Polymyxin B Sulfate And

Polymyxin B Sulfate And
SPL v5
SPL
SPL Set ID d1f55327-156f-44cd-b0fc-b1a938e8aa73
Route
OPHTHALMIC
Published
Effective Date 2022-04-01
Document Type 34391-3 HUMAN PRESCRIPTION DRUG LABEL

Drug Facts

Composition & Product

Active Ingredients
Polymyxin B (10000 [USP'U]) Trimethoprim (1 mg)
Inactive Ingredients
Benzalkonium Chloride Water Sodium Chloride Sodium Hydroxide Sulfuric Acid

Identifiers & Packaging

Marketing Status
ANDA Active Since 1997-02-14

Description

(Sterile) Rx only FOR USE IN THE EYES ONLY *Does not meet USP packaging specification for light resistance.

Indications and Usage

Polymyxin B sulfate and trimethoprim ophthalmic solution is indicated in the treatment of surface ocular bacterial infections, including acute bacterial conjunctivitis, and blepharoconjunctivitis, caused by susceptible strains of the following microorganisms: Staphylococcus aureus, Staphylococcus epidermidis,Streptococcus pneumoniae, Streptococcus viridans, Haemophilus influenzae and Pseudomonasaeruginosa .** **Efficacy for this organism in this organ system was studied in fewer than 10 infections.

Dosage and Administration

In mild to moderate infections, instill one drop in the affected eye(s) every three hours (maximum of 6 doses per day) for a period of 7 to 10 days.

Contraindications

Polymyxin B sulfate and trimethoprim ophthalmic solution is contraindicated in patients with known hypersensitivity to any of its components.

Adverse Reactions

The most frequent adverse reaction to polymyxin B sulfate and trimethoprim ophthalmic solution is local irritation consisting of increased redness, burning, stinging, and/or itching. This may occur on instillation, within 48 hours, or at any time with extended use. There are also multiple reports of hypersensitivity reactions consisting of lid edema, itching, increased redness, tearing, and/or circumocular rash. Photosensitivity has been reported in patients taking oral trimethoprim.

How Supplied

Polymyxin B Sulfate and Trimethoprim Ophthalmic Solution USP*, containing 10,000 polymyxin B units and 1 mg trimethoprim per mL, is supplied in a plastic bottle with a controlled drop tip in the following size: 10 mL - NDC 63187-631-10 DO NOT USE IF IMPRINTED NECKBAND IS NOT INTACT. Storage: Store at 15°-25°C (59°-77°F). PROTECT FROM LIGHT. *Does not meet USP packaging specification for light resistance.  RETAIN IN CARTON UNTIL TIME OF USE. Revised: November 2012     Bausch & Lomb Incorporated Tampa, Florida 33637 ©Bausch & Lomb Incorporated 9117801 (Folded) 9117901 (Flat) Relabeled by: Proficient Rx LP Thousand Oaks, CA 91320


Medication Information

Indications and Usage

Polymyxin B sulfate and trimethoprim ophthalmic solution is indicated in the treatment of surface ocular bacterial infections, including acute bacterial conjunctivitis, and blepharoconjunctivitis, caused by susceptible strains of the following microorganisms: Staphylococcus aureus, Staphylococcus epidermidis,Streptococcus pneumoniae, Streptococcus viridans, Haemophilus influenzae and Pseudomonasaeruginosa.**

**Efficacy for this organism in this organ system was studied in fewer than 10 infections.

Dosage and Administration

In mild to moderate infections, instill one drop in the affected eye(s) every three hours (maximum of 6 doses per day) for a period of 7 to 10 days.

Contraindications

Polymyxin B sulfate and trimethoprim ophthalmic solution is contraindicated in patients with known hypersensitivity to any of its components.

Adverse Reactions

The most frequent adverse reaction to polymyxin B sulfate and trimethoprim ophthalmic solution is local irritation consisting of increased redness, burning, stinging, and/or itching. This may occur on instillation, within 48 hours, or at any time with extended use. There are also multiple reports of hypersensitivity reactions consisting of lid edema, itching, increased redness, tearing, and/or circumocular rash. Photosensitivity has been reported in patients taking oral trimethoprim.

How Supplied

Polymyxin B Sulfate and Trimethoprim Ophthalmic Solution USP*, containing 10,000 polymyxin B units and 1 mg trimethoprim per mL, is supplied in a plastic bottle with a controlled drop tip in the following size:

10 mL - NDC 63187-631-10

DO NOT USE IF IMPRINTED NECKBAND IS NOT INTACT.

Storage: Store at 15°-25°C (59°-77°F). PROTECT FROM LIGHT.

*Does not meet USP packaging specification for light resistance.

 RETAIN IN CARTON UNTIL TIME OF USE.

Revised: November 2012  

 

Bausch & Lomb Incorporated

Tampa, Florida 33637

©Bausch & Lomb Incorporated

9117801 (Folded)

9117901(Flat)

Relabeled by:

Proficient Rx LP

Thousand Oaks, CA 91320

Description

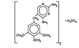
Polymyxin B Sulfate and Trimethoprim Ophthalmic Solution USP* is a sterile antimicrobial solution for topical ophthalmic use. It has a pH of 4.0 to 6.2 and osmolality of 270 to 310 mOsm/kg. Trimethoprim sulfate, a white, odorless, crystalline powder, is represented by the following structural formula:

C28H38N8O10S

Mol. Wt. 678.72

Chemical Name: Trimethoprim sulfate, 2,4-diamino-5-(3,4 5-trimethoxybenzyl)pyrimidine sulfate (2:1)

Polymyxin B sulfate is the sulfate salt of polymyxin B1 and B2 which are produced by the growth of Bacillus polymyxa  (Prazmowski) Migula (Fam. Bacillaceae) . It has a potency of not less than 6,000 polymyxin B units per mg, calculated on an anhydrous basis. The structural formula is:

Each mL Contains: ACTIVES: Polymyxin B Sulfate equal to 10,000 polymyxin B units, Trimethoprim Sulfate (equivalent to trimethoprim 1 mg); INACTIVES: Purified Water, Sodium Chloride. Sulfuric acid and, if necessary, sodium hydroxide may be added to adjust pH (4.0 – 6.2). PRESERVATIVE ADDED: Benzalkonium Chloride 0.004%.

Section 42229-5

(Sterile)

Rx only

FOR USE IN THE EYES ONLY

*Does not meet USP packaging specification for light resistance.

General

As with other antimicrobial preparations, prolonged use may result in overgrowth of nonsusceptible organisms, including fungi. If superinfection occurs, appropriate therapy should be initiated.

Warnings

NOT FOR INJECTION INTO THE EYE.

If a sensitivity reaction to polymyxin B sulfate and trimethoprim ophthalmic solution occurs, discontinue use.

Polymyxin B sulfate and trimethoprim ophthalmic solution is not indicated for the prophylaxis or treatment of ophthalmia neonatorum.

Geriatric Use

No overall differences in safety or effectiveness have been observed between elderly and other adult patients.

Pediatric Use

Safety and effectiveness in pediatric patients below the age of 2 months have not been established (see WARNINGS).

Nursing Mothers

It is not known whether this drug is excreted in human milk. Because many drugs are excreted in human milk, caution should be exercised when polymyxin B sulfate and trimethoprim ophthalmic solution is administered to a nursing woman.

Teratogenic Effects

Pregnancy Category C. Animal reproduction studies have not been conducted with polymyxin B sulfate. It is not known whether polymyxin B sulfate can cause fetal harm when administered to a pregnant woman or can affect reproduction capacity.

Trimethoprim has been shown to be teratogenic in the rat when given in oral doses 40 times the human dose.

In some rabbit studies, the overall increase in fetal loss (dead and resorbed and malformed conceptuses) was associated with oral doses 6 times the human therapeutic dose.

While there are no large well-controlled studies on the use of trimethoprim in pregnant women, Brumfitt and Pursell, in a retrospective study, reported the outcome of 186 pregnancies during which the mother received either placebo or oral trimethoprim in combination with sulfamethoxazole. The incidence of congenital abnormalities was 4.5% (3 of 66) in those who received placebo and 3.3% (4 of 120) in those receiving trimethoprim and sulfamethoxazole. There were no abnormalities in the 10 children whose mothers received the drug during the first trimester. In a separate survey, Brumfitt and Pursell also found no congenital abnormalities in 35 children whose mothers had received oral trimethoprim and sulfamethoxazole at the time of conception or shortly thereafter.

Because trimethoprim may interfere with folic acid metabolism, trimethoprim should be used during pregnancy only if the potential benefit justifies the potential risk to the fetus.

Clinical Pharmacology

Trimethoprim is a synthetic antibacterial drug active against a wide variety of aerobic gram-positive and gram-negative ophthalmic pathogens. Trimethoprim blocks the production of tetrahydrofolic acid from dihydrofolic acid by binding to and reversibly inhibiting the enzyme dihydrofolate reductase. This binding is stronger for the bacterial enzyme than for the corresponding mammalian enzyme and therefore selectively interferes with bacterial biosynthesis of nucleic acids and proteins.

Polymyxin B, a cyclic lipopeptide antibiotic, is bactericidal for a variety of gram-negative organisms, especially Pseudomonas aeruginosa. It increases the permeability of the bacterial cell membrane by interacting with the phospholipid components of the membrane.

Blood samples were obtained from 11 human volunteers at 20 minutes, 1 hour and 3 hours following instillation in the eye of 2 drops of ophthalmic solution containing 1 mg trimethoprim and 10,000 units polymyxin B per mL. Peak serum concentrations were approximately 0.03 μg/mL trimethoprim and 1 unit/mL polymyxin B.

Microbiology:

In vitro studies have demonstrated that the anti-infective components of trimethoprim sulfate and polymyxin B sulfate ophthalmic solution are active against the following bacterial pathogens that are capable of causing external infections of the eye:

Trimethoprim: Staphylococcus aureus and Staphylococcus epidermidis, Streptococcus pyogenes,Streptococcus faecalis, Streptococcus pneumoniae, Haemophilus influenzae, Haemophilus aegyptius,Escherichia coli, Klebsiella pneumoniae, Proteus mirabilis (indole-negative), Proteus vulgaris (indolepositive), Enterobacter aerogenes, and Serratia marcescens.

Polymyxin B: Pseudomonas aeruginosa, Escherichia coli, Klebsiella pneumoniae, Enterobacter aerogenes and Haemophilus influenzae.

Nonteratogenic Effects

The oral administration of trimethoprim to rats at a dose of 70 mg/kg/day commencing with the last third of gestation and continuing through parturition and lactation caused no deleterious effects on gestation or pup growth and survival.

Principal Display Panel

NDC 63187-631-10

Polymyxin B Sulfate and Trimethoprim Ophthmalic Solution USP

(Sterile)

[icon-eye] [icon dropper] [icon 10 mL]

10 ml

Rx only

Information for Patients

Avoid contaminating the applicator tip with material from the eye, fingers, or other source. This precaution is necessary if the sterility of the drops is to be maintained.

If redness, irritation, swelling or pain persists or increases, discontinue use immediately and contact your physician. Patients should be advised not to wear contact lenses if they have signs and symptoms of ocular bacterial infections.

Carcinogenesis, Mutagenesis, Impairment of Fertility

Carcinogenesis: Long-term studies in animals to evaluate carcinogenic potential have not been conducted with polymyxin B sulfate or trimethoprim.

Mutagenesis: Trimethoprim was demonstrated to be non-mutagenic in the Ames assay. In studies at two laboratories no chromosomal damage was detected in cultured Chinese hamster ovary cells at concentrations approximately 500 times human plasma levels after oral administration; at concentrations approximately 1000 times human plasma levels after oral administration in these same cells, a low level of chromosomal damage was induced at one of the laboratories. Studies to evaluate mutagenic potential have not been conducted with polymyxin B sulfate.

Impairment of Fertility: Polymyxin B sulfate has been reported to impair the motility of equine sperm, but its effects on male or female fertility are unknown.

No adverse effects on fertility or general reproductive performance were observed in rats given trimethoprim in oral dosages as high as 70 mg/kg/day for males and 14 mg/kg/day for females.


Structured Label Content

Section 42229-5 (42229-5)

(Sterile)

Rx only

FOR USE IN THE EYES ONLY

*Does not meet USP packaging specification for light resistance.

General

As with other antimicrobial preparations, prolonged use may result in overgrowth of nonsusceptible organisms, including fungi. If superinfection occurs, appropriate therapy should be initiated.

Warnings (WARNINGS)

NOT FOR INJECTION INTO THE EYE.

If a sensitivity reaction to polymyxin B sulfate and trimethoprim ophthalmic solution occurs, discontinue use.

Polymyxin B sulfate and trimethoprim ophthalmic solution is not indicated for the prophylaxis or treatment of ophthalmia neonatorum.

Description (DESCRIPTION)

Polymyxin B Sulfate and Trimethoprim Ophthalmic Solution USP* is a sterile antimicrobial solution for topical ophthalmic use. It has a pH of 4.0 to 6.2 and osmolality of 270 to 310 mOsm/kg. Trimethoprim sulfate, a white, odorless, crystalline powder, is represented by the following structural formula:

C28H38N8O10S

Mol. Wt. 678.72

Chemical Name: Trimethoprim sulfate, 2,4-diamino-5-(3,4 5-trimethoxybenzyl)pyrimidine sulfate (2:1)

Polymyxin B sulfate is the sulfate salt of polymyxin B1 and B2 which are produced by the growth of Bacillus polymyxa  (Prazmowski) Migula (Fam. Bacillaceae) . It has a potency of not less than 6,000 polymyxin B units per mg, calculated on an anhydrous basis. The structural formula is:

Each mL Contains: ACTIVES: Polymyxin B Sulfate equal to 10,000 polymyxin B units, Trimethoprim Sulfate (equivalent to trimethoprim 1 mg); INACTIVES: Purified Water, Sodium Chloride. Sulfuric acid and, if necessary, sodium hydroxide may be added to adjust pH (4.0 – 6.2). PRESERVATIVE ADDED: Benzalkonium Chloride 0.004%.

How Supplied (HOW SUPPLIED)

Polymyxin B Sulfate and Trimethoprim Ophthalmic Solution USP*, containing 10,000 polymyxin B units and 1 mg trimethoprim per mL, is supplied in a plastic bottle with a controlled drop tip in the following size:

10 mL - NDC 63187-631-10

DO NOT USE IF IMPRINTED NECKBAND IS NOT INTACT.

Storage: Store at 15°-25°C (59°-77°F). PROTECT FROM LIGHT.

*Does not meet USP packaging specification for light resistance.

 RETAIN IN CARTON UNTIL TIME OF USE.

Revised: November 2012  

 

Bausch & Lomb Incorporated

Tampa, Florida 33637

©Bausch & Lomb Incorporated

9117801 (Folded)

9117901(Flat)

Relabeled by:

Proficient Rx LP

Thousand Oaks, CA 91320

Geriatric Use

No overall differences in safety or effectiveness have been observed between elderly and other adult patients.

Pediatric Use

Safety and effectiveness in pediatric patients below the age of 2 months have not been established (see WARNINGS).

Nursing Mothers

It is not known whether this drug is excreted in human milk. Because many drugs are excreted in human milk, caution should be exercised when polymyxin B sulfate and trimethoprim ophthalmic solution is administered to a nursing woman.

Adverse Reactions (ADVERSE REACTIONS)

The most frequent adverse reaction to polymyxin B sulfate and trimethoprim ophthalmic solution is local irritation consisting of increased redness, burning, stinging, and/or itching. This may occur on instillation, within 48 hours, or at any time with extended use. There are also multiple reports of hypersensitivity reactions consisting of lid edema, itching, increased redness, tearing, and/or circumocular rash. Photosensitivity has been reported in patients taking oral trimethoprim.

Contraindications (CONTRAINDICATIONS)

Polymyxin B sulfate and trimethoprim ophthalmic solution is contraindicated in patients with known hypersensitivity to any of its components.

Teratogenic Effects

Pregnancy Category C. Animal reproduction studies have not been conducted with polymyxin B sulfate. It is not known whether polymyxin B sulfate can cause fetal harm when administered to a pregnant woman or can affect reproduction capacity.

Trimethoprim has been shown to be teratogenic in the rat when given in oral doses 40 times the human dose.

In some rabbit studies, the overall increase in fetal loss (dead and resorbed and malformed conceptuses) was associated with oral doses 6 times the human therapeutic dose.

While there are no large well-controlled studies on the use of trimethoprim in pregnant women, Brumfitt and Pursell, in a retrospective study, reported the outcome of 186 pregnancies during which the mother received either placebo or oral trimethoprim in combination with sulfamethoxazole. The incidence of congenital abnormalities was 4.5% (3 of 66) in those who received placebo and 3.3% (4 of 120) in those receiving trimethoprim and sulfamethoxazole. There were no abnormalities in the 10 children whose mothers received the drug during the first trimester. In a separate survey, Brumfitt and Pursell also found no congenital abnormalities in 35 children whose mothers had received oral trimethoprim and sulfamethoxazole at the time of conception or shortly thereafter.

Because trimethoprim may interfere with folic acid metabolism, trimethoprim should be used during pregnancy only if the potential benefit justifies the potential risk to the fetus.

Clinical Pharmacology (CLINICAL PHARMACOLOGY)

Trimethoprim is a synthetic antibacterial drug active against a wide variety of aerobic gram-positive and gram-negative ophthalmic pathogens. Trimethoprim blocks the production of tetrahydrofolic acid from dihydrofolic acid by binding to and reversibly inhibiting the enzyme dihydrofolate reductase. This binding is stronger for the bacterial enzyme than for the corresponding mammalian enzyme and therefore selectively interferes with bacterial biosynthesis of nucleic acids and proteins.

Polymyxin B, a cyclic lipopeptide antibiotic, is bactericidal for a variety of gram-negative organisms, especially Pseudomonas aeruginosa. It increases the permeability of the bacterial cell membrane by interacting with the phospholipid components of the membrane.

Blood samples were obtained from 11 human volunteers at 20 minutes, 1 hour and 3 hours following instillation in the eye of 2 drops of ophthalmic solution containing 1 mg trimethoprim and 10,000 units polymyxin B per mL. Peak serum concentrations were approximately 0.03 μg/mL trimethoprim and 1 unit/mL polymyxin B.

Microbiology:

In vitro studies have demonstrated that the anti-infective components of trimethoprim sulfate and polymyxin B sulfate ophthalmic solution are active against the following bacterial pathogens that are capable of causing external infections of the eye:

Trimethoprim: Staphylococcus aureus and Staphylococcus epidermidis, Streptococcus pyogenes,Streptococcus faecalis, Streptococcus pneumoniae, Haemophilus influenzae, Haemophilus aegyptius,Escherichia coli, Klebsiella pneumoniae, Proteus mirabilis (indole-negative), Proteus vulgaris (indolepositive), Enterobacter aerogenes, and Serratia marcescens.

Polymyxin B: Pseudomonas aeruginosa, Escherichia coli, Klebsiella pneumoniae, Enterobacter aerogenes and Haemophilus influenzae.

Indications and Usage (INDICATIONS AND USAGE)

Polymyxin B sulfate and trimethoprim ophthalmic solution is indicated in the treatment of surface ocular bacterial infections, including acute bacterial conjunctivitis, and blepharoconjunctivitis, caused by susceptible strains of the following microorganisms: Staphylococcus aureus, Staphylococcus epidermidis,Streptococcus pneumoniae, Streptococcus viridans, Haemophilus influenzae and Pseudomonasaeruginosa.**

**Efficacy for this organism in this organ system was studied in fewer than 10 infections.

Nonteratogenic Effects

The oral administration of trimethoprim to rats at a dose of 70 mg/kg/day commencing with the last third of gestation and continuing through parturition and lactation caused no deleterious effects on gestation or pup growth and survival.

Principal Display Panel

NDC 63187-631-10

Polymyxin B Sulfate and Trimethoprim Ophthmalic Solution USP

(Sterile)

[icon-eye] [icon dropper] [icon 10 mL]

10 ml

Rx only

Information for Patients (Information for patients)

Avoid contaminating the applicator tip with material from the eye, fingers, or other source. This precaution is necessary if the sterility of the drops is to be maintained.

If redness, irritation, swelling or pain persists or increases, discontinue use immediately and contact your physician. Patients should be advised not to wear contact lenses if they have signs and symptoms of ocular bacterial infections.

Dosage and Administration (DOSAGE AND ADMINISTRATION)

In mild to moderate infections, instill one drop in the affected eye(s) every three hours (maximum of 6 doses per day) for a period of 7 to 10 days.

Carcinogenesis, Mutagenesis, Impairment of Fertility

Carcinogenesis: Long-term studies in animals to evaluate carcinogenic potential have not been conducted with polymyxin B sulfate or trimethoprim.

Mutagenesis: Trimethoprim was demonstrated to be non-mutagenic in the Ames assay. In studies at two laboratories no chromosomal damage was detected in cultured Chinese hamster ovary cells at concentrations approximately 500 times human plasma levels after oral administration; at concentrations approximately 1000 times human plasma levels after oral administration in these same cells, a low level of chromosomal damage was induced at one of the laboratories. Studies to evaluate mutagenic potential have not been conducted with polymyxin B sulfate.

Impairment of Fertility: Polymyxin B sulfate has been reported to impair the motility of equine sperm, but its effects on male or female fertility are unknown.

No adverse effects on fertility or general reproductive performance were observed in rats given trimethoprim in oral dosages as high as 70 mg/kg/day for males and 14 mg/kg/day for females.


Advanced Ingredient Data


Raw Label Data

All Sections (JSON)