These Highlights Do Not Include All The Information Needed To Use Imipenem And Cilastatin For Injection, Usp (i.v.) Safely And Effectively. See Full Prescribing Information For Imipenem And Cilastatin For Injection, Usp (i.v.).

These Highlights Do Not Include All The Information Needed To Use Imipenem And Cilastatin For Injection, Usp (i.v.) Safely And Effectively. See Full Prescribing Information For Imipenem And Cilastatin For Injection, Usp (i.v.).
SPL v5
SPL
SPL Set ID ce771566-c4f2-447e-944a-6b908925c90b
Route
INTRAVENOUS
Published
Effective Date 2022-03-31
Document Type 34391-3 HUMAN PRESCRIPTION DRUG LABEL

Drug Facts

Composition & Product

Active Ingredients
Imipenem Anhydrous (10 mg) Cilastatin (250 mg)
Inactive Ingredients
Sodium Bicarbonate

Identifiers & Packaging

Marketing Status
ANDA Active Since 2012-01-03

Description

Imipenem and Cilastatin for Injection, USP for intravenous use is a combination of imipenem, a penem antibacterial, and cilastatin, a renal dehydropeptidase inhibitor, indicated for the treatment of the following serious infections caused by designated susceptible bacteria: Lower respiratory tract infections. ( 1.1 ) Urinary tract infections. ( 1.2 ) Intra-abdominal infections. ( 1.3 ) Gynecologic infections. ( 1.4 ) Bacterial septicemia. ( 1.5 ) Bone and joint infections. ( 1.6 ) Skin and skin structure infections. ( 1.7 ) Endocarditis. ( 1.8 ) Limitations of Use : Imipenem and Cilastatin for Injection, USP (I.V.) is not indicated in patients with meningitis because safety and efficacy have not been established ( 1.9 ). Imipenem and Cilastatin for Injection, USP (I.V.) is not recommended in pediatric patients with CNS infections because of the risk of seizures ( 1.9 ). Imipenem and Cilastatin for Injection, USP (I.V.) is not recommended in pediatric patients weighing less than 30 kg with impaired renal function ( 1.9 ). Usage : To reduce the development of drug resistant bacteria and maintain the effectiveness of Imipenem and Cilastatin for Injection, USP (I.V.) and other antibacterial drugs, Imipenem and Cilastatin for Injection, USP (I.V.) should be used only to treat infections that are proven or strongly suspected to be caused by bacteria ( 1.10 ).

Indications and Usage

Imipenem and Cilastatin for Injection, USP for intravenous use is a combination of imipenem, a penem antibacterial, and cilastatin, a renal dehydropeptidase inhibitor, indicated for the treatment of the following serious infections caused by designated susceptible bacteria: Lower respiratory tract infections. ( 1.1 ) Urinary tract infections. ( 1.2 ) Intra-abdominal infections. ( 1.3 ) Gynecologic infections. ( 1.4 ) Bacterial septicemia. ( 1.5 ) Bone and joint infections. ( 1.6 ) Skin and skin structure infections. ( 1.7 ) Endocarditis. ( 1.8 ) Limitations of Use : Imipenem and Cilastatin for Injection, USP (I.V.) is not indicated in patients with meningitis because safety and efficacy have not been established ( 1.9 ). Imipenem and Cilastatin for Injection, USP (I.V.) is not recommended in pediatric patients with CNS infections because of the risk of seizures ( 1.9 ). Imipenem and Cilastatin for Injection, USP (I.V.) is not recommended in pediatric patients weighing less than 30 kg with impaired renal function ( 1.9 ). Usage : To reduce the development of drug resistant bacteria and maintain the effectiveness of Imipenem and Cilastatin for Injection, USP (I.V.) and other antibacterial drugs, Imipenem and Cilastatin for Injection, USP (I.V.) should be used only to treat infections that are proven or strongly suspected to be caused by bacteria ( 1.10 ).

Dosage and Administration

The dosage of Imipenem and Cilastatin for Injection (I.V.) in adult patients should be based on suspected or confirmed pathogen susceptibility ( 2.1 ). For adult patients with normal renal function (creatinine clearance of greater than or equal to 90 mL/min), the recommended dosage regimens are: 500 mg every 6 hours OR 1,000 mg every 8 hours OR 1,000 mg every 6 hours ( 2.1 ). See full prescribing information for dosage recommendations in pediatric patients ( 2.2 ). A reduction in dose must be made for a patient with a creatinine clearance of less than 90 mL/min ( 2.3 ). Patients with creatinine clearances of less than 15 mL/min should not receive Imipenem and Cilastatin for Injection (I.V.) unless hemodialysis is instituted within 48 hours ( 2.4 ). Reconstitute Imipenem and Cilastatin for Injection, USP (I.V.) vial with appropriate diluent and dilute the reconstituted suspension with an appropriate infusion solution before administering by intravenous infusion ( 2.5 ).

Warnings and Precautions

Hypersensitivity Reactions: Serious and occasionally fatal hypersensitivity (anaphylactic) reactions have been reported in patients receiving therapy with beta-lactams. If an allergic reaction to Imipenem and Cilastatin for Injection (I.V.) occurs, discontinue the drug immediately ( 5.1 ). Seizure Potential: Seizures and other CNS adverse reactions, such as confusional states and myoclonic activity, have been reported during treatment with Imipenem and Cilastatin for Injection (I.V.). If focal tremors, myoclonus, or seizures occur, patients should be evaluated neurologically, placed on anticonvulsant therapy if not already instituted, and the dosage of Imipenem and Cilastatin for Injection (I.V.) re-examined to determine whether it should be decreased, or the antibacterial drug discontinued ( 5.2 ). Increased Seizure Potential Due to Interaction with Valproic Acid: Co-administration of Imipenem and Cilastatin for Injection (I.V.), to patients receiving valproic acid or divalproex sodium results in a reduction in valproic acid concentrations. The valproic acid concentrations may drop below the therapeutic range as a result of this interaction, therefore increasing the risk of breakthrough seizures. The concomitant use of Imipenem and Cilastatin for Injection (I.V.) and valproic acid/divalproex sodium is generally not recommended ( 5.3 , 7.3 ). Clostridioides difficile-Associated Diarrhea (CDAD): has been reported with use of Imipenem and Cilastatin for Injection (I.V.) and may range in severity from mild diarrhea to fatal colitis. Evaluate if diarrhea occurs ( 5.4 ).

Contraindications

Imipenem and Cilastatin for Injection (I.V.) is contraindicated in patients who have shown hypersensitivity to any component of this product.

Adverse Reactions

The following serious adverse reactions are described in greater detail in the Warnings and Precautions section. Hypersensitivity Reactions [see Warnings and Precautions ( 5.1 )] Seizure Potential [see Warnings and Precautions ( 5.2 )] Increased Seizure Potential Due to Interaction with Valproic Acid [see Warnings and Precautions ( 5.3 )] Clostridioides difficile -Associated Diarrhea (CDAD) [see Warnings and Precautions ( 5.4 )] Development of Drug-Resistant Bacteria [see Warnings and Precautions ( 5.5 )]

Drug Interactions

Ganciclovir: Generalized seizures have been reported in patients who received ganciclovir. Do not co-administer unless benefit outweighs risk ( 7.1 ). Probenecid: Concomitant administration of Imipenem and Cilastatin for Injection (I.V.) and probenecid results in increases in the plasma level and half-life of imipenem. Concomitant administration is not recommended ( 7.2 ). Valproic acid/divalproex sodium: Concomitant use with Imipenem and Cilastatin for Injection (I.V.) is generally not recommended. Consider other antibacterial drugs to treat infections in patients whose seizures are well-controlled on valproic acid or divalproex sodium ( 5.3 , 7.3 ).

How Supplied

Imipenem and Cilastatin for Injection, USP (I.V.) is supplied as a sterile powder mixture in single-dose vials containing imipenem (anhydrous equivalent) and cilastatin (free acid equivalent) as follows: Product Code Unit of Sale Strength Each NP349025 NDC 63323-349-93 Unit of 25 250 mg imipenem equivalent and 250 mg cilastatin equivalent and 10 mg sodium bicarbonate as a buffer NDC 63323-349-21 20 mL Single-Dose Vial NP342025 NDC 63323-322-93 Unit of 25 500 mg imipenem equivalent and 500 mg cilastatin equivalent and 20 mg sodium bicarbonate as a buffer NDC 63323-322-21 20 mL Single-Dose Vial


Medication Information

Warnings and Precautions

Hypersensitivity Reactions: Serious and occasionally fatal hypersensitivity (anaphylactic) reactions have been reported in patients receiving therapy with beta-lactams. If an allergic reaction to Imipenem and Cilastatin for Injection (I.V.) occurs, discontinue the drug immediately ( 5.1 ). Seizure Potential: Seizures and other CNS adverse reactions, such as confusional states and myoclonic activity, have been reported during treatment with Imipenem and Cilastatin for Injection (I.V.). If focal tremors, myoclonus, or seizures occur, patients should be evaluated neurologically, placed on anticonvulsant therapy if not already instituted, and the dosage of Imipenem and Cilastatin for Injection (I.V.) re-examined to determine whether it should be decreased, or the antibacterial drug discontinued ( 5.2 ). Increased Seizure Potential Due to Interaction with Valproic Acid: Co-administration of Imipenem and Cilastatin for Injection (I.V.), to patients receiving valproic acid or divalproex sodium results in a reduction in valproic acid concentrations. The valproic acid concentrations may drop below the therapeutic range as a result of this interaction, therefore increasing the risk of breakthrough seizures. The concomitant use of Imipenem and Cilastatin for Injection (I.V.) and valproic acid/divalproex sodium is generally not recommended ( 5.3 , 7.3 ). Clostridioides difficile-Associated Diarrhea (CDAD): has been reported with use of Imipenem and Cilastatin for Injection (I.V.) and may range in severity from mild diarrhea to fatal colitis. Evaluate if diarrhea occurs ( 5.4 ).

Indications and Usage

Imipenem and Cilastatin for Injection, USP for intravenous use is a combination of imipenem, a penem antibacterial, and cilastatin, a renal dehydropeptidase inhibitor, indicated for the treatment of the following serious infections caused by designated susceptible bacteria: Lower respiratory tract infections. ( 1.1 ) Urinary tract infections. ( 1.2 ) Intra-abdominal infections. ( 1.3 ) Gynecologic infections. ( 1.4 ) Bacterial septicemia. ( 1.5 ) Bone and joint infections. ( 1.6 ) Skin and skin structure infections. ( 1.7 ) Endocarditis. ( 1.8 ) Limitations of Use : Imipenem and Cilastatin for Injection, USP (I.V.) is not indicated in patients with meningitis because safety and efficacy have not been established ( 1.9 ). Imipenem and Cilastatin for Injection, USP (I.V.) is not recommended in pediatric patients with CNS infections because of the risk of seizures ( 1.9 ). Imipenem and Cilastatin for Injection, USP (I.V.) is not recommended in pediatric patients weighing less than 30 kg with impaired renal function ( 1.9 ). Usage : To reduce the development of drug resistant bacteria and maintain the effectiveness of Imipenem and Cilastatin for Injection, USP (I.V.) and other antibacterial drugs, Imipenem and Cilastatin for Injection, USP (I.V.) should be used only to treat infections that are proven or strongly suspected to be caused by bacteria ( 1.10 ).

Dosage and Administration

The dosage of Imipenem and Cilastatin for Injection (I.V.) in adult patients should be based on suspected or confirmed pathogen susceptibility ( 2.1 ). For adult patients with normal renal function (creatinine clearance of greater than or equal to 90 mL/min), the recommended dosage regimens are: 500 mg every 6 hours OR 1,000 mg every 8 hours OR 1,000 mg every 6 hours ( 2.1 ). See full prescribing information for dosage recommendations in pediatric patients ( 2.2 ). A reduction in dose must be made for a patient with a creatinine clearance of less than 90 mL/min ( 2.3 ). Patients with creatinine clearances of less than 15 mL/min should not receive Imipenem and Cilastatin for Injection (I.V.) unless hemodialysis is instituted within 48 hours ( 2.4 ). Reconstitute Imipenem and Cilastatin for Injection, USP (I.V.) vial with appropriate diluent and dilute the reconstituted suspension with an appropriate infusion solution before administering by intravenous infusion ( 2.5 ).

Contraindications

Imipenem and Cilastatin for Injection (I.V.) is contraindicated in patients who have shown hypersensitivity to any component of this product.

Adverse Reactions

The following serious adverse reactions are described in greater detail in the Warnings and Precautions section. Hypersensitivity Reactions [see Warnings and Precautions ( 5.1 )] Seizure Potential [see Warnings and Precautions ( 5.2 )] Increased Seizure Potential Due to Interaction with Valproic Acid [see Warnings and Precautions ( 5.3 )] Clostridioides difficile -Associated Diarrhea (CDAD) [see Warnings and Precautions ( 5.4 )] Development of Drug-Resistant Bacteria [see Warnings and Precautions ( 5.5 )]

Drug Interactions

Ganciclovir: Generalized seizures have been reported in patients who received ganciclovir. Do not co-administer unless benefit outweighs risk ( 7.1 ). Probenecid: Concomitant administration of Imipenem and Cilastatin for Injection (I.V.) and probenecid results in increases in the plasma level and half-life of imipenem. Concomitant administration is not recommended ( 7.2 ). Valproic acid/divalproex sodium: Concomitant use with Imipenem and Cilastatin for Injection (I.V.) is generally not recommended. Consider other antibacterial drugs to treat infections in patients whose seizures are well-controlled on valproic acid or divalproex sodium ( 5.3 , 7.3 ).

How Supplied

Imipenem and Cilastatin for Injection, USP (I.V.) is supplied as a sterile powder mixture in single-dose vials containing imipenem (anhydrous equivalent) and cilastatin (free acid equivalent) as follows: Product Code Unit of Sale Strength Each NP349025 NDC 63323-349-93 Unit of 25 250 mg imipenem equivalent and 250 mg cilastatin equivalent and 10 mg sodium bicarbonate as a buffer NDC 63323-349-21 20 mL Single-Dose Vial NP342025 NDC 63323-322-93 Unit of 25 500 mg imipenem equivalent and 500 mg cilastatin equivalent and 20 mg sodium bicarbonate as a buffer NDC 63323-322-21 20 mL Single-Dose Vial

Description

Imipenem and Cilastatin for Injection, USP for intravenous use is a combination of imipenem, a penem antibacterial, and cilastatin, a renal dehydropeptidase inhibitor, indicated for the treatment of the following serious infections caused by designated susceptible bacteria: Lower respiratory tract infections. ( 1.1 ) Urinary tract infections. ( 1.2 ) Intra-abdominal infections. ( 1.3 ) Gynecologic infections. ( 1.4 ) Bacterial septicemia. ( 1.5 ) Bone and joint infections. ( 1.6 ) Skin and skin structure infections. ( 1.7 ) Endocarditis. ( 1.8 ) Limitations of Use : Imipenem and Cilastatin for Injection, USP (I.V.) is not indicated in patients with meningitis because safety and efficacy have not been established ( 1.9 ). Imipenem and Cilastatin for Injection, USP (I.V.) is not recommended in pediatric patients with CNS infections because of the risk of seizures ( 1.9 ). Imipenem and Cilastatin for Injection, USP (I.V.) is not recommended in pediatric patients weighing less than 30 kg with impaired renal function ( 1.9 ). Usage : To reduce the development of drug resistant bacteria and maintain the effectiveness of Imipenem and Cilastatin for Injection, USP (I.V.) and other antibacterial drugs, Imipenem and Cilastatin for Injection, USP (I.V.) should be used only to treat infections that are proven or strongly suspected to be caused by bacteria ( 1.10 ).

Section 42229-5

Imipenem and Cilastatin for Injection (I.V.) Vials

  • Do not use diluents containing benzyl alcohol to reconstitute Imipenem and Cilastatin for Injection (I.V.) for administration to neonates because it has been associated with toxicity in neonates. While toxicity has not been demonstrated in pediatric patients greater than three months of age, small pediatric patients in this age range may also be at risk for benzyl alcohol toxicity.
  • Contents of the vials must be reconstituted by adding approximately 10 mL of the appropriate diluent to the vial. List of appropriate diluents are as follows:
    • 0.9% Sodium Chloride Injection
    • 5% Dextrose Injection
    • 5% Dextrose and 0.9% Sodium Chloride Injection
    • 5% Dextrose Injection with 0.225% or 0.45% saline solution
  • Reconstituted Solutions of Imipenem and Cilastatin for Injection (I.V.) range from colorless to yellow. Variations of color within this range do not affect the potency of the product.
  • The reconstituted suspension must not be administered by direct Intravenous Infusion.
  • After reconstitution, shake vial well and transfer the resulting suspension to 100 mL of an appropriate infusion solution before administering by intravenous infusion.
  • Repeat transfer of the resulting suspension with an additional 10 mL of infusion solution to ensure complete transfer of vial contents to the infusion solution. Agitate the resulting mixture until clear.
  • Parenteral drug products should be inspected visually for particulate matter and discoloration prior to administration, whenever solution and container permit.
  • Discard unused portion of the infusion solution where applicable.
Section 51945-4

PACKAGE LABEL- PRINCIPAL DISPLAY - IMIPENEM AND CILASTATIN 250 mg Single Dose Vial Label

NDC 63323-349-21

NP349025

Imipenem and Cilastatin

for Injection, USP (I.V.)

250 mg/ 250 mg*

per vial

Rx only

*Each vial contains:

Imipenem USP 250 mg (Anhydrous Equivalent) and

Cilastatin Sodium USP equivalent to 250 mg Cilastatin

CAUTION: SINGLE-DOSE VIAL

NOT FOR DIRECT INFUSION

For I.V. Use Only

(trademark of Vizient, Inc.)

1.10 Usage

To reduce the development of drug-resistant bacteria and maintain the effectiveness of Imipenem and Cilastatin for Injection, USP (I.V.) and other antibacterial drugs, Imipenem and Cilastatin for Injection, USP (I.V.) should be used only to treat infections that are proven or strongly suspected to be caused by susceptible bacteria. When culture and susceptibility information are available, they should be considered in selecting or modifying antibacterial therapy. In the absence of such data, local epidemiology and susceptibility patterns may contribute to the empiric selection of therapy.

10 Overdosage

In the case of overdosage, discontinue Imipenem and Cilastatin for Injection (I.V.), treat symptomatically, and institute supportive measures as required. Imipenem and Cilastatin for Injection (I.V.) is hemodialyzable.

11 Description

Imipenem and Cilastatin for Injection, USP (I.V.) (imipenem and cilastatin) for Injection is a sterile formulation of imipenem, a penem antibacterial, and cilastatin, a renal dehydropeptidase inhibitor with sodium bicarbonate added as a buffer. Imipenem and Cilastatin for Injection, USP (I.V.) is an antibacterial drug for intravenous administration.

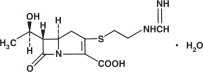
Imipenem (N-formimidoylthienamycin monohydrate) is a crystalline derivative of thienamycin, which is produced by Streptomyces cattleya. Its chemical name is (5R,6S)-3-[[2-(formimidoylamino)ethyl]thio]-6-[(R)-1-hydroxyethyl]-7-oxo-1-azabicyclo[3.2.0]hept-2-ene-2-carboxylic acid monohydrate. It is an off-white, nonhygroscopic crystalline compound with a molecular weight of 317.37. It is sparingly soluble in water and slightly soluble in methanol. Its empirical formula is C 12H 17N 3O 4S•H 2O, and its structural formula is:

       

Cilastatin sodium is the sodium salt of a derivatized heptenoic acid. Its chemical name is sodium (Z)-7[[(R)-2-amino-2-carboxyethyl]thio]-2-[(S)-2,2-dimethylcyclopropanecarboxamido]-2-heptenoate. It is an off-white to yellowish-white, hygroscopic, amorphous compound with a molecular weight of 380.43. It is very soluble in water and in methanol. Its empirical formula is C 16H 25N 2O 5SNa, and its structural formula is:

       

Imipenem and Cilastatin for Injection, USP (I.V.) is buffered to provide solutions in the pH range of 6.5 to 8.5. There is no significant change in pH when solutions are prepared and used as directed. [see How Supplied/ Storage and Handling ( 16.1).] Each Imipenem and Cilastatin for Injection, USP (I.V.) 250 mg/250 mg vial contains imipenem USP 250 mg (anhydrous equivalent) and cilastatin sodium USP equivalent to 250 mg cilastatin and each 500 mg/500 mg vial contains imipenem USP 500 mg (anhydrous equivalent) and cilastatin sodium USP equivalent to 500 mg cilastatin. In addition, the 250 mg/250 mg vial contains 10 mg of sodium bicarbonate and the 500 mg/500 mg vial contains 20 mg of sodium bicarbonate. The sodium content of the 250 mg/250 mg vial is 18.8 mg (0.8 mEq) and the sodium content for the 500 mg/500 mg vial is 37.5 mg (1.6 mEq). Solutions of Imipenem and Cilastatin for Injection, USP (I.V.) range from colorless to yellow. Variations of color within this range do not affect the potency of the product.

7.2 Probenecid

Concomitant administration of Imipenem and Cilastatin for Injection (I.V.) and probenecid results in increases in the plasma level and half-life of imipenem. Therefore, it is not recommended that probenecid be given concomitantly with Imipenem and Cilastatin for Injection (I.V.).

7.1 Ganciclovir

Generalized seizures have been reported in patients who received ganciclovir and Imipenem and Cilastatin for Injection (I.V.). These drugs should not be used concomitantly with Imipenem and Cilastatin for Injection (I.V.) unless the potential benefits outweigh the risks.

1.8 Endocarditis

Imipenem and Cilastatin for Injection, USP (I.V.) is indicated for the treatment of endocarditis caused by susceptible strains of Staphylococcus aureus (penicillinase-producing isolates).

16.1 How Supplied

Imipenem and Cilastatin for Injection, USP (I.V.) is supplied as a sterile powder mixture in single-dose vials containing imipenem (anhydrous equivalent) and cilastatin (free acid equivalent) as follows:

Product Code Unit of Sale Strength Each
NP349025 NDC 63323-349-93

Unit of 25
250 mg imipenem

equivalent and

250 mg cilastatin

equivalent and

10 mg sodium bicarbonate

as a buffer
NDC 63323-349-21

20 mL Single-Dose Vial
NP342025 NDC 63323-322-93

Unit of 25
500 mg imipenem

equivalent and

500 mg cilastatin

equivalent and

20 mg sodium bicarbonate

as a buffer
NDC 63323-322-21

20 mL Single-Dose Vial
7.3 Valproic Acid

Case reports in the literature have shown that co-administration of carbapenems, including Imipenem and Cilastatin for Injection (I.V.), to patients receiving valproic acid or divalproex sodium results in a reduction in valproic acid concentrations. The valproic acid concentrations may drop below the therapeutic range as a result of this interaction, therefore increasing the risk of breakthrough seizures. Although the mechanism of this interaction is unknown, data from in vitro and animal studies suggest that carbapenems may inhibit the hydrolysis of valproic acid's glucuronide metabolite (VPA-g) back to valproic acid, thus decreasing the serum concentrations of valproic acid [see Warnings and Precautions ( 5.3)]. The concomitant use of Imipenem and Cilastatin for Injection (I.V.) and valproic acid/divalproex sodium is generally not recommended. Antibacterials other than carbapenems should be considered to treat infections in patients whose seizures are well-controlled on valproic acid or divalproex sodium.

8.4 Pediatric Use

Use of Imipenem and Cilastatin for Injection (I.V.) in pediatric patients is supported by evidence from adequate and well-controlled trials of Imipenem and Cilastatin for Injection (I.V.) in adults and clinical studies in pediatric patients [see Dosage and Administration ( 2.2) and Clinical Pharmacology ( 12.3)] .

Imipenem and Cilastatin for Injection (I.V.) is not recommended in pediatric patients with CNS infections because of the risk of seizures.

Imipenem and Cilastatin for Injection (I.V.) is not recommended in pediatric patients less than 30 kg with renal impairment, as no data are available.

8.5 Geriatric Use

Of the approximately 3,600 subjects ≥ 18 years of age in clinical studies of Imipenem and Cilastatin for Injection (I.V.), including postmarketing studies, approximately 2,800 received Imipenem and Cilastatin for Injection (I.V.). Of the subjects who received Imipenem and Cilastatin for Injection (I.V.), data are available on approximately 800 subjects who were 65 and over, including approximately 300 subjects who were 75 and over. No overall differences in safety or effectiveness were observed between these subjects and younger subjects. Other reported clinical experience has not identified differences in responses between the elderly and younger patients, but greater sensitivity of some older individuals cannot be ruled out.

This drug is known to be substantially excreted by the kidney, and the risk of toxic reactions to this drug may be greater in patients with impaired renal function. Because elderly patients are more likely to have decreased renal function, care should be taken in dose selection, and it may be useful to monitor renal function.

No dosage adjustment is required based on age [see Clinical Pharmacology ( 12.3)] . Dosage adjustment in the case of renal impairment is necessary [see Dosage and Administration ( 2.3)].

4 Contraindications

Imipenem and Cilastatin for Injection (I.V.) is contraindicated in patients who have shown hypersensitivity to any component of this product.

6 Adverse Reactions

The following serious adverse reactions are described in greater detail in the Warnings and Precautions section.

  • Hypersensitivity Reactions [see Warnings and Precautions ( 5.1)]
  • Seizure Potential [see Warnings and Precautions ( 5.2)]
  • Increased Seizure Potential Due to Interaction with Valproic Acid [see Warnings and Precautions ( 5.3)]
  • Clostridioides difficile-Associated Diarrhea (CDAD) [see Warnings and Precautions ( 5.4)]
  • Development of Drug-Resistant Bacteria [see Warnings and Precautions ( 5.5)]
7 Drug Interactions
  • Ganciclovir: Generalized seizures have been reported in patients who received ganciclovir. Do not co-administer unless benefit outweighs risk ( 7.1).
  • Probenecid: Concomitant administration of Imipenem and Cilastatin for Injection (I.V.) and probenecid results in increases in the plasma level and half-life of imipenem. Concomitant administration is not recommended ( 7.2).
  • Valproic acid/divalproex sodium: Concomitant use with Imipenem and Cilastatin for Injection (I.V.) is generally not recommended. Consider other antibacterial drugs to treat infections in patients whose seizures are well-controlled on valproic acid or divalproex sodium ( 5.3, 7.3).
2.1 Dosage in Adults

For Intravenous Injection Only

  • The dosage of Imipenem and Cilastatin for Injection (I.V.) in adult patients should be based on suspected or confirmed pathogen susceptibility as shown in Table 1 below. The dosage recommendations for Imipenem and Cilastatin for Injection (I.V.) represent the quantity of imipenem to be administered. An equivalent amount of cilastatin is also present in the solution.
  • These doses should be used for patients with creatinine clearance of greater than or equal to 90 mL/min. A reduction in dose must be made for patients with creatinine clearance less than 90 mL/min as shown in Table 3 [see Dosage and Administration ( 2.3)] .
  • Recommend that the maximum total daily dosage not exceed 4 g/day.
  • Administer 500 mg by intravenous infusion over 20 to 30 minutes.
  • Administer 1,000 mg by intravenous infusion over 40 to 60 minutes.
  • In patients who develop nausea during the infusion, the rate of infusion may be slowed.
Table 1: Dosage of Imipenem and Cilastatin for Injection (I.V.) in Adult Patients with Creatinine Clearance Greater than or Equal to 90 mL/min
Suspected or Proven Pathogen Susceptibility Dosage of Imipenem and Cilastatin for Injection (I.V.)
If the infection is suspected or proven to be due to a susceptible bacterial species 500 mg every 6 hours

OR

1,000 mg every 8 hours
If the infection is suspected or proven to be due to bacterial species with intermediate susceptibility

[see Microbiology ( 12.4)]
1,000 mg every 6 hours
8.6 Renal Impairment

Dosage adjustment is necessary in patients with renal impairment [see Dosage and Administration ( 2.3)] . Adult patients with creatinine clearances of less than or equal to 30 mL/min, whether or not undergoing hemodialysis, had a higher risk of seizure activity than those without impairment of renal function [see Warnings and Precautions ( 5.2)] . Therefore, close adherence to the dosing guidelines and regular monitoring of creatinine clearance for these patients is recommended.

12.3 Pharmacokinetics

Intravenous infusion of Imipenem and Cilastatin for Injection (I.V.) over 20 minutes results in peak plasma levels of imipenem antimicrobial activity that range from 21 to 58 mcg/mL for the 500 mg dose, and from 41 to 83 mcg/mL for the 1,000 mg dose. At these doses, plasma levels of imipenem antimicrobial activity decline to below 1 mcg/mL or less in 4 to 6 hours. Peak plasma levels of cilastatin following a 20-minute intravenous infusion of Imipenem and Cilastatin for Injection (I.V.) range from 31 to 49 mcg/mL for the 500 mg dose, and from 56 to 88 mcg/mL for the 1,000 mg dose.

5.2 Seizure Potential

Seizures and other CNS adverse experiences, such as confusional states and myoclonic activity, have been reported during treatment with Imipenem and Cilastatin for Injection (I.V.), especially when recommended dosages were exceeded [see Adverse Reactions ( 6.1, 6.2)]. These experiences have occurred most commonly in patients with CNS disorders (e.g., brain lesions or history of seizures) and/or compromised renal function [see Use in Specific Populations ( 8.6)] . However, there have been reports of CNS adverse experiences in patients who had no recognized or documented underlying CNS disorder or compromised renal function.

Anticonvulsant therapy should be continued in patients with known seizure disorders. If focal tremors, myoclonus, or seizures occur, patients should be evaluated neurologically, placed on anticonvulsant therapy if not already instituted, and the dosage of Imipenem and Cilastatin for Injection (I.V.) re-examined to determine whether it should be decreased, or the antibacterial drug discontinued.

1.9 Limitations of Use
  • Imipenem and Cilastatin for Injection, USP (I.V.) is not indicated in patients with meningitis because safety and efficacy have not been established.
  • Imipenem and Cilastatin for Injection, USP (I.V.) is not recommended in pediatric patients with CNS infections because of the risk of seizures [see Dosage and Administration ( 2.2), Warnings and Precautions ( 5.2), and Use in Specific Populations ( 8.4)] .
  • Imipenem and Cilastatin for Injection, USP (I.V.) is not recommended in pediatric patients less than 30 kg with impaired renal function, as no data are available [see Use in Specific Populations ( 8.4), and Dosage and Administration ( 2.2)] .
  • Periodic assessment of organ system functions, including renal, hepatic and hematopoietic, is advisable during prolonged therapy.
1 Indications and Usage

Imipenem and Cilastatin for Injection, USP for intravenous use is a combination of imipenem, a penem antibacterial, and cilastatin, a renal dehydropeptidase inhibitor, indicated for the treatment of the following serious infections caused by designated susceptible bacteria:

  • Lower respiratory tract infections. ( 1.1)
  • Urinary tract infections. ( 1.2)
  • Intra-abdominal infections. ( 1.3)
  • Gynecologic infections. ( 1.4)
  • Bacterial septicemia. ( 1.5)
  • Bone and joint infections. ( 1.6)
  • Skin and skin structure infections. ( 1.7)
  • Endocarditis. ( 1.8)

Limitations of Use:

  • Imipenem and Cilastatin for Injection, USP (I.V.) is not indicated in patients with meningitis because safety and efficacy have not been established ( 1.9).
  • Imipenem and Cilastatin for Injection, USP (I.V.) is not recommended in pediatric patients with CNS infections because of the risk of seizures ( 1.9).
  • Imipenem and Cilastatin for Injection, USP (I.V.) is not recommended in pediatric patients weighing less than 30 kg with impaired renal function ( 1.9).

Usage:

To reduce the development of drug resistant bacteria and maintain the effectiveness of Imipenem and Cilastatin for Injection, USP (I.V.) and other antibacterial drugs, Imipenem and Cilastatin for Injection, USP (I.V.) should be used only to treat infections that are proven or strongly suspected to be caused by bacteria ( 1.10).

1.5 Bacterial Septicemia

Imipenem and Cilastatin for Injection, USP (I.V.) is indicated for the treatment of bacterial septicemia caused by susceptible strains of Enterococcus faecalis, Staphylococcus aureus (penicillinase-producing isolates), Enterobacter species, Escherichia coli, Klebsiella species, Pseudomonas aeruginosa, Serratia species, Bacteroides species including B. fragilis.

12.1 Mechanism of Action

Imipenem and Cilastatin for Injection (I.V.) is a combination of imipenem and cilastatin. Imipenem is a penem antibacterial drug [see Microbiology ( 12.4)] . Cilastatin is a renal dehydropeptidase inhibitor that limits the renal metabolism of imipenem.

1.4 Gynecologic Infections

Imipenem and Cilastatin for Injection, USP (I.V.) is indicated for the treatment of gynecologic infections caused by susceptible strains of Enterococcus faecalis, Staphylococcus aureus (penicillinase-producing isolates), Staphylococcus epidermidis, Streptococcus agalactiae (Group B streptococci), Enterobacter species, Escherichia coli, Gardnerella vaginalis, Klebsiella species, Proteus species, Bifidobacterium species, Peptococcus species, Peptostreptococcus species, Propionibacterium species, Bacteroides species including B. fragilis.

5 Warnings and Precautions
  • Hypersensitivity Reactions: Serious and occasionally fatal hypersensitivity (anaphylactic) reactions have been reported in patients receiving therapy with beta-lactams. If an allergic reaction to Imipenem and Cilastatin for Injection (I.V.) occurs, discontinue the drug immediately ( 5.1).
  • Seizure Potential: Seizures and other CNS adverse reactions, such as confusional states and myoclonic activity, have been reported during treatment with Imipenem and Cilastatin for Injection (I.V.). If focal tremors, myoclonus, or seizures occur, patients should be evaluated neurologically, placed on anticonvulsant therapy if not already instituted, and the dosage of Imipenem and Cilastatin for Injection (I.V.) re-examined to determine whether it should be decreased, or the antibacterial drug discontinued ( 5.2).
  • Increased Seizure Potential Due to Interaction with Valproic Acid: Co-administration of Imipenem and Cilastatin for Injection (I.V.), to patients receiving valproic acid or divalproex sodium results in a reduction in valproic acid concentrations. The valproic acid concentrations may drop below the therapeutic range as a result of this interaction, therefore increasing the risk of breakthrough seizures. The concomitant use of Imipenem and Cilastatin for Injection (I.V.) and valproic acid/divalproex sodium is generally not recommended ( 5.3, 7.3).
  • Clostridioides difficile-Associated Diarrhea (CDAD): has been reported with use of Imipenem and Cilastatin for Injection (I.V.) and may range in severity from mild diarrhea to fatal colitis. Evaluate if diarrhea occurs ( 5.4).
2 Dosage and Administration
  • The dosage of Imipenem and Cilastatin for Injection (I.V.) in adult patients should be based on suspected or confirmed pathogen susceptibility ( 2.1).
  • For adult patients with normal renal function (creatinine clearance of greater than or equal to 90 mL/min), the recommended dosage regimens are: 500 mg every 6 hours OR 1,000 mg every 8 hours OR 1,000 mg every 6 hours ( 2.1).
  • See full prescribing information for dosage recommendations in pediatric patients ( 2.2).
  • A reduction in dose must be made for a patient with a creatinine clearance of less than 90 mL/min ( 2.3).
  • Patients with creatinine clearances of less than 15 mL/min should not receive Imipenem and Cilastatin for Injection (I.V.) unless hemodialysis is instituted within 48 hours ( 2.4).
  • Reconstitute Imipenem and Cilastatin for Injection, USP (I.V.) vial with appropriate diluent and dilute the reconstituted suspension with an appropriate infusion solution before administering by intravenous infusion ( 2.5).
3 Dosage Forms and Strengths

For Injection Imipenem and Cilastatin for Injection (I.V.) is a sterile powder mixture for reconstitution in single-dose vials containing:

  • 250 mg imipenem (anhydrous equivalent) and 250 mg cilastatin (free acid equivalent)
  • 500 mg imipenem (anhydrous equivalent) and 500 mg cilastatin (free acid equivalent)
5.4 Clostridioides Difficile

Clostridioides difficile associated diarrhea (CDAD) has been reported with use of nearly all antibacterial agents, including Imipenem and Cilastatin for Injection (I.V.), and may range in severity from mild diarrhea to fatal colitis. Treatment with antibacterial agents alters the normal flora of the colon leading to overgrowth of C. difficile.

C. difficile produces toxins A and B which contribute to the development of CDAD.

Hypertoxin producing strains of C. difficile cause increased morbidity and mortality, as these infections can be refractory to antimicrobial therapy and may require colectomy. CDAD must be considered in all patients who present with diarrhea following antibacterial drug use. Careful medical history is necessary since CDAD has been reported to occur over two months after the administration of antibacterial agents.

If CDAD is suspected or confirmed, ongoing antibacterial drug use not directed against C. difficile may need to be discontinued. Appropriate fluid and electrolyte management, protein supplementation, antibacterial drug treatment of C. difficile, and surgical evaluation should be instituted as clinically indicated.

6.2 Postmarketing Experience

The following adverse reactions have been identified during post-approval use of Imipenem and Cilastatin for Injection (I.V.). Because these reactions are reported voluntarily from a population of uncertain size, it is not always possible to reliably estimate their frequency or establish a causal relationship to drug exposure.

Table 8: Adverse Reactions Identified During Post Approval Use of Imipenem and Cilastatin for Injection (I.V.)
Body System Adverse Reactions
Gastrointestinal Hepatitis (including fulminant hepatitis)
Hepatic failure
Jaundice
Staining of the teeth and/or tongue
Hematologic Pancytopenia
Bone marrow depression
Thrombocytopenia
Neutropenia
Leukopenia
Hemolytic anemia
CNS Tremor
Psychic disturbances including hallucinations
Dyskinesia
Agitation
Special Senses Taste perversion
Skin Stevens-Johnson syndrome
Toxic epidermal necrolysis
Body as a whole Drug fever
Renal Acute renal failure
Urine discoloration
1.6 Bone and Joint Infections

Imipenem and Cilastatin for Injection, USP (I.V.) is indicated for the treatment of bone and joint infections caused by susceptible strains of Enterococcus faecalis, Staphylococcus aureus (penicillinase-producing isolates), Staphylococcus epidermidis, Enterobacter species, Pseudomonas aeruginosa.

8 Use in Specific Populations
  • Renal Impairment: Dosage adjustment is necessary in patients with renal impairment ( 2.3).
  • Adult patients with creatinine clearances of less than or equal to 30 mL/min, whether or not undergoing hemodialysis, had a higher risk of seizure activity than those without impairment of renal function ( 5.2).
  • Therefore, close adherence to the dosing guidelines and regular monitoring of creatinine clearance for these patients is recommended ( 8.6).
1.3 Intra Abdominal Infections

Imipenem and Cilastatin for Injection, USP (I.V.) is indicated for the treatment of intra-abdominal infections caused by susceptible strains of Enterococcus faecalis, Staphylococcus aureus (penicillinase-producing isolates), Staphylococcus epidermidis, Citrobacter species, Enterobacter species, Escherichia coli, Klebsiella species, Morganella morganii, Proteus species, Pseudomonas aeruginosa, Bifidobacterium species, Clostridium species, Eubacterium species, Peptococcus species, Peptostreptococcus species, Propionibacterium species, Bacteroides species including B. fragilis, Fusobacterium species.

5.1 Hypersensitivity Reactions

Serious and occasionally fatal hypersensitivity (anaphylactic) reactions have been reported in patients receiving therapy with beta-lactams. These reactions are more likely to occur in individuals with a history of sensitivity to multiple allergens.

There have been reports of individuals with a history of penicillin hypersensitivity who have experienced severe hypersensitivity reactions when treated with another beta-lactam. Before initiating therapy with Imipenem and Cilastatin for Injection (I.V.), careful inquiry should be made concerning previous hypersensitivity reactions to penicillins, cephalosporins, other beta-lactams and other allergens. If an allergic reaction to Imipenem and Cilastatin for Injection (I.V.) occurs, discontinue the drug immediately. Serious anaphylactic reactions require immediate emergency treatment as clinically indicated.

6.1 Clinical Trials Experience

Because clinical trials are conducted under widely varying conditions, adverse reaction rates observed in the clinical trials of a drug cannot be directly compared to rates in the clinical trials of another drug and may not reflect the rates observed in practice.

2.2 Dosage in Pediatric Patients

Imipenem and Cilastatin for Injection (I.V.) is not recommended in pediatric patients with CNS infections because of the risk of seizures [see Use in Specific Populations ( 8.4)] .

Imipenem and Cilastatin for Injection (I.V.) is not recommended in pediatric patients < 30 kg with renal impairment, as no data are available [see Use in Specific Populations ( 8.4)] .

Based on studies in adults, the maximum total daily dose in pediatric patients should not exceed 4 g/day [see Dosage and Administration ( 2.1)] .

The recommended dosage for pediatric patients with non-CNS infections is shown in Table 2 below:

Table 2: Recommended Imipenem and Cilastatin for Injection (I.V.) Dosage in Pediatric Patients for Non-CNS Infections

* Doses less than or equal to 500 mg should be given by intravenous infusion over 20 to 30 minutes

Doses greater than 500 mg should be given by intravenous infusion over 40 to 60 minutes

Age Dose (mg/kg) *, Frequency (hours)
Greater than or equal to 3 Months of Age
15-25 mg/kg Every 6 hours
Less than or equal to 3 months of age (Greater than or equal to 1,500 g body weight)
4 weeks to 3 months of age 25 mg/kg Every 6 hours
1 to 4 weeks of age 25 mg/kg Every 8 hours
Less than 1 week of age 25 mg/kg Every 12 hours

Recommend that the maximum total daily dosage not exceed 4 g/day

17 Patient Counseling Information
  • Advise patients that allergic reactions, including serious allergic reactions, could occur and that serious reactions require immediate treatment. They should report any previous hypersensitivity reactions to Imipenem and Cilastatin for Injection (I.V.), other carbapenems, beta-lactams or other allergens.
  • Counsel patients that antibacterial drugs including Imipenem and Cilastatin for Injection (I.V.) should only be used to treat bacterial infections. They do not treat viral infections (e.g., the common cold). When Imipenem and Cilastatin for Injection (I.V.) is prescribed to treat a bacterial infection, patients should be told that although it is common to feel better early in the course of therapy, the medication should be taken exactly as directed. Skipping doses or not completing the full course of therapy may (1) decrease the effectiveness of the immediate treatment and (2) increase the likelihood that bacteria will develop resistance and will not be treatable by Imipenem and Cilastatin for Injection (I.V.) or other antibacterial drugs in the future.
  • Counsel patients to inform their physician:
    • if they have central nervous system disorders such as stroke or history of seizures. Seizures have been reported during treatment with Imipenem and Cilastatin for Injection (I.V.) and with closely related antibacterial drugs.
    • if they are taking valproic acid or sodium valproate. Valproic acid concentrations in the blood may drop below the therapeutic range upon co-administration with Imipenem and Cilastatin for Injection (I.V.). If treatment with Imipenem and Cilastatin for Injection (I.V.) is necessary and continued, alternative or supplemental anti-convulsant medication to prevent and/or treat seizures may be needed.
  • Advise patients that diarrhea is a common problem caused by antibacterial drugs and usually resolves when the drug is discontinued. Sometimes, frequent watery or bloody diarrhea may occur and may be a sign of a more serious intestinal infection. If severe watery or bloody diarrhea develops, patients should contact their healthcare provider.

Novaplus is a registered trademark of Vizient, Inc.

Manufactured for:

Fresenius Kabi

Lake Zurich, IL 60047

Made in Italy

www.fresenius-kabi.com/us

451464D

2.4 Dosage in Hemodialysis Patients

When treating patients with creatinine clearances of less than 15 mL/min who are undergoing hemodialysis, use the dosage recommendations for patients with creatinine clearances of less than 30 to greater than or equal to 15 mL/min in Table 3 above [see Dosage and Administration ( 2.3)]. Both imipenem and cilastatin are cleared from the circulation during hemodialysis. The patient should receive Imipenem and Cilastatin for Injection (I.V.) after hemodialysis and at intervals timed from the end of that hemodialysis session. Dialysis patients, especially those with background CNS disease, should be carefully monitored; for patients on hemodialysis, Imipenem and Cilastatin for Injection (I.V.) is recommended only when the benefit outweighs the potential risk of seizures [see Warnings and Precautions ( 5.2)].

1.1 Lower Respiratory Tract Infections

Imipenem and Cilastatin for Injection, USP (I.V.) for intravenous use is indicated for the treatment of lower respiratory tract infections caused by susceptible strains of Staphylococcus aureus (penicillinase-producing isolates), Acinetobacter species, Enterobacter species, Escherichia coli, Haemophilus influenzae, Haemophilus parainfluenzae, Klebsiella species, Serratia marcescens.

1.7 Skin and Skin Structure Infections

Imipenem and Cilastatin for Injection, USP (I.V.) is indicated for the treatment of skin and skin structure infections caused by susceptible strains of Enterococcus faecalis, Staphylococcus aureus (penicillinase-producing isolates), Staphylococcus epidermidis, Acinetobacter species, Citrobacter species, Enterobacter species, Escherichia coli, Klebsiella species, Morganella morganii, Proteus vulgaris, Providencia rettgeri, Pseudomonas aeruginosa, Serratia species, Peptococcus species, Peptostreptococcus species, Bacteroides species including B. fragilis, Fusobacterium species.

5.5 Development of Drug Resistant Bacteria

As with other antibacterial drugs, prolonged use of Imipenem and Cilastatin for Injection (I.V.) may result in overgrowth of nonsusceptible organisms. Repeated evaluation of the patient's condition is essential. If superinfection occurs during therapy, appropriate measures should be taken.

Prescribing Imipenem and Cilastatin for Injection (I.V.) in the absence of a proven or strongly suspected bacterial infection or a prophylactic indication is unlikely to provide benefit to the patient and increases the risk of the development of drug-resistant bacteria.

2.3 Dosage in Adult Patients With Renal Impairment

Patients with creatinine clearance less than 90 mL/min require dosage reduction of Imipenem and Cilastatin for Injection (I.V.) as indicated in Table 3. The serum creatinine should represent a steady state of renal function. Use the Cockcroft-Gault method described below to calculate the creatinine clearance:

Males:      (weight in kg) x (140-age in years)
(72) x serum creatinine (mg/100 mL)
Females:  (0.85) x (value calculated for males)
Table 3: Dosage of Imipenem and Cilastatin for Injection (I.V.) for Adult Patients in Various Renal Function Groups Based on Estimated Creatinine Clearance (CLcr)

* Administer doses less than or equal to 500 mg by intravenous infusion over 20 to 30 minutes. Discard unused portion of the infusion solution.

Administer doses greater than 500 mg by intravenous infusion over 40 to 60 minutes. In patients who develop nausea during the infusion, the rate of infusion may be slowed.

Creatinine clearance (mL/min)
Greater than or equal to 90 Less than 90 to greater than or equal to 60 Less than 60 to greater than or equal to 30 Less than 30 to greater than or equal to 15
Dosage of Imipenem

and Cilastatin for

Injection (I.V.)*, If the infection is suspected or proven to be due to a susceptible bacterial species:
500 mg every

6 hours
400 mg every

6 hours
300 mg every

6 hours
200 mg every

6 hours
OR
1,000 mg every 8 hours 500 mg every

6 hours
500 mg every

8 hours
500 mg every

12 hours
Dosage of Imipenem and Cilastatin for

Injection (I.V.)*, If the infection is suspected or proven to be due to bacterial species with intermediate susceptibility

[see Microbiology ( 12.4)] :
1,000 mg every 6 hours 750 mg every

8 hours
500 mg every

6 hours
500 mg every

12 hours

In patients with creatinine clearances of less than 30 to greater than or equal to 15 mL/min, there may be an increased risk of seizures [see Warnings and Precautions ( 5.2) and Use in Specific Populations ( 8.6)] . Patients with creatinine clearance less than 15 mL/min should not receive Imipenem and Cilastatin for Injection (I.V.) unless hemodialysis is instituted within 48 hours. There is inadequate information to recommend usage of Imipenem and Cilastatin for Injection (I.V.) for patients undergoing peritoneal dialysis.

13.1 Carcinogenesis, Mutagenesis, Impairment of Fertility

Long term studies in animals have not been performed to evaluate carcinogenic potential of imipenem/cilastatin. A variety of bacterial and mammalian tests were performed to evaluate genetic toxicity. The tests used were: V79 mammalian cell mutagenesis assay (cilastatin sodium alone and imipenem alone), Ames test (cilastatin sodium alone and imipenem alone), unscheduled DNA synthesis assay (imipenem/cilastatin sodium) and in vivo mouse cytogenetics test (imipenem/cilastatin sodium). None of these tests showed any evidence of genetic alterations.

Impairment of fertility or reproductive performance was not observed in male and female rats given imipenem/cilastatin at intravenous doses up to 80 mg/kg/day and at a subcutaneous dose of 320 mg/kg/day. In rats, a dose of 320 mg/kg/day was approximately equal to the highest recommended human dose based on body surface area.

1.2 Urinary Tract Infections (complicated and Uncomplicated)

Imipenem and Cilastatin for Injection, USP (I.V.) is indicated for the treatment of urinary tract infections (complicated and uncomplicated) caused by susceptible strains of Enterococcus faecalis, Staphylococcus aureus (penicillinase-producing isolates), Enterobacter species, Escherichia coli, Klebsiella species, Morganella morganii, Proteus vulgaris, Providencia rettgeri, Pseudomonas aeruginosa.

5.3 Increased Seizure Potential Due to Interaction With Valproic Acid

Case reports in the literature have shown that co-administration of carbapenems, including Imipenem and Cilastatin for Injection (I.V.), to patients receiving valproic acid or divalproex sodium results in a reduction in valproic acid concentrations. The valproic acid concentrations may drop below the therapeutic range as a result of this interaction, therefore increasing the risk of breakthrough seizures. Increasing the dose of valproic acid or divalproex sodium may not be sufficient to overcome this interaction. The concomitant use of Imipenem and Cilastatin for Injection (I.V.) and valproic acid/divalproex sodium is generally not recommended.

Antibacterials other than carbapenems should be considered to treat infections in patients whose seizures are well controlled on valproic acid or divalproex sodium. If administration of Imipenem and Cilastatin for Injection (I.V.) is necessary, supplemental anti-convulsant therapy should be considered [see Drug Interactions ( 7.3)]. Close adherence to the recommended dosage and dosage schedules is urged, especially in patients with known factors that predispose to convulsive activity.

2.7 Incompatibility and Compatibility of Imipenem and Cilastatin for Injection (i.v.) With Other Antibacterial Drugs
  • Do not mix Imipenem and Cilastatin for Injection (I.V.) with, or physically add to, other antibacterial drugs.
  • Imipenem and Cilastatin for Injection (I.V.) may be administered concomitantly with other antibacterial drugs, such as aminoglycosides.

Structured Label Content

Section 42229-5 (42229-5)

Imipenem and Cilastatin for Injection (I.V.) Vials

  • Do not use diluents containing benzyl alcohol to reconstitute Imipenem and Cilastatin for Injection (I.V.) for administration to neonates because it has been associated with toxicity in neonates. While toxicity has not been demonstrated in pediatric patients greater than three months of age, small pediatric patients in this age range may also be at risk for benzyl alcohol toxicity.
  • Contents of the vials must be reconstituted by adding approximately 10 mL of the appropriate diluent to the vial. List of appropriate diluents are as follows:
    • 0.9% Sodium Chloride Injection
    • 5% Dextrose Injection
    • 5% Dextrose and 0.9% Sodium Chloride Injection
    • 5% Dextrose Injection with 0.225% or 0.45% saline solution
  • Reconstituted Solutions of Imipenem and Cilastatin for Injection (I.V.) range from colorless to yellow. Variations of color within this range do not affect the potency of the product.
  • The reconstituted suspension must not be administered by direct Intravenous Infusion.
  • After reconstitution, shake vial well and transfer the resulting suspension to 100 mL of an appropriate infusion solution before administering by intravenous infusion.
  • Repeat transfer of the resulting suspension with an additional 10 mL of infusion solution to ensure complete transfer of vial contents to the infusion solution. Agitate the resulting mixture until clear.
  • Parenteral drug products should be inspected visually for particulate matter and discoloration prior to administration, whenever solution and container permit.
  • Discard unused portion of the infusion solution where applicable.
Section 51945-4 (51945-4)

PACKAGE LABEL- PRINCIPAL DISPLAY - IMIPENEM AND CILASTATIN 250 mg Single Dose Vial Label

NDC 63323-349-21

NP349025

Imipenem and Cilastatin

for Injection, USP (I.V.)

250 mg/ 250 mg*

per vial

Rx only

*Each vial contains:

Imipenem USP 250 mg (Anhydrous Equivalent) and

Cilastatin Sodium USP equivalent to 250 mg Cilastatin

CAUTION: SINGLE-DOSE VIAL

NOT FOR DIRECT INFUSION

For I.V. Use Only

(trademark of Vizient, Inc.)

1.10 Usage

To reduce the development of drug-resistant bacteria and maintain the effectiveness of Imipenem and Cilastatin for Injection, USP (I.V.) and other antibacterial drugs, Imipenem and Cilastatin for Injection, USP (I.V.) should be used only to treat infections that are proven or strongly suspected to be caused by susceptible bacteria. When culture and susceptibility information are available, they should be considered in selecting or modifying antibacterial therapy. In the absence of such data, local epidemiology and susceptibility patterns may contribute to the empiric selection of therapy.

10 Overdosage (10 OVERDOSAGE)

In the case of overdosage, discontinue Imipenem and Cilastatin for Injection (I.V.), treat symptomatically, and institute supportive measures as required. Imipenem and Cilastatin for Injection (I.V.) is hemodialyzable.

11 Description (11 DESCRIPTION)

Imipenem and Cilastatin for Injection, USP (I.V.) (imipenem and cilastatin) for Injection is a sterile formulation of imipenem, a penem antibacterial, and cilastatin, a renal dehydropeptidase inhibitor with sodium bicarbonate added as a buffer. Imipenem and Cilastatin for Injection, USP (I.V.) is an antibacterial drug for intravenous administration.

Imipenem (N-formimidoylthienamycin monohydrate) is a crystalline derivative of thienamycin, which is produced by Streptomyces cattleya. Its chemical name is (5R,6S)-3-[[2-(formimidoylamino)ethyl]thio]-6-[(R)-1-hydroxyethyl]-7-oxo-1-azabicyclo[3.2.0]hept-2-ene-2-carboxylic acid monohydrate. It is an off-white, nonhygroscopic crystalline compound with a molecular weight of 317.37. It is sparingly soluble in water and slightly soluble in methanol. Its empirical formula is C 12H 17N 3O 4S•H 2O, and its structural formula is:

       

Cilastatin sodium is the sodium salt of a derivatized heptenoic acid. Its chemical name is sodium (Z)-7[[(R)-2-amino-2-carboxyethyl]thio]-2-[(S)-2,2-dimethylcyclopropanecarboxamido]-2-heptenoate. It is an off-white to yellowish-white, hygroscopic, amorphous compound with a molecular weight of 380.43. It is very soluble in water and in methanol. Its empirical formula is C 16H 25N 2O 5SNa, and its structural formula is:

       

Imipenem and Cilastatin for Injection, USP (I.V.) is buffered to provide solutions in the pH range of 6.5 to 8.5. There is no significant change in pH when solutions are prepared and used as directed. [see How Supplied/ Storage and Handling ( 16.1).] Each Imipenem and Cilastatin for Injection, USP (I.V.) 250 mg/250 mg vial contains imipenem USP 250 mg (anhydrous equivalent) and cilastatin sodium USP equivalent to 250 mg cilastatin and each 500 mg/500 mg vial contains imipenem USP 500 mg (anhydrous equivalent) and cilastatin sodium USP equivalent to 500 mg cilastatin. In addition, the 250 mg/250 mg vial contains 10 mg of sodium bicarbonate and the 500 mg/500 mg vial contains 20 mg of sodium bicarbonate. The sodium content of the 250 mg/250 mg vial is 18.8 mg (0.8 mEq) and the sodium content for the 500 mg/500 mg vial is 37.5 mg (1.6 mEq). Solutions of Imipenem and Cilastatin for Injection, USP (I.V.) range from colorless to yellow. Variations of color within this range do not affect the potency of the product.

7.2 Probenecid

Concomitant administration of Imipenem and Cilastatin for Injection (I.V.) and probenecid results in increases in the plasma level and half-life of imipenem. Therefore, it is not recommended that probenecid be given concomitantly with Imipenem and Cilastatin for Injection (I.V.).

7.1 Ganciclovir

Generalized seizures have been reported in patients who received ganciclovir and Imipenem and Cilastatin for Injection (I.V.). These drugs should not be used concomitantly with Imipenem and Cilastatin for Injection (I.V.) unless the potential benefits outweigh the risks.

1.8 Endocarditis

Imipenem and Cilastatin for Injection, USP (I.V.) is indicated for the treatment of endocarditis caused by susceptible strains of Staphylococcus aureus (penicillinase-producing isolates).

16.1 How Supplied

Imipenem and Cilastatin for Injection, USP (I.V.) is supplied as a sterile powder mixture in single-dose vials containing imipenem (anhydrous equivalent) and cilastatin (free acid equivalent) as follows:

Product Code Unit of Sale Strength Each
NP349025 NDC 63323-349-93

Unit of 25
250 mg imipenem

equivalent and

250 mg cilastatin

equivalent and

10 mg sodium bicarbonate

as a buffer
NDC 63323-349-21

20 mL Single-Dose Vial
NP342025 NDC 63323-322-93

Unit of 25
500 mg imipenem

equivalent and

500 mg cilastatin

equivalent and

20 mg sodium bicarbonate

as a buffer
NDC 63323-322-21

20 mL Single-Dose Vial
7.3 Valproic Acid

Case reports in the literature have shown that co-administration of carbapenems, including Imipenem and Cilastatin for Injection (I.V.), to patients receiving valproic acid or divalproex sodium results in a reduction in valproic acid concentrations. The valproic acid concentrations may drop below the therapeutic range as a result of this interaction, therefore increasing the risk of breakthrough seizures. Although the mechanism of this interaction is unknown, data from in vitro and animal studies suggest that carbapenems may inhibit the hydrolysis of valproic acid's glucuronide metabolite (VPA-g) back to valproic acid, thus decreasing the serum concentrations of valproic acid [see Warnings and Precautions ( 5.3)]. The concomitant use of Imipenem and Cilastatin for Injection (I.V.) and valproic acid/divalproex sodium is generally not recommended. Antibacterials other than carbapenems should be considered to treat infections in patients whose seizures are well-controlled on valproic acid or divalproex sodium.

8.4 Pediatric Use

Use of Imipenem and Cilastatin for Injection (I.V.) in pediatric patients is supported by evidence from adequate and well-controlled trials of Imipenem and Cilastatin for Injection (I.V.) in adults and clinical studies in pediatric patients [see Dosage and Administration ( 2.2) and Clinical Pharmacology ( 12.3)] .

Imipenem and Cilastatin for Injection (I.V.) is not recommended in pediatric patients with CNS infections because of the risk of seizures.

Imipenem and Cilastatin for Injection (I.V.) is not recommended in pediatric patients less than 30 kg with renal impairment, as no data are available.

8.5 Geriatric Use

Of the approximately 3,600 subjects ≥ 18 years of age in clinical studies of Imipenem and Cilastatin for Injection (I.V.), including postmarketing studies, approximately 2,800 received Imipenem and Cilastatin for Injection (I.V.). Of the subjects who received Imipenem and Cilastatin for Injection (I.V.), data are available on approximately 800 subjects who were 65 and over, including approximately 300 subjects who were 75 and over. No overall differences in safety or effectiveness were observed between these subjects and younger subjects. Other reported clinical experience has not identified differences in responses between the elderly and younger patients, but greater sensitivity of some older individuals cannot be ruled out.

This drug is known to be substantially excreted by the kidney, and the risk of toxic reactions to this drug may be greater in patients with impaired renal function. Because elderly patients are more likely to have decreased renal function, care should be taken in dose selection, and it may be useful to monitor renal function.

No dosage adjustment is required based on age [see Clinical Pharmacology ( 12.3)] . Dosage adjustment in the case of renal impairment is necessary [see Dosage and Administration ( 2.3)].

4 Contraindications (4 CONTRAINDICATIONS)

Imipenem and Cilastatin for Injection (I.V.) is contraindicated in patients who have shown hypersensitivity to any component of this product.

6 Adverse Reactions (6 ADVERSE REACTIONS)

The following serious adverse reactions are described in greater detail in the Warnings and Precautions section.

  • Hypersensitivity Reactions [see Warnings and Precautions ( 5.1)]
  • Seizure Potential [see Warnings and Precautions ( 5.2)]
  • Increased Seizure Potential Due to Interaction with Valproic Acid [see Warnings and Precautions ( 5.3)]
  • Clostridioides difficile-Associated Diarrhea (CDAD) [see Warnings and Precautions ( 5.4)]
  • Development of Drug-Resistant Bacteria [see Warnings and Precautions ( 5.5)]
7 Drug Interactions (7 DRUG INTERACTIONS)
  • Ganciclovir: Generalized seizures have been reported in patients who received ganciclovir. Do not co-administer unless benefit outweighs risk ( 7.1).
  • Probenecid: Concomitant administration of Imipenem and Cilastatin for Injection (I.V.) and probenecid results in increases in the plasma level and half-life of imipenem. Concomitant administration is not recommended ( 7.2).
  • Valproic acid/divalproex sodium: Concomitant use with Imipenem and Cilastatin for Injection (I.V.) is generally not recommended. Consider other antibacterial drugs to treat infections in patients whose seizures are well-controlled on valproic acid or divalproex sodium ( 5.3, 7.3).
2.1 Dosage in Adults

For Intravenous Injection Only

  • The dosage of Imipenem and Cilastatin for Injection (I.V.) in adult patients should be based on suspected or confirmed pathogen susceptibility as shown in Table 1 below. The dosage recommendations for Imipenem and Cilastatin for Injection (I.V.) represent the quantity of imipenem to be administered. An equivalent amount of cilastatin is also present in the solution.
  • These doses should be used for patients with creatinine clearance of greater than or equal to 90 mL/min. A reduction in dose must be made for patients with creatinine clearance less than 90 mL/min as shown in Table 3 [see Dosage and Administration ( 2.3)] .
  • Recommend that the maximum total daily dosage not exceed 4 g/day.
  • Administer 500 mg by intravenous infusion over 20 to 30 minutes.
  • Administer 1,000 mg by intravenous infusion over 40 to 60 minutes.
  • In patients who develop nausea during the infusion, the rate of infusion may be slowed.
Table 1: Dosage of Imipenem and Cilastatin for Injection (I.V.) in Adult Patients with Creatinine Clearance Greater than or Equal to 90 mL/min
Suspected or Proven Pathogen Susceptibility Dosage of Imipenem and Cilastatin for Injection (I.V.)
If the infection is suspected or proven to be due to a susceptible bacterial species 500 mg every 6 hours

OR

1,000 mg every 8 hours
If the infection is suspected or proven to be due to bacterial species with intermediate susceptibility

[see Microbiology ( 12.4)]
1,000 mg every 6 hours
8.6 Renal Impairment

Dosage adjustment is necessary in patients with renal impairment [see Dosage and Administration ( 2.3)] . Adult patients with creatinine clearances of less than or equal to 30 mL/min, whether or not undergoing hemodialysis, had a higher risk of seizure activity than those without impairment of renal function [see Warnings and Precautions ( 5.2)] . Therefore, close adherence to the dosing guidelines and regular monitoring of creatinine clearance for these patients is recommended.

12.3 Pharmacokinetics

Intravenous infusion of Imipenem and Cilastatin for Injection (I.V.) over 20 minutes results in peak plasma levels of imipenem antimicrobial activity that range from 21 to 58 mcg/mL for the 500 mg dose, and from 41 to 83 mcg/mL for the 1,000 mg dose. At these doses, plasma levels of imipenem antimicrobial activity decline to below 1 mcg/mL or less in 4 to 6 hours. Peak plasma levels of cilastatin following a 20-minute intravenous infusion of Imipenem and Cilastatin for Injection (I.V.) range from 31 to 49 mcg/mL for the 500 mg dose, and from 56 to 88 mcg/mL for the 1,000 mg dose.

5.2 Seizure Potential

Seizures and other CNS adverse experiences, such as confusional states and myoclonic activity, have been reported during treatment with Imipenem and Cilastatin for Injection (I.V.), especially when recommended dosages were exceeded [see Adverse Reactions ( 6.1, 6.2)]. These experiences have occurred most commonly in patients with CNS disorders (e.g., brain lesions or history of seizures) and/or compromised renal function [see Use in Specific Populations ( 8.6)] . However, there have been reports of CNS adverse experiences in patients who had no recognized or documented underlying CNS disorder or compromised renal function.

Anticonvulsant therapy should be continued in patients with known seizure disorders. If focal tremors, myoclonus, or seizures occur, patients should be evaluated neurologically, placed on anticonvulsant therapy if not already instituted, and the dosage of Imipenem and Cilastatin for Injection (I.V.) re-examined to determine whether it should be decreased, or the antibacterial drug discontinued.

1.9 Limitations of Use
  • Imipenem and Cilastatin for Injection, USP (I.V.) is not indicated in patients with meningitis because safety and efficacy have not been established.
  • Imipenem and Cilastatin for Injection, USP (I.V.) is not recommended in pediatric patients with CNS infections because of the risk of seizures [see Dosage and Administration ( 2.2), Warnings and Precautions ( 5.2), and Use in Specific Populations ( 8.4)] .
  • Imipenem and Cilastatin for Injection, USP (I.V.) is not recommended in pediatric patients less than 30 kg with impaired renal function, as no data are available [see Use in Specific Populations ( 8.4), and Dosage and Administration ( 2.2)] .
  • Periodic assessment of organ system functions, including renal, hepatic and hematopoietic, is advisable during prolonged therapy.
1 Indications and Usage (1 INDICATIONS AND USAGE)

Imipenem and Cilastatin for Injection, USP for intravenous use is a combination of imipenem, a penem antibacterial, and cilastatin, a renal dehydropeptidase inhibitor, indicated for the treatment of the following serious infections caused by designated susceptible bacteria:

  • Lower respiratory tract infections. ( 1.1)
  • Urinary tract infections. ( 1.2)
  • Intra-abdominal infections. ( 1.3)
  • Gynecologic infections. ( 1.4)
  • Bacterial septicemia. ( 1.5)
  • Bone and joint infections. ( 1.6)
  • Skin and skin structure infections. ( 1.7)
  • Endocarditis. ( 1.8)

Limitations of Use:

  • Imipenem and Cilastatin for Injection, USP (I.V.) is not indicated in patients with meningitis because safety and efficacy have not been established ( 1.9).
  • Imipenem and Cilastatin for Injection, USP (I.V.) is not recommended in pediatric patients with CNS infections because of the risk of seizures ( 1.9).
  • Imipenem and Cilastatin for Injection, USP (I.V.) is not recommended in pediatric patients weighing less than 30 kg with impaired renal function ( 1.9).

Usage:

To reduce the development of drug resistant bacteria and maintain the effectiveness of Imipenem and Cilastatin for Injection, USP (I.V.) and other antibacterial drugs, Imipenem and Cilastatin for Injection, USP (I.V.) should be used only to treat infections that are proven or strongly suspected to be caused by bacteria ( 1.10).

1.5 Bacterial Septicemia

Imipenem and Cilastatin for Injection, USP (I.V.) is indicated for the treatment of bacterial septicemia caused by susceptible strains of Enterococcus faecalis, Staphylococcus aureus (penicillinase-producing isolates), Enterobacter species, Escherichia coli, Klebsiella species, Pseudomonas aeruginosa, Serratia species, Bacteroides species including B. fragilis.

12.1 Mechanism of Action

Imipenem and Cilastatin for Injection (I.V.) is a combination of imipenem and cilastatin. Imipenem is a penem antibacterial drug [see Microbiology ( 12.4)] . Cilastatin is a renal dehydropeptidase inhibitor that limits the renal metabolism of imipenem.

1.4 Gynecologic Infections

Imipenem and Cilastatin for Injection, USP (I.V.) is indicated for the treatment of gynecologic infections caused by susceptible strains of Enterococcus faecalis, Staphylococcus aureus (penicillinase-producing isolates), Staphylococcus epidermidis, Streptococcus agalactiae (Group B streptococci), Enterobacter species, Escherichia coli, Gardnerella vaginalis, Klebsiella species, Proteus species, Bifidobacterium species, Peptococcus species, Peptostreptococcus species, Propionibacterium species, Bacteroides species including B. fragilis.

5 Warnings and Precautions (5 WARNINGS AND PRECAUTIONS)
  • Hypersensitivity Reactions: Serious and occasionally fatal hypersensitivity (anaphylactic) reactions have been reported in patients receiving therapy with beta-lactams. If an allergic reaction to Imipenem and Cilastatin for Injection (I.V.) occurs, discontinue the drug immediately ( 5.1).
  • Seizure Potential: Seizures and other CNS adverse reactions, such as confusional states and myoclonic activity, have been reported during treatment with Imipenem and Cilastatin for Injection (I.V.). If focal tremors, myoclonus, or seizures occur, patients should be evaluated neurologically, placed on anticonvulsant therapy if not already instituted, and the dosage of Imipenem and Cilastatin for Injection (I.V.) re-examined to determine whether it should be decreased, or the antibacterial drug discontinued ( 5.2).
  • Increased Seizure Potential Due to Interaction with Valproic Acid: Co-administration of Imipenem and Cilastatin for Injection (I.V.), to patients receiving valproic acid or divalproex sodium results in a reduction in valproic acid concentrations. The valproic acid concentrations may drop below the therapeutic range as a result of this interaction, therefore increasing the risk of breakthrough seizures. The concomitant use of Imipenem and Cilastatin for Injection (I.V.) and valproic acid/divalproex sodium is generally not recommended ( 5.3, 7.3).
  • Clostridioides difficile-Associated Diarrhea (CDAD): has been reported with use of Imipenem and Cilastatin for Injection (I.V.) and may range in severity from mild diarrhea to fatal colitis. Evaluate if diarrhea occurs ( 5.4).
2 Dosage and Administration (2 DOSAGE AND ADMINISTRATION)
  • The dosage of Imipenem and Cilastatin for Injection (I.V.) in adult patients should be based on suspected or confirmed pathogen susceptibility ( 2.1).
  • For adult patients with normal renal function (creatinine clearance of greater than or equal to 90 mL/min), the recommended dosage regimens are: 500 mg every 6 hours OR 1,000 mg every 8 hours OR 1,000 mg every 6 hours ( 2.1).
  • See full prescribing information for dosage recommendations in pediatric patients ( 2.2).
  • A reduction in dose must be made for a patient with a creatinine clearance of less than 90 mL/min ( 2.3).
  • Patients with creatinine clearances of less than 15 mL/min should not receive Imipenem and Cilastatin for Injection (I.V.) unless hemodialysis is instituted within 48 hours ( 2.4).
  • Reconstitute Imipenem and Cilastatin for Injection, USP (I.V.) vial with appropriate diluent and dilute the reconstituted suspension with an appropriate infusion solution before administering by intravenous infusion ( 2.5).
3 Dosage Forms and Strengths (3 DOSAGE FORMS AND STRENGTHS)

For Injection Imipenem and Cilastatin for Injection (I.V.) is a sterile powder mixture for reconstitution in single-dose vials containing:

  • 250 mg imipenem (anhydrous equivalent) and 250 mg cilastatin (free acid equivalent)
  • 500 mg imipenem (anhydrous equivalent) and 500 mg cilastatin (free acid equivalent)
5.4 Clostridioides Difficile (5.4 Clostridioides difficile)

Clostridioides difficile associated diarrhea (CDAD) has been reported with use of nearly all antibacterial agents, including Imipenem and Cilastatin for Injection (I.V.), and may range in severity from mild diarrhea to fatal colitis. Treatment with antibacterial agents alters the normal flora of the colon leading to overgrowth of C. difficile.

C. difficile produces toxins A and B which contribute to the development of CDAD.

Hypertoxin producing strains of C. difficile cause increased morbidity and mortality, as these infections can be refractory to antimicrobial therapy and may require colectomy. CDAD must be considered in all patients who present with diarrhea following antibacterial drug use. Careful medical history is necessary since CDAD has been reported to occur over two months after the administration of antibacterial agents.

If CDAD is suspected or confirmed, ongoing antibacterial drug use not directed against C. difficile may need to be discontinued. Appropriate fluid and electrolyte management, protein supplementation, antibacterial drug treatment of C. difficile, and surgical evaluation should be instituted as clinically indicated.

6.2 Postmarketing Experience

The following adverse reactions have been identified during post-approval use of Imipenem and Cilastatin for Injection (I.V.). Because these reactions are reported voluntarily from a population of uncertain size, it is not always possible to reliably estimate their frequency or establish a causal relationship to drug exposure.

Table 8: Adverse Reactions Identified During Post Approval Use of Imipenem and Cilastatin for Injection (I.V.)
Body System Adverse Reactions
Gastrointestinal Hepatitis (including fulminant hepatitis)
Hepatic failure
Jaundice
Staining of the teeth and/or tongue
Hematologic Pancytopenia
Bone marrow depression
Thrombocytopenia
Neutropenia
Leukopenia
Hemolytic anemia
CNS Tremor
Psychic disturbances including hallucinations
Dyskinesia
Agitation
Special Senses Taste perversion
Skin Stevens-Johnson syndrome
Toxic epidermal necrolysis
Body as a whole Drug fever
Renal Acute renal failure
Urine discoloration
1.6 Bone and Joint Infections

Imipenem and Cilastatin for Injection, USP (I.V.) is indicated for the treatment of bone and joint infections caused by susceptible strains of Enterococcus faecalis, Staphylococcus aureus (penicillinase-producing isolates), Staphylococcus epidermidis, Enterobacter species, Pseudomonas aeruginosa.

8 Use in Specific Populations (8 USE IN SPECIFIC POPULATIONS)
  • Renal Impairment: Dosage adjustment is necessary in patients with renal impairment ( 2.3).
  • Adult patients with creatinine clearances of less than or equal to 30 mL/min, whether or not undergoing hemodialysis, had a higher risk of seizure activity than those without impairment of renal function ( 5.2).
  • Therefore, close adherence to the dosing guidelines and regular monitoring of creatinine clearance for these patients is recommended ( 8.6).
1.3 Intra Abdominal Infections (1.3 Intra-Abdominal Infections)

Imipenem and Cilastatin for Injection, USP (I.V.) is indicated for the treatment of intra-abdominal infections caused by susceptible strains of Enterococcus faecalis, Staphylococcus aureus (penicillinase-producing isolates), Staphylococcus epidermidis, Citrobacter species, Enterobacter species, Escherichia coli, Klebsiella species, Morganella morganii, Proteus species, Pseudomonas aeruginosa, Bifidobacterium species, Clostridium species, Eubacterium species, Peptococcus species, Peptostreptococcus species, Propionibacterium species, Bacteroides species including B. fragilis, Fusobacterium species.

5.1 Hypersensitivity Reactions

Serious and occasionally fatal hypersensitivity (anaphylactic) reactions have been reported in patients receiving therapy with beta-lactams. These reactions are more likely to occur in individuals with a history of sensitivity to multiple allergens.

There have been reports of individuals with a history of penicillin hypersensitivity who have experienced severe hypersensitivity reactions when treated with another beta-lactam. Before initiating therapy with Imipenem and Cilastatin for Injection (I.V.), careful inquiry should be made concerning previous hypersensitivity reactions to penicillins, cephalosporins, other beta-lactams and other allergens. If an allergic reaction to Imipenem and Cilastatin for Injection (I.V.) occurs, discontinue the drug immediately. Serious anaphylactic reactions require immediate emergency treatment as clinically indicated.

6.1 Clinical Trials Experience

Because clinical trials are conducted under widely varying conditions, adverse reaction rates observed in the clinical trials of a drug cannot be directly compared to rates in the clinical trials of another drug and may not reflect the rates observed in practice.

2.2 Dosage in Pediatric Patients

Imipenem and Cilastatin for Injection (I.V.) is not recommended in pediatric patients with CNS infections because of the risk of seizures [see Use in Specific Populations ( 8.4)] .

Imipenem and Cilastatin for Injection (I.V.) is not recommended in pediatric patients < 30 kg with renal impairment, as no data are available [see Use in Specific Populations ( 8.4)] .

Based on studies in adults, the maximum total daily dose in pediatric patients should not exceed 4 g/day [see Dosage and Administration ( 2.1)] .

The recommended dosage for pediatric patients with non-CNS infections is shown in Table 2 below:

Table 2: Recommended Imipenem and Cilastatin for Injection (I.V.) Dosage in Pediatric Patients for Non-CNS Infections

* Doses less than or equal to 500 mg should be given by intravenous infusion over 20 to 30 minutes

Doses greater than 500 mg should be given by intravenous infusion over 40 to 60 minutes

Age Dose (mg/kg) *, Frequency (hours)
Greater than or equal to 3 Months of Age
15-25 mg/kg Every 6 hours
Less than or equal to 3 months of age (Greater than or equal to 1,500 g body weight)
4 weeks to 3 months of age 25 mg/kg Every 6 hours
1 to 4 weeks of age 25 mg/kg Every 8 hours
Less than 1 week of age 25 mg/kg Every 12 hours

Recommend that the maximum total daily dosage not exceed 4 g/day

17 Patient Counseling Information (17 PATIENT COUNSELING INFORMATION)
  • Advise patients that allergic reactions, including serious allergic reactions, could occur and that serious reactions require immediate treatment. They should report any previous hypersensitivity reactions to Imipenem and Cilastatin for Injection (I.V.), other carbapenems, beta-lactams or other allergens.
  • Counsel patients that antibacterial drugs including Imipenem and Cilastatin for Injection (I.V.) should only be used to treat bacterial infections. They do not treat viral infections (e.g., the common cold). When Imipenem and Cilastatin for Injection (I.V.) is prescribed to treat a bacterial infection, patients should be told that although it is common to feel better early in the course of therapy, the medication should be taken exactly as directed. Skipping doses or not completing the full course of therapy may (1) decrease the effectiveness of the immediate treatment and (2) increase the likelihood that bacteria will develop resistance and will not be treatable by Imipenem and Cilastatin for Injection (I.V.) or other antibacterial drugs in the future.
  • Counsel patients to inform their physician:
    • if they have central nervous system disorders such as stroke or history of seizures. Seizures have been reported during treatment with Imipenem and Cilastatin for Injection (I.V.) and with closely related antibacterial drugs.
    • if they are taking valproic acid or sodium valproate. Valproic acid concentrations in the blood may drop below the therapeutic range upon co-administration with Imipenem and Cilastatin for Injection (I.V.). If treatment with Imipenem and Cilastatin for Injection (I.V.) is necessary and continued, alternative or supplemental anti-convulsant medication to prevent and/or treat seizures may be needed.
  • Advise patients that diarrhea is a common problem caused by antibacterial drugs and usually resolves when the drug is discontinued. Sometimes, frequent watery or bloody diarrhea may occur and may be a sign of a more serious intestinal infection. If severe watery or bloody diarrhea develops, patients should contact their healthcare provider.

Novaplus is a registered trademark of Vizient, Inc.

Manufactured for:

Fresenius Kabi

Lake Zurich, IL 60047

Made in Italy

www.fresenius-kabi.com/us

451464D

2.4 Dosage in Hemodialysis Patients

When treating patients with creatinine clearances of less than 15 mL/min who are undergoing hemodialysis, use the dosage recommendations for patients with creatinine clearances of less than 30 to greater than or equal to 15 mL/min in Table 3 above [see Dosage and Administration ( 2.3)]. Both imipenem and cilastatin are cleared from the circulation during hemodialysis. The patient should receive Imipenem and Cilastatin for Injection (I.V.) after hemodialysis and at intervals timed from the end of that hemodialysis session. Dialysis patients, especially those with background CNS disease, should be carefully monitored; for patients on hemodialysis, Imipenem and Cilastatin for Injection (I.V.) is recommended only when the benefit outweighs the potential risk of seizures [see Warnings and Precautions ( 5.2)].

1.1 Lower Respiratory Tract Infections

Imipenem and Cilastatin for Injection, USP (I.V.) for intravenous use is indicated for the treatment of lower respiratory tract infections caused by susceptible strains of Staphylococcus aureus (penicillinase-producing isolates), Acinetobacter species, Enterobacter species, Escherichia coli, Haemophilus influenzae, Haemophilus parainfluenzae, Klebsiella species, Serratia marcescens.

1.7 Skin and Skin Structure Infections

Imipenem and Cilastatin for Injection, USP (I.V.) is indicated for the treatment of skin and skin structure infections caused by susceptible strains of Enterococcus faecalis, Staphylococcus aureus (penicillinase-producing isolates), Staphylococcus epidermidis, Acinetobacter species, Citrobacter species, Enterobacter species, Escherichia coli, Klebsiella species, Morganella morganii, Proteus vulgaris, Providencia rettgeri, Pseudomonas aeruginosa, Serratia species, Peptococcus species, Peptostreptococcus species, Bacteroides species including B. fragilis, Fusobacterium species.

5.5 Development of Drug Resistant Bacteria (5.5 Development of Drug-Resistant Bacteria)

As with other antibacterial drugs, prolonged use of Imipenem and Cilastatin for Injection (I.V.) may result in overgrowth of nonsusceptible organisms. Repeated evaluation of the patient's condition is essential. If superinfection occurs during therapy, appropriate measures should be taken.

Prescribing Imipenem and Cilastatin for Injection (I.V.) in the absence of a proven or strongly suspected bacterial infection or a prophylactic indication is unlikely to provide benefit to the patient and increases the risk of the development of drug-resistant bacteria.

2.3 Dosage in Adult Patients With Renal Impairment (2.3 Dosage in Adult Patients with Renal Impairment)

Patients with creatinine clearance less than 90 mL/min require dosage reduction of Imipenem and Cilastatin for Injection (I.V.) as indicated in Table 3. The serum creatinine should represent a steady state of renal function. Use the Cockcroft-Gault method described below to calculate the creatinine clearance:

Males:      (weight in kg) x (140-age in years)
(72) x serum creatinine (mg/100 mL)
Females:  (0.85) x (value calculated for males)
Table 3: Dosage of Imipenem and Cilastatin for Injection (I.V.) for Adult Patients in Various Renal Function Groups Based on Estimated Creatinine Clearance (CLcr)

* Administer doses less than or equal to 500 mg by intravenous infusion over 20 to 30 minutes. Discard unused portion of the infusion solution.

Administer doses greater than 500 mg by intravenous infusion over 40 to 60 minutes. In patients who develop nausea during the infusion, the rate of infusion may be slowed.

Creatinine clearance (mL/min)
Greater than or equal to 90 Less than 90 to greater than or equal to 60 Less than 60 to greater than or equal to 30 Less than 30 to greater than or equal to 15
Dosage of Imipenem

and Cilastatin for

Injection (I.V.)*, If the infection is suspected or proven to be due to a susceptible bacterial species:
500 mg every

6 hours
400 mg every

6 hours
300 mg every

6 hours
200 mg every

6 hours
OR
1,000 mg every 8 hours 500 mg every

6 hours
500 mg every

8 hours
500 mg every

12 hours
Dosage of Imipenem and Cilastatin for

Injection (I.V.)*, If the infection is suspected or proven to be due to bacterial species with intermediate susceptibility

[see Microbiology ( 12.4)] :
1,000 mg every 6 hours 750 mg every

8 hours
500 mg every

6 hours
500 mg every

12 hours

In patients with creatinine clearances of less than 30 to greater than or equal to 15 mL/min, there may be an increased risk of seizures [see Warnings and Precautions ( 5.2) and Use in Specific Populations ( 8.6)] . Patients with creatinine clearance less than 15 mL/min should not receive Imipenem and Cilastatin for Injection (I.V.) unless hemodialysis is instituted within 48 hours. There is inadequate information to recommend usage of Imipenem and Cilastatin for Injection (I.V.) for patients undergoing peritoneal dialysis.

13.1 Carcinogenesis, Mutagenesis, Impairment of Fertility

Long term studies in animals have not been performed to evaluate carcinogenic potential of imipenem/cilastatin. A variety of bacterial and mammalian tests were performed to evaluate genetic toxicity. The tests used were: V79 mammalian cell mutagenesis assay (cilastatin sodium alone and imipenem alone), Ames test (cilastatin sodium alone and imipenem alone), unscheduled DNA synthesis assay (imipenem/cilastatin sodium) and in vivo mouse cytogenetics test (imipenem/cilastatin sodium). None of these tests showed any evidence of genetic alterations.

Impairment of fertility or reproductive performance was not observed in male and female rats given imipenem/cilastatin at intravenous doses up to 80 mg/kg/day and at a subcutaneous dose of 320 mg/kg/day. In rats, a dose of 320 mg/kg/day was approximately equal to the highest recommended human dose based on body surface area.

1.2 Urinary Tract Infections (complicated and Uncomplicated) (1.2 Urinary Tract Infections (complicated and uncomplicated))

Imipenem and Cilastatin for Injection, USP (I.V.) is indicated for the treatment of urinary tract infections (complicated and uncomplicated) caused by susceptible strains of Enterococcus faecalis, Staphylococcus aureus (penicillinase-producing isolates), Enterobacter species, Escherichia coli, Klebsiella species, Morganella morganii, Proteus vulgaris, Providencia rettgeri, Pseudomonas aeruginosa.

5.3 Increased Seizure Potential Due to Interaction With Valproic Acid (5.3 Increased Seizure Potential Due to Interaction with Valproic Acid)

Case reports in the literature have shown that co-administration of carbapenems, including Imipenem and Cilastatin for Injection (I.V.), to patients receiving valproic acid or divalproex sodium results in a reduction in valproic acid concentrations. The valproic acid concentrations may drop below the therapeutic range as a result of this interaction, therefore increasing the risk of breakthrough seizures. Increasing the dose of valproic acid or divalproex sodium may not be sufficient to overcome this interaction. The concomitant use of Imipenem and Cilastatin for Injection (I.V.) and valproic acid/divalproex sodium is generally not recommended.

Antibacterials other than carbapenems should be considered to treat infections in patients whose seizures are well controlled on valproic acid or divalproex sodium. If administration of Imipenem and Cilastatin for Injection (I.V.) is necessary, supplemental anti-convulsant therapy should be considered [see Drug Interactions ( 7.3)]. Close adherence to the recommended dosage and dosage schedules is urged, especially in patients with known factors that predispose to convulsive activity.

2.7 Incompatibility and Compatibility of Imipenem and Cilastatin for Injection (i.v.) With Other Antibacterial Drugs (2.7 Incompatibility and Compatibility of Imipenem and Cilastatin for Injection (I.V.) with other Antibacterial Drugs)
  • Do not mix Imipenem and Cilastatin for Injection (I.V.) with, or physically add to, other antibacterial drugs.
  • Imipenem and Cilastatin for Injection (I.V.) may be administered concomitantly with other antibacterial drugs, such as aminoglycosides.

Advanced Ingredient Data


Raw Label Data

All Sections (JSON)