These Highlights Do Not Include All The Information Needed To Use Febuxostat Tablets Safely And Effectively. See Full Prescribing Information For Febuxostat Tablets.

These Highlights Do Not Include All The Information Needed To Use Febuxostat Tablets Safely And Effectively. See Full Prescribing Information For Febuxostat Tablets.
SPL v6
SPL
SPL Set ID d1969ea8-5178-42ee-97fc-feee8595e677
Route
ORAL
Published
Effective Date 2026-02-20
Document Type 34391-3 Human Prescription Drug Label

Drug Facts

Composition & Product

Active Ingredients
Febuxostat (40 mg)
Inactive Ingredients
Cellulose, Microcrystalline Lactose Monohydrate Croscarmellose Sodium Hydroxypropyl Cellulose, Unspecified Silicon Dioxide Magnesium Stearate Polyvinyl Alcohol, Unspecified Titanium Dioxide Polyethylene Glycol 3350 Talc D&c Yellow No. 10 Fd&c Blue No. 1 Fd&c Blue No. 2 Ferric Oxide Yellow

Identifiers & Packaging

Pill Appearance
Imprint: 80 Shape: round Shape: oval Color: green Color: yellow Size: 9 mm Size: 17 mm Score: 1
Marketing Status
ANDA Active Since 2019-12-30

Description

Gout patients with established cardiovascular (CV) disease treated with febuxostat had a higher rate of CV death compared to those treated with allopurinol in a CV outcomes study [ see Warnings and Precautions (5.1)]. Consider the risks and benefits of febuxostat when deciding to prescribe or continue patients on febuxostat. Febuxostat should only be used in patients who have an inadequate response to a maximally titrated dose of allopurinol, who are intolerant to allopurinol, or for whom treatment with allopurinol is not advisable [ see Indications and Usage (1)].

Dosage and Administration

Recommended dosage is 40 mg or 80 mg once daily. The recommended starting dosage is 40 mg once daily. For patients who do not achieve a serum uric acid (sUA) less than 6 mg/dL after 2 weeks, the recommended dosage is 80 mg once daily. ( 2.1 ) Patients with severe renal impairment: Limit the dosage to 40 mg once daily. ( 2.2 , 8.6 ) Flare prophylaxis is recommended upon initiation of febuxostat tablets. ( 2.4 ) Can be administered without regard to food or antacid use. ( 2.1 )

Warnings and Precautions

Gout Flares: An increase in gout flares is frequently observed after initiation of febuxostat. If a gout flare occurs during treatment, febuxostat need not be discontinued. Prophylactic therapy (i.e., non-steroidal anti-inflammatory drug or colchicine) upon initiation of treatment may be beneficial for up to six months. ( 2.4 , 5.2 ) Hepatic Effects : Cases of hepatic failure, some fatal, have been reported. If liver injury is detected, promptly interrupt febuxostat and treat cause, if possible, to resolution or stabilization. Permanently discontinue febuxostat if liver injury is confirmed, and no alternate etiology can be found. ( 5.3 )  Serious Skin Reactions: Serious skin and hypersensitivity reactions, including Stevens-Johnson Syndrome,drug reaction with eosinophilia and systemic symptoms and toxic epidermal necrolysis have been reported in patients taking febuxostat. Discontinue febuxostat if serious skin reactions are suspected. ( 5.4 )

Contraindications

Febuxostat is contraindicated in patients being treated with azathioprine or mercaptopurine [see Drug Interactions ( 7 )] .

Adverse Reactions

 The following serious adverse reactions are described elsewhere in the prescribing information: Cardiovascular Death [ see Warnings and Precautions (5.1)] Hepatic Effects [ see Warnings and Precautions (5.3)] Serious Skin Reactions [ see Warnings and Precautions (5.4)]

Drug Interactions

Concomitant administration of febuxostat with XO substrate drugs, azathioprine or mercaptopurine could increase plasma concentrations of these drugs resulting in severe toxicity. ( 7 )

Storage and Handling

Febuxostat 40 mg tablets are green colored, round shaped, biconvex, film coated tablets, debossed with "40" on one side and "F" on other side and supplied as: Bottles of 30 tablets……….………....….... (NDC 72205-028-30) Bottles of 90 tablets……………………..... (NDC 72205-028-90) Bottles of 500 tablets……..……………..... (NDC 72205-028-05) Febuxostat 80 mg tablets yellow colored, capsule shaped, biconvex, film coated tablets, debossed with "80" on one side and plain on other side and supplied as:    Bottles of 30 tablets……………………...... (NDC 72205-029-30) Bottles of 90 tablets……………………...... (NDC 72205-029-90) Bottles of 100 tablets…………………….... (NDC 72205-029-91) Bottles of 1000 tablets…………………...... (NDC 72205-029-99) Protect from light. Store at 25°C (77°F); excursions permitted to 15° to 30°C (59° to 86°F) [See USP Controlled Room Temperature].

How Supplied

Febuxostat 40 mg tablets are green colored, round shaped, biconvex, film coated tablets, debossed with "40" on one side and "F" on other side and supplied as: Bottles of 30 tablets……….………....….... (NDC 72205-028-30) Bottles of 90 tablets……………………..... (NDC 72205-028-90) Bottles of 500 tablets……..……………..... (NDC 72205-028-05) Febuxostat 80 mg tablets yellow colored, capsule shaped, biconvex, film coated tablets, debossed with "80" on one side and plain on other side and supplied as:    Bottles of 30 tablets……………………...... (NDC 72205-029-30) Bottles of 90 tablets……………………...... (NDC 72205-029-90) Bottles of 100 tablets…………………….... (NDC 72205-029-91) Bottles of 1000 tablets…………………...... (NDC 72205-029-99) Protect from light. Store at 25°C (77°F); excursions permitted to 15° to 30°C (59° to 86°F) [See USP Controlled Room Temperature].


Medication Information

Warnings and Precautions

Gout Flares: An increase in gout flares is frequently observed after initiation of febuxostat. If a gout flare occurs during treatment, febuxostat need not be discontinued. Prophylactic therapy (i.e., non-steroidal anti-inflammatory drug or colchicine) upon initiation of treatment may be beneficial for up to six months. ( 2.4 , 5.2 ) Hepatic Effects : Cases of hepatic failure, some fatal, have been reported. If liver injury is detected, promptly interrupt febuxostat and treat cause, if possible, to resolution or stabilization. Permanently discontinue febuxostat if liver injury is confirmed, and no alternate etiology can be found. ( 5.3 )  Serious Skin Reactions: Serious skin and hypersensitivity reactions, including Stevens-Johnson Syndrome,drug reaction with eosinophilia and systemic symptoms and toxic epidermal necrolysis have been reported in patients taking febuxostat. Discontinue febuxostat if serious skin reactions are suspected. ( 5.4 )

Dosage and Administration

Recommended dosage is 40 mg or 80 mg once daily. The recommended starting dosage is 40 mg once daily. For patients who do not achieve a serum uric acid (sUA) less than 6 mg/dL after 2 weeks, the recommended dosage is 80 mg once daily. ( 2.1 ) Patients with severe renal impairment: Limit the dosage to 40 mg once daily. ( 2.2 , 8.6 ) Flare prophylaxis is recommended upon initiation of febuxostat tablets. ( 2.4 ) Can be administered without regard to food or antacid use. ( 2.1 )

Contraindications

Febuxostat is contraindicated in patients being treated with azathioprine or mercaptopurine [see Drug Interactions ( 7 )] .

Adverse Reactions

 The following serious adverse reactions are described elsewhere in the prescribing information: Cardiovascular Death [ see Warnings and Precautions (5.1)] Hepatic Effects [ see Warnings and Precautions (5.3)] Serious Skin Reactions [ see Warnings and Precautions (5.4)]

Drug Interactions

Concomitant administration of febuxostat with XO substrate drugs, azathioprine or mercaptopurine could increase plasma concentrations of these drugs resulting in severe toxicity. ( 7 )

Storage and Handling

Febuxostat 40 mg tablets are green colored, round shaped, biconvex, film coated tablets, debossed with "40" on one side and "F" on other side and supplied as: Bottles of 30 tablets……….………....….... (NDC 72205-028-30) Bottles of 90 tablets……………………..... (NDC 72205-028-90) Bottles of 500 tablets……..……………..... (NDC 72205-028-05) Febuxostat 80 mg tablets yellow colored, capsule shaped, biconvex, film coated tablets, debossed with "80" on one side and plain on other side and supplied as:    Bottles of 30 tablets……………………...... (NDC 72205-029-30) Bottles of 90 tablets……………………...... (NDC 72205-029-90) Bottles of 100 tablets…………………….... (NDC 72205-029-91) Bottles of 1000 tablets…………………...... (NDC 72205-029-99) Protect from light. Store at 25°C (77°F); excursions permitted to 15° to 30°C (59° to 86°F) [See USP Controlled Room Temperature].

How Supplied

Febuxostat 40 mg tablets are green colored, round shaped, biconvex, film coated tablets, debossed with "40" on one side and "F" on other side and supplied as: Bottles of 30 tablets……….………....….... (NDC 72205-028-30) Bottles of 90 tablets……………………..... (NDC 72205-028-90) Bottles of 500 tablets……..……………..... (NDC 72205-028-05) Febuxostat 80 mg tablets yellow colored, capsule shaped, biconvex, film coated tablets, debossed with "80" on one side and plain on other side and supplied as:    Bottles of 30 tablets……………………...... (NDC 72205-029-30) Bottles of 90 tablets……………………...... (NDC 72205-029-90) Bottles of 100 tablets…………………….... (NDC 72205-029-91) Bottles of 1000 tablets…………………...... (NDC 72205-029-99) Protect from light. Store at 25°C (77°F); excursions permitted to 15° to 30°C (59° to 86°F) [See USP Controlled Room Temperature].

Description

Gout patients with established cardiovascular (CV) disease treated with febuxostat had a higher rate of CV death compared to those treated with allopurinol in a CV outcomes study [ see Warnings and Precautions (5.1)]. Consider the risks and benefits of febuxostat when deciding to prescribe or continue patients on febuxostat. Febuxostat should only be used in patients who have an inadequate response to a maximally titrated dose of allopurinol, who are intolerant to allopurinol, or for whom treatment with allopurinol is not advisable [ see Indications and Usage (1)].

7.3 in Vivo

Based on drug interaction studies in healthy patients, febuxostat does not have clinically significant interactions with colchicine, naproxen, indomethacin, hydrochlorothiazide, warfarin or desipramine [see Clinical Pharmacology (12.3)]. Therefore, febuxostat may be used concomitantly with these medications.

10 Overdosage

Febuxostat was studied in healthy patients in doses up to 300 mg daily for seven days without evidence of dose-limiting toxicities. No overdose of febuxostat was reported in clinical studies. Patients should be managed by symptomatic and supportive care should there be an overdose.

8.1 Pregnancy

Risk Summary

Limited available data with febuxostat use in pregnant women are insufficient to inform a drug associated risk of adverse developmental outcomes. No adverse developmental effects were observed in embryo-fetal development studies with oral administration of febuxostat to pregnant rats and rabbits during organogenesis at doses that produced maternal exposures up to 40 and 51 times, respectively, the exposure at the maximum recommended human dose (MRHD). No adverse developmental effects were observed in a pre-and postnatal development study with administration of febuxostat to pregnant rats from organogenesis through lactation at an exposure approximately 11 times the MRHD (see Data ).

The estimated background risk of major birth defects and miscarriage for the indicated population is unknown. All pregnancies have a background risk of birth defect, loss, or other adverse outcomes. In the US general population, the estimated background risk of major birth defects and miscarriage in clinically recognized pregnancies is 2 to 4% and 15 to 20%, respectively.

Data

Animal Data

In an embryo-fetal development study in pregnant rats dosed during the period of organogenesis from gestation Days 7 – 17, febuxostat was not teratogenic and did not affect fetal development or survival at exposures up to approximately 40 times the MRHD (on an AUC basis at maternal oral doses up to 48 mg/kg/day). In an embryo-fetal development study in pregnant rabbits dosed during the period of organogenesis from gestation Days 6 – 18, febuxostat was not teratogenic and did not affect fetal development at exposures up to approximately 51 times the MRHD (on an AUC basis at maternal oral doses up to 48 mg/kg/day).

In a pre-and postnatal development study in pregnant female rats dosed orally from gestation Day 7 through lactation Day 20, febuxostat had no effects on delivery or growth and development of offspring at a dose approximately 11 times the MRHD (on an AUC basis at a maternal oral dose of 12 mg/kg/day). However, increased neonatal mortality and a reduction in neonatal body weight gain were observed in the presence of maternal toxicity at a dose approximately 40 times the MRHD (on an AUC basis at a maternal oral dose of 48 mg/kg/day).

Febuxostat crossed the placental barrier following oral administration to pregnant rats and was detected in fetal tissues.

8.2 Lactation

Risk Summary

There are no data on the presence of febuxostat in human milk, the effects on the breastfed infant, or the effects on milk production. Febuxostat is present in rat milk. The developmental and health benefits of breastfeeding should be considered along with the mother’s clinical need for febuxostat and any potential adverse effects on the breastfed child from febuxostat or from the underlying maternal condition.

Data

Animal Data

Orally administered febuxostat was detected in the milk of lactating rats at up to approximately 7 times the plasma concentration.

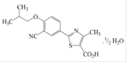
11 Description

Febuxostat is a xanthine oxidase inhibitor. The active ingredient in febuxostat is 2-[3-cyano-4-(2-methylpropoxy) phenyl]-4-methylthiazole-5-carboxylic acid hemihydrate, with a molecular weight of 325.39. The molecular formula is C16H16N2O3S 1/2 H2O.

The chemical structure is:

Febuxostat is a non-hygroscopic, white to yellowish crystalline powder that is soluble in dimethyl formamide, slightly soluble in methanol and insoluble in water. The melting range is 207oC to 210°C.



Febuxostat tablets for oral use contain the active ingredient, febuxostat, and are available in two dosage strengths, 40 mg and 80 mg. Inactive ingredients include colloidal silicon dioxide, croscarmellose sodium, hydroxypropyl cellulose, lactose monohydrate, microcrystalline cellulose and magnesium stearate. Febuxostat tablets are coated with polyvinyl alcohol, macrogol, titanium dioxide, talc, D&C yellow #10 aluminum lake, FD&C blue #1/brilliant blue FCF aluminum lake, FD&C blue #2/indigo carmine AL 3%-5% (40 mg), additionally iron oxide yellow (80 mg).

5.2 Gout Flares

After initiation of febuxostat, an increase in gout flares is frequently observed. This increase is due to reduction in serum uric acid levels, resulting in mobilization of urate from tissue deposits.

In order to prevent gout flares when febuxostat is initiated, concurrent prophylactic treatment with an NSAID or colchicine is recommended [ see Dosage and Administration (2.4)].



Medication Guide


                                                                                                                                          FEBUXOSTAT

                                                                                                                                       (fe BUX oh stat)

                                                                                                                                         tablets, for oral use

Read the Medication Guide that comes with febuxostat tablets before you start taking it and each time you get a refill. There may be new information. The Medication Guide does not take the place of talking with your doctor about your medical condition or your treatment.



What is the most important information that I should know about febuxostat tablets?

Febuxostat tablets may cause serious side effects, including:

Heart -related deaths.

Call your doctor or get emergency medical help right away if you have any of the following symptoms, especially if they are new, worse, or worry you:

  • chest pain
  • shortness of breath or trouble breathing
  • dizziness, fainting or feeling lightheaded
  • rapid or irregular heartbeat 
  • numbness or weakness on one side of your body
  • slurring of speech
  • sudden blurry vision or sudden severe headache

What are febuxostat tablets?



Febuxostat tablets are prescription medicine called a xanthine oxidase (XO) inhibitor used to lower blood uric acid levels in adult patients with gout when allopurinol has not worked well enough or when allopurinol is not right for you.

Febuxostat tablets are not for use in people who do not have symptoms of high blood uric acid levels.

It is not known if febuxostat tablets are safe and effective in children.

Who should not take febuxostat tablets?  

Do not take febuxostat tablets if you:

  • take azathioprine (Azasan, Imuran)
  • take mercaptopurine (Purinethol, Purixan)

What should I tell my doctor before taking febuxostat tablets?

Before taking febuxostat tablets tell your doctor about all of your medical conditions, including if you:



  • have taken allopurinol and what happened to you while you were taking it.
  • have a history of heart disease or stroke.
  • have liver or kidney problems
  • are pregnant or plan to become pregnant. It is not known if febuxostat tablets will harm your unborn baby. Talk with your doctor if you are pregnant or plan to become pregnant.
  • are breastfeeding or plan to breastfeed. It is not known if febuxostat passes into your breast milk. You and your doctor should decide if you should take febuxostat tablets while breastfeeding.

Tell your doctor about all the medicines you take, including prescription and over-the-counter medicines, vitamins, and herbal supplements. Febuxostat tablets may affect the way other medicines work, and other medicines may affect how febuxostat tablets works.



Know the medicines you take. Keep a list of them to show your doctor and pharmacist when you get a new medicine.



How should I take febuxostat tablets?

  • Take febuxostat tablets exactly as your doctor tells you to take it.
  • Febuxostat tablets can be taken with or without food.
  • Febuxostat tablets can be taken with antacids.
  • Your gout may get worse (flare) when you start taking febuxostat tablets, Do not stop taking febuxostat tablets because you have a flare.

Your doctor may do certain tests while you take febuxostat tablets.

What are the possible side effects of febuxostat tablets?

Febuxostat tablets may cause serious side effects, including:

  • Heart problems. See “What is the most important information I should know about febuxostat tablets?.
  • Gout Flares. Gout flares can happen when you start taking febuxostat tablets. Your doctor may give you other medicines to help prevent your gout flares.
  • Liver problems. Liver problems can happen in people who take febuxostat tablets. Your doctor may do blood tests to check how well your liver is working before and during your treatment with febuxostat tablets. Tell your doctor if you get any of the following signs or symptoms of liver problems:

                                                                            
    •  fatigue 
    • dark or “tea-colored” urine
    • loss of appetite for several days or longer 
    • your skin or the white part of your eyes turns yellow (jaundice)
    • pain, aching, or tenderness on the right side of your stomach-area 


  • Severe skin and allergic reactions. Serious skin and allergic reactions that may affect different parts of the body such as your liver, kidneys, heart or lungs, can happen in people who take febuxostat tablets. Call your doctor right away or get emergency medical help if you have any of the following symptoms:
    • rash   
    • sores around the lips, eyes or mouth     
    • red and painful skin    
    • swollen face, lips, mouth, tongue or throat
    • severe skin blisters  
    • flu-like symptoms  
    • peeling skin                           

The most common side effects of febuxostat tablets include:

  • abnormal liver function tests
  • nausea 
  • joint pain
  • rash

These are not all of the possible side effects of febuxostat tablets.

Call your doctor for medical advice about side effects. You may report side effects to FDA at 1-800-FDA-1088.

How should I store febuxostat tablets?

 

  • Store febuxostat tablets at room temperature.
  • Keep febuxostat tablets out of the light.

Keep febuxostat tablets and all medicines out of the reach of children.

General information about the safe and effective use of febuxostat tablets.

Medicines are sometimes prescribed for purposes other than those listed in a Medication Guide. Do not use febuxostat tablets for a condition for which it was not prescribed. Do not give febuxostat tablets to other people, even if they have the same symptoms that you have. It may harm them.

You can ask your doctor or pharmacist for information about febuxostat tablets that is written for health professionals.

What are the ingredients in febuxostat tablets?

Active Ingredient: febuxostat

Inactive ingredients: colloidal silicon dioxide, croscarmellose sodium, hydroxypropyl cellulose, lactose monohydrate, microcrystalline cellulose and magnesium stearate. Febuxostat tablets are coated with polyvinyl alcohol, macrogol, titanium dioxide, talc, D&C yellow #10 aluminum lake, FD&C blue #1/brilliant blue FCF aluminum lake, FD&C blue #2/indigo carmine AL 3%-5% (40 mg), additionally iron oxide yellow (80 mg).

For more information about febuxostat tablets, go to Novadoz Pharmaceuticals LLC or call 1-855-668-2369.

This Medication Guide has been approved by the U.S. Food and Drug Administration.

Manufactured by:

MSN Laboratories Private Limited


Telangana – 509 228,

INDIA

Distributed by:

Novadoz pharmaceuticals LLC


Piscataway, NJ 08854-3714

Issued on: July 2023

8.4 Pediatric Use

Safety and effectiveness of febuxostat  in pediatric patients have not been established.



8.5 Geriatric Use

No dose adjustment is necessary in elderly patients. Of the total number of patients in Studies 1, 2, and 3 (clinical studies of febuxostat in the treatment of gout) [ see Clinical Studies (14.1)], 16% were 65 and over, while 4% were 75 and over. Comparing patients in different age groups, no clinically significant differences in safety or effectiveness were observed but greater sensitivity of some older individuals cannot be ruled out. The Cmax and AUC24 of febuxostat following multiple oral doses of febuxostat in geriatric patients (≥65 years) were similar to those in younger patients (18 to 40 years) [see Clinical Pharmacology ( 12.3 )].

14 Clinical Studies

A serum uric acid level of less than 6 mg/dL is the goal of anti-hyperuricemic therapy and has been established as appropriate for the treatment of gout.

4 Contraindications

Febuxostat is contraindicated in patients being treated with azathioprine or mercaptopurine [see Drug Interactions (7)].

5.3 Hepatic Effects

Cases of fatal and nonfatal hepatic failure in patients taking febuxostat have been reported. During randomized controlled studies, transaminase elevations greater than three times the upper limit of normal (ULN) were observed (AST: 2%, 2%, and ALT: 3%, 2% in febuxostat and allopurinol-treated patients, respectively). No dose-effect relationship for these transaminase elevations was noted [see Clinical Pharmacology (12.3)].

Obtain a liver test panel (serum alanine aminotransferase [ALT], aspartate aminotransferase [AST], alkaline phosphatase, and total bilirubin) as a baseline before initiating febuxostat.

Measure liver tests promptly in patients who report symptoms that may indicate liver injury, including fatigue, anorexia, right upper abdominal discomfort, dark urine or jaundice. In this clinical context, if the patient presents abnormal liver tests (ALT or AST greater than three times the upper limit of the reference range), interrupt febuxostat treatment while investigating the probable cause. Permanently discontinue febuxostat if liver injury is confirmed, and no alternate etiology can be found.

 Permanently discontinue febuxostat in patients who have serum ALT or AST greater than three times the reference range with serum total bilirubin greater than two times the reference range without alternative etiologies because they are at risk for severe drug-induced liver injury. For patients with lesser elevations of serum ALT or bilirubin and with an alternate probable cause, treatment with febuxostat can be used with close monitoring.

6 Adverse Reactions

 The following serious adverse reactions are described elsewhere in the prescribing information:

7 Drug Interactions

Concomitant administration of febuxostat with XO substrate drugs, azathioprine or mercaptopurine could increase plasma concentrations of these drugs resulting in severe toxicity. (7)

8.6 Renal Impairment

No dose adjustment is necessary in patients with mild to moderate renal impairment (Clcr 30 to 89 mL/min). For patients with severe renal impairment (Clcr 15 to 29 mL/min), the recommended dosage of febuxostat is limited to 40 mg once daily see Dosage and Administration (2.2) and Clinical Pharmacology (12.3)].





12.2 Pharmacodynamics

Effect on Uric Acid and Xanthine Concentrations: 

In healthy patients, febuxostat resulted in a dose dependent decrease in 24-hour mean serum uric acid concentrations and an increase in 24-hour mean serum xanthine concentrations. In addition, there was a decrease in the total daily urinary uric acid excretion. Also, there was an increase in total daily urinary xanthine excretion. Percent reduction in 24-hour mean serum uric acid concentrations was between 40% and 55% at the exposure levels of 40 mg and 80 mg daily doses.



Effect on Cardiac Repolarization:

The effect of febuxostat on cardiac repolarization as assessed by the QTc interval was evaluated in normal healthy patients and in patients with gout. Febuxostat in doses up to 300 mg daily (3.75 times the maximum recommended daily dosage), at steady-state, did not demonstrate an effect on the QTc interval.

12.3 Pharmacokinetics

In healthy patients, maximum plasma concentrations (Cmax) and AUC of febuxostat increased in a dose proportional manner following single and multiple doses of 10 mg (0.25 times the lowest recommended dosage) to 120 mg (1.5 times the maximum recommended dosage). There is no accumulation when therapeutic doses are administered every 24 hours. Febuxostat has an apparent mean terminal elimination half-life (t1/2) of approximately 5 to 8 hours. Febuxostat pharmacokinetic parameters for patients with hyperuricemia and gout estimated by population pharmacokinetic analyses were similar to those estimated in healthy patients.



Absorption

The absorption of radiolabeled febuxostat following oral dose administration was estimated to be at least 49% (based on total radioactivity recovered in urine). Maximum plasma concentrations of febuxostat occurred between 1 and 1.5 hours postdose. After multiple oral 40 mg and 80 mg once daily doses, Cmax is approximately 1.6 ± 0.6 mcg/mL (N=30), and 2.6 ± 1.7 mcg/mL (N=227), respectively. Absolute bioavailability of the febuxostat tablet has not been studied.



Following multiple 80 mg once daily doses with a high fat meal, there was a 49% decrease in Cmax and an 18% decrease in AUC, respectively. However, no clinically significant change in the percent decrease in serum uric acid concentration was observed (58% fed vs. 51% fasting). Thus, febuxostat may be taken without regard to food.



Concomitant ingestion of an antacid containing magnesium hydroxide and aluminum hydroxide with an 80 mg single dose of febuxostat has been shown to delay absorption of febuxostat (approximately one hour) and to cause a 31% decrease in Cmax and a 15% decrease in AUC. As AUC rather than Cmax was related to drug effect, change observed in AUC was not considered clinically significant. Therefore, febuxostat may be taken without regard to antacid use.



Distribution

The mean apparent steady state volume of distribution (Vss/F) of febuxostat was approximately 50 L (CV ~40%). The plasma protein binding of febuxostat is approximately 99.2%, (primarily to albumin), and is constant over the concentration range achieved with 40 mg and 80 mg doses.



Metabolism

Febuxostat is extensively metabolized by both conjugation via uridine diphosphate glucuronosyltransferase (UGT) enzymes including UGT1A1, UGT1A3, UGT1A9, and UGT2B7 and oxidation via cytochrome P450 (CYP) enzymes including CYP1A2, 2C8 and 2C9 and non-P450 enzymes. The relative contribution of each enzyme isoform in the metabolism of febuxostat is not clear. The oxidation of the isobutyl side chain leads to the formation of four pharmacologically active hydroxy metabolites, all of which occur in plasma of humans at a much lower extent than febuxostat.



In urine and feces, acyl glucuronide metabolites of febuxostat (~35% of the dose), and oxidative metabolites, 67M-1 (~10% of the dose), 67M-2 (~11% of the dose), and 67M-4, a secondary metabolite from 67M-1 (~14% of the dose), appeared to be the major metabolites of febuxostat in vivo.



Elimination

Febuxostat is eliminated by both hepatic and renal pathways. Following an 80 mg oral dose of 14C-labeled febuxostat, approximately 49% of the dose was recovered in the urine as unchanged febuxostat (3%), the acyl glucuronide of the drug (30%), its known oxidative metabolites and their conjugates (13%), and other unknown metabolites (3%). In addition to the urinary excretion, approximately 45% of the dose was recovered in the feces as the unchanged febuxostat (12%), the acyl glucuronide of the drug (1%), its known oxidative metabolites and their conjugates (25%), and other unknown metabolites (7%).



The apparent mean terminal elimination half-life (t1/2) of febuxostat was approximately 5 to 8 hours.



Specific Populations

Geriatric Patients

The Cmax and AUC of febuxostat and its metabolites following multiple oral doses of febuxostat in geriatric patients(≥65 years) were similar to those in younger patients (18 to 40 years). In addition, the percent decrease in serum uric acid concentration was similar between elderly and younger patients. No dose adjustment is necessary in geriatric patients [see Use in Specific Populations (8.5)].



Patients with Renal Impairment

In a dedicated phase I pharmacokinetics study, following multiple 80 mg doses of febuxostat in healthy patients with mild (Clcr 50 to 80 mL/min), moderate (Clcr 30 to 49 mL/min) or severe renal impairment (Clcr 10 to 29 mL/min), the Cmax of febuxostat did not change relative to patients with normal renal function (Clcr greater than 80 mL/min). AUC and half-life of febuxostat increased in patients with renal impairment in comparison to patients with normal renal function, but values were similar among three renal impairment groups. Mean febuxostat AUC values were up to 1.8 times higher in patients with renal impairment compared to those with normal renal function. Mean Cmax and AUC values for three active metabolites increased up to two  and four-fold, respectively. However, the percent decrease in serum uric acid concentration for patients with renal impairment was comparable to those with normal renal function (58% in normal renal function group and 55% in the severe renal function group).

Based on population pharmacokinetic analysis, following multiple 40 mg or 80 mg doses of febuxostat, the mean oral clearance (CL/F) values of febuxostat in patients with gout and mild (n=334), moderate (n=232) or severe (n=34) renal impairment were decreased by 14%, 34%, and 48%, respectively, compared to patients with normal (n=89) renal function. The corresponding median AUC values of febuxostat at steady-state in patients with renal impairment were increased by 18%, 49%, and 96% after 40 mg dose, and 7%, 45% and 98% after 80 mg dose, respectively, compared to patients with normal renal function.

Febuxostat has not been studied in end stage renal impairment patients who are on dialysis.



Patients with Hepatic Impairment

Following multiple 80 mg doses of febuxostat in patients with mild (Child-Pugh Class A) or moderate (Child-Pugh Class B) hepatic impairment, an average of 20% to 30% increase was observed for both Cmax and AUC24 (total and unbound) in hepatic impairment groups compared to patients with normal hepatic function. In addition, the percent decrease in serum uric acid concentration was comparable between different hepatic groups (62% in healthy group, 49% in mild hepatic impairment group, and 48% in moderate hepatic impairment group). No dose adjustment is necessary in patients with mild or moderate hepatic impairment. No studies have been conducted in patients with severe hepatic impairment (Child-Pugh Class C); caution should be exercised in those patients [see Use in Specific Populations (8.7)].



Male and Female Patients

Following multiple oral doses of febuxostat, the Cmax and AUC24 of febuxostat were 30% and 14% higher in females than in males, respectively. However, weight-corrected Cmax and AUC were similar between the genders. In addition, the percent decrease in serum uric acid concentrations was similar between genders. No dose adjustment is necessary based on gender.



Racial Groups

No specific pharmacokinetic study was conducted to investigate the effects of race.



Drug Interaction Studies



Effect of Febuxostat on Other Drugs



Xanthine Oxidase Substrate Drugs-Azathioprine, Mercaptopurine, and Theophylline

Febuxostat is an XO inhibitor. A drug-drug interaction study evaluating the effect of febuxostat upon the pharmacokinetics of theophylline (an XO substrate) in healthy patients showed that coadministration of febuxostat with theophylline resulted in an approximately 400-fold increase in the amount of 1-methylxanthine, one of the major metabolites of theophylline, excreted in the urine. Since the long-term safety of exposure to 1-methylxanthine in humans is unknown, use with caution when coadministering febuxostat with theophylline.

A drug interaction study of febuxostat and azathioprine has been conducted [see Drug Interactions (7)]. Inhibition of XO by febuxostat caused increased plasma concentrations of 6-mercaptopurine, a metabolite of azathioprine, which may lead to toxicity. Drug interaction studies of febuxostat with other drugs that are metabolized by XO (e.g., mercaptopurine) have not been conducted. Febuxostat is contraindicated in patients being treated with azathioprine or mercaptopurine [see Contraindications (4) and Drug Interactions (7)].

 

Azathioprine and mercaptopurine undergo metabolism via three major metabolic pathways, one of which is mediated by XO. Concomitant administration of allopurinol [a xanthine oxidase inhibitor] with azathioprine or mercaptopurine has been reported to substantially increase plasma concentrations of these drugs. Because febuxostat is a xanthine oxidase inhibitor, it could inhibit the XO-mediated metabolism of mercaptopurine leading to increased plasma concentrations of mercaptopurine that could result in severe toxicity.



P450 Substrate Drugs

In vitro studies have shown that febuxostat does not inhibit P450 enzymes CYP1A2, 2C9, 2C19, 2D6, or 3A4 and it also does not induce CYP1A2, 2B6, 2C9, 2C19, or 3A4 at clinically relevant concentrations. As such, pharmacokinetic interactions between febuxostat and drugs metabolized by these CYP enzymes are unlikely.



Effect of Other Drugs on Febuxostat



Febuxostat is metabolized by conjugation and oxidation via multiple metabolizing enzymes. The relative contribution of each enzyme isoform is not clear. Drug interactions between febuxostat and a drug that inhibits or induces one particular enzyme isoform is in general not expected.



In Vivo Drug Interaction Studies

 

Azathioprine

Concomitant use of febuxostat and azathioprine is contraindicated. Coadministration with febuxostat (40 mg or 120 mg QD) reduced the apparent clearance of mercaptopurine, a XO substrate, by 83.2% to 83.8% following a single oral dose of azathioprine, a prodrug of 6-mercaptopurine. No significant differences were observed in the extent of inhibition of 6-mercaptopurine metabolism by febuxostat 40 mg and 120 mg.

Theophylline

No dose adjustment is necessary for theophylline when coadministered with febuxostat. Administration of febuxostat (80 mg once daily) with theophylline resulted in an increase of 6% in Cmax and 6.5% in AUC of theophylline. These changes were not considered statistically significant. However, the study also showed an approximately 400-fold increase in the amount of 1-methylxanthine (one of the major theophylline metabolites) excreted in urine as a result of XO inhibition by febuxostat. The safety of long-term exposure to 1-methylxanthine has not been evaluated. This should be taken into consideration when deciding to coadminister febuxostat and theophylline.



Colchicine

No dose adjustment is necessary for either febuxostat or colchicine when the two drugs are coadministered. Administration of febuxostat (40 mg once daily) with colchicine (0.6 mg twice daily) resulted in an increase of 12% in Cmax and 7% in AUC24 of febuxostat. In addition, administration of colchicine (0.6 mg twice daily) with febuxostat (120 mg daily) resulted in a less than 11% change in Cmax or AUC of colchicine for both AM and PM doses. These changes were not considered clinically significant.



Naproxen

No dose adjustment is necessary for febuxostat or naproxen when the two drugs are coadministered. Administration of febuxostat (80 mg once daily) with naproxen (500 mg twice daily) resulted in a 28% increase in Cmax and a 40% increase in AUC of febuxostat. The increases were not considered clinically significant. In addition, there were no significant changes in the Cmax or AUC of naproxen (less than 2%).



Indomethacin

No dose adjustment is necessary for either febuxostat or indomethacin when these two drugs are coadministered. Administration of febuxostat (80 mg once daily) with indomethacin (50 mg twice daily) did not result in any significant changes in Cmax or AUC of febuxostat or indomethacin (less than 7%).



Hydrochlorothiazide

No dose adjustment is necessary for febuxostat when coadministered with hydrochlorothiazide. Administration of febuxostat (80 mg) with hydrochlorothiazide (50 mg) did not result in any clinically significant changes in Cmax or AUC of febuxostat (less than 4%), and serum uric acid concentrations were not substantially affected.



Warfarin

No dose adjustment is necessary for warfarin when coadministered with febuxostat. Administration of febuxostat (80 mg once daily) with warfarin had no effect on the pharmacokinetics of warfarin in healthy patients. INR and Factor VII activity were also not affected by the coadministration of febuxostat.



Desipramine

Coadministration of drugs that are CYP2D6 substrates (such as desipramine) with febuxostat are not expected to require dose adjustment. Febuxostat was shown to be a weak inhibitor of CYP2D6 in vitro and in vivo. Administration of febuxostat (120 mg once daily) with desipramine (25 mg) resulted in an increase in Cmax (16%) and AUC (22%) of desipramine, which was associated with a 17% decrease in the 2-hydroxydesipramine to desipramine metabolic ratio (based on AUC).

2.1 Recommended Dosage

The recommended febuxostat tablets dosage is  40 mg or 80 mg once daily.

The recommended starting dosage of febuxostat tablets are 40 mg once daily. For patients who do not achieve a serum uric acid (sUA) less than 6 mg/dL after two weeks, the recommended febuxostat tablets dosage is  80 mg once daily.

Febuxostat tablets can be taken without regard to food or antacid use [see Clinical Pharmacology (12.3)].

Concurrent prophylactic treatment with a non-steroidal anti-inflammatory drug (NSAID) or colchicine is recommended [see Dosage and Administration (2.4) and Warnings and Precautions (5.2)].

8.7 Hepatic Impairment

No dose adjustment is necessary in patients with mild or moderate hepatic impairment (Child-Pugh Class A or B). No studies have been conducted in patients with severe hepatic impairment (Child- Pugh Class C); therefore, caution should be exercised in these patients [see Clinical Pharmacology (12.3)].

13.2 Animal toxicology

A 12-month toxicity study in beagle dogs showed deposition of xanthine crystals and calculi in kidneys at 15 mg/kg (approximately 4 times the MRHD on an AUC basis). A similar effect of calculus formation was noted in rats in a 6-month study due to deposition of xanthine crystals at 48 mg/kg (approximately 31 and 40 times the MRHD on an AUC basis in males and females

respectively).

1 Indications and Usage

Febuxostat tablets are xanthine oxidase (XO) inhibitor indicated for the chronic management of hyperuricemia in adult patients with gout who have an inadequate response to a maximally titrated dose of allopurinol, who are intolerant to allopurinol, or for whom treatment with allopurinol is not advisable.

Limitations of Use:

Febuxostat tablets are not recommended for the treatment of asymptomatic hyperuricemia.  



12.1 Mechanism of Action

Febuxostat, a xanthine oxidase inhibitor, achieves its therapeutic effect by decreasing serum uric acid. Febuxostat is not expected to inhibit other enzymes involved in purine and pyrimidine synthesis and metabolism at therapeutic concentrations.

5.1 Cardiovascular Death

In a cardiovascular (CV) outcome study, gout patients with established CV disease treated with febuxostat had a higher rate of CV death compared to those treated with allopurinol. Sudden cardiac death was the most common cause of adjudicated CV deaths, 2.7% in the febuxostat group (83 of 3,098) as compared to 1.8% in the allopurinol group (56 of 3,092). Febuxostat was similar to allopurinol for nonfatal myocardial infarction (MI), nonfatal stroke and unstable angina with urgent coronary revascularization [see Clinical Studies (14.2)].

Because of the increased risk of CV death, febuxostat should only be used in patients who have an inadequate response to a maximally titrated dose of allopurinol, who are intolerant to allopurinol, or for whom treatment with allopurinol is not advisable [see Indications and Usage (1)].

Consider the risks and benefits of febuxostat when deciding to prescribe or continue patients on febuxostat. Consider use of prophylactic low-dose aspirin therapy in patients with a history of CV disease. Monitor patients for the development of CV events. Inform patients about the symptoms of serious CV events and the steps to take if they occur.

5 Warnings and Precautions


  • Gout Flares: An increase in gout flares is frequently observed after initiation of febuxostat. If a gout flare occurs during treatment, febuxostat need not be discontinued. Prophylactic therapy (i.e., non-steroidal anti-inflammatory drug or colchicine) upon initiation of treatment may be beneficial for up to six months. (2.4, 5.2)
  • Hepatic Effects: Cases of hepatic failure, some fatal, have been reported. If liver injury is detected, promptly interrupt febuxostat and treat cause, if possible, to resolution or stabilization. Permanently discontinue febuxostat if liver injury is confirmed, and no alternate etiology can be found. (5.3
  • Serious Skin Reactions: Serious skin and hypersensitivity reactions, including Stevens-Johnson Syndrome,drug reaction with eosinophilia and systemic symptoms and toxic epidermal necrolysis have been reported in patients taking febuxostat. Discontinue febuxostat if serious skin reactions are suspected. (5.4)
5.4 Serious Skin Reactions

Serious skin and hypersensitivity reactions, including Stevens-Johnson Syndrome, drug reaction with eosinophilia and systemic symptoms (DRESS) and toxic epidermal necrolysis (TEN) have been reported postmarketing in patients taking febuxostat. Discontinue febuxostat if serious skin reactions are suspected [ see Patient Counseling Information (17)]. Many of these patients had reported previous similar skin reactions to allopurinol. Febuxostat should be used with close monitoring in these patients.



2 Dosage and Administration
  • Recommended dosage is 40 mg or 80 mg once daily. The recommended starting dosage is 40 mg once daily. For patients who do not achieve a serum uric acid (sUA) less than 6 mg/dL after 2 weeks, the recommended dosage is 80 mg once daily. (2.1)
  • Patients with severe renal impairment: Limit the dosage to 40 mg once daily. (2.2, 8.6)
  • Flare prophylaxis is recommended upon initiation of febuxostat tablets. (2.4)
  • Can be administered without regard to food or antacid use. (2.1)
8.8 Secondary Hyperuricemia

No studies have been conducted in patients with secondary hyperuricemia (including organ transplant recipients); febuxostat is not recommended for use in patients whom the rate of urate formation is greatly increased (e.g., malignant disease and its treatment, Lesch-Nyhan syndrome). The concentration of xanthine in urine could, in rare cases, rise sufficiently to allow deposition in the urinary tract.

6.2 Postmarketing Experience

The following adverse reactions have been identified during post approval use of febuxostat. Because these reactions are reported voluntarily from a population of uncertain size, it is not always possible to reliably estimate their frequency or establish a causal relationship to drug exposure.

Blood and Lymphatic System Disorders: agranulocytosis, eosinophilia.

Hepatobiliary Disorders: hepatic failure (some fatal), jaundice, serious cases of abnormal liver function test results, liver disorder.

Immune System Disorders: anaphylaxis, anaphylactic reaction.

Musculoskeletal and Connective Tissue Disorders: rhabdomyolysis.

Psychiatric Disorders: psychotic behavior including aggressive thoughts.

Renal and Urinary Disorders: tubulointerstitial nephritis.

Skin and Subcutaneous Tissue Disorders: generalized rash, Stevens-Johnson Syndrome, hypersensitivity skin reactions, erythema multiforme, drug reaction with eosinophilia and systemic symptoms, toxic epidermal necrolysis.  

3 Dosage Forms and Strengths
  • 40 mg tablets are green colored, round shaped, biconvex, film coated tablets debossed with “40” on one side and “F” on other side.
  • 80 mg tablets are yellow colored, capsule shaped, biconvex film coated tablets debossed with “80” on one side and plain surface on other side.
8 Use in Specific Populations
  •  Patients with severe hepatic impairment: No studies have been conducted in this patient population. Caution should be exercised in these patients.  (8.7)
  • Patients with secondary hyperuricemia (including patients being treated for Lesch-Nyhan syndrome or malignant disease, or in organ transplant recipients): febuxostat is not recommended for use as no studies have been conducted in this patient population. (8.8)
Warning: Cardiovascular Death


Gout patients with established cardiovascular (CV) disease treated with febuxostat had a higher rate of CV death compared to those treated with allopurinol in a CV outcomes study [ see Warnings and Precautions (5.1)].

Consider the risks and benefits of febuxostat when deciding to prescribe or continue patients on febuxostat. Febuxostat should only be used in patients who have an inadequate response to a maximally titrated dose of allopurinol, who are intolerant to allopurinol, or for whom treatment with allopurinol is not advisable [ see Indications and Usage (1)].



6.1 Clinical Trials Experience

Because clinical trials are conducted under widely varying conditions, adverse reaction rates observed in the clinical trials of a drug cannot be directly compared to rates in the clinical trials of another drug and may not reflect the rates observed in practice.



In Phase 2 and 3 clinical studies, a  total of 2757 patients with hyperuricemia and gout were treated with febuxostat 40 mg or 80 mg daily. For febuxostat 40 mg, 559 patients were treated for ≥6 months. For febuxostat 80 mg, 1377 patients were treated for ≥6 months, 674 patients were treated for ≥1 year and 515 patients were treated for ≥2 years.In the CARES study, a total of 3098 patients  were treated with febuxostat 40 mg or 80 mg daily; of these, 2155 patients were treated for ≥1 year and 1539 were treated for ≥2 years [ see Clinical Studies (14.2)].



Most Common Adverse Reactions

In three randomized, controlled clinical studies (Studies 1, 2 and 3), which were 6 to 12 months in duration, the following adverse reactions were reported by the treating physician as related to study drug. Table 1 summarizes adverse reactions reported at a rate of at least 1% in febuxostat treatment groups and at least 0.5% greater than placebo.

                                            

 Table 1:  Adverse Reactions Occurring in 1 % of Patients Treated with Febuxostat and at Least 0.5% Greater than  in Patients Receiving Placebo in Controlled Studies

 
  

  

  

 A d verse Reactions

 
 Placebo

 
 Febuxostat

 
   allopurinol*

 
  

 (N=134)

 
 40 mg daily

 (N=757)

 
 80 mg daily

 (N=1279)

 
  

 (N=1277)

 
 Liver Function Abnormalities

 
 0.7%

 
 6.6%

 
 4.6%

 
 4.2%

 
 Nausea

 
 0.7%

 
 1.1%

 
 1.3%

 
 0.8%

 
 Arthralgia

 
 0%

 
 1.1%

 
 0.7%

 
 0.7%

 
 Rash

 
 0.7%

 
 0.5%

 
 1.6%

 
 1.6%

 

*Of the patients who received allopurinol, 10 received 100 mg, 145 received 200 mg, and 1122 received 300 mg, based on level of renal impairment.

The most common adverse reaction leading to discontinuation from therapy was liver function abnormalities in 1.8% of febuxostat 40 mg, 1.2% of febuxostat 80 mg, and in 0.9% of patients treated with allopurinol.

In addition to the adverse reactions presented in Table 1, dizziness was reported in more than 1% of patients treated with febuxostat although not at a rate more than 0.5% greater than placebo.

In the CARES study, liver function abnormalities and diarrhea were reported in more than 1% of patients treated with febuxostat, although not at a rate more than 0.5% greater than allopurinol.

Less Common Adverse Reactions

In clinical studies the following adverse reactions occurred in less than 1% of patients and in more than one subject treated with doses ranging from 40 mg to 240 mg of febuxostat. This list also includes adverse reactions (less than 1% of patients) associated with organ systems from Warnings and Precautions.

Blood and Lymphatic System Disorders: anemia, idiopathic thrombocytopenic purpura, leukocytosis/leukopenia, neutropenia, pancytopenia, splenomegaly, thrombocytopenia.

Cardiac Disorders: angina pectoris, atrial fibrillation/flutter, cardiac murmur, ECG abnormal, palpitations, sinus bradycardia, tachycardia.

Ear and Labyrinth Disorders: deafness, tinnitus, vertigo.

Eye Disorders: vision blurred.

Gastrointestinal Disorders: abdominal distention, abdominal pain, constipation, dry mouth, dyspepsia, flatulence, frequent stools, gastritis, gastroesophageal reflux disease, gastrointestinal discomfort, gingival pain, hematemesis, hyperchlorhydria, hematochezia, mouth ulceration, pancreatitis, peptic ulcer, vomiting.

General Disorders and Administration Site Conditions: asthenia, chest pain/discomfort, edema, fatigue, feeling abnormal, gait disturbance, influenza-like symptoms, mass, pain, thirst.

Hepatobiliary Disorders: cholelithiasis/cholecystitis, hepatic steatosis, hepatitis, hepatomegaly.

Immune System Disorder: hypersensitivity.

Infections and Infestations: herpes zoster.

Procedural Complications: contusion.

Metabolism and Nutrition Disorders: anorexia, appetite decreased/increased, dehydration, diabetes mellitus, hypercholesterolemia, hyperglycemia, hyperlipidemia, hypertriglyceridemia, hypokalemia, weight decreased/increased.

Musculoskeletal and Connective Tissue Disorders: arthritis, joint stiffness, joint swelling, muscle spasms/twitching/tightness/weakness, musculoskeletal pain/stiffness, myalgia.

Nervous System Disorders: altered taste, balance disorder, cerebrovascular accident, Guillain-Barré syndrome, headache, hemiparesis, hypoesthesia, hyposmia, lacunar infarction, lethargy, mental impairment, migraine, paresthesia, somnolence, transient ischemic attack, tremor.

Psychiatric Disorders: agitation, anxiety, depression, insomnia, irritability, libido decreased, nervousness, panic attack, personality change.

Renal and Urinary Disorders: hematuria, nephrolithiasis, pollakiuria, proteinuria, renal failure, renal insufficiency, urgency, incontinence.

Reproductive System and Breast Changes: breast pain, erectile dysfunction, gynecomastia.

Respiratory, Thoracic and Mediastinal Disorders: bronchitis, cough, dyspnea, epistaxis, nasal dryness, paranasal sinus hypersecretion, pharyngeal edema, respiratory tract congestion, sneezing, throat irritation, upper respiratory tract infection.

Skin and Subcutaneous Tissue Disorders: alopecia, angio-edema, dermatitis, dermographism, ecchymosis, eczema, hair color changes, hair growth abnormal, hyperhidrosis, peeling skin, petechiae, photosensitivity, pruritus, purpura, skin discoloration/altered pigmentation, skin lesion, skin odor abnormal, urticaria.

Vascular Disorders: flushing, hot flush, hypertension, hypotension.

Laboratory Parameters: activated partial thromboplastin time prolonged, creatine increased, bicarbonate decreased, sodium increased, EEG abnormal, glucose increased, cholesterol increased, triglycerides increased, amylase increased, potassium increased, TSH increased, platelet count decreased, hematocrit decreased, hemoglobin decreased, MCV increased, RBC decreased, creatinine increased, blood urea increased, BUN/creatinine ratio increased, creatine phosphokinase (CPK) increased, alkaline phosphatase increased, LDH increased, PSA increased, urine output increased/decreased, lymphocyte count decreased, neutrophil count decreased, WBC increased/decreased, coagulation test abnormal, low density lipoprotein (LDL) increased, prothrombin time prolonged, urinary casts, urine positive for white blood cells and protein.

14.2 Cardiovascular Safety Study

A randomized, double-blind, allopurinol-controlled CV outcomes study (CARES) was conducted to evaluate the CV risk of febuxostat (NCT01101035). The study compared the risk of MACE between patients treated with febuxostat (N=3098) and allopurinol-treated patients (N=3092). The primary endpoint was the time to first occurrence of a MACE defined as the composite of CV death, nonfatal MI, nonfatal stroke, or unstable angina with urgent coronary revascularization. The study was designed to exclude a prespecified risk margin of 1.3 for the hazard ratio of MACE. An independent committee conducted a blinded evaluation of serious CV adverse events according to predefined criteria (adjudication) for determination of MACE. The study was event driven and patients were followed until a sufficient number of primary outcome events accrued. The median on-study follow-up time was 2.6 years.

Patients randomized to febuxostat initially received 40 mg once daily which was increased to 80 mg once daily, if their sUA was ≥6mg/dL at Week 2. For patients randomized to allopurinol, those who had normal renal function or mild renal impairment (estimated creatinine clearance (eClcr) ≥60 to  ˂90 mL/minute) initially received 300 mg once daily with 100 mg/day dose increments monthly until either sUA ˂6mg/dL or an allopurinol dosage of 600 mg once daily was achieved; those who had moderate renal impairment (eClcr ≥30 to ˂60 mL/minute) initially received 200 mg once daily with 100 mg/day dose increments monthly until either a sUA ˂6 mg/dL or an allopurinol dosage of 400 mg once daily was achieved.

The mean age of the population was 65 years (range: 44 to 93 years). Most patients were male (84%) and Caucasian (69%). Patients had a diagnosis of gout for approximately 12 years, a mean baseline sUA of 8.7 mg/dL, and 90% had experienced at least one gout flare in the past year. CV history included MI (39%), hospitalization for unstable angina (28%), cardiac revascularization (37%), and stroke (14%). The most prevalent comorbid conditions were hypertension (92%), hyperlipidemia (87%), diabetes mellitus (55%), diabetes mellitus with micro-or macrovascular disease (39%), and renal impairment [92% with an eClcr 30 to 89 mL/minute]. The use of CV disease medication was balanced across treatment groups. Baseline CV disease medications included: ACE inhibitors or ARBs (70%), lipid modifying agents (74%), aspirin (62%), beta-blockers (59%), calcium channel blockers (26%), and nonaspirin antiplatelet medications (31%).

Table 5 shows the study results for the primary MACE composite endpoint and its individual components. For the composite primary endpoint, the febuxostat group was non-inferior compared with the allopurinol group. The rates of nonfatal MI, stroke, and unstable angina with urgent coronary revascularization were similar. There was a higher rate of CV deaths in patients treated with febuxostat (134 CV deaths; 1.5 per 100 PY) than in allopurinol-treated patients (100 CV deaths; 1.1 per 100 PY). Sudden cardiac death was the most common cause of adjudicated CV deaths in the febuxostat group (83 of 3,098; 2.7%) as compared to the allopurinol group (56 of 3,092; 1.8%). The biological plausibility of CV death associated with febuxostat is unclear.

All-cause mortality was higher in the febuxostat group (243 deaths [7.8%]; 2.6 per 100 PY) than the allopurinol group (199 deaths [6.4%]; 2.2 per 100 PY) [Hazard Ratio: 1.22, 95% CI: 1.01, 1.47], due to a higher rate of CV deaths.





Table 5: Patients with MACE in CARES (Cardiovascular Outcomes Study in Patients with Gout)
 

Febuxostat 

N=3098

Allopurinol

N=3092

Hazard Ratio

 

Number of Patients with Event (%)

Rate per 100 PY*

Number of Patients with Event (%)

Rate per 100

PY*

95% CI

Composite of primary endpoint MACE

335 (10.8)

3.8

321 (10.4)

3.7

1.03 (0.89, 1.21)

Cardiovascular Death

134 (4.3)

1.5

100 (3.2)

1.1

1.34 (1.03, 1.73)

Nonfatal MI

111 (3.6)

1.2

118 (3.8)

1.3

0.93 (0.72, 1.21)

Nonfatal stroke

71 (2.3)

0.8

70 (2.3)

0.8

1.01 (0.73, 1.41)

Unstable angina with urgent coronary revascularization

49 (1.6)

0.5

56 (1.8)

0.6

0.86 (0.59, 1.26)

  * Patient Years (PY)



7.2 Cytotoxic Chemotherapy Drugs

Drug interaction studies of febuxostat with cytotoxic chemotherapy have not been conducted. No data are available regarding the safety of febuxostat during cytotoxic chemotherapy.



17 Patient Counseling Information

Advise the patient to read the FDA-approved patient labeling (Medication Guide)

CV Death

Inform patients that gout patients with established CV disease treated with febuxostat had a higher rate of CV death compared to those treated with allopurinol in a CV outcomes study. Inform all patients of the higher rate of CV death with febuxostat compared to allopurinol. Alert all patients (those with and without CV disease) for the development of signs and symptoms of CV events and to seek medical care promptly should they occur [see Warnings and Precautions (5.1)].

Gout Flares

Inform patients that after initiation of febuxostat an increase in gout flares can occur and that is not reason to stop taking the medication. Instruct patients that it is recommended to initiate and continue gout prophylaxis therapy for six months while taking febuxostat [ see Warnings and Precautions (5.2)].

Hepatic Effects

Inform patients that hepatic effects, including fatal ones, have occurred in patients treated with febuxostat. Instruct them to inform their healthcare provider if they experience liver injury symptoms [ see Warnings and Precautions (5.3)].

Serious Skin Reactions

Inform patients that serious skin and hypersensitivity reactions have occurred in patients treated with febuxostat. Instruct patients to discontinue febuxostat if they develop symptoms of these reactions [ see Warnings and Precautions (5.4)].



Manufactured by:

MSN Laboratories Private Limited

Telangana – 509 228,

INDIA

Distributed by:

Novadoz Pharmaceuticals LLC

Piscataway, NJ 08854-3714

Issued on: 

July 2023



16 How Supplied/storage and Handling

Febuxostat 40 mg tablets are green colored, round shaped, biconvex, film coated tablets, debossed with "40" on one side and "F" on other side and supplied as:



Bottles of 30 tablets……….………....….... (NDC 72205-028-30)



Bottles of 90 tablets……………………..... (NDC 72205-028-90)



Bottles of 500 tablets……..……………..... (NDC 72205-028-05)



Febuxostat 80 mg tablets yellow colored, capsule shaped, biconvex, film coated tablets, debossed with "80" on one side and plain on other side and supplied as:   



Bottles of 30 tablets……………………...... (NDC 72205-029-30)



Bottles of 90 tablets……………………...... (NDC 72205-029-90)



Bottles of 100 tablets…………………….... (NDC 72205-029-91)



Bottles of 1000 tablets…………………...... (NDC 72205-029-99)



Protect from light. Store at 25°C (77°F); excursions permitted to 15° to 30°C (59° to 86°F) [See USP Controlled Room Temperature].

2.3 Serum Uric Acid Level Monitoring

Testing for the target serum uric acid level of less than 6 mg/dL may be performed as early as two weeks after initiating febuxostat  tablets therapy.

7.1 Xanthine Oxidase Substrate Drugs

Febuxostat is an XO inhibitor. Based on a drug interaction study in healthy patients, febuxostat altered the metabolism of theophylline (a substrate of XO) in humans [see Clinical Pharmacology (12.3)]. Therefore, use with caution when coadministering febuxostat with theophylline.





A drug interaction study of febuxostat and azathioprine, also metabolized by XO, showed an increase in exposure of 6-mercaptopurine which may lead to toxicity [see Clinical Pharmacology (12.3)]. Drug interaction studies of febuxostat with other drugs that are metabolized by XO (e.g., mercaptopurine) have not been conducted. Febuxostat is contraindicated in patients being treated with azathioprine or mercaptopurine [see Contraindications (4)].

Package Label.principal Display Panel

febuxostat-40mg-container-label-30s pack



febuxostat-40mg-container-label-90s pack



febuxostat-40mg-container-label-500s pack



febuxostat-80mg-container-label-30s pack



febuxostat-80mg-container-label-90s pack

febuxostat-80mg-container-label-100s pack



febuxostat-80mg-container-label-1000s pack





14.1 Management of Hyperuricemia in Gout

The efficacy of febuxostat was demonstrated in three randomized, double-blind, controlled trials in patients with hyperuricemia and gout. Hyperuricemia was defined as a baseline serum uric acid level ≥8 mg/dL.

Study 1 (NCT00430248) randomized patients to: febuxostat 40 mg daily, febuxostat 80 mg daily, or allopurinol (300 mg daily for patients with estimated creatinine clearance (Clcr) ≥60 mL/min or 200 mg daily for patients with estimated Clcr ≥30 mL/min and ≤59 mL/min). The duration of Study 1 was six months.



Study 2 (NCT00174915) randomized patients to: placebo, febuxostat 80 mg daily, febuxostat 120 mg daily, febuxostat 240 mg daily or allopurinol (300 mg daily for patients with a baseline serum creatinine ≤1.5 mg/dL or 100 mg daily for patients with a baseline serum creatinine greater than 1.5 mg/dL and ≤2 mg/dL). The duration of Study 2 was six months.



Study 3 (NCT00102440), a  year study, randomized patients to: Febuxostat 80 mg daily, febuxostat 120 mg daily, or allopurinol 300 mg daily. Patients who completed Study 2 and Study 3 were eligible to enroll in a Phase 3 long-term extension study in which patients received treatment with febuxostat for over three years.

In all three studies, patients received naproxen 250 mg twice daily or colchicine 0.6 mg once or twice daily for gout flare prophylaxis. In Study 1 the duration of prophylaxis was six months; in Study 2 and Study 3 the duration of prophylaxis was eight weeks.

The efficacy of febuxostat was also evaluated in a 4-week dose ranging study which randomized patients to: placebo, febuxostat 40 mg daily, febuxostat 80 mg daily, or febuxostat 120 mg daily. Patients who completed this study were eligible to enroll in a long-term extension study in which patients received treatment with febuxostat for up to five years.

Patients in these studies were representative of the patient population for which febuxostat use is intended. Table 2 summarizes the demographics and baseline characteristics for the Patients enrolled in the studies.

                                                    

 Table 2: Patient Demographics and Baseline Characteristics in Study 1, Study 2, and Study 3

 
 Male

 
 95%

 
 Race: Caucasian

           African American

 
 80%

 10%

 
 Ethnicity: Hispanic or Latino

 
 7%

 
 Alcohol User

 
 67%

 
 Mild to Moderate Renal Insufficiency

 (percent with estimated ClCr less than 90 mL/min)

 
 59%

 
 History of Hypertension

 
 49%

 
 History of Hyperlipidemia

 
 38%

 
 BMI ≥30 kg/m2

 
 63%

 
 Mean BMI

 
 33 kg/m2

 
 Baseline sUA ≥10 mg/dL

 
 36%

 
 Mean baseline sUA

 
 9.7 mg/dL

 
 Experienced a gout flare in previous year

 
 85%

 

  Serum Uric Acid Level less than 6 mg/dL at Final Visit

Febuxostat 80 mg was superior to allopurinol in lowering serum uric acid to less than 6 mg/dL at the final visit. Febuxostat 40 mg daily, although not superior to allopurinol, was effective in lowering serum uric acid to less than 6 mg/dL at the final visit (Table 3 ).

                                           

 Table 3: Proportion of Patients with Serum Uric Acid Levels less than 6 mg/dL at Final Visit

 
  

  

  

  

           Study
Randomization was balanced between treatment groups, except in Study 2 in which twice as many patients were randomized to each of the active treatment groups compared to placebo.


  

 
  

  

  

  

  

          Febuxostat           

40 mg daily

 
  

  

  

  

  

 Febuxostat















80 mg daily

 
  

  

  

  

  

  

 allopurinol

 
  

  

  

  

  

  

 Placebo

 
 Difference in Proportion

 (95% CI)

 
 febuxostat 



 40 mg

 vs

 allopurinol

 
 febuxostat 



 80 mg

 vs

 allopurinol

 
 Study 1

 (6 months)

 (N=2268)

 
 45%

 
 67%

 
 42%

 
  

 
 3%

 (-2%, 8%)

 
 25%

 (20%, 30%)

 
 Study 2

 (6 months) (N=643)

 
  

 
 72%

 
 39%

 
 1%

 
  

 
 33%

 (26%, 42%)

 
 Study 3

 (12 months) (N=491)

 
  

 
 74%

 
 36%

 
  

 
  

 
 38%

 (30%, 46%)

 

 In 76% of febuxostat 80 mg patients, reduction in serum uric acid levels to less than 6 mg/dL was noted by the Week 2 visit. Average serum uric acid levels were maintained at 6 mg/dL or below throughout treatment in 83% of these patients.



In all treatment groups, fewer patients with higher baseline serum urate levels (≥10 mg/dL) and/or tophi achieved the goal of lowering serum uric acid to less than 6 mg/dL at the final visit; however, a higher proportion achieved a serum uric acid less than 6 mg/dL with febuxostat 80 mg than with febuxostat 40 mg or allopurinol.



Study 1 evaluated efficacy in patients with mild to moderate renal impairment (i.e., baseline estimated Clcr less than 90 mL/min). The results in this subgroup of patients are shown in Table 4.

                     

 Table 4: Proportion of Patients with Serum Uric Acid Levels less than 6 mg/dL in Patients with Mild or Moderate Renal Impairment at Final Visit

 
  

  

  

  

 Febuxostat 

 40 mg daily

 (N=479)

 
  

  

  

  

 Febuxostat 

 80 mg daily

 (N=503)

 
  

  

  

  

 allopur inol
Allopurinol patients (n=145) with estimated Clcr ≥30 mL/min and Clcr ≤59 mL/min were dosed at 200 mg daily.


 300 mg daily

 (N=501)

 
 Difference in Proportion

 (95% CI)

 
 Febuxostat

 40 mg

 vs

 allopurinol

 
 Febuxostat

 80 mg

 vs

 allopurinol

 
 50%

 
 72%

 
 42%

 
 7%

 (1%, 14%)

 
 29%

 (23%, 35%)

 


2.4 Recommended Prophylaxis for Gout Flares

Gout flares may occur after initiation of febuxostat tablets due to changing serum uric acid levels resulting in mobilization of urate from tissue deposits. Flare prophylaxis with a non-steroidal anti-inflammatory drug (NSAID) or colchicine is recommended upon initiation of febuxostat tablets. Prophylactic therapy may be beneficial for up to six months [see Clinical Studies (14.1)].



If a gout flare occurs during febuxostat tablets treatment, febuxostat tablets need not be discontinued. The gout flare should be managed concurrently, as appropriate for the individual patient [see Warnings and Precautions ( 5.2)] .

13.1 Carcinogenesis, Mutagenesis, Impairment of Fertility

Two-year carcinogenicity studies were conducted in F344 rats and B6C3F1 mice. Increased transitionalcell papilloma and carcinoma of the urinary bladder was observed at 24 mg/kg (25 times the MRHD on an AUC basis and 18.75 mg/kg (12.5 times the MRHD on an AUC basis) in male rats and female mice,respectively. The urinary bladder neoplasms were secondary to calculus formation in the kidney and urinary bladder.

Febuxostat showed a positive clastogenic response in a chromosomal aberration assay in a Chinese hamster lung fibroblast cell line with and without metabolic activation in vitro. Febuxostat was negative in the following genotoxicity assays: the in vitro Ames assay, in vitro chromosomal aberration assay in human peripheral lymphocytes, the L5178Y mouse lymphoma cell line assay, the in vivo mouse micronucleus assay, and the rat unscheduled DNA synthesis assay.

Fertility and reproductive performance were unaffected in male or female rats that received febuxostat atoral doses up to 48 mg/kg/day (approximately 31 and 40 times the MRHD on an AUC basis in males and females respectively).

2.2 Dosage Recommendations in Patients With Renal Impairment and Hepatic Impairment

The recommended dosage of febuxostat tablets are limited to 40 mg once daily in patients with severe renal impairment. No dose modification is necessary when administering febuxostat tablets in patients with mild or moderate renal impairment [see Use in Specific Populations (8.6) and Clinical Pharmacology (12.3)].

No dosage modification is necessary in patients with mild to moderate hepatic impairment [see Use in Specific Populations (8.7) and Clinical Pharmacology (12.3)].  


Structured Label Content

7.3 in Vivo (7.3 In Vivo)

Based on drug interaction studies in healthy patients, febuxostat does not have clinically significant interactions with colchicine, naproxen, indomethacin, hydrochlorothiazide, warfarin or desipramine [see Clinical Pharmacology (12.3)]. Therefore, febuxostat may be used concomitantly with these medications.

10 Overdosage (10 OVERDOSAGE)

Febuxostat was studied in healthy patients in doses up to 300 mg daily for seven days without evidence of dose-limiting toxicities. No overdose of febuxostat was reported in clinical studies. Patients should be managed by symptomatic and supportive care should there be an overdose.

8.1 Pregnancy

Risk Summary

Limited available data with febuxostat use in pregnant women are insufficient to inform a drug associated risk of adverse developmental outcomes. No adverse developmental effects were observed in embryo-fetal development studies with oral administration of febuxostat to pregnant rats and rabbits during organogenesis at doses that produced maternal exposures up to 40 and 51 times, respectively, the exposure at the maximum recommended human dose (MRHD). No adverse developmental effects were observed in a pre-and postnatal development study with administration of febuxostat to pregnant rats from organogenesis through lactation at an exposure approximately 11 times the MRHD (see Data ).

The estimated background risk of major birth defects and miscarriage for the indicated population is unknown. All pregnancies have a background risk of birth defect, loss, or other adverse outcomes. In the US general population, the estimated background risk of major birth defects and miscarriage in clinically recognized pregnancies is 2 to 4% and 15 to 20%, respectively.

Data

Animal Data

In an embryo-fetal development study in pregnant rats dosed during the period of organogenesis from gestation Days 7 – 17, febuxostat was not teratogenic and did not affect fetal development or survival at exposures up to approximately 40 times the MRHD (on an AUC basis at maternal oral doses up to 48 mg/kg/day). In an embryo-fetal development study in pregnant rabbits dosed during the period of organogenesis from gestation Days 6 – 18, febuxostat was not teratogenic and did not affect fetal development at exposures up to approximately 51 times the MRHD (on an AUC basis at maternal oral doses up to 48 mg/kg/day).

In a pre-and postnatal development study in pregnant female rats dosed orally from gestation Day 7 through lactation Day 20, febuxostat had no effects on delivery or growth and development of offspring at a dose approximately 11 times the MRHD (on an AUC basis at a maternal oral dose of 12 mg/kg/day). However, increased neonatal mortality and a reduction in neonatal body weight gain were observed in the presence of maternal toxicity at a dose approximately 40 times the MRHD (on an AUC basis at a maternal oral dose of 48 mg/kg/day).

Febuxostat crossed the placental barrier following oral administration to pregnant rats and was detected in fetal tissues.

8.2 Lactation

Risk Summary

There are no data on the presence of febuxostat in human milk, the effects on the breastfed infant, or the effects on milk production. Febuxostat is present in rat milk. The developmental and health benefits of breastfeeding should be considered along with the mother’s clinical need for febuxostat and any potential adverse effects on the breastfed child from febuxostat or from the underlying maternal condition.

Data

Animal Data

Orally administered febuxostat was detected in the milk of lactating rats at up to approximately 7 times the plasma concentration.

11 Description (11 DESCRIPTION)

Febuxostat is a xanthine oxidase inhibitor. The active ingredient in febuxostat is 2-[3-cyano-4-(2-methylpropoxy) phenyl]-4-methylthiazole-5-carboxylic acid hemihydrate, with a molecular weight of 325.39. The molecular formula is C16H16N2O3S 1/2 H2O.

The chemical structure is:

Febuxostat is a non-hygroscopic, white to yellowish crystalline powder that is soluble in dimethyl formamide, slightly soluble in methanol and insoluble in water. The melting range is 207oC to 210°C.



Febuxostat tablets for oral use contain the active ingredient, febuxostat, and are available in two dosage strengths, 40 mg and 80 mg. Inactive ingredients include colloidal silicon dioxide, croscarmellose sodium, hydroxypropyl cellulose, lactose monohydrate, microcrystalline cellulose and magnesium stearate. Febuxostat tablets are coated with polyvinyl alcohol, macrogol, titanium dioxide, talc, D&C yellow #10 aluminum lake, FD&C blue #1/brilliant blue FCF aluminum lake, FD&C blue #2/indigo carmine AL 3%-5% (40 mg), additionally iron oxide yellow (80 mg).

5.2 Gout Flares

After initiation of febuxostat, an increase in gout flares is frequently observed. This increase is due to reduction in serum uric acid levels, resulting in mobilization of urate from tissue deposits.

In order to prevent gout flares when febuxostat is initiated, concurrent prophylactic treatment with an NSAID or colchicine is recommended [ see Dosage and Administration (2.4)].



Medication Guide (MEDICATION GUIDE)


                                                                                                                                          FEBUXOSTAT

                                                                                                                                       (fe BUX oh stat)

                                                                                                                                         tablets, for oral use

Read the Medication Guide that comes with febuxostat tablets before you start taking it and each time you get a refill. There may be new information. The Medication Guide does not take the place of talking with your doctor about your medical condition or your treatment.



What is the most important information that I should know about febuxostat tablets?

Febuxostat tablets may cause serious side effects, including:

Heart -related deaths.

Call your doctor or get emergency medical help right away if you have any of the following symptoms, especially if they are new, worse, or worry you:

  • chest pain
  • shortness of breath or trouble breathing
  • dizziness, fainting or feeling lightheaded
  • rapid or irregular heartbeat 
  • numbness or weakness on one side of your body
  • slurring of speech
  • sudden blurry vision or sudden severe headache

What are febuxostat tablets?



Febuxostat tablets are prescription medicine called a xanthine oxidase (XO) inhibitor used to lower blood uric acid levels in adult patients with gout when allopurinol has not worked well enough or when allopurinol is not right for you.

Febuxostat tablets are not for use in people who do not have symptoms of high blood uric acid levels.

It is not known if febuxostat tablets are safe and effective in children.

Who should not take febuxostat tablets?  

Do not take febuxostat tablets if you:

  • take azathioprine (Azasan, Imuran)
  • take mercaptopurine (Purinethol, Purixan)

What should I tell my doctor before taking febuxostat tablets?

Before taking febuxostat tablets tell your doctor about all of your medical conditions, including if you:



  • have taken allopurinol and what happened to you while you were taking it.
  • have a history of heart disease or stroke.
  • have liver or kidney problems
  • are pregnant or plan to become pregnant. It is not known if febuxostat tablets will harm your unborn baby. Talk with your doctor if you are pregnant or plan to become pregnant.
  • are breastfeeding or plan to breastfeed. It is not known if febuxostat passes into your breast milk. You and your doctor should decide if you should take febuxostat tablets while breastfeeding.

Tell your doctor about all the medicines you take, including prescription and over-the-counter medicines, vitamins, and herbal supplements. Febuxostat tablets may affect the way other medicines work, and other medicines may affect how febuxostat tablets works.



Know the medicines you take. Keep a list of them to show your doctor and pharmacist when you get a new medicine.



How should I take febuxostat tablets?

  • Take febuxostat tablets exactly as your doctor tells you to take it.
  • Febuxostat tablets can be taken with or without food.
  • Febuxostat tablets can be taken with antacids.
  • Your gout may get worse (flare) when you start taking febuxostat tablets, Do not stop taking febuxostat tablets because you have a flare.

Your doctor may do certain tests while you take febuxostat tablets.

What are the possible side effects of febuxostat tablets?

Febuxostat tablets may cause serious side effects, including:

  • Heart problems. See “What is the most important information I should know about febuxostat tablets?.
  • Gout Flares. Gout flares can happen when you start taking febuxostat tablets. Your doctor may give you other medicines to help prevent your gout flares.
  • Liver problems. Liver problems can happen in people who take febuxostat tablets. Your doctor may do blood tests to check how well your liver is working before and during your treatment with febuxostat tablets. Tell your doctor if you get any of the following signs or symptoms of liver problems:

                                                                            
    •  fatigue 
    • dark or “tea-colored” urine
    • loss of appetite for several days or longer 
    • your skin or the white part of your eyes turns yellow (jaundice)
    • pain, aching, or tenderness on the right side of your stomach-area 


  • Severe skin and allergic reactions. Serious skin and allergic reactions that may affect different parts of the body such as your liver, kidneys, heart or lungs, can happen in people who take febuxostat tablets. Call your doctor right away or get emergency medical help if you have any of the following symptoms:
    • rash   
    • sores around the lips, eyes or mouth     
    • red and painful skin    
    • swollen face, lips, mouth, tongue or throat
    • severe skin blisters  
    • flu-like symptoms  
    • peeling skin                           

The most common side effects of febuxostat tablets include:

  • abnormal liver function tests
  • nausea 
  • joint pain
  • rash

These are not all of the possible side effects of febuxostat tablets.

Call your doctor for medical advice about side effects. You may report side effects to FDA at 1-800-FDA-1088.

How should I store febuxostat tablets?

 

  • Store febuxostat tablets at room temperature.
  • Keep febuxostat tablets out of the light.

Keep febuxostat tablets and all medicines out of the reach of children.

General information about the safe and effective use of febuxostat tablets.

Medicines are sometimes prescribed for purposes other than those listed in a Medication Guide. Do not use febuxostat tablets for a condition for which it was not prescribed. Do not give febuxostat tablets to other people, even if they have the same symptoms that you have. It may harm them.

You can ask your doctor or pharmacist for information about febuxostat tablets that is written for health professionals.

What are the ingredients in febuxostat tablets?

Active Ingredient: febuxostat

Inactive ingredients: colloidal silicon dioxide, croscarmellose sodium, hydroxypropyl cellulose, lactose monohydrate, microcrystalline cellulose and magnesium stearate. Febuxostat tablets are coated with polyvinyl alcohol, macrogol, titanium dioxide, talc, D&C yellow #10 aluminum lake, FD&C blue #1/brilliant blue FCF aluminum lake, FD&C blue #2/indigo carmine AL 3%-5% (40 mg), additionally iron oxide yellow (80 mg).

For more information about febuxostat tablets, go to Novadoz Pharmaceuticals LLC or call 1-855-668-2369.

This Medication Guide has been approved by the U.S. Food and Drug Administration.

Manufactured by:

MSN Laboratories Private Limited


Telangana – 509 228,

INDIA

Distributed by:

Novadoz pharmaceuticals LLC


Piscataway, NJ 08854-3714

Issued on: July 2023

8.4 Pediatric Use

Safety and effectiveness of febuxostat  in pediatric patients have not been established.



8.5 Geriatric Use

No dose adjustment is necessary in elderly patients. Of the total number of patients in Studies 1, 2, and 3 (clinical studies of febuxostat in the treatment of gout) [ see Clinical Studies (14.1)], 16% were 65 and over, while 4% were 75 and over. Comparing patients in different age groups, no clinically significant differences in safety or effectiveness were observed but greater sensitivity of some older individuals cannot be ruled out. The Cmax and AUC24 of febuxostat following multiple oral doses of febuxostat in geriatric patients (≥65 years) were similar to those in younger patients (18 to 40 years) [see Clinical Pharmacology ( 12.3 )].

14 Clinical Studies (14 CLINICAL STUDIES)

A serum uric acid level of less than 6 mg/dL is the goal of anti-hyperuricemic therapy and has been established as appropriate for the treatment of gout.

4 Contraindications (4 CONTRAINDICATIONS)

Febuxostat is contraindicated in patients being treated with azathioprine or mercaptopurine [see Drug Interactions (7)].

5.3 Hepatic Effects

Cases of fatal and nonfatal hepatic failure in patients taking febuxostat have been reported. During randomized controlled studies, transaminase elevations greater than three times the upper limit of normal (ULN) were observed (AST: 2%, 2%, and ALT: 3%, 2% in febuxostat and allopurinol-treated patients, respectively). No dose-effect relationship for these transaminase elevations was noted [see Clinical Pharmacology (12.3)].

Obtain a liver test panel (serum alanine aminotransferase [ALT], aspartate aminotransferase [AST], alkaline phosphatase, and total bilirubin) as a baseline before initiating febuxostat.

Measure liver tests promptly in patients who report symptoms that may indicate liver injury, including fatigue, anorexia, right upper abdominal discomfort, dark urine or jaundice. In this clinical context, if the patient presents abnormal liver tests (ALT or AST greater than three times the upper limit of the reference range), interrupt febuxostat treatment while investigating the probable cause. Permanently discontinue febuxostat if liver injury is confirmed, and no alternate etiology can be found.

 Permanently discontinue febuxostat in patients who have serum ALT or AST greater than three times the reference range with serum total bilirubin greater than two times the reference range without alternative etiologies because they are at risk for severe drug-induced liver injury. For patients with lesser elevations of serum ALT or bilirubin and with an alternate probable cause, treatment with febuxostat can be used with close monitoring.

6 Adverse Reactions (6 ADVERSE REACTIONS)

 The following serious adverse reactions are described elsewhere in the prescribing information:

7 Drug Interactions (7 DRUG INTERACTIONS)

Concomitant administration of febuxostat with XO substrate drugs, azathioprine or mercaptopurine could increase plasma concentrations of these drugs resulting in severe toxicity. (7)

8.6 Renal Impairment

No dose adjustment is necessary in patients with mild to moderate renal impairment (Clcr 30 to 89 mL/min). For patients with severe renal impairment (Clcr 15 to 29 mL/min), the recommended dosage of febuxostat is limited to 40 mg once daily see Dosage and Administration (2.2) and Clinical Pharmacology (12.3)].





12.2 Pharmacodynamics

Effect on Uric Acid and Xanthine Concentrations: 

In healthy patients, febuxostat resulted in a dose dependent decrease in 24-hour mean serum uric acid concentrations and an increase in 24-hour mean serum xanthine concentrations. In addition, there was a decrease in the total daily urinary uric acid excretion. Also, there was an increase in total daily urinary xanthine excretion. Percent reduction in 24-hour mean serum uric acid concentrations was between 40% and 55% at the exposure levels of 40 mg and 80 mg daily doses.



Effect on Cardiac Repolarization:

The effect of febuxostat on cardiac repolarization as assessed by the QTc interval was evaluated in normal healthy patients and in patients with gout. Febuxostat in doses up to 300 mg daily (3.75 times the maximum recommended daily dosage), at steady-state, did not demonstrate an effect on the QTc interval.

12.3 Pharmacokinetics

In healthy patients, maximum plasma concentrations (Cmax) and AUC of febuxostat increased in a dose proportional manner following single and multiple doses of 10 mg (0.25 times the lowest recommended dosage) to 120 mg (1.5 times the maximum recommended dosage). There is no accumulation when therapeutic doses are administered every 24 hours. Febuxostat has an apparent mean terminal elimination half-life (t1/2) of approximately 5 to 8 hours. Febuxostat pharmacokinetic parameters for patients with hyperuricemia and gout estimated by population pharmacokinetic analyses were similar to those estimated in healthy patients.



Absorption

The absorption of radiolabeled febuxostat following oral dose administration was estimated to be at least 49% (based on total radioactivity recovered in urine). Maximum plasma concentrations of febuxostat occurred between 1 and 1.5 hours postdose. After multiple oral 40 mg and 80 mg once daily doses, Cmax is approximately 1.6 ± 0.6 mcg/mL (N=30), and 2.6 ± 1.7 mcg/mL (N=227), respectively. Absolute bioavailability of the febuxostat tablet has not been studied.



Following multiple 80 mg once daily doses with a high fat meal, there was a 49% decrease in Cmax and an 18% decrease in AUC, respectively. However, no clinically significant change in the percent decrease in serum uric acid concentration was observed (58% fed vs. 51% fasting). Thus, febuxostat may be taken without regard to food.



Concomitant ingestion of an antacid containing magnesium hydroxide and aluminum hydroxide with an 80 mg single dose of febuxostat has been shown to delay absorption of febuxostat (approximately one hour) and to cause a 31% decrease in Cmax and a 15% decrease in AUC. As AUC rather than Cmax was related to drug effect, change observed in AUC was not considered clinically significant. Therefore, febuxostat may be taken without regard to antacid use.



Distribution

The mean apparent steady state volume of distribution (Vss/F) of febuxostat was approximately 50 L (CV ~40%). The plasma protein binding of febuxostat is approximately 99.2%, (primarily to albumin), and is constant over the concentration range achieved with 40 mg and 80 mg doses.



Metabolism

Febuxostat is extensively metabolized by both conjugation via uridine diphosphate glucuronosyltransferase (UGT) enzymes including UGT1A1, UGT1A3, UGT1A9, and UGT2B7 and oxidation via cytochrome P450 (CYP) enzymes including CYP1A2, 2C8 and 2C9 and non-P450 enzymes. The relative contribution of each enzyme isoform in the metabolism of febuxostat is not clear. The oxidation of the isobutyl side chain leads to the formation of four pharmacologically active hydroxy metabolites, all of which occur in plasma of humans at a much lower extent than febuxostat.



In urine and feces, acyl glucuronide metabolites of febuxostat (~35% of the dose), and oxidative metabolites, 67M-1 (~10% of the dose), 67M-2 (~11% of the dose), and 67M-4, a secondary metabolite from 67M-1 (~14% of the dose), appeared to be the major metabolites of febuxostat in vivo.



Elimination

Febuxostat is eliminated by both hepatic and renal pathways. Following an 80 mg oral dose of 14C-labeled febuxostat, approximately 49% of the dose was recovered in the urine as unchanged febuxostat (3%), the acyl glucuronide of the drug (30%), its known oxidative metabolites and their conjugates (13%), and other unknown metabolites (3%). In addition to the urinary excretion, approximately 45% of the dose was recovered in the feces as the unchanged febuxostat (12%), the acyl glucuronide of the drug (1%), its known oxidative metabolites and their conjugates (25%), and other unknown metabolites (7%).



The apparent mean terminal elimination half-life (t1/2) of febuxostat was approximately 5 to 8 hours.



Specific Populations

Geriatric Patients

The Cmax and AUC of febuxostat and its metabolites following multiple oral doses of febuxostat in geriatric patients(≥65 years) were similar to those in younger patients (18 to 40 years). In addition, the percent decrease in serum uric acid concentration was similar between elderly and younger patients. No dose adjustment is necessary in geriatric patients [see Use in Specific Populations (8.5)].



Patients with Renal Impairment

In a dedicated phase I pharmacokinetics study, following multiple 80 mg doses of febuxostat in healthy patients with mild (Clcr 50 to 80 mL/min), moderate (Clcr 30 to 49 mL/min) or severe renal impairment (Clcr 10 to 29 mL/min), the Cmax of febuxostat did not change relative to patients with normal renal function (Clcr greater than 80 mL/min). AUC and half-life of febuxostat increased in patients with renal impairment in comparison to patients with normal renal function, but values were similar among three renal impairment groups. Mean febuxostat AUC values were up to 1.8 times higher in patients with renal impairment compared to those with normal renal function. Mean Cmax and AUC values for three active metabolites increased up to two  and four-fold, respectively. However, the percent decrease in serum uric acid concentration for patients with renal impairment was comparable to those with normal renal function (58% in normal renal function group and 55% in the severe renal function group).

Based on population pharmacokinetic analysis, following multiple 40 mg or 80 mg doses of febuxostat, the mean oral clearance (CL/F) values of febuxostat in patients with gout and mild (n=334), moderate (n=232) or severe (n=34) renal impairment were decreased by 14%, 34%, and 48%, respectively, compared to patients with normal (n=89) renal function. The corresponding median AUC values of febuxostat at steady-state in patients with renal impairment were increased by 18%, 49%, and 96% after 40 mg dose, and 7%, 45% and 98% after 80 mg dose, respectively, compared to patients with normal renal function.

Febuxostat has not been studied in end stage renal impairment patients who are on dialysis.



Patients with Hepatic Impairment

Following multiple 80 mg doses of febuxostat in patients with mild (Child-Pugh Class A) or moderate (Child-Pugh Class B) hepatic impairment, an average of 20% to 30% increase was observed for both Cmax and AUC24 (total and unbound) in hepatic impairment groups compared to patients with normal hepatic function. In addition, the percent decrease in serum uric acid concentration was comparable between different hepatic groups (62% in healthy group, 49% in mild hepatic impairment group, and 48% in moderate hepatic impairment group). No dose adjustment is necessary in patients with mild or moderate hepatic impairment. No studies have been conducted in patients with severe hepatic impairment (Child-Pugh Class C); caution should be exercised in those patients [see Use in Specific Populations (8.7)].



Male and Female Patients

Following multiple oral doses of febuxostat, the Cmax and AUC24 of febuxostat were 30% and 14% higher in females than in males, respectively. However, weight-corrected Cmax and AUC were similar between the genders. In addition, the percent decrease in serum uric acid concentrations was similar between genders. No dose adjustment is necessary based on gender.



Racial Groups

No specific pharmacokinetic study was conducted to investigate the effects of race.



Drug Interaction Studies



Effect of Febuxostat on Other Drugs



Xanthine Oxidase Substrate Drugs-Azathioprine, Mercaptopurine, and Theophylline

Febuxostat is an XO inhibitor. A drug-drug interaction study evaluating the effect of febuxostat upon the pharmacokinetics of theophylline (an XO substrate) in healthy patients showed that coadministration of febuxostat with theophylline resulted in an approximately 400-fold increase in the amount of 1-methylxanthine, one of the major metabolites of theophylline, excreted in the urine. Since the long-term safety of exposure to 1-methylxanthine in humans is unknown, use with caution when coadministering febuxostat with theophylline.

A drug interaction study of febuxostat and azathioprine has been conducted [see Drug Interactions (7)]. Inhibition of XO by febuxostat caused increased plasma concentrations of 6-mercaptopurine, a metabolite of azathioprine, which may lead to toxicity. Drug interaction studies of febuxostat with other drugs that are metabolized by XO (e.g., mercaptopurine) have not been conducted. Febuxostat is contraindicated in patients being treated with azathioprine or mercaptopurine [see Contraindications (4) and Drug Interactions (7)].

 

Azathioprine and mercaptopurine undergo metabolism via three major metabolic pathways, one of which is mediated by XO. Concomitant administration of allopurinol [a xanthine oxidase inhibitor] with azathioprine or mercaptopurine has been reported to substantially increase plasma concentrations of these drugs. Because febuxostat is a xanthine oxidase inhibitor, it could inhibit the XO-mediated metabolism of mercaptopurine leading to increased plasma concentrations of mercaptopurine that could result in severe toxicity.



P450 Substrate Drugs

In vitro studies have shown that febuxostat does not inhibit P450 enzymes CYP1A2, 2C9, 2C19, 2D6, or 3A4 and it also does not induce CYP1A2, 2B6, 2C9, 2C19, or 3A4 at clinically relevant concentrations. As such, pharmacokinetic interactions between febuxostat and drugs metabolized by these CYP enzymes are unlikely.



Effect of Other Drugs on Febuxostat



Febuxostat is metabolized by conjugation and oxidation via multiple metabolizing enzymes. The relative contribution of each enzyme isoform is not clear. Drug interactions between febuxostat and a drug that inhibits or induces one particular enzyme isoform is in general not expected.



In Vivo Drug Interaction Studies

 

Azathioprine

Concomitant use of febuxostat and azathioprine is contraindicated. Coadministration with febuxostat (40 mg or 120 mg QD) reduced the apparent clearance of mercaptopurine, a XO substrate, by 83.2% to 83.8% following a single oral dose of azathioprine, a prodrug of 6-mercaptopurine. No significant differences were observed in the extent of inhibition of 6-mercaptopurine metabolism by febuxostat 40 mg and 120 mg.

Theophylline

No dose adjustment is necessary for theophylline when coadministered with febuxostat. Administration of febuxostat (80 mg once daily) with theophylline resulted in an increase of 6% in Cmax and 6.5% in AUC of theophylline. These changes were not considered statistically significant. However, the study also showed an approximately 400-fold increase in the amount of 1-methylxanthine (one of the major theophylline metabolites) excreted in urine as a result of XO inhibition by febuxostat. The safety of long-term exposure to 1-methylxanthine has not been evaluated. This should be taken into consideration when deciding to coadminister febuxostat and theophylline.



Colchicine

No dose adjustment is necessary for either febuxostat or colchicine when the two drugs are coadministered. Administration of febuxostat (40 mg once daily) with colchicine (0.6 mg twice daily) resulted in an increase of 12% in Cmax and 7% in AUC24 of febuxostat. In addition, administration of colchicine (0.6 mg twice daily) with febuxostat (120 mg daily) resulted in a less than 11% change in Cmax or AUC of colchicine for both AM and PM doses. These changes were not considered clinically significant.



Naproxen

No dose adjustment is necessary for febuxostat or naproxen when the two drugs are coadministered. Administration of febuxostat (80 mg once daily) with naproxen (500 mg twice daily) resulted in a 28% increase in Cmax and a 40% increase in AUC of febuxostat. The increases were not considered clinically significant. In addition, there were no significant changes in the Cmax or AUC of naproxen (less than 2%).



Indomethacin

No dose adjustment is necessary for either febuxostat or indomethacin when these two drugs are coadministered. Administration of febuxostat (80 mg once daily) with indomethacin (50 mg twice daily) did not result in any significant changes in Cmax or AUC of febuxostat or indomethacin (less than 7%).



Hydrochlorothiazide

No dose adjustment is necessary for febuxostat when coadministered with hydrochlorothiazide. Administration of febuxostat (80 mg) with hydrochlorothiazide (50 mg) did not result in any clinically significant changes in Cmax or AUC of febuxostat (less than 4%), and serum uric acid concentrations were not substantially affected.



Warfarin

No dose adjustment is necessary for warfarin when coadministered with febuxostat. Administration of febuxostat (80 mg once daily) with warfarin had no effect on the pharmacokinetics of warfarin in healthy patients. INR and Factor VII activity were also not affected by the coadministration of febuxostat.



Desipramine

Coadministration of drugs that are CYP2D6 substrates (such as desipramine) with febuxostat are not expected to require dose adjustment. Febuxostat was shown to be a weak inhibitor of CYP2D6 in vitro and in vivo. Administration of febuxostat (120 mg once daily) with desipramine (25 mg) resulted in an increase in Cmax (16%) and AUC (22%) of desipramine, which was associated with a 17% decrease in the 2-hydroxydesipramine to desipramine metabolic ratio (based on AUC).

2.1 Recommended Dosage

The recommended febuxostat tablets dosage is  40 mg or 80 mg once daily.

The recommended starting dosage of febuxostat tablets are 40 mg once daily. For patients who do not achieve a serum uric acid (sUA) less than 6 mg/dL after two weeks, the recommended febuxostat tablets dosage is  80 mg once daily.

Febuxostat tablets can be taken without regard to food or antacid use [see Clinical Pharmacology (12.3)].

Concurrent prophylactic treatment with a non-steroidal anti-inflammatory drug (NSAID) or colchicine is recommended [see Dosage and Administration (2.4) and Warnings and Precautions (5.2)].

8.7 Hepatic Impairment

No dose adjustment is necessary in patients with mild or moderate hepatic impairment (Child-Pugh Class A or B). No studies have been conducted in patients with severe hepatic impairment (Child- Pugh Class C); therefore, caution should be exercised in these patients [see Clinical Pharmacology (12.3)].

13.2 Animal toxicology (13.2 Animal Toxicology)

A 12-month toxicity study in beagle dogs showed deposition of xanthine crystals and calculi in kidneys at 15 mg/kg (approximately 4 times the MRHD on an AUC basis). A similar effect of calculus formation was noted in rats in a 6-month study due to deposition of xanthine crystals at 48 mg/kg (approximately 31 and 40 times the MRHD on an AUC basis in males and females

respectively).

1 Indications and Usage (1 INDICATIONS AND USAGE)

Febuxostat tablets are xanthine oxidase (XO) inhibitor indicated for the chronic management of hyperuricemia in adult patients with gout who have an inadequate response to a maximally titrated dose of allopurinol, who are intolerant to allopurinol, or for whom treatment with allopurinol is not advisable.

Limitations of Use:

Febuxostat tablets are not recommended for the treatment of asymptomatic hyperuricemia.  



12.1 Mechanism of Action

Febuxostat, a xanthine oxidase inhibitor, achieves its therapeutic effect by decreasing serum uric acid. Febuxostat is not expected to inhibit other enzymes involved in purine and pyrimidine synthesis and metabolism at therapeutic concentrations.

5.1 Cardiovascular Death

In a cardiovascular (CV) outcome study, gout patients with established CV disease treated with febuxostat had a higher rate of CV death compared to those treated with allopurinol. Sudden cardiac death was the most common cause of adjudicated CV deaths, 2.7% in the febuxostat group (83 of 3,098) as compared to 1.8% in the allopurinol group (56 of 3,092). Febuxostat was similar to allopurinol for nonfatal myocardial infarction (MI), nonfatal stroke and unstable angina with urgent coronary revascularization [see Clinical Studies (14.2)].

Because of the increased risk of CV death, febuxostat should only be used in patients who have an inadequate response to a maximally titrated dose of allopurinol, who are intolerant to allopurinol, or for whom treatment with allopurinol is not advisable [see Indications and Usage (1)].

Consider the risks and benefits of febuxostat when deciding to prescribe or continue patients on febuxostat. Consider use of prophylactic low-dose aspirin therapy in patients with a history of CV disease. Monitor patients for the development of CV events. Inform patients about the symptoms of serious CV events and the steps to take if they occur.

5 Warnings and Precautions (5 WARNINGS AND PRECAUTIONS)


  • Gout Flares: An increase in gout flares is frequently observed after initiation of febuxostat. If a gout flare occurs during treatment, febuxostat need not be discontinued. Prophylactic therapy (i.e., non-steroidal anti-inflammatory drug or colchicine) upon initiation of treatment may be beneficial for up to six months. (2.4, 5.2)
  • Hepatic Effects: Cases of hepatic failure, some fatal, have been reported. If liver injury is detected, promptly interrupt febuxostat and treat cause, if possible, to resolution or stabilization. Permanently discontinue febuxostat if liver injury is confirmed, and no alternate etiology can be found. (5.3
  • Serious Skin Reactions: Serious skin and hypersensitivity reactions, including Stevens-Johnson Syndrome,drug reaction with eosinophilia and systemic symptoms and toxic epidermal necrolysis have been reported in patients taking febuxostat. Discontinue febuxostat if serious skin reactions are suspected. (5.4)
5.4 Serious Skin Reactions

Serious skin and hypersensitivity reactions, including Stevens-Johnson Syndrome, drug reaction with eosinophilia and systemic symptoms (DRESS) and toxic epidermal necrolysis (TEN) have been reported postmarketing in patients taking febuxostat. Discontinue febuxostat if serious skin reactions are suspected [ see Patient Counseling Information (17)]. Many of these patients had reported previous similar skin reactions to allopurinol. Febuxostat should be used with close monitoring in these patients.



2 Dosage and Administration (2 DOSAGE AND ADMINISTRATION)
  • Recommended dosage is 40 mg or 80 mg once daily. The recommended starting dosage is 40 mg once daily. For patients who do not achieve a serum uric acid (sUA) less than 6 mg/dL after 2 weeks, the recommended dosage is 80 mg once daily. (2.1)
  • Patients with severe renal impairment: Limit the dosage to 40 mg once daily. (2.2, 8.6)
  • Flare prophylaxis is recommended upon initiation of febuxostat tablets. (2.4)
  • Can be administered without regard to food or antacid use. (2.1)
8.8 Secondary Hyperuricemia

No studies have been conducted in patients with secondary hyperuricemia (including organ transplant recipients); febuxostat is not recommended for use in patients whom the rate of urate formation is greatly increased (e.g., malignant disease and its treatment, Lesch-Nyhan syndrome). The concentration of xanthine in urine could, in rare cases, rise sufficiently to allow deposition in the urinary tract.

6.2 Postmarketing Experience

The following adverse reactions have been identified during post approval use of febuxostat. Because these reactions are reported voluntarily from a population of uncertain size, it is not always possible to reliably estimate their frequency or establish a causal relationship to drug exposure.

Blood and Lymphatic System Disorders: agranulocytosis, eosinophilia.

Hepatobiliary Disorders: hepatic failure (some fatal), jaundice, serious cases of abnormal liver function test results, liver disorder.

Immune System Disorders: anaphylaxis, anaphylactic reaction.

Musculoskeletal and Connective Tissue Disorders: rhabdomyolysis.

Psychiatric Disorders: psychotic behavior including aggressive thoughts.

Renal and Urinary Disorders: tubulointerstitial nephritis.

Skin and Subcutaneous Tissue Disorders: generalized rash, Stevens-Johnson Syndrome, hypersensitivity skin reactions, erythema multiforme, drug reaction with eosinophilia and systemic symptoms, toxic epidermal necrolysis.  

3 Dosage Forms and Strengths (3 DOSAGE FORMS AND STRENGTHS)
  • 40 mg tablets are green colored, round shaped, biconvex, film coated tablets debossed with “40” on one side and “F” on other side.
  • 80 mg tablets are yellow colored, capsule shaped, biconvex film coated tablets debossed with “80” on one side and plain surface on other side.
8 Use in Specific Populations (8 USE IN SPECIFIC POPULATIONS)
  •  Patients with severe hepatic impairment: No studies have been conducted in this patient population. Caution should be exercised in these patients.  (8.7)
  • Patients with secondary hyperuricemia (including patients being treated for Lesch-Nyhan syndrome or malignant disease, or in organ transplant recipients): febuxostat is not recommended for use as no studies have been conducted in this patient population. (8.8)
Warning: Cardiovascular Death (WARNING: CARDIOVASCULAR DEATH)


Gout patients with established cardiovascular (CV) disease treated with febuxostat had a higher rate of CV death compared to those treated with allopurinol in a CV outcomes study [ see Warnings and Precautions (5.1)].

Consider the risks and benefits of febuxostat when deciding to prescribe or continue patients on febuxostat. Febuxostat should only be used in patients who have an inadequate response to a maximally titrated dose of allopurinol, who are intolerant to allopurinol, or for whom treatment with allopurinol is not advisable [ see Indications and Usage (1)].



6.1 Clinical Trials Experience

Because clinical trials are conducted under widely varying conditions, adverse reaction rates observed in the clinical trials of a drug cannot be directly compared to rates in the clinical trials of another drug and may not reflect the rates observed in practice.



In Phase 2 and 3 clinical studies, a  total of 2757 patients with hyperuricemia and gout were treated with febuxostat 40 mg or 80 mg daily. For febuxostat 40 mg, 559 patients were treated for ≥6 months. For febuxostat 80 mg, 1377 patients were treated for ≥6 months, 674 patients were treated for ≥1 year and 515 patients were treated for ≥2 years.In the CARES study, a total of 3098 patients  were treated with febuxostat 40 mg or 80 mg daily; of these, 2155 patients were treated for ≥1 year and 1539 were treated for ≥2 years [ see Clinical Studies (14.2)].



Most Common Adverse Reactions

In three randomized, controlled clinical studies (Studies 1, 2 and 3), which were 6 to 12 months in duration, the following adverse reactions were reported by the treating physician as related to study drug. Table 1 summarizes adverse reactions reported at a rate of at least 1% in febuxostat treatment groups and at least 0.5% greater than placebo.

                                            

 Table 1:  Adverse Reactions Occurring in 1 % of Patients Treated with Febuxostat and at Least 0.5% Greater than  in Patients Receiving Placebo in Controlled Studies

 
  

  

  

 A d verse Reactions

 
 Placebo

 
 Febuxostat

 
   allopurinol*

 
  

 (N=134)

 
 40 mg daily

 (N=757)

 
 80 mg daily

 (N=1279)

 
  

 (N=1277)

 
 Liver Function Abnormalities

 
 0.7%

 
 6.6%

 
 4.6%

 
 4.2%

 
 Nausea

 
 0.7%

 
 1.1%

 
 1.3%

 
 0.8%

 
 Arthralgia

 
 0%

 
 1.1%

 
 0.7%

 
 0.7%

 
 Rash

 
 0.7%

 
 0.5%

 
 1.6%

 
 1.6%

 

*Of the patients who received allopurinol, 10 received 100 mg, 145 received 200 mg, and 1122 received 300 mg, based on level of renal impairment.

The most common adverse reaction leading to discontinuation from therapy was liver function abnormalities in 1.8% of febuxostat 40 mg, 1.2% of febuxostat 80 mg, and in 0.9% of patients treated with allopurinol.

In addition to the adverse reactions presented in Table 1, dizziness was reported in more than 1% of patients treated with febuxostat although not at a rate more than 0.5% greater than placebo.

In the CARES study, liver function abnormalities and diarrhea were reported in more than 1% of patients treated with febuxostat, although not at a rate more than 0.5% greater than allopurinol.

Less Common Adverse Reactions

In clinical studies the following adverse reactions occurred in less than 1% of patients and in more than one subject treated with doses ranging from 40 mg to 240 mg of febuxostat. This list also includes adverse reactions (less than 1% of patients) associated with organ systems from Warnings and Precautions.

Blood and Lymphatic System Disorders: anemia, idiopathic thrombocytopenic purpura, leukocytosis/leukopenia, neutropenia, pancytopenia, splenomegaly, thrombocytopenia.

Cardiac Disorders: angina pectoris, atrial fibrillation/flutter, cardiac murmur, ECG abnormal, palpitations, sinus bradycardia, tachycardia.

Ear and Labyrinth Disorders: deafness, tinnitus, vertigo.

Eye Disorders: vision blurred.

Gastrointestinal Disorders: abdominal distention, abdominal pain, constipation, dry mouth, dyspepsia, flatulence, frequent stools, gastritis, gastroesophageal reflux disease, gastrointestinal discomfort, gingival pain, hematemesis, hyperchlorhydria, hematochezia, mouth ulceration, pancreatitis, peptic ulcer, vomiting.

General Disorders and Administration Site Conditions: asthenia, chest pain/discomfort, edema, fatigue, feeling abnormal, gait disturbance, influenza-like symptoms, mass, pain, thirst.

Hepatobiliary Disorders: cholelithiasis/cholecystitis, hepatic steatosis, hepatitis, hepatomegaly.

Immune System Disorder: hypersensitivity.

Infections and Infestations: herpes zoster.

Procedural Complications: contusion.

Metabolism and Nutrition Disorders: anorexia, appetite decreased/increased, dehydration, diabetes mellitus, hypercholesterolemia, hyperglycemia, hyperlipidemia, hypertriglyceridemia, hypokalemia, weight decreased/increased.

Musculoskeletal and Connective Tissue Disorders: arthritis, joint stiffness, joint swelling, muscle spasms/twitching/tightness/weakness, musculoskeletal pain/stiffness, myalgia.

Nervous System Disorders: altered taste, balance disorder, cerebrovascular accident, Guillain-Barré syndrome, headache, hemiparesis, hypoesthesia, hyposmia, lacunar infarction, lethargy, mental impairment, migraine, paresthesia, somnolence, transient ischemic attack, tremor.

Psychiatric Disorders: agitation, anxiety, depression, insomnia, irritability, libido decreased, nervousness, panic attack, personality change.

Renal and Urinary Disorders: hematuria, nephrolithiasis, pollakiuria, proteinuria, renal failure, renal insufficiency, urgency, incontinence.

Reproductive System and Breast Changes: breast pain, erectile dysfunction, gynecomastia.

Respiratory, Thoracic and Mediastinal Disorders: bronchitis, cough, dyspnea, epistaxis, nasal dryness, paranasal sinus hypersecretion, pharyngeal edema, respiratory tract congestion, sneezing, throat irritation, upper respiratory tract infection.

Skin and Subcutaneous Tissue Disorders: alopecia, angio-edema, dermatitis, dermographism, ecchymosis, eczema, hair color changes, hair growth abnormal, hyperhidrosis, peeling skin, petechiae, photosensitivity, pruritus, purpura, skin discoloration/altered pigmentation, skin lesion, skin odor abnormal, urticaria.

Vascular Disorders: flushing, hot flush, hypertension, hypotension.

Laboratory Parameters: activated partial thromboplastin time prolonged, creatine increased, bicarbonate decreased, sodium increased, EEG abnormal, glucose increased, cholesterol increased, triglycerides increased, amylase increased, potassium increased, TSH increased, platelet count decreased, hematocrit decreased, hemoglobin decreased, MCV increased, RBC decreased, creatinine increased, blood urea increased, BUN/creatinine ratio increased, creatine phosphokinase (CPK) increased, alkaline phosphatase increased, LDH increased, PSA increased, urine output increased/decreased, lymphocyte count decreased, neutrophil count decreased, WBC increased/decreased, coagulation test abnormal, low density lipoprotein (LDL) increased, prothrombin time prolonged, urinary casts, urine positive for white blood cells and protein.

14.2 Cardiovascular Safety Study

A randomized, double-blind, allopurinol-controlled CV outcomes study (CARES) was conducted to evaluate the CV risk of febuxostat (NCT01101035). The study compared the risk of MACE between patients treated with febuxostat (N=3098) and allopurinol-treated patients (N=3092). The primary endpoint was the time to first occurrence of a MACE defined as the composite of CV death, nonfatal MI, nonfatal stroke, or unstable angina with urgent coronary revascularization. The study was designed to exclude a prespecified risk margin of 1.3 for the hazard ratio of MACE. An independent committee conducted a blinded evaluation of serious CV adverse events according to predefined criteria (adjudication) for determination of MACE. The study was event driven and patients were followed until a sufficient number of primary outcome events accrued. The median on-study follow-up time was 2.6 years.

Patients randomized to febuxostat initially received 40 mg once daily which was increased to 80 mg once daily, if their sUA was ≥6mg/dL at Week 2. For patients randomized to allopurinol, those who had normal renal function or mild renal impairment (estimated creatinine clearance (eClcr) ≥60 to  ˂90 mL/minute) initially received 300 mg once daily with 100 mg/day dose increments monthly until either sUA ˂6mg/dL or an allopurinol dosage of 600 mg once daily was achieved; those who had moderate renal impairment (eClcr ≥30 to ˂60 mL/minute) initially received 200 mg once daily with 100 mg/day dose increments monthly until either a sUA ˂6 mg/dL or an allopurinol dosage of 400 mg once daily was achieved.

The mean age of the population was 65 years (range: 44 to 93 years). Most patients were male (84%) and Caucasian (69%). Patients had a diagnosis of gout for approximately 12 years, a mean baseline sUA of 8.7 mg/dL, and 90% had experienced at least one gout flare in the past year. CV history included MI (39%), hospitalization for unstable angina (28%), cardiac revascularization (37%), and stroke (14%). The most prevalent comorbid conditions were hypertension (92%), hyperlipidemia (87%), diabetes mellitus (55%), diabetes mellitus with micro-or macrovascular disease (39%), and renal impairment [92% with an eClcr 30 to 89 mL/minute]. The use of CV disease medication was balanced across treatment groups. Baseline CV disease medications included: ACE inhibitors or ARBs (70%), lipid modifying agents (74%), aspirin (62%), beta-blockers (59%), calcium channel blockers (26%), and nonaspirin antiplatelet medications (31%).

Table 5 shows the study results for the primary MACE composite endpoint and its individual components. For the composite primary endpoint, the febuxostat group was non-inferior compared with the allopurinol group. The rates of nonfatal MI, stroke, and unstable angina with urgent coronary revascularization were similar. There was a higher rate of CV deaths in patients treated with febuxostat (134 CV deaths; 1.5 per 100 PY) than in allopurinol-treated patients (100 CV deaths; 1.1 per 100 PY). Sudden cardiac death was the most common cause of adjudicated CV deaths in the febuxostat group (83 of 3,098; 2.7%) as compared to the allopurinol group (56 of 3,092; 1.8%). The biological plausibility of CV death associated with febuxostat is unclear.

All-cause mortality was higher in the febuxostat group (243 deaths [7.8%]; 2.6 per 100 PY) than the allopurinol group (199 deaths [6.4%]; 2.2 per 100 PY) [Hazard Ratio: 1.22, 95% CI: 1.01, 1.47], due to a higher rate of CV deaths.





Table 5: Patients with MACE in CARES (Cardiovascular Outcomes Study in Patients with Gout)
 

Febuxostat 

N=3098

Allopurinol

N=3092

Hazard Ratio

 

Number of Patients with Event (%)

Rate per 100 PY*

Number of Patients with Event (%)

Rate per 100

PY*

95% CI

Composite of primary endpoint MACE

335 (10.8)

3.8

321 (10.4)

3.7

1.03 (0.89, 1.21)

Cardiovascular Death

134 (4.3)

1.5

100 (3.2)

1.1

1.34 (1.03, 1.73)

Nonfatal MI

111 (3.6)

1.2

118 (3.8)

1.3

0.93 (0.72, 1.21)

Nonfatal stroke

71 (2.3)

0.8

70 (2.3)

0.8

1.01 (0.73, 1.41)

Unstable angina with urgent coronary revascularization

49 (1.6)

0.5

56 (1.8)

0.6

0.86 (0.59, 1.26)

  * Patient Years (PY)



7.2 Cytotoxic Chemotherapy Drugs

Drug interaction studies of febuxostat with cytotoxic chemotherapy have not been conducted. No data are available regarding the safety of febuxostat during cytotoxic chemotherapy.



17 Patient Counseling Information (17 PATIENT COUNSELING INFORMATION)

Advise the patient to read the FDA-approved patient labeling (Medication Guide)

CV Death

Inform patients that gout patients with established CV disease treated with febuxostat had a higher rate of CV death compared to those treated with allopurinol in a CV outcomes study. Inform all patients of the higher rate of CV death with febuxostat compared to allopurinol. Alert all patients (those with and without CV disease) for the development of signs and symptoms of CV events and to seek medical care promptly should they occur [see Warnings and Precautions (5.1)].

Gout Flares

Inform patients that after initiation of febuxostat an increase in gout flares can occur and that is not reason to stop taking the medication. Instruct patients that it is recommended to initiate and continue gout prophylaxis therapy for six months while taking febuxostat [ see Warnings and Precautions (5.2)].

Hepatic Effects

Inform patients that hepatic effects, including fatal ones, have occurred in patients treated with febuxostat. Instruct them to inform their healthcare provider if they experience liver injury symptoms [ see Warnings and Precautions (5.3)].

Serious Skin Reactions

Inform patients that serious skin and hypersensitivity reactions have occurred in patients treated with febuxostat. Instruct patients to discontinue febuxostat if they develop symptoms of these reactions [ see Warnings and Precautions (5.4)].



Manufactured by:

MSN Laboratories Private Limited

Telangana – 509 228,

INDIA

Distributed by:

Novadoz Pharmaceuticals LLC

Piscataway, NJ 08854-3714

Issued on: 

July 2023



16 How Supplied/storage and Handling (16 HOW SUPPLIED/STORAGE AND HANDLING)

Febuxostat 40 mg tablets are green colored, round shaped, biconvex, film coated tablets, debossed with "40" on one side and "F" on other side and supplied as:



Bottles of 30 tablets……….………....….... (NDC 72205-028-30)



Bottles of 90 tablets……………………..... (NDC 72205-028-90)



Bottles of 500 tablets……..……………..... (NDC 72205-028-05)



Febuxostat 80 mg tablets yellow colored, capsule shaped, biconvex, film coated tablets, debossed with "80" on one side and plain on other side and supplied as:   



Bottles of 30 tablets……………………...... (NDC 72205-029-30)



Bottles of 90 tablets……………………...... (NDC 72205-029-90)



Bottles of 100 tablets…………………….... (NDC 72205-029-91)



Bottles of 1000 tablets…………………...... (NDC 72205-029-99)



Protect from light. Store at 25°C (77°F); excursions permitted to 15° to 30°C (59° to 86°F) [See USP Controlled Room Temperature].

2.3 Serum Uric Acid Level Monitoring

Testing for the target serum uric acid level of less than 6 mg/dL may be performed as early as two weeks after initiating febuxostat  tablets therapy.

7.1 Xanthine Oxidase Substrate Drugs

Febuxostat is an XO inhibitor. Based on a drug interaction study in healthy patients, febuxostat altered the metabolism of theophylline (a substrate of XO) in humans [see Clinical Pharmacology (12.3)]. Therefore, use with caution when coadministering febuxostat with theophylline.





A drug interaction study of febuxostat and azathioprine, also metabolized by XO, showed an increase in exposure of 6-mercaptopurine which may lead to toxicity [see Clinical Pharmacology (12.3)]. Drug interaction studies of febuxostat with other drugs that are metabolized by XO (e.g., mercaptopurine) have not been conducted. Febuxostat is contraindicated in patients being treated with azathioprine or mercaptopurine [see Contraindications (4)].

Package Label.principal Display Panel (PACKAGE LABEL.PRINCIPAL DISPLAY PANEL)

febuxostat-40mg-container-label-30s pack



febuxostat-40mg-container-label-90s pack



febuxostat-40mg-container-label-500s pack



febuxostat-80mg-container-label-30s pack



febuxostat-80mg-container-label-90s pack

febuxostat-80mg-container-label-100s pack



febuxostat-80mg-container-label-1000s pack





14.1 Management of Hyperuricemia in Gout

The efficacy of febuxostat was demonstrated in three randomized, double-blind, controlled trials in patients with hyperuricemia and gout. Hyperuricemia was defined as a baseline serum uric acid level ≥8 mg/dL.

Study 1 (NCT00430248) randomized patients to: febuxostat 40 mg daily, febuxostat 80 mg daily, or allopurinol (300 mg daily for patients with estimated creatinine clearance (Clcr) ≥60 mL/min or 200 mg daily for patients with estimated Clcr ≥30 mL/min and ≤59 mL/min). The duration of Study 1 was six months.



Study 2 (NCT00174915) randomized patients to: placebo, febuxostat 80 mg daily, febuxostat 120 mg daily, febuxostat 240 mg daily or allopurinol (300 mg daily for patients with a baseline serum creatinine ≤1.5 mg/dL or 100 mg daily for patients with a baseline serum creatinine greater than 1.5 mg/dL and ≤2 mg/dL). The duration of Study 2 was six months.



Study 3 (NCT00102440), a  year study, randomized patients to: Febuxostat 80 mg daily, febuxostat 120 mg daily, or allopurinol 300 mg daily. Patients who completed Study 2 and Study 3 were eligible to enroll in a Phase 3 long-term extension study in which patients received treatment with febuxostat for over three years.

In all three studies, patients received naproxen 250 mg twice daily or colchicine 0.6 mg once or twice daily for gout flare prophylaxis. In Study 1 the duration of prophylaxis was six months; in Study 2 and Study 3 the duration of prophylaxis was eight weeks.

The efficacy of febuxostat was also evaluated in a 4-week dose ranging study which randomized patients to: placebo, febuxostat 40 mg daily, febuxostat 80 mg daily, or febuxostat 120 mg daily. Patients who completed this study were eligible to enroll in a long-term extension study in which patients received treatment with febuxostat for up to five years.

Patients in these studies were representative of the patient population for which febuxostat use is intended. Table 2 summarizes the demographics and baseline characteristics for the Patients enrolled in the studies.

                                                    

 Table 2: Patient Demographics and Baseline Characteristics in Study 1, Study 2, and Study 3

 
 Male

 
 95%

 
 Race: Caucasian

           African American

 
 80%

 10%

 
 Ethnicity: Hispanic or Latino

 
 7%

 
 Alcohol User

 
 67%

 
 Mild to Moderate Renal Insufficiency

 (percent with estimated ClCr less than 90 mL/min)

 
 59%

 
 History of Hypertension

 
 49%

 
 History of Hyperlipidemia

 
 38%

 
 BMI ≥30 kg/m2

 
 63%

 
 Mean BMI

 
 33 kg/m2

 
 Baseline sUA ≥10 mg/dL

 
 36%

 
 Mean baseline sUA

 
 9.7 mg/dL

 
 Experienced a gout flare in previous year

 
 85%

 

  Serum Uric Acid Level less than 6 mg/dL at Final Visit

Febuxostat 80 mg was superior to allopurinol in lowering serum uric acid to less than 6 mg/dL at the final visit. Febuxostat 40 mg daily, although not superior to allopurinol, was effective in lowering serum uric acid to less than 6 mg/dL at the final visit (Table 3 ).

                                           

 Table 3: Proportion of Patients with Serum Uric Acid Levels less than 6 mg/dL at Final Visit

 
  

  

  

  

           Study
Randomization was balanced between treatment groups, except in Study 2 in which twice as many patients were randomized to each of the active treatment groups compared to placebo.


  

 
  

  

  

  

  

          Febuxostat           

40 mg daily

 
  

  

  

  

  

 Febuxostat















80 mg daily

 
  

  

  

  

  

  

 allopurinol

 
  

  

  

  

  

  

 Placebo

 
 Difference in Proportion

 (95% CI)

 
 febuxostat 



 40 mg

 vs

 allopurinol

 
 febuxostat 



 80 mg

 vs

 allopurinol

 
 Study 1

 (6 months)

 (N=2268)

 
 45%

 
 67%

 
 42%

 
  

 
 3%

 (-2%, 8%)

 
 25%

 (20%, 30%)

 
 Study 2

 (6 months) (N=643)

 
  

 
 72%

 
 39%

 
 1%

 
  

 
 33%

 (26%, 42%)

 
 Study 3

 (12 months) (N=491)

 
  

 
 74%

 
 36%

 
  

 
  

 
 38%

 (30%, 46%)

 

 In 76% of febuxostat 80 mg patients, reduction in serum uric acid levels to less than 6 mg/dL was noted by the Week 2 visit. Average serum uric acid levels were maintained at 6 mg/dL or below throughout treatment in 83% of these patients.



In all treatment groups, fewer patients with higher baseline serum urate levels (≥10 mg/dL) and/or tophi achieved the goal of lowering serum uric acid to less than 6 mg/dL at the final visit; however, a higher proportion achieved a serum uric acid less than 6 mg/dL with febuxostat 80 mg than with febuxostat 40 mg or allopurinol.



Study 1 evaluated efficacy in patients with mild to moderate renal impairment (i.e., baseline estimated Clcr less than 90 mL/min). The results in this subgroup of patients are shown in Table 4.

                     

 Table 4: Proportion of Patients with Serum Uric Acid Levels less than 6 mg/dL in Patients with Mild or Moderate Renal Impairment at Final Visit

 
  

  

  

  

 Febuxostat 

 40 mg daily

 (N=479)

 
  

  

  

  

 Febuxostat 

 80 mg daily

 (N=503)

 
  

  

  

  

 allopur inol
Allopurinol patients (n=145) with estimated Clcr ≥30 mL/min and Clcr ≤59 mL/min were dosed at 200 mg daily.


 300 mg daily

 (N=501)

 
 Difference in Proportion

 (95% CI)

 
 Febuxostat

 40 mg

 vs

 allopurinol

 
 Febuxostat

 80 mg

 vs

 allopurinol

 
 50%

 
 72%

 
 42%

 
 7%

 (1%, 14%)

 
 29%

 (23%, 35%)

 


2.4 Recommended Prophylaxis for Gout Flares

Gout flares may occur after initiation of febuxostat tablets due to changing serum uric acid levels resulting in mobilization of urate from tissue deposits. Flare prophylaxis with a non-steroidal anti-inflammatory drug (NSAID) or colchicine is recommended upon initiation of febuxostat tablets. Prophylactic therapy may be beneficial for up to six months [see Clinical Studies (14.1)].



If a gout flare occurs during febuxostat tablets treatment, febuxostat tablets need not be discontinued. The gout flare should be managed concurrently, as appropriate for the individual patient [see Warnings and Precautions ( 5.2)] .

13.1 Carcinogenesis, Mutagenesis, Impairment of Fertility

Two-year carcinogenicity studies were conducted in F344 rats and B6C3F1 mice. Increased transitionalcell papilloma and carcinoma of the urinary bladder was observed at 24 mg/kg (25 times the MRHD on an AUC basis and 18.75 mg/kg (12.5 times the MRHD on an AUC basis) in male rats and female mice,respectively. The urinary bladder neoplasms were secondary to calculus formation in the kidney and urinary bladder.

Febuxostat showed a positive clastogenic response in a chromosomal aberration assay in a Chinese hamster lung fibroblast cell line with and without metabolic activation in vitro. Febuxostat was negative in the following genotoxicity assays: the in vitro Ames assay, in vitro chromosomal aberration assay in human peripheral lymphocytes, the L5178Y mouse lymphoma cell line assay, the in vivo mouse micronucleus assay, and the rat unscheduled DNA synthesis assay.

Fertility and reproductive performance were unaffected in male or female rats that received febuxostat atoral doses up to 48 mg/kg/day (approximately 31 and 40 times the MRHD on an AUC basis in males and females respectively).

2.2 Dosage Recommendations in Patients With Renal Impairment and Hepatic Impairment (2.2 Dosage Recommendations in Patients with Renal Impairment and Hepatic Impairment)

The recommended dosage of febuxostat tablets are limited to 40 mg once daily in patients with severe renal impairment. No dose modification is necessary when administering febuxostat tablets in patients with mild or moderate renal impairment [see Use in Specific Populations (8.6) and Clinical Pharmacology (12.3)].

No dosage modification is necessary in patients with mild to moderate hepatic impairment [see Use in Specific Populations (8.7) and Clinical Pharmacology (12.3)].  


Advanced Ingredient Data


Raw Label Data

All Sections (JSON)