Metaxalone Tablets, Usp

Metaxalone Tablets, Usp
SPL v2
SPL
SPL Set ID d0276e7b-a1c9-61f3-e053-2a95a90ae3aa
Route
ORAL
Published
Effective Date 2021-11-01
Document Type 34391-3 HUMAN PRESCRIPTION DRUG LABEL

Drug Facts

Composition & Product

Active Ingredients
Metaxalone (400 mg)
Inactive Ingredients
Alginic Acid Starch, Corn Ferric Oxide Red Copovidone K25-31 Magnesium Stearate Povidone, Unspecified Sodium Alginate

Identifiers & Packaging

Pill Appearance
Imprint: SG;474 Shape: round Color: pink Size: 11 mm Score: 1
Marketing Status
ANDA Active Since 2021-11-01

Description

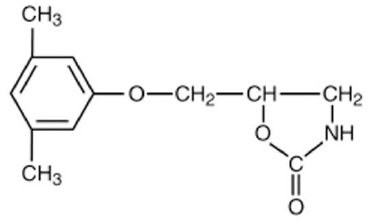
Metaxalone Tablets, USP are available as 400mg, 400mg tablets are round shaped, light pink tablets. Chemically, metaxalone, USP is 5-[(3,5-dimethylphenoxy)methyl]-2-oxazolidinone. The empirical formula is C 12 H 15 NO 3 , which corresponds to a molecular weight of 221.25. The structural formula is: Metaxalone, USP is a white to almost white, crystalline powder freely soluble in dichloromethane, soluble in methanol, sparingly soluble in ethanol and ethyl acetate, slightly soluble in toluene and isopropanol, insoluble in water and n -hexane. Each tablet contains 400 mg metaxalone, USP and the following inactive ingredients: alginic acid, corn starch, ferric oxide red, copovidone, magnesium stearate, povidone, pregelatinized starch, sodium alginate.

Indications and Usage

Metaxalone is indicated as an adjunct to rest, physical therapy, and other measures for the relief of discomforts associated with acute, painful musculoskeletal conditions. The mode of action of this drug has not been clearly identified, but may be related to its sedative properties. Metaxalone does not directly relax tense skeletal muscles in man.

Contraindications

Known hypersensitivity to any components of this product. Known tendency to drug induced, hemolytic, or other anemias. Significantly impaired renal or hepatic function.

Adverse Reactions

The most frequent reactions to metaxalone include: CNS: drowsiness, dizziness, headache, and nervousness or “irritability”; Digestive: nausea, vomiting, gastrointestinal upset. Other adverse reactions are: Immune System: anaphylaxis, hypersensitivity reaction, rash with or without pruritus; Hematologic: leukopenia; hemolytic anemia; Hepatobiliary: jaundice. CNS: cases of serotonin syndrome, a potentially life-threatening condition, have been reported during concomitant use of serotonergic drugs with metaxalone used within the recommended dosage range and with metaxalone as a single agent taken at doses higher than the recommended dose (see WARNINGS , PRECAUTIONS: Drug Interactions , and OVERDOSAGE ). To report SUSPECTED ADVERSE REACTIONS, contact SCIEGEN PHARMACEUTICALS, INC., at 1-855-724-3436 or FDA at 1-800-FDA-1088 or http://www.fda.gov/medwatch

Drug Interactions

CNS Depressants: The sedative effects of metaxalone and other CNS depressants (e.g., alcohol, benzodiazepines, opioids, tricyclic antidepressants (TCAs)) may be additive. Exercise caution with patients who take more than one of these CNS depressants simultaneously. Follow patients closely for signs and symptoms of respiratory depression and sedation (see WARNINGS ). Serotonergic Drugs: Serotonin syndrome has resulted from concomitant use of serotonergic drugs with metaxalone used within the recommended dosage range (see WARNINGS ). If concomitant use is warranted, carefully observe the patient, particularly during treatment initiation and dose adjustment. Discontinue metaxalone if serotonin syndrome is suspected. Examples of serotonergic drugs include: selective serotonin reuptake inhibitors (SSRIs), serotonin and norepinephrine reuptake inhibitors (SNRIs), tricyclic antidepressants (TCAs), triptans, 5-HT3 receptor antagonists, opioids (particularly fentanyl, meperidine, and methadone), drugs that affect the serotonin neurotransmitter system (e.g., mirtazapine, trazodone, tramadol), monoamine oxidase (MAO) inhibitors (those intended to treat psychiatric disorders and also others, such as linezolid and intravenous methylene blue).


Medication Information

Indications and Usage

Metaxalone is indicated as an adjunct to rest, physical therapy, and other measures for the relief of discomforts associated with acute, painful musculoskeletal conditions. The mode of action of this drug has not been clearly identified, but may be related to its sedative properties. Metaxalone does not directly relax tense skeletal muscles in man.

Dosage and Administration

DOSAGE AND ADMINISTRATION

The recommended dose for adults and children over 12 years of age is two 400 mg tablets (800 mg) three to four times a day.

Dosage Forms and Strengths

HOW SUPPLIED







Metaxalone Tablets, USP 400 mg are available as light pink, round shaped tablet debossed with ‘SG 474’ on one side and plain on the other.

NDC 0276-0508-10: Bottles of 100 Tablets

Store at 20° to 25°C (68° to 77°F); excursions permitted to 15° to 30°C (59° to 86°F) [See USP Controlled Room Temperature]. Dispense in well-closed, light-resistant containers.

Rx Only

Manufactured by:



ScieGen Pharmaceuticals, Inc.



Hauppauge, NY 11788

Rev: 04/20

Contraindications

Known hypersensitivity to any components of this product.

Known tendency to drug induced, hemolytic, or other anemias.

Significantly impaired renal or hepatic function.

Adverse Reactions

The most frequent reactions to metaxalone include:

CNS: drowsiness, dizziness, headache, and nervousness or “irritability”;

Digestive: nausea, vomiting, gastrointestinal upset.

Other adverse reactions are:

Immune System: anaphylaxis, hypersensitivity reaction, rash with or without pruritus;

Hematologic: leukopenia; hemolytic anemia;

Hepatobiliary: jaundice.

CNS: cases of serotonin syndrome, a potentially life-threatening condition, have been reported during concomitant use of serotonergic drugs with metaxalone used within the recommended dosage range and with metaxalone as a single agent taken at doses higher than the recommended dose (see WARNINGS, PRECAUTIONS: Drug Interactions, and OVERDOSAGE).

To report SUSPECTED ADVERSE REACTIONS, contact SCIEGEN PHARMACEUTICALS, INC., at 1-855-724-3436 or FDA at 1-800-FDA-1088 or http://www.fda.gov/medwatch

Drug Interactions

CNS Depressants:

The sedative effects of metaxalone and other CNS depressants (e.g., alcohol, benzodiazepines, opioids, tricyclic antidepressants (TCAs)) may be additive. Exercise caution with patients who take more than one of these CNS depressants simultaneously. Follow patients closely for signs and symptoms of respiratory depression and sedation (see WARNINGS).

Serotonergic Drugs:

Serotonin syndrome has resulted from concomitant use of serotonergic drugs with metaxalone used within the recommended dosage range (see WARNINGS). If concomitant use is warranted, carefully observe the patient, particularly during treatment initiation and dose adjustment. Discontinue metaxalone if serotonin syndrome is suspected.

Examples of serotonergic drugs include: selective serotonin reuptake inhibitors (SSRIs), serotonin and norepinephrine reuptake inhibitors (SNRIs), tricyclic antidepressants (TCAs), triptans, 5-HT3 receptor antagonists, opioids (particularly fentanyl, meperidine, and methadone), drugs that affect the serotonin neurotransmitter system (e.g., mirtazapine, trazodone, tramadol), monoamine oxidase (MAO) inhibitors (those intended to treat psychiatric disorders and also others, such as linezolid and intravenous methylene blue).

Description

Metaxalone Tablets, USP are available as 400mg, 400mg tablets are round shaped, light pink tablets.



Chemically, metaxalone, USP is 5-[(3,5-dimethylphenoxy)methyl]-2-oxazolidinone. The empirical formula is C 12H 15NO 3, which corresponds to a molecular weight of 221.25. The structural formula is:

Metaxalone, USP is a white to almost white, crystalline powder freely soluble in dichloromethane, soluble in methanol, sparingly soluble in ethanol and ethyl acetate, slightly soluble in toluene and isopropanol, insoluble in water and n-hexane.

Each tablet contains 400 mg metaxalone, USP and the following inactive ingredients: alginic acid, corn starch, ferric oxide red, copovidone, magnesium stearate, povidone, pregelatinized starch, sodium alginate.

Section 34080-2

Nursing Mothers

It is not known whether this drug is secreted in human milk. As a general rule, nursing should not be undertaken while a patient is on a drug since many drugs are excreted in human milk.

Section 34081-0

Pediatric Use

Safety and effectiveness in children 12 years of age and below have not been established.

Section 34088-5

OVERDOSAGE

Deaths by deliberate or accidental overdose have occurred with metaxalone, particularly in combination with antidepressants, and have been reported with this class of drug in combination with alcohol.

Serotonin syndrome has been reported when metaxalone was used at doses higher than the recommended dose (see WARNINGS and ADVERSE REACTIONS).

When determining the LD 50 in rats and mice, progressive sedation, hypnosis and finally respiratory failure were noted as the dosage increased. In dogs, no LD 50 could be determined as the higher doses produced an emetic action in 15 to 30 minutes.

Treatment - Gastric lavage and supportive therapy. Consultation with a regional poison control center is recommended.

Section 42228-7

Pregnancy

Reproduction studies in rats have not revealed evidence of impaired fertility or harm to the fetus due to metaxalone. Post marketing experience has not revealed evidence of fetal injury, but such experience cannot exclude the possibility of infrequent or subtle damage to the human fetus. Safe use of metaxalone has not been established with regard to possible adverse effects upon fetal development. Therefore, metaxalone tablets should not be used in women who are or may become pregnant and particularly during early pregnancy unless, in the judgement of the physician, the potential benefits outweigh the possible hazards.

Section 42229-5

Absorption

Peak plasma concentrations of metaxalone occur approximately 3 hours after a 400 mg oral dose under fasted conditions. Thereafter, metaxalone concentrations decline log-linearly with a terminal half-life of 9.0 ± 4.8 hours. Doubling the dose of metaxalone from 400 mg to 800 mg results in a roughly proportional increase in metaxalone exposure as indicated by peak plasma concentrations (C max) and area under the curve (AUC). Dose proportionality at doses above 800 mg has not been studied. The absolute bioavailability of metaxalone is not known.

The single-dose pharmacokinetic parameters of metaxalone in two groups of healthy volunteers are shown in Table 1.

Table 1: Mean (%CV) Metaxalone Pharmacokinetic Parameters
 

Dose (mg)

 

C max

(ng/mL)

 

T max (h)

AUC

(ng •h/mL)

 

t 1/2 (h)

 

CL/F

(L/h)

 400 1  983 (53)  3.3 (35)  7,479 (51)  9.0 (53)  68 (50)
 800 2  1,816 (43)  3.0 (39)  15,044 (46)  8.0 (58)  66 (51)

1Subjects received 1x400 mg tablet under fasted conditions (N=42)

2Subjects received 2x400 mg tablets under fasted conditions (N=59)

Section 43679-0

Mechanism of Action:

The mechanism of action of metaxalone in humans has not been established, but may be due to general central nervous system (CNS) depression. Metaxalone has no direct action on the contractile mechanism of striated muscle, the motor end plate, or the nerve fiber.

Section 43682-4

Pharmacokinetics:

The pharmacokinetics of metaxalone have been evaluated in healthy adult volunteers after single dose administration of metaxalone under fasted and fed conditions at doses ranging from 400 mg to 800 mg.

Warnings

Serotonin Syndrome

Cases of serotonin syndrome, a potentially life-threatening condition, have been reported during concomitant use of serotonergic drugs with metaxalone used within the recommended dosage range (see PRECAUTIONS: Drug Interactions) and with metaxalone as a single agent taken at doses higher than the recommended dose (see OVERDOSAGE). Serotonergic drugs include selective serotonin reuptake inhibitors (SSRIs), serotonin and norepinephrine reuptake inhibitors (SNRIs), tricyclic antidepressants (TCAs), triptans, 5-HT3 receptor antagonists, opioids (particularly fentanyl, meperidine, and methadone), drugs that affect the serotonergic neurotransmitter system (e.g., mirtazapine, trazodone, tramadol), and drugs that impair metabolism of serotonin (including monoamine oxidase (MAO) inhibitors, both those intended to treat psychiatric disorders and also others, such as linezolid and intravenous methylene blue) (see PRECAUTIONS: Drug Interactions).

Serotonin syndrome symptoms may include mental status changes (e.g., agitation, hallucinations, coma), autonomic instability (e.g., tachycardia, labile blood pressure, hyperthermia), neuromuscular aberrations (e.g., hyperreflexia, incoordination, rigidity), and/or gastrointestinal symptoms (e.g., nausea, vomiting, diarrhea). The onset of symptoms generally occurs within several hours to a few days, but may occur later than that. Discontinue metaxalone if serotonin syndrome is suspected.

Risks from Concomitant Use with Alcohol or other CNS Depressants

The sedative effects of metaxalone and other CNS depressants (e.g., alcohol, benzodiazepines, opioids, tricyclic antidepressants (TCAs)) may be additive. Exercise caution with patients who take more than one of these CNS depressants simultaneously. Follow patients closely for signs and symptoms of respiratory depression and sedation (see PRECAUTIONS: Drug Interactions).

Precautions

Metaxalone should be administered with great care to patients with pre-existing liver damage. Serial liver function studies should be performed in these patients.

False-positive Benedict’s tests, due to an unknown reducing substance, have been noted. A glucose-specific test will differentiate findings.

Taking metaxalone with food may enhance general CNS depression; elderly patients may be especially susceptible to this CNS effect. (See CLINICAL PHARMACOLOGY: Pharmacokinetics and PRECAUTIONS: Information for Patients).

Principal Display Panel

Information for Patients

Driving or Operating Heavy Machinery:

Metaxalone may impair mental and/or physical abilities required for performance of hazardous tasks, such as operating machinery or driving a motor vehicle, especially when used with alcohol or other CNS depressants.

Serotonin Syndrome:

Inform patients that metaxalone could cause a rare but potentially life-threatening condition resulting from administration of doses higher than the recommended dose or from concomitant administration of serotonergic drugs with metaxalone used within the recommended dosage range. Warn patients of the symptoms of serotonin syndrome and to seek medical attention right away if symptoms develop. Instruct patients to inform their healthcare providers if they are taking, or plan to take, serotonergic medications (see WARNINGS, PRECAUTIONS: Drug Interactions, and OVERDOSAGE).

Carcinogenesis, Mutagenesis, Impairment of Fertility

The carcinogenic potential of metaxalone has not been determined.


Structured Label Content

Dosage and Administration (34068-7)

DOSAGE AND ADMINISTRATION

The recommended dose for adults and children over 12 years of age is two 400 mg tablets (800 mg) three to four times a day.

Dosage Forms and Strengths (34069-5)

HOW SUPPLIED







Metaxalone Tablets, USP 400 mg are available as light pink, round shaped tablet debossed with ‘SG 474’ on one side and plain on the other.

NDC 0276-0508-10: Bottles of 100 Tablets

Store at 20° to 25°C (68° to 77°F); excursions permitted to 15° to 30°C (59° to 86°F) [See USP Controlled Room Temperature]. Dispense in well-closed, light-resistant containers.

Rx Only

Manufactured by:



ScieGen Pharmaceuticals, Inc.



Hauppauge, NY 11788

Rev: 04/20

Section 34080-2 (34080-2)

Nursing Mothers

It is not known whether this drug is secreted in human milk. As a general rule, nursing should not be undertaken while a patient is on a drug since many drugs are excreted in human milk.

Section 34081-0 (34081-0)

Pediatric Use

Safety and effectiveness in children 12 years of age and below have not been established.

Section 34088-5 (34088-5)

OVERDOSAGE

Deaths by deliberate or accidental overdose have occurred with metaxalone, particularly in combination with antidepressants, and have been reported with this class of drug in combination with alcohol.

Serotonin syndrome has been reported when metaxalone was used at doses higher than the recommended dose (see WARNINGS and ADVERSE REACTIONS).

When determining the LD 50 in rats and mice, progressive sedation, hypnosis and finally respiratory failure were noted as the dosage increased. In dogs, no LD 50 could be determined as the higher doses produced an emetic action in 15 to 30 minutes.

Treatment - Gastric lavage and supportive therapy. Consultation with a regional poison control center is recommended.

Section 42228-7 (42228-7)

Pregnancy

Reproduction studies in rats have not revealed evidence of impaired fertility or harm to the fetus due to metaxalone. Post marketing experience has not revealed evidence of fetal injury, but such experience cannot exclude the possibility of infrequent or subtle damage to the human fetus. Safe use of metaxalone has not been established with regard to possible adverse effects upon fetal development. Therefore, metaxalone tablets should not be used in women who are or may become pregnant and particularly during early pregnancy unless, in the judgement of the physician, the potential benefits outweigh the possible hazards.

Section 42229-5 (42229-5)

Absorption

Peak plasma concentrations of metaxalone occur approximately 3 hours after a 400 mg oral dose under fasted conditions. Thereafter, metaxalone concentrations decline log-linearly with a terminal half-life of 9.0 ± 4.8 hours. Doubling the dose of metaxalone from 400 mg to 800 mg results in a roughly proportional increase in metaxalone exposure as indicated by peak plasma concentrations (C max) and area under the curve (AUC). Dose proportionality at doses above 800 mg has not been studied. The absolute bioavailability of metaxalone is not known.

The single-dose pharmacokinetic parameters of metaxalone in two groups of healthy volunteers are shown in Table 1.

Table 1: Mean (%CV) Metaxalone Pharmacokinetic Parameters
 

Dose (mg)

 

C max

(ng/mL)

 

T max (h)

AUC

(ng •h/mL)

 

t 1/2 (h)

 

CL/F

(L/h)

 400 1  983 (53)  3.3 (35)  7,479 (51)  9.0 (53)  68 (50)
 800 2  1,816 (43)  3.0 (39)  15,044 (46)  8.0 (58)  66 (51)

1Subjects received 1x400 mg tablet under fasted conditions (N=42)

2Subjects received 2x400 mg tablets under fasted conditions (N=59)

Section 43679-0 (43679-0)

Mechanism of Action:

The mechanism of action of metaxalone in humans has not been established, but may be due to general central nervous system (CNS) depression. Metaxalone has no direct action on the contractile mechanism of striated muscle, the motor end plate, or the nerve fiber.

Section 43682-4 (43682-4)

Pharmacokinetics:

The pharmacokinetics of metaxalone have been evaluated in healthy adult volunteers after single dose administration of metaxalone under fasted and fed conditions at doses ranging from 400 mg to 800 mg.

Warnings (WARNINGS)

Serotonin Syndrome

Cases of serotonin syndrome, a potentially life-threatening condition, have been reported during concomitant use of serotonergic drugs with metaxalone used within the recommended dosage range (see PRECAUTIONS: Drug Interactions) and with metaxalone as a single agent taken at doses higher than the recommended dose (see OVERDOSAGE). Serotonergic drugs include selective serotonin reuptake inhibitors (SSRIs), serotonin and norepinephrine reuptake inhibitors (SNRIs), tricyclic antidepressants (TCAs), triptans, 5-HT3 receptor antagonists, opioids (particularly fentanyl, meperidine, and methadone), drugs that affect the serotonergic neurotransmitter system (e.g., mirtazapine, trazodone, tramadol), and drugs that impair metabolism of serotonin (including monoamine oxidase (MAO) inhibitors, both those intended to treat psychiatric disorders and also others, such as linezolid and intravenous methylene blue) (see PRECAUTIONS: Drug Interactions).

Serotonin syndrome symptoms may include mental status changes (e.g., agitation, hallucinations, coma), autonomic instability (e.g., tachycardia, labile blood pressure, hyperthermia), neuromuscular aberrations (e.g., hyperreflexia, incoordination, rigidity), and/or gastrointestinal symptoms (e.g., nausea, vomiting, diarrhea). The onset of symptoms generally occurs within several hours to a few days, but may occur later than that. Discontinue metaxalone if serotonin syndrome is suspected.

Risks from Concomitant Use with Alcohol or other CNS Depressants

The sedative effects of metaxalone and other CNS depressants (e.g., alcohol, benzodiazepines, opioids, tricyclic antidepressants (TCAs)) may be additive. Exercise caution with patients who take more than one of these CNS depressants simultaneously. Follow patients closely for signs and symptoms of respiratory depression and sedation (see PRECAUTIONS: Drug Interactions).

Description (DESCRIPTION)

Metaxalone Tablets, USP are available as 400mg, 400mg tablets are round shaped, light pink tablets.



Chemically, metaxalone, USP is 5-[(3,5-dimethylphenoxy)methyl]-2-oxazolidinone. The empirical formula is C 12H 15NO 3, which corresponds to a molecular weight of 221.25. The structural formula is:

Metaxalone, USP is a white to almost white, crystalline powder freely soluble in dichloromethane, soluble in methanol, sparingly soluble in ethanol and ethyl acetate, slightly soluble in toluene and isopropanol, insoluble in water and n-hexane.

Each tablet contains 400 mg metaxalone, USP and the following inactive ingredients: alginic acid, corn starch, ferric oxide red, copovidone, magnesium stearate, povidone, pregelatinized starch, sodium alginate.

Precautions (PRECAUTIONS)

Metaxalone should be administered with great care to patients with pre-existing liver damage. Serial liver function studies should be performed in these patients.

False-positive Benedict’s tests, due to an unknown reducing substance, have been noted. A glucose-specific test will differentiate findings.

Taking metaxalone with food may enhance general CNS depression; elderly patients may be especially susceptible to this CNS effect. (See CLINICAL PHARMACOLOGY: Pharmacokinetics and PRECAUTIONS: Information for Patients).

Adverse Reactions (ADVERSE REACTIONS)

The most frequent reactions to metaxalone include:

CNS: drowsiness, dizziness, headache, and nervousness or “irritability”;

Digestive: nausea, vomiting, gastrointestinal upset.

Other adverse reactions are:

Immune System: anaphylaxis, hypersensitivity reaction, rash with or without pruritus;

Hematologic: leukopenia; hemolytic anemia;

Hepatobiliary: jaundice.

CNS: cases of serotonin syndrome, a potentially life-threatening condition, have been reported during concomitant use of serotonergic drugs with metaxalone used within the recommended dosage range and with metaxalone as a single agent taken at doses higher than the recommended dose (see WARNINGS, PRECAUTIONS: Drug Interactions, and OVERDOSAGE).

To report SUSPECTED ADVERSE REACTIONS, contact SCIEGEN PHARMACEUTICALS, INC., at 1-855-724-3436 or FDA at 1-800-FDA-1088 or http://www.fda.gov/medwatch

Contraindications (CONTRAINDICATIONS)

Known hypersensitivity to any components of this product.

Known tendency to drug induced, hemolytic, or other anemias.

Significantly impaired renal or hepatic function.

Drug Interactions

CNS Depressants:

The sedative effects of metaxalone and other CNS depressants (e.g., alcohol, benzodiazepines, opioids, tricyclic antidepressants (TCAs)) may be additive. Exercise caution with patients who take more than one of these CNS depressants simultaneously. Follow patients closely for signs and symptoms of respiratory depression and sedation (see WARNINGS).

Serotonergic Drugs:

Serotonin syndrome has resulted from concomitant use of serotonergic drugs with metaxalone used within the recommended dosage range (see WARNINGS). If concomitant use is warranted, carefully observe the patient, particularly during treatment initiation and dose adjustment. Discontinue metaxalone if serotonin syndrome is suspected.

Examples of serotonergic drugs include: selective serotonin reuptake inhibitors (SSRIs), serotonin and norepinephrine reuptake inhibitors (SNRIs), tricyclic antidepressants (TCAs), triptans, 5-HT3 receptor antagonists, opioids (particularly fentanyl, meperidine, and methadone), drugs that affect the serotonin neurotransmitter system (e.g., mirtazapine, trazodone, tramadol), monoamine oxidase (MAO) inhibitors (those intended to treat psychiatric disorders and also others, such as linezolid and intravenous methylene blue).

Indications and Usage (INDICATIONS AND USAGE)

Metaxalone is indicated as an adjunct to rest, physical therapy, and other measures for the relief of discomforts associated with acute, painful musculoskeletal conditions. The mode of action of this drug has not been clearly identified, but may be related to its sedative properties. Metaxalone does not directly relax tense skeletal muscles in man.

Principal Display Panel (PRINCIPAL DISPLAY PANEL)

Information for Patients

Driving or Operating Heavy Machinery:

Metaxalone may impair mental and/or physical abilities required for performance of hazardous tasks, such as operating machinery or driving a motor vehicle, especially when used with alcohol or other CNS depressants.

Serotonin Syndrome:

Inform patients that metaxalone could cause a rare but potentially life-threatening condition resulting from administration of doses higher than the recommended dose or from concomitant administration of serotonergic drugs with metaxalone used within the recommended dosage range. Warn patients of the symptoms of serotonin syndrome and to seek medical attention right away if symptoms develop. Instruct patients to inform their healthcare providers if they are taking, or plan to take, serotonergic medications (see WARNINGS, PRECAUTIONS: Drug Interactions, and OVERDOSAGE).

Carcinogenesis, Mutagenesis, Impairment of Fertility

The carcinogenic potential of metaxalone has not been determined.


Advanced Ingredient Data


Raw Label Data

All Sections (JSON)