Erythromycin Ophthalmic Ointment Usp

Erythromycin Ophthalmic Ointment Usp
SPL v4
SPL
SPL Set ID d0dd105b-1ad4-4dd9-ba26-4fc889050009
Route
OPHTHALMIC
Published
Effective Date 2022-07-01
Document Type 34391-3 HUMAN PRESCRIPTION DRUG LABEL

Drug Facts

Composition & Product

Active Ingredients
Erythromycin (5 mg)
Inactive Ingredients
Petrolatum Mineral Oil

Identifiers & Packaging

Marketing Status
ANDA Active Since 2014-05-08

Description

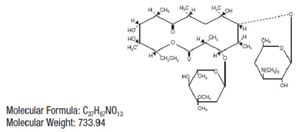
Erythromycin Ophthalmic Ointment belongs to the macrolide group of antibiotics. It is basic and readily forms a salt when combined with an acid. The base, as crystals or powder, is slightly soluble in water, moderately soluble in ether, and readily soluble in alcohol or chloroform. Erythromycin ((3R*,4S*,5S*,6R*,7R*,9R*,11R*,12R*,13S*,14R*)-4-[(2,6-dideoxy-3- C -methyl-3- 0 -methyl-α-L- ribo -hexopyranosyl)oxy]-14-ethyl-7,12,13-trihydroxy-3,5,7,9,11,13-hexamethyl-6-[[3,4,6-trideoxy-3-(dimethylamino)-ß-D- xylo -hexopyranosyl]oxy]oxacyclotetradecane-2,10-dione) is antibiotic produced from a strain of Streptomyces erythraeus . It has the following structural formula: Each gram contains Erythromycin USP 5 mg in a sterile ophthalmic base of mineral oil and white petrolatum.

Indications and Usage

For the treatment of superficial ocular infections involving the conjunctiva and/or cornea caused by organisms susceptible to erythromycin. For prophylaxis of ophthalmia neonatorum due to N. gonorrhoeae or C. trachomatis . The effectiveness of erythromycin in the prevention of ophthalmia caused by penicillinase-producing N. gonorrheae is not established. For infants born to mothers with clinically apparent gonorrhea, intravenous or intramuscular injections of aqueous crystalline penicillin G should be given; a single dose of 50,000 units for term infants or 20,000 units for infants of low birth weight. Topical prophylaxis alone is inadequate for these infants.

Dosage and Administration

In the treatment of superficial ocular infections, a ribbon approximately 1 cm in length of Erythromycin Ophthalmic Ointment should be applied directly to the infected structure up to 6 times daily, depending on the severity of the infection. For prophylaxis of neonatal gonococcal or chlamydial conjunctivitis, a ribbon of ointment approximately 1 cm in length should be instilled into each lower conjunctival sac. The ointment should not be flushed from the eye following instillation. A new tube should be used for each infant.

Contraindications

This drug is contraindicated in patients with a history of hypersensitivity to erythromycin.

Adverse Reactions

The most frequently reported adverse reactions are minor ocular irritations, redness, and hypersensitivity reactions. To report SUSPECTED ADVERSE REACTIONS, contact Perrigo at 1-866-634-9120 or FDA at 1-800-FDA-1088 or www.fda.gov/medwatch .

How Supplied

Sterile Erythromycin Ophthalmic Ointment USP, 5 mg/g as follows: 3.5 g (1/8 oz) tamper-evident tubes NDC 71205-265-35 Store at controlled room temperature 15°-30°C (59°-86°F). Avoid excessive heat. Protect from freezing.


Medication Information

Indications and Usage

For the treatment of superficial ocular infections involving the conjunctiva and/or cornea caused by organisms susceptible to erythromycin. For prophylaxis of ophthalmia neonatorum due to N. gonorrhoeae or C. trachomatis . The effectiveness of erythromycin in the prevention of ophthalmia caused by penicillinase-producing N. gonorrheae is not established. For infants born to mothers with clinically apparent gonorrhea, intravenous or intramuscular injections of aqueous crystalline penicillin G should be given; a single dose of 50,000 units for term infants or 20,000 units for infants of low birth weight. Topical prophylaxis alone is inadequate for these infants.

Dosage and Administration

In the treatment of superficial ocular infections, a ribbon approximately 1 cm in length of Erythromycin Ophthalmic Ointment should be applied directly to the infected structure up to 6 times daily, depending on the severity of the infection. For prophylaxis of neonatal gonococcal or chlamydial conjunctivitis, a ribbon of ointment approximately 1 cm in length should be instilled into each lower conjunctival sac. The ointment should not be flushed from the eye following instillation. A new tube should be used for each infant.

Contraindications

This drug is contraindicated in patients with a history of hypersensitivity to erythromycin.

Adverse Reactions

The most frequently reported adverse reactions are minor ocular irritations, redness, and hypersensitivity reactions. To report SUSPECTED ADVERSE REACTIONS, contact Perrigo at 1-866-634-9120 or FDA at 1-800-FDA-1088 or www.fda.gov/medwatch .

How Supplied

Sterile Erythromycin Ophthalmic Ointment USP, 5 mg/g as follows:

3.5 g (1/8 oz) tamper-evident tubes NDC 71205-265-35

Store at controlled room temperature 15°-30°C (59°-86°F). Avoid excessive heat.

Protect from freezing.

Description

Erythromycin Ophthalmic Ointment belongs to the macrolide group of antibiotics. It is basic and readily forms a salt when combined with an acid. The base, as crystals or powder, is slightly soluble in water, moderately soluble in ether, and readily soluble in alcohol or chloroform. Erythromycin ((3R*,4S*,5S*,6R*,7R*,9R*,11R*,12R*,13S*,14R*)-4-[(2,6-dideoxy-3- C -methyl-3- 0 -methyl-α-L- ribo -hexopyranosyl)oxy]-14-ethyl-7,12,13-trihydroxy-3,5,7,9,11,13-hexamethyl-6-[[3,4,6-trideoxy-3-(dimethylamino)-ß-D- xylo -hexopyranosyl]oxy]oxacyclotetradecane-2,10-dione) is antibiotic produced from a strain of Streptomyces erythraeus . It has the following structural formula: Each gram contains Erythromycin USP 5 mg in a sterile ophthalmic base of mineral oil and white petrolatum.

Section 42229-5

Manufactured For

Perrigo®

Minneapolis, MN 55427

Relabeled by:

Proficient Rx LP

Thousand Oaks, CA 91320

SW700 RC J1 Rev 09-13 A

R1013

Ini 0813

General:

The use of antimicrobial agents may be associated with the overgrowth of nonsusceptible organisms including fungi; in such a case, antibiotic administration should be stopped and appropriate measures taken.

Description:

Erythromycin Ophthalmic Ointment belongs to the macrolide group of antibiotics. It is basic and readily forms a salt when combined with an acid. The base, as crystals or powder, is slightly soluble in water, moderately soluble in ether, and readily soluble in alcohol or chloroform. Erythromycin ((3R*,4S*,5S*,6R*,7R*,9R*,11R*,12R*,13S*,14R*)-4-[(2,6-dideoxy-3-C-methyl-3-0-methyl-α-L-ribo-hexopyranosyl)oxy]-14-ethyl-7,12,13-trihydroxy-3,5,7,9,11,13-hexamethyl-6-[[3,4,6-trideoxy-3-(dimethylamino)-ß-D-xylo-hexopyranosyl]oxy]oxacyclotetradecane-2,10-dione) is antibiotic produced from a strain of Streptomyces erythraeus. It has the following structural formula:

Each gram contains Erythromycin USP 5 mg in a sterile ophthalmic base of mineral oil and white petrolatum.

Microbiology:

Erythromycin inhibits protein synthesis without affecting nucleic acid synthesis. Erythromycin is usually active against the following organisms in vitro and in clinical infections:

Streptococcus pyogenes (group A ß-hemolytic)

Alpha-hemolytic streptococci (viridans group)

Staphylococcus aureus, including penicillinase-producing strains (methicillin-resistant staphylococci are uniformly resistant to erythromycin)

Streptococcus pneumonia

Mycoplasma pneumoniae (Eaton Agent, PPLO)

Haemophilus influenzae (not all strains of this organism are susceptible at the erythromycin concentrations ordinarily achieved)

Treponema pallidum

Corynebacterium diphtheriae

Neisseria gonorrhoeae

Chlamydia trachomatis

Pediatric Use:

See INDICATIONS AND USAGE and DOSAGE AND ADMINISTRATION.

Nursing Mothers:

Caution should be exercised when erythromycin is administered to a nursing woman.

Adverse Reactions:

The most frequently reported adverse reactions are minor ocular irritations, redness, and hypersensitivity reactions.

To report SUSPECTED ADVERSE REACTIONS, contact Perrigo at 1-866-634-9120 or FDA at 1-800-FDA-1088 or www.fda.gov/medwatch.

Contraindications:

This drug is contraindicated in patients with a history of hypersensitivity to erythromycin.

Pregnancy Category B.

Reproduction studies have been performed in rats, mice, and rabbits using erythromycin and its various salts and esters, at doses that were several multiples of the usual human dose. No evidence of harm to the fetus that appeared related to erythromycin was reported in these studies. There are, however, no adequate and well controlled studies in pregnant women. Because animal reproductive studies are not always predictive of human response, the erythromycins should be used during pregnancy only if clearly needed.

Indications and Usage:

For the treatment of superficial ocular infections involving the conjunctiva and/or cornea caused by organisms susceptible to erythromycin.

For prophylaxis of ophthalmia neonatorum due to N. gonorrhoeae or C. trachomatis. The effectiveness of erythromycin in the prevention of ophthalmia caused by penicillinase-producing N. gonorrheae is not established.

For infants born to mothers with clinically apparent gonorrhea, intravenous or intramuscular injections of aqueous crystalline penicillin G should be given; a single dose of 50,000 units for term infants or 20,000 units for infants of low birth weight. Topical prophylaxis alone is inadequate for these infants.

Information for Patients:

Avoid contaminating the applicator tip with material from the eye, fingers, or other source.

Dosage and Administration:

In the treatment of superficial ocular infections, a ribbon approximately 1 cm in length of Erythromycin Ophthalmic Ointment should be applied directly to the infected structure up to 6 times daily, depending on the severity of the infection. For prophylaxis of neonatal gonococcal or chlamydial conjunctivitis, a ribbon of ointment approximately 1 cm in length should be instilled into each lower conjunctival sac. The ointment should not be flushed from the eye following instillation. A new tube should be used for each infant.

Package/label Display Panel Label

Rx Only

NDC 71205-265-35

Erythromycin Ophthalmic Ointment USP

NET WT 3.5 g (1/8 OZ)

STERILE

Carcinogenesis, Mutagenesis, Impairment of Fertility:

Two year oral studies conducted in rats with erythromycin did not provide evidence of tumorigenicity. Mutagenicity studies have not been conducted.

No evidence of impaired fertility that appeared related to erythromycin was reported in animal studies.


Structured Label Content

Section 42229-5 (42229-5)

Manufactured For

Perrigo®

Minneapolis, MN 55427

Relabeled by:

Proficient Rx LP

Thousand Oaks, CA 91320

SW700 RC J1 Rev 09-13 A

R1013

Ini 0813

General:

The use of antimicrobial agents may be associated with the overgrowth of nonsusceptible organisms including fungi; in such a case, antibiotic administration should be stopped and appropriate measures taken.

Description: (DESCRIPTION:)

Erythromycin Ophthalmic Ointment belongs to the macrolide group of antibiotics. It is basic and readily forms a salt when combined with an acid. The base, as crystals or powder, is slightly soluble in water, moderately soluble in ether, and readily soluble in alcohol or chloroform. Erythromycin ((3R*,4S*,5S*,6R*,7R*,9R*,11R*,12R*,13S*,14R*)-4-[(2,6-dideoxy-3-C-methyl-3-0-methyl-α-L-ribo-hexopyranosyl)oxy]-14-ethyl-7,12,13-trihydroxy-3,5,7,9,11,13-hexamethyl-6-[[3,4,6-trideoxy-3-(dimethylamino)-ß-D-xylo-hexopyranosyl]oxy]oxacyclotetradecane-2,10-dione) is antibiotic produced from a strain of Streptomyces erythraeus. It has the following structural formula:

Each gram contains Erythromycin USP 5 mg in a sterile ophthalmic base of mineral oil and white petrolatum.

How Supplied (HOW SUPPLIED)

Sterile Erythromycin Ophthalmic Ointment USP, 5 mg/g as follows:

3.5 g (1/8 oz) tamper-evident tubes NDC 71205-265-35

Store at controlled room temperature 15°-30°C (59°-86°F). Avoid excessive heat.

Protect from freezing.

Microbiology:

Erythromycin inhibits protein synthesis without affecting nucleic acid synthesis. Erythromycin is usually active against the following organisms in vitro and in clinical infections:

Streptococcus pyogenes (group A ß-hemolytic)

Alpha-hemolytic streptococci (viridans group)

Staphylococcus aureus, including penicillinase-producing strains (methicillin-resistant staphylococci are uniformly resistant to erythromycin)

Streptococcus pneumonia

Mycoplasma pneumoniae (Eaton Agent, PPLO)

Haemophilus influenzae (not all strains of this organism are susceptible at the erythromycin concentrations ordinarily achieved)

Treponema pallidum

Corynebacterium diphtheriae

Neisseria gonorrhoeae

Chlamydia trachomatis

Pediatric Use:

See INDICATIONS AND USAGE and DOSAGE AND ADMINISTRATION.

Nursing Mothers:

Caution should be exercised when erythromycin is administered to a nursing woman.

Adverse Reactions: (ADVERSE REACTIONS:)

The most frequently reported adverse reactions are minor ocular irritations, redness, and hypersensitivity reactions.

To report SUSPECTED ADVERSE REACTIONS, contact Perrigo at 1-866-634-9120 or FDA at 1-800-FDA-1088 or www.fda.gov/medwatch.

Contraindications: (CONTRAINDICATIONS:)

This drug is contraindicated in patients with a history of hypersensitivity to erythromycin.

Pregnancy Category B.

Reproduction studies have been performed in rats, mice, and rabbits using erythromycin and its various salts and esters, at doses that were several multiples of the usual human dose. No evidence of harm to the fetus that appeared related to erythromycin was reported in these studies. There are, however, no adequate and well controlled studies in pregnant women. Because animal reproductive studies are not always predictive of human response, the erythromycins should be used during pregnancy only if clearly needed.

Indications and Usage: (INDICATIONS AND USAGE:)

For the treatment of superficial ocular infections involving the conjunctiva and/or cornea caused by organisms susceptible to erythromycin.

For prophylaxis of ophthalmia neonatorum due to N. gonorrhoeae or C. trachomatis. The effectiveness of erythromycin in the prevention of ophthalmia caused by penicillinase-producing N. gonorrheae is not established.

For infants born to mothers with clinically apparent gonorrhea, intravenous or intramuscular injections of aqueous crystalline penicillin G should be given; a single dose of 50,000 units for term infants or 20,000 units for infants of low birth weight. Topical prophylaxis alone is inadequate for these infants.

Information for Patients:

Avoid contaminating the applicator tip with material from the eye, fingers, or other source.

Dosage and Administration: (DOSAGE AND ADMINISTRATION:)

In the treatment of superficial ocular infections, a ribbon approximately 1 cm in length of Erythromycin Ophthalmic Ointment should be applied directly to the infected structure up to 6 times daily, depending on the severity of the infection. For prophylaxis of neonatal gonococcal or chlamydial conjunctivitis, a ribbon of ointment approximately 1 cm in length should be instilled into each lower conjunctival sac. The ointment should not be flushed from the eye following instillation. A new tube should be used for each infant.

Package/label Display Panel Label (Package/Label Display Panel - Label)

Rx Only

NDC 71205-265-35

Erythromycin Ophthalmic Ointment USP

NET WT 3.5 g (1/8 OZ)

STERILE

Carcinogenesis, Mutagenesis, Impairment of Fertility:

Two year oral studies conducted in rats with erythromycin did not provide evidence of tumorigenicity. Mutagenicity studies have not been conducted.

No evidence of impaired fertility that appeared related to erythromycin was reported in animal studies.


Advanced Ingredient Data


Raw Label Data

All Sections (JSON)