These Highlights Do Not Include All The Information Needed To Use Besponsa™ Safely And Effectively. See Full Prescribing Information For Besponsa.

These Highlights Do Not Include All The Information Needed To Use Besponsa™ Safely And Effectively. See Full Prescribing Information For Besponsa.
SPL v8
SPL
SPL Set ID cc7014b1-c775-411d-b374-8113248b4077
Route
INTRAVENOUS
Published
Effective Date 2024-03-06
Document Type 34391-3 HUMAN PRESCRIPTION DRUG LABEL

Drug Facts

Composition & Product

Active Ingredients
Inotuzumab Ozogamicin (0.25 mg)
Inactive Ingredients
Tromethamine Sucrose Polysorbate 80 Sodium Chloride Water

Identifiers & Packaging

Marketing Status
BLA Active Since 2017-08-18

Description

Indications and Usage (1) 3/2024 Dosage and Administration, Instructions for Reconstitution, Dilution and Administration (2.4) 3/2024 Warnings and Precautions, Hepatotoxicity, Including Hepatic Veno-occlusive Disease (VOD) (also known as Sinusoidal Obstruction Syndrome) (5.1) 3/2024 Warnings and Precautions, Increased Risk of Post-Transplant Non-Relapse Mortality (5.2) 3/2024 Warnings and Precautions, Myelosuppression (5.3) 3/2024 Warnings and Precautions, Infusion Related Reactions (5.4) 3/2024 Warnings and Precautions, QT Interval Prolongation (5.5) 3/2024

Indications and Usage

BESPONSA is indicated for the treatment of relapsed or refractory CD22-positive B-cell precursor acute lymphoblastic leukemia (ALL) in adult and pediatric patients 1 year and older .

Dosage and Administration

• Administer by intravenous infusion only. (2.1) • Pre-medicate with a corticosteroid, antipyretic, and antihistamine prior to all infusions. ( 2.2 ) • Dosing regimens for Cycle 1 and subsequent cycles, depending on the response to treatment, are shown below. See full prescribing information for dosing details. ( 2 ) Day 1 Day 8 Day 15 Dosing regimen for Cycle 1 All patients:   Dose 0.8 mg/m 2 0.5 mg/m 2 0.5 mg/m 2   Cycle length 21 days For patients who achieve a CR or a CRi, and/or to allow for recovery from toxicity, the cycle length may be extended up to 28 days (i.e., 7-day treatment-free interval starting on Day 21). Dosing regimen for subsequent cycles depending on response to treatment Patients who have achieved a CR or CRi:   Dose 0.5 mg/m 2 0.5 mg/m 2 0.5 mg/m 2   Cycle length 28 days Patients who have not achieved a CR or CRi:   Dose 0.8 mg/m 2 0.5 mg/m 2 0.5 mg/m 2   Cycle length 28 days • See full prescribing information for instructions on reconstitution of lyophilized powder, and preparation and administration of reconstituted drug. ( 2.4 )

Warnings and Precautions

• Myelosuppression: Monitor complete blood counts; for signs and symptoms of infection; bleeding/hemorrhage; or other effects of myelosuppression during treatment; manage appropriately. ( 5.3 ) • Infusion related reactions: Monitor for infusion related reactions during and for at least 1 hour after infusion ends. ( 5.4 ) • QT interval prolongation: Obtain electrocardiograms (ECGs) and electrolytes at baseline and monitor during treatment. Monitor more frequently when using concomitant mediations known to prolong QT interval. ( 5.5 ) • Embryo-fetal toxicity: Can cause fetal harm. Advise females of reproductive potential of the potential risk to a fetus and to use effective contraception. ( 5.6 , 8.1 , 8.3 )

Contraindications

None.

Adverse Reactions

Modify the dose of BESPONSA for toxicities (see Tables 2–4). BESPONSA doses within a treatment cycle (i.e., Days 8 and/or 15) do not need to be interrupted due to neutropenia or thrombocytopenia, but dosing interruptions within a cycle are recommended for non-hematologic toxicities. If the dose is reduced due to BESPONSA-related toxicity, the dose must not be re-escalated. Table 2. BESPONSA Dosage Modifications for Hematologic Toxicities [see Warnings and Precautions (5.3) ] Criteria BESPONSA Dosage Modification(s) Abbreviation: ANC=absolute neutrophil count. If prior to BESPONSA treatment ANC was greater than or equal to 1 × 10 9 /L If ANC decreases, then interrupt the next cycle of treatment until recovery of ANC to greater than or equal to 1 × 10 9 /L. Discontinue BESPONSA if low ANC persists for greater than 28 days and is suspected to be related to BESPONSA. If prior to BESPONSA treatment platelet count was greater than or equal to 50 × 10 9 /L Platelet count used for dosing should be independent of blood transfusion. If platelet count decreases, then interrupt the next cycle of treatment until platelet count recovers to greater than or equal to 50 × 10 9 /L . Discontinue BESPONSA if low platelet count persists for greater than 28 days and is suspected to be related to BESPONSA. If prior to BESPONSA treatment ANC was less than 1 × 10 9 /L and/or platelet count was less than 50 × 10 9 /L If ANC or platelet count decreases, then interrupt the next cycle of treatment until at least one of the following occurs: - ANC and platelet counts recover to at least baseline levels for the prior cycle, or - ANC recovers to greater than or equal to 1 × 10 9 /L and platelet count recovers to greater than or equal to 50 × 10 9 /L , or - Stable or improved disease (based on most recent bone marrow assessment) and the ANC and platelet count decrease is considered to be due to the underlying disease (not considered to be BESPONSA-related toxicity). Table 3. BESPONSA Dosage Modifications for Non-hematologic Toxicities Non-hematologic Toxicity Dosage Modification(s) Abbreviations: ALT=alanine aminotransferase; AST=aspartate aminotransferase; ULN=upper limit of normal; VOD=veno‑occlusive disease. VOD or other severe liver toxicity Permanently discontinue treatment [see Warnings and Precautions (5.1) ] . Total bilirubin greater than 1.5 × ULN and AST / ALT greater than 2.5 × ULN Interrupt dosing until recovery of total bilirubin to less than or equal to 1.5 × ULN and AST/ALT to less than or equal to 2.5 × ULN prior to each dose unless due to Gilbert's syndrome or hemolysis. Permanently discontinue treatment if total bilirubin does not recover to less than or equal to 1.5 × ULN or AST/ALT does not recover to less than or equal to 2.5 × ULN [see Warnings and Precautions (5.1) ] . Infusion related reaction Interrupt the infusion and institute appropriate medical management. Depending on the severity of the infusion related reaction, consider discontinuation of the infusion or administration of steroids and antihistamines. For severe or life-threatening infusion reactions, permanently discontinue treatment [see Warnings and Precautions (5.4) ] . Non-hematologic toxicity greater than or equal to Grade 2 Severity grade according to National Cancer Institute Common Terminology Criteria for Adverse Events (NCI CTCAE) version 3.0. Interrupt treatment until recovery to Grade 1 or pre-treatment grade levels prior to each dose. Table 4. BESPONSA Dosage Modifications Depending on Duration of Dosing Interruption Due to Non-Hematologic Toxicity Toxicities Duration of Dose Interruption Due to Toxicity Dosage Modification(s) Less than 7 days (within a cycle) Interrupt the next dose (maintain a minimum of 6 days between doses). Greater than or equal to 7 days Omit the next dose within the cycle. Greater than or equal to 14 days Once adequate recovery is achieved, decrease the total dose by 25% for the subsequent cycle. If further dose modification is required, then reduce the number of doses to 2 per cycle for subsequent cycles. If a 25% decrease in the total dose followed by a decrease to 2 doses per cycle is not tolerated, then permanently discontinue treatment. Greater than 28 days Consider permanent discontinuation of treatment.

Storage and Handling

How Supplied BESPONSA (inotuzumab ozogamicin) for injection is supplied as a white to off-white lyophilized powder in a single-dose vial for reconstitution and further dilution. Each vial delivers 0.9 mg inotuzumab ozogamicin. Each carton (NDC 0008-0100-01) contains one single-dose vial. Storage and Handling Refrigerate (2-8°C; 36-46°F) BESPONSA vials and store in the original carton to protect from light. Do not freeze. BESPONSA is a hazardous drug. Follow applicable special handling and disposal procedures. 1

How Supplied

How Supplied BESPONSA (inotuzumab ozogamicin) for injection is supplied as a white to off-white lyophilized powder in a single-dose vial for reconstitution and further dilution. Each vial delivers 0.9 mg inotuzumab ozogamicin. Each carton (NDC 0008-0100-01) contains one single-dose vial. Storage and Handling Refrigerate (2-8°C; 36-46°F) BESPONSA vials and store in the original carton to protect from light. Do not freeze. BESPONSA is a hazardous drug. Follow applicable special handling and disposal procedures. 1


Medication Information

Warnings and Precautions

• Myelosuppression: Monitor complete blood counts; for signs and symptoms of infection; bleeding/hemorrhage; or other effects of myelosuppression during treatment; manage appropriately. ( 5.3 ) • Infusion related reactions: Monitor for infusion related reactions during and for at least 1 hour after infusion ends. ( 5.4 ) • QT interval prolongation: Obtain electrocardiograms (ECGs) and electrolytes at baseline and monitor during treatment. Monitor more frequently when using concomitant mediations known to prolong QT interval. ( 5.5 ) • Embryo-fetal toxicity: Can cause fetal harm. Advise females of reproductive potential of the potential risk to a fetus and to use effective contraception. ( 5.6 , 8.1 , 8.3 )

Indications and Usage

BESPONSA is indicated for the treatment of relapsed or refractory CD22-positive B-cell precursor acute lymphoblastic leukemia (ALL) in adult and pediatric patients 1 year and older .

Dosage and Administration

• Administer by intravenous infusion only. (2.1) • Pre-medicate with a corticosteroid, antipyretic, and antihistamine prior to all infusions. ( 2.2 ) • Dosing regimens for Cycle 1 and subsequent cycles, depending on the response to treatment, are shown below. See full prescribing information for dosing details. ( 2 ) Day 1 Day 8 Day 15 Dosing regimen for Cycle 1 All patients:   Dose 0.8 mg/m 2 0.5 mg/m 2 0.5 mg/m 2   Cycle length 21 days For patients who achieve a CR or a CRi, and/or to allow for recovery from toxicity, the cycle length may be extended up to 28 days (i.e., 7-day treatment-free interval starting on Day 21). Dosing regimen for subsequent cycles depending on response to treatment Patients who have achieved a CR or CRi:   Dose 0.5 mg/m 2 0.5 mg/m 2 0.5 mg/m 2   Cycle length 28 days Patients who have not achieved a CR or CRi:   Dose 0.8 mg/m 2 0.5 mg/m 2 0.5 mg/m 2   Cycle length 28 days • See full prescribing information for instructions on reconstitution of lyophilized powder, and preparation and administration of reconstituted drug. ( 2.4 )

Contraindications

None.

Adverse Reactions

Modify the dose of BESPONSA for toxicities (see Tables 2–4). BESPONSA doses within a treatment cycle (i.e., Days 8 and/or 15) do not need to be interrupted due to neutropenia or thrombocytopenia, but dosing interruptions within a cycle are recommended for non-hematologic toxicities. If the dose is reduced due to BESPONSA-related toxicity, the dose must not be re-escalated. Table 2. BESPONSA Dosage Modifications for Hematologic Toxicities [see Warnings and Precautions (5.3) ] Criteria BESPONSA Dosage Modification(s) Abbreviation: ANC=absolute neutrophil count. If prior to BESPONSA treatment ANC was greater than or equal to 1 × 10 9 /L If ANC decreases, then interrupt the next cycle of treatment until recovery of ANC to greater than or equal to 1 × 10 9 /L. Discontinue BESPONSA if low ANC persists for greater than 28 days and is suspected to be related to BESPONSA. If prior to BESPONSA treatment platelet count was greater than or equal to 50 × 10 9 /L Platelet count used for dosing should be independent of blood transfusion. If platelet count decreases, then interrupt the next cycle of treatment until platelet count recovers to greater than or equal to 50 × 10 9 /L . Discontinue BESPONSA if low platelet count persists for greater than 28 days and is suspected to be related to BESPONSA. If prior to BESPONSA treatment ANC was less than 1 × 10 9 /L and/or platelet count was less than 50 × 10 9 /L If ANC or platelet count decreases, then interrupt the next cycle of treatment until at least one of the following occurs: - ANC and platelet counts recover to at least baseline levels for the prior cycle, or - ANC recovers to greater than or equal to 1 × 10 9 /L and platelet count recovers to greater than or equal to 50 × 10 9 /L , or - Stable or improved disease (based on most recent bone marrow assessment) and the ANC and platelet count decrease is considered to be due to the underlying disease (not considered to be BESPONSA-related toxicity). Table 3. BESPONSA Dosage Modifications for Non-hematologic Toxicities Non-hematologic Toxicity Dosage Modification(s) Abbreviations: ALT=alanine aminotransferase; AST=aspartate aminotransferase; ULN=upper limit of normal; VOD=veno‑occlusive disease. VOD or other severe liver toxicity Permanently discontinue treatment [see Warnings and Precautions (5.1) ] . Total bilirubin greater than 1.5 × ULN and AST / ALT greater than 2.5 × ULN Interrupt dosing until recovery of total bilirubin to less than or equal to 1.5 × ULN and AST/ALT to less than or equal to 2.5 × ULN prior to each dose unless due to Gilbert's syndrome or hemolysis. Permanently discontinue treatment if total bilirubin does not recover to less than or equal to 1.5 × ULN or AST/ALT does not recover to less than or equal to 2.5 × ULN [see Warnings and Precautions (5.1) ] . Infusion related reaction Interrupt the infusion and institute appropriate medical management. Depending on the severity of the infusion related reaction, consider discontinuation of the infusion or administration of steroids and antihistamines. For severe or life-threatening infusion reactions, permanently discontinue treatment [see Warnings and Precautions (5.4) ] . Non-hematologic toxicity greater than or equal to Grade 2 Severity grade according to National Cancer Institute Common Terminology Criteria for Adverse Events (NCI CTCAE) version 3.0. Interrupt treatment until recovery to Grade 1 or pre-treatment grade levels prior to each dose. Table 4. BESPONSA Dosage Modifications Depending on Duration of Dosing Interruption Due to Non-Hematologic Toxicity Toxicities Duration of Dose Interruption Due to Toxicity Dosage Modification(s) Less than 7 days (within a cycle) Interrupt the next dose (maintain a minimum of 6 days between doses). Greater than or equal to 7 days Omit the next dose within the cycle. Greater than or equal to 14 days Once adequate recovery is achieved, decrease the total dose by 25% for the subsequent cycle. If further dose modification is required, then reduce the number of doses to 2 per cycle for subsequent cycles. If a 25% decrease in the total dose followed by a decrease to 2 doses per cycle is not tolerated, then permanently discontinue treatment. Greater than 28 days Consider permanent discontinuation of treatment.

Storage and Handling

How Supplied BESPONSA (inotuzumab ozogamicin) for injection is supplied as a white to off-white lyophilized powder in a single-dose vial for reconstitution and further dilution. Each vial delivers 0.9 mg inotuzumab ozogamicin. Each carton (NDC 0008-0100-01) contains one single-dose vial. Storage and Handling Refrigerate (2-8°C; 36-46°F) BESPONSA vials and store in the original carton to protect from light. Do not freeze. BESPONSA is a hazardous drug. Follow applicable special handling and disposal procedures. 1

How Supplied

How Supplied BESPONSA (inotuzumab ozogamicin) for injection is supplied as a white to off-white lyophilized powder in a single-dose vial for reconstitution and further dilution. Each vial delivers 0.9 mg inotuzumab ozogamicin. Each carton (NDC 0008-0100-01) contains one single-dose vial. Storage and Handling Refrigerate (2-8°C; 36-46°F) BESPONSA vials and store in the original carton to protect from light. Do not freeze. BESPONSA is a hazardous drug. Follow applicable special handling and disposal procedures. 1

Description

Indications and Usage (1) 3/2024 Dosage and Administration, Instructions for Reconstitution, Dilution and Administration (2.4) 3/2024 Warnings and Precautions, Hepatotoxicity, Including Hepatic Veno-occlusive Disease (VOD) (also known as Sinusoidal Obstruction Syndrome) (5.1) 3/2024 Warnings and Precautions, Increased Risk of Post-Transplant Non-Relapse Mortality (5.2) 3/2024 Warnings and Precautions, Myelosuppression (5.3) 3/2024 Warnings and Precautions, Infusion Related Reactions (5.4) 3/2024 Warnings and Precautions, QT Interval Prolongation (5.5) 3/2024

Section 42229-5

HEPATOTOXICITY, INCLUDING VOD

  • Hepatotoxicity, including fatal and life-threatening VOD occurred in patients with relapsed or refractory acute lymphoblastic leukemia (ALL) who received BESPONSA. The risk of VOD was greater in patients who underwent HSCT after BESPONSA treatment; use of HSCT conditioning regimens containing 2 alkylating agents and last total bilirubin level ≥ upper limit of normal (ULN) before HSCT were significantly associated with an increased risk of VOD.
  • Other risk factors for VOD in patients treated with BESPONSA included ongoing or prior liver disease, prior HSCT, increased age, later salvage lines, and a greater number of BESPONSA treatment cycles.
  • Elevation of liver tests may require dosing interruption, dose reduction, or permanent discontinuation of BESPONSA. Permanently discontinue treatment if VOD occurs. If severe VOD occurs, treat according to standard medical practice [see Dosage and Administration (2.3) and Warnings and Precautions (5.1)].
Section 43683-2

Indications and Usage (1)

3/2024

Dosage and Administration, Instructions for Reconstitution, Dilution and Administration (2.4)

3/2024

Warnings and Precautions, Hepatotoxicity, Including Hepatic Veno-occlusive Disease (VOD) (also known as Sinusoidal Obstruction Syndrome) (5.1)

3/2024

Warnings and Precautions, Increased Risk of Post-Transplant Non-Relapse Mortality (5.2)

3/2024

Warnings and Precautions, Myelosuppression (5.3)

3/2024

Warnings and Precautions, Infusion Related Reactions (5.4)

3/2024

Warnings and Precautions, QT Interval Prolongation (5.5)

3/2024

15. References
11. Description

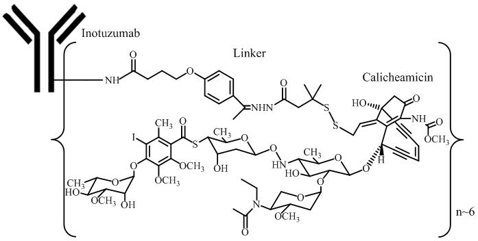
Inotuzumab ozogamicin is a CD22-directed antibody and cytotoxic-drug conjugate (ADC) consisting of 3 components: 1) the recombinant humanized immunoglobulin class G subtype 4 (IgG4) kappa antibody inotuzumab, specific for human CD22, 2) N-acetyl-gamma-calicheamicin that causes double-stranded DNA breaks, and 3) an acid-cleavable linker composed of the condensation product of 4-(4'-acetylphenoxy)-butanoic acid (AcBut) and 3-methyl-3-mercaptobutane hydrazide (known as dimethylhydrazide) that covalently attaches N-acetyl-gamma-calicheamicin to inotuzumab.

Inotuzumab ozogamicin has an approximate molecular weight of 160 kDa. The average number of calicheamicin derivative molecules conjugated to each inotuzumab molecule is approximately 6 with a distribution from 2–8. Inotuzumab ozogamicin is produced by chemical conjugation of the antibody and small molecule components. The antibody is produced by mammalian (Chinese hamster ovary) cells, and the semisynthetic calicheamicin derivative is produced by microbial fermentation followed by synthetic modification.

BESPONSA (inotuzumab ozogamicin) for injection is supplied as a sterile, white to off-white, preservative-free, lyophilized powder for intravenous administration. Each single-dose vial delivers 0.9 mg inotuzumab ozogamicin. Inactive ingredients are polysorbate 80 (0.36 mg), sodium chloride (2.16 mg), sucrose (180 mg), and tromethamine (8.64 mg). After reconstitution with 4 mL of Sterile Water for Injection, USP, the final concentration is 0.25 mg/mL of inotuzumab ozogamicin with a deliverable volume of 3.6 mL (0.9 mg) and a pH of approximately 8.0.

8.4 Pediatric Use

The safety and effectiveness of BESPONSA in pediatric patients 1 year and older with relapsed or refractory CD22-positive B-cell precursor ALL have been established. The use of BESPONSA for this indication is supported by evidence of safety and effectiveness in Study WI203581 (ITCC-059) [see Adverse Reactions (6.1), Clinical Studies (14.1)]. The study included patients in the following age groups: 2 patients 1 year to < 2 years old, 10 patients 2 years to < 6 years old, 20 patients 6 years to < 12 years old, and 20 patients 12 years to < 17 years old. Compared to adults, pediatric patients had a higher incidence of liver test abnormalities; with grade 3-4 increases in AST, ALT, and total bilirubin in 21%, 21%, and 9%, respectively, in pediatric patients treated with BESPONSA compared to 4%, 4%, and 5% in adults.

The safety and effectiveness of BESPONSA in patients < 1 year of age with relapsed or refractory CD22-positive B-cell precursor ALL have not been established.

8.5 Geriatric Use

In the INO-VATE ALL trial, 30/164 patients (18%) treated with BESPONSA were ≥ 65 years of age. No differences in responses were identified between older and younger patients.

Based on a population pharmacokinetic analysis in 765 patients, no adjustment to the starting dose is required based on age [see Clinical Pharmacology (12.3)].

12.6 Immunogenicity

The observed incidence of anti-drug antibodies (ADA) is highly dependent on the sensitivity and specificity of the assay. Differences in assay methods preclude meaningful comparisons of the incidence of ADA in the studies described below with the incidence of ADA in other studies, including those of inotuzumab ozogamicin.

In clinical studies of BESPONSA in patients with relapsed or refractory ALL, the immunogenicity of inotuzumab ozogamicin was evaluated using an electrochemiluminescence (ECL)‑based immunoassay to test for ADA. For patients whose sera tested positive for ADA, a cell-based assay was performed to detect neutralizing antibodies (NAb).

During a maximum 6 cycles of treatment period in clinical studies of BESPONSA in adult patients with relapsed or refractory ALL, 7/236 (3%) patients tested positive for ADA. No patients tested positive for NAb. In patients who tested positive for ADA, the presence of positive ADA did not affect clearance following inotuzumab ozogamicin treatment. Because of the low occurrence of ADA, the effect of these antibodies on safety and efficacy of inotuzumab ozogamicin is unknown.

During a maximum 4 cycles of treatment period in clinical Study WI203581 (ITCC-059) of BESPONSA in pediatric patients with relapsed or refractory ALL (n=51), no patients tested positive for ADA against inotuzumab ozogamcin.

4. Contraindications

None.

5.3 Myelosuppression

BESPONSA can cause myelosuppression, including thrombocytopenia and neutropenia [see Adverse Reactions (6.1)].

In adult patients in the INO-VATE ALL trial, thrombocytopenia and neutropenia occurred in 83/164 patients (51%) and 81/164 patients (49%), respectively. Grade 3 thrombocytopenia and neutropenia occurred in 23/164 patients (14%) and 33/164 patients (20%), respectively. Grade 4 thrombocytopenia and neutropenia occurred in 46/164 patients (28%) and 45/164 patients (27%), respectively. Febrile neutropenia, which may be life-threatening, occurred in 43/164 patients (26%). For patients who were in CR or CRi at the end of treatment, the recovery of platelet counts to > 50,000/mm3 was later than 45 days after the final dose in 15/164 patients (9%) who received BESPONSA and 3/162 patients (2%) who received Investigator's choice of chemotherapy.

Complications associated with myelosuppression (including infections and bleeding/hemorrhage) occurred in patients receiving BESPONSA [see Adverse Reactions (6.1)]. Infections, including serious infections, some of which were life-threatening or fatal, occurred in 79/164 patients (48%). Fatal infections, including pneumonia, neutropenic sepsis, sepsis, septic shock, and pseudomonal sepsis, occurred in 8/164 patients (5%). Bacterial, viral, and fungal infections occurred.

Hemorrhage occurred in 54/164 patients (33%). Grade 3 or 4 hemorrhage occurred in 8/164 patients (5%), including a fatality in 1/164 patients (1%) (intra-abdominal hemorrhage). The most common type of hemorrhage was epistaxis which occurred in 24/164 patients (15%).

In pediatric patients in Study WI203581 (ITCC-059), Grade 3 or 4 thrombocytopenia occurred in 24/53 (45%) patients. Grade 3 or 4 neutropenia occurred in 21/53 (40%) patients. Infections occurred in 23/53 (43%) patients, and hemorrhage occurred in 22/53 (42%) patients. The most common types of hemorrhage were hematoma in 8/53 (15%), mouth hemorrhage in 6/53 (11%), and epistaxis in 6/53 (11%) patients [see Adverse Reactions (6.1)].

Monitor complete blood counts prior to each dose of BESPONSA and monitor for signs and symptoms of infection, bleeding/hemorrhage, or other effects of myelosuppression during treatment with BESPONSA. As appropriate, administer prophylactic anti-infectives and employ surveillance testing during and after treatment with BESPONSA. Based on the severity of myelosuppression, reduce dose, temporarily withhold, or permanently discontinue BESPONSA [see Dosage and Administration (2.3)].

6. Adverse Reactions

The following adverse reactions are discussed in greater detail in other sections of the label:

12.2 Pharmacodynamics

During the treatment period, the pharmacodynamic response to BESPONSA was characterized by the depletion of CD22-positive leukemic blasts.

12.3 Pharmacokinetics

The mean Cmax of inotuzumab ozogamicin was 308 ng/mL. The mean simulated total AUC per cycle was 100,000 ng∙h/mL. In patients with relapsed or refractory ALL, steady-state drug concentration was achieved by Cycle 4. Following administration of multiple doses, a 5.3 times accumulation of inotuzumab ozogamicin was predicted by Cycle 4.

2.1 Recommended Dosage
  • Pre-medicate before each dose [see Dosage and Administration (2.2)].
  • Administer by intravenous infusion only.
  • For the first cycle, the recommended total dose of BESPONSA for all patients is 1.8 mg/m2 per cycle, administered as 3 divided doses on Day 1 (0.8 mg/m2), Day 8 (0.5 mg/m2), and Day 15 (0.5 mg/m2). Cycle 1 is 3 weeks in duration, but may be extended to 4 weeks if the patient achieves a complete remission (CR) or complete remission with incomplete hematologic recovery (CRi), and/or to allow recovery from toxicity.
  • For subsequent cycles:
    • In patients who achieve a CR or CRi, the recommended total dose of BESPONSA is 1.5 mg/m2 per cycle, administered as 3 divided doses on Day 1 (0.5 mg/m2), Day 8 (0.5 mg/m2), and Day 15 (0.5 mg/m2). Subsequent cycles are 4 weeks in duration.

      OR
    • In patients who do not achieve a CR or CRi, the recommended total dose of BESPONSA is 1.8 mg/m2 per cycle given as 3 divided doses on Day 1 (0.8 mg/m2), Day 8 (0.5 mg/m2), and Day 15 (0.5 mg/m2). Subsequent cycles are 4 weeks in duration. Patients who do not achieve a CR or CRi within 3 cycles should discontinue treatment.
  • For patients proceeding to hematopoietic stem cell transplant (HSCT), the recommended duration of treatment with BESPONSA is 2 cycles. A third cycle may be considered for those patients who do not achieve CR or CRi and minimal residual disease (MRD) negativity after 2 cycles [see Warnings and Precautions (5.1)].
  • For patients not proceeding to HSCT, additional cycles of treatment, up to a maximum of 6 cycles, may be administered.

Table 1 shows the recommended dosing regimens.

Table 1. Dosing Regimen for Cycle 1 and Subsequent Cycles Depending on Response to Treatment
Abbreviations: CR=complete remission; CRi=complete remission with incomplete hematologic recovery.

Day 1

Day 8

+/- 2 days (maintain minimum of 6 days between doses).

Day 15

Dosing regimen for Cycle 1

All patients:

  Dose

Dose is based on the patient's body surface area (m2).

0.8 mg/m2

0.5 mg/m2

0.5 mg/m2

  Cycle length

21 days

For patients who achieve a CR or a CRi, and/or to allow for recovery from toxicity, the cycle length may be extended up to 28 days (i.e., 7-day treatment-free interval starting on Day 21).

Dosing regimen for subsequent cycles depending on response to treatment

Patients who have achieved a CR

CR is defined as < 5% blasts in the bone marrow and the absence of peripheral blood leukemic blasts, full recovery of peripheral blood counts (platelets ≥ 100 × 109/L and absolute neutrophil counts [ANC] ≥ 1 × 109/L) and resolution of any extramedullary disease.
or CRi
CRi is defined as < 5% blasts in the bone marrow and the absence of peripheral blood leukemic blasts, incomplete recovery of peripheral blood counts (platelets < 100 × 109/L and/or ANC < 1 × 109/L) and resolution of any extramedullary disease.
:

  Dose

0.5 mg/m2

0.5 mg/m2

0.5 mg/m2

  Cycle length

28 days

7-day treatment-free interval starting on Day 21.

Patients who have not achieved a CR

or CRi
:

  Dose

0.8 mg/m2

0.5 mg/m2

0.5 mg/m2

  Cycle length

28 days

8.6 Hepatic Impairment

Based on a population pharmacokinetic analysis, the clearance of inotuzumab ozogamicin in patients with mild hepatic impairment (total bilirubin less than or equal to ULN and AST greater than ULN, or total bilirubin greater than 1.0–1.5 × ULN and AST any level; n=150) was similar to patients with normal hepatic function (total bilirubin/AST less than or equal to ULN; n=611). In patients with moderate (total bilirubin greater than 1.5–3 × ULN and AST any level; n=3) and severe hepatic impairment (total bilirubin greater than 3 × ULN and AST any level; n=1), inotuzumab ozogamicin clearance did not appear to be reduced [see Clinical Pharmacology (12.3)].

No adjustment to the starting dose is required when administering BESPONSA to patients with total bilirubin less than or equal to 1.5 × ULN and AST/ALT less than or equal to 2.5 × ULN [see Dosage and Administration (2.3)]. There is limited safety information available in patients with total bilirubin greater than 1.5 × ULN and/or AST/ALT greater than 2.5 × ULN prior to dosing. Interrupt dosing until recovery of total bilirubin to less than or equal to 1.5 × ULN and AST/ALT to less than or equal to 2.5 × ULN prior to each dose unless due to Gilbert's syndrome or hemolysis. Permanently discontinue treatment if total bilirubin does not recover to less than or equal to 1.5 × ULN or AST/ALT does not recover to less than or equal to 2.5 × ULN [see Dosage and Administration (2.3), Warnings and Precautions (5.1)].

1. Indications and Usage

BESPONSA is indicated for the treatment of relapsed or refractory CD22-positive B-cell precursor acute lymphoblastic leukemia (ALL) in adult and pediatric patients 1 year and older.

12.1 Mechanism of Action

Inotuzumab ozogamicin is a CD22-directed antibody drug conjugate (ADC). Inotuzumab recognizes human CD22. The small molecule, N-acetyl-gamma-calicheamicin, is a cytotoxic agent that is covalently attached to the antibody via a linker. Nonclinical data suggest that the anticancer activity of inotuzumab ozogamicin is due to the binding of the ADC to CD22-expressing tumor cells, followed by internalization of the ADC-CD22 complex, and the intracellular release of N-acetyl-gamma-calicheamicin dimethylhydrazide via hydrolytic cleavage of the linker. Activation of N-acetyl-gamma-calicheamicin dimethylhydrazide induces double-strand DNA breaks, subsequently inducing cell cycle arrest and apoptotic cell death.

5.6 Embryo Fetal Toxicity

Based on its mechanism of action and findings from animal studies, BESPONSA can cause embryo-fetal harm when administered to a pregnant woman. In animal studies, inotuzumab ozogamicin caused embryo-fetal toxicities, starting at a dose that was approximately 0.4 times the exposure in patients at the maximum recommended dose, based on the area under the concentration-time curve (AUC). Advise females of reproductive potential to use effective contraception during treatment with BESPONSA and for 8 months after the last dose. Advise males with female partners of reproductive potential to use effective contraception during treatment with BESPONSA and for 5 months after the last dose. Advise pregnant women of the potential risk to the fetus. Advise women to contact their healthcare provider if they become pregnant or if pregnancy is suspected during treatment with BESPONSA [see Use in Specific Populations (8.1, 8.3) , Clinical Pharmacology (12.1), Nonclinical Toxicology (13.1)].

5. Warnings and Precautions
  • Myelosuppression: Monitor complete blood counts; for signs and symptoms of infection; bleeding/hemorrhage; or other effects of myelosuppression during treatment; manage appropriately. (5.3)
  • Infusion related reactions: Monitor for infusion related reactions during and for at least 1 hour after infusion ends. (5.4)
  • QT interval prolongation: Obtain electrocardiograms (ECGs) and electrolytes at baseline and monitor during treatment. Monitor more frequently when using concomitant mediations known to prolong QT interval. (5.5)
  • Embryo-fetal toxicity: Can cause fetal harm. Advise females of reproductive potential of the potential risk to a fetus and to use effective contraception. (5.6, 8.1, 8.3)
2. Dosage and Administration
  • Administer by intravenous infusion only. (2.1)
  • Pre-medicate with a corticosteroid, antipyretic, and antihistamine prior to all infusions. (2.2)
  • Dosing regimens for Cycle 1 and subsequent cycles, depending on the response to treatment, are shown below. See full prescribing information for dosing details. (2)

Day 1

Day 8

Day 15

Dosing regimen for Cycle 1

All patients:

  Dose

0.8 mg/m2

0.5 mg/m2

0.5 mg/m2

  Cycle length

21 days

For patients who achieve a CR or a CRi, and/or to allow for recovery from toxicity, the cycle length may be extended up to 28 days (i.e., 7-day treatment-free interval starting on Day 21).

Dosing regimen for subsequent cycles depending on response to treatment

Patients who have achieved a CR or CRi:

  Dose

0.5 mg/m2

0.5 mg/m2

0.5 mg/m2

  Cycle length

28 days

Patients who have not achieved a CR or CRi:

  Dose

0.8 mg/m2

0.5 mg/m2

0.5 mg/m2

  Cycle length

28 days

  • See full prescribing information for instructions on reconstitution of lyophilized powder, and preparation and administration of reconstituted drug. (2.4)
5.5 Qt Interval Prolongation

BESPONSA can cause QT interval prolongation. In adult patients in the INO-VATE ALL trial, increases in QT interval corrected for heart rate using Fridericia’s formula (QTcF) of ≥ to 60 msec from baseline occurred in 4/162 patients (3%). Grade 2 QT prolongation was reported in 2/164 patients (1%) [see Adverse Reactions (6.1) and Clinical Pharmacology (12.2)].

In pediatric patients in Study WI203581 (ITCC-059), increases in QTcF of > 60 msec from baseline occurred in 7/49 (14%) patients. 3/52 (6%) of patients had QTcF values > 500 msec [see Adverse Reactions (6.1)].

Administer BESPONSA with caution in patients who have a history of or predisposition for QTc prolongation, who are taking medicinal products that are known to prolong QT interval [see Drug Interactions (7)], and in patients with electrolyte disturbances [see Drug Interactions (7)]. Obtain electrocardiograms (ECGs) and electrolytes prior to the start of treatment, after initiation of any drug known to prolong QTc, and periodically monitor as clinically indicated during treatment [see Drug Interactions (7), Clinical Pharmacology (12.2)]).

3. Dosage Forms and Strengths

For injection: 0.9 mg as a white to off-white lyophilized powder in a single-dose vial for reconstitution and further dilution.

5.4 Infusion Related Reactions

BESPONSA can cause infusion related reactions. In adult patients in the INO-VATE ALL trial, infusion related reactions occurred in patients who received BESPONSA. Infusion related reactions (all Grade 2) occurred in 4/164 patients (2%) [see Adverse Reactions (6.1)]. Infusion related reactions generally occurred in Cycle 1 shortly after the end of the BESPONSA infusion and resolved spontaneously or with medical management.

In pediatric patients in Study WI203581 (ITCC-059), infusion related reactions occurred in 4/53 (8%) patients [see Adverse Reactions (6.1)].

Premedicate with a corticosteroid, antipyretic, and antihistamine prior to dosing [see Dosage and Administration (2.2)].

Monitor patients closely during and for at least 1 hour after the end of infusion for the potential onset of infusion related reactions, including symptoms such as fever, chills, rash, or breathing problems. Interrupt infusion and institute appropriate medical management if an infusion related reaction occurs. Depending on the severity of the infusion related reaction, consider discontinuation of the infusion or administration of steroids and antihistamines. For severe or life-threatening infusion reactions, permanently discontinue BESPONSA [see Dosage and Administration (2.3)].

6.1 Clinical Trials Experience

Because clinical trials are conducted under widely varying conditions, adverse reaction rates observed in the clinical trials of a drug cannot be directly compared to rates in the clinical trials of another drug and may not reflect the rates observed in practice.

Relapsed or Refractory B-cell Precursor ALL

Adult Patients

The safety of BESPONSA was evaluated in adult patients with relapsed or refractory B-cell precursor ALL in the INO-VATE ALL trial. The study was a randomized clinical study of BESPONSA (n=164) versus Investigator’s choice of chemotherapy (fludarabine + cytarabine + granulocyte colony-stimulating factor [FLAG], mitoxantrone + cytarabine [MXN/Ara-C], or high dose cytarabine [HIDAC]) (n=143) [see Clinical Studies (14)].

Of the 164 patients who received BESPONSA, the median age was 47 years (range: 18–78 years), 56% were male, 68% had received 1 prior treatment regimen for ALL, 31% had received 2 prior treatment regimens for ALL, 68% were White, 19% were Asian, and 2% were Black.

In patients who received BESPONSA, the median duration of treatment was 8.9 weeks (range: 0.1–26.4 weeks), with a median of 3 treatment cycles started in each patient. In patients who received Investigator's choice of chemotherapy, the median duration of treatment was 0.9 weeks (range: 0.1–15.6 weeks), with a median of 1 treatment cycle started in each patient.

In patients who received BESPONSA, the most common (≥ 20%) adverse reactions were thrombocytopenia, neutropenia, infection, anemia, leukopenia, fatigue, hemorrhage, pyrexia, nausea, headache, febrile neutropenia, transaminases increased, abdominal pain, gamma-glutamyltransferase increased, and hyperbilirubinemia.

In patients who received BESPONSA, the most common (≥ 2%) serious adverse reactions were infection, febrile neutropenia, hemorrhage, abdominal pain, pyrexia, VOD, and fatigue.

In patients who received BESPONSA, the most common (≥ 2%) adverse reactions reported as the reason for permanent discontinuation were infection (6%), thrombocytopenia (2%), hyperbilirubinemia (2%), transaminases increased (2%), and hemorrhage (2%); the most common (≥ 5%) adverse reactions reported as the reason for dosing interruption were neutropenia (17%), infection (10%), thrombocytopenia (10%), transaminases increased (6%), and febrile neutropenia (5%); and the most common (≥ 1%) adverse reactions reported as the reason for dose reduction were neutropenia (1%), thrombocytopenia (1%), and transaminases increased (1%).

VOD was reported in 23/164 patients (14%) who received BESPONSA during or following treatment or following a HSCT after completion of treatment [see Warnings and Precautions (5.1)].

Table 7 shows the adverse reactions with ≥ 10% incidence reported in patients with relapsed or refractory ALL who received BESPONSA or Investigator's choice of chemotherapy.

Table 7. Adverse Reactions With ≥ 10% Incidence
Only adverse reactions with ≥ 10% incidence in the BESPONSA arm are included.
in Adult Patients With Relapsed or Refractory B-Cell Precursor ALL Who Received BESPONSA or Investigator's Choice of Chemotherapy (FLAG, MXN/Ara-C, or HIDAC)
Body System

  Adverse Reaction
BESPONSA

(N=164)
FLAG, MXN/Ara-C, or HIDAC

(N=143
19 patients randomized to FLAG, MXN/Ara-C, or HIDAC did not receive treatment.
)
All Grades ≥ Grade 3 All Grades ≥ Grade 3
% % % %
Adverse reactions included treatment-emergent all-causality events that commenced on or after Cycle 1 Day 1 within 42 days after the final dose of BESPONSA, but prior to the start of a new anticancer treatment (including HSCT).

Preferred terms were retrieved by applying the Medical Dictionary for Regulatory Activities (MedDRA) version 18.1.

Severity grade of adverse reactions were according to NCI CTCAE version 3.0.

Abbreviations: ALL=acute lymphoblastic leukemia; FLAG=fludarabine + cytarabine + granulocyte colony-stimulating factor; HIDAC=high dose cytarabine; HSCT=hematopoietic stem cell transplant; MXN/Ara-C=mitoxantrone + cytarabine; N=number of patients; NCI CTCAE=National Cancer Institute Common Toxicity Criteria for Adverse Events.

Infections

  Infection

Infection includes any reported preferred terms for BESPONSA retrieved in the System Organ Class Infections and infestations.

48

28

76

54

Blood and lymphatic system disorders

  Thrombocytopenia

Thrombocytopenia includes the following reported preferred terms: Platelet count decreased and Thrombocytopenia.

51

42

61

59

  Neutropenia

Neutropenia includes the following reported preferred terms: Neutropenia and Neutrophil count decreased.

49

48

45

43

  Anemia

Anemia includes the following reported preferred terms: Anemia and Hemoglobin decreased.

36

24

59

47

  Leukopenia

Leukopenia includes the following reported preferred terms: Leukopenia, Monocytopenia, and White blood cell count decreased.

35

33

43

42

  Febrile neutropenia

26

26

53

53

  Lymphopenia

Lymphopenia includes the following reported preferred terms: B-lymphocyte count decreased, Lymphocyte count decreased, and Lymphopenia.

18

16

27

26

Metabolism and nutrition disorders

  Decreased appetite

12

1

13

2

Nervous system disorders

  Headache

Headache includes the following reported preferred terms: Headache, Migraine, and Sinus headache.

28

2

27

1

Vascular disorders

  Hemorrhage

Hemorrhage includes reported preferred terms for BESPONSA retrieved in the Standard MedDRA Query (narrow) for Hemorrhage terms (excluding laboratory terms), resulting in the following preferred terms: Conjunctival hemorrhage, Contusion, Ecchymosis, Epistaxis, Eyelid bleeding, Gastrointestinal hemorrhage, Gastritis hemorrhagic, Gingival bleeding, Hematemesis, Hematochezia, Hematotympanum, Hematuria, Hemorrhage intracranial, Hemorrhage subcutaneous, Hemorrhoidal hemorrhage, Intra-abdominal hemorrhage, Lip hemorrhage, Lower gastrointestinal hemorrhage, Mesenteric hemorrhage, Metrorrhagia, Mouth hemorrhage, Muscle hemorrhage, Oral mucosa hematoma, Petechiae, Post-procedural hematoma, Rectal hemorrhage, Shock hemorrhagic, Subcutaneous hematoma, Subdural hematoma, Upper gastrointestinal hemorrhage, and Vaginal hemorrhage.

33

5

28

5

Gastrointestinal disorders

  Nausea

31

2

46

0

  Abdominal pain

Abdominal pain includes the following reported preferred terms: Abdominal pain, Abdominal pain lower, Abdominal pain upper, Abdominal tenderness, Esophageal pain, and Hepatic pain.

23

3

23

1

  Diarrhea

17

1

38

1

  Constipation

16

0

24

0

  Vomiting

15

1

24

0

  Stomatitis

Stomatitis includes the following reported preferred terms: Aphthous ulcer, Mucosal inflammation, Mouth ulceration, Oral pain, Oropharyngeal pain, and Stomatitis.

13

2

26

3

Hepatobiliary disorders

  Hyperbilirubinemia

21

5

17

6

General disorders and administration site conditions

  Fatigue

Fatigue includes the following reported preferred terms: Asthenia and Fatigue.

35

5

25

3

  Pyrexia

32

3

42

6

  Chills

11

0

11

0

Investigations

  Transaminases increased

Transaminases increased includes the following reported preferred terms: Aspartate aminotransferase increased, Alanine aminotransferase increased, Hepatocellular injury, and Hypertransaminasemia.

26

7

13

5

  Gamma-glutamyltransferase increased

21

10

8

4

  Alkaline phosphatase increased

13

2

7

0

Additional adverse reactions (all grades) that were reported in less than 10% of patients treated with BESPONSA included: lipase increased (9%), abdominal distension (6%), amylase increased (5%), hyperuricemia (4%), ascites (4%), infusion related reaction (2%; includes the following: hypersensitivity and infusion related reaction), pancytopenia (2%; includes the following: bone marrow failure, febrile bone marrow aplasia, and pancytopenia), tumor lysis syndrome (2%), and electrocardiogram QT prolonged (1%).

Table 8 shows the clinically important laboratory abnormalities reported in patients with relapsed or refractory ALL who received BESPONSA or Investigator's choice of chemotherapy.

Table 8. Laboratory Abnormalities in Patients With Relapsed or Refractory B-Cell Precursor ALL Who Received BESPONSA or Investigator's Choice of Chemotherapy (FLAG, MXN/Ara-C, or HIDAC)
BESPONSA FLAG, MXN/Ara-C, or HIDAC
All Grades Grade 3/4 All Grades Grade 3/4
Laboratory Abnormality
Laboratory abnormalities were summarized up to the end of treatment + 42 days but prior to the start of a new anti-cancer therapy.
N % % N % %
Severity grade of laboratory abnormalities according to NCI CTCAE version 3.0.

Abbreviations: ALL=acute lymphoblastic leukemia; ALP=alkaline phosphatase; ALT=alanine aminotransferase; AST=aspartate aminotransferase; FLAG=fludarabine + cytarabine + granulocyte colony-stimulating factor; GGT=gamma-glutamyltransferase; HIDAC=high dose cytarabine; MXN/Ara-C=mitoxantrone + cytarabine; N=number of patients; NCI CTCAE=National Cancer Institute Common Toxicity Criteria for Adverse Events.

Hematology

Platelet count decreased

161

98

76

142

100

99

Hemoglobin decreased

161

94

40

142

100

70

Leukocytes decreased

161

95

82

142

99

98

Neutrophil count decreased

160

94

86

130

93

88

Lymphocytes (absolute) decreased

160

93

71

127

97

91

Chemistry

GGT increased

148

67

18

111

68

17

AST increased

160

71

4

134

38

4

ALP increased

158

57

1

133

52

3

ALT increased

161

49

4

137

46

4

Blood bilirubin increased

161

36

5

138

35

6

Lipase increased

139

32

13

90

20

2

Hyperuricemia

158

16

3

122

11

0

Amylase increased

143

15

2

102

9

1

Pediatric Patients

The safety of BESPONSA in pediatric patients 1 year and older with relapsed or refractory CD22-positive B-cell precursor ALL was evaluated in a multicenter, single-arm, open-label study (ITCC-059) [see Clinical Studies (14)]. Patients (n=53) received the recommended dosage of BESPONSA [see Dosage and Administration (2.1)] or BESPONSA at an initial dose of 1.4 mg/m2/cycle (approximately 0.78 times the recommended initial dosage). Patients received BESPONSA for a median of 2 (range: 1-4) cycles. The median age of patients who received BESPONSA was 9 years (range: 1-17), with 68% male.

Serious adverse reactions occurred in 62% of patients who received BESPONSA. Serious adverse reactions in > 2% of patients included infection (21%), febrile neutropenia (17%), VOD (15%), hemorrhage (4%), pyrexia (6%) and multiorgan failure (2%). Fatal adverse reactions occurred in 8% of patients who received BESPONSA, including multiorgan failure, lung infection, sepsis, and encephalopathy.

Permanent discontinuation of BESPONSA due to an adverse reaction occurred in 21% of patients. Adverse reactions which resulted in permanent discontinuation of BESPONSA in 2 or more patients included ALT increased and platelet count decreased.

Dosage interruptions of BESPONSA due to an adverse reaction occurred in 11% of patients. Adverse reactions which required dosage interruption of BESPONSA in 6 patients included increased transaminases, febrile neutropenia, and headache.

The most common adverse reactions (≥ 20%), including laboratory abnormalities, were thrombocytopenia, pyrexia, anemia, vomiting, infection, hemorrhage, neutropenia, nausea, leukopenia, febrile neutropenia, increased transaminases, abdominal pain, and headache.

Table 9 summarizes the adverse reactions in ITCC-059.

Table 9. Adverse Reactions (≥ 5%) in Pediatric Patients (N=53) With CD22-Positive Relapsed or Refractory ALL in Study WI203581 (ITCC-059)
Severity grade of adverse reactions were according to NCI CTCAE version 4.03.

Body System

     Adverse Reaction

BESPONSA Monotherapy

(N=53)

All Grades

≥ Grade 3

%

%

General disorders and administration site conditions

     Pyrexia

49

4

     Edema

Includes other related terms.

19

0

     Fatigue

17

0

     Pain

15

2

     Chills

8

0

Blood and lymphatic system disorders

     Anemia

45

38

     Febrile neutropenia

28

28

Gastrointestinal disorders

     Vomiting

45

2

     Nausea

32

0

     Abdominal pain

25

2

     Constipation

19

2

     Stomatitis

17

6

     Diarrhea

11

0

Infections and infestations

     Infection

Infection includes any reported preferred terms for system organ class infections and infestations resulting in the following preferred terms: Acinetobacter bacteremia, bacteremia, candida infection, Cytomegalovirus infection, device related infection, device related sepsis, encephalitis, infectious enterocolitis, fungal infection, herpes virus infection, herpes zoster, influenza, kidney infection, mucosal infection, otitis media, paronychia, pneumonia, pneumonia fungal, respiratory tract infection, rhinitis, sepsis, sinusitis, skin infection, stoma site infection, upper respiratory tract infection, urinary tract inflammation, urinary tract infection, vaginal infection.

43

23

Vascular disorders

     Hemorrhage

Hemorrhage includes any reported PT terms within the hemorrhage terms (excl laboratory terms) (SMQ) narrow, resulting in the following preferred terms: catheter site hemorrhage, diarrhea hemorrhagic, epistaxis, gingival bleeding, hematemesis, hematoma, hematuria, hemoptysis, hemorrhage intracranial, hemorrhoidal hemorrhage, lip hemorrhage, mouth hemorrhage, oral blood blister, petechiae, purpura, thrombotic thrombocytopenic purpura, and upper gastrointestinal hemorrhage.

42

6

     Hypotension

6

4

Nervous system disorders

     Headache

21

0

Skin and subcutaneous tissue disorders

     Rash

19

4

     Pruritis

9

0

     Hyperhidrosis

6

0

Musculoskeletal and connective tissue disorders

     Pain in extremity

19

2

     Back pain

6

0

     Neck pain

6

0

     Muscular weakness

6

0

Respiratory, thoracic and mediastinal disorders

     Cough

17

0

     Dyspnea

8

2

     Hypoxia

8

4

Hepatobiliary disorders

     Veno-occlusive disease

15

13

     Hyperbilirubinemia

9

8

Metabolism and nutrition disorders

     Decreased appetite

11

4

     Tumor lysis syndrome

11

11

Investigations

     Weight increased

8

2

Injury, poisoning and procedural complications

     Infusion related reaction

Infusion related reaction includes the following preferred terms: infusion-related reaction and hypersensitivity.

8

0

Cardiac disorders

     Sinus tachycardia

6

2

Psychiatric disorders

     Anxiety

6

0

Table 10 summarizes select laboratory abnormalities in pediatric patients with CD22-positive relapsed/refractory ALL after receiving BESPONSA monotherapy in Study WI203581 (ITCC-059).

Table 10. Select Laboratory Abnormalities in Pediatric Patients with CD22-positive Relapsed/Refractory ALL after receiving BESPONSA Monotherapy in Study WI203581 (ITCC-059)
Severity grade of laboratory abnormalities according to NCI CTCAE version 4.03.
Abbreviations: N= number of subjects with valid post-baseline assessment; NCI CTCAE=National Cancer Institute Common Toxicity Criteria for Adverse Events.

Laboratory Abnormality

BESPONSA Monotherapy

All Grades

Grade 3/4

N

%

%

Hematology

Platelet count decreased

53

100

85

Neutrophil count decreased

53

98

96

White blood cell decreased

53

98

89

Hemoglobin decreased

53

96

42

Lymphocyte count decreased

52

87

73

Chemistry

AST increased

53

87

21

ALT increased

53

83

21

GGT increased

33

79

27

Blood bilirubin increased

53

30

9

ALP increased

53

28

0

Lipase increased

48

23

4

Serum amylase increased

49

14

0

8. Use in Specific Populations

Lactation: Advise not to breastfeed. (8.2)



17. Patient Counseling Information

     

16. How Supplied/storage and Handling

How Supplied

BESPONSA (inotuzumab ozogamicin) for injection is supplied as a white to off-white lyophilized powder in a single-dose vial for reconstitution and further dilution. Each vial delivers 0.9 mg inotuzumab ozogamicin. Each carton (NDC 0008-0100-01) contains one single-dose vial.

Storage and Handling

Refrigerate (2-8°C; 36-46°F) BESPONSA vials and store in the original carton to protect from light. Do not freeze.

BESPONSA is a hazardous drug. Follow applicable special handling and disposal procedures.1

Principal Display Panel 0.9 Mg Vial Label

Pfizer

NDC 0008-0100-01

Rx only

BESPONSA

(inotuzumab ozogamicin)

for Injection

0.9 mg/vial

For Intravenous Infusion Only

No Preservatives

Single-dose vial.

Discard unused portion.

Principal Display Panel 0.9 Mg Vial Carton

Pfizer

NDC 0008-0100-01

BESPONSA™

(inotuzumab ozogamicin)

for Injection

0.9 mg/vial

For Intravenous Infusion Only

Reconstitution and dilution

required.

No Preservatives

One Single-Dose Vial.

Discard unused portion.

Rx only

2.3 Dosage Modifications for Adverse Reactions

Modify the dose of BESPONSA for toxicities (see Tables 2–4). BESPONSA doses within a treatment cycle (i.e., Days 8 and/or 15) do not need to be interrupted due to neutropenia or thrombocytopenia, but dosing interruptions within a cycle are recommended for non-hematologic toxicities. If the dose is reduced due to BESPONSA-related toxicity, the dose must not be re-escalated.

Table 2. BESPONSA Dosage Modifications for Hematologic Toxicities [see Warnings and Precautions (5.3)]

Criteria BESPONSA Dosage Modification(s)
Abbreviation: ANC=absolute neutrophil count.

If prior to BESPONSA treatment ANC was greater than or equal to 1 × 109/L

If ANC decreases, then interrupt the next cycle of treatment until recovery of ANC to greater than or equal to 1 × 109/L. Discontinue BESPONSA if low ANC persists for greater than 28 days and is suspected to be related to BESPONSA.

If prior to BESPONSA treatment platelet count was greater than or equal to 50 × 109/L

Platelet count used for dosing should be independent of blood transfusion.

If platelet count decreases, then interrupt the next cycle of treatment until platelet count recovers to greater than or equal to 50 × 109/L

. Discontinue BESPONSA if low platelet count persists for greater than 28 days and is suspected to be related to BESPONSA.

If prior to BESPONSA treatment ANC was less than 1 × 109/L and/or platelet count was less than 50 × 109/L

If ANC or platelet count decreases, then interrupt the next cycle of treatment until at least one of the following occurs:

  • -
    ANC and platelet counts recover to at least baseline levels for the prior cycle, or
  • -
    ANC recovers to greater than or equal to 1 × 109/L and platelet count recovers to greater than or equal to 50 × 109/L
    , or
  • -
    Stable or improved disease (based on most recent bone marrow assessment) and the ANC and platelet count decrease is considered to be due to the underlying disease (not considered to be BESPONSA-related toxicity).
Table 3. BESPONSA Dosage Modifications for Non-hematologic Toxicities
Non-hematologic Toxicity Dosage Modification(s)
Abbreviations: ALT=alanine aminotransferase; AST=aspartate aminotransferase; ULN=upper limit of normal; VOD=veno‑occlusive disease.

VOD or other severe liver toxicity

Permanently discontinue treatment [see Warnings and Precautions (5.1)].

Total bilirubin greater than 1.5 × ULN and AST/ALT greater than 2.5 × ULN

Interrupt dosing until recovery of total bilirubin to less than or equal to 1.5 × ULN and AST/ALT to less than or equal to 2.5 × ULN prior to each dose unless due to Gilbert's syndrome or hemolysis. Permanently discontinue treatment if total bilirubin does not recover to less than or equal to 1.5 × ULN or AST/ALT does not recover to less than or equal to 2.5 × ULN [see Warnings and Precautions (5.1)].

Infusion related reaction

Interrupt the infusion and institute appropriate medical management. Depending on the severity of the infusion related reaction, consider discontinuation of the infusion or administration of steroids and antihistamines. For severe or life-threatening infusion reactions, permanently discontinue treatment [see Warnings and Precautions (5.4)].

Non-hematologic toxicity greater than or equal to Grade 2

Severity grade according to National Cancer Institute Common Terminology Criteria for Adverse Events (NCI CTCAE) version 3.0.

Interrupt treatment until recovery to Grade 1 or pre-treatment grade levels prior to each dose.

Table 4. BESPONSA Dosage Modifications Depending on Duration of Dosing Interruption Due to Non-Hematologic Toxicity Toxicities
Duration of Dose Interruption Due to Toxicity Dosage Modification(s)

Less than 7 days (within a cycle)

Interrupt the next dose (maintain a minimum of 6 days between doses).

Greater than or equal to 7 days

Omit the next dose within the cycle.

Greater than or equal to 14 days

Once adequate recovery is achieved, decrease the total dose by 25% for the subsequent cycle. If further dose modification is required, then reduce the number of doses to 2 per cycle for subsequent cycles. If a 25% decrease in the total dose followed by a decrease to 2 doses per cycle is not tolerated, then permanently discontinue treatment.

Greater than 28 days

Consider permanent discontinuation of treatment.

2.2 Recommended Pre Medications and Cytoreduction
  • Premedication with a corticosteroid, antipyretic, and antihistamine is recommended prior to dosing. Patients should be observed during and for at least 1 hour after the end of infusion for symptoms of infusion related reactions [see Warnings and Precautions (5.4)].
  • For patients with circulating lymphoblasts, cytoreduction with a combination of hydroxyurea, steroids, and/or vincristine to a peripheral blast count of less than or equal to 10,000/mm3 is recommended prior to the first dose.
13.1 Carcinogenesis, Mutagenesis, Impairment of Fertility

Formal carcinogenicity studies have not been conducted with inotuzumab ozogamicin. In toxicity studies, rats were dosed weekly for 4 or 26 weeks with inotuzumab ozogamicin at doses up to 4.1 mg/m2 and 0.73 mg/m2, respectively. After 26 weeks of dosing, rats developed hepatocellular adenomas in the liver at 0.73 mg/m2 (approximately 2 times the exposure in patients at the maximum recommended dose, based on AUC).

Inotuzumab ozogamicin was clastogenic in vivo in the bone marrow of male mice that received single doses ≥ 1.1 mg/m2. This is consistent with the known induction of DNA breaks by calicheamicin. N-acetyl-gamma-calicheamicin dimethylhydrazide (the cytotoxic agent released from inotuzumab ozogamicin) was mutagenic in an in vitro bacterial reverse mutation (Ames) assay.

In a female fertility and early embryonic development study, female rats were administered daily intravenous doses of inotuzumab ozogamicin up to 0.11 mg/m2 for 2 weeks before mating through Day 7 of pregnancy. An increase in the proportion of resorptions and decrease in the number of viable embryos and gravid uterine weights were observed at the 0.11 mg/m2 dose level (approximately 2 times the exposure in patients at the maximum recommended dose, based on AUC). Additional findings in female reproductive organs occurred in repeat-dose toxicology studies and included decreased ovarian and uterine weights, and ovarian and uterine atrophy. Findings in male reproductive organs occurred in repeat-dose toxicology studies and included decreased testicular weights, testicular degeneration, hypospermia, and prostatic and seminal vesicle atrophy. Testicular degeneration and hypospermia were nonreversible following a 4-week nondosing period. In the chronic studies of 26-weeks duration, adverse effects on reproductive organs occurred at ≥ 0.07 mg/m2 in male rats and at 0.73 mg/m2 in female monkeys [see Use in Specific Populations (8.3)].

5.2 Increased Risk of Post Transplant Non Relapse Mortality

In adult patients in the INO-VATE ALL trial, a higher post-HSCT non-relapse mortality rate was observed in patients receiving BESPONSA compared to the Investigator's choice of chemotherapy arm, resulting in a higher Day 100 post-HSCT mortality rate.

Overall, 79/164 patients (48%) in the BESPONSA arm and 35/162 patients (22%) in the Investigator's choice of chemotherapy arm had a follow-up HSCT. The post-HSCT non-relapse mortality rate was 31/79 (39%) and 8/35 (23%) in the BESPONSA arm compared to the Investigator's choice of chemotherapy arm, respectively.

In the BESPONSA arm, the most common causes of post-HSCT non-relapse mortality included VOD and infections. Five of the 18 VOD events that occurred post-HSCT were fatal. In the BESPONSA arm, among patients with ongoing VOD at time of death, 6 patients died due to multiorgan failure (MOF) or infection (3 patients died due to MOF, 2 patients died due to infection, and 1 patient died due to MOF and infection).

In pediatric patients in Study WI203581 (ITCC-059), 26/53 patients (49%) had a follow-up HSCT. The post-HSCT non-relapse mortality rate was 7/26 (27%).

Monitor for toxicities post-HSCT, including signs and symptoms of infection and VOD [see Warnings and Precautions (5.1, 5.3)].

2.4 Instructions for Reconstitution, Dilution, and Administration

Protect the reconstituted and diluted BESPONSA solutions from light. Do not freeze the reconstituted or diluted solution.

The maximum time from reconstitution through the end of administration should be less than or equal to 8 hours, with less than or equal to 4 hours between reconstitution and dilution.

5.1 Hepatotoxicity, Including Hepatic Veno Occlusive Disease (vod) (also Known As Sinusoidal Obstruction Syndrome)

BESPONSA can cause hepatotoxicity, including VOD. In adult patients in the INO-VATE ALL trial, hepatotoxicity, including severe, life-threatening, and sometimes fatal hepatic VOD occurred in 23/164 patients (14%) in the BESPONSA arm during or following treatment or following a HSCT after completion of treatment. VOD occurred up to 56 days after the final dose during treatment or during follow-up without an intervening HSCT. The median time from subsequent HSCT to onset of VOD was 15 days (range: 3-57 days).

In the BESPONSA arm, among the 79 patients who proceeded to a subsequent HSCT, VOD occurred in 18/79 patients (23%), and among all 164 patients treated, VOD occurred in 5/164 patients (3%) during study therapy or in follow-up without an intervening HSCT.

The risk of VOD was greater in patients who underwent HSCT after BESPONSA treatment; use of HSCT conditioning regimens containing 2 alkylating agents (e.g., busulfan in combination with other alkylating agents) and last total bilirubin level greater than or equal to the ULN before HSCT are significantly associated with an increased risk of VOD. Other risk factors for VOD in patients treated with BESPONSA included ongoing or prior liver disease, prior HSCT, increased age, later salvage lines, and a greater number of BESPONSA treatment cycles. Patients who have experienced prior VOD or have serious ongoing hepatic liver disease (e.g., cirrhosis, nodular regenerative hyperplasia, active hepatitis) are at an increased risk for worsening of liver disease, including developing VOD, following treatment with BESPONSA.

In Study WI203581 (ITCC-059) VOD occurred in 8/53 (15%) of pediatric patients treated with single agent BESPONSA. Among the 26 pediatric patients who underwent HSCT, VOD occurred in 5 (19%) patients [see Adverse Reactions (6.1)].

Monitor closely for signs and symptoms of VOD including elevations in total bilirubin, hepatomegaly (which may be painful), rapid weight gain, and ascites. Due to the risk of VOD, for patients proceeding to HSCT, the recommended duration of treatment with BESPONSA is 2 cycles; a third cycle may be considered for those patients who do not achieve a CR or CRi and MRD negativity after 2 cycles [see Dosage and Administration (2.1)]. For patients who proceed to HSCT, monitor liver tests at least weekly during the first month post-HSCT, then less frequently thereafter, according to standard medical practice.

In adult patients in the INO-VATE ALL trial, increases in liver test abnormalities occurred. Grade 3 or 4 AST, ALT, and total bilirubin abnormal liver tests occurred in 7/160 (4%), 7/161 (4%), and 8/161 patients (5%), respectively.

In pediatric patients in Study WI203581 (ITCC-059), liver test abnormalities occurred, with Grade 3 or 4 increases in AST, ALT, and blood bilirubin in 11/53 (21%), 11/53 (21%), and 5/53 (9%) of patients, respectively [see Adverse Reactions (6.1)].

In all patients, monitor liver tests, including ALT, AST, total bilirubin, and alkaline phosphatase, prior to and following each dose of BESPONSA. Based on elevations of liver tests withhold, reduce dose, or permanently discontinue BESPONSA [see Dosage and Administration (2.3)].

Warning: Hepatotoxicity, Including Hepatic Veno Occlusive Disease (vod) (also Known As Sinusoidal Obstruction Syndrome) and Increased Risk of Post Hematopoietic Stem Cell Transplant (hsct) Non Relapse Mortality

WARNING: HEPATOTOXICITY, INCLUDING HEPATIC VENO-OCCLUSIVE DISEASE (VOD) (ALSO KNOWN AS SINUSOIDAL OBSTRUCTION SYNDROME) and INCREASED RISK OF POST- HEMATOPOIETIC STEM CELL TRANSPLANT (HSCT) NON-RELAPSE MORTALITY

See full prescribing information for complete boxed warning.

  • Hepatotoxicity, including fatal and life-threatening VOD occurred in patients who received BESPONSA. (5.1)
  • A higher post-HSCT non-relapse mortality rate occurred in patients receiving BESPONSA (5.2)

Structured Label Content

Section 42229-5 (42229-5)

HEPATOTOXICITY, INCLUDING VOD

  • Hepatotoxicity, including fatal and life-threatening VOD occurred in patients with relapsed or refractory acute lymphoblastic leukemia (ALL) who received BESPONSA. The risk of VOD was greater in patients who underwent HSCT after BESPONSA treatment; use of HSCT conditioning regimens containing 2 alkylating agents and last total bilirubin level ≥ upper limit of normal (ULN) before HSCT were significantly associated with an increased risk of VOD.
  • Other risk factors for VOD in patients treated with BESPONSA included ongoing or prior liver disease, prior HSCT, increased age, later salvage lines, and a greater number of BESPONSA treatment cycles.
  • Elevation of liver tests may require dosing interruption, dose reduction, or permanent discontinuation of BESPONSA. Permanently discontinue treatment if VOD occurs. If severe VOD occurs, treat according to standard medical practice [see Dosage and Administration (2.3) and Warnings and Precautions (5.1)].
Section 43683-2 (43683-2)

Indications and Usage (1)

3/2024

Dosage and Administration, Instructions for Reconstitution, Dilution and Administration (2.4)

3/2024

Warnings and Precautions, Hepatotoxicity, Including Hepatic Veno-occlusive Disease (VOD) (also known as Sinusoidal Obstruction Syndrome) (5.1)

3/2024

Warnings and Precautions, Increased Risk of Post-Transplant Non-Relapse Mortality (5.2)

3/2024

Warnings and Precautions, Myelosuppression (5.3)

3/2024

Warnings and Precautions, Infusion Related Reactions (5.4)

3/2024

Warnings and Precautions, QT Interval Prolongation (5.5)

3/2024

15. References (15. REFERENCES)
11. Description (11. DESCRIPTION)

Inotuzumab ozogamicin is a CD22-directed antibody and cytotoxic-drug conjugate (ADC) consisting of 3 components: 1) the recombinant humanized immunoglobulin class G subtype 4 (IgG4) kappa antibody inotuzumab, specific for human CD22, 2) N-acetyl-gamma-calicheamicin that causes double-stranded DNA breaks, and 3) an acid-cleavable linker composed of the condensation product of 4-(4'-acetylphenoxy)-butanoic acid (AcBut) and 3-methyl-3-mercaptobutane hydrazide (known as dimethylhydrazide) that covalently attaches N-acetyl-gamma-calicheamicin to inotuzumab.

Inotuzumab ozogamicin has an approximate molecular weight of 160 kDa. The average number of calicheamicin derivative molecules conjugated to each inotuzumab molecule is approximately 6 with a distribution from 2–8. Inotuzumab ozogamicin is produced by chemical conjugation of the antibody and small molecule components. The antibody is produced by mammalian (Chinese hamster ovary) cells, and the semisynthetic calicheamicin derivative is produced by microbial fermentation followed by synthetic modification.

BESPONSA (inotuzumab ozogamicin) for injection is supplied as a sterile, white to off-white, preservative-free, lyophilized powder for intravenous administration. Each single-dose vial delivers 0.9 mg inotuzumab ozogamicin. Inactive ingredients are polysorbate 80 (0.36 mg), sodium chloride (2.16 mg), sucrose (180 mg), and tromethamine (8.64 mg). After reconstitution with 4 mL of Sterile Water for Injection, USP, the final concentration is 0.25 mg/mL of inotuzumab ozogamicin with a deliverable volume of 3.6 mL (0.9 mg) and a pH of approximately 8.0.

8.4 Pediatric Use

The safety and effectiveness of BESPONSA in pediatric patients 1 year and older with relapsed or refractory CD22-positive B-cell precursor ALL have been established. The use of BESPONSA for this indication is supported by evidence of safety and effectiveness in Study WI203581 (ITCC-059) [see Adverse Reactions (6.1), Clinical Studies (14.1)]. The study included patients in the following age groups: 2 patients 1 year to < 2 years old, 10 patients 2 years to < 6 years old, 20 patients 6 years to < 12 years old, and 20 patients 12 years to < 17 years old. Compared to adults, pediatric patients had a higher incidence of liver test abnormalities; with grade 3-4 increases in AST, ALT, and total bilirubin in 21%, 21%, and 9%, respectively, in pediatric patients treated with BESPONSA compared to 4%, 4%, and 5% in adults.

The safety and effectiveness of BESPONSA in patients < 1 year of age with relapsed or refractory CD22-positive B-cell precursor ALL have not been established.

8.5 Geriatric Use

In the INO-VATE ALL trial, 30/164 patients (18%) treated with BESPONSA were ≥ 65 years of age. No differences in responses were identified between older and younger patients.

Based on a population pharmacokinetic analysis in 765 patients, no adjustment to the starting dose is required based on age [see Clinical Pharmacology (12.3)].

12.6 Immunogenicity

The observed incidence of anti-drug antibodies (ADA) is highly dependent on the sensitivity and specificity of the assay. Differences in assay methods preclude meaningful comparisons of the incidence of ADA in the studies described below with the incidence of ADA in other studies, including those of inotuzumab ozogamicin.

In clinical studies of BESPONSA in patients with relapsed or refractory ALL, the immunogenicity of inotuzumab ozogamicin was evaluated using an electrochemiluminescence (ECL)‑based immunoassay to test for ADA. For patients whose sera tested positive for ADA, a cell-based assay was performed to detect neutralizing antibodies (NAb).

During a maximum 6 cycles of treatment period in clinical studies of BESPONSA in adult patients with relapsed or refractory ALL, 7/236 (3%) patients tested positive for ADA. No patients tested positive for NAb. In patients who tested positive for ADA, the presence of positive ADA did not affect clearance following inotuzumab ozogamicin treatment. Because of the low occurrence of ADA, the effect of these antibodies on safety and efficacy of inotuzumab ozogamicin is unknown.

During a maximum 4 cycles of treatment period in clinical Study WI203581 (ITCC-059) of BESPONSA in pediatric patients with relapsed or refractory ALL (n=51), no patients tested positive for ADA against inotuzumab ozogamcin.

4. Contraindications (4. CONTRAINDICATIONS)

None.

5.3 Myelosuppression

BESPONSA can cause myelosuppression, including thrombocytopenia and neutropenia [see Adverse Reactions (6.1)].

In adult patients in the INO-VATE ALL trial, thrombocytopenia and neutropenia occurred in 83/164 patients (51%) and 81/164 patients (49%), respectively. Grade 3 thrombocytopenia and neutropenia occurred in 23/164 patients (14%) and 33/164 patients (20%), respectively. Grade 4 thrombocytopenia and neutropenia occurred in 46/164 patients (28%) and 45/164 patients (27%), respectively. Febrile neutropenia, which may be life-threatening, occurred in 43/164 patients (26%). For patients who were in CR or CRi at the end of treatment, the recovery of platelet counts to > 50,000/mm3 was later than 45 days after the final dose in 15/164 patients (9%) who received BESPONSA and 3/162 patients (2%) who received Investigator's choice of chemotherapy.

Complications associated with myelosuppression (including infections and bleeding/hemorrhage) occurred in patients receiving BESPONSA [see Adverse Reactions (6.1)]. Infections, including serious infections, some of which were life-threatening or fatal, occurred in 79/164 patients (48%). Fatal infections, including pneumonia, neutropenic sepsis, sepsis, septic shock, and pseudomonal sepsis, occurred in 8/164 patients (5%). Bacterial, viral, and fungal infections occurred.

Hemorrhage occurred in 54/164 patients (33%). Grade 3 or 4 hemorrhage occurred in 8/164 patients (5%), including a fatality in 1/164 patients (1%) (intra-abdominal hemorrhage). The most common type of hemorrhage was epistaxis which occurred in 24/164 patients (15%).

In pediatric patients in Study WI203581 (ITCC-059), Grade 3 or 4 thrombocytopenia occurred in 24/53 (45%) patients. Grade 3 or 4 neutropenia occurred in 21/53 (40%) patients. Infections occurred in 23/53 (43%) patients, and hemorrhage occurred in 22/53 (42%) patients. The most common types of hemorrhage were hematoma in 8/53 (15%), mouth hemorrhage in 6/53 (11%), and epistaxis in 6/53 (11%) patients [see Adverse Reactions (6.1)].

Monitor complete blood counts prior to each dose of BESPONSA and monitor for signs and symptoms of infection, bleeding/hemorrhage, or other effects of myelosuppression during treatment with BESPONSA. As appropriate, administer prophylactic anti-infectives and employ surveillance testing during and after treatment with BESPONSA. Based on the severity of myelosuppression, reduce dose, temporarily withhold, or permanently discontinue BESPONSA [see Dosage and Administration (2.3)].

6. Adverse Reactions (6. ADVERSE REACTIONS)

The following adverse reactions are discussed in greater detail in other sections of the label:

12.2 Pharmacodynamics

During the treatment period, the pharmacodynamic response to BESPONSA was characterized by the depletion of CD22-positive leukemic blasts.

12.3 Pharmacokinetics

The mean Cmax of inotuzumab ozogamicin was 308 ng/mL. The mean simulated total AUC per cycle was 100,000 ng∙h/mL. In patients with relapsed or refractory ALL, steady-state drug concentration was achieved by Cycle 4. Following administration of multiple doses, a 5.3 times accumulation of inotuzumab ozogamicin was predicted by Cycle 4.

2.1 Recommended Dosage
  • Pre-medicate before each dose [see Dosage and Administration (2.2)].
  • Administer by intravenous infusion only.
  • For the first cycle, the recommended total dose of BESPONSA for all patients is 1.8 mg/m2 per cycle, administered as 3 divided doses on Day 1 (0.8 mg/m2), Day 8 (0.5 mg/m2), and Day 15 (0.5 mg/m2). Cycle 1 is 3 weeks in duration, but may be extended to 4 weeks if the patient achieves a complete remission (CR) or complete remission with incomplete hematologic recovery (CRi), and/or to allow recovery from toxicity.
  • For subsequent cycles:
    • In patients who achieve a CR or CRi, the recommended total dose of BESPONSA is 1.5 mg/m2 per cycle, administered as 3 divided doses on Day 1 (0.5 mg/m2), Day 8 (0.5 mg/m2), and Day 15 (0.5 mg/m2). Subsequent cycles are 4 weeks in duration.

      OR
    • In patients who do not achieve a CR or CRi, the recommended total dose of BESPONSA is 1.8 mg/m2 per cycle given as 3 divided doses on Day 1 (0.8 mg/m2), Day 8 (0.5 mg/m2), and Day 15 (0.5 mg/m2). Subsequent cycles are 4 weeks in duration. Patients who do not achieve a CR or CRi within 3 cycles should discontinue treatment.
  • For patients proceeding to hematopoietic stem cell transplant (HSCT), the recommended duration of treatment with BESPONSA is 2 cycles. A third cycle may be considered for those patients who do not achieve CR or CRi and minimal residual disease (MRD) negativity after 2 cycles [see Warnings and Precautions (5.1)].
  • For patients not proceeding to HSCT, additional cycles of treatment, up to a maximum of 6 cycles, may be administered.

Table 1 shows the recommended dosing regimens.

Table 1. Dosing Regimen for Cycle 1 and Subsequent Cycles Depending on Response to Treatment
Abbreviations: CR=complete remission; CRi=complete remission with incomplete hematologic recovery.

Day 1

Day 8

+/- 2 days (maintain minimum of 6 days between doses).

Day 15

Dosing regimen for Cycle 1

All patients:

  Dose

Dose is based on the patient's body surface area (m2).

0.8 mg/m2

0.5 mg/m2

0.5 mg/m2

  Cycle length

21 days

For patients who achieve a CR or a CRi, and/or to allow for recovery from toxicity, the cycle length may be extended up to 28 days (i.e., 7-day treatment-free interval starting on Day 21).

Dosing regimen for subsequent cycles depending on response to treatment

Patients who have achieved a CR

CR is defined as < 5% blasts in the bone marrow and the absence of peripheral blood leukemic blasts, full recovery of peripheral blood counts (platelets ≥ 100 × 109/L and absolute neutrophil counts [ANC] ≥ 1 × 109/L) and resolution of any extramedullary disease.
or CRi
CRi is defined as < 5% blasts in the bone marrow and the absence of peripheral blood leukemic blasts, incomplete recovery of peripheral blood counts (platelets < 100 × 109/L and/or ANC < 1 × 109/L) and resolution of any extramedullary disease.
:

  Dose

0.5 mg/m2

0.5 mg/m2

0.5 mg/m2

  Cycle length

28 days

7-day treatment-free interval starting on Day 21.

Patients who have not achieved a CR

or CRi
:

  Dose

0.8 mg/m2

0.5 mg/m2

0.5 mg/m2

  Cycle length

28 days

8.6 Hepatic Impairment

Based on a population pharmacokinetic analysis, the clearance of inotuzumab ozogamicin in patients with mild hepatic impairment (total bilirubin less than or equal to ULN and AST greater than ULN, or total bilirubin greater than 1.0–1.5 × ULN and AST any level; n=150) was similar to patients with normal hepatic function (total bilirubin/AST less than or equal to ULN; n=611). In patients with moderate (total bilirubin greater than 1.5–3 × ULN and AST any level; n=3) and severe hepatic impairment (total bilirubin greater than 3 × ULN and AST any level; n=1), inotuzumab ozogamicin clearance did not appear to be reduced [see Clinical Pharmacology (12.3)].

No adjustment to the starting dose is required when administering BESPONSA to patients with total bilirubin less than or equal to 1.5 × ULN and AST/ALT less than or equal to 2.5 × ULN [see Dosage and Administration (2.3)]. There is limited safety information available in patients with total bilirubin greater than 1.5 × ULN and/or AST/ALT greater than 2.5 × ULN prior to dosing. Interrupt dosing until recovery of total bilirubin to less than or equal to 1.5 × ULN and AST/ALT to less than or equal to 2.5 × ULN prior to each dose unless due to Gilbert's syndrome or hemolysis. Permanently discontinue treatment if total bilirubin does not recover to less than or equal to 1.5 × ULN or AST/ALT does not recover to less than or equal to 2.5 × ULN [see Dosage and Administration (2.3), Warnings and Precautions (5.1)].

1. Indications and Usage (1. INDICATIONS AND USAGE)

BESPONSA is indicated for the treatment of relapsed or refractory CD22-positive B-cell precursor acute lymphoblastic leukemia (ALL) in adult and pediatric patients 1 year and older.

12.1 Mechanism of Action

Inotuzumab ozogamicin is a CD22-directed antibody drug conjugate (ADC). Inotuzumab recognizes human CD22. The small molecule, N-acetyl-gamma-calicheamicin, is a cytotoxic agent that is covalently attached to the antibody via a linker. Nonclinical data suggest that the anticancer activity of inotuzumab ozogamicin is due to the binding of the ADC to CD22-expressing tumor cells, followed by internalization of the ADC-CD22 complex, and the intracellular release of N-acetyl-gamma-calicheamicin dimethylhydrazide via hydrolytic cleavage of the linker. Activation of N-acetyl-gamma-calicheamicin dimethylhydrazide induces double-strand DNA breaks, subsequently inducing cell cycle arrest and apoptotic cell death.

5.6 Embryo Fetal Toxicity (5.6 Embryo-Fetal Toxicity)

Based on its mechanism of action and findings from animal studies, BESPONSA can cause embryo-fetal harm when administered to a pregnant woman. In animal studies, inotuzumab ozogamicin caused embryo-fetal toxicities, starting at a dose that was approximately 0.4 times the exposure in patients at the maximum recommended dose, based on the area under the concentration-time curve (AUC). Advise females of reproductive potential to use effective contraception during treatment with BESPONSA and for 8 months after the last dose. Advise males with female partners of reproductive potential to use effective contraception during treatment with BESPONSA and for 5 months after the last dose. Advise pregnant women of the potential risk to the fetus. Advise women to contact their healthcare provider if they become pregnant or if pregnancy is suspected during treatment with BESPONSA [see Use in Specific Populations (8.1, 8.3) , Clinical Pharmacology (12.1), Nonclinical Toxicology (13.1)].

5. Warnings and Precautions (5. WARNINGS AND PRECAUTIONS)
  • Myelosuppression: Monitor complete blood counts; for signs and symptoms of infection; bleeding/hemorrhage; or other effects of myelosuppression during treatment; manage appropriately. (5.3)
  • Infusion related reactions: Monitor for infusion related reactions during and for at least 1 hour after infusion ends. (5.4)
  • QT interval prolongation: Obtain electrocardiograms (ECGs) and electrolytes at baseline and monitor during treatment. Monitor more frequently when using concomitant mediations known to prolong QT interval. (5.5)
  • Embryo-fetal toxicity: Can cause fetal harm. Advise females of reproductive potential of the potential risk to a fetus and to use effective contraception. (5.6, 8.1, 8.3)
2. Dosage and Administration (2. DOSAGE AND ADMINISTRATION)
  • Administer by intravenous infusion only. (2.1)
  • Pre-medicate with a corticosteroid, antipyretic, and antihistamine prior to all infusions. (2.2)
  • Dosing regimens for Cycle 1 and subsequent cycles, depending on the response to treatment, are shown below. See full prescribing information for dosing details. (2)

Day 1

Day 8

Day 15

Dosing regimen for Cycle 1

All patients:

  Dose

0.8 mg/m2

0.5 mg/m2

0.5 mg/m2

  Cycle length

21 days

For patients who achieve a CR or a CRi, and/or to allow for recovery from toxicity, the cycle length may be extended up to 28 days (i.e., 7-day treatment-free interval starting on Day 21).

Dosing regimen for subsequent cycles depending on response to treatment

Patients who have achieved a CR or CRi:

  Dose

0.5 mg/m2

0.5 mg/m2

0.5 mg/m2

  Cycle length

28 days

Patients who have not achieved a CR or CRi:

  Dose

0.8 mg/m2

0.5 mg/m2

0.5 mg/m2

  Cycle length

28 days

  • See full prescribing information for instructions on reconstitution of lyophilized powder, and preparation and administration of reconstituted drug. (2.4)
5.5 Qt Interval Prolongation (5.5 QT Interval Prolongation)

BESPONSA can cause QT interval prolongation. In adult patients in the INO-VATE ALL trial, increases in QT interval corrected for heart rate using Fridericia’s formula (QTcF) of ≥ to 60 msec from baseline occurred in 4/162 patients (3%). Grade 2 QT prolongation was reported in 2/164 patients (1%) [see Adverse Reactions (6.1) and Clinical Pharmacology (12.2)].

In pediatric patients in Study WI203581 (ITCC-059), increases in QTcF of > 60 msec from baseline occurred in 7/49 (14%) patients. 3/52 (6%) of patients had QTcF values > 500 msec [see Adverse Reactions (6.1)].

Administer BESPONSA with caution in patients who have a history of or predisposition for QTc prolongation, who are taking medicinal products that are known to prolong QT interval [see Drug Interactions (7)], and in patients with electrolyte disturbances [see Drug Interactions (7)]. Obtain electrocardiograms (ECGs) and electrolytes prior to the start of treatment, after initiation of any drug known to prolong QTc, and periodically monitor as clinically indicated during treatment [see Drug Interactions (7), Clinical Pharmacology (12.2)]).

3. Dosage Forms and Strengths (3. DOSAGE FORMS AND STRENGTHS)

For injection: 0.9 mg as a white to off-white lyophilized powder in a single-dose vial for reconstitution and further dilution.

5.4 Infusion Related Reactions

BESPONSA can cause infusion related reactions. In adult patients in the INO-VATE ALL trial, infusion related reactions occurred in patients who received BESPONSA. Infusion related reactions (all Grade 2) occurred in 4/164 patients (2%) [see Adverse Reactions (6.1)]. Infusion related reactions generally occurred in Cycle 1 shortly after the end of the BESPONSA infusion and resolved spontaneously or with medical management.

In pediatric patients in Study WI203581 (ITCC-059), infusion related reactions occurred in 4/53 (8%) patients [see Adverse Reactions (6.1)].

Premedicate with a corticosteroid, antipyretic, and antihistamine prior to dosing [see Dosage and Administration (2.2)].

Monitor patients closely during and for at least 1 hour after the end of infusion for the potential onset of infusion related reactions, including symptoms such as fever, chills, rash, or breathing problems. Interrupt infusion and institute appropriate medical management if an infusion related reaction occurs. Depending on the severity of the infusion related reaction, consider discontinuation of the infusion or administration of steroids and antihistamines. For severe or life-threatening infusion reactions, permanently discontinue BESPONSA [see Dosage and Administration (2.3)].

6.1 Clinical Trials Experience

Because clinical trials are conducted under widely varying conditions, adverse reaction rates observed in the clinical trials of a drug cannot be directly compared to rates in the clinical trials of another drug and may not reflect the rates observed in practice.

Relapsed or Refractory B-cell Precursor ALL

Adult Patients

The safety of BESPONSA was evaluated in adult patients with relapsed or refractory B-cell precursor ALL in the INO-VATE ALL trial. The study was a randomized clinical study of BESPONSA (n=164) versus Investigator’s choice of chemotherapy (fludarabine + cytarabine + granulocyte colony-stimulating factor [FLAG], mitoxantrone + cytarabine [MXN/Ara-C], or high dose cytarabine [HIDAC]) (n=143) [see Clinical Studies (14)].

Of the 164 patients who received BESPONSA, the median age was 47 years (range: 18–78 years), 56% were male, 68% had received 1 prior treatment regimen for ALL, 31% had received 2 prior treatment regimens for ALL, 68% were White, 19% were Asian, and 2% were Black.

In patients who received BESPONSA, the median duration of treatment was 8.9 weeks (range: 0.1–26.4 weeks), with a median of 3 treatment cycles started in each patient. In patients who received Investigator's choice of chemotherapy, the median duration of treatment was 0.9 weeks (range: 0.1–15.6 weeks), with a median of 1 treatment cycle started in each patient.

In patients who received BESPONSA, the most common (≥ 20%) adverse reactions were thrombocytopenia, neutropenia, infection, anemia, leukopenia, fatigue, hemorrhage, pyrexia, nausea, headache, febrile neutropenia, transaminases increased, abdominal pain, gamma-glutamyltransferase increased, and hyperbilirubinemia.

In patients who received BESPONSA, the most common (≥ 2%) serious adverse reactions were infection, febrile neutropenia, hemorrhage, abdominal pain, pyrexia, VOD, and fatigue.

In patients who received BESPONSA, the most common (≥ 2%) adverse reactions reported as the reason for permanent discontinuation were infection (6%), thrombocytopenia (2%), hyperbilirubinemia (2%), transaminases increased (2%), and hemorrhage (2%); the most common (≥ 5%) adverse reactions reported as the reason for dosing interruption were neutropenia (17%), infection (10%), thrombocytopenia (10%), transaminases increased (6%), and febrile neutropenia (5%); and the most common (≥ 1%) adverse reactions reported as the reason for dose reduction were neutropenia (1%), thrombocytopenia (1%), and transaminases increased (1%).

VOD was reported in 23/164 patients (14%) who received BESPONSA during or following treatment or following a HSCT after completion of treatment [see Warnings and Precautions (5.1)].

Table 7 shows the adverse reactions with ≥ 10% incidence reported in patients with relapsed or refractory ALL who received BESPONSA or Investigator's choice of chemotherapy.

Table 7. Adverse Reactions With ≥ 10% Incidence
Only adverse reactions with ≥ 10% incidence in the BESPONSA arm are included.
in Adult Patients With Relapsed or Refractory B-Cell Precursor ALL Who Received BESPONSA or Investigator's Choice of Chemotherapy (FLAG, MXN/Ara-C, or HIDAC)
Body System

  Adverse Reaction
BESPONSA

(N=164)
FLAG, MXN/Ara-C, or HIDAC

(N=143
19 patients randomized to FLAG, MXN/Ara-C, or HIDAC did not receive treatment.
)
All Grades ≥ Grade 3 All Grades ≥ Grade 3
% % % %
Adverse reactions included treatment-emergent all-causality events that commenced on or after Cycle 1 Day 1 within 42 days after the final dose of BESPONSA, but prior to the start of a new anticancer treatment (including HSCT).

Preferred terms were retrieved by applying the Medical Dictionary for Regulatory Activities (MedDRA) version 18.1.

Severity grade of adverse reactions were according to NCI CTCAE version 3.0.

Abbreviations: ALL=acute lymphoblastic leukemia; FLAG=fludarabine + cytarabine + granulocyte colony-stimulating factor; HIDAC=high dose cytarabine; HSCT=hematopoietic stem cell transplant; MXN/Ara-C=mitoxantrone + cytarabine; N=number of patients; NCI CTCAE=National Cancer Institute Common Toxicity Criteria for Adverse Events.

Infections

  Infection

Infection includes any reported preferred terms for BESPONSA retrieved in the System Organ Class Infections and infestations.

48

28

76

54

Blood and lymphatic system disorders

  Thrombocytopenia

Thrombocytopenia includes the following reported preferred terms: Platelet count decreased and Thrombocytopenia.

51

42

61

59

  Neutropenia

Neutropenia includes the following reported preferred terms: Neutropenia and Neutrophil count decreased.

49

48

45

43

  Anemia

Anemia includes the following reported preferred terms: Anemia and Hemoglobin decreased.

36

24

59

47

  Leukopenia

Leukopenia includes the following reported preferred terms: Leukopenia, Monocytopenia, and White blood cell count decreased.

35

33

43

42

  Febrile neutropenia

26

26

53

53

  Lymphopenia

Lymphopenia includes the following reported preferred terms: B-lymphocyte count decreased, Lymphocyte count decreased, and Lymphopenia.

18

16

27

26

Metabolism and nutrition disorders

  Decreased appetite

12

1

13

2

Nervous system disorders

  Headache

Headache includes the following reported preferred terms: Headache, Migraine, and Sinus headache.

28

2

27

1

Vascular disorders

  Hemorrhage

Hemorrhage includes reported preferred terms for BESPONSA retrieved in the Standard MedDRA Query (narrow) for Hemorrhage terms (excluding laboratory terms), resulting in the following preferred terms: Conjunctival hemorrhage, Contusion, Ecchymosis, Epistaxis, Eyelid bleeding, Gastrointestinal hemorrhage, Gastritis hemorrhagic, Gingival bleeding, Hematemesis, Hematochezia, Hematotympanum, Hematuria, Hemorrhage intracranial, Hemorrhage subcutaneous, Hemorrhoidal hemorrhage, Intra-abdominal hemorrhage, Lip hemorrhage, Lower gastrointestinal hemorrhage, Mesenteric hemorrhage, Metrorrhagia, Mouth hemorrhage, Muscle hemorrhage, Oral mucosa hematoma, Petechiae, Post-procedural hematoma, Rectal hemorrhage, Shock hemorrhagic, Subcutaneous hematoma, Subdural hematoma, Upper gastrointestinal hemorrhage, and Vaginal hemorrhage.

33

5

28

5

Gastrointestinal disorders

  Nausea

31

2

46

0

  Abdominal pain

Abdominal pain includes the following reported preferred terms: Abdominal pain, Abdominal pain lower, Abdominal pain upper, Abdominal tenderness, Esophageal pain, and Hepatic pain.

23

3

23

1

  Diarrhea

17

1

38

1

  Constipation

16

0

24

0

  Vomiting

15

1

24

0

  Stomatitis

Stomatitis includes the following reported preferred terms: Aphthous ulcer, Mucosal inflammation, Mouth ulceration, Oral pain, Oropharyngeal pain, and Stomatitis.

13

2

26

3

Hepatobiliary disorders

  Hyperbilirubinemia

21

5

17

6

General disorders and administration site conditions

  Fatigue

Fatigue includes the following reported preferred terms: Asthenia and Fatigue.

35

5

25

3

  Pyrexia

32

3

42

6

  Chills

11

0

11

0

Investigations

  Transaminases increased

Transaminases increased includes the following reported preferred terms: Aspartate aminotransferase increased, Alanine aminotransferase increased, Hepatocellular injury, and Hypertransaminasemia.

26

7

13

5

  Gamma-glutamyltransferase increased

21

10

8

4

  Alkaline phosphatase increased

13

2

7

0

Additional adverse reactions (all grades) that were reported in less than 10% of patients treated with BESPONSA included: lipase increased (9%), abdominal distension (6%), amylase increased (5%), hyperuricemia (4%), ascites (4%), infusion related reaction (2%; includes the following: hypersensitivity and infusion related reaction), pancytopenia (2%; includes the following: bone marrow failure, febrile bone marrow aplasia, and pancytopenia), tumor lysis syndrome (2%), and electrocardiogram QT prolonged (1%).

Table 8 shows the clinically important laboratory abnormalities reported in patients with relapsed or refractory ALL who received BESPONSA or Investigator's choice of chemotherapy.

Table 8. Laboratory Abnormalities in Patients With Relapsed or Refractory B-Cell Precursor ALL Who Received BESPONSA or Investigator's Choice of Chemotherapy (FLAG, MXN/Ara-C, or HIDAC)
BESPONSA FLAG, MXN/Ara-C, or HIDAC
All Grades Grade 3/4 All Grades Grade 3/4
Laboratory Abnormality
Laboratory abnormalities were summarized up to the end of treatment + 42 days but prior to the start of a new anti-cancer therapy.
N % % N % %
Severity grade of laboratory abnormalities according to NCI CTCAE version 3.0.

Abbreviations: ALL=acute lymphoblastic leukemia; ALP=alkaline phosphatase; ALT=alanine aminotransferase; AST=aspartate aminotransferase; FLAG=fludarabine + cytarabine + granulocyte colony-stimulating factor; GGT=gamma-glutamyltransferase; HIDAC=high dose cytarabine; MXN/Ara-C=mitoxantrone + cytarabine; N=number of patients; NCI CTCAE=National Cancer Institute Common Toxicity Criteria for Adverse Events.

Hematology

Platelet count decreased

161

98

76

142

100

99

Hemoglobin decreased

161

94

40

142

100

70

Leukocytes decreased

161

95

82

142

99

98

Neutrophil count decreased

160

94

86

130

93

88

Lymphocytes (absolute) decreased

160

93

71

127

97

91

Chemistry

GGT increased

148

67

18

111

68

17

AST increased

160

71

4

134

38

4

ALP increased

158

57

1

133

52

3

ALT increased

161

49

4

137

46

4

Blood bilirubin increased

161

36

5

138

35

6

Lipase increased

139

32

13

90

20

2

Hyperuricemia

158

16

3

122

11

0

Amylase increased

143

15

2

102

9

1

Pediatric Patients

The safety of BESPONSA in pediatric patients 1 year and older with relapsed or refractory CD22-positive B-cell precursor ALL was evaluated in a multicenter, single-arm, open-label study (ITCC-059) [see Clinical Studies (14)]. Patients (n=53) received the recommended dosage of BESPONSA [see Dosage and Administration (2.1)] or BESPONSA at an initial dose of 1.4 mg/m2/cycle (approximately 0.78 times the recommended initial dosage). Patients received BESPONSA for a median of 2 (range: 1-4) cycles. The median age of patients who received BESPONSA was 9 years (range: 1-17), with 68% male.

Serious adverse reactions occurred in 62% of patients who received BESPONSA. Serious adverse reactions in > 2% of patients included infection (21%), febrile neutropenia (17%), VOD (15%), hemorrhage (4%), pyrexia (6%) and multiorgan failure (2%). Fatal adverse reactions occurred in 8% of patients who received BESPONSA, including multiorgan failure, lung infection, sepsis, and encephalopathy.

Permanent discontinuation of BESPONSA due to an adverse reaction occurred in 21% of patients. Adverse reactions which resulted in permanent discontinuation of BESPONSA in 2 or more patients included ALT increased and platelet count decreased.

Dosage interruptions of BESPONSA due to an adverse reaction occurred in 11% of patients. Adverse reactions which required dosage interruption of BESPONSA in 6 patients included increased transaminases, febrile neutropenia, and headache.

The most common adverse reactions (≥ 20%), including laboratory abnormalities, were thrombocytopenia, pyrexia, anemia, vomiting, infection, hemorrhage, neutropenia, nausea, leukopenia, febrile neutropenia, increased transaminases, abdominal pain, and headache.

Table 9 summarizes the adverse reactions in ITCC-059.

Table 9. Adverse Reactions (≥ 5%) in Pediatric Patients (N=53) With CD22-Positive Relapsed or Refractory ALL in Study WI203581 (ITCC-059)
Severity grade of adverse reactions were according to NCI CTCAE version 4.03.

Body System

     Adverse Reaction

BESPONSA Monotherapy

(N=53)

All Grades

≥ Grade 3

%

%

General disorders and administration site conditions

     Pyrexia

49

4

     Edema

Includes other related terms.

19

0

     Fatigue

17

0

     Pain

15

2

     Chills

8

0

Blood and lymphatic system disorders

     Anemia

45

38

     Febrile neutropenia

28

28

Gastrointestinal disorders

     Vomiting

45

2

     Nausea

32

0

     Abdominal pain

25

2

     Constipation

19

2

     Stomatitis

17

6

     Diarrhea

11

0

Infections and infestations

     Infection

Infection includes any reported preferred terms for system organ class infections and infestations resulting in the following preferred terms: Acinetobacter bacteremia, bacteremia, candida infection, Cytomegalovirus infection, device related infection, device related sepsis, encephalitis, infectious enterocolitis, fungal infection, herpes virus infection, herpes zoster, influenza, kidney infection, mucosal infection, otitis media, paronychia, pneumonia, pneumonia fungal, respiratory tract infection, rhinitis, sepsis, sinusitis, skin infection, stoma site infection, upper respiratory tract infection, urinary tract inflammation, urinary tract infection, vaginal infection.

43

23

Vascular disorders

     Hemorrhage

Hemorrhage includes any reported PT terms within the hemorrhage terms (excl laboratory terms) (SMQ) narrow, resulting in the following preferred terms: catheter site hemorrhage, diarrhea hemorrhagic, epistaxis, gingival bleeding, hematemesis, hematoma, hematuria, hemoptysis, hemorrhage intracranial, hemorrhoidal hemorrhage, lip hemorrhage, mouth hemorrhage, oral blood blister, petechiae, purpura, thrombotic thrombocytopenic purpura, and upper gastrointestinal hemorrhage.

42

6

     Hypotension

6

4

Nervous system disorders

     Headache

21

0

Skin and subcutaneous tissue disorders

     Rash

19

4

     Pruritis

9

0

     Hyperhidrosis

6

0

Musculoskeletal and connective tissue disorders

     Pain in extremity

19

2

     Back pain

6

0

     Neck pain

6

0

     Muscular weakness

6

0

Respiratory, thoracic and mediastinal disorders

     Cough

17

0

     Dyspnea

8

2

     Hypoxia

8

4

Hepatobiliary disorders

     Veno-occlusive disease

15

13

     Hyperbilirubinemia

9

8

Metabolism and nutrition disorders

     Decreased appetite

11

4

     Tumor lysis syndrome

11

11

Investigations

     Weight increased

8

2

Injury, poisoning and procedural complications

     Infusion related reaction

Infusion related reaction includes the following preferred terms: infusion-related reaction and hypersensitivity.

8

0

Cardiac disorders

     Sinus tachycardia

6

2

Psychiatric disorders

     Anxiety

6

0

Table 10 summarizes select laboratory abnormalities in pediatric patients with CD22-positive relapsed/refractory ALL after receiving BESPONSA monotherapy in Study WI203581 (ITCC-059).

Table 10. Select Laboratory Abnormalities in Pediatric Patients with CD22-positive Relapsed/Refractory ALL after receiving BESPONSA Monotherapy in Study WI203581 (ITCC-059)
Severity grade of laboratory abnormalities according to NCI CTCAE version 4.03.
Abbreviations: N= number of subjects with valid post-baseline assessment; NCI CTCAE=National Cancer Institute Common Toxicity Criteria for Adverse Events.

Laboratory Abnormality

BESPONSA Monotherapy

All Grades

Grade 3/4

N

%

%

Hematology

Platelet count decreased

53

100

85

Neutrophil count decreased

53

98

96

White blood cell decreased

53

98

89

Hemoglobin decreased

53

96

42

Lymphocyte count decreased

52

87

73

Chemistry

AST increased

53

87

21

ALT increased

53

83

21

GGT increased

33

79

27

Blood bilirubin increased

53

30

9

ALP increased

53

28

0

Lipase increased

48

23

4

Serum amylase increased

49

14

0

8. Use in Specific Populations (8. USE IN SPECIFIC POPULATIONS)

Lactation: Advise not to breastfeed. (8.2)



17. Patient Counseling Information (17. PATIENT COUNSELING INFORMATION)

     

16. How Supplied/storage and Handling (16. HOW SUPPLIED/STORAGE AND HANDLING)

How Supplied

BESPONSA (inotuzumab ozogamicin) for injection is supplied as a white to off-white lyophilized powder in a single-dose vial for reconstitution and further dilution. Each vial delivers 0.9 mg inotuzumab ozogamicin. Each carton (NDC 0008-0100-01) contains one single-dose vial.

Storage and Handling

Refrigerate (2-8°C; 36-46°F) BESPONSA vials and store in the original carton to protect from light. Do not freeze.

BESPONSA is a hazardous drug. Follow applicable special handling and disposal procedures.1

Principal Display Panel 0.9 Mg Vial Label (PRINCIPAL DISPLAY PANEL - 0.9 mg Vial Label)

Pfizer

NDC 0008-0100-01

Rx only

BESPONSA

(inotuzumab ozogamicin)

for Injection

0.9 mg/vial

For Intravenous Infusion Only

No Preservatives

Single-dose vial.

Discard unused portion.

Principal Display Panel 0.9 Mg Vial Carton (PRINCIPAL DISPLAY PANEL - 0.9 mg Vial Carton)

Pfizer

NDC 0008-0100-01

BESPONSA™

(inotuzumab ozogamicin)

for Injection

0.9 mg/vial

For Intravenous Infusion Only

Reconstitution and dilution

required.

No Preservatives

One Single-Dose Vial.

Discard unused portion.

Rx only

2.3 Dosage Modifications for Adverse Reactions

Modify the dose of BESPONSA for toxicities (see Tables 2–4). BESPONSA doses within a treatment cycle (i.e., Days 8 and/or 15) do not need to be interrupted due to neutropenia or thrombocytopenia, but dosing interruptions within a cycle are recommended for non-hematologic toxicities. If the dose is reduced due to BESPONSA-related toxicity, the dose must not be re-escalated.

Table 2. BESPONSA Dosage Modifications for Hematologic Toxicities [see Warnings and Precautions (5.3)]

Criteria BESPONSA Dosage Modification(s)
Abbreviation: ANC=absolute neutrophil count.

If prior to BESPONSA treatment ANC was greater than or equal to 1 × 109/L

If ANC decreases, then interrupt the next cycle of treatment until recovery of ANC to greater than or equal to 1 × 109/L. Discontinue BESPONSA if low ANC persists for greater than 28 days and is suspected to be related to BESPONSA.

If prior to BESPONSA treatment platelet count was greater than or equal to 50 × 109/L

Platelet count used for dosing should be independent of blood transfusion.

If platelet count decreases, then interrupt the next cycle of treatment until platelet count recovers to greater than or equal to 50 × 109/L

. Discontinue BESPONSA if low platelet count persists for greater than 28 days and is suspected to be related to BESPONSA.

If prior to BESPONSA treatment ANC was less than 1 × 109/L and/or platelet count was less than 50 × 109/L

If ANC or platelet count decreases, then interrupt the next cycle of treatment until at least one of the following occurs:

  • -
    ANC and platelet counts recover to at least baseline levels for the prior cycle, or
  • -
    ANC recovers to greater than or equal to 1 × 109/L and platelet count recovers to greater than or equal to 50 × 109/L
    , or
  • -
    Stable or improved disease (based on most recent bone marrow assessment) and the ANC and platelet count decrease is considered to be due to the underlying disease (not considered to be BESPONSA-related toxicity).
Table 3. BESPONSA Dosage Modifications for Non-hematologic Toxicities
Non-hematologic Toxicity Dosage Modification(s)
Abbreviations: ALT=alanine aminotransferase; AST=aspartate aminotransferase; ULN=upper limit of normal; VOD=veno‑occlusive disease.

VOD or other severe liver toxicity

Permanently discontinue treatment [see Warnings and Precautions (5.1)].

Total bilirubin greater than 1.5 × ULN and AST/ALT greater than 2.5 × ULN

Interrupt dosing until recovery of total bilirubin to less than or equal to 1.5 × ULN and AST/ALT to less than or equal to 2.5 × ULN prior to each dose unless due to Gilbert's syndrome or hemolysis. Permanently discontinue treatment if total bilirubin does not recover to less than or equal to 1.5 × ULN or AST/ALT does not recover to less than or equal to 2.5 × ULN [see Warnings and Precautions (5.1)].

Infusion related reaction

Interrupt the infusion and institute appropriate medical management. Depending on the severity of the infusion related reaction, consider discontinuation of the infusion or administration of steroids and antihistamines. For severe or life-threatening infusion reactions, permanently discontinue treatment [see Warnings and Precautions (5.4)].

Non-hematologic toxicity greater than or equal to Grade 2

Severity grade according to National Cancer Institute Common Terminology Criteria for Adverse Events (NCI CTCAE) version 3.0.

Interrupt treatment until recovery to Grade 1 or pre-treatment grade levels prior to each dose.

Table 4. BESPONSA Dosage Modifications Depending on Duration of Dosing Interruption Due to Non-Hematologic Toxicity Toxicities
Duration of Dose Interruption Due to Toxicity Dosage Modification(s)

Less than 7 days (within a cycle)

Interrupt the next dose (maintain a minimum of 6 days between doses).

Greater than or equal to 7 days

Omit the next dose within the cycle.

Greater than or equal to 14 days

Once adequate recovery is achieved, decrease the total dose by 25% for the subsequent cycle. If further dose modification is required, then reduce the number of doses to 2 per cycle for subsequent cycles. If a 25% decrease in the total dose followed by a decrease to 2 doses per cycle is not tolerated, then permanently discontinue treatment.

Greater than 28 days

Consider permanent discontinuation of treatment.

2.2 Recommended Pre Medications and Cytoreduction (2.2 Recommended Pre-medications and Cytoreduction)
  • Premedication with a corticosteroid, antipyretic, and antihistamine is recommended prior to dosing. Patients should be observed during and for at least 1 hour after the end of infusion for symptoms of infusion related reactions [see Warnings and Precautions (5.4)].
  • For patients with circulating lymphoblasts, cytoreduction with a combination of hydroxyurea, steroids, and/or vincristine to a peripheral blast count of less than or equal to 10,000/mm3 is recommended prior to the first dose.
13.1 Carcinogenesis, Mutagenesis, Impairment of Fertility

Formal carcinogenicity studies have not been conducted with inotuzumab ozogamicin. In toxicity studies, rats were dosed weekly for 4 or 26 weeks with inotuzumab ozogamicin at doses up to 4.1 mg/m2 and 0.73 mg/m2, respectively. After 26 weeks of dosing, rats developed hepatocellular adenomas in the liver at 0.73 mg/m2 (approximately 2 times the exposure in patients at the maximum recommended dose, based on AUC).

Inotuzumab ozogamicin was clastogenic in vivo in the bone marrow of male mice that received single doses ≥ 1.1 mg/m2. This is consistent with the known induction of DNA breaks by calicheamicin. N-acetyl-gamma-calicheamicin dimethylhydrazide (the cytotoxic agent released from inotuzumab ozogamicin) was mutagenic in an in vitro bacterial reverse mutation (Ames) assay.

In a female fertility and early embryonic development study, female rats were administered daily intravenous doses of inotuzumab ozogamicin up to 0.11 mg/m2 for 2 weeks before mating through Day 7 of pregnancy. An increase in the proportion of resorptions and decrease in the number of viable embryos and gravid uterine weights were observed at the 0.11 mg/m2 dose level (approximately 2 times the exposure in patients at the maximum recommended dose, based on AUC). Additional findings in female reproductive organs occurred in repeat-dose toxicology studies and included decreased ovarian and uterine weights, and ovarian and uterine atrophy. Findings in male reproductive organs occurred in repeat-dose toxicology studies and included decreased testicular weights, testicular degeneration, hypospermia, and prostatic and seminal vesicle atrophy. Testicular degeneration and hypospermia were nonreversible following a 4-week nondosing period. In the chronic studies of 26-weeks duration, adverse effects on reproductive organs occurred at ≥ 0.07 mg/m2 in male rats and at 0.73 mg/m2 in female monkeys [see Use in Specific Populations (8.3)].

5.2 Increased Risk of Post Transplant Non Relapse Mortality (5.2 Increased Risk of Post-Transplant Non-Relapse Mortality)

In adult patients in the INO-VATE ALL trial, a higher post-HSCT non-relapse mortality rate was observed in patients receiving BESPONSA compared to the Investigator's choice of chemotherapy arm, resulting in a higher Day 100 post-HSCT mortality rate.

Overall, 79/164 patients (48%) in the BESPONSA arm and 35/162 patients (22%) in the Investigator's choice of chemotherapy arm had a follow-up HSCT. The post-HSCT non-relapse mortality rate was 31/79 (39%) and 8/35 (23%) in the BESPONSA arm compared to the Investigator's choice of chemotherapy arm, respectively.

In the BESPONSA arm, the most common causes of post-HSCT non-relapse mortality included VOD and infections. Five of the 18 VOD events that occurred post-HSCT were fatal. In the BESPONSA arm, among patients with ongoing VOD at time of death, 6 patients died due to multiorgan failure (MOF) or infection (3 patients died due to MOF, 2 patients died due to infection, and 1 patient died due to MOF and infection).

In pediatric patients in Study WI203581 (ITCC-059), 26/53 patients (49%) had a follow-up HSCT. The post-HSCT non-relapse mortality rate was 7/26 (27%).

Monitor for toxicities post-HSCT, including signs and symptoms of infection and VOD [see Warnings and Precautions (5.1, 5.3)].

2.4 Instructions for Reconstitution, Dilution, and Administration

Protect the reconstituted and diluted BESPONSA solutions from light. Do not freeze the reconstituted or diluted solution.

The maximum time from reconstitution through the end of administration should be less than or equal to 8 hours, with less than or equal to 4 hours between reconstitution and dilution.

5.1 Hepatotoxicity, Including Hepatic Veno Occlusive Disease (vod) (also Known As Sinusoidal Obstruction Syndrome) (5.1 Hepatotoxicity, Including Hepatic Veno-occlusive Disease (VOD) (also known as Sinusoidal Obstruction Syndrome))

BESPONSA can cause hepatotoxicity, including VOD. In adult patients in the INO-VATE ALL trial, hepatotoxicity, including severe, life-threatening, and sometimes fatal hepatic VOD occurred in 23/164 patients (14%) in the BESPONSA arm during or following treatment or following a HSCT after completion of treatment. VOD occurred up to 56 days after the final dose during treatment or during follow-up without an intervening HSCT. The median time from subsequent HSCT to onset of VOD was 15 days (range: 3-57 days).

In the BESPONSA arm, among the 79 patients who proceeded to a subsequent HSCT, VOD occurred in 18/79 patients (23%), and among all 164 patients treated, VOD occurred in 5/164 patients (3%) during study therapy or in follow-up without an intervening HSCT.

The risk of VOD was greater in patients who underwent HSCT after BESPONSA treatment; use of HSCT conditioning regimens containing 2 alkylating agents (e.g., busulfan in combination with other alkylating agents) and last total bilirubin level greater than or equal to the ULN before HSCT are significantly associated with an increased risk of VOD. Other risk factors for VOD in patients treated with BESPONSA included ongoing or prior liver disease, prior HSCT, increased age, later salvage lines, and a greater number of BESPONSA treatment cycles. Patients who have experienced prior VOD or have serious ongoing hepatic liver disease (e.g., cirrhosis, nodular regenerative hyperplasia, active hepatitis) are at an increased risk for worsening of liver disease, including developing VOD, following treatment with BESPONSA.

In Study WI203581 (ITCC-059) VOD occurred in 8/53 (15%) of pediatric patients treated with single agent BESPONSA. Among the 26 pediatric patients who underwent HSCT, VOD occurred in 5 (19%) patients [see Adverse Reactions (6.1)].

Monitor closely for signs and symptoms of VOD including elevations in total bilirubin, hepatomegaly (which may be painful), rapid weight gain, and ascites. Due to the risk of VOD, for patients proceeding to HSCT, the recommended duration of treatment with BESPONSA is 2 cycles; a third cycle may be considered for those patients who do not achieve a CR or CRi and MRD negativity after 2 cycles [see Dosage and Administration (2.1)]. For patients who proceed to HSCT, monitor liver tests at least weekly during the first month post-HSCT, then less frequently thereafter, according to standard medical practice.

In adult patients in the INO-VATE ALL trial, increases in liver test abnormalities occurred. Grade 3 or 4 AST, ALT, and total bilirubin abnormal liver tests occurred in 7/160 (4%), 7/161 (4%), and 8/161 patients (5%), respectively.

In pediatric patients in Study WI203581 (ITCC-059), liver test abnormalities occurred, with Grade 3 or 4 increases in AST, ALT, and blood bilirubin in 11/53 (21%), 11/53 (21%), and 5/53 (9%) of patients, respectively [see Adverse Reactions (6.1)].

In all patients, monitor liver tests, including ALT, AST, total bilirubin, and alkaline phosphatase, prior to and following each dose of BESPONSA. Based on elevations of liver tests withhold, reduce dose, or permanently discontinue BESPONSA [see Dosage and Administration (2.3)].

Warning: Hepatotoxicity, Including Hepatic Veno Occlusive Disease (vod) (also Known As Sinusoidal Obstruction Syndrome) and Increased Risk of Post Hematopoietic Stem Cell Transplant (hsct) Non Relapse Mortality (WARNING: HEPATOTOXICITY, INCLUDING HEPATIC VENO-OCCLUSIVE DISEASE (VOD) (ALSO KNOWN AS SINUSOIDAL OBSTRUCTION SYNDROME) and INCREASED RISK OF POST-HEMATOPOIETIC STEM CELL TRANSPLANT (HSCT) NON-RELAPSE MORTALITY)

WARNING: HEPATOTOXICITY, INCLUDING HEPATIC VENO-OCCLUSIVE DISEASE (VOD) (ALSO KNOWN AS SINUSOIDAL OBSTRUCTION SYNDROME) and INCREASED RISK OF POST- HEMATOPOIETIC STEM CELL TRANSPLANT (HSCT) NON-RELAPSE MORTALITY

See full prescribing information for complete boxed warning.

  • Hepatotoxicity, including fatal and life-threatening VOD occurred in patients who received BESPONSA. (5.1)
  • A higher post-HSCT non-relapse mortality rate occurred in patients receiving BESPONSA (5.2)

Advanced Ingredient Data


Raw Label Data

All Sections (JSON)