These Highlights Do Not Include All The Information Needed To Use Tiopronin Delayed-release Tablets Safely And Effectively. See Full Prescribing Information For Tiopronin Delayed-release Tablets.

These Highlights Do Not Include All The Information Needed To Use Tiopronin Delayed-release Tablets Safely And Effectively. See Full Prescribing Information For Tiopronin Delayed-release Tablets.
SPL v8
SPL
SPL Set ID ce5b1f97-5b3c-40b6-b1c4-1d36025be1b8
Route
ORAL
Published
Effective Date 2023-05-18
Document Type 34391-3 HUMAN PRESCRIPTION DRUG LABEL

Drug Facts

Composition & Product

Active Ingredients
Tiopronin (300 mg)
Inactive Ingredients
Alcohol Butyl Alcohol Fd&c Red No. 40 Hydroxypropyl Cellulose, Unspecified Hydroxypropyl Cellulose, Low Substituted Hypromellose 2910 (5 Mpa.s) Lactose Monohydrate Magnesium Stearate Methacrylic Acid And Ethyl Acrylate Copolymer Propylene Glycol Shellac Talc Titanium Dioxide Triethyl Citrate

Identifiers & Packaging

Pill Appearance
Imprint: L6 Shape: round Color: white Size: 11 mm Score: 1
Marketing Status
ANDA Active Since 2025-01-02

Description

Tiopronin delayed-release tablets are indicated, in combination with high fluid intake, alkali, and diet modification, for the prevention of cystine stone formation in adults and pediatric patients 9 years of age and older with severe homozygous cystinuria, who are not responsive to these measures alone. Additional pediatric use information is approved for Mission Pharmacal Company’s THIOLA EC (tiopronin) delayed-release tablets. However, due to Mission Pharmacal Company’s marketing exclusivity rights, this drug product is not labeled with that information.

Indications and Usage

Tiopronin delayed-release tablets are indicated, in combination with high fluid intake, alkali, and diet modification, for the prevention of cystine stone formation in adults and pediatric patients 9 years of age and older with severe homozygous cystinuria, who are not responsive to these measures alone. Additional pediatric use information is approved for Mission Pharmacal Company’s THIOLA EC (tiopronin) delayed-release tablets. However, due to Mission Pharmacal Company’s marketing exclusivity rights, this drug product is not labeled with that information.

Dosage and Administration

The recommended initial dosage in adult patients is 800 mg/day. In clinical studies, the average dosage was about 1,000 mg/day. (2.1) The recommended initial dosage in pediatric patients 9 years of age and older is 15 mg/kg/day. Avoid dosages greater than 50 mg/kg per day in pediatric patients . (5.1 , 8.4) Measure urinary cystine 1 month after initiation of tiopronin delayed-release tablets and every 3 months thereafter. (2.3) Administer tiopronin delayed-release tablets in 3 divided doses at the same times each day, with or without food. Maintain a routine pattern with regard to meals. (2.1) Tiopronin delayed-release tablets can be crushed and mixed with applesauce. For preparation and administration instructions, see the full prescribing information. (2.2)

Warnings and Precautions

Proteinuria, including nephrotic syndrome, and membranous nephropathy, has been reported with tiopronin use. Pediatric patients receiving greater than 50 mg/kg of tiopronin per day may be at increased risk for proteinuria. (2.1 , 5.1 , 8.4)   Hypersensitivity reactions have been reported during tiopronin treatment. (4 , 5.2)

Contraindications

Tiopronin delayed-release tablets are contraindicated in patients with hypersensitivity to tiopronin or any other components of tiopronin delayed-release tablets [see Warnings and Precautions (5.2) ] .

Adverse Reactions

The following adverse reactions are discussed in greater detail in other sections of the labeling: Proteinuria [see Warnings and Precautions (5.1) ] Hypersensitivity [see Warnings and Precautions (5.2) ]

Storage and Handling

Tiopronin Delayed-Release Tablets, 300 mg are supplied as round, white to off-white tablet imprinted with “L6” on one side with red ink and blank on the other side. They are available as follows: Bottles of 90 with child-resistant closure:                              NDC 60219-2009-9 Store at 20° to 25°C (68° to 77°F); excursions permitted between 15° to 30°C (59° to 86°F) [see USP Controlled Room Temperature]. Keep this and all medications out of the reach of children.

How Supplied

Tiopronin Delayed-Release Tablets, 300 mg are supplied as round, white to off-white tablet imprinted with “L6” on one side with red ink and blank on the other side. They are available as follows: Bottles of 90 with child-resistant closure:                              NDC 60219-2009-9 Store at 20° to 25°C (68° to 77°F); excursions permitted between 15° to 30°C (59° to 86°F) [see USP Controlled Room Temperature]. Keep this and all medications out of the reach of children.


Medication Information

Warnings and Precautions

Proteinuria, including nephrotic syndrome, and membranous nephropathy, has been reported with tiopronin use. Pediatric patients receiving greater than 50 mg/kg of tiopronin per day may be at increased risk for proteinuria. (2.1 , 5.1 , 8.4)   Hypersensitivity reactions have been reported during tiopronin treatment. (4 , 5.2)

Indications and Usage

Tiopronin delayed-release tablets are indicated, in combination with high fluid intake, alkali, and diet modification, for the prevention of cystine stone formation in adults and pediatric patients 9 years of age and older with severe homozygous cystinuria, who are not responsive to these measures alone. Additional pediatric use information is approved for Mission Pharmacal Company’s THIOLA EC (tiopronin) delayed-release tablets. However, due to Mission Pharmacal Company’s marketing exclusivity rights, this drug product is not labeled with that information.

Dosage and Administration

The recommended initial dosage in adult patients is 800 mg/day. In clinical studies, the average dosage was about 1,000 mg/day. (2.1) The recommended initial dosage in pediatric patients 9 years of age and older is 15 mg/kg/day. Avoid dosages greater than 50 mg/kg per day in pediatric patients . (5.1 , 8.4) Measure urinary cystine 1 month after initiation of tiopronin delayed-release tablets and every 3 months thereafter. (2.3) Administer tiopronin delayed-release tablets in 3 divided doses at the same times each day, with or without food. Maintain a routine pattern with regard to meals. (2.1) Tiopronin delayed-release tablets can be crushed and mixed with applesauce. For preparation and administration instructions, see the full prescribing information. (2.2)

Contraindications

Tiopronin delayed-release tablets are contraindicated in patients with hypersensitivity to tiopronin or any other components of tiopronin delayed-release tablets [see Warnings and Precautions (5.2) ] .

Adverse Reactions

The following adverse reactions are discussed in greater detail in other sections of the labeling: Proteinuria [see Warnings and Precautions (5.1) ] Hypersensitivity [see Warnings and Precautions (5.2) ]

Storage and Handling

Tiopronin Delayed-Release Tablets, 300 mg are supplied as round, white to off-white tablet imprinted with “L6” on one side with red ink and blank on the other side. They are available as follows: Bottles of 90 with child-resistant closure:                              NDC 60219-2009-9 Store at 20° to 25°C (68° to 77°F); excursions permitted between 15° to 30°C (59° to 86°F) [see USP Controlled Room Temperature]. Keep this and all medications out of the reach of children.

How Supplied

Tiopronin Delayed-Release Tablets, 300 mg are supplied as round, white to off-white tablet imprinted with “L6” on one side with red ink and blank on the other side. They are available as follows: Bottles of 90 with child-resistant closure:                              NDC 60219-2009-9 Store at 20° to 25°C (68° to 77°F); excursions permitted between 15° to 30°C (59° to 86°F) [see USP Controlled Room Temperature]. Keep this and all medications out of the reach of children.

Description

Tiopronin delayed-release tablets are indicated, in combination with high fluid intake, alkali, and diet modification, for the prevention of cystine stone formation in adults and pediatric patients 9 years of age and older with severe homozygous cystinuria, who are not responsive to these measures alone. Additional pediatric use information is approved for Mission Pharmacal Company’s THIOLA EC (tiopronin) delayed-release tablets. However, due to Mission Pharmacal Company’s marketing exclusivity rights, this drug product is not labeled with that information.

7.1 Alcohol

Tiopronin is released faster from tiopronin delayed-release tablets in the presence of alcohol and the risk for adverse events associated with tiopronin delayed-release tablets when taken with alcohol is unknown. Avoid alcohol consumption 2 hours before and 3 hours after taking tiopronin delayed-release tablets [see Clinical Pharmacology (12.3)].

10 Overdosage

There is no information on overdosage with tiopronin.

8.1 Pregnancy

Risk Summary

Available published case report data with tiopronin have not identified a drug-associated risk for major birth defects, miscarriage, or adverse maternal or fetal outcomes. Renal stones in pregnancy may result in adverse pregnancy outcomes (see Clinical Considerations). In animal reproduction studies, there were no adverse developmental outcomes with oral administration of tiopronin to pregnant mice and rats during organogenesis at doses up to 2 times a 2 grams/day human dose (based on mg/m2). The estimated background risk of major birth defects and miscarriage for the indicated population is unknown. All pregnancies have a background risk of birth defect, loss, or other adverse outcomes. In the U.S. general population, the estimated background risk of major birth defects and miscarriage in clinically recognized pregnancies are 2% to 4% and 15% to 20%, respectively.

Clinical Considerations

Disease-associated maternal and/or embryo/fetal risk

Renal stones in pregnancy may increase the risk of adverse pregnancy outcomes, such as preterm birth and low birth weight.

Data

Animal Data

No findings of fetal malformations could be attributed to the drug in reproduction studies in mice and rats at doses up to 2 times the highest recommended human dose of 2 grams/day (based on mg/m2).

8.2 Lactation

Risk Summary

There are no data on the presence of tiopronin in either human or animal milk or on the effects of the breastfed child. A published study suggests that tiopronin may suppress milk production. Because of the potential for serious adverse reactions, including nephrotic syndrome, advise patients that breastfeeding is not recommended during treatment with tiopronin delayed-release tablets. 

11 Description

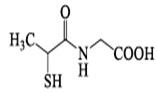
Tiopronin delayed-release tablets are a reducing and cystine-binding thiol drug (CBTD) for oral use. Tiopronin is N-(2-Mercaptopropionyl) glycine and has the following structure:

Tiopronin has the molecular formula C5H9NO3S and a molecular weight of 163.19 g/mol. In this drug product tiopronin exists as a dl racemic mixture.

Tiopronin is a white to off-white color crystalline powder, which is freely soluble in water.

Each tiopronin delayed-release tablet contains 300 mg of tiopronin. The inactive ingredients in tiopronin delayed-release tablets include lactose monohydrate, hydroxypropyl cellulose, hydroxypropyl cellulose (low substitute), magnesium stearate, hydroxypropyl methylcellulose E5, methacrylic acid and ethyl acrylate copolymer (Eudragit L 100-55), talc, triethyl citrate.

Each tablet is imprinted with red pharmaceutical ink which contains: alcohol, butyl alcohol, FD & C Red # 40, propylene glycol, shellac and titanium dioxide.

2.3 Monitoring

Measure urinary cystine 1 month after starting tiopronin delayed-release tablets and every 3 months thereafter. Adjust tiopronin delayed-release tablets dosage to maintain urinary cystine concentration less than 250 mg/L.

Assess for proteinuria before treatment and every 3 to 6 months during treatment [see Warnings and Precautions (5.1)].

Discontinue tiopronin delayed-release tablets in patients who develop proteinuria, and monitor urinary protein and renal function. Consider restarting tiopronin delayed-release tablets treatment at a lower dosage after resolution of proteinuria.

5.1 Proteinuria

Proteinuria, including nephrotic syndrome, and membranous nephropathy, have been reported with tiopronin use. Pediatric patients receiving greater than 50 mg/kg of tiopronin per day may be at increased risk for proteinuria [see Dosage and Administration (2.3)Adverse Reactions (6.16.2), Use in Specific Populations (8.4)]. Monitor patients for the development of proteinuria and discontinue therapy in patients who develop proteinuria [see Dosage and Administration (2.3)].

8.4 Pediatric Use

Tiopronin delayed-release tablets are indicated in pediatric patients 9 years of age and older with severe homozygous cystinuria, in combination with high fluid intake, alkali, and diet modification, for the prevention of cystine stone formation who are not responsive to these measures alone. This indication is based on safety and efficacy data from a trial in patients 9 years to 68 years of age and clinical experience. Proteinuria, including nephrotic syndrome, has been reported in pediatric patients. Pediatric patients receiving greater than 50 mg/kg tiopronin per day may be at greater risk [see Dosage and Administration (2.1, 2.3), Warnings and Precautions (5.1) and Adverse Reactions (6.1)].

Tiopronin delayed-release tablets are not approved for use in pediatric patients weighing less than 20 kg [see Dosage and Administration (2.1)].

Additional pediatric use information is approved for Mission Pharmacal Company’s THIOLA EC (tiopronin) delayed-release tablets. However, due to Mission Pharmacal Company’s marketing exclusivity rights, this drug product is not labeled with that information.

8.5 Geriatric Use

This drug is known to be substantially excreted by the kidney, and the risk of adverse reactions to this drug may be greater in patients with impaired renal function. Because elderly patients are more likely to have decreased renal function, care should be taken in dose selection, and it may be useful to monitor renal function.

4 Contraindications

Tiopronin delayed-release tablets are contraindicated in patients with hypersensitivity to tiopronin or any other components of tiopronin delayed-release tablets [see Warnings and Precautions (5.2)].

6 Adverse Reactions

The following adverse reactions are discussed in greater detail in other sections of the labeling:

12.2 Pharmacodynamics

The decrement in urinary cystine produced by tiopronin is generally proportional to the dose. A reduction in urinary cystine of 250 mg/day to 350 mg/day at tiopronin dosage of 1 g/day, and a decline of approximately 500 mg/day at a dosage of 2 g/day, might be expected. Tiopronin has a rapid onset and offset of action, showing a fall in cystine excretion on the first day of administration and a rise on the first day of drug withdrawal.

12.3 Pharmacokinetics

Absorption

Tiopronin Delayed-Release Tablets

When tiopronin immediate-release tablets and tiopronin delayed-release tablets single doses were given to fasted healthy subjects, the median time to peak plasma levels (Tmax) was 1 (range: 0.5 to 2.1) and 3 (range: 1.0 to 6.0) hours, respectively. The peak exposure (Cmax) and total exposure (AUC0-t) of tiopronin from tiopronin delayed-release tablets were decreased by 22% and 7% respectively compared to tiopronin immediate-release tablets.  

When tiopronin delayed-release tablets were administered crushed in applesauce, the median time to peak plasma levels of tiopronin (Tmax) was 1 hour (range: 0.5 to 2.0) compared to 3.1 hours (range: 1.5 to 4.0) when administered as intact EC tablets.

When tiopronin delayed-release tablets were administered crushed in applesauce, the maximum concentration (Cmax) and exposure (AUC0-t) to tiopronin were increased by 38% and 14%, respectively, compared to tiopronin delayed-release tablets administered intact.

Food Effects

Administration of the tiopronin delayed-release tablet with food decreases Cmax of tiopronin by 13% and AUC0-t by 25% compared to tiopronin delayed-release tablets administered in a fasted state.

Since the drug is dosed to effect, the study results support administration of tiopronin delayed-release tablets with or without food; administer at the same time each day with a routine pattern with regard to meals.

Elimination

Excretion

When tiopronin is given orally, up to 48% of dose appears in urine during the first 4 hours and up to 78% by 72 hours.

Drug Interactions

Alcohol

An in vitro dissolution study was conducted to evaluate the impact of alcohol (5%, 10%, 20%, and 40%) on the dose dumping of tiopronin delayed-release tablets. The study results showed that the addition of alcohol to the dissolution media increases the dissolution rate of tiopronin delayed-release tablets in the acidic media of 0.1 N HCl [see Drug Interactions (7.1)].

2.1 Recommended Dosage

Adults: The recommended initial dosage in adult patients is 800 mg/day. In clinical studies, the average dosage was about 1,000 mg/day.

Pediatrics: The recommended initial dosage in pediatric patients 9 years of age and older is 15 mg/kg/day. Avoid dosages greater than 50 mg/kg per day in pediatric patients [see Warnings and Precautions (5.1), Use in Specific Populations (8.4)].

Additional pediatric use information is approved for Mission Pharmacal Company’s THIOLA EC (tiopronin) delayed-release tablets. However, due to Mission Pharmacal Company’s marketing exclusivity rights, this drug product is not labeled with that information.

Administer tiopronin delayed-release tablets in 3 divided doses at the same times each day, with or without food. Maintain a routine pattern with regard to meals.

Consider starting tiopronin delayed-release tablets at a lower dosage in patients with history of severe toxicity to d-penicillamine.

1 Indications and Usage

Tiopronin delayed-release tablets are indicated, in combination with high fluid intake, alkali, and diet modification, for the prevention of cystine stone formation in adults and pediatric patients 9 years of age and older with severe homozygous cystinuria, who are not responsive to these measures alone.

Additional pediatric use information is approved for Mission Pharmacal Company’s THIOLA EC (tiopronin) delayed-release tablets. However, due to Mission Pharmacal Company’s marketing exclusivity rights, this drug product is not labeled with that information.

Principal Display Panel

NDC 60219-2009-9

Tiopronin Delayed-Release Tablets, 300 mg

Rx only

90 Tablets

Amneal Pharmaceuticals LLC





12.1 Mechanism of Action

The goal of therapy is to reduce urinary cystine concentration below its solubility limit. Tiopronin is an active reducing agent which undergoes thiol-disulfide exchange with cystine to form a mixed disulfide of tiopronin-cysteine. From this reaction, a water-soluble mixed disulfide is formed and the amount of sparingly soluble cystine is reduced.

5 Warnings and Precautions
  • Proteinuria, including nephrotic syndrome, and membranous nephropathy, has been reported with tiopronin use. Pediatric patients receiving greater than 50 mg/kg of tiopronin per day may be at increased risk for proteinuria. (2.1, 5.1, 8.4) 
  • Hypersensitivity reactions have been reported during tiopronin treatment. (4, 5.2)
2 Dosage and Administration
  • The recommended initial dosage in adult patients is 800 mg/day. In clinical studies, the average dosage was about 1,000 mg/day. (2.1)

  • The recommended initial dosage in pediatric patients 9 years of age and older is 15 mg/kg/day. Avoid dosages greater than 50 mg/kg per day in pediatric patients. (5.1, 8.4)

  • Measure urinary cystine 1 month after initiation of tiopronin delayed-release tablets and every 3 months thereafter. (2.3)

  • Administer tiopronin delayed-release tablets in 3 divided doses at the same times each day, with or without food. Maintain a routine pattern with regard to meals. (2.1)

  • Tiopronin delayed-release tablets can be crushed and mixed with applesauce. For preparation and administration instructions, see the full prescribing information. (2.2)

3 Dosage Forms and Strengths

Tiopronin Delayed-Release Tablets, for oral use:

  • 300 mg tablets: Round, white to off-white tablet imprinted with “L6” on one side with red ink and blank on the other side.
6.2 Post Marketing Experience

Adverse reactions have been reported from the literature, as well as during post-approval use of tiopronin. Because the post-approval reactions are reported voluntarily from a population of uncertain size, it is not always possible to reliably estimate their frequency or establish a causal relationship to tiopronin exposure.

Adverse reactions reported during the post-marketing use of tiopronin are listed by body system in Table 2.

Table 2: Adverse Reactions Reported for Tiopronin Pharmacovigilance by System Organ Class and Preferred Term

System Organ Class

Preferred Term

Cardiac Disorders

congestive heart failure

Ear and Labyrinth Disorder

vertigo

Gastrointestinal Disorders

abdominal discomfort; abdominal distension; abdominal pain; chapped lips; diarrhea; dry mouth; dyspepsia; eructation; flatulence; gastrointestinal disorder; gastroesophageal reflux disease; nausea; vomiting; jaundice; liver transaminitis

General Disorders and Administration Site Conditions

asthenia; chest pain; fatigue; malaise; pain; peripheral swelling; pyrexia; swelling

Investigations

glomerular filtration rate decreased; weight increased

Metabolism and Nutrition Disorders

decreased appetite; dehydration; hypophagia

Musculoskeletal and Connective Tissue Disorders

arthralgia; back pain; flank pain; joint swelling; limb discomfort; musculoskeletal discomfort; myalgia; neck pain; pain in extremity

Nervous System Disorders

ageusia; burning sensation; dizziness; dysgeusia; headache; hypoesthesia

Renal and Urinary Disorders

nephrotic syndrome; proteinuria; renal failure

Skin and Subcutaneous Tissue Disorders

dry skin; hyperhidrosis; pemphigus foliaceus; pruritus; rash; rash pruritic; skin irritation; skin texture abnormal; skin wrinkling; urticaria

8 Use in Specific Populations
  • Lactation: Breastfeeding is not recommended. (8.2)
  • Geriatric: Choose dose carefully and monitor renal function in the elderly. (8.5)

Additional pediatric use information is approved for Mission Pharmacal Company’s THIOLA EC (tiopronin) delayed-release tablets. However, due to Mission Pharmacal Company’s marketing exclusivity rights, this drug product is not labeled with that information.

 

6.1 Clinical Trials Experience

Because clinical trials are conducted under widely varying conditions, the adverse reaction rates observed in the clinical trials of the drug cannot be directly compared to rates in the clinical trials of another drug and may not reflect the rates observed in practice.

Adverse reactions occurring at an incidence of ≥ 5% in an uncontrolled trial in 66 patients with cystinuria age 9 to 68 years are shown in the table below. Patients in group 1 had previously been treated with d-penicillamine; those in group 2 had not. Of those patients who had stopped taking d-penicillamine due to toxicity (34 out of 49 patients in group 1), 22 were able to continue treatment with tiopronin. In those without prior history of d-penicillamine treatment, 6% developed reactions of sufficient severity to require tiopronin withdrawal.

Table 1 presents adverse reactions ≥ 5% in either treatment group occurring in this trial.

Table 1: Adverse Reactions Occurring in One or More Patients

System Organ Class

Adverse Reaction

Group 1

Previously treated with d-penicillamine

(N = 49)

Group 2

Naïve to d-penicillamine

(N = 17)

Blood and Lymphatic System Disorders

anemia

1 (2%)

1 (6%)

Gastrointestinal Disorders

nausea

12 (25%)

2 (12%)

emesis

5 (10%)

diarrhea/soft stools

9 (18%)

1 (6%)

abdominal pain

1 (6%)

oral ulcers

6 (12%)

3 (18%)

General Disorders and Administration Site Conditions

fever

4 (8%)

weakness

2 (4%)

2 (12%)

fatigue

7 (14%)

peripheral (edema)

3 (6%)

1 (6%)

chest pain

1 (6%)

Metabolism and Nutrition Disorders

anorexia

4 (8%)

Musculoskeletal and Connective Tissue Disorders

arthralgia

2 (12%)

Renal and Urinary Disorders

proteinuria

5 (10%)

1 (6%)

impotence

1 (6%)

Respiratory, Thoracic and Mediastinal Disorders

cough

1 (6%)

Skin and Subcutaneous Tissue Disorders

rash

7 (14%)

2 (12%)

ecchymosis

3 (6%)

pruritus

2 (4%)

1 (6%)

urticaria

4 (8%)

skin wrinkling

3 (6%)

1 (6%)

Taste Disturbance

A reduction in taste perception may develop. It is believed to be the result of chelation of trace metals by tiopronin. Hypogeusia is often self-limited.

5.2 hypersensitivity Reactions

Hypersensitivity reactions (drug fever, rash, fever, arthralgia and lymphadenopathy) have been reported [see Contraindications (4)].

17 Patient Counseling Information

Administration Instructions

For patients who cannot swallow the tablet whole, the tiopronin delayed-release tablets can be crushed and mixed with applesauce [see Dosage and Administration (2.2)] for preparation and administration instructions.

Lactation

Advise women that breastfeeding is not recommended during treatment with tiopronin delayed-release tablets [see Use in Specific Populations (8.2)].

Manufactured by:

Amneal Pharmaceuticals Pvt. Ltd.

Oral Solid Dosage Unit


Ahmedabad 382213, INDIA

Distributed by:

Amneal Pharmaceuticals LLC


Bridgewater, NJ 08807

Rev. 05-2023-01

16 How Supplied/storage and Handling

Tiopronin Delayed-Release Tablets, 300 mg are supplied as round, white to off-white tablet imprinted with “L6” on one side with red ink and blank on the other side.

They are available as follows:

Bottles of 90 with child-resistant closure:                              NDC 60219-2009-9

Store at 20° to 25°C (68° to 77°F); excursions permitted between 15° to 30°C (59° to 86°F) [see USP Controlled Room Temperature].

Keep this and all medications out of the reach of children.

2.2 Preparation and Administration Instructions

For patients who cannot swallow the tablet whole, tiopronin delayed-release tablets can be crushed and mixed with applesauce. Administration of tiopronin delayed-release tablets with other liquids or foods has not been studied and is not recommended.

Preparation and Administration of Tiopronin Delayed-Release Tablets Mixed in Applesauce

For patients who can swallow semi-solid food, tiopronin delayed-release tablets can be crushed and mixed with applesauce:

  • Crush the tiopronin delayed-release tablet in a clean pill crusher or mortar and pestle. Always crush one tablet at a time.
  • Measure approximately one tablespoon of applesauce and transfer it into a container with the crushed tiopronin delayed-release tablet.
  • Mix the crushed tiopronin delayed-release tablet in the applesauce until the powder is well dispersed.
  • Administer the entire tiopronin delayed-release tablet-applesauce mixture to the patient’s mouth immediately. However, if this is not possible, the mixture can be stored in a refrigerator for up to 2 hours after adding the crushed tablet to the applesauce. Discard any mixture that has not been given within 2 hours.
  • To assure that any leftover applesauce mixture from the container is recovered, add tap water to the same container, mix, and have the patient drink the water.
13.1 Carcinogenesis, Mutagenesis, Impairment of Fertility

Carcinogenesis

Long-term carcinogenicity studies in animals have not been performed.

Mutagenesis

Tiopronin was not genotoxic in the chromosomal aberration, sister chromatid exchange, and in vivo micronucleus assays.

Impairment of Fertility

High doses of tiopronin in experimental animals have been shown to interfere with maintenance of pregnancy and viability of the fetus. In 2 published male fertility studies in rats, tiopronin at 20 mg/kg/day intramuscular (IM) for 60 days induced reductions in testis, epididymis, vas deferens, and accessory sex glands weights and in the count and motility of cauda epididymal sperm.


Structured Label Content

7.1 Alcohol

Tiopronin is released faster from tiopronin delayed-release tablets in the presence of alcohol and the risk for adverse events associated with tiopronin delayed-release tablets when taken with alcohol is unknown. Avoid alcohol consumption 2 hours before and 3 hours after taking tiopronin delayed-release tablets [see Clinical Pharmacology (12.3)].

10 Overdosage (10 OVERDOSAGE)

There is no information on overdosage with tiopronin.

8.1 Pregnancy

Risk Summary

Available published case report data with tiopronin have not identified a drug-associated risk for major birth defects, miscarriage, or adverse maternal or fetal outcomes. Renal stones in pregnancy may result in adverse pregnancy outcomes (see Clinical Considerations). In animal reproduction studies, there were no adverse developmental outcomes with oral administration of tiopronin to pregnant mice and rats during organogenesis at doses up to 2 times a 2 grams/day human dose (based on mg/m2). The estimated background risk of major birth defects and miscarriage for the indicated population is unknown. All pregnancies have a background risk of birth defect, loss, or other adverse outcomes. In the U.S. general population, the estimated background risk of major birth defects and miscarriage in clinically recognized pregnancies are 2% to 4% and 15% to 20%, respectively.

Clinical Considerations

Disease-associated maternal and/or embryo/fetal risk

Renal stones in pregnancy may increase the risk of adverse pregnancy outcomes, such as preterm birth and low birth weight.

Data

Animal Data

No findings of fetal malformations could be attributed to the drug in reproduction studies in mice and rats at doses up to 2 times the highest recommended human dose of 2 grams/day (based on mg/m2).

8.2 Lactation

Risk Summary

There are no data on the presence of tiopronin in either human or animal milk or on the effects of the breastfed child. A published study suggests that tiopronin may suppress milk production. Because of the potential for serious adverse reactions, including nephrotic syndrome, advise patients that breastfeeding is not recommended during treatment with tiopronin delayed-release tablets. 

11 Description (11 DESCRIPTION)

Tiopronin delayed-release tablets are a reducing and cystine-binding thiol drug (CBTD) for oral use. Tiopronin is N-(2-Mercaptopropionyl) glycine and has the following structure:

Tiopronin has the molecular formula C5H9NO3S and a molecular weight of 163.19 g/mol. In this drug product tiopronin exists as a dl racemic mixture.

Tiopronin is a white to off-white color crystalline powder, which is freely soluble in water.

Each tiopronin delayed-release tablet contains 300 mg of tiopronin. The inactive ingredients in tiopronin delayed-release tablets include lactose monohydrate, hydroxypropyl cellulose, hydroxypropyl cellulose (low substitute), magnesium stearate, hydroxypropyl methylcellulose E5, methacrylic acid and ethyl acrylate copolymer (Eudragit L 100-55), talc, triethyl citrate.

Each tablet is imprinted with red pharmaceutical ink which contains: alcohol, butyl alcohol, FD & C Red # 40, propylene glycol, shellac and titanium dioxide.

2.3 Monitoring

Measure urinary cystine 1 month after starting tiopronin delayed-release tablets and every 3 months thereafter. Adjust tiopronin delayed-release tablets dosage to maintain urinary cystine concentration less than 250 mg/L.

Assess for proteinuria before treatment and every 3 to 6 months during treatment [see Warnings and Precautions (5.1)].

Discontinue tiopronin delayed-release tablets in patients who develop proteinuria, and monitor urinary protein and renal function. Consider restarting tiopronin delayed-release tablets treatment at a lower dosage after resolution of proteinuria.

5.1 Proteinuria

Proteinuria, including nephrotic syndrome, and membranous nephropathy, have been reported with tiopronin use. Pediatric patients receiving greater than 50 mg/kg of tiopronin per day may be at increased risk for proteinuria [see Dosage and Administration (2.3)Adverse Reactions (6.16.2), Use in Specific Populations (8.4)]. Monitor patients for the development of proteinuria and discontinue therapy in patients who develop proteinuria [see Dosage and Administration (2.3)].

8.4 Pediatric Use

Tiopronin delayed-release tablets are indicated in pediatric patients 9 years of age and older with severe homozygous cystinuria, in combination with high fluid intake, alkali, and diet modification, for the prevention of cystine stone formation who are not responsive to these measures alone. This indication is based on safety and efficacy data from a trial in patients 9 years to 68 years of age and clinical experience. Proteinuria, including nephrotic syndrome, has been reported in pediatric patients. Pediatric patients receiving greater than 50 mg/kg tiopronin per day may be at greater risk [see Dosage and Administration (2.1, 2.3), Warnings and Precautions (5.1) and Adverse Reactions (6.1)].

Tiopronin delayed-release tablets are not approved for use in pediatric patients weighing less than 20 kg [see Dosage and Administration (2.1)].

Additional pediatric use information is approved for Mission Pharmacal Company’s THIOLA EC (tiopronin) delayed-release tablets. However, due to Mission Pharmacal Company’s marketing exclusivity rights, this drug product is not labeled with that information.

8.5 Geriatric Use

This drug is known to be substantially excreted by the kidney, and the risk of adverse reactions to this drug may be greater in patients with impaired renal function. Because elderly patients are more likely to have decreased renal function, care should be taken in dose selection, and it may be useful to monitor renal function.

4 Contraindications (4 CONTRAINDICATIONS)

Tiopronin delayed-release tablets are contraindicated in patients with hypersensitivity to tiopronin or any other components of tiopronin delayed-release tablets [see Warnings and Precautions (5.2)].

6 Adverse Reactions (6 ADVERSE REACTIONS)

The following adverse reactions are discussed in greater detail in other sections of the labeling:

12.2 Pharmacodynamics

The decrement in urinary cystine produced by tiopronin is generally proportional to the dose. A reduction in urinary cystine of 250 mg/day to 350 mg/day at tiopronin dosage of 1 g/day, and a decline of approximately 500 mg/day at a dosage of 2 g/day, might be expected. Tiopronin has a rapid onset and offset of action, showing a fall in cystine excretion on the first day of administration and a rise on the first day of drug withdrawal.

12.3 Pharmacokinetics

Absorption

Tiopronin Delayed-Release Tablets

When tiopronin immediate-release tablets and tiopronin delayed-release tablets single doses were given to fasted healthy subjects, the median time to peak plasma levels (Tmax) was 1 (range: 0.5 to 2.1) and 3 (range: 1.0 to 6.0) hours, respectively. The peak exposure (Cmax) and total exposure (AUC0-t) of tiopronin from tiopronin delayed-release tablets were decreased by 22% and 7% respectively compared to tiopronin immediate-release tablets.  

When tiopronin delayed-release tablets were administered crushed in applesauce, the median time to peak plasma levels of tiopronin (Tmax) was 1 hour (range: 0.5 to 2.0) compared to 3.1 hours (range: 1.5 to 4.0) when administered as intact EC tablets.

When tiopronin delayed-release tablets were administered crushed in applesauce, the maximum concentration (Cmax) and exposure (AUC0-t) to tiopronin were increased by 38% and 14%, respectively, compared to tiopronin delayed-release tablets administered intact.

Food Effects

Administration of the tiopronin delayed-release tablet with food decreases Cmax of tiopronin by 13% and AUC0-t by 25% compared to tiopronin delayed-release tablets administered in a fasted state.

Since the drug is dosed to effect, the study results support administration of tiopronin delayed-release tablets with or without food; administer at the same time each day with a routine pattern with regard to meals.

Elimination

Excretion

When tiopronin is given orally, up to 48% of dose appears in urine during the first 4 hours and up to 78% by 72 hours.

Drug Interactions

Alcohol

An in vitro dissolution study was conducted to evaluate the impact of alcohol (5%, 10%, 20%, and 40%) on the dose dumping of tiopronin delayed-release tablets. The study results showed that the addition of alcohol to the dissolution media increases the dissolution rate of tiopronin delayed-release tablets in the acidic media of 0.1 N HCl [see Drug Interactions (7.1)].

2.1 Recommended Dosage

Adults: The recommended initial dosage in adult patients is 800 mg/day. In clinical studies, the average dosage was about 1,000 mg/day.

Pediatrics: The recommended initial dosage in pediatric patients 9 years of age and older is 15 mg/kg/day. Avoid dosages greater than 50 mg/kg per day in pediatric patients [see Warnings and Precautions (5.1), Use in Specific Populations (8.4)].

Additional pediatric use information is approved for Mission Pharmacal Company’s THIOLA EC (tiopronin) delayed-release tablets. However, due to Mission Pharmacal Company’s marketing exclusivity rights, this drug product is not labeled with that information.

Administer tiopronin delayed-release tablets in 3 divided doses at the same times each day, with or without food. Maintain a routine pattern with regard to meals.

Consider starting tiopronin delayed-release tablets at a lower dosage in patients with history of severe toxicity to d-penicillamine.

1 Indications and Usage (1 INDICATIONS AND USAGE)

Tiopronin delayed-release tablets are indicated, in combination with high fluid intake, alkali, and diet modification, for the prevention of cystine stone formation in adults and pediatric patients 9 years of age and older with severe homozygous cystinuria, who are not responsive to these measures alone.

Additional pediatric use information is approved for Mission Pharmacal Company’s THIOLA EC (tiopronin) delayed-release tablets. However, due to Mission Pharmacal Company’s marketing exclusivity rights, this drug product is not labeled with that information.

Principal Display Panel (PRINCIPAL DISPLAY PANEL)

NDC 60219-2009-9

Tiopronin Delayed-Release Tablets, 300 mg

Rx only

90 Tablets

Amneal Pharmaceuticals LLC





12.1 Mechanism of Action

The goal of therapy is to reduce urinary cystine concentration below its solubility limit. Tiopronin is an active reducing agent which undergoes thiol-disulfide exchange with cystine to form a mixed disulfide of tiopronin-cysteine. From this reaction, a water-soluble mixed disulfide is formed and the amount of sparingly soluble cystine is reduced.

5 Warnings and Precautions (5 WARNINGS AND PRECAUTIONS)
  • Proteinuria, including nephrotic syndrome, and membranous nephropathy, has been reported with tiopronin use. Pediatric patients receiving greater than 50 mg/kg of tiopronin per day may be at increased risk for proteinuria. (2.1, 5.1, 8.4) 
  • Hypersensitivity reactions have been reported during tiopronin treatment. (4, 5.2)
2 Dosage and Administration (2 DOSAGE AND ADMINISTRATION)
  • The recommended initial dosage in adult patients is 800 mg/day. In clinical studies, the average dosage was about 1,000 mg/day. (2.1)

  • The recommended initial dosage in pediatric patients 9 years of age and older is 15 mg/kg/day. Avoid dosages greater than 50 mg/kg per day in pediatric patients. (5.1, 8.4)

  • Measure urinary cystine 1 month after initiation of tiopronin delayed-release tablets and every 3 months thereafter. (2.3)

  • Administer tiopronin delayed-release tablets in 3 divided doses at the same times each day, with or without food. Maintain a routine pattern with regard to meals. (2.1)

  • Tiopronin delayed-release tablets can be crushed and mixed with applesauce. For preparation and administration instructions, see the full prescribing information. (2.2)

3 Dosage Forms and Strengths (3 DOSAGE FORMS AND STRENGTHS)

Tiopronin Delayed-Release Tablets, for oral use:

  • 300 mg tablets: Round, white to off-white tablet imprinted with “L6” on one side with red ink and blank on the other side.
6.2 Post Marketing Experience (6.2 Post-marketing Experience)

Adverse reactions have been reported from the literature, as well as during post-approval use of tiopronin. Because the post-approval reactions are reported voluntarily from a population of uncertain size, it is not always possible to reliably estimate their frequency or establish a causal relationship to tiopronin exposure.

Adverse reactions reported during the post-marketing use of tiopronin are listed by body system in Table 2.

Table 2: Adverse Reactions Reported for Tiopronin Pharmacovigilance by System Organ Class and Preferred Term

System Organ Class

Preferred Term

Cardiac Disorders

congestive heart failure

Ear and Labyrinth Disorder

vertigo

Gastrointestinal Disorders

abdominal discomfort; abdominal distension; abdominal pain; chapped lips; diarrhea; dry mouth; dyspepsia; eructation; flatulence; gastrointestinal disorder; gastroesophageal reflux disease; nausea; vomiting; jaundice; liver transaminitis

General Disorders and Administration Site Conditions

asthenia; chest pain; fatigue; malaise; pain; peripheral swelling; pyrexia; swelling

Investigations

glomerular filtration rate decreased; weight increased

Metabolism and Nutrition Disorders

decreased appetite; dehydration; hypophagia

Musculoskeletal and Connective Tissue Disorders

arthralgia; back pain; flank pain; joint swelling; limb discomfort; musculoskeletal discomfort; myalgia; neck pain; pain in extremity

Nervous System Disorders

ageusia; burning sensation; dizziness; dysgeusia; headache; hypoesthesia

Renal and Urinary Disorders

nephrotic syndrome; proteinuria; renal failure

Skin and Subcutaneous Tissue Disorders

dry skin; hyperhidrosis; pemphigus foliaceus; pruritus; rash; rash pruritic; skin irritation; skin texture abnormal; skin wrinkling; urticaria

8 Use in Specific Populations (8 USE IN SPECIFIC POPULATIONS)
  • Lactation: Breastfeeding is not recommended. (8.2)
  • Geriatric: Choose dose carefully and monitor renal function in the elderly. (8.5)

Additional pediatric use information is approved for Mission Pharmacal Company’s THIOLA EC (tiopronin) delayed-release tablets. However, due to Mission Pharmacal Company’s marketing exclusivity rights, this drug product is not labeled with that information.

 

6.1 Clinical Trials Experience

Because clinical trials are conducted under widely varying conditions, the adverse reaction rates observed in the clinical trials of the drug cannot be directly compared to rates in the clinical trials of another drug and may not reflect the rates observed in practice.

Adverse reactions occurring at an incidence of ≥ 5% in an uncontrolled trial in 66 patients with cystinuria age 9 to 68 years are shown in the table below. Patients in group 1 had previously been treated with d-penicillamine; those in group 2 had not. Of those patients who had stopped taking d-penicillamine due to toxicity (34 out of 49 patients in group 1), 22 were able to continue treatment with tiopronin. In those without prior history of d-penicillamine treatment, 6% developed reactions of sufficient severity to require tiopronin withdrawal.

Table 1 presents adverse reactions ≥ 5% in either treatment group occurring in this trial.

Table 1: Adverse Reactions Occurring in One or More Patients

System Organ Class

Adverse Reaction

Group 1

Previously treated with d-penicillamine

(N = 49)

Group 2

Naïve to d-penicillamine

(N = 17)

Blood and Lymphatic System Disorders

anemia

1 (2%)

1 (6%)

Gastrointestinal Disorders

nausea

12 (25%)

2 (12%)

emesis

5 (10%)

diarrhea/soft stools

9 (18%)

1 (6%)

abdominal pain

1 (6%)

oral ulcers

6 (12%)

3 (18%)

General Disorders and Administration Site Conditions

fever

4 (8%)

weakness

2 (4%)

2 (12%)

fatigue

7 (14%)

peripheral (edema)

3 (6%)

1 (6%)

chest pain

1 (6%)

Metabolism and Nutrition Disorders

anorexia

4 (8%)

Musculoskeletal and Connective Tissue Disorders

arthralgia

2 (12%)

Renal and Urinary Disorders

proteinuria

5 (10%)

1 (6%)

impotence

1 (6%)

Respiratory, Thoracic and Mediastinal Disorders

cough

1 (6%)

Skin and Subcutaneous Tissue Disorders

rash

7 (14%)

2 (12%)

ecchymosis

3 (6%)

pruritus

2 (4%)

1 (6%)

urticaria

4 (8%)

skin wrinkling

3 (6%)

1 (6%)

Taste Disturbance

A reduction in taste perception may develop. It is believed to be the result of chelation of trace metals by tiopronin. Hypogeusia is often self-limited.

5.2 hypersensitivity Reactions (5.2 Hypersensitivity Reactions)

Hypersensitivity reactions (drug fever, rash, fever, arthralgia and lymphadenopathy) have been reported [see Contraindications (4)].

17 Patient Counseling Information (17 PATIENT COUNSELING INFORMATION)

Administration Instructions

For patients who cannot swallow the tablet whole, the tiopronin delayed-release tablets can be crushed and mixed with applesauce [see Dosage and Administration (2.2)] for preparation and administration instructions.

Lactation

Advise women that breastfeeding is not recommended during treatment with tiopronin delayed-release tablets [see Use in Specific Populations (8.2)].

Manufactured by:

Amneal Pharmaceuticals Pvt. Ltd.

Oral Solid Dosage Unit


Ahmedabad 382213, INDIA

Distributed by:

Amneal Pharmaceuticals LLC


Bridgewater, NJ 08807

Rev. 05-2023-01

16 How Supplied/storage and Handling (16 HOW SUPPLIED/STORAGE AND HANDLING)

Tiopronin Delayed-Release Tablets, 300 mg are supplied as round, white to off-white tablet imprinted with “L6” on one side with red ink and blank on the other side.

They are available as follows:

Bottles of 90 with child-resistant closure:                              NDC 60219-2009-9

Store at 20° to 25°C (68° to 77°F); excursions permitted between 15° to 30°C (59° to 86°F) [see USP Controlled Room Temperature].

Keep this and all medications out of the reach of children.

2.2 Preparation and Administration Instructions

For patients who cannot swallow the tablet whole, tiopronin delayed-release tablets can be crushed and mixed with applesauce. Administration of tiopronin delayed-release tablets with other liquids or foods has not been studied and is not recommended.

Preparation and Administration of Tiopronin Delayed-Release Tablets Mixed in Applesauce

For patients who can swallow semi-solid food, tiopronin delayed-release tablets can be crushed and mixed with applesauce:

  • Crush the tiopronin delayed-release tablet in a clean pill crusher or mortar and pestle. Always crush one tablet at a time.
  • Measure approximately one tablespoon of applesauce and transfer it into a container with the crushed tiopronin delayed-release tablet.
  • Mix the crushed tiopronin delayed-release tablet in the applesauce until the powder is well dispersed.
  • Administer the entire tiopronin delayed-release tablet-applesauce mixture to the patient’s mouth immediately. However, if this is not possible, the mixture can be stored in a refrigerator for up to 2 hours after adding the crushed tablet to the applesauce. Discard any mixture that has not been given within 2 hours.
  • To assure that any leftover applesauce mixture from the container is recovered, add tap water to the same container, mix, and have the patient drink the water.
13.1 Carcinogenesis, Mutagenesis, Impairment of Fertility

Carcinogenesis

Long-term carcinogenicity studies in animals have not been performed.

Mutagenesis

Tiopronin was not genotoxic in the chromosomal aberration, sister chromatid exchange, and in vivo micronucleus assays.

Impairment of Fertility

High doses of tiopronin in experimental animals have been shown to interfere with maintenance of pregnancy and viability of the fetus. In 2 published male fertility studies in rats, tiopronin at 20 mg/kg/day intramuscular (IM) for 60 days induced reductions in testis, epididymis, vas deferens, and accessory sex glands weights and in the count and motility of cauda epididymal sperm.


Advanced Ingredient Data


Raw Label Data

All Sections (JSON)