two studies, using a high dose opioid technique with remifentanil HCl as a component of a balanced or total intravenous anesthetic regimen, the remifentanil regimen effectively attenuated response to maximal sternal spread generally better than the dose and regimen studied for the active control (fentanyl). While this provides evidence for the efficacy of remifentanil as an analgesic in this setting, caution must be exercised in interpreting these results as evidence of superiority of remifentanil over the active control, since these studies did not make any attempt to evaluate and compare the optimal analgesic doses of either drug in this setting.

2.11 Preparation for Administration

To reconstitute solution, add 1 mL of diluent per mg of remifentanil. Shake well to dissolve. When reconstituted as directed, the solution contains approximately 1 mg of remifentanil activity per 1 mL.

  • Remifentanil HCl should be diluted to a recommended final concentration of 20, 25, 50, or 250 mcg/mL prior to administration (see Table 5). Remifentanil HCl should not be administered without dilution.

Table 5: Reconstitution and Dilution of Remifentanil HCl

Final Concentration

Amount of Remifentanil HCl in Each Vial

Final Volume After Reconstitution and Dilution

20 mcg/mL

1 mg

50 mL

2 mg

100 mL

5 mg

250 mL

25 mcg/mL

1 mg

40 mL

2 mg

80 mL

5 mg

200 mL

50 mcg/mL

1 mg

20 mL

2 mg

40 mL

5 mg

100 mL

250 mcg/mL

5 mg

20 mL

Continuous IV infusions of remifentanil HCl should be administered only by an infusion device.

Infusion rates of remifentanil HCl can be individualized for each patient using Table 6:

Table 6: IV Infusion Rates of Remifentanil HCl (mL/kg/h)

Drug Delivery Rate (mcg/kg/min)

Infusion Delivery Rate (mL/kg/h)

20 mcg/mL

25 mcg/mL

50 mcg/mL

250 mcg/mL

0.0125

0.038

0.03

0.015

not recommended

0.025

0.075

0.06

0.03

not recommended

0.05

0.15

0.12

0.06

0.012

0.075

0.23

0.18

0.09

0.018

0.1

0.3

0.24

0.12

0.024

0.15

0.45

0.36

0.18

0.036

0.2

0.6

0.48

0.24

0.048

0.25

0.75

0.6

0.3

0.06

0.5

1.5

1.2

0.6

0.12

0.75

2.25

1.8

0.9

0.18

1.0

3.0

2.4

1.2

0.24

1.25

3.75

3.0

1.5

0.3

1.5

4.5

3.6

1.8

0.36

1.75

5.25

4.2

2.1

0.42

2.0

6.0

4.8

2.4

0.48

When remifentanil HCl is used as an analgesic component of monitored analgesia care, a final concentration of 25 mcg/mL is recommended. When remifentanil HCl is used for pediatric patients 1 year of age and older, a final concentration of 20 or 25 mcg/mL is recommended. Table 7 is a guideline for milliliter-per-hour delivery for a solution of 20 mcg/mL with an infusion device.

Table 7: IV Infusion Rates of Remifentanil HCl (mL/h) for a 20 mcg/mL Solution

Infusion Rate (mcg/kg/min)

Patient Weight (kg)

5

10

20

30

40

50

60

0.0125

0.188

0.375

0.75

1.125

1.5

1.875

2.25

0.025

0.375

0.75

1.5

2.25

3.0

3.75

4.5

0.05

0.75

1.5

3.0

4.5

6.0

7.5

9.0

0.075

1.125

2.25

4.5

6.75

9.0

11.25

13.5

0.1

1.5

3.0

6.0

9.0

12.0

15.0

18.0

0.15

2.25

4.5

9.0

13.5

18.0

22.5

27.0

0.2

3.0

6.0

12.0

18.0

24.0

30.0

36.0

0.25

3.75

7.5

15.0

22.5

30.0

37.5

45.0

0.3

4.5

9.0

18.0

27.0

36.0

45.0

54.0

0.35

5.25

10.5

21.0

31.5

42.0

52.5

63.0

0.4

6.0

12.0

24.0

36.0

48.0

60.0

72.0

Table 8 is a guideline for milliliter-per-hour delivery for a solution of 25 mcg/mL with an infusion device.

Table 8: IV Infusion Rates of Remifentanil HCl (mL/h) for a 25 mcg/mL Solution

Infusion Rate(mcg/kg/min)

Patient Weight (kg)

10

20

30

40

50

60

70

80

90

100

0.0125

0.3

0.6

0.9

1.2

1.5

1.8

2.1

2.4

2.7

3.0

0.025

0.6

1.2

1.8

2.4

3.0

3.6

4.2

4.8

5.4

6.0

0.05

1.2

2.4

3.6

4.8

6.0

7.2

8.4

9.6

10.8

12.0

0.075

1.8

3.6

5.4

7.2

9.0

10.8

12.6

14.4

16.2

18.0

0.1

2.4

4.8

7.2

9.6

12.0

14.4

16.8

19.2

21.6

24.0

0.15

3.6

7.2

10.8

14.4

18.0

21.6

25.2

28.8

32.4

36.0

0.2

4.8

9.6

14.4

19.2

24.0

28.8

33.6

38.4

43.2

48.0

Table 9 is a guideline for milliliter-per-hour delivery for a solution of 50 mcg/mL with an infusion device.

Table 9: IV Infusion Rates of Remifentanil HCl (mL/h) for a 50 mcg/mL Solution

Infusion Rate (mcg/kg/min)

Patient Weight (kg)

30

40

50

60

70

80

90

100

0.025

 

 

 

 

2.1

2.4

2.7

3.0

0.05

 

2.4

3.0

3.6

4.2

4.8

5.4

6.0

0.075

2.7

3.6

4.5

5.4

6.3

7.2

8.1

9.0

0.1

3.6

4.8

6.0

7.2

8.4

9.6

10.8

12.0

0.15

5.4

7.2

9.0

10.8

12.6

14.4

16.2

18.0

0.2

7.2

9.6

12.0

14.4

16.8

19.2

21.6

24.0

0.25

9.0

12.0

15.0

18.0

21.0

24.0

27.0

30.0

0.5

18.0

24.0

30.0

36.0

42.0

48.0

54.0

60.0

0.75

27.0

36.0

45.0

54.0

63.0

72.0

81.0

90.0

1.0

36.0

48.0

60.0

72.0

84.0

96.0

108.0

120.0

1.25

45.0

60.0

75.0

90.0

105.0

120.0

135.0

150.0

1.5

54.0

72.0

90.0

108.0

126.0

144.0

162.0

180.0

1.75

63.0

84.0

105.0

126.0

147.0

168.0

189.0

210.0

2.0

72.0

96.0

120.0

144.0

168.0

192.0

216.0

240.0

Table 10 is a guideline for milliliter-per-hour delivery for a solution of 250 mcg/mL with an infusion device.

Table 10: IV Infusion Rates of Remifentanil HCl (mL/h) for a 250 mcg/mL Solution

Infusion Rate (mcg/kg/min)

Patient Weight (kg)

30

40

50

60

70

80

90

100

0.1

0.72

0.96

1.20

1.44

1.68

1.92

2.16

2.40

0.15

1.08

1.44

1.80

2.16

2.52

2.88

3.24

3.60

0.2

1.44

1.92

2.40

2.88

3.36

3.84

4.32

4.80

0.25

1.80

2.40

3.00

3.60

4.20

4.80

5.40

6.00

0.5

3.60

4.80

6.00

7.20

8.40

9.60

10.80

12.00

0.75

5.40

7.20

9.00

10.80

12.60

14.40

16.20

18.00

1.0

7.20

9.60

12.00

14.40

16.80

19.20

21.60

24.00

1.25

9.00

12.00

15.00

18.00

21.00

24.00

27.00

30.00

1.5

10.80

14.40

18.00

21.60

25.20

28.80

32.40

36.00

1.75

12.60

16.80

21.00

25.20

29.40

33.60

37.80

42.00

2.0

14.40

19.20

24.00

28.80

33.60

38.40

43.20

48.00

16 How Supplied/storage and Handling

Remifentanil HCl for injection should be stored at 2° to 25°C (36° to 77°F). Remifentanil HCl for IV use is supplied as follows:

Product Code

Unit of Sale

Strength

Each

723103

NDC 63323-723-03

Unit of 10

1 mg per vial

NDC 63323-723-01

3 mL Single Dose Vial

724105

NDC 63323-724-05

Unit of 10

2 mg per vial

NDC 63323-724-01

5 mL Single Dose Vial

725110

NDC 63323-725-10

Unit of 10

5 mg per vial

NDC 63323-725-01

10 mL Single Dose Vial

Discard unused portion.

The container closure is not made with natural rubber latex.

The brand names mentioned in this document are the trademarks of their respective owners.

Warning: Addiction, Abuse, and Misuse

Addiction, Abuse, and Misuse

Remifentanil hydrochloride for injection exposes patients and other users to the risks of opioid addiction, abuse, and misuse, which can lead to overdose and death. Assess each patient's risk prior to prescribing Remifentanil hydrochloride for injection [see Warnings and Precautions (5.1)] .

14.3 Spontaneous Ventilation Anesthesia

Two randomized, dose-ranging studies (n = 127) examined the administration of remifentanil HCl to outpatients undergoing general anesthesia with a laryngeal mask. Starting infusion rates of remifentanil HCl of ≤ 0.05 mcg/kg/min provided supplemental analgesia while allowing spontaneous ventilation with propofol or isoflurane. Bolus doses of remifentanil HCl during spontaneous ventilation lead to transient periods of apnea, respiratory depression, and muscle rigidity.

2.9 Dosage Modifications in Obese Patients

The starting doses of remifentanil HCl should be based on ideal body weight (IBW) in obese patients (greater than 30% over their IBW) [see Use in Specific Populations (8.6)].

2.6 Dosage Modifications in Geriatric Patients

The starting doses of remifentanil HCl should be decreased by 50% in elderly patients (> 65 years). Remifentanil HCl should then be cautiously titrated to effect [see Use in Specific Populations (8.5)].

2.7 Dosage Modifications in Pediatric Patients

See Table 2 for dosing recommendations for use of remifentanil HCl in pediatric patients from birth to 12 years of age for maintenance of anesthesia. [See Clinical Pharmacology: Specific Populations: Pediatric Population (12.3) and Dosage and Administration, Table 2 and Maintenance of Anesthesia (2.2).]

Remifentanil HCl has not been studied in pediatric patients for use in the immediate postoperative period or for use as a component of monitored anesthesia care.

2.1 Important Dosage and Administration Instructions

Monitor patients closely for respiratory depression when initiating therapy and following dosage increases with remifentanil HCl and adjust the dosage accordingly [see Warnings and Precautions (5.2)].

Remifentanil HCl is for intravenous use only. Continuous infusions of remifentanil HCl should be administered only by an infusion device. The injection site should be close to the venous cannula and all IV tubing should be cleared at the time of discontinuation of infusion.

Remifentanil HCl should not be administered without dilution.

Consider an alternative to remifentanil HCl for patients taking mixed agonist/antagonist and partial agonist opioid analgesics due to reduced analgesic effect or potential withdrawal symptoms. If concomitant use is warranted, carefully observe the patient, particularly during treatment initiation and dose adjustment. Discontinue remifentanil HCl if patient is not responding appropriately to treatment.

Discard unused portion.

2.4 Analgesic Component of Monitored Anesthesia Care

It is strongly recommended that supplemental oxygen be supplied to the patient whenever remifentanil HCl is administered.

  • Remifentanil HCl has not been studied for use in children in monitored anesthesia care.
2.10 Dosage Modifications in Preanesthetic Medication

The need for premedication and the choice of anesthetic agents must be individualized. In clinical studies, patients who received remifentanil HCl frequently received a benzodiazepine premedication.

5.12 Risks of Use in Patients With Biliary Tract Disease

The remifentanil in remifentanil HCl may cause spasm of the sphincter of Oddi. Opioids may cause increases in serum amylase. Monitor patients with biliary tract disease, including acute pancreatitis, for worsening symptoms.

2.8 Dosage Modifications in Coronary Artery Bypass Surgery

Table 4 summarizes the recommended doses for induction, maintenance, and continuation as an analgesic into the ICU in adult patients, predominantly ASA physical status III or IV. To avoid hypotension during the induction phase, it is important to consider the concomitant medication regimens. [See Clinical Studies: Coronary Artery Bypass Surgery  (14.5).]

Table 4: Dosing Recommendations a – Coronary Artery Bypass Surgery

 Phase

Continuous IV Infusion of Remifentanil HCl (mcg/kg/min)

Range of Infusion Dose Remifentanil HCl (mcg/kg/min)

Supplemental IV Bolus

Dose of Remifentanil HCl (mcg/kg)

 Induction of Anesthesia (through intubation)

 1

 

 

 Maintenance of Anesthesia

 1

 0.125 to 4

 0.5 to 1

 Continuation as an analgesic into ICU

 1

 0.05 to 1

 

a See Clinical Studies: Coronary Artery Bypass Surgery subsection (14.5) for concomitant medication regimens.

5.2 Respiratory Depression in Spontaneously Breathing Patients

Serious, life-threatening, or fatal respiratory depression has been reported with the use of opioids, even when used as recommended. Respiratory depression, if not immediately recognized and treated, may lead to respiratory arrest and death.

Remifentanil HCl should be administered only by persons specifically trained in the use of anesthetic drugs and the management of the respiratory effects of potent opioids, including respiration and cardiac resuscitation of patients in the age group being treated. Such training must include the establishment and maintenance of a patent airway and assisted ventilation. Resuscitative and intubation equipment, oxygen, and opioid antagonists must be readily available.

Respiratory depression in spontaneously breathing patients is generally managed by decreasing the rate of the infusion of remifentanil HCl by 50% or by temporarily discontinuing the infusion [see Overdosage (10)].

Carbon dioxide (CO2) retention from opioid-induced respiratory depression can exacerbate the sedating effects of opioids. While serious, life-threatening, or fatal respiratory depression can occur at any time during the use of remifentanil HCl, the risk is greatest during the initiation of therapy or following a dosage increase. Monitor patients closely for respiratory depression, especially when initiating therapy with and following dosage increases of remifentanil HCl.

Remifentanil HCl should not be used in diagnostic or therapeutic procedures outside the monitored anesthesia care setting. Patients receiving monitored anesthesia care should be continuously monitored by persons not involved in the conduct of the surgical or diagnostic procedure. Oxygen saturation should be monitored on a continuous basis.

Patients with significant chronic obstructive pulmonary disease or cor pulmonale, and those with a substantially decreased respiratory reserve, hypoxia, hypercapnia, or pre-existing respiratory depression are at increased risk of decreased respiratory drive including apnea, even at recommended dosages of remifentanil HCl. Elderly, cachectic, or debilitated patients may have altered pharmacokinetics or altered clearance compared to younger, healthier patients resulting in greater risk for respiratory depression. Monitor such patients closely including vital signs, particularly when initiating and titrating remifentanil HCl and when remifentanil HCl is given concomitantly with other drugs that depress respiration. To reduce the risk of respiratory depression, proper dosing and titration of remifentanil HCl are essential [see Dosage and Administration (2.11)].

5.4 Serotonin Syndrome With Concomitant Use of Serotonergic Drugs

Cases of serotonin syndrome, a potentially life-threatening condition, have been reported during concomitant use of remifentanil HCl with serotonergic drugs. Serotonergic drugs include selective serotonin reuptake inhibitors (SSRIs), serotonin and norepinephrine reuptake inhibitors (SNRIs), tricyclic antidepressants (TCAs), triptans, 5-HT3 receptor antagonists, drugs that affect the serotonergic neurotransmitter system (e.g., mirtazapine, trazodone, tramadol), certain muscle relaxants (i.e., cyclobenzaprine, metaxalone), and drugs that impair metabolism of serotonin (including MAO inhibitors, both those intended to treat psychiatric disorders and also others, such as linezolid and intravenous methylene blue) [see Drug Interactions (7)]. This may occur within the recommended dosage range.

Serotonin syndrome symptoms may include mental status changes (e.g., agitation, hallucinations, coma), autonomic instability (e.g., tachycardia, labile blood pressure, hyperthermia), neuromuscular aberrations (e.g., hyperreflexia, incoordination, rigidity), and/or gastrointestinal symptoms (e.g., nausea, vomiting, diarrhea). The onset of symptoms generally occurs within several hours to a few days of concomitant use, but may occur later than that. Discontinue remifentanil HCl if serotonin syndrome is suspected.

5.13 Increased Risk of Seizures in Patients With Seizure Disorders

The remifentanil in remifentanil HCl may increase the frequency of seizures in patients with seizure disorders, and may increase the risk of seizures occurring in other clinical settings associated with seizures. Monitor patients with a history of seizure disorders for worsened seizure control during remifentanil HCl therapy.

5.7 Potential Inactivation By Nonspecific Esterases in Blood Products

Remifentanil HCl should not be administered into the same IV tubing with blood due to potential inactivation by nonspecific esterases in blood products.

14.7 Continuation of Analgesic Use Into the Immediate Postoperative Period

Analgesia with remifentanil HCl in the immediate postoperative period (until approximately 30 minutes after extubation) was studied in 401 patients in four dose-finding studies and in 281 patients in two efficacy studies. In the dose-finding studies, the use of bolus doses of remifentanil HCl and incremental infusion rate increases ≥ 0.05 mcg/kg/min led to respiratory depression and muscle rigidity.

In two efficacy studies, remifentanil HCl 0.1 mcg/kg/min was started immediately after discontinuing anesthesia. Incremental infusion rate increases of 0.025 mcg/kg/min every 5 minutes were given to treat moderate to severe postoperative pain. In Study 1, 50% decreases in infusion rate were made if respiratory rate decreased below 12 breaths/min and in Study 2, the same decreases were made if respiratory rate was below 8 breaths/min. With this difference in criteria for infusion rate decrease, the incidence of respiratory depression was lower in Study 1 (4%) than in Study 2 (12%). In both studies, remifentanil HCl provided effective analgesia (no or mild pain with respiratory rate ≥ 8 breaths/min) in approximately 60% of patients at mean final infusion rates of 0.1 to 0.125 mcg/kg/min.

Study 2 was a double-blind, randomized, controlled study in which patients received either morphine sulfate (0.15 mg/kg administered 20 minutes before the anticipated end of surgery plus 2 mg bolus doses for supplemental analgesia) or remifentanil HCl (as described above). Emergence from anesthesia was similar between groups; median time to extubation was 5 to 6 minutes for both. Remifentanil HCl provided effective analgesia in 58% of patients compared to 33% of patients who received morphine. Respiratory depression occurred in 12% of patients receiving remifentanil HCl compared to 4% of morphine patients. For patients who received remifentanil HCl, morphine sulfate (0.15 mg/kg) was administered in divided doses 5 and 10 minutes before discontinuing remifentanil HCl. Within 30 minutes after discontinuation of remifentanil HCl, the percentage of patients with effective analgesia decreased to 34%.

14.1 Induction and Maintenance of General Anesthesia Inpatient/outpatient

The efficacy of remifentanil HCl was investigated in 1,562 patients in 15 randomized, controlled trials as the analgesic component for the induction and maintenance of general anesthesia. Eight of these studies compared remifentanil HCl to alfentanil and two studies compared remifentanil HCl to fentanyl. In these studies, doses of remifentanil HCl up to the ED90 were compared to recommended doses (approximately ED50) of alfentanil or fentanyl.

Induction of Anesthesia

Remifentanil HCl was administered with isoflurane, propofol, or thiopental for the induction of anesthesia (n = 1,562). The majority of patients (80%) received propofol as the concurrent agent. Remifentanil HCl reduced the propofol and thiopental requirements for loss of consciousness. Compared to alfentanil and fentanyl, a higher relative dose of remifentanil HCl resulted in fewer responses to intubation (see Table 19). Overall, hypotension occurred in 5% of patients receiving remifentanil HCl compared to 2% of patients receiving the other opioids.

Remifentanil HCl has been used as a primary agent for the induction of anesthesia; however, it should not be used as a sole agent because loss of consciousness cannot be assured and because of a high incidence of apnea, muscle rigidity, and tachycardia. The administration of an induction dose of propofol or thiopental or a paralyzing dose of a muscle relaxant prior to or concurrently with remifentanil HCl during the induction of anesthesia markedly decreased the incidence of muscle rigidity from 20% to < 1%.

Table 19: Response to Intubation (Propofol/Opioid Induction a)

Opioid Treatment Group/

(No. of Patients)

Initial Dose

(mcg/kg)

Pre-Intubation

Infusion Rate

(mcg/kg/min)

No. (%) 

Muscle Rigidity

No. (%)

Hypotension

During Induction

No. (%)

Response to

Intubation

Study 1:   

 

 

 

 

 

 Remifentanil HCl (35)

 1

 0.1

 1 (3%)

 0

 27 (77%)

 Remifentanil HCl (35)

 1

 0.4

 3 (9%)

 0

 11 (31%) b

 Alfentanil (35)

 20

 1.0

 2 (6%)

 0

 26 (74%)

Study 2:   

 

 

 

 

 

 Remifentanil HCl (116)

 1

 0.5

 9 (8%)

 5 (4%)

 17 (15%) b

 Alfentanil (118)

 25

 1.0

 6 (5%)

 5 (4%)

 33 (28%)

Study 3:   

 

 

 

 

 

 Remifentanil HCl (134)

 1

 0.5

 2 (1%)

 4 (3%)

 25 (19%)

 Alfentanil (66)

 20

 2.0

 0

 0

 19 (29%)

Study 4:   

 

 

 

 

 

 Remifentanil HCl (98)

 1

 0.2

 11 (11%) b

 2 (2%)

 35 (36%)

 Remifentanil HCl (91)

 2 c

 0.4

 11 (12%) b

 2 (2%)

 12 (13%) b

 Fentanyl (97)

 3

 N/A

 1 (1%)

 1 (1%)

 29 (30%)

a Propofol was titrated to loss of consciousness. Not all doses of remifentanil HCl were equipotent to the comparator opioid.

b Differences were statistically significant (P < 0.02).

c Initial doses greater than 1 mcg/kg are not recommended.

Use During Maintenance of Anesthesia

Remifentanil HCl was investigated in 929 patients in seven well controlled general surgery studies in conjunction with nitrous oxide, isoflurane, or propofol in both inpatient and outpatient settings. These studies demonstrated that remifentanil HCl could be dosed to high levels of opioid effect and rapidly titrated to optimize analgesia intraoperatively without delaying or prolonging recovery.

Compared to alfentanil and fentanyl, these higher relative doses (ED90) of remifentanil HCl resulted in fewer responses to intraoperative stimuli (see Table 20) and a higher frequency of hypotension (16% compared to 5% for the other opioids). Remifentanil HCl was infused to the end of surgery, while alfentanil was discontinued 5 to 30 minutes before the end of surgery as recommended. The mean final infusion rates of remifentanil HCl were between 0.25 and 0.48 mcg/kg/min.



Table 20: Intraoperative Responses a

Opioid

Concurrent

Post-

No. (%) With

No. (%)

No. (%)

No. (%)

Treatment

Group/(No.

of Patients)

Anesthetic

Intubation

Infusion Rate

(mcg/kg/min)

Intraoperative

Hypotension

With

Response to

Skin

Incision

With Signs

of Light

Anesthesia

With

Response to

Skin

Closure

Study 1:   

 

 

 

 

 

 

 Remifentanil HCl (35)

 

 0.1

 0

 20 (57%)

 33 (94%)

 6 (17%)

 Remifentanil HCl (35)

 Nitrous oxide 

 0.4

 0

 3 (9%) b

 12 (34%) b

 2 (6%) b

 Alfentanil (35)

 

 1.0

 0

 24 (69%)

 33 (94%)

 12 (34%)

Study 2:  

 

 

 

 

 

 

 Remifentanil HCl (116)

 Isoflurane +

 0.25

 35 (30%) b

 9 (8%) b

 66 (57%) b

 19 (16%)

 Alfentanil (118)

 Nitrous oxide 

 0.5

 12 (10%)

 20 (17%)

 85 (72%)

 25 (21%)

Study 3:  

 

 

 

 

 

 

 Remifentanil HCl (134)

 Propofol

 0.5

 3 (2%)

 14 (11%) b

 70 (52%) b

 25 (19%)

Alfentanil (66)

 

 2.0

 2 (3%)

 21 (32%)

 47 (71%)

 13 (20%)

Study 4:  

 

 

 

 

 

 

 Remifentanil HCl (98)

 

 0.2

 13 (13%)

 12 (12%) b

 67 (68%) b

 7 (7%)

 Remifentanil HCl (91)

 Isoflurane 

 0.4

 16 (18%) b

 4 (4%) b

 44 (48%) b

 3 (3%) b

 Fentanyl (97)

 

 1.5-3 mcg/kg/prn

 7 (7%)

 32 (33%)

 84 (87%)

 11 (11%)

a Not all doses of remifentanil HCl were equipotent to the comparator opioid.

b Differences were statistically significant (P < 0.05).

In three randomized, controlled studies (n = 407) during general anesthesia, remifentanil HCl attenuated the signs of light anesthesia within a median time of 3 to 6 minutes after bolus doses of 1 mcg/kg with or without infusion rate increases of 50% to 100% (up to a maximum rate of 2 mcg/kg/min).

In an additional double-blind, randomized study (n = 103), a constant rate (0.25 mcg/kg/min) of remifentanil HCl was compared to doubling the rate to 0.5 mcg/kg/min approximately 5 minutes before the start of the major surgical stress event. Doubling the rate decreased the incidence of signs of light anesthesia from 67% to 8% in patients undergoing abdominal hysterectomy, and from 19% to 10% in patients undergoing radical prostatectomy. In patients undergoing laminectomy the lower dose was adequate.

Package Label Principal Display Panel Remifentanil 1 Mg Single Dose Vial Label

NDC 63323-723-01        723103

Remifentanil

Hydrochloride

for Injection        CII

1 mg per vial

Equivalent to 1 mg of remifentanil

For intravenous use only.

Must be reconstituted and diluted

before use.        Rx only

Package Label Principal Display Panel Remifentanil 5 Mg Single Dose Vial Label

NDC 63323-725-01        725110

Remifentanil Hydrochloride

for Injection         CII

5 mg per vial

Equivalent to 5 mg of remifentanil

For intravenous use only.

Single Dose Vial          Rx only

Package Label Principal Display Panel – Remifentanil 2 Mg Single Dose Vial Label

NDC 63323-724-01         724105

Remifentanil

Hydrochloride

for Injection        CII

2 mg per vial

Equivalent to 2 mg of

remifentanil

For intravenous use only.

Single Dose Vial         Rx only

Package Label Principal Display – Remifentanil 1 Mg Single Dose Vial Carton Panel

NDC 63323-723-03        723103

Remifentanil

Hydrochloride

for Injection         CII

1 mg per vial

Equivalent to 1 mg of

remifentanil

For intravenous use only.

Rx only

10 x 1 mg Single Dose Vials

Package Label Principal Display – Remifentanil 2 Mg Single Dose Vial Carton Panel

NDC 63323-724-05       724105

Remifentanil

Hydrochloride

for Injection         CII

2 mg per vial

Equivalent to 2 mg of remifentanil

For intravenous use only.

Rx only

10 x 2 mg Single Dose Vials

Package Label Principal Display – Remifentanil 5 Mg Single Dose Vial Carton Panel

NDC 63323-725-10        725110

Remifentanil

Hydrochloride

for Injection         CII

5 mg per vial

Equivalent to 5 mg of remifentanil

For intravenous use only.

Rx only

10 x 5 mg Single Dose Vials

5.3 Risks From Use As Postoperative Analgesia With Concomitant Benzodiazepines Or Other Cns Depressants

Hypotension, profound sedation, respiratory depression, coma, and death may result from the concomitant use of remifentanil HCl with benzodiazepines or other CNS depressants (e.g., non-benzodiazepine sedatives/hypnotics, anxiolytics, tranquilizers, muscle relaxants, general anesthetics, antipsychotics, other opioids, or alcohol). Patients should be advised to avoid alcohol for 24 hours after surgery [see Drug Interactions (7)].

2.3 Continuation As An Analgesic Into the Immediate Postoperative Period Under the Direct Supervision of An Anesthesia Practitioner

Infusions of remifentanil HCl may be continued into the immediate postoperative period for select patients for whom later transition to longer acting analgesics may be desired.

  • Remifentanil HCl has not been studied in pediatric patients for use in the immediate postoperative period.
  • The use of bolus injections of remifentanil HCl to treat pain during the postoperative period is not recommended.
  • When used as an IV analgesic in the immediate postoperative period, remifentanil HCl should be initially administered by continuous infusion at a rate of 0.1 mcg/kg/min.
  • The infusion rate may be adjusted every 5 minutes in 0.025 mcg/kg/min increments to balance the patient's level of analgesia and respiratory rate.
  • Infusion rates greater than 0.2 mcg/kg/min are associated with respiratory depression (respiratory rate less than 8 breaths/min).

Due to the rapid offset of action of remifentanil HCl, no residual analgesic activity will be present within 5 to 10 minutes after discontinuation. For patients undergoing surgical procedures where postoperative pain is generally anticipated, alternative analgesics should be administered prior to discontinuation of remifentanil HCl. The choice of analgesic should be appropriate for the patient's surgical procedure and the level of follow-up care [see Clinical Studies (14)].

5.11 Risks of Use in Spontaneously Breathing Patients With Increased Intracranial Pressure, Brain Tumors, Head Injury, Or Impaired Consciousness

In patients who may be susceptible to the intracranial effects of CO2 retention (e.g., those with evidence of increased intracranial pressure or brain tumors), remifentanil HCl may reduce respiratory drive, and the resultant CO2 retention can further increase intracranial pressure in spontaneously breathing patients. Monitor such patients for signs of sedation and respiratory depression, particularly when initiating therapy with remifentanil HCl.

Opioids may also obscure the clinical course in a patient with a head injury.


Structured Label Content

Section 42229-5 (42229-5)

Induction of Anesthesia

Remifentanil HCl should be administered at an infusion rate of 0.5 to 1 mcg/kg/min with a hypnotic or volatile agent for the induction of anesthesia. If endotracheal intubation is to occur less than 8 minutes after the start of the infusion of remifentanil HCl, then an initial dose of 1 mcg/kg may be administered over 30 to 60 seconds.

Remifentanil HCl should not be used as a sole agent for induction of anesthesia because loss of consciousness cannot be assured and because of a high incidence of apnea, muscle rigidity, and tachycardia.

Section 43683-2 (43683-2)

Warnings and Precautions (5.4)                          06/2020

9.2 Abuse

Remifentanil HCl is a Schedule II controlled drug substance that can produce drug dependence of the morphine type and has the potential for being abused.

Remifentanil HCl contains remifentanil, a substance with a high potential for abuse similar to other opioids including fentanyl, alfentanil, sufentanil, and meperidine. Remifentanil HCl can be abused and is subject to misuse, addiction, and criminal diversion.

Drug addiction is a cluster of behavioral, cognitive, and physiological phenomena that develop after repeated substance use and includes: a strong desire to take the drug, difficulties in controlling its use, persisting in its use despite harmful consequences, a higher priority given to drug use than to other activities and obligations, increased tolerance, and sometimes a physical withdrawal. Abuse and addiction are separate and distinct from physical dependence and tolerance. Health care providers should be aware that addiction may not be accompanied by concurrent tolerance and symptoms of physical dependence in all addicts. In addition, abuse of opioids can occur in the absence of true addiction.

Remifentanil HCl, like other opioids, can be diverted for non-medical use into illicit channels of distribution. Careful record-keeping of prescribing information, including quantity, frequency, and renewal requests, as required by state and federal law, is strongly advised.

14.2 Recovery

In 2,169 patients receiving remifentanil HCl for periods up to 16 hours, recovery from anesthesia was rapid, predictable, and independent of the duration of the infusion of remifentanil HCl. In the seven controlled, general surgery studies, extubation occurred in a median of 5 minutes (range: -3 to 17 minutes in 95% of patients) in outpatient anesthesia and 10 minutes (range: 0 to 32 minutes in 95% of patients) in inpatient anesthesia. Recovery in studies using nitrous oxide or propofol was faster than in those using isoflurane as the concurrent anesthetic. There was no case of remifentanil-induced delayed respiratory depression occurring more than 30 minutes after discontinuation of remifentanil [see Warnings and Precautions (5.14)].

In a double-blind, randomized study, administration of morphine sulfate (0.15 mg/kg) intravenously 20 minutes before the anticipated end of surgery to 98 patients did not delay recovery of respiratory drive in patients undergoing major surgery with remifentanil-propofol total IV anesthesia.

11 Description (11 DESCRIPTION)

Remifentanil hydrochloride for injection is an opioid agonist. The chemical name is 3-[4-methoxycarbonyl-4-[(1-oxopropyl)phenylamino]-1-piperidine]propanoic acid methyl ester, hydrochloride salt. The molecular weight is 412.91. Its molecular formula is C20H28N2O5•HCl, and it has the following chemical structure.

Remifentanil hydrochloride for injection is a sterile, nonpyrogenic, preservative-free, white to off-white lyophilized powder for intravenous (IV) administration after reconstitution and dilution. Each vial contains 1 mg, 2 mg, or 5 mg of remifentanil base; 15 mg glycine; and hydrochloric acid to buffer the solutions to a nominal pH of 3 after reconstitution. When reconstituted as directed, solutions of remifentanil HCl are clear and colorless and contain remifentanil hydrochloride (HCl) equivalent to 1 mg/mL of remifentanil base. The pH of reconstituted solutions of remifentanil HCl ranges from 2.5 to 3.5. Remifentanil HCl has a pKa of 7.07. Remifentanil HCl has an n-octanol:water partition coefficient of 17.9 at pH 7.3.

9.3 Dependence

Both tolerance and physical dependence can develop during chronic opioid therapy. Tolerance is the need for increasing doses of opioids to maintain a defined effect such as analgesia (in the absence of disease progression or other external factors). Tolerance may occur to both the desired and undesired effects of drugs, and may develop at different rates for different effects.

Physical dependence results in withdrawal symptoms after abrupt discontinuation or a significant dosage reduction of a drug. Withdrawal also may be precipitated through the administration of drugs with opioid antagonist activity (e.g., naloxone, nalmefene), mixed agonist/antagonist analgesics (pentazocine, butorphanol, nalbuphine), or partial agonists (buprenorphine). Physical dependence may not occur to a clinically significant degree until after several days to weeks of continued opioid usage.

5.8 Bradycardia

Bradycardia has been reported with remifentanil HCl and is responsive to ephedrine or anticholinergic drugs, such as atropine and glycopyrrolate.

5.9 Hypotension

Hypotension has been reported with remifentanil HCl and is responsive to decreases in the administration of remifentanil HCl or to IV fluids or catecholamine (ephedrine, epinephrine, norepinephrine, etc.) administration.

14.6 Neurosurgery

Remifentanil HCl was administered to 61 patients undergoing craniotomy for removal of a supratentorial mass lesion. In these studies, ventilation was controlled to maintain a predicted PaCO2 of approximately 28 mmHg. In one study (n = 30) with remifentanil HCl and 66% nitrous oxide, the median time to extubation and to patient response to verbal commands was 5 minutes (range -1 to 19 minutes). Intracranial pressure and cerebrovascular responsiveness to carbon dioxide were normal [see Clinical Pharmacology (12.2)].

A randomized, controlled study compared remifentanil HCl (n = 31) to fentanyl (n = 32). Remifentanil HCl (1 mcg/kg/min) and fentanyl (2 mcg/kg/min) were administered after induction with thiopental and pancuronium. A similar number of patients (6%) receiving remifentanil HCl and fentanyl had hypotension during induction. Anesthesia was maintained with nitrous oxide and remifentanil HCl at a mean infusion rate of 0.23 mcg/kg/min (range 0.1 to 0.4) compared with a fentanyl mean infusion rate of 0.04 mcg/kg/min (range 0.02 to 0.07). Supplemental isoflurane was administered as needed. The patients receiving remifentanil HCl required a lower mean isoflurane dose (0.07 MAC-hours) compared with 0.64 MAC-hours for the fentanyl patients (P = 0.04). Remifentanil HCl was discontinued at the end of anesthesia, whereas fentanyl was discontinued at the time of bone flap replacement (a median time of 44 minutes before the end of surgery). Median time to extubation was similar (5 and 3.5 minutes, respectively, with remifentanil HCl and fentanyl). None of the patients receiving remifentanil HCl required naloxone compared to seven of the fentanyl patients (P = 0.01). Eighty-one percent (81%) of patients receiving remifentanil HCl recovered (awake, alert, and oriented) within 30 minutes after surgery compared with 59% of fentanyl patients ( P = 0.06). At 45 minutes, recovery rates were similar (81% and 69% respectively for remifentanil HCl and fentanyl, P = 0.27). Patients receiving remifentanil HCl required an analgesic for headache sooner than fentanyl patients (median of 35 minutes compared with 136 minutes, respectively [ P = 0.04]). No adverse cerebrovascular effects were seen in this study [see Clinical Pharmacology (12.2)].

8.4 Pediatric Use

The efficacy and safety of remifentanil HCl as an analgesic agent for use in the maintenance of general anesthesia in outpatient and inpatient pediatric surgery have been established in controlled clinical studies in pediatric patients from birth to 12 years [see Clinical Studies (14.4)].

The initial maintenance infusion regimen of remifentanil HCl evaluated in pediatric patients from birth to 2 months of age was 0.4 mcg/kg/min, the approved adult regimen for use with N2O. The clearance rate observed in neonates was highly variable and on average was 2 times higher than in the young healthy adult population. Therefore, while a starting infusion rate of 0.4 mcg/kg/min may be appropriate for some neonates, an increased infusion rate may be necessary to maintain adequate surgical anesthesia, and additional bolus doses may be required. The individual dose for each patient should be carefully titrated. [See Clinical Pharmacology: Specific Populations: Pediatric Population (12.3) and Dosage and Administration, Table 2 and Maintenance of Anesthesia (2.2).]

Remifentanil HCl has not been studied in pediatric patients for use as a postoperative analgesic or as an analgesic component of monitored anesthesia care.

8.5 Geriatric Use

Of the total number of subjects in clinical studies of remifentanil HCl, 486 were 65 and over (age range 66 to 90 years). While the effective biological half-life of remifentanil is unchanged, elderly patients have been shown to be twice as sensitive as the younger population to the pharmacodynamic effects of remifentanil. The recommended starting dose of remifentanil HCl should be decreased by 50% in patients over 65 years of age [see Clinical Pharmacology (12.3) and Dosage and Administration (2.2)]. Titrate the dosage of remifentanil HCl slowly in geriatric patients. [See Warnings and Precautions (5.4).]

The clearance of remifentanil is reduced (approximately 25%) in the elderly (> 65 years of age) compared to young adults (average 25 years of age). However, remifentanil blood concentrations fall as rapidly after termination of administration in the elderly as in young adults.

5.5 Administration

Continuous infusions of remifentanil HCl should be administered only by an infusion device. IV bolus administration of remifentanil HCl should be used only during the maintenance of general anesthesia. In nonintubated patients, single doses of remifentanil HCl should be administered over 30 to 60 seconds.

Interruption of an infusion of remifentanil HCl will result in rapid offset of effect. Rapid clearance and lack of drug accumulation result in rapid dissipation of respiratory depressant and analgesic effects upon discontinuation of remifentanil HCl at recommended doses. Discontinuation of an infusion of remifentanil HCl should be preceded by the establishment of adequate postoperative analgesia.

Injections of remifentanil HCl should be made into IV tubing at or close to the venous cannula. Upon discontinuation of remifentanil HCl, the IV tubing should be cleared to prevent the inadvertent administration of remifentanil HCl at a later point in time. Failure to adequately clear the IV tubing to remove residual remifentanil HCl has been associated with the appearance of respiratory depression, apnea, and muscle rigidity upon the administration of additional fluids or medications through the same IV tubing.

14 Clinical Studies (14 CLINICAL STUDIES)

Remifentanil HCl was evaluated in 3,341 patients undergoing general anesthesia (n = 2,706) and monitored anesthesia care (n = 639). These patients were evaluated in the following settings: inpatient (n = 2,079) which included cardiovascular (n = 426), and neurosurgical (n = 61), and outpatient (n = 1,349). Four-hundred and eighty-six (486) elderly patients (age range 66 to 90 years) and 410 pediatric patients (age range birth to 12 years) received remifentanil HCl. Of the general anesthesia patients, 682 also received remifentanil HCl as an IV analgesic agent during the immediate postoperative period.

2.5 Discontinuation

Upon discontinuation of remifentanil HCl, the IV tubing should be cleared to prevent the inadvertent administration of remifentanil HCl at a later time.

For patients undergoing surgical procedures where postoperative pain is generally anticipated, alternative analgesics should be administered prior to discontinuation of remifentanil HCl. The choice of analgesic should be appropriate for the patient's surgical procedure and the level of follow-up care [see Clinical Studies (14)].

4 Contraindications (4 CONTRAINDICATIONS)

Remifentanil HCl is contraindicated:

  • For epidural or intrathecal administration due to the presence of glycine in the formulation [see Nonclinical Toxicology (13)].
  • In patients with hypersensitivity to remifentanil (e.g., anaphylaxis) [see Adverse Reactions (6.2)].
6 Adverse Reactions (6 ADVERSE REACTIONS)

The following serious adverse reactions are described, or described in greater detail, in other sections:

  • Addiction, Abuse, and Misuse [see Warnings and Precautions (5.1)]
  • Respiratory Depression in Spontaneously Breathing Patients [see Warnings and Precautions (5.2)]
  • Interactions with Benzodiazepines or other CNS Depressants [see Warnings and Precautions (5.3)]
  • Serotonin Syndrome [see Warnings and Precautions (5.4)]
  • Skeletal Muscle Rigidity [see Warnings and Precautions (5.6)]
  • Bradycardia [see Warnings and Precautions (5.8)]
  • Hypotension [see Warnings and Precautions (5.9)]
  • Biliary Tract Disease [see Warnings and Precautions (5.12)]
  • Seizures [see Warnings and Precautions (5.13)]
7 Drug Interactions (7 DRUG INTERACTIONS)

Table 18 includes clinically significant drug interactions with remifentanil HCl.

Table 18: Clinically Significant Drug Interactions with Remifentanil HCl

Benzodiazepines and other Central Nervous System (CNS) Depressants

Clinical Impact:

Due to additive pharmacologic effect, the concomitant use of benzodiazepines or other CNS depressants including alcohol, increases the risk of hypotension, respiratory depression, profound sedation, coma, and death.

Intervention:

Limit dosages and durations to the minimum required. Follow patients closely for signs of respiratory depression and sedation. Patients should be advised to avoid alcohol for 24 hours after surgery [see Warnings and Precautions (5.3)].

Examples:

Benzodiazepines and other sedatives/hypnotics, anxiolytics, tranquilizers, muscle relaxants, general anesthetics, antipsychotics, other opioids, alcohol.

Serotonergic Drugs

Clinical Impact:

The concomitant use of opioids with other drugs that affect the serotonergic neurotransmitter system has resulted in serotonin syndrome [see Warnings and Precautions (5.4)].

Intervention:

If concomitant use is warranted, carefully observe the patient, particularly during treatment initiation and dose adjustment. Discontinue remifentanil HCl if serotonin syndrome is suspected.

Examples:

Selective serotonin reuptake inhibitors (SSRIs), serotonin and norepinephrine reuptake inhibitors (SNRIs), tricyclic antidepressants (TCAs), triptans, 5-HT3 receptor antagonists, drugs that effect the serotonin neurotransmitter system (e.g., mirtazapine, trazodone, tramadol), certain muscle relaxants (i.e., cyclobenzaprine, metaxalone), monoamine oxidase (MAO) inhibitors (those intended to treat psychiatric disorders and also others, such as linezolid and intravenous methylene blue).

Monoamine Oxidase Inhibitors (MAOIs)

Clinical Impact:

MAOI interactions with opioids may manifest as serotonin syndrome [see Warnings and Precautions (5.4)] or opioid toxicity (e.g., respiratory depression, coma) [see Warnings and Precautions (5.2)].

If urgent use of remifentanil HCl is necessary, use test doses and frequent titration of small doses while closely monitoring blood pressure and signs and symptoms of CNS and respiratory depression.

Intervention:

The use of remifentanil HCl is not recommended for patients taking MAOIs or within 14 days of stopping such treatment.

Mixed Agonist/Antagonist and Partial Agonist Opioid Analgesics

Clinical Impact:

May reduce the analgesic effect of remifentanil HCl and/or precipitate withdrawal symptoms.

Intervention:

If concomitant use is warranted, carefully observe the patient, particularly during treatment initiation and dose adjustment. Consider discontinuing remifentanil HCl if patient is not responding appropriately to treatment and institute alternative analgesic treatment.

Examples:

butorphanol, nalbuphine, pentazocine, buprenorphine

12.2 Pharmacodynamics

The analgesic effects of remifentanil HCl are rapid in onset and offset. Its effects and side effects are dose dependent and similar to other μ-opioids. Remifentanil HCl in humans has a rapid blood-brain equilibration half-time of 1 ± 1 minutes (mean ± SD) and a rapid onset of action. The pharmacodynamic effects of remifentanil HCl closely follow the measured blood concentrations, allowing direct correlation between dose, blood levels, and response. Blood concentration decreases 50% in 3 to 6 minutes after a 1-minute infusion or after prolonged continuous infusion due to rapid distribution and elimination processes and is independent of duration of drug administration. Recovery from the effects of remifentanil HCl occurs rapidly (within 5 to 10 minutes). New steady-state concentrations occur within 5 to 10 minutes after changes in infusion rate. When used as a component of an anesthetic technique, remifentanil HCl can be rapidly titrated to the desired depth of anesthesia/analgesia (e.g., as required by varying levels of intraoperative stress) by changing the continuous infusion rate or by administering an IV bolus injection.

12.3 Pharmacokinetics

After IV doses administered over 60 seconds, the pharmacokinetics of remifentanil fit a three-compartment model with a rapid distribution half-life of one minute, a slower distribution half-life of 6 minutes, and a terminal elimination half-life of 10 to 20 minutes. Since the terminal elimination component contributes less than 10% of the overall area under the concentration versus time curve (AUC), the effective biological half-life of remifentanil HCl is 3 to 10 minutes. This is similar to the 3- to 10-minute half-life measured after termination of prolonged infusions (up to 4 hours; see Figure 2) and correlates with recovery times observed in the clinical setting after infusions up to 12 hours. Concentrations of remifentanil are proportional to the dose administered throughout the recommended dose range. The pharmacokinetics of remifentanil are unaffected by the presence of renal or hepatic impairment.

2.2 General Anesthesia

Remifentanil HCl is not recommended as the sole agent in general anesthesia because loss of consciousness cannot be assured and because of a high incidence of apnea, muscle rigidity, and tachycardia. Remifentanil HCl is synergistic with other anesthetics; therefore, clinicians may need to reduce doses of thiopental, propofol, isoflurane, and midazolam by up to 75% with the coadministration of remifentanil HCl. The administration of remifentanil HCl must be individualized based on the patient's response.

1 Indications and Usage (1 INDICATIONS AND USAGE)

Remifentanil hydrochloride (HCl) for injection is indicated for intravenous (IV) administration:

  • As an analgesic agent for use during the induction and maintenance of general anesthesia for inpatient and outpatient procedures.
  • For continuation as an analgesic into the immediate postoperative period in adult patients under the direct supervision of an anesthesia practitioner in a postoperative anesthesia care unit or intensive care setting.
  • As an analgesic component of monitored anesthesia care in adult patients.
12.1 Mechanism of Action

Remifentanil HCl is a μ-opioid agonist with rapid onset and peak effect, and short duration of action. The μ-opioid activity of remifentanil HCl is antagonized by opioid antagonists such as naloxone.

Unlike other opioids, remifentanil HCl is rapidly metabolized by hydrolysis of the propanoic acid-methyl ester linkage by nonspecific blood and tissue esterases. Remifentanil HCl is not a substrate for plasma cholinesterase (pseudocholinesterase) and, therefore, patients with atypical cholinesterase are expected to have a normal duration of action.

9.1 Controlled Substance

Remifentanil HCl contains remifentanil, a Schedule II controlled substance.

14.4 Pediatric Anesthesia

Remifentanil HCl has been evaluated for maintenance of general anesthesia in 410 pediatric patients from birth to 12 years undergoing inpatient and outpatient procedures. Four clinical studies have been performed.

Study 1, an open-label, randomized, controlled clinical trial (n = 129), compared remifentanil HCl (n = 68) with alfentanil (n = 19), isoflurane (n = 22), or propofol (n = 20) in children 2 to 12 years of age undergoing strabismus surgery. After induction of anesthesia which included the administration of atropine, remifentanil HCl was administered as an initial infusion of 1 mcg/kg/min with 70% nitrous oxide. The infusion rate required during maintenance of anesthesia was 0.73 to 1.95 mcg/kg/min. Time to extubation and to purposeful movement was a median of 10 minutes (range 1 to 24 minutes).

Study 2, a double-blind, randomized, controlled trial (n = 222), compared remifentanil HCl (n = 119) to fentanyl (n =103) in children 2 to 12 years of age undergoing tonsillectomy with or without adenoidectomy. After induction of anesthesia, patients received a 0.25 mcg/kg/min infusion of remifentanil HCl or fentanyl by IV bolus with nitrous oxide/oxygen (2:1) and either halothane or sevoflurane for maintenance of anesthesia. The mean infusion rate required during maintenance of anesthesia was 0.3 mcg/kg/min (range 0.2 to 1.3 mcg/kg/min). The continuous infusion rate was decreased to 0.05 mcg/kg/min approximately 10 minutes prior to the end of surgery. Time to spontaneous purposeful movement was a median of 8 minutes (range 1 to 19 minutes). Time to extubation was a median of 9 minutes (range 2 to 19 minutes).

Study 3, an open-label, randomized, controlled trial (n = 271), compared remifentanil HCl (n = 185) with a regional anesthetic technique (n = 86) in children 1 to 12 years of age undergoing major abdominal, urological, or orthopedic surgery. Patients received a 0.25 mcg/kg/min infusion of remifentanil HCl following a 1.0 mcg/kg bolus or bupivacaine by epidural infusion, along with isoflurane and nitrous oxide after the induction of anesthesia. The mean infusion rate required during maintenance of anesthesia was 0.25 mcg/kg/min (range 0 to 0.75 mcg/kg/min). Both treatments were effective in attenuating responses to skin incision during surgery. The hemodynamic profile of the remifentanil HCl group was consistent with an opioid-based general anesthetic technique. Time to spontaneous purposeful movement was a median of 15 minutes (range, 2 to 75 minutes) in the remifentanil group. Time to extubation was a median of 13 minutes (range, 4 to 31 minutes) in the remifentanil group.

Study 4, an open-label, randomized, controlled trial (n = 60), compared remifentanil HCl (n = 38) with halothane (n =22) in ASA 1 or 2, full term neonates and infants ≤ 8 weeks of age weighing at least 2500 grams who were undergoing pyloromyotomy. After induction of anesthesia, which included the administration of atropine, patients received 0.4 mcg/kg/min of remifentanil HCl or 0.4% halothane with 70% nitrous oxide for initial maintenance of anesthesia and then both agents were adjusted according to clinical response. Bolus doses of 1 mcg/kg administered over 30 to 60 seconds were used to treat brief episodes of hypertension and tachycardia, and infusion rates were increased by 50% to treat sustained hypertension and tachycardia. The range of infusion rates of remifentanil HCl required during maintenance of anesthesia was 0.4 to 1 mcg/kg/min.

Seventy-one percent (71%) of remifentanil HCl patients required supplementary boluses or rate increases from the starting dose of 0.4 mcg/kg/min to treat hypertension, tachycardia, movement or somatic signs of light anesthesia. Twenty-four percent of the patients required an increase from the initial rate of 0.4 mcg/kg/min prior to incision and 26% of patients required an infusion rate between 0.8 and 1.0 mcg/kg/min, most often during gastric manipulation. The continuous infusion rate was decreased to 0.05 mcg/kg/min approximately 10 minutes before the end of surgery.

In the remifentanil HCl group, median time from discontinuation of anesthesia to spontaneous purposeful movement was 6.5 minutes (range, 1 to 13 minutes) and median time to extubation was 8.5 minutes (range, 1 to 14 minutes).

The initial maintenance infusion regimen of remifentanil HCl evaluated in pediatric patients from birth to 2 months of age was 0.4 mcg/kg/min, the approved adult regimen for use with N2O. The clearance rate observed in the neonatal population was highly variable and on average was two times higher than in the young healthy adult population. [See Clinical Pharmacology: Specific Populations: Pediatric Population (12.3) and Dosage and Administration, Table 2 (2.2).]

No pediatric patients receiving remifentanil HCl required naloxone during the immediate postoperative recovery period.

5 Warnings and Precautions (5 WARNINGS AND PRECAUTIONS)
  • Respiratory Depression in Spontaneously Breathing Patients: Monitor closely, particularly during initiation and titration. (5.2)
  • Risks from Use as Postoperative Analgesia with Concomitant Benzodiazepines or other CNS Depressants: Hypotension, profound sedation, respiratory depression, coma, and death may result from the concomitant use of Remifentanil hydrochloride for injection with benzodiazepines or other CNS depressants. (5.3)
  • Serotonin Syndrome: Potentially life-threatening condition could result from concomitant serotonergic drug administration. Discontinue Remifentanil hydrochloride for injection if serotonin syndrome is suspected. (5.4)
  • Administration: Continuous infusions of Remifentanil hydrochloride for injection should be administered only by an infusion device. (5.5)
  • Skeletal Muscle Rigidity: is related to the dose and speed of administration. Muscle rigidity induced by Remifentanil hydrochloride for injection should be managed in the context of the patient's clinical condition. (5.6)
  • Potential Inactivation by Nonspecific Esterases in Blood Products: Remifentanil hydrochloride for injection should not be administered into the same IV tubing with blood due to potential inactivation by nonspecific esterases in blood products. (5.7)
  • Bradycardia: Monitor heart rate during dosage initiation and titration. It is responsive to ephedrine or anticholinergic drugs. (5.8)
  • Hypotension: Monitor blood pressure during dosage initiation and titration. It is responsive to decreases in the administration of Remifentanil hydrochloride for injection or to IV fluids or catecholamine administration. (5.9)
  • Intraoperative Awareness: Inoperative awareness has been reported in patients under 55 years of age when Remifentanil hydrochloride for injection has been administered with propofol infusion rates of ≤ 75 mcg/kg/min. (5.10)
  • Risks of Use in Spontaneously Breathing Patients with Increased Intracranial Pressure, Brain Tumors, Head Injury, or Impaired Consciousness: Monitor for sedation and respiratory depression. (5.11)
  • Risks of Use in Patients with Biliary Tract Disease: Monitor patients with biliary tract disease, including acute pancreatitis, for worsening symptoms. (5.12)
  • Increased Risk of Seizures in Patients with Seizure Disorders: Monitor patients with a history of seizure disorders for worsened seizure control during Remifentanil hydrochloride for injection therapy. (5.13)
  • Rapid Offset of Action: Standard monitoring should be maintained in the postoperative period to ensure adequate recovery without stimulation. (5.14)
2 Dosage and Administration (2 DOSAGE AND ADMINISTRATION)
  • Monitor patients closely for respiratory depression when initiating therapy and following dosage increases and adjust the dosage accordingly. (2.1)
  • Initial Dosage in Adults: See full prescribing information for recommended doses in adult patients. (2.2, 2.3)
  • Initial Dosage in Pediatric Patients: See full prescribing information for recommended doses in pediatric patients. (2.2)
  • Geriatric Patients: The starting doses should be decreased by 50% in elderly patients (> 65 years). (2.6)
5.14 Rapid Offset of Action

Analgesic activity will subside within 5 to 10 minutes after discontinuation of administration of remifentanil HCl. However, respiratory depression may continue in some patients for up to 30 minutes after termination of infusion due to residual effects of concomitant anesthetics. Standard monitoring should be maintained in the postoperative period to ensure adequate recovery without stimulation. For patients undergoing surgical procedures where postoperative pain is generally anticipated, other analgesics should be administered prior to the discontinuation of remifentanil HCl.

3 Dosage Forms and Strengths (3 DOSAGE FORMS AND STRENGTHS)

For injection: 1 mg, 2 mg, and 5 mg:

3 mL Vial

1 mg lyophilized powder

5 mL Vial

2 mg lyophilized powder

10 mL Vial

5 mg lyophilized powder

5.6 Skeletal Muscle Rigidity

Skeletal muscle rigidity can be caused by remifentanil HCl and is related to the dose and speed of administration. Remifentanil HCl may cause chest wall rigidity (inability to ventilate) after single doses of > 1 mcg/kg administered over 30 to 60 seconds, or after infusion rates > 0.1 mcg/kg/min. Single doses < 1 mcg/kg may cause chest wall rigidity when given concurrently with a continuous infusion of remifentanil HCl.

Muscle rigidity induced by remifentanil HCl should be managed in the context of the patient's clinical condition. Muscle rigidity occurring during the induction of anesthesia should be treated by the administration of a neuromuscular blocking agent and the concurrent induction medications and can be treated by decreasing the rate or discontinuing the infusion of remifentanil HCl or by administering a neuromuscular blocking agent. The neuromuscular blocking agents used should be compatible with the patient's cardiovascular status.

Muscle rigidity seen during the use of remifentanil HCl in spontaneously breathing patients may be treated by stopping or decreasing the rate of administration of remifentanil HCl. Resolution of muscle rigidity after discontinuing the infusion of remifentanil HCl occurs within minutes. In the case of life-threatening muscle rigidity, a rapid onset neuromuscular blocker or naloxone may be administered.

6.2 Postmarketing Experience

The following adverse reactions have been identified during post approval use of remifentanil. Because these reactions are reported voluntarily from a population of uncertain size, it is not always possible to reliably estimate their frequency or establish a causal relationship to drug exposure.

Cardiovascular: Asystole

Serotonin syndrome: Cases of serotonin syndrome, a potentially life-threatening condition, have been reported during concomitant use of opioids with serotonergic drugs.

Anaphylaxis: Anaphylaxis has been reported with ingredients contained in remifentanil HCl.

8.7 Long Term Use in the Icu (8.7 Long-Term Use in the ICU)

No data are available on the long-term (longer than 16 hours) use of remifentanil HCl as an analgesic in ICU patients.

5.10 Intraoperative Awareness

Intraoperative awareness has been reported in patients under 55 years of age when remifentanil HCL has been administered with propofol infusion rates of ≤ 75 mcg/kg/min.

8 Use in Specific Populations (8 USE IN SPECIFIC POPULATIONS)
  • Pregnancy: May cause fetal harm. (8.1)
  • Labor or Delivery: Respiratory depression and other opioid effects may occur in newborns whose mothers are given Remifentanil hydrochloride for injection shortly before delivery. (8.1)
  • Lactation: Infants exposed to Remifentanil hydrochloride for injection through breast milk should be monitored for excess sedation and respiratory depression. (8.2)
  • Pediatric Use: Remifentanil hydrochloride for injection has not been studied in pediatric patients for use as a postoperative analgesic or as an analgesic component of monitored anesthesia care. (8.4)
14.8 Monitored Anesthesia Care

Remifentanil HCl has been studied in the monitored anesthesia care setting in 609 patients in eight clinical studies. Nearly all patients received supplemental oxygen in these studies. Two early dose-finding studies demonstrated that use of sedation as an endpoint for titration of remifentanil HCl led to a high incidence of muscle rigidity (69%) and respiratory depression. Subsequent trials titrated remifentanil HCl to specific clinical endpoints of patient comfort, analgesia, and adequate respiration (respiratory rate > 8 breaths/min) with a corresponding lower incidence of muscle rigidity (3%) and respiratory depression. With doses of midazolam > 2 mg (4 to 8 mg), the dose of remifentanil HCl could be decreased by 50%, but the incidence of respiratory depression rose to 32%.

The efficacy of a single dose of remifentanil HCl (1.0 mcg/kg over 30 seconds) was compared to alfentanil (7 mcg/kg over 30 seconds) in patients undergoing ophthalmic surgery. More patients receiving remifentanil HCl were pain free at the time of the nerve block (77% versus 44%, P = 0.02) and more experienced nausea (12% versus 4%) than those receiving alfentanil.

In a randomized, controlled study (n = 118), remifentanil HCl 0.5 mcg/kg over 30 to 60 seconds followed by a continuous infusion of 0.1 mcg/kg/min, was compared to a propofol bolus (500 mcg/kg) followed by a continuous infusion (50 mcg/kg/min) in patients who received a local or regional anesthetic nerve block 5 minutes later. The incidence of moderate or severe pain during placement of the block was similar between groups (2% with remifentanil HCl and 8% with propofol, P = 0.2) and more patients receiving remifentanil HCl experienced nausea (26% versus 2%, P < 0.001). The final mean infusion rate of remifentanil HCl was 0.08 mcg/kg/min.

In a randomized, double-blind study, remifentanil HCl with or without midazolam was evaluated in 159 patients undergoing superficial surgical procedures under local anesthesia. Remifentanil HCl was administered without midazolam as a 1 mcg/kg dose over 30 seconds followed by a continuous infusion of 0.1 mcg/kg/min. In the group of patients that received midazolam, remifentanil HCl was administered as a 0.5 mcg/kg dose over 30 seconds followed by a continuous infusion of 0.05 mcg/kg/min and midazolam 2 mg was administered 5 minutes later. The occurrence of moderate or severe pain during the local anesthetic injection was similar between groups (16% and 20%). Other effects for remifentanil HCl alone and remifentanil HCl/midazolam were: respiratory depression with oxygen desaturation (SPO2 < 90%), 5% and 2%; nausea, 8% and 2%; and pruritus, 23% and 12%. Titration of remifentanil HCl resulted in prompt resolution of respiratory depression (median 3 minutes, range 0 to 6 minutes). The final mean infusion rate of remifentanil HCl was 0.12 mcg/kg/min (range 0.03 to 0.3) for the group receiving remifentanil HCl alone and 0.07 mcg/kg/min (range 0.02 to 0.2) for the group receiving remifentanil HCl/midazolam.

6.1 Clinical Trials Experience

Because clinical trials are conducted under widely varying conditions, adverse reaction rates observed in the clinical trials of a drug cannot be directly compared to rates in the clinical trials of another drug and may not reflect the rates observed in practice.

Adverse event information is derived from controlled clinical studies that were conducted in a variety of surgical procedures of varying duration, using a variety of premedications and other anesthetics, and in patient populations with diverse characteristics including underlying disease.

5.1 Addiction, Abuse, and Misuse

Remifentanil HCl contains remifentanil, a Schedule II controlled substance. As an opioid, remifentanil HCl exposes users to the risks of addiction, abuse, and misuse [see Drug Abuse and Dependence (9)].

Opioids are sought by drug abusers and people with addiction disorders and are subject to criminal diversion. Consider these risks when handling remifentanil HCl. Strategies to reduce these risks include proper product storage and control practices for a C-II drug. Contact local state professional licensing board or state controlled substances authority for information on how to prevent and detect abuse or diversion of this product.

8.6 Use in Morbidly Obese Patients

As for all potent opioids, caution is required with use in morbidly obese patients because of alterations in cardiovascular and respiratory physiology [see Dosage and Administration (2.2)].

14.5 Coronary Artery Bypass Surgery

Remifentanil HCl was originally administered to 225 subjects undergoing elective CABG surgery in two dose-ranging studies without active comparators. Subsequently, two double-blind, double-dummy clinical studies (N = 426) evaluated remifentanil HCl (n = 236) at recommended doses versus active comparators (n = 190).

The first comparator study, a multi-center, randomized, double-blind, double-dummy, parallel-group study (N = 369), compared remifentanil HCl (n = 201) with fentanyl (n = 168) in adult patients undergoing elective CABG surgery. Subjects received 1 to 3 mg midazolam and 0.05 mg/kg morphine IV as premedication. Anesthesia was induced with propofol 0.5 mg/kg (higher doses administered with remifentanil HCl were associated with excessive hypotension) over one minute plus 10-mg boluses every 10 seconds until loss of consciousness followed by either cisatracurium 0.2 mg/kg or vecuronium 0.15 mg/kg. Patients randomized to remifentanil HCl received a 1 mcg/kg/min infusion of remifentanil HCl followed by a placebo bolus administered over 3 minutes. In the active control group, a placebo IV infusion was started and a fentanyl bolus 10 mcg/kg was administered over 3 minutes. All subjects received isoflurane titrated initially to end tidal concentration of 0.5%. During maintenance, the group randomized to remifentanil HCl received as needed 0.5-1 mcg/kg/min IV rate increases (to a maximum of 4 mcg/kg/min) of remifentanil HCl and 1 mcg/kg IV boluses of remifentanil HCl. The active control group received 2 mcg/kg IV boluses of fentanyl and increases in placebo IV infusion rate.

The second comparator study, a multi-center, double-blind, randomized, parallel group study (N = 57), compared remifentanil HCl (n = 35) to fentanyl (n = 22) in adult patients undergoing elective CABG surgery with poor left ventricular function (ejection fraction < 0.35). Subjects received oral lorazepam 40 mcg/kg as premedication. Anesthesia was induced using etomidate until loss of consciousness, followed by a low-dose propofol infusion (3 mg/kg/hr) and pancuronium 0.15 mg/kg. Subjects in the group administered remifentanil HCl received a placebo bolus dose and a continuous infusion of remifentanil HCl 1 mcg/kg/min and subjects in the fentanyl group received a bolus loading dose of 15 mcg/kg and placebo continuous infusion. During maintenance, supplemental bolus doses of remifentanil HCl (0.5 mcg/kg) and infusion rate increases of 0.5 to 1 mcg/kg/min (maximum rate allowed was 4 mcg/kg/min) of remifentanil HCl were administered to one group; while the fentanyl group was given intermittent maintenance bolus doses of 2 mcg/kg and increases in the placebo infusion rate.

In these two studies, using a high dose opioid technique with remifentanil HCl as a component of a balanced or total intravenous anesthetic regimen, the remifentanil regimen effectively attenuated response to maximal sternal spread generally better than the dose and regimen studied for the active control (fentanyl). While this provides evidence for the efficacy of remifentanil as an analgesic in this setting, caution must be exercised in interpreting these results as evidence of superiority of remifentanil over the active control, since these studies did not make any attempt to evaluate and compare the optimal analgesic doses of either drug in this setting.

2.11 Preparation for Administration

To reconstitute solution, add 1 mL of diluent per mg of remifentanil. Shake well to dissolve. When reconstituted as directed, the solution contains approximately 1 mg of remifentanil activity per 1 mL.

  • Remifentanil HCl should be diluted to a recommended final concentration of 20, 25, 50, or 250 mcg/mL prior to administration (see Table 5). Remifentanil HCl should not be administered without dilution.

Table 5: Reconstitution and Dilution of Remifentanil HCl

Final Concentration

Amount of Remifentanil HCl in Each Vial

Final Volume After Reconstitution and Dilution

20 mcg/mL

1 mg

50 mL

2 mg

100 mL

5 mg

250 mL

25 mcg/mL

1 mg

40 mL

2 mg

80 mL

5 mg

200 mL

50 mcg/mL

1 mg

20 mL

2 mg

40 mL

5 mg

100 mL

250 mcg/mL

5 mg

20 mL

Continuous IV infusions of remifentanil HCl should be administered only by an infusion device.

Infusion rates of remifentanil HCl can be individualized for each patient using Table 6:

Table 6: IV Infusion Rates of Remifentanil HCl (mL/kg/h)

Drug Delivery Rate (mcg/kg/min)

Infusion Delivery Rate (mL/kg/h)

20 mcg/mL

25 mcg/mL

50 mcg/mL

250 mcg/mL

0.0125

0.038

0.03

0.015

not recommended

0.025

0.075

0.06

0.03

not recommended

0.05

0.15

0.12

0.06

0.012

0.075

0.23

0.18

0.09

0.018

0.1

0.3

0.24

0.12

0.024

0.15

0.45

0.36

0.18

0.036

0.2

0.6

0.48

0.24

0.048

0.25

0.75

0.6

0.3

0.06

0.5

1.5

1.2

0.6

0.12

0.75

2.25

1.8

0.9

0.18

1.0

3.0

2.4

1.2

0.24

1.25

3.75

3.0

1.5

0.3

1.5

4.5

3.6

1.8

0.36

1.75

5.25

4.2

2.1

0.42

2.0

6.0

4.8

2.4

0.48

When remifentanil HCl is used as an analgesic component of monitored analgesia care, a final concentration of 25 mcg/mL is recommended. When remifentanil HCl is used for pediatric patients 1 year of age and older, a final concentration of 20 or 25 mcg/mL is recommended. Table 7 is a guideline for milliliter-per-hour delivery for a solution of 20 mcg/mL with an infusion device.

Table 7: IV Infusion Rates of Remifentanil HCl (mL/h) for a 20 mcg/mL Solution

Infusion Rate (mcg/kg/min)

Patient Weight (kg)

5

10

20

30

40

50

60

0.0125

0.188

0.375

0.75

1.125

1.5

1.875

2.25

0.025

0.375

0.75

1.5

2.25

3.0

3.75

4.5

0.05

0.75

1.5

3.0

4.5

6.0

7.5

9.0

0.075

1.125

2.25

4.5

6.75

9.0

11.25

13.5

0.1

1.5

3.0

6.0

9.0

12.0

15.0

18.0

0.15

2.25

4.5

9.0

13.5

18.0

22.5

27.0

0.2

3.0

6.0

12.0

18.0

24.0

30.0

36.0

0.25

3.75

7.5

15.0

22.5

30.0

37.5

45.0

0.3

4.5

9.0

18.0

27.0

36.0

45.0

54.0

0.35

5.25

10.5

21.0

31.5

42.0

52.5

63.0

0.4

6.0

12.0

24.0

36.0

48.0

60.0

72.0

Table 8 is a guideline for milliliter-per-hour delivery for a solution of 25 mcg/mL with an infusion device.

Table 8: IV Infusion Rates of Remifentanil HCl (mL/h) for a 25 mcg/mL Solution

Infusion Rate(mcg/kg/min)

Patient Weight (kg)

10

20

30

40

50

60

70

80

90

100

0.0125

0.3

0.6

0.9

1.2

1.5

1.8

2.1

2.4

2.7

3.0

0.025

0.6

1.2

1.8

2.4

3.0

3.6

4.2

4.8

5.4

6.0

0.05

1.2

2.4

3.6

4.8

6.0

7.2

8.4

9.6

10.8

12.0

0.075

1.8

3.6

5.4

7.2

9.0

10.8

12.6

14.4

16.2

18.0

0.1

2.4

4.8

7.2

9.6

12.0

14.4

16.8

19.2

21.6

24.0

0.15

3.6

7.2

10.8

14.4

18.0

21.6

25.2

28.8

32.4

36.0

0.2

4.8

9.6

14.4

19.2

24.0

28.8

33.6

38.4

43.2

48.0

Table 9 is a guideline for milliliter-per-hour delivery for a solution of 50 mcg/mL with an infusion device.

Table 9: IV Infusion Rates of Remifentanil HCl (mL/h) for a 50 mcg/mL Solution

Infusion Rate (mcg/kg/min)

Patient Weight (kg)

30

40

50

60

70

80

90

100

0.025

 

 

 

 

2.1

2.4

2.7

3.0

0.05

 

2.4

3.0

3.6

4.2

4.8

5.4

6.0

0.075

2.7

3.6

4.5

5.4

6.3

7.2

8.1

9.0

0.1

3.6

4.8

6.0

7.2

8.4

9.6

10.8

12.0

0.15

5.4

7.2

9.0

10.8

12.6

14.4

16.2

18.0

0.2

7.2

9.6

12.0

14.4

16.8

19.2

21.6

24.0

0.25

9.0

12.0

15.0

18.0

21.0

24.0

27.0

30.0

0.5

18.0

24.0

30.0

36.0

42.0

48.0

54.0

60.0

0.75

27.0

36.0

45.0

54.0

63.0

72.0

81.0

90.0

1.0

36.0

48.0

60.0

72.0

84.0

96.0

108.0

120.0

1.25

45.0

60.0

75.0

90.0

105.0

120.0

135.0

150.0

1.5

54.0

72.0

90.0

108.0

126.0

144.0

162.0

180.0

1.75

63.0

84.0

105.0

126.0

147.0

168.0

189.0

210.0

2.0

72.0

96.0

120.0

144.0

168.0

192.0

216.0

240.0

Table 10 is a guideline for milliliter-per-hour delivery for a solution of 250 mcg/mL with an infusion device.

Table 10: IV Infusion Rates of Remifentanil HCl (mL/h) for a 250 mcg/mL Solution

Infusion Rate (mcg/kg/min)

Patient Weight (kg)

30

40

50

60

70

80

90

100

0.1

0.72

0.96

1.20

1.44

1.68

1.92

2.16

2.40

0.15

1.08

1.44

1.80

2.16

2.52

2.88

3.24

3.60

0.2

1.44

1.92

2.40

2.88

3.36

3.84

4.32

4.80

0.25

1.80

2.40

3.00

3.60

4.20

4.80

5.40

6.00

0.5

3.60

4.80

6.00

7.20

8.40

9.60

10.80

12.00

0.75

5.40

7.20

9.00

10.80

12.60

14.40

16.20

18.00

1.0

7.20

9.60

12.00

14.40

16.80

19.20

21.60

24.00

1.25

9.00

12.00

15.00

18.00

21.00

24.00

27.00

30.00

1.5

10.80

14.40

18.00

21.60

25.20

28.80

32.40

36.00

1.75

12.60

16.80

21.00

25.20

29.40

33.60

37.80

42.00

2.0

14.40

19.20

24.00

28.80

33.60

38.40

43.20

48.00

16 How Supplied/storage and Handling (16 HOW SUPPLIED/STORAGE AND HANDLING)

Remifentanil HCl for injection should be stored at 2° to 25°C (36° to 77°F). Remifentanil HCl for IV use is supplied as follows:

Product Code

Unit of Sale

Strength

Each

723103

NDC 63323-723-03

Unit of 10

1 mg per vial

NDC 63323-723-01

3 mL Single Dose Vial

724105

NDC 63323-724-05

Unit of 10

2 mg per vial

NDC 63323-724-01

5 mL Single Dose Vial

725110

NDC 63323-725-10

Unit of 10

5 mg per vial

NDC 63323-725-01

10 mL Single Dose Vial

Discard unused portion.

The container closure is not made with natural rubber latex.

The brand names mentioned in this document are the trademarks of their respective owners.

Warning: Addiction, Abuse, and Misuse (WARNING: ADDICTION, ABUSE, AND MISUSE)

Addiction, Abuse, and Misuse

Remifentanil hydrochloride for injection exposes patients and other users to the risks of opioid addiction, abuse, and misuse, which can lead to overdose and death. Assess each patient's risk prior to prescribing Remifentanil hydrochloride for injection [see Warnings and Precautions (5.1)] .

14.3 Spontaneous Ventilation Anesthesia

Two randomized, dose-ranging studies (n = 127) examined the administration of remifentanil HCl to outpatients undergoing general anesthesia with a laryngeal mask. Starting infusion rates of remifentanil HCl of ≤ 0.05 mcg/kg/min provided supplemental analgesia while allowing spontaneous ventilation with propofol or isoflurane. Bolus doses of remifentanil HCl during spontaneous ventilation lead to transient periods of apnea, respiratory depression, and muscle rigidity.

2.9 Dosage Modifications in Obese Patients

The starting doses of remifentanil HCl should be based on ideal body weight (IBW) in obese patients (greater than 30% over their IBW) [see Use in Specific Populations (8.6)].

2.6 Dosage Modifications in Geriatric Patients

The starting doses of remifentanil HCl should be decreased by 50% in elderly patients (> 65 years). Remifentanil HCl should then be cautiously titrated to effect [see Use in Specific Populations (8.5)].

2.7 Dosage Modifications in Pediatric Patients

See Table 2 for dosing recommendations for use of remifentanil HCl in pediatric patients from birth to 12 years of age for maintenance of anesthesia. [See Clinical Pharmacology: Specific Populations: Pediatric Population (12.3) and Dosage and Administration, Table 2 and Maintenance of Anesthesia (2.2).]

Remifentanil HCl has not been studied in pediatric patients for use in the immediate postoperative period or for use as a component of monitored anesthesia care.

2.1 Important Dosage and Administration Instructions

Monitor patients closely for respiratory depression when initiating therapy and following dosage increases with remifentanil HCl and adjust the dosage accordingly [see Warnings and Precautions (5.2)].

Remifentanil HCl is for intravenous use only. Continuous infusions of remifentanil HCl should be administered only by an infusion device. The injection site should be close to the venous cannula and all IV tubing should be cleared at the time of discontinuation of infusion.

Remifentanil HCl should not be administered without dilution.

Consider an alternative to remifentanil HCl for patients taking mixed agonist/antagonist and partial agonist opioid analgesics due to reduced analgesic effect or potential withdrawal symptoms. If concomitant use is warranted, carefully observe the patient, particularly during treatment initiation and dose adjustment. Discontinue remifentanil HCl if patient is not responding appropriately to treatment.

Discard unused portion.

2.4 Analgesic Component of Monitored Anesthesia Care

It is strongly recommended that supplemental oxygen be supplied to the patient whenever remifentanil HCl is administered.

  • Remifentanil HCl has not been studied for use in children in monitored anesthesia care.
2.10 Dosage Modifications in Preanesthetic Medication

The need for premedication and the choice of anesthetic agents must be individualized. In clinical studies, patients who received remifentanil HCl frequently received a benzodiazepine premedication.

5.12 Risks of Use in Patients With Biliary Tract Disease (5.12 Risks of Use in Patients with Biliary Tract Disease)

The remifentanil in remifentanil HCl may cause spasm of the sphincter of Oddi. Opioids may cause increases in serum amylase. Monitor patients with biliary tract disease, including acute pancreatitis, for worsening symptoms.

2.8 Dosage Modifications in Coronary Artery Bypass Surgery

Table 4 summarizes the recommended doses for induction, maintenance, and continuation as an analgesic into the ICU in adult patients, predominantly ASA physical status III or IV. To avoid hypotension during the induction phase, it is important to consider the concomitant medication regimens. [See Clinical Studies: Coronary Artery Bypass Surgery  (14.5).]

Table 4: Dosing Recommendations a – Coronary Artery Bypass Surgery

 Phase

Continuous IV Infusion of Remifentanil HCl (mcg/kg/min)

Range of Infusion Dose Remifentanil HCl (mcg/kg/min)

Supplemental IV Bolus

Dose of Remifentanil HCl (mcg/kg)

 Induction of Anesthesia (through intubation)

 1

 

 

 Maintenance of Anesthesia

 1

 0.125 to 4

 0.5 to 1

 Continuation as an analgesic into ICU

 1

 0.05 to 1

 

a See Clinical Studies: Coronary Artery Bypass Surgery subsection (14.5) for concomitant medication regimens.

5.2 Respiratory Depression in Spontaneously Breathing Patients

Serious, life-threatening, or fatal respiratory depression has been reported with the use of opioids, even when used as recommended. Respiratory depression, if not immediately recognized and treated, may lead to respiratory arrest and death.

Remifentanil HCl should be administered only by persons specifically trained in the use of anesthetic drugs and the management of the respiratory effects of potent opioids, including respiration and cardiac resuscitation of patients in the age group being treated. Such training must include the establishment and maintenance of a patent airway and assisted ventilation. Resuscitative and intubation equipment, oxygen, and opioid antagonists must be readily available.

Respiratory depression in spontaneously breathing patients is generally managed by decreasing the rate of the infusion of remifentanil HCl by 50% or by temporarily discontinuing the infusion [see Overdosage (10)].

Carbon dioxide (CO2) retention from opioid-induced respiratory depression can exacerbate the sedating effects of opioids. While serious, life-threatening, or fatal respiratory depression can occur at any time during the use of remifentanil HCl, the risk is greatest during the initiation of therapy or following a dosage increase. Monitor patients closely for respiratory depression, especially when initiating therapy with and following dosage increases of remifentanil HCl.

Remifentanil HCl should not be used in diagnostic or therapeutic procedures outside the monitored anesthesia care setting. Patients receiving monitored anesthesia care should be continuously monitored by persons not involved in the conduct of the surgical or diagnostic procedure. Oxygen saturation should be monitored on a continuous basis.

Patients with significant chronic obstructive pulmonary disease or cor pulmonale, and those with a substantially decreased respiratory reserve, hypoxia, hypercapnia, or pre-existing respiratory depression are at increased risk of decreased respiratory drive including apnea, even at recommended dosages of remifentanil HCl. Elderly, cachectic, or debilitated patients may have altered pharmacokinetics or altered clearance compared to younger, healthier patients resulting in greater risk for respiratory depression. Monitor such patients closely including vital signs, particularly when initiating and titrating remifentanil HCl and when remifentanil HCl is given concomitantly with other drugs that depress respiration. To reduce the risk of respiratory depression, proper dosing and titration of remifentanil HCl are essential [see Dosage and Administration (2.11)].

5.4 Serotonin Syndrome With Concomitant Use of Serotonergic Drugs (5.4 Serotonin Syndrome with Concomitant Use of Serotonergic Drugs)

Cases of serotonin syndrome, a potentially life-threatening condition, have been reported during concomitant use of remifentanil HCl with serotonergic drugs. Serotonergic drugs include selective serotonin reuptake inhibitors (SSRIs), serotonin and norepinephrine reuptake inhibitors (SNRIs), tricyclic antidepressants (TCAs), triptans, 5-HT3 receptor antagonists, drugs that affect the serotonergic neurotransmitter system (e.g., mirtazapine, trazodone, tramadol), certain muscle relaxants (i.e., cyclobenzaprine, metaxalone), and drugs that impair metabolism of serotonin (including MAO inhibitors, both those intended to treat psychiatric disorders and also others, such as linezolid and intravenous methylene blue) [see Drug Interactions (7)]. This may occur within the recommended dosage range.

Serotonin syndrome symptoms may include mental status changes (e.g., agitation, hallucinations, coma), autonomic instability (e.g., tachycardia, labile blood pressure, hyperthermia), neuromuscular aberrations (e.g., hyperreflexia, incoordination, rigidity), and/or gastrointestinal symptoms (e.g., nausea, vomiting, diarrhea). The onset of symptoms generally occurs within several hours to a few days of concomitant use, but may occur later than that. Discontinue remifentanil HCl if serotonin syndrome is suspected.

5.13 Increased Risk of Seizures in Patients With Seizure Disorders (5.13 Increased Risk of Seizures in Patients with Seizure Disorders)

The remifentanil in remifentanil HCl may increase the frequency of seizures in patients with seizure disorders, and may increase the risk of seizures occurring in other clinical settings associated with seizures. Monitor patients with a history of seizure disorders for worsened seizure control during remifentanil HCl therapy.

5.7 Potential Inactivation By Nonspecific Esterases in Blood Products (5.7 Potential Inactivation by Nonspecific Esterases in Blood Products)

Remifentanil HCl should not be administered into the same IV tubing with blood due to potential inactivation by nonspecific esterases in blood products.

14.7 Continuation of Analgesic Use Into the Immediate Postoperative Period (14.7 Continuation of Analgesic Use into the Immediate Postoperative Period)

Analgesia with remifentanil HCl in the immediate postoperative period (until approximately 30 minutes after extubation) was studied in 401 patients in four dose-finding studies and in 281 patients in two efficacy studies. In the dose-finding studies, the use of bolus doses of remifentanil HCl and incremental infusion rate increases ≥ 0.05 mcg/kg/min led to respiratory depression and muscle rigidity.

In two efficacy studies, remifentanil HCl 0.1 mcg/kg/min was started immediately after discontinuing anesthesia. Incremental infusion rate increases of 0.025 mcg/kg/min every 5 minutes were given to treat moderate to severe postoperative pain. In Study 1, 50% decreases in infusion rate were made if respiratory rate decreased below 12 breaths/min and in Study 2, the same decreases were made if respiratory rate was below 8 breaths/min. With this difference in criteria for infusion rate decrease, the incidence of respiratory depression was lower in Study 1 (4%) than in Study 2 (12%). In both studies, remifentanil HCl provided effective analgesia (no or mild pain with respiratory rate ≥ 8 breaths/min) in approximately 60% of patients at mean final infusion rates of 0.1 to 0.125 mcg/kg/min.

Study 2 was a double-blind, randomized, controlled study in which patients received either morphine sulfate (0.15 mg/kg administered 20 minutes before the anticipated end of surgery plus 2 mg bolus doses for supplemental analgesia) or remifentanil HCl (as described above). Emergence from anesthesia was similar between groups; median time to extubation was 5 to 6 minutes for both. Remifentanil HCl provided effective analgesia in 58% of patients compared to 33% of patients who received morphine. Respiratory depression occurred in 12% of patients receiving remifentanil HCl compared to 4% of morphine patients. For patients who received remifentanil HCl, morphine sulfate (0.15 mg/kg) was administered in divided doses 5 and 10 minutes before discontinuing remifentanil HCl. Within 30 minutes after discontinuation of remifentanil HCl, the percentage of patients with effective analgesia decreased to 34%.

14.1 Induction and Maintenance of General Anesthesia Inpatient/outpatient (14.1 Induction and Maintenance of General Anesthesia - Inpatient/Outpatient)

The efficacy of remifentanil HCl was investigated in 1,562 patients in 15 randomized, controlled trials as the analgesic component for the induction and maintenance of general anesthesia. Eight of these studies compared remifentanil HCl to alfentanil and two studies compared remifentanil HCl to fentanyl. In these studies, doses of remifentanil HCl up to the ED90 were compared to recommended doses (approximately ED50) of alfentanil or fentanyl.

Induction of Anesthesia

Remifentanil HCl was administered with isoflurane, propofol, or thiopental for the induction of anesthesia (n = 1,562). The majority of patients (80%) received propofol as the concurrent agent. Remifentanil HCl reduced the propofol and thiopental requirements for loss of consciousness. Compared to alfentanil and fentanyl, a higher relative dose of remifentanil HCl resulted in fewer responses to intubation (see Table 19). Overall, hypotension occurred in 5% of patients receiving remifentanil HCl compared to 2% of patients receiving the other opioids.

Remifentanil HCl has been used as a primary agent for the induction of anesthesia; however, it should not be used as a sole agent because loss of consciousness cannot be assured and because of a high incidence of apnea, muscle rigidity, and tachycardia. The administration of an induction dose of propofol or thiopental or a paralyzing dose of a muscle relaxant prior to or concurrently with remifentanil HCl during the induction of anesthesia markedly decreased the incidence of muscle rigidity from 20% to < 1%.

Table 19: Response to Intubation (Propofol/Opioid Induction a)

Opioid Treatment Group/

(No. of Patients)

Initial Dose

(mcg/kg)

Pre-Intubation

Infusion Rate

(mcg/kg/min)

No. (%) 

Muscle Rigidity

No. (%)

Hypotension

During Induction

No. (%)

Response to

Intubation

Study 1:   

 

 

 

 

 

 Remifentanil HCl (35)

 1

 0.1

 1 (3%)

 0

 27 (77%)

 Remifentanil HCl (35)

 1

 0.4

 3 (9%)

 0

 11 (31%) b

 Alfentanil (35)

 20

 1.0

 2 (6%)

 0

 26 (74%)

Study 2:   

 

 

 

 

 

 Remifentanil HCl (116)

 1

 0.5

 9 (8%)

 5 (4%)

 17 (15%) b

 Alfentanil (118)

 25

 1.0

 6 (5%)

 5 (4%)

 33 (28%)

Study 3:   

 

 

 

 

 

 Remifentanil HCl (134)

 1

 0.5

 2 (1%)

 4 (3%)

 25 (19%)

 Alfentanil (66)

 20

 2.0

 0

 0

 19 (29%)

Study 4:   

 

 

 

 

 

 Remifentanil HCl (98)

 1

 0.2

 11 (11%) b

 2 (2%)

 35 (36%)

 Remifentanil HCl (91)

 2 c

 0.4

 11 (12%) b

 2 (2%)

 12 (13%) b

 Fentanyl (97)

 3

 N/A

 1 (1%)

 1 (1%)

 29 (30%)

a Propofol was titrated to loss of consciousness. Not all doses of remifentanil HCl were equipotent to the comparator opioid.

b Differences were statistically significant (P < 0.02).

c Initial doses greater than 1 mcg/kg are not recommended.

Use During Maintenance of Anesthesia

Remifentanil HCl was investigated in 929 patients in seven well controlled general surgery studies in conjunction with nitrous oxide, isoflurane, or propofol in both inpatient and outpatient settings. These studies demonstrated that remifentanil HCl could be dosed to high levels of opioid effect and rapidly titrated to optimize analgesia intraoperatively without delaying or prolonging recovery.

Compared to alfentanil and fentanyl, these higher relative doses (ED90) of remifentanil HCl resulted in fewer responses to intraoperative stimuli (see Table 20) and a higher frequency of hypotension (16% compared to 5% for the other opioids). Remifentanil HCl was infused to the end of surgery, while alfentanil was discontinued 5 to 30 minutes before the end of surgery as recommended. The mean final infusion rates of remifentanil HCl were between 0.25 and 0.48 mcg/kg/min.



Table 20: Intraoperative Responses a

Opioid

Concurrent

Post-

No. (%) With

No. (%)

No. (%)

No. (%)

Treatment

Group/(No.

of Patients)

Anesthetic

Intubation

Infusion Rate

(mcg/kg/min)

Intraoperative

Hypotension

With

Response to

Skin

Incision

With Signs

of Light

Anesthesia

With

Response to

Skin

Closure

Study 1:   

 

 

 

 

 

 

 Remifentanil HCl (35)

 

 0.1

 0

 20 (57%)

 33 (94%)

 6 (17%)

 Remifentanil HCl (35)

 Nitrous oxide 

 0.4

 0

 3 (9%) b

 12 (34%) b

 2 (6%) b

 Alfentanil (35)

 

 1.0

 0

 24 (69%)

 33 (94%)

 12 (34%)

Study 2:  

 

 

 

 

 

 

 Remifentanil HCl (116)

 Isoflurane +

 0.25

 35 (30%) b

 9 (8%) b

 66 (57%) b

 19 (16%)

 Alfentanil (118)

 Nitrous oxide 

 0.5

 12 (10%)

 20 (17%)

 85 (72%)

 25 (21%)

Study 3:  

 

 

 

 

 

 

 Remifentanil HCl (134)

 Propofol

 0.5

 3 (2%)

 14 (11%) b

 70 (52%) b

 25 (19%)

Alfentanil (66)

 

 2.0

 2 (3%)

 21 (32%)

 47 (71%)

 13 (20%)

Study 4:  

 

 

 

 

 

 

 Remifentanil HCl (98)

 

 0.2

 13 (13%)

 12 (12%) b

 67 (68%) b

 7 (7%)

 Remifentanil HCl (91)

 Isoflurane 

 0.4

 16 (18%) b

 4 (4%) b

 44 (48%) b

 3 (3%) b

 Fentanyl (97)

 

 1.5-3 mcg/kg/prn

 7 (7%)

 32 (33%)

 84 (87%)

 11 (11%)

a Not all doses of remifentanil HCl were equipotent to the comparator opioid.

b Differences were statistically significant (P < 0.05).

In three randomized, controlled studies (n = 407) during general anesthesia, remifentanil HCl attenuated the signs of light anesthesia within a median time of 3 to 6 minutes after bolus doses of 1 mcg/kg with or without infusion rate increases of 50% to 100% (up to a maximum rate of 2 mcg/kg/min).

In an additional double-blind, randomized study (n = 103), a constant rate (0.25 mcg/kg/min) of remifentanil HCl was compared to doubling the rate to 0.5 mcg/kg/min approximately 5 minutes before the start of the major surgical stress event. Doubling the rate decreased the incidence of signs of light anesthesia from 67% to 8% in patients undergoing abdominal hysterectomy, and from 19% to 10% in patients undergoing radical prostatectomy. In patients undergoing laminectomy the lower dose was adequate.

Package Label Principal Display Panel Remifentanil 1 Mg Single Dose Vial Label (PACKAGE LABEL - PRINCIPAL DISPLAY PANEL - Remifentanil 1 mg Single Dose Vial Label)

NDC 63323-723-01        723103

Remifentanil

Hydrochloride

for Injection        CII

1 mg per vial

Equivalent to 1 mg of remifentanil

For intravenous use only.

Must be reconstituted and diluted

before use.        Rx only

Package Label Principal Display Panel Remifentanil 5 Mg Single Dose Vial Label (PACKAGE LABEL - PRINCIPAL DISPLAY PANEL - Remifentanil 5 mg Single Dose Vial Label)

NDC 63323-725-01        725110

Remifentanil Hydrochloride

for Injection         CII

5 mg per vial

Equivalent to 5 mg of remifentanil

For intravenous use only.

Single Dose Vial          Rx only

Package Label Principal Display Panel – Remifentanil 2 Mg Single Dose Vial Label (PACKAGE LABEL - PRINCIPAL DISPLAY PANEL – Remifentanil 2 mg Single Dose Vial Label)

NDC 63323-724-01         724105

Remifentanil

Hydrochloride

for Injection        CII

2 mg per vial

Equivalent to 2 mg of

remifentanil

For intravenous use only.

Single Dose Vial         Rx only

Package Label Principal Display – Remifentanil 1 Mg Single Dose Vial Carton Panel (PACKAGE LABEL- PRINCIPAL DISPLAY – Remifentanil 1 mg Single Dose Vial Carton Panel)

NDC 63323-723-03        723103

Remifentanil

Hydrochloride

for Injection         CII

1 mg per vial

Equivalent to 1 mg of

remifentanil

For intravenous use only.

Rx only

10 x 1 mg Single Dose Vials

Package Label Principal Display – Remifentanil 2 Mg Single Dose Vial Carton Panel (PACKAGE LABEL- PRINCIPAL DISPLAY – Remifentanil 2 mg Single Dose Vial Carton Panel)

NDC 63323-724-05       724105

Remifentanil

Hydrochloride

for Injection         CII

2 mg per vial

Equivalent to 2 mg of remifentanil

For intravenous use only.

Rx only

10 x 2 mg Single Dose Vials

Package Label Principal Display – Remifentanil 5 Mg Single Dose Vial Carton Panel (PACKAGE LABEL- PRINCIPAL DISPLAY – Remifentanil 5 mg Single Dose Vial Carton Panel)

NDC 63323-725-10        725110

Remifentanil

Hydrochloride

for Injection         CII

5 mg per vial

Equivalent to 5 mg of remifentanil

For intravenous use only.

Rx only

10 x 5 mg Single Dose Vials

5.3 Risks From Use As Postoperative Analgesia With Concomitant Benzodiazepines Or Other Cns Depressants (5.3 Risks from Use as Postoperative Analgesia with Concomitant Benzodiazepines or Other CNS Depressants)

Hypotension, profound sedation, respiratory depression, coma, and death may result from the concomitant use of remifentanil HCl with benzodiazepines or other CNS depressants (e.g., non-benzodiazepine sedatives/hypnotics, anxiolytics, tranquilizers, muscle relaxants, general anesthetics, antipsychotics, other opioids, or alcohol). Patients should be advised to avoid alcohol for 24 hours after surgery [see Drug Interactions (7)].

2.3 Continuation As An Analgesic Into the Immediate Postoperative Period Under the Direct Supervision of An Anesthesia Practitioner (2.3 Continuation as an Analgesic into the Immediate Postoperative Period Under the Direct Supervision of an Anesthesia Practitioner)

Infusions of remifentanil HCl may be continued into the immediate postoperative period for select patients for whom later transition to longer acting analgesics may be desired.

  • Remifentanil HCl has not been studied in pediatric patients for use in the immediate postoperative period.
  • The use of bolus injections of remifentanil HCl to treat pain during the postoperative period is not recommended.
  • When used as an IV analgesic in the immediate postoperative period, remifentanil HCl should be initially administered by continuous infusion at a rate of 0.1 mcg/kg/min.
  • The infusion rate may be adjusted every 5 minutes in 0.025 mcg/kg/min increments to balance the patient's level of analgesia and respiratory rate.
  • Infusion rates greater than 0.2 mcg/kg/min are associated with respiratory depression (respiratory rate less than 8 breaths/min).

Due to the rapid offset of action of remifentanil HCl, no residual analgesic activity will be present within 5 to 10 minutes after discontinuation. For patients undergoing surgical procedures where postoperative pain is generally anticipated, alternative analgesics should be administered prior to discontinuation of remifentanil HCl. The choice of analgesic should be appropriate for the patient's surgical procedure and the level of follow-up care [see Clinical Studies (14)].

5.11 Risks of Use in Spontaneously Breathing Patients With Increased Intracranial Pressure, Brain Tumors, Head Injury, Or Impaired Consciousness (5.11 Risks of Use in Spontaneously Breathing Patients with Increased Intracranial Pressure, Brain Tumors, Head Injury, or Impaired Consciousness)

In patients who may be susceptible to the intracranial effects of CO2 retention (e.g., those with evidence of increased intracranial pressure or brain tumors), remifentanil HCl may reduce respiratory drive, and the resultant CO2 retention can further increase intracranial pressure in spontaneously breathing patients. Monitor such patients for signs of sedation and respiratory depression, particularly when initiating therapy with remifentanil HCl.

Opioids may also obscure the clinical course in a patient with a head injury.


Advanced Ingredient Data


Raw Label Data

All Sections (JSON)