These Highlights Do Not Include All The Information Needed To Use Famotidine Tablets Safely And Effectively. See Full Prescribing Information For Famotidine Tablets.

These Highlights Do Not Include All The Information Needed To Use Famotidine Tablets Safely And Effectively. See Full Prescribing Information For Famotidine Tablets.
SPL v13
SPL
SPL Set ID cc88fbdc-546e-332f-e053-2995a90a8ca7
Route
ORAL
Published
Effective Date 2021-03-19
Document Type 34391-3 HUMAN PRESCRIPTION DRUG LABEL

Drug Facts

Composition & Product

Active Ingredients
Famotidine (20 mg)
Inactive Ingredients
Cellulose, Microcrystalline Ferric Oxide Yellow Hypromelloses Magnesium Stearate Polyethylene Glycol 400 Silicon Dioxide Starch, Corn Talc Titanium Dioxide

Identifiers & Packaging

Pill Appearance
Imprint: C;119 Shape: round Color: yellow Size: 8 mm Score: 1
Marketing Status
ANDA Active Since 2021-09-22

Description

Famotidine tablets are indicated in adult and pediatric patients 40 kg and greater for the treatment of: • active duodenal ulcer (DU). • active gastric ulcer (GU). • symptomatic nonerosive gastroesophageal reflux disease (GERD). • erosive esophagitis due to GERD, diagnosed by biopsy. Famotidine tablets are indicated in adults for the: • treatment of pathological hypersecretory conditions (e.g., Zollinger-Ellison syndrome, multiple endocrine neoplasias). • reduction of the risk of duodenal ulcer recurrence.

Indications and Usage

Famotidine tablets are indicated in adult and pediatric patients 40 kg and greater for the treatment of: • active duodenal ulcer (DU). • active gastric ulcer (GU). • symptomatic nonerosive gastroesophageal reflux disease (GERD). • erosive esophagitis due to GERD, diagnosed by biopsy. Famotidine tablets are indicated in adults for the: • treatment of pathological hypersecretory conditions (e.g., Zollinger-Ellison syndrome, multiple endocrine neoplasias). • reduction of the risk of duodenal ulcer recurrence.

Dosage and Administration

Indication Recommended Dosage ( 2.1 ) Adult and Pediatric Patients 40 kg and greater Active DU 40 mg once daily; or 20 mg twice daily Active GastricUlcer 40 mg once daily GERD 20 mg twice daily Erosive Esophagitis 20 mg twice daily; or40 mg twice daily Adults Pathological Hypersecretory Conditions 20 mg every 6 hours; adjust to patient needs; maximum 160 mg every 6 hours Risk Reduction of DU Recurrence 20 mg once daily • See full prescribing information for complete dosing information, including dosing in renal impairment, and recommended treatment duration. ( 2.1 , 2.2 ) Administration ( 2.3 ): Take once daily before bedtime or twice daily in the morning and before bedtime with or without food.

Warnings and Precautions

• Central Nervous System (CNS) Adverse Reactions: Elderly patients and patients with renal impairment at increased risk; reduce the dosage. ( 2.2 , 5.1 , 8.5 ,  8.6 ) • GI Malignancy: Absence of GI symptoms does not preclude the presence of gastric malignancy; evaluate prior to initiating therapy. ( 5.2 )

Contraindications

Famotidine tablets are contraindicated in patients with a history of serious hypersensitivity reactions (e.g., anaphylaxis) to famotidine or other histamine-2 (H 2 ) receptor antagonists.

Adverse Reactions

The most common adverse reactions are: headache, dizziness, constipation, and diarrhea. ( 6.1 ) To report SUSPECTED ADVERSE REACTIONS, contact Dr. Reddy’s Laboratories, Inc. at 1-888-375-3784 or FDA at 1-800-FDA-1088 or www.fda.gov/medwatch.

Drug Interactions

• Drugs Dependent on Gastric pH for Absorption: Systemic exposure of the concomitant drug may be significantly reduced leading to loss of efficacy. See full prescribing information for a list of interacting drugs.( 7.1 ) • Tizanidine (CYP1A2) Substrate: Potential for substantial increases in blood concentrations of tizanidine resulting in hypotension, bradycardia orexcessive drowsiness; avoid concomitant use, if possible. ( 7.2 )

Storage and Handling

Famotidine tablets USP, 20 mg are yellow, film-coated, round shaped tablets with ‘C’ 119 on one side and plain on other side and are supplied in bottles of 60's counts - NDC 68645-594-59. Storage Store at 20°C to 25°C (68°F to 77°F) [see USP Controlled Room Temperature]. Dispense in a USP tight, light-resistant container.

How Supplied

Famotidine tablets USP, 20 mg are yellow, film-coated, round shaped tablets with ‘C’ 119 on one side and plain on other side and are supplied in bottles of 60's counts - NDC 68645-594-59. Storage Store at 20°C to 25°C (68°F to 77°F) [see USP Controlled Room Temperature]. Dispense in a USP tight, light-resistant container.


Medication Information

Warnings and Precautions

• Central Nervous System (CNS) Adverse Reactions: Elderly patients and patients with renal impairment at increased risk; reduce the dosage. ( 2.2 , 5.1 , 8.5 ,  8.6 ) • GI Malignancy: Absence of GI symptoms does not preclude the presence of gastric malignancy; evaluate prior to initiating therapy. ( 5.2 )

Indications and Usage

Famotidine tablets are indicated in adult and pediatric patients 40 kg and greater for the treatment of: • active duodenal ulcer (DU). • active gastric ulcer (GU). • symptomatic nonerosive gastroesophageal reflux disease (GERD). • erosive esophagitis due to GERD, diagnosed by biopsy. Famotidine tablets are indicated in adults for the: • treatment of pathological hypersecretory conditions (e.g., Zollinger-Ellison syndrome, multiple endocrine neoplasias). • reduction of the risk of duodenal ulcer recurrence.

Dosage and Administration

Indication Recommended Dosage ( 2.1 ) Adult and Pediatric Patients 40 kg and greater Active DU 40 mg once daily; or 20 mg twice daily Active GastricUlcer 40 mg once daily GERD 20 mg twice daily Erosive Esophagitis 20 mg twice daily; or40 mg twice daily Adults Pathological Hypersecretory Conditions 20 mg every 6 hours; adjust to patient needs; maximum 160 mg every 6 hours Risk Reduction of DU Recurrence 20 mg once daily • See full prescribing information for complete dosing information, including dosing in renal impairment, and recommended treatment duration. ( 2.1 , 2.2 ) Administration ( 2.3 ): Take once daily before bedtime or twice daily in the morning and before bedtime with or without food.

Contraindications

Famotidine tablets are contraindicated in patients with a history of serious hypersensitivity reactions (e.g., anaphylaxis) to famotidine or other histamine-2 (H 2 ) receptor antagonists.

Adverse Reactions

The most common adverse reactions are: headache, dizziness, constipation, and diarrhea. ( 6.1 ) To report SUSPECTED ADVERSE REACTIONS, contact Dr. Reddy’s Laboratories, Inc. at 1-888-375-3784 or FDA at 1-800-FDA-1088 or www.fda.gov/medwatch.

Drug Interactions

• Drugs Dependent on Gastric pH for Absorption: Systemic exposure of the concomitant drug may be significantly reduced leading to loss of efficacy. See full prescribing information for a list of interacting drugs.( 7.1 ) • Tizanidine (CYP1A2) Substrate: Potential for substantial increases in blood concentrations of tizanidine resulting in hypotension, bradycardia orexcessive drowsiness; avoid concomitant use, if possible. ( 7.2 )

Storage and Handling

Famotidine tablets USP, 20 mg are yellow, film-coated, round shaped tablets with ‘C’ 119 on one side and plain on other side and are supplied in bottles of 60's counts - NDC 68645-594-59. Storage Store at 20°C to 25°C (68°F to 77°F) [see USP Controlled Room Temperature]. Dispense in a USP tight, light-resistant container.

How Supplied

Famotidine tablets USP, 20 mg are yellow, film-coated, round shaped tablets with ‘C’ 119 on one side and plain on other side and are supplied in bottles of 60's counts - NDC 68645-594-59. Storage Store at 20°C to 25°C (68°F to 77°F) [see USP Controlled Room Temperature]. Dispense in a USP tight, light-resistant container.

Description

Famotidine tablets are indicated in adult and pediatric patients 40 kg and greater for the treatment of: • active duodenal ulcer (DU). • active gastric ulcer (GU). • symptomatic nonerosive gastroesophageal reflux disease (GERD). • erosive esophagitis due to GERD, diagnosed by biopsy. Famotidine tablets are indicated in adults for the: • treatment of pathological hypersecretory conditions (e.g., Zollinger-Ellison syndrome, multiple endocrine neoplasias). • reduction of the risk of duodenal ulcer recurrence.

10 Overdosage

The types of adverse reactions in overdosage of famotidine tablets are similar to the adverse reactions encountered with use of recommended dosages [see Adverse Reactions ( 6.1 )].

In the event of overdosage, treatment should be symptomatic and supportive. Unabsorbed material should be removed from the gastrointestinal tract, the patient should be monitored, and supportive therapy should be employed.

Due to low binding to plasma proteins, famotidine is eliminated by hemodialysis. There is limited experience on the usefulness of hemodialysis as a treatment for famotidine overdosage.

8.1 Pregnancy

Risk Summary

Available data with H 2-receptor antagonists, including famotidine, in pregnant women are insufficient to establish a drug-associated risk of major birth defects, miscarriage or adverse maternal or fetal outcomes. In animal reproduction studies, no adverse development effects were observed with oral administration of famotidine at doses up to approximately 243 and 122 times, respectively, the recommended human dose of 80 mg per day for the treatment of erosive esophagitis (see Data).

The estimated background risk for major birth defects and miscarriage for the indicated population is unknown. All pregnancies have a background risk of birth defect, loss, or other adverse outcomes. In the U.S. general population, the background risk of major birth defects and miscarriage in clinically recognized pregnancies is 2 to 4% and 15 to 20%, respectively.

Data

Animal Data

Reproductive studies have been performed in rats and rabbits at oral doses of up to 2,000 and 500 mg/kg/day, respectively, and in both species at intravenous doses of up to 200 mg/kg/day, and have revealed no significant evidence of impaired fertility or harm to the fetus due to famotidine. While no direct fetotoxic effects have been observed, sporadic abortions occurring only in mothers displaying marked decreased food intake were seen in some rabbits at oral doses of 200 mg/kg/day (about 49 times the recommended human dose of 80 mg per day, based on body surface area) or higher. There are, however, no adequate or well-controlled studies in pregnant women. Because animal reproductive studies are not always predictive of human response, this drug should be used during pregnancy only if clearly needed.

8.2 Lactation

Risk Summary

There are limited data available on the presence of famotidine in human breast milk. There were no effects on the breastfed infant. There are no data on famotidine effects on milk production. Famotidine is present in the milk of lactating rats (see Data).

The developmental and health benefits of breastfeeding should be considered along with the mother’s clinical need for famotidine and any potential adverse effects on the breastfed child from famotidine or from the underlying maternal condition.

Data

Animal Data

Transient growth depression was observed in young rats suckling from mothers treated with maternotoxic doses of famotidine at least 600 times the usual human dose.

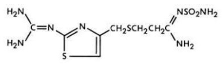
11 Description

The active ingredient in famotidine tablets, USP is a histamine-2 (H 2) receptor antagonist. Famotidine is N'-(aminosulfonyl)-3-[[[2-[(diaminomethylene)amino]-4-thiazolyl]methyl]thio] propanimidamide. The molecular formula of famotidine is C 8H 15N 7O 2S 3and its molecular weight is 337.45. Its structural formula is:

Each famotidine tablet, USP for oral administration contains either 20 mg or 40 mg of famotidine, USP and the following inactive ingredients: colloidal silicon dioxide, magnesium stearate, microcrystalline cellulose, pregelatinized starch and talc. The film coating consists hydroxypropyl methylcellulose, polyethylene glycol, synthetic yellow iron oxide and titanium dioxide.

Famotidine, USP is a white to pale yellowish-white, crystalline powder that is freely soluble in dimethylformamide, glacial acetic acid, slightly soluble in methanol, very slightly soluble in water, and practically insoluble in acetone, in alcohol, in chloroform, in ether and in ethyl acetate.

8.4 Pediatric Use

The safety and effectiveness of famotidine have been established in pediatric patients for the treatment of peptic ulcer disease (i.e., duodenal ulcer, gastric ulcer) and GERD (i.e., symptomatic nonerosive GERD, erosive esophagitis as diagnosed by endoscopy). The use of famotidine and the recommended dosage of famotidine in these pediatric patients is supported by evidence from adequate and well-controlled studies of famotidine in adults and published pharmacokinetic and pharmacodynamic data in pediatric patients [see Dosage and Administration ( 2.1 ), Clinical Pharmacology ( 12.2 , 12.3 )]. In pediatric patients, the safety and effectiveness for the treatment of pathological hypersecretory conditions and reduction of risk of duodenal ulcer recurrence have not been established.

Famotidine 20 and 40 mg tablets are not recommended for use in pediatric patients weighing less than 40 kg because these tablet strengths exceed the recommended dose for these patients [see Dosage and Administration ( 2.1 )]. For pediatric patients weighing less than 40 kg, consider another famotidine formulation (e.g., oral suspension, lower dose tablet).

8.5 Geriatric Use

Of the 1,442 famotidine-treated patients in clinical studies, approximately 10% were 65 and older. In these studies, no overall differences in safety or effectiveness were observed between elderly and younger patients. In postmarketing experience, CNS adverse reactions have been reported in elderly patients with and without renal impairment receiving famotidine [see Warnings and Precautions ( 5.1 )].

Famotidine is known to be substantially excreted by the kidney, and the risk of adverse reactions to famotidine may be greater in elderly patients, particularly those with impaired renal function [see Use in Specific Populations ( 8.6 )].

In general, use the lowest effective dose of famotidine for an elderly patient and monitor renal function [see Dosage and Administration ( 2.2 )].

14 Clinical Studies

4 Contraindications

Famotidine tablets are contraindicated in patients with a history of serious hypersensitivity reactions (e.g., anaphylaxis) to famotidine or other histamine-2 (H 2) receptor antagonists.

6 Adverse Reactions

7 Drug Interactions

12.2 Pharmacodynamics

Adults

Famotidine inhibited both basal and nocturnal gastric secretion, as well as secretion stimulated by food and pentagastrin. After oral administration of famotidine, the onset of the antisecretory effect occurred within one hour; the maximum effect was dose-dependent, occurring within one to three hours. Duration of inhibition of secretion by doses of 20 mg and 40 mg was 10 to 12 hours.

Single evening oral doses of 20 mg and 40 mg inhibited basal and nocturnal acid secretion in all subjects; mean nocturnal gastric acid secretion was inhibited by 86% and 94%, respectively, for a period of at least 10 hours. The same doses given in the morning suppressed food-stimulated acid secretion in all subjects. The mean suppression was 76% and 84%, respectively, 3 to 5 hours after administration, and 25% and 30%, respectively, 8 to 10 hours after administration. In some subjects who received the 20 mg dose, however, the antisecretory effect was dissipated within 6 to 8 hours. There was no cumulative effect with repeated doses. The nocturnal intragastric pH was raised by evening doses of 20 mg and 40 mg of famotidine to mean values of 5 and 6.4, respectively. When famotidine tablets were given after breakfast, the basal daytime interdigestive pH at 3 and 8 hours after 20 mg or 40 mg of famotidine was raised to about 5.

Famotidine had little or no effect on fasting or postprandial serum gastrin levels. Gastric emptying and exocrine pancreatic function were not affected by famotidine.

In clinical pharmacology studies, systemic effects of famotidine in the CNS, cardiovascular, respiratory or endocrine systems were not noted. Also, no anti-androgenic effects were noted. Serum hormone levels, including prolactin, cortisol, thyroxine (T 4), and testosterone, were not altered after treatment with famotidine.

Pediatric Patients

Pharmacodynamics of famotidine, assessed by gastric pH, were evaluated in 5 pediatric patients 2 to 13 years of age using the sigmoid E maxmodel. These data suggest that the relationship between serum concentration of famotidine and gastric acid suppression is similar to that observed in adults (see Table 3).

Table 3: Serum Concentrations of Famotidine Associated with Gastric Acid Reduction in Famotidine-Treated Pediatric and Adult Patients a

EC 50(ng/mL) a
Pediatric Patients 26 ± 13
Adults
Healthy adult subjects 26.5 ± 10.3
Adult patients with upper GI bleeding 18.7 ± 10.8

aUsing the Sigmoid E maxmodel, serum concentrations of famotidine associated with 50% maximum gastric acid reduction are presented as means ± SD.

In a study examining the effect of famotidine on gastric pH and duration of acid suppression in pediatric patients, four pediatric patients ages 11 to 15 years of age using the oral formulation at a dose of 0.5 mg/kg, maintained a gastric pH above 5 for 13.5 ± 1.8 hours.

12.3 Pharmacokinetics

Absorption

Famotidine is incompletely absorbed. The bioavailability of oral doses is 40 to 45%. Bioavailability may be slightly increased by food, or slightly decreased by antacids; however, these effects are of no clinical consequence.

Peak famotidine plasma levels occur in 1 to 3 hours. Plasma levels after multiple dosages are similar to those after single doses.

Distribution

Fifteen to 20% of famotidine in plasma is protein bound.

Elimination

Metabolism

Famotidine undergoes minimal first-pass metabolism. Twenty-five to 30% of an oral dose was recovered in the urine as unchanged compound. The only metabolite identified in humans is the S-oxide.

Excretion

Famotidine has an elimination half-life of 2.5 to 3.5 hours. Famotidine is eliminated by renal (65 to 70%) and metabolic (30 to 35%) routes. Renal clearance is 250 to 450 mL/minute, indicating some tubular excretion.

Specific Populations

Pediatric Patients

Bioavailability studies of 8 pediatric patients (11 to 15 years of age) showed a mean oral bioavailability of 0.5 compared to adult values of 0.42 to 0.49. Oral doses of 0.5 mg per kg achieved AUCs of 580 ± 60 ng•hr/mL in pediatric patients 11 to 15 years of age, compared to 482 ± 181 ng•hr/mL in adults treated with 40 mg orally.

Patients with Renal Impairment

In adult patients with severe renal impairment (creatinine clearance less than 30 mL/minute), the systemic exposure (AUC) of famotidine increased at least 5-fold. In patients with moderate renal impairment (creatinine clearance between 30 to 60 mL/minute), the AUC of famotidine increased at least 2-fold [see Dosage and Administration (2.2), Use in Specific Population (8.6)].

Drug Interaction Studies

Human Organic Anion Transporter (OAT) 1 and 3: In vitrostudies indicate that famotidine is a substrate for OAT1 and OAT3. Following coadministration of probenecid (1,500 mg), an inhibitor of OAT1 and OAT3, with a single oral 20 mg dose of famotidine in 8 healthy subjects, the serum AUC 0-10hof famotidine increased from 424 to 768 ng•hr/mL and the maximum serum concentration (C max) increased from 73 to 113 ng/mL. Renal clearance, urinary excretion rate and amount of famotidine excreted unchanged in urine were decreased. The clinical relevance of this interaction is unknown.

Multidrug and Toxin Extrusion Protein 1 (MATE-1): An in vitrostudy showed that famotidine is an inhibitor of MATE-1. However, no clinically significant interaction with metformin, a substrate for MATE-1, was observed.

CYP1A2: Famotidine is a weak CYP1A2 inhibitor.

8.6 Renal impairment

CNS adverse reactions and prolonged QT intervals have been reported in patients with moderate and severe renal impairment [see Warnings and Precautions ( 5.1 )].The clearance of famotidine is reduced in adults with moderate and severe renal impairment compared to adults with normal renal function [see Clinical Pharmacology ( 12.3 )]. No dosage adjustment is needed in patients with mild renal impairment (creatinine clearance greater than or equal to 60 mL/minute). Dosage reduction is recommended in adult and pediatric patients greater than or equal to 40 kg with moderate or severe renal impairment (creatinine clearance less than 60 mL/minute) [see Dosage and Administration ( 2.2 )].

1 Indications and Usage

Famotidine tablets are indicated in adult and pediatric patients 40 kg and greater for the treatment of:

• active duodenal ulcer (DU).

• active gastric ulcer (GU).

• symptomatic nonerosive gastroesophageal reflux disease (GERD).

• erosive esophagitis due to GERD, diagnosed by biopsy.

Famotidine tablets are indicated in adults for the:

• treatment of pathological hypersecretory conditions (e.g., Zollinger-Ellison syndrome, multiple endocrine neoplasias).

• reduction of the risk of duodenal ulcer recurrence.

2.1 Recommended dosage

Table 1 shows the recommended dosage of famotidine 20 mg and 40 mg tablets in adult and pediatric patients weighing 40 kg and greater with normal renal function. The use of famotidine 20 mg and 40 mg tablets is not recommended in pediatric patients weighing less than 40 kg because the lowest available strength (20 mg) exceeds the recommended dose for these patients. Use another famotidine formulation for pediatric patients weighing less than 40 kg.

Table 1: Recommended Dosage and Duration of Famotidine Tablets in Adult and Pediatric Patients 40 kg and Greater with Normal Renal Function

Indication Recommended Dosage Recommended Duration
Active duodenal ulcer (DU) 40 mg once daily; or 20 mg twice daily a Up to 8 weeks b,c
Active gastric ulcer 40 mg once daily Up to 8 weeks c
Symptomatic nonerosive GERD 20 mg twice daily Up to 6 weeks c
Erosive esophagitis diagnosed by endoscopy 20 mg twice daily; or 40 mg twice daily a Up to 12 weeks
Pathological hypersecretory conditions d Starting dosage: 20 mg every 6 hours; adjust dosage to individual patient needs Maximum dosage 160 mg every 6 hours As clinically indicated
Reduction of the risk of DU recurrence d 20 mg once daily 1 year cor as clinically indicated

aBoth dosages demonstrated effectiveness in clinical trials [see Clinical Studies ( 14 )].

bIn clinical trials, the majority of patients healed within 4 weeks. For patients who do not heal after 4 weeks, consider an additional 2 to 4 weeks of treatment [see Clinical Studies ( 14.1 )].

cLonger treatment durations have not been studied in clinical trials [see Clinical Studies ( 14.1 , 14.2 , 14.3 )].

dIn pediatric patients, the safety and effectiveness of famotidine have not been established for the reduction of the risk of duodenal ulcer recurrence or for treatment of pathological hypersecretory conditions [see Use in Specific Populations ( 8.4 )].

12 Clinical Pharmacology

12.1 Mechanism of Action

Famotidine is a competitive inhibitor of histamine-2 (H 2) receptors. The primary clinically important pharmacologic activity of famotidine is inhibition of gastric secretion. Both the acid concentration and volume of gastric secretion are suppressed by famotidine, while changes in pepsin secretion are proportional to volume output.

13 Nonclinical Toxicology

14.2 Active Gastric ulcer

In both a U.S. and an international multicenter, double-blind trials in patients with endoscopically confirmed active gastric ulcer (GU), orally administered famotidine 40 mg at bedtime was compared to placebo. Antacids were permitted during the trials, but consumption was not significantly different between the famotidine and placebo groups.

As shown in Table 5, the incidence of GU healing confirmed by endoscopy (dropouts counted as unhealed) with famotidine was greater than placebo at Weeks 6 and 8 in the U.S. trial, and at Weeks 4, 6 and 8 in the international trial. In these trials, most famotidine-treated patients healed within 6 weeks. Trials have not assessed the safety of famotidine in uncomplicated active GU for periods of more than 8 weeks.

Table 5: Patients with Endoscopically Confirmed Healed Gastric Ulcers

U.S. Study (N=149) International Study (N=294)
Famotidine40 mg at bedtime (N=74) Placebo at bedtime(N=75) Famotidine40 mg at bedtime (N=149) Placebo at bedtime (N=145)
Week 4 45% 39% 47% a 31%
Week 6 66% a 44% 65% a 46%
Week 8 78% b 64% 80% a 54%

ap≤0.01 vs. placebo

bp≤0.05 vs. placebo

Time to complete relief of daytime and nighttime pain was statistically significantly shorter for patients receiving famotidine than for patients receiving placebo; however, neither trial demonstrated a statistically significant difference in the proportion of patients whose pain was relieved by the end of the trial (Week 8).

5 Warnings and Precautions

14.1 Active Duodenal ulcer

In a U.S. multicenter, double-blind trial in adult outpatients with endoscopically confirmed duodenal ulcer (DU), orally administered famotidine was compared to placebo. As shown in Table 4, 70% of patients treated with famotidine 40 mg at bedtime were healed by Week 4. Most patients’ DU healed within 4 weeks.

Patients not healed by Week 4 were continued in the trial. By Week 8, 83% of patients treated with famotidine had healed DU, compared to 45% of patients treated with placebo. The incidence of DU healing with famotidine was greater than with placebo at each time point based on proportion of endoscopically confirmed healed DUs. Trials have not assessed the safety of famotidine in uncomplicated active DU for periods of more than 8 weeks.

Table 4: Patients with Endoscopically Confirmed Healed Duodenal Ulcers

Famotidine40 mg at bedtime

(N=89)
Famotidine20 mg twice daily

(N=84)
Placebo at bedtime

(N=97)
Week 2 32% a 38% a 17%
Week 4 70% a 67% a 31%

ap<0.001 vs. placebo

In this study, time to relief of daytime and nocturnal pain was shorter for patients receiving famotidine than for patients receiving placebo; patients receiving famotidine also took less antacid than patients receiving placebo.

2 Dosage and Administration

3 Dosage Forms and Strengths

• Famotidine tablets USP, 20 mg are yellow, film-coated, round shaped tablets with ‘C’

119

on one side and plain on other side.

• Famotidine tablets USP, 40 mg are yellow, film-coated, round shaped tablets with ‘C’

120

on one side and plain on other side.

6.2 Postmarketing Experience

The following adverse reactions have been identified during post-approval use of famotidine. Because these reactions are reported voluntarily from a population of uncertain size, it is not always possible to reliably estimate their frequency or establish a causal relationship to drug exposure.

Cardiovascular: arrhythmia, AV block, prolonged QT interval

Gastrointestinal: cholestatic jaundice, hepatitis

Hematologic: agranulocytosis, pancytopenia, leukopenia

Hypersensitivity: anaphylaxis, angioedema, facial edema, urticaria

Musculoskeletal: rhabdomyolysis, muscle cramps

Nervous System/Psychiatric:confusion, agitation, paresthesia

Respiratory: interstitial pneumonia

Skin: toxic epidermal necrolysis/Stevens-Johnson syndro

8 Use in Specific Populations

6.1 Clinical Trial experience

Because clinical trials are conducted under widely varying conditions, adverse reaction rates observed in the clinical trials of a drug cannot be directly compared to rates in the clinical trials of another drug and may not reflect the rates observed in practice.

Famotidine was studied in 7 U.S. and international placebo- and active-controlled trials in approximately 2,500 patients [see Clinical Studies (14)]. A total of 1,442 patients were treated with famotidine, including 302 treated with 40 mg twice daily, 456 treated with 20 mg twice daily, 461 treated with 40 mg once daily, and 396 treated with 20 mg once daily. The population was 17 to 91 years old, fairly well distributed between gender and race; however, the predominant race treated was Caucasian.

The following adverse reactions occurred in greater than or equal to 1% of famotidine-treated patients: headache, dizziness and constipation.

The following other adverse reactions were reported in less than 1% of patients in clinical trials:

Body as a Whole: fever, asthenia, fatigue

Cardiovascular:palpitations

Gastrointestinal: elevated liver enzymes, vomiting, nausea, abdominal discomfort, anorexia, dry mouth

Hematologic: thrombocytopenia

Hypersensitivity:orbital edema, rash, conjunctival injection, bronchospasm

Musculoskeletal: musculoskeletal pain, arthralgia

Nervous System/Psychiatric: seizure, hallucinations, depression, anxiety, decreased libido, insomnia, somnolence

Skin: pruritus, dry skin, flushing

Special Senses: tinnitus, taste disorder

Other: impotence

2.2 Dosage in Renal impairment

Dosage adjustments of famotidine tablets are recommended for patients with moderate to severe renal impairment (creatinine clearance less than 60 mL/min) [see Use in Specific Populations ( 8.6 )].Table 2 shows the recommended maximum dosage of famotidine 20 mg or 40 mg tablets for patients with renal impairment, by indication. Use the lowest effective dose. Some dosage adjustments may require switching to other formulations of famotidine (e.g., oral suspension, lower dose tablet).

Table 2: Recommended Maximum Dosage of Famotidine Tablets in Adult and Pediatric Patients 40 kg and Greater with Moderate and Severe Renal Impairment

Indication Recommended Maximum Dosages
Creatinine clearance 30 to 60 mL/minute Creatinine clearance less than 30 mL/minute
Active duodenal ulcer (DU) 20 mg once daily; or40 mg every other day 20 mg every other day a
Active gastric ulcer 20 mg once daily; or 40 mg every other day 20 mg every other day a
Symptomatic nonerosive GERD 20 mg once daily 20 mg every other day a
Erosive esophagitis diagnosed by endoscopy b 20 mg once daily; or 40 mg every other day b40 mg once daily b 20 mg every other day a,b20 mg once daily b
Pathological hypersecretory conditions c Avoid use d
Reduction of the risk of DU recurrence c 20 mg every other day a (see footnote) e

aAn alternate dosage regimen is 10 mg once daily. Since 20 mg or 40 mg tablet strength cannot be used for this dosage regimen, use an alternate famotidine formulation.

bDosage adjustments for renal impairment are provided for both dosing regimens (20 mg twice daily and 40 mg twice daily) which showed effectiveness for the treatment of erosive esophagitis in clinical trials [see Clinical Studies ( 14.4 )].

cIn pediatric patients, the safety and effectiveness of famotidine have not been established for the reduction of the risk of duodenal ulcer recurrence or for treatment of pathological hypersecretory conditions [see Use in Specific Populations ( 8.4 )].

dDoses required to treat pathological hypersecretory conditions may exceed the maximum doses evaluated in patients with impaired renal function. The risk for increased adverse reactions in renally impaired patients treated with famotidine for pathological hypersecretory conditions is unknown.

eRecommended dosage regimen is 10 mg every other day. Since 20 mg or 40 mg tablet strength cannot be used for this dosage regimen, use an alternate famotidine formulation.

2.3 Administration instructions

• Take famotidine tablets once daily before bedtime or twice daily in the morning and before bedtime, as recommended.

• Famotidine tablets may be taken with or without food [see Clinical Pharmacology ( 12.3 )].

• Famotidine tablets may be given with antacids.

17 Patient Counseling Information

Central Nervous System (CNS) Adverse Reactions

Advise elderly patients and those with moderate and severe renal impairment of the risk of CNS adverse reactions, including confusion, delirium, hallucinations, disorientation, agitation, seizures, and lethargy [see Warnings and Precautions ( 5.1 )]. Report symptoms immediately to a healthcare provider.

QT Prolongation

Advise patients with moderate and severe renal impairment of the risk of QT interval prolongation [see Use in Specific Populations ( 8.6 )].Report new cardiac symptoms, such as palpitations, fainting and dizziness or lightheadedness immediately to a healthcare provider.

Administration

Advise patients:

• Take famotidine tablets once daily before bedtime or twice daily in the morning and before bedtime, as recommended.

• Famotidine tablets may be taken with or without food.

• Famotidine tablets may be given with antacids.

Rx only

Distributor:

Dr. Reddy’s Laboratories Inc.,

Princeton, NJ 08540

Made in India

Distributed by:

Wal-Mart

Bentonville, AR 72716

Packaged by:

Legacy Pharmaceutical Packaging, LLC

Earth City, MO 63045

Bottles of 60 Tablets: 20mg NDC 68645-594-59

Revised: 1120

5.2 Concurrent Gastric malignancy

In adults, symptomatic response to therapy with famotidine does not preclude the presence of gastric malignancy. Consider evaluation for gastric malignancy in adult patients who have a suboptimal response or an early symptomatic relapse after completing treatment with famotidine tablets.

7.2 Tizanidine (cyp1a2 substrate)

Although not studied clinically, famotidine is considered a weak CYP1A2 inhibitor and may lead to substantial increases in blood concentrations of tizanidine, a CYP1A2 substrate. Avoid concomitant use with famotidine. If concomitant use is necessary, monitor for hypotension, bradycardia or excessive drowsiness. Refer to the full prescribing information for tizanidine

16 How Supplied/storage and Handling

Famotidine tablets USP, 20 mg are yellow, film-coated, round shaped tablets with ‘C’

119

on one side and plain on other side and are supplied in bottles of 60's counts - NDC 68645-594-59.

Storage

Store at 20°C to 25°C (68°F to 77°F) [see USP Controlled Room Temperature].

Dispense in a USP tight, light-resistant container.

14.4 Erosive Esophagitis Due To gerd

Healing of endoscopically verified erosion and symptomatic improvement were studied in a U.S. and an international double-blind trials. Healing was defined as complete resolution of all erosions visible with endoscopy. The U.S. trial comparing orally administered famotidine 40 mg twice daily to placebo and orally administered famotidine 20 mg twice daily showed a significantly greater percentage of healing of erosive esophagitis for famotidine 40 mg twice daily at Weeks 6 and 12 (Table 7).

Table 7: Patients with Endoscopic Healing of Erosive Esophagitis - U.S. Study (N=318)

Famotidine40 mg

twice daily

(N=127)
Famotidine20 mg

twice daily

(N=125)
Placebo twice daily

(N=66)
Week 6 48% a,b 32% 18%
Week 12 69% a,c 54% a 29%

ap≤0.01 vs. placebo

bp≤0.01 vs. famotidine 20 mg twice daily

cp≤0.05 vs. famotidine 20 mg twice daily

As compared to placebo, patients in the U.S. trial who received famotidine had faster relief of daytime and nighttime heartburn, and a greater percentage of famotidine-treated patients experienced complete relief of nighttime heartburn. These differences were statistically significant.

In the international trial, when orally administered famotidine 40 mg twice daily was compared to orally administered ranitidine 150 mg twice daily, a statistically significantly greater percentage of healing of erosive esophagitis was observed with famotidine 40 mg twice daily at Week 12 (Table 8). There was, however, no significant difference in symptom relief among treatment groups.

Table 8: Patients with Endoscopic Healing of Erosive Esophagitis - International Study (N=440)

Famotidine40 mg

twice daily

(N=175)
Famotidine20 mg

twice daily

(N=93)
Ranitidine150 mg

twice daily

(N=172)
Week 6 48% 52% 42%
Week 12 71% a 68% 60%

ap≤0.05 vs ranitidine 150 mg twice daily

14.5 Pathological Hypersecretory conditions

In trials of patients with pathological hypersecretory conditions such as Zollinger-Ellison syndrome with or without multiple endocrine neoplasias, famotidine significantly inhibited gastric acid secretion and controlled associated symptoms. Orally administered famotidine dosages from 20 mg to 160 mg every 6 hours maintained basal acid secretion below 10 mEq/hour; initial dosages were titrated to the individual patient need and subsequent adjustments were necessary with time in some patients.

5.1 Central Nervous System Adverse reactions

Central nervous system (CNS) adverse reactions, including confusion, delirium, hallucinations, disorientation, agitation, seizures, and lethargy, have been reported in elderly patients and patients with moderate and severe renal impairment treated with famotidine tablets. Since famotidine blood levels are higher in patients with renal impairment than in patients with normal renal function, dosage adjustments are recommended in patients with renal impairment [see Dosage and Administration ( 2.2 ), Clinical Pharmacology ( 12.3 )].

Package Label Principal Display Panel Section

Famotadine Tablets USP, 20 mg - 100s count

14.6 Risk Reduction of Duodenal Ulcer recurrence

Two randomized, double-blind, multicenter trials in patients with endoscopically confirmed healed DUs demonstrated that patients receiving treatment with orally administered famotidine 20 mg at bedtime had lower rates of DU recurrence, as compared with placebo.

• In the U.S. trial, DU recurrence within 12 months was 2.4 times greater in patients treated with placebo than in the patients treated with famotidine. The 89 famotidine-treated patients had a cumulative observed DU recurrence rate of 23%, compared to a 57% in the 89 patients receiving placebo (p<0.01).

• In the international trial, the cumulative observed DU recurrence within 12 months in the 307 famotidine-treated patients was 36%, compared to 76% in the 325 patients who received placebo (p<0.01).

Controlled trials have not extended beyond one year.

7.1 Drugs Dependent On Gastric Ph For absorption

Famotidine can reduce the absorption of other drugs, due to its effect on reducing intragastric acidity, leading to loss of efficacy of the concomitant drug.

Concomitant administration of famotidine with dasatinib, delavirdine mesylate, cefditoren, and fosamprenavir is not recommended.

See the prescribing information for other drugs dependent on gastric pH for absorption for administration instructions, including atazanavir, erlotinib, ketoconazole, itraconazole, ledipasvir/sofosbuvir, nilotinib, and rilpivirine.

14.3 Symptomatic Gastroesophageal Reflux Disease (gerd)

Orally administered famotidine was compared to placebo in a U.S. trial that enrolled patients with symptoms of GERD and without endoscopic evidence of esophageal erosion or ulceration. As shown in Table 6, patients treated with famotidine 20 mg twice daily had greater improvement in symptomatic GERD than patients treated with 40 mg at bedtime or placebo.

Table 6: Patients with Improvement of Symptomatic GERD (N=376)

Famotidine20 mg

twice daily

(N=154)
Famotidine40 mg

at bedtime

(N=149)
Placebo at bedtime

(N=73)
Week 6 82% a 69% 62%

ap≤0.01 vs. placebo

13.1 Carcinogenesis, Mutagenesis, Impairment of Fertility

Carcinogenic potential of famotidine was assessed in a 106-week oral carcinogenicity study in rats and a 92-week oral carcinogenicity study in mice. In the 106-week study in rats and the 92-week study in mice at oral doses of up to 2,000 mg/kg/day (approximately 243 and 122 times, respectively, based on body surface area, the recommended human dose of 80 mg per day for the treatment of erosive esophagitis), there was no evidence of carcinogenic potential for famotidine.

Famotidine was negative in the microbial mutagen test (Ames test) using Salmonella typhimuriumand Escherichia coliwith or without rat liver enzyme activation at concentrations up to 10,000 mcg/plate. In in vivostudies in mice, with a micronucleus test and a chromosomal aberration test, no evidence of a mutagenic effect was observed.

In studies with rats given oral doses of up to 2,000 mg/kg/day (approximately 243 times, based on body surface area, the recommended human dose of 80 mg per day) fertility and reproductive performance were not affected.


Structured Label Content

10 Overdosage (10 OVERDOSAGE)

The types of adverse reactions in overdosage of famotidine tablets are similar to the adverse reactions encountered with use of recommended dosages [see Adverse Reactions ( 6.1 )].

In the event of overdosage, treatment should be symptomatic and supportive. Unabsorbed material should be removed from the gastrointestinal tract, the patient should be monitored, and supportive therapy should be employed.

Due to low binding to plasma proteins, famotidine is eliminated by hemodialysis. There is limited experience on the usefulness of hemodialysis as a treatment for famotidine overdosage.

8.1 Pregnancy

Risk Summary

Available data with H 2-receptor antagonists, including famotidine, in pregnant women are insufficient to establish a drug-associated risk of major birth defects, miscarriage or adverse maternal or fetal outcomes. In animal reproduction studies, no adverse development effects were observed with oral administration of famotidine at doses up to approximately 243 and 122 times, respectively, the recommended human dose of 80 mg per day for the treatment of erosive esophagitis (see Data).

The estimated background risk for major birth defects and miscarriage for the indicated population is unknown. All pregnancies have a background risk of birth defect, loss, or other adverse outcomes. In the U.S. general population, the background risk of major birth defects and miscarriage in clinically recognized pregnancies is 2 to 4% and 15 to 20%, respectively.

Data

Animal Data

Reproductive studies have been performed in rats and rabbits at oral doses of up to 2,000 and 500 mg/kg/day, respectively, and in both species at intravenous doses of up to 200 mg/kg/day, and have revealed no significant evidence of impaired fertility or harm to the fetus due to famotidine. While no direct fetotoxic effects have been observed, sporadic abortions occurring only in mothers displaying marked decreased food intake were seen in some rabbits at oral doses of 200 mg/kg/day (about 49 times the recommended human dose of 80 mg per day, based on body surface area) or higher. There are, however, no adequate or well-controlled studies in pregnant women. Because animal reproductive studies are not always predictive of human response, this drug should be used during pregnancy only if clearly needed.

8.2 Lactation

Risk Summary

There are limited data available on the presence of famotidine in human breast milk. There were no effects on the breastfed infant. There are no data on famotidine effects on milk production. Famotidine is present in the milk of lactating rats (see Data).

The developmental and health benefits of breastfeeding should be considered along with the mother’s clinical need for famotidine and any potential adverse effects on the breastfed child from famotidine or from the underlying maternal condition.

Data

Animal Data

Transient growth depression was observed in young rats suckling from mothers treated with maternotoxic doses of famotidine at least 600 times the usual human dose.

11 Description (11 DESCRIPTION)

The active ingredient in famotidine tablets, USP is a histamine-2 (H 2) receptor antagonist. Famotidine is N'-(aminosulfonyl)-3-[[[2-[(diaminomethylene)amino]-4-thiazolyl]methyl]thio] propanimidamide. The molecular formula of famotidine is C 8H 15N 7O 2S 3and its molecular weight is 337.45. Its structural formula is:

Each famotidine tablet, USP for oral administration contains either 20 mg or 40 mg of famotidine, USP and the following inactive ingredients: colloidal silicon dioxide, magnesium stearate, microcrystalline cellulose, pregelatinized starch and talc. The film coating consists hydroxypropyl methylcellulose, polyethylene glycol, synthetic yellow iron oxide and titanium dioxide.

Famotidine, USP is a white to pale yellowish-white, crystalline powder that is freely soluble in dimethylformamide, glacial acetic acid, slightly soluble in methanol, very slightly soluble in water, and practically insoluble in acetone, in alcohol, in chloroform, in ether and in ethyl acetate.

8.4 Pediatric Use

The safety and effectiveness of famotidine have been established in pediatric patients for the treatment of peptic ulcer disease (i.e., duodenal ulcer, gastric ulcer) and GERD (i.e., symptomatic nonerosive GERD, erosive esophagitis as diagnosed by endoscopy). The use of famotidine and the recommended dosage of famotidine in these pediatric patients is supported by evidence from adequate and well-controlled studies of famotidine in adults and published pharmacokinetic and pharmacodynamic data in pediatric patients [see Dosage and Administration ( 2.1 ), Clinical Pharmacology ( 12.2 , 12.3 )]. In pediatric patients, the safety and effectiveness for the treatment of pathological hypersecretory conditions and reduction of risk of duodenal ulcer recurrence have not been established.

Famotidine 20 and 40 mg tablets are not recommended for use in pediatric patients weighing less than 40 kg because these tablet strengths exceed the recommended dose for these patients [see Dosage and Administration ( 2.1 )]. For pediatric patients weighing less than 40 kg, consider another famotidine formulation (e.g., oral suspension, lower dose tablet).

8.5 Geriatric Use

Of the 1,442 famotidine-treated patients in clinical studies, approximately 10% were 65 and older. In these studies, no overall differences in safety or effectiveness were observed between elderly and younger patients. In postmarketing experience, CNS adverse reactions have been reported in elderly patients with and without renal impairment receiving famotidine [see Warnings and Precautions ( 5.1 )].

Famotidine is known to be substantially excreted by the kidney, and the risk of adverse reactions to famotidine may be greater in elderly patients, particularly those with impaired renal function [see Use in Specific Populations ( 8.6 )].

In general, use the lowest effective dose of famotidine for an elderly patient and monitor renal function [see Dosage and Administration ( 2.2 )].

14 Clinical Studies (14 CLINICAL STUDIES)

4 Contraindications (4 CONTRAINDICATIONS)

Famotidine tablets are contraindicated in patients with a history of serious hypersensitivity reactions (e.g., anaphylaxis) to famotidine or other histamine-2 (H 2) receptor antagonists.

6 Adverse Reactions (6 ADVERSE REACTIONS)

7 Drug Interactions (7 DRUG INTERACTIONS)

12.2 Pharmacodynamics

Adults

Famotidine inhibited both basal and nocturnal gastric secretion, as well as secretion stimulated by food and pentagastrin. After oral administration of famotidine, the onset of the antisecretory effect occurred within one hour; the maximum effect was dose-dependent, occurring within one to three hours. Duration of inhibition of secretion by doses of 20 mg and 40 mg was 10 to 12 hours.

Single evening oral doses of 20 mg and 40 mg inhibited basal and nocturnal acid secretion in all subjects; mean nocturnal gastric acid secretion was inhibited by 86% and 94%, respectively, for a period of at least 10 hours. The same doses given in the morning suppressed food-stimulated acid secretion in all subjects. The mean suppression was 76% and 84%, respectively, 3 to 5 hours after administration, and 25% and 30%, respectively, 8 to 10 hours after administration. In some subjects who received the 20 mg dose, however, the antisecretory effect was dissipated within 6 to 8 hours. There was no cumulative effect with repeated doses. The nocturnal intragastric pH was raised by evening doses of 20 mg and 40 mg of famotidine to mean values of 5 and 6.4, respectively. When famotidine tablets were given after breakfast, the basal daytime interdigestive pH at 3 and 8 hours after 20 mg or 40 mg of famotidine was raised to about 5.

Famotidine had little or no effect on fasting or postprandial serum gastrin levels. Gastric emptying and exocrine pancreatic function were not affected by famotidine.

In clinical pharmacology studies, systemic effects of famotidine in the CNS, cardiovascular, respiratory or endocrine systems were not noted. Also, no anti-androgenic effects were noted. Serum hormone levels, including prolactin, cortisol, thyroxine (T 4), and testosterone, were not altered after treatment with famotidine.

Pediatric Patients

Pharmacodynamics of famotidine, assessed by gastric pH, were evaluated in 5 pediatric patients 2 to 13 years of age using the sigmoid E maxmodel. These data suggest that the relationship between serum concentration of famotidine and gastric acid suppression is similar to that observed in adults (see Table 3).

Table 3: Serum Concentrations of Famotidine Associated with Gastric Acid Reduction in Famotidine-Treated Pediatric and Adult Patients a

EC 50(ng/mL) a
Pediatric Patients 26 ± 13
Adults
Healthy adult subjects 26.5 ± 10.3
Adult patients with upper GI bleeding 18.7 ± 10.8

aUsing the Sigmoid E maxmodel, serum concentrations of famotidine associated with 50% maximum gastric acid reduction are presented as means ± SD.

In a study examining the effect of famotidine on gastric pH and duration of acid suppression in pediatric patients, four pediatric patients ages 11 to 15 years of age using the oral formulation at a dose of 0.5 mg/kg, maintained a gastric pH above 5 for 13.5 ± 1.8 hours.

12.3 Pharmacokinetics

Absorption

Famotidine is incompletely absorbed. The bioavailability of oral doses is 40 to 45%. Bioavailability may be slightly increased by food, or slightly decreased by antacids; however, these effects are of no clinical consequence.

Peak famotidine plasma levels occur in 1 to 3 hours. Plasma levels after multiple dosages are similar to those after single doses.

Distribution

Fifteen to 20% of famotidine in plasma is protein bound.

Elimination

Metabolism

Famotidine undergoes minimal first-pass metabolism. Twenty-five to 30% of an oral dose was recovered in the urine as unchanged compound. The only metabolite identified in humans is the S-oxide.

Excretion

Famotidine has an elimination half-life of 2.5 to 3.5 hours. Famotidine is eliminated by renal (65 to 70%) and metabolic (30 to 35%) routes. Renal clearance is 250 to 450 mL/minute, indicating some tubular excretion.

Specific Populations

Pediatric Patients

Bioavailability studies of 8 pediatric patients (11 to 15 years of age) showed a mean oral bioavailability of 0.5 compared to adult values of 0.42 to 0.49. Oral doses of 0.5 mg per kg achieved AUCs of 580 ± 60 ng•hr/mL in pediatric patients 11 to 15 years of age, compared to 482 ± 181 ng•hr/mL in adults treated with 40 mg orally.

Patients with Renal Impairment

In adult patients with severe renal impairment (creatinine clearance less than 30 mL/minute), the systemic exposure (AUC) of famotidine increased at least 5-fold. In patients with moderate renal impairment (creatinine clearance between 30 to 60 mL/minute), the AUC of famotidine increased at least 2-fold [see Dosage and Administration (2.2), Use in Specific Population (8.6)].

Drug Interaction Studies

Human Organic Anion Transporter (OAT) 1 and 3: In vitrostudies indicate that famotidine is a substrate for OAT1 and OAT3. Following coadministration of probenecid (1,500 mg), an inhibitor of OAT1 and OAT3, with a single oral 20 mg dose of famotidine in 8 healthy subjects, the serum AUC 0-10hof famotidine increased from 424 to 768 ng•hr/mL and the maximum serum concentration (C max) increased from 73 to 113 ng/mL. Renal clearance, urinary excretion rate and amount of famotidine excreted unchanged in urine were decreased. The clinical relevance of this interaction is unknown.

Multidrug and Toxin Extrusion Protein 1 (MATE-1): An in vitrostudy showed that famotidine is an inhibitor of MATE-1. However, no clinically significant interaction with metformin, a substrate for MATE-1, was observed.

CYP1A2: Famotidine is a weak CYP1A2 inhibitor.

8.6 Renal impairment (8.6 Renal Impairment)

CNS adverse reactions and prolonged QT intervals have been reported in patients with moderate and severe renal impairment [see Warnings and Precautions ( 5.1 )].The clearance of famotidine is reduced in adults with moderate and severe renal impairment compared to adults with normal renal function [see Clinical Pharmacology ( 12.3 )]. No dosage adjustment is needed in patients with mild renal impairment (creatinine clearance greater than or equal to 60 mL/minute). Dosage reduction is recommended in adult and pediatric patients greater than or equal to 40 kg with moderate or severe renal impairment (creatinine clearance less than 60 mL/minute) [see Dosage and Administration ( 2.2 )].

1 Indications and Usage (1 INDICATIONS AND USAGE)

Famotidine tablets are indicated in adult and pediatric patients 40 kg and greater for the treatment of:

• active duodenal ulcer (DU).

• active gastric ulcer (GU).

• symptomatic nonerosive gastroesophageal reflux disease (GERD).

• erosive esophagitis due to GERD, diagnosed by biopsy.

Famotidine tablets are indicated in adults for the:

• treatment of pathological hypersecretory conditions (e.g., Zollinger-Ellison syndrome, multiple endocrine neoplasias).

• reduction of the risk of duodenal ulcer recurrence.

2.1 Recommended dosage (2.1 Recommended Dosage)

Table 1 shows the recommended dosage of famotidine 20 mg and 40 mg tablets in adult and pediatric patients weighing 40 kg and greater with normal renal function. The use of famotidine 20 mg and 40 mg tablets is not recommended in pediatric patients weighing less than 40 kg because the lowest available strength (20 mg) exceeds the recommended dose for these patients. Use another famotidine formulation for pediatric patients weighing less than 40 kg.

Table 1: Recommended Dosage and Duration of Famotidine Tablets in Adult and Pediatric Patients 40 kg and Greater with Normal Renal Function

Indication Recommended Dosage Recommended Duration
Active duodenal ulcer (DU) 40 mg once daily; or 20 mg twice daily a Up to 8 weeks b,c
Active gastric ulcer 40 mg once daily Up to 8 weeks c
Symptomatic nonerosive GERD 20 mg twice daily Up to 6 weeks c
Erosive esophagitis diagnosed by endoscopy 20 mg twice daily; or 40 mg twice daily a Up to 12 weeks
Pathological hypersecretory conditions d Starting dosage: 20 mg every 6 hours; adjust dosage to individual patient needs Maximum dosage 160 mg every 6 hours As clinically indicated
Reduction of the risk of DU recurrence d 20 mg once daily 1 year cor as clinically indicated

aBoth dosages demonstrated effectiveness in clinical trials [see Clinical Studies ( 14 )].

bIn clinical trials, the majority of patients healed within 4 weeks. For patients who do not heal after 4 weeks, consider an additional 2 to 4 weeks of treatment [see Clinical Studies ( 14.1 )].

cLonger treatment durations have not been studied in clinical trials [see Clinical Studies ( 14.1 , 14.2 , 14.3 )].

dIn pediatric patients, the safety and effectiveness of famotidine have not been established for the reduction of the risk of duodenal ulcer recurrence or for treatment of pathological hypersecretory conditions [see Use in Specific Populations ( 8.4 )].

12 Clinical Pharmacology (12 CLINICAL PHARMACOLOGY)

12.1 Mechanism of Action

Famotidine is a competitive inhibitor of histamine-2 (H 2) receptors. The primary clinically important pharmacologic activity of famotidine is inhibition of gastric secretion. Both the acid concentration and volume of gastric secretion are suppressed by famotidine, while changes in pepsin secretion are proportional to volume output.

13 Nonclinical Toxicology (13 NONCLINICAL TOXICOLOGY)

14.2 Active Gastric ulcer (14.2 Active Gastric Ulcer)

In both a U.S. and an international multicenter, double-blind trials in patients with endoscopically confirmed active gastric ulcer (GU), orally administered famotidine 40 mg at bedtime was compared to placebo. Antacids were permitted during the trials, but consumption was not significantly different between the famotidine and placebo groups.

As shown in Table 5, the incidence of GU healing confirmed by endoscopy (dropouts counted as unhealed) with famotidine was greater than placebo at Weeks 6 and 8 in the U.S. trial, and at Weeks 4, 6 and 8 in the international trial. In these trials, most famotidine-treated patients healed within 6 weeks. Trials have not assessed the safety of famotidine in uncomplicated active GU for periods of more than 8 weeks.

Table 5: Patients with Endoscopically Confirmed Healed Gastric Ulcers

U.S. Study (N=149) International Study (N=294)
Famotidine40 mg at bedtime (N=74) Placebo at bedtime(N=75) Famotidine40 mg at bedtime (N=149) Placebo at bedtime (N=145)
Week 4 45% 39% 47% a 31%
Week 6 66% a 44% 65% a 46%
Week 8 78% b 64% 80% a 54%

ap≤0.01 vs. placebo

bp≤0.05 vs. placebo

Time to complete relief of daytime and nighttime pain was statistically significantly shorter for patients receiving famotidine than for patients receiving placebo; however, neither trial demonstrated a statistically significant difference in the proportion of patients whose pain was relieved by the end of the trial (Week 8).

5 Warnings and Precautions (5 WARNINGS AND PRECAUTIONS)

14.1 Active Duodenal ulcer (14.1 Active Duodenal Ulcer)

In a U.S. multicenter, double-blind trial in adult outpatients with endoscopically confirmed duodenal ulcer (DU), orally administered famotidine was compared to placebo. As shown in Table 4, 70% of patients treated with famotidine 40 mg at bedtime were healed by Week 4. Most patients’ DU healed within 4 weeks.

Patients not healed by Week 4 were continued in the trial. By Week 8, 83% of patients treated with famotidine had healed DU, compared to 45% of patients treated with placebo. The incidence of DU healing with famotidine was greater than with placebo at each time point based on proportion of endoscopically confirmed healed DUs. Trials have not assessed the safety of famotidine in uncomplicated active DU for periods of more than 8 weeks.

Table 4: Patients with Endoscopically Confirmed Healed Duodenal Ulcers

Famotidine40 mg at bedtime

(N=89)
Famotidine20 mg twice daily

(N=84)
Placebo at bedtime

(N=97)
Week 2 32% a 38% a 17%
Week 4 70% a 67% a 31%

ap<0.001 vs. placebo

In this study, time to relief of daytime and nocturnal pain was shorter for patients receiving famotidine than for patients receiving placebo; patients receiving famotidine also took less antacid than patients receiving placebo.

2 Dosage and Administration (2 DOSAGE AND ADMINISTRATION)

3 Dosage Forms and Strengths (3 DOSAGE FORMS AND STRENGTHS)

• Famotidine tablets USP, 20 mg are yellow, film-coated, round shaped tablets with ‘C’

119

on one side and plain on other side.

• Famotidine tablets USP, 40 mg are yellow, film-coated, round shaped tablets with ‘C’

120

on one side and plain on other side.

6.2 Postmarketing Experience

The following adverse reactions have been identified during post-approval use of famotidine. Because these reactions are reported voluntarily from a population of uncertain size, it is not always possible to reliably estimate their frequency or establish a causal relationship to drug exposure.

Cardiovascular: arrhythmia, AV block, prolonged QT interval

Gastrointestinal: cholestatic jaundice, hepatitis

Hematologic: agranulocytosis, pancytopenia, leukopenia

Hypersensitivity: anaphylaxis, angioedema, facial edema, urticaria

Musculoskeletal: rhabdomyolysis, muscle cramps

Nervous System/Psychiatric:confusion, agitation, paresthesia

Respiratory: interstitial pneumonia

Skin: toxic epidermal necrolysis/Stevens-Johnson syndro

8 Use in Specific Populations (8 USE IN SPECIFIC POPULATIONS)

6.1 Clinical Trial experience (6.1 Clinical Trial Experience)

Because clinical trials are conducted under widely varying conditions, adverse reaction rates observed in the clinical trials of a drug cannot be directly compared to rates in the clinical trials of another drug and may not reflect the rates observed in practice.

Famotidine was studied in 7 U.S. and international placebo- and active-controlled trials in approximately 2,500 patients [see Clinical Studies (14)]. A total of 1,442 patients were treated with famotidine, including 302 treated with 40 mg twice daily, 456 treated with 20 mg twice daily, 461 treated with 40 mg once daily, and 396 treated with 20 mg once daily. The population was 17 to 91 years old, fairly well distributed between gender and race; however, the predominant race treated was Caucasian.

The following adverse reactions occurred in greater than or equal to 1% of famotidine-treated patients: headache, dizziness and constipation.

The following other adverse reactions were reported in less than 1% of patients in clinical trials:

Body as a Whole: fever, asthenia, fatigue

Cardiovascular:palpitations

Gastrointestinal: elevated liver enzymes, vomiting, nausea, abdominal discomfort, anorexia, dry mouth

Hematologic: thrombocytopenia

Hypersensitivity:orbital edema, rash, conjunctival injection, bronchospasm

Musculoskeletal: musculoskeletal pain, arthralgia

Nervous System/Psychiatric: seizure, hallucinations, depression, anxiety, decreased libido, insomnia, somnolence

Skin: pruritus, dry skin, flushing

Special Senses: tinnitus, taste disorder

Other: impotence

2.2 Dosage in Renal impairment (2.2 Dosage in Renal Impairment)

Dosage adjustments of famotidine tablets are recommended for patients with moderate to severe renal impairment (creatinine clearance less than 60 mL/min) [see Use in Specific Populations ( 8.6 )].Table 2 shows the recommended maximum dosage of famotidine 20 mg or 40 mg tablets for patients with renal impairment, by indication. Use the lowest effective dose. Some dosage adjustments may require switching to other formulations of famotidine (e.g., oral suspension, lower dose tablet).

Table 2: Recommended Maximum Dosage of Famotidine Tablets in Adult and Pediatric Patients 40 kg and Greater with Moderate and Severe Renal Impairment

Indication Recommended Maximum Dosages
Creatinine clearance 30 to 60 mL/minute Creatinine clearance less than 30 mL/minute
Active duodenal ulcer (DU) 20 mg once daily; or40 mg every other day 20 mg every other day a
Active gastric ulcer 20 mg once daily; or 40 mg every other day 20 mg every other day a
Symptomatic nonerosive GERD 20 mg once daily 20 mg every other day a
Erosive esophagitis diagnosed by endoscopy b 20 mg once daily; or 40 mg every other day b40 mg once daily b 20 mg every other day a,b20 mg once daily b
Pathological hypersecretory conditions c Avoid use d
Reduction of the risk of DU recurrence c 20 mg every other day a (see footnote) e

aAn alternate dosage regimen is 10 mg once daily. Since 20 mg or 40 mg tablet strength cannot be used for this dosage regimen, use an alternate famotidine formulation.

bDosage adjustments for renal impairment are provided for both dosing regimens (20 mg twice daily and 40 mg twice daily) which showed effectiveness for the treatment of erosive esophagitis in clinical trials [see Clinical Studies ( 14.4 )].

cIn pediatric patients, the safety and effectiveness of famotidine have not been established for the reduction of the risk of duodenal ulcer recurrence or for treatment of pathological hypersecretory conditions [see Use in Specific Populations ( 8.4 )].

dDoses required to treat pathological hypersecretory conditions may exceed the maximum doses evaluated in patients with impaired renal function. The risk for increased adverse reactions in renally impaired patients treated with famotidine for pathological hypersecretory conditions is unknown.

eRecommended dosage regimen is 10 mg every other day. Since 20 mg or 40 mg tablet strength cannot be used for this dosage regimen, use an alternate famotidine formulation.

2.3 Administration instructions (2.3 Administration Instructions)

• Take famotidine tablets once daily before bedtime or twice daily in the morning and before bedtime, as recommended.

• Famotidine tablets may be taken with or without food [see Clinical Pharmacology ( 12.3 )].

• Famotidine tablets may be given with antacids.

17 Patient Counseling Information (17 PATIENT COUNSELING INFORMATION)

Central Nervous System (CNS) Adverse Reactions

Advise elderly patients and those with moderate and severe renal impairment of the risk of CNS adverse reactions, including confusion, delirium, hallucinations, disorientation, agitation, seizures, and lethargy [see Warnings and Precautions ( 5.1 )]. Report symptoms immediately to a healthcare provider.

QT Prolongation

Advise patients with moderate and severe renal impairment of the risk of QT interval prolongation [see Use in Specific Populations ( 8.6 )].Report new cardiac symptoms, such as palpitations, fainting and dizziness or lightheadedness immediately to a healthcare provider.

Administration

Advise patients:

• Take famotidine tablets once daily before bedtime or twice daily in the morning and before bedtime, as recommended.

• Famotidine tablets may be taken with or without food.

• Famotidine tablets may be given with antacids.

Rx only

Distributor:

Dr. Reddy’s Laboratories Inc.,

Princeton, NJ 08540

Made in India

Distributed by:

Wal-Mart

Bentonville, AR 72716

Packaged by:

Legacy Pharmaceutical Packaging, LLC

Earth City, MO 63045

Bottles of 60 Tablets: 20mg NDC 68645-594-59

Revised: 1120

5.2 Concurrent Gastric malignancy (5.2 Concurrent Gastric Malignancy)

In adults, symptomatic response to therapy with famotidine does not preclude the presence of gastric malignancy. Consider evaluation for gastric malignancy in adult patients who have a suboptimal response or an early symptomatic relapse after completing treatment with famotidine tablets.

7.2 Tizanidine (cyp1a2 substrate) (7.2 Tizanidine (CYP1A2 Substrate))

Although not studied clinically, famotidine is considered a weak CYP1A2 inhibitor and may lead to substantial increases in blood concentrations of tizanidine, a CYP1A2 substrate. Avoid concomitant use with famotidine. If concomitant use is necessary, monitor for hypotension, bradycardia or excessive drowsiness. Refer to the full prescribing information for tizanidine

16 How Supplied/storage and Handling (16 HOW SUPPLIED/STORAGE AND HANDLING)

Famotidine tablets USP, 20 mg are yellow, film-coated, round shaped tablets with ‘C’

119

on one side and plain on other side and are supplied in bottles of 60's counts - NDC 68645-594-59.

Storage

Store at 20°C to 25°C (68°F to 77°F) [see USP Controlled Room Temperature].

Dispense in a USP tight, light-resistant container.

14.4 Erosive Esophagitis Due To gerd (14.4 Erosive Esophagitis due to GERD)

Healing of endoscopically verified erosion and symptomatic improvement were studied in a U.S. and an international double-blind trials. Healing was defined as complete resolution of all erosions visible with endoscopy. The U.S. trial comparing orally administered famotidine 40 mg twice daily to placebo and orally administered famotidine 20 mg twice daily showed a significantly greater percentage of healing of erosive esophagitis for famotidine 40 mg twice daily at Weeks 6 and 12 (Table 7).

Table 7: Patients with Endoscopic Healing of Erosive Esophagitis - U.S. Study (N=318)

Famotidine40 mg

twice daily

(N=127)
Famotidine20 mg

twice daily

(N=125)
Placebo twice daily

(N=66)
Week 6 48% a,b 32% 18%
Week 12 69% a,c 54% a 29%

ap≤0.01 vs. placebo

bp≤0.01 vs. famotidine 20 mg twice daily

cp≤0.05 vs. famotidine 20 mg twice daily

As compared to placebo, patients in the U.S. trial who received famotidine had faster relief of daytime and nighttime heartburn, and a greater percentage of famotidine-treated patients experienced complete relief of nighttime heartburn. These differences were statistically significant.

In the international trial, when orally administered famotidine 40 mg twice daily was compared to orally administered ranitidine 150 mg twice daily, a statistically significantly greater percentage of healing of erosive esophagitis was observed with famotidine 40 mg twice daily at Week 12 (Table 8). There was, however, no significant difference in symptom relief among treatment groups.

Table 8: Patients with Endoscopic Healing of Erosive Esophagitis - International Study (N=440)

Famotidine40 mg

twice daily

(N=175)
Famotidine20 mg

twice daily

(N=93)
Ranitidine150 mg

twice daily

(N=172)
Week 6 48% 52% 42%
Week 12 71% a 68% 60%

ap≤0.05 vs ranitidine 150 mg twice daily

14.5 Pathological Hypersecretory conditions (14.5 Pathological Hypersecretory Conditions)

In trials of patients with pathological hypersecretory conditions such as Zollinger-Ellison syndrome with or without multiple endocrine neoplasias, famotidine significantly inhibited gastric acid secretion and controlled associated symptoms. Orally administered famotidine dosages from 20 mg to 160 mg every 6 hours maintained basal acid secretion below 10 mEq/hour; initial dosages were titrated to the individual patient need and subsequent adjustments were necessary with time in some patients.

5.1 Central Nervous System Adverse reactions (5.1 Central Nervous System Adverse Reactions)

Central nervous system (CNS) adverse reactions, including confusion, delirium, hallucinations, disorientation, agitation, seizures, and lethargy, have been reported in elderly patients and patients with moderate and severe renal impairment treated with famotidine tablets. Since famotidine blood levels are higher in patients with renal impairment than in patients with normal renal function, dosage adjustments are recommended in patients with renal impairment [see Dosage and Administration ( 2.2 ), Clinical Pharmacology ( 12.3 )].

Package Label Principal Display Panel Section (PACKAGE LABEL PRINCIPAL DISPLAY PANEL SECTION)

Famotadine Tablets USP, 20 mg - 100s count

14.6 Risk Reduction of Duodenal Ulcer recurrence (14.6 Risk Reduction of Duodenal Ulcer Recurrence)

Two randomized, double-blind, multicenter trials in patients with endoscopically confirmed healed DUs demonstrated that patients receiving treatment with orally administered famotidine 20 mg at bedtime had lower rates of DU recurrence, as compared with placebo.

• In the U.S. trial, DU recurrence within 12 months was 2.4 times greater in patients treated with placebo than in the patients treated with famotidine. The 89 famotidine-treated patients had a cumulative observed DU recurrence rate of 23%, compared to a 57% in the 89 patients receiving placebo (p<0.01).

• In the international trial, the cumulative observed DU recurrence within 12 months in the 307 famotidine-treated patients was 36%, compared to 76% in the 325 patients who received placebo (p<0.01).

Controlled trials have not extended beyond one year.

7.1 Drugs Dependent On Gastric Ph For absorption (7.1 Drugs Dependent on Gastric pH for Absorption)

Famotidine can reduce the absorption of other drugs, due to its effect on reducing intragastric acidity, leading to loss of efficacy of the concomitant drug.

Concomitant administration of famotidine with dasatinib, delavirdine mesylate, cefditoren, and fosamprenavir is not recommended.

See the prescribing information for other drugs dependent on gastric pH for absorption for administration instructions, including atazanavir, erlotinib, ketoconazole, itraconazole, ledipasvir/sofosbuvir, nilotinib, and rilpivirine.

14.3 Symptomatic Gastroesophageal Reflux Disease (gerd) (14.3 Symptomatic Gastroesophageal Reflux Disease (GERD))

Orally administered famotidine was compared to placebo in a U.S. trial that enrolled patients with symptoms of GERD and without endoscopic evidence of esophageal erosion or ulceration. As shown in Table 6, patients treated with famotidine 20 mg twice daily had greater improvement in symptomatic GERD than patients treated with 40 mg at bedtime or placebo.

Table 6: Patients with Improvement of Symptomatic GERD (N=376)

Famotidine20 mg

twice daily

(N=154)
Famotidine40 mg

at bedtime

(N=149)
Placebo at bedtime

(N=73)
Week 6 82% a 69% 62%

ap≤0.01 vs. placebo

13.1 Carcinogenesis, Mutagenesis, Impairment of Fertility (13.1 Carcinogenesis, Mutagenesis, Impairment Of Fertility)

Carcinogenic potential of famotidine was assessed in a 106-week oral carcinogenicity study in rats and a 92-week oral carcinogenicity study in mice. In the 106-week study in rats and the 92-week study in mice at oral doses of up to 2,000 mg/kg/day (approximately 243 and 122 times, respectively, based on body surface area, the recommended human dose of 80 mg per day for the treatment of erosive esophagitis), there was no evidence of carcinogenic potential for famotidine.

Famotidine was negative in the microbial mutagen test (Ames test) using Salmonella typhimuriumand Escherichia coliwith or without rat liver enzyme activation at concentrations up to 10,000 mcg/plate. In in vivostudies in mice, with a micronucleus test and a chromosomal aberration test, no evidence of a mutagenic effect was observed.

In studies with rats given oral doses of up to 2,000 mg/kg/day (approximately 243 times, based on body surface area, the recommended human dose of 80 mg per day) fertility and reproductive performance were not affected.


Advanced Ingredient Data


Raw Label Data

All Sections (JSON)