These Highlights Do Not Include All The Information Needed To Use Ketamine Hydrochloride Injection Safely And Effectively. See Full Prescribing Information For Ketamine Hydrochloride Injection.

These Highlights Do Not Include All The Information Needed To Use Ketamine Hydrochloride Injection Safely And Effectively. See Full Prescribing Information For Ketamine Hydrochloride Injection.
SPL v2
SPL
SPL Set ID cc67b0fd-ca73-49f6-b5ca-705dc7331776
Routes
INTRAMUSCULAR INTRAVENOUS
Published
Effective Date 2025-04-23
Document Type 34391-3 HUMAN PRESCRIPTION DRUG LABEL

Drug Facts

Composition & Product

Active Ingredients
Ketamine (10 mg)
Inactive Ingredients
Benzethonium Chloride Sodium Chloride Water

Identifiers & Packaging

Marketing Status
ANDA Active Since 2023-07-10

Description

Ketamine Hydrochloride Injection is indicated: as the sole anesthetic agent for diagnostic and surgical procedures that do not require skeletal muscle relaxation. for the induction of anesthesia prior to the administration of other general anesthetic agents. as a supplement to other anesthetic agents.

Indications and Usage

Ketamine Hydrochloride Injection is indicated: as the sole anesthetic agent for diagnostic and surgical procedures that do not require skeletal muscle relaxation. for the induction of anesthesia prior to the administration of other general anesthetic agents. as a supplement to other anesthetic agents.

Dosage and Administration

Ketamine Hydrochloride Injection should be administered by or under the direction of physicians experienced in the administration of general anesthetics, maintenance of a patent airway, and oxygenation and ventilation. Continuously monitor vital signs in patients receiving Ketamine Hydrochloride Injection. Emergency airway equipment must be immediately available. Do not administer the 100 mg/mL concentration of Ketamine Hydrochloride Injection intravenously without proper dilution [see Dosage and Administration ( 2.3 )] . Must be used immediately after dilution. While some degree of airway protection may be afforded due to active laryngeal-pharyngeal reflexes, vomiting and aspiration may occur with Ketamine Hydrochloride Injection. Ketamine Hydrochloride Injection is not recommended for use in patients who have not followed nil per os guidelines. Due to the potential for salivation during Ketamine Hydrochloride Injection administration, administer an antisialagogue prior to induction of anesthesia. In individuals with a history of chronic Ketamine Hydrochloride Injection use for off-label indications, there have been case reports of genitourinary pain that may be related to the Ketamine Hydrochloride Injection treatment, not the underlying condition [see Adverse Reactions ( 6 )] . Consider cessation of Ketamine Hydrochloride Injection if genitourinary pain continues in the setting of other genitourinary symptoms.

Warnings and Precautions

Hemodynamic Instability: Monitor vital signs and cardiac function during Ketamine Hydrochloride Injection administration. ( 5.1 ) Emergence Reactions: Postoperative confusional states may occur during the recovery period. Reduce by minimizing verbal, tactile, and visual stimulation of the patient. ( 5.2 ) Risk of Respiratory Depression: May occur with overdosage or too rapid a rate of administration. Maintain adequate oxygenation and ventilation. ( 5.3 ) Risks of Ketamine Hydrochloride Injection alone for Procedures of the Pharynx, Larynx, or Bronchial Tree : Pharyngeal and laryngeal reflexes are not suppressed with Ketamine Hydrochloride Injection when it is used alone. Avoid use as a sole anesthetic agent in surgery or diagnostic procedures of the pharynx, larynx, or bronchial tree. Muscle relaxants may be required. ( 5.4 ) Pediatric Neurotoxicity: Long-term cognitive deficits may occur when used for longer than 3 hours in children ≤3 years ( 5.5 )

Contraindications

Ketamine Hydrochloride Injection is contraindicated in patients for whom a significant elevation of blood pressure would constitute a serious hazard [see Warnings and Precautions ( 5.1 )] . Ketamine Hydrochloride Injection is contraindicated in patients with known hypersensitivity to ketamine or to any excipient [see Adverse Reactions ( 6 )] .

Adverse Reactions

The following clinically significant adverse reactions are described elsewhere in the labeling: Hemodynamic Instability [see Warnings and Precautions ( 5.1 )] Emergence Reactions [see Warnings and Precautions ( 5.2 )] Respiratory Depression [see Warnings and Precautions ( 5.3 )] Pediatric Neurotoxicity [see Warnings and Precautions ( 5.5 )] Drug-Induced Liver Injury [see Warnings and Precautions ( 5.6 )] The following adverse reactions associated with the use of Ketamine Hydrochloride Injection were identified in clinical studies or postmarketing reports. Because some of these reactions were reported voluntarily from a population of uncertain size, it is not always possible to reliably estimate their frequency or establish a causal relationship to drug exposure. Cardiovascular disorders : Elevated blood pressure, heart rate, and cardiac index; decreases in blood pressure and heart rate; arrhythmias; cardiac decompensation (in patients with suspected catecholamine depletion). Eye disorders : Diplopia, nystagmus, elevation in intraocular pressure. Gastrointestinal disorders : Anorexia, nausea, vomiting, hepatobiliary dysfunction. Biliary duct dilatation with or without evidence of biliary obstruction has been reported with recurrent use (e.g., misuse/abuse or medically supervised unapproved indications). Administration site disorders : Local pain and exanthema at the injection site. Immune system disorders : Anaphylaxis. Neurologic disorders : Emergence reactions (post-operative delirium), [see Warnings and Precautions ( 5.2 )]. During administration, enhanced muscle tone and spasms (resembling a partial motor or generalized motor seizure). Psychiatric disorders : Adverse psychiatric events have occurred and/or persisted days to weeks after ketamine exposure. Renal and urinary disorders: In individuals with history of chronic ketamine use or abuse, lower urinary tract and bladder symptoms including dysuria, increased urinary frequency, urgency, urge incontinence, and hematuria have been reported [see Dosage and Administration ( 2.1 )] . In addition, diagnostic studies performed to assess the cause of these symptoms have reported cystitis (including cystitis non-infective, cystitis interstitial, cystitis ulcerative, cystitis erosive and cystitis hemorrhagic) as well as hydronephrosis and reduced bladder capacity. Respiratory disorders : Respiratory depression and apnea following rapid intravenous administration of high doses of Ketamine Hydrochloride Injection; laryngospasm, and airway obstruction. Skin and subcutaneous tissue disorders : Transient erythema and/or morbilliform rash

Drug Interactions

Theophylline or Aminophylline : Do not co-administer with Ketamine Hydrochloride Injection as concomitant use may lower the seizure threshold ( 7.1 ). Sympathomimetics and Vasopressin : Closely monitor vital signs when co-administered with Ketamine Hydrochloride Injection. Consider dose adjustment individualized to the patient's clinical situation ( 7.2 ). Benzodiazepines, Opioid Analgesics, or other CNS Depressants : Concomitant use may result in profound sedation, respiratory depression, coma, or death. Concomitant use of opioid analgesics may prolong recovery time. ( 7.3 ).


Medication Information

Warnings and Precautions

Hemodynamic Instability: Monitor vital signs and cardiac function during Ketamine Hydrochloride Injection administration. ( 5.1 ) Emergence Reactions: Postoperative confusional states may occur during the recovery period. Reduce by minimizing verbal, tactile, and visual stimulation of the patient. ( 5.2 ) Risk of Respiratory Depression: May occur with overdosage or too rapid a rate of administration. Maintain adequate oxygenation and ventilation. ( 5.3 ) Risks of Ketamine Hydrochloride Injection alone for Procedures of the Pharynx, Larynx, or Bronchial Tree : Pharyngeal and laryngeal reflexes are not suppressed with Ketamine Hydrochloride Injection when it is used alone. Avoid use as a sole anesthetic agent in surgery or diagnostic procedures of the pharynx, larynx, or bronchial tree. Muscle relaxants may be required. ( 5.4 ) Pediatric Neurotoxicity: Long-term cognitive deficits may occur when used for longer than 3 hours in children ≤3 years ( 5.5 )

Indications and Usage

Ketamine Hydrochloride Injection is indicated: as the sole anesthetic agent for diagnostic and surgical procedures that do not require skeletal muscle relaxation. for the induction of anesthesia prior to the administration of other general anesthetic agents. as a supplement to other anesthetic agents.

Dosage and Administration

Ketamine Hydrochloride Injection should be administered by or under the direction of physicians experienced in the administration of general anesthetics, maintenance of a patent airway, and oxygenation and ventilation. Continuously monitor vital signs in patients receiving Ketamine Hydrochloride Injection. Emergency airway equipment must be immediately available. Do not administer the 100 mg/mL concentration of Ketamine Hydrochloride Injection intravenously without proper dilution [see Dosage and Administration ( 2.3 )] . Must be used immediately after dilution. While some degree of airway protection may be afforded due to active laryngeal-pharyngeal reflexes, vomiting and aspiration may occur with Ketamine Hydrochloride Injection. Ketamine Hydrochloride Injection is not recommended for use in patients who have not followed nil per os guidelines. Due to the potential for salivation during Ketamine Hydrochloride Injection administration, administer an antisialagogue prior to induction of anesthesia. In individuals with a history of chronic Ketamine Hydrochloride Injection use for off-label indications, there have been case reports of genitourinary pain that may be related to the Ketamine Hydrochloride Injection treatment, not the underlying condition [see Adverse Reactions ( 6 )] . Consider cessation of Ketamine Hydrochloride Injection if genitourinary pain continues in the setting of other genitourinary symptoms.

Contraindications

Ketamine Hydrochloride Injection is contraindicated in patients for whom a significant elevation of blood pressure would constitute a serious hazard [see Warnings and Precautions ( 5.1 )] . Ketamine Hydrochloride Injection is contraindicated in patients with known hypersensitivity to ketamine or to any excipient [see Adverse Reactions ( 6 )] .

Adverse Reactions

The following clinically significant adverse reactions are described elsewhere in the labeling: Hemodynamic Instability [see Warnings and Precautions ( 5.1 )] Emergence Reactions [see Warnings and Precautions ( 5.2 )] Respiratory Depression [see Warnings and Precautions ( 5.3 )] Pediatric Neurotoxicity [see Warnings and Precautions ( 5.5 )] Drug-Induced Liver Injury [see Warnings and Precautions ( 5.6 )] The following adverse reactions associated with the use of Ketamine Hydrochloride Injection were identified in clinical studies or postmarketing reports. Because some of these reactions were reported voluntarily from a population of uncertain size, it is not always possible to reliably estimate their frequency or establish a causal relationship to drug exposure. Cardiovascular disorders : Elevated blood pressure, heart rate, and cardiac index; decreases in blood pressure and heart rate; arrhythmias; cardiac decompensation (in patients with suspected catecholamine depletion). Eye disorders : Diplopia, nystagmus, elevation in intraocular pressure. Gastrointestinal disorders : Anorexia, nausea, vomiting, hepatobiliary dysfunction. Biliary duct dilatation with or without evidence of biliary obstruction has been reported with recurrent use (e.g., misuse/abuse or medically supervised unapproved indications). Administration site disorders : Local pain and exanthema at the injection site. Immune system disorders : Anaphylaxis. Neurologic disorders : Emergence reactions (post-operative delirium), [see Warnings and Precautions ( 5.2 )]. During administration, enhanced muscle tone and spasms (resembling a partial motor or generalized motor seizure). Psychiatric disorders : Adverse psychiatric events have occurred and/or persisted days to weeks after ketamine exposure. Renal and urinary disorders: In individuals with history of chronic ketamine use or abuse, lower urinary tract and bladder symptoms including dysuria, increased urinary frequency, urgency, urge incontinence, and hematuria have been reported [see Dosage and Administration ( 2.1 )] . In addition, diagnostic studies performed to assess the cause of these symptoms have reported cystitis (including cystitis non-infective, cystitis interstitial, cystitis ulcerative, cystitis erosive and cystitis hemorrhagic) as well as hydronephrosis and reduced bladder capacity. Respiratory disorders : Respiratory depression and apnea following rapid intravenous administration of high doses of Ketamine Hydrochloride Injection; laryngospasm, and airway obstruction. Skin and subcutaneous tissue disorders : Transient erythema and/or morbilliform rash

Drug Interactions

Theophylline or Aminophylline : Do not co-administer with Ketamine Hydrochloride Injection as concomitant use may lower the seizure threshold ( 7.1 ). Sympathomimetics and Vasopressin : Closely monitor vital signs when co-administered with Ketamine Hydrochloride Injection. Consider dose adjustment individualized to the patient's clinical situation ( 7.2 ). Benzodiazepines, Opioid Analgesics, or other CNS Depressants : Concomitant use may result in profound sedation, respiratory depression, coma, or death. Concomitant use of opioid analgesics may prolong recovery time. ( 7.3 ).

Description

Ketamine Hydrochloride Injection is indicated: as the sole anesthetic agent for diagnostic and surgical procedures that do not require skeletal muscle relaxation. for the induction of anesthesia prior to the administration of other general anesthetic agents. as a supplement to other anesthetic agents.

Section 42229-5

Induction of Anesthesia

Section 44425-7

Storage and Handling

Store at 20° to 25°C (68° to 77°F); excursions permitted to 15° to 30°C (59° to 86°F) [see USP Controlled Room Temperature]. Protect from light. Protect from freezing.

This container closure is not made with natural rubber latex.

Section 51945-4

PACKAGE LABEL - PRINCIPAL DISPLAY – Ketamine HCl Injection, USP 20 mL Vial Label

NDC 65219-184-01

Ketamine HCl Injection, USP CIII

200 mg/20 mL

(10 mg/mL)

For Slow Intravenous or Intramuscular Use

20 mL Multiple-Dose Vial

Rx only

9.2 Abuse

Individuals with a history of drug abuse or dependence may be at greater risk for abuse and misuse of Ketamine Hydrochloride Injection. Abuse is the intentional, non-therapeutic use of a drug, even once, for its psychological or physiological effects. Misuse is the intentional use, for therapeutic purposes, of a drug by an individual in a way other than prescribed by a health care provider or for whom it was not prescribed.

In a context of drug abuse, Ketamine Hydrochloride Injection may produce a variety of symptoms including anxiety, dysphoria, disorientation, insomnia, flashback, hallucinations, and feelings of floating, detachment and being “spaced out”.

Recurrent high-dose ketamine misuse or abuse may be associated with memory and/or attention impairment.

10 Overdosage

Changes in heart rate and blood pressure, respiratory depression, and apnea may occur with overdosage or by a rapid rate of administration of Ketamine Hydrochloride Injection. Monitor patients for clinically relevant changes in heart rate and blood pressure. Assisted ventilation, including mechanical ventilation, may be required.

In cases of unintentional overdose of Ketamine Hydrochloride Injection (up to ten times that usually required), patients had a prolonged but complete recovery.

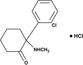
11 Description

Ketamine Hydrochloride Injection, USP, for intravenous or intramuscular use, contains ketamine, a nonbarbiturate general anesthetic. Ketamine Hydrochloride, USP is a white crystalline powder and has a molecular formula of C13H16ClNO•HCl and a molecular weight of 274.19. The chemical name for ketamine hydrochloride is (±)-2-(o-Chlorophenyl)-2-(methylamino)cyclohexanone hydrochloride. The chemical structure of ketamine hydrochloride is:

It is formulated as a slightly acidic (pH 3.5-5.5) sterile solution for intravenous or intramuscular injection. Each milliliter (mL) of the multiple-dose vials contain either 10 mg ketamine base (equivalent to 11.53 mg ketamine hydrochloride) or 50 mg ketamine base (equivalent to 57.67 mg ketamine hydrochloride) or 100 mg ketamine base (equivalent to 115.33 mg ketamine hydrochloride) and not more than 0.10 mg/mL benzethonium chloride added as a preservative in water for injection. The 10 mg/mL solution has been made isotonic with 6.60 mg sodium chloride.

9.3 Dependence

Physical dependence has been reported with prolonged use of ketamine. Physical dependence is a state that

develops as a result of physiological adaptation in response to repeated drug use, manifested by withdrawal signs and symptoms after abrupt discontinuation or significant dosage reduction of a drug. Withdrawal symptoms have been reported after the discontinuation of frequently used (more than weekly), large doses of ketamine for long periods of time. Reported symptoms of withdrawal associated with daily intake of large doses of ketamine include craving, fatigue, poor appetite, and anxiety.

Tolerance has been reported with prolonged use of ketamine. Tolerance is a physiological state characterized by a reduced response to a drug after repeated administration (i.e., a higher dose of a drug is required to produce the same effect that was once obtained at a lower dose).

8.4 Pediatric Use

Safety and effectiveness in pediatric patients below the age of 16 have not been established.

Published juvenile animal studies demonstrate that the administration of anesthetic and sedation drugs, such as Ketamine Hydrochloride Injection, that either block NMDA receptors or potentiate the activity of GABA during the period of rapid brain growth or synaptogenesis, results in widespread neuronal and oligodendrocyte cell loss in the developing brain and alterations in synaptic morphology and neurogenesis. Based on comparisons across species, the window of vulnerability to these changes is believed to correlate with exposures in the third trimester of gestation through the first several months of life but may extend out to approximately 3 years of age in humans.

In primates, exposure to 3 hours of ketamine that produced a light surgical plane of anesthesia did not increase neuronal cell loss, however, treatment regimens of 5 hours or longer of isoflurane increased neuronal cell loss. Data from isoflurane-treated rodents and ketamine-treated primates suggest that the neuronal and oligodendrocyte cell losses are associated with prolonged cognitive deficits in learning and memory. The clinical significance of these nonclinical findings is not known, and healthcare providers should balance the benefits of appropriate anesthesia in neonates and young children who require procedures with the potential risks suggested by the nonclinical data [see Warnings and Precautions (5.5), Use in Specific Populations (8.1), and Nonclinical Toxicology (13.2)].

8.5 Geriatric Use

Clinical studies of ketamine hydrochloride did not include sufficient numbers of subjects aged 65 and over to determine whether they respond differently from younger subjects. Other reported clinical experience has not identified differences in responses between the elderly and younger patients. In general, dose selection for an elderly patient should be cautious, usually starting at the low end of the dosing range, reflecting the greater frequency of decreased hepatic, renal, or cardiac function, and of concomitant disease or other drug therapy.

14 Clinical Studies

Ketamine Hydrochloride Injection has been studied in over 12,000 operative and diagnostic procedures, involving over 10,000 patients in 105 separate studies. During the course of these studies, Ketamine Hydrochloride Injection was administered as the sole general anesthetic, as an induction agent prior to administration of other general anesthetics, or to supplement other anesthetic agents.

Ketamine Hydrochloride Injection has been evaluated during the following procedures:

  • debridement, dressing changes, and skin grafting in burn patients, as well as other superficial surgical procedures.
  • neurodiagnostic procedures such as myelograms and lumbar punctures.
  • diagnostic and operative procedures of the ear, nose, and mouth, including dental extractions.
  • sigmoidoscopy and minor surgery of the anus and rectum, and circumcision.
  • extraperitoneal procedures, such as dilatation and curettage.
  • orthopedic procedures such as closed reductions, manipulations, femoral pinning, amputations, and biopsies.
  • cardiac catheterization procedures.
4 Contraindications
  • Ketamine Hydrochloride Injection is contraindicated in patients for whom a significant elevation of blood pressure would constitute a serious hazard [see Warnings and Precautions (5.1)].
  • Ketamine Hydrochloride Injection is contraindicated in patients with known hypersensitivity to ketamine or to any excipient [see Adverse Reactions (6)].
6 Adverse Reactions

The following clinically significant adverse reactions are described elsewhere in the labeling:

  • Hemodynamic Instability [see Warnings and Precautions (5.1)]
  • Emergence Reactions [see Warnings and Precautions (5.2)]
  • Respiratory Depression [see Warnings and Precautions (5.3)]
  • Pediatric Neurotoxicity [see Warnings and Precautions (5.5)]
  • Drug-Induced Liver Injury [see Warnings and Precautions (5.6)]

The following adverse reactions associated with the use of Ketamine Hydrochloride Injection were identified in clinical studies or postmarketing reports. Because some of these reactions were reported voluntarily from a population of uncertain size, it is not always possible to reliably estimate their frequency or establish a causal relationship to drug exposure.

Cardiovascular disorders: Elevated blood pressure, heart rate, and cardiac index; decreases in blood pressure and heart rate; arrhythmias; cardiac decompensation (in patients with suspected catecholamine depletion).

Eye disorders: Diplopia, nystagmus, elevation in intraocular pressure.

Gastrointestinal disorders: Anorexia, nausea, vomiting, hepatobiliary dysfunction. Biliary duct dilatation with or without evidence of biliary obstruction has been reported with recurrent use (e.g., misuse/abuse or medically supervised unapproved indications).

Administration site disorders: Local pain and exanthema at the injection site.

Immune system disorders: Anaphylaxis.

Neurologic disorders: Emergence reactions (post-operative delirium), [see Warnings and Precautions (5.2)]. During administration, enhanced muscle tone and spasms (resembling a partial motor or generalized motor seizure).

Psychiatric disorders: Adverse psychiatric events have occurred and/or persisted days to weeks after ketamine exposure.

Renal and urinary disorders: In individuals with history of chronic ketamine use or abuse, lower urinary tract and bladder symptoms including dysuria, increased urinary frequency, urgency, urge incontinence, and hematuria have been reported [see Dosage and Administration (2.1)]. In addition, diagnostic studies performed to assess the cause of these symptoms have reported cystitis (including cystitis non-infective, cystitis interstitial, cystitis ulcerative, cystitis erosive and cystitis hemorrhagic) as well as hydronephrosis and reduced bladder capacity.

Respiratory disorders: Respiratory depression and apnea following rapid intravenous administration of high doses of Ketamine Hydrochloride Injection; laryngospasm, and airway obstruction.

Skin and subcutaneous tissue disorders: Transient erythema and/or morbilliform rash

7 Drug Interactions

Theophylline or Aminophylline: Do not co-administer with Ketamine Hydrochloride Injection as concomitant use may lower the seizure threshold (7.1).

Sympathomimetics and Vasopressin: Closely monitor vital signs when co-administered with Ketamine Hydrochloride Injection. Consider dose adjustment individualized to the patient's clinical situation (7.2).

Benzodiazepines, Opioid Analgesics, or other CNS Depressants: Concomitant use may result in profound sedation, respiratory depression, coma, or death. Concomitant use of opioid analgesics may prolong recovery time. (7.3).

1 Indications and Usage

Ketamine Hydrochloride Injection is indicated:

  • as the sole anesthetic agent for diagnostic and surgical procedures that do not require skeletal muscle relaxation.
  • for the induction of anesthesia prior to the administration of other general anesthetic agents.
  • as a supplement to other anesthetic agents.
5.2 Emergence Reactions

Emergence delirium (postoperative confusional states or agitation) has occurred in approximately 12% of patients during the recovery period, and the duration is generally a few hours. The neuropsychological manifestations vary in severity between pleasant dream-like states, vivid imagery, hallucinations, and emergence delirium. In some cases, these states have been accompanied by confusion, excitement, and irrational behavior, which have been recalled as unpleasant experiences. No residual psychological effects are known to have resulted from use of Ketamine Hydrochloride Injection during induction and maintenance of anesthesia.

Intramuscular administration results in a lower incidence of emergence reactions.

The incidence of psychological manifestations during emergence, particularly dream-like observations and emergence delirium, may be reduced by using lower recommended dosages of Ketamine Hydrochloride Injection in conjunction with an intravenous benzodiazepine during induction and maintenance of anesthesia [see Dosage and Administration (2.3)]. Also, these reactions may be reduced if verbal, tactile, and visual stimulation of the patient is minimized during the recovery period. This does not preclude the monitoring of vital signs.

12.1 Mechanism of Action

Ketamine Hydrochloride Injection, a racemic mixture of ketamine, is a non-selective, non-competitive antagonist of the N-methyl-D-aspartate (NMDA) receptor, an ionotropic glutamate receptor. The major circulating metabolite of ketamine (norketamine) demonstrated activity at the same receptor with less affinity. Norketamine is about 1/3 as active as ketamine in reducing halothane requirements (MAC) of the rat.

9.1 Controlled Substance

Ketamine Hydrochloride Injection contains ketamine, a Schedule III controlled substance under the Controlled Substance Act.

5 Warnings and Precautions
  • Hemodynamic Instability: Monitor vital signs and cardiac function during Ketamine Hydrochloride Injection administration. (5.1)
  • Emergence Reactions: Postoperative confusional states may occur during the recovery period. Reduce by minimizing verbal, tactile, and visual stimulation of the patient. (5.2)
  • Risk of Respiratory Depression: May occur with overdosage or too rapid a rate of administration. Maintain adequate oxygenation and ventilation. (5.3)
  • Risks of Ketamine Hydrochloride Injection alone for Procedures of the Pharynx, Larynx, or Bronchial Tree: Pharyngeal and laryngeal reflexes are not suppressed with Ketamine Hydrochloride Injection when it is used alone. Avoid use as a sole anesthetic agent in surgery or diagnostic procedures of the pharynx, larynx, or bronchial tree. Muscle relaxants may be required. (5.4)
  • Pediatric Neurotoxicity: Long-term cognitive deficits may occur when used for longer than 3 hours in children ≤3 years (5.5)
5.3 Respiratory Depression

Respiratory depression may occur with overdosage or a rapid rate of administration of Ketamine Hydrochloride Injection. Maintain adequate oxygenation and ventilation.

2 Dosage and Administration
  • See Full Prescribing Information for important dosage and administration instructions. (2)
  • Induction of anesthesia:
    • --
      Intravenous route: Initially, 1 to 4.5 mg/kg administered slowly (over a period of 60 seconds). Alternatively, administer a dose of 1 to 2 mg/kg at a rate of 0.5 mg/kg/min. (2.2)
    • --
      Intramuscular route: Initially, 6.5 to 13 mg/kg. (2.2)
  • Maintenance of anesthesia: Increments of one-half to the full induction dose may be repeated as needed (2.2). Adjust the dose according to the patient's anesthetic needs and whether an additional anesthetic agent is employed. (2.2)
  • Supplement to other anesthetic agents: The regimen of a reduced dose of Ketamine Hydrochloride Injection supplemented with diazepam can be used to produce balanced anesthesia by combination with other agents. (2.2)
2.3 Preparation of Dilution

Ketamine Hydrochloride Injection is a clear, colorless to slightly yellow sterile solution. Parenteral drug products should be inspected visually for particulate matter and discoloration prior to administration, whenever solution and container permit. Discard if product is discolored or contains particulate matter.

5.1 Hemodynamic Instability

Transient increases in blood pressure, heart rate, and cardiac index are frequently observed following administration of Ketamine Hydrochloride Injection. Decreases in blood pressure and heart rate, arrhythmias, and cardiac decompensation have also been observed. Monitor vital signs and cardiac function during Ketamine Hydrochloride Injection administration. Ketamine Hydrochloride Injection is contraindicated in patients for whom a significant elevation of blood pressure would constitute a serious hazard [see Contraindications (4)].

5.5 Pediatric Neurotoxicity

Published animal studies demonstrate that the administration of anesthetic and sedation drugs that block NMDA receptors and/or potentiate GABA activity increase neuronal apoptosis in the developing brain and result in long-term cognitive deficits when used for longer than 3 hours. The clinical significance of these findings is not clear. However, based on the available data, the window of vulnerability to these changes is believed to correlate with exposures in the third trimester of gestation through the first several months of life, but may extend out to approximately three years of age in humans [see Use in Specific Populations (8.1, 8.4), Nonclinical Toxicology (13.2)].

Some published studies in children suggest that similar deficits may occur after repeated or prolonged exposures to anesthetic agents early in life and may result in adverse cognitive or behavioral effects. These studies have substantial limitations, and it is not clear if the observed effects are due to the anesthetic/sedation drug administration or other factors such as the surgery or underlying illness.

Anesthetic and sedation drugs are a necessary part of the care of children needing surgery, other procedures, or tests that cannot be delayed, and no specific medications have been shown to be safer than any other. Decisions regarding the timing of any elective procedures requiring anesthesia should take into consideration the benefits of the procedure weighed against the potential risks.

3 Dosage Forms and Strengths

Ketamine Hydrochloride Injection, USP is a clear, colorless to slightly yellow sterile solution available in multiple-dose vials containing either 10 mg ketamine base (equivalent to 11.53 mg ketamine hydrochloride) or 50 mg ketamine base (equivalent to 57.67 mg ketamine hydrochloride) or 100 mg ketamine base (equivalent to 115.33 mg ketamine hydrochloride).

  • 200 mg/20 mL (10 mg/mL)
  • 500 mg/10 mL (50 mg/mL)
  • 500 mg/5 mL (100 mg/mL)
5.6 Drug Induced Liver Injury

Ketamine administration is associated with hepatobiliary dysfunction (most often a cholestatic pattern), with recurrent use (e.g., misuse/abuse or medically supervised unapproved indications). Biliary duct dilatation with or without evidence of biliary obstruction has also been reported with recurrent use. Obtain baseline LFTs, including alkaline phosphatase and gamma glutamyl transferase, in patients receiving ketamine as part of a treatment plan that utilizes recurrent dosing. Monitor those receiving recurrent ketamine at periodic intervals during treatment.

8 Use in Specific Populations
  • Pregnancy: Animal data show that Ketamine Hydrochloride Injection may cause harm to the fetus; avoid use during pregnancy, labor, and delivery (8.1)
17 Patient Counseling Information
  • Studies conducted in young animals and children suggest repeated or prolonged use of general anesthetic or sedation drugs in children younger than 3 years may have negative effects on their developing brains. Discuss with parents and caregivers the benefits, risks, and timing and duration of surgery or procedures requiring anesthetic and sedation drugs [see Warnings and Precautions (5.5)].
  • Due to the residual anesthetic effects and the potential for drowsiness, advise patients not to drive an automobile, operate hazardous machinery, or engage in hazardous activities within 24 hours of receiving Ketamine Hydrochloride Injection.

Manufactured by:

Lake Zurich, IL 60047

www.fresenius-kabi.com/us

451793A

7.1 Theophylline Or Aminophylline

Concomitant administration of Ketamine Hydrochloride Injection and theophylline or aminophylline may lower the seizure threshold. Consider using an alternative to Ketamine Hydrochloride Injection in patients receiving theophylline or aminophylline.

7.2 Sympathomimetics and Vasopressin

Sympathomimetics and vasopressin may enhance the sympathomimetic effects of ketamine. Closely monitor vital signs when Ketamine Hydrochloride Injection and sympathomimetics or vasopressin are co-administered and consider dose adjustment individualized to the patient's clinical situation.

2.2 Recommended Dosage and Administration

The Ketamine Hydrochloride Injection dosage must be individualized and titrated to the desired clinical effect.

If a longer duration of effect is desired, additional increments can be administered intravenously or intramuscularly to maintain anesthesia. However, a higher total dose will result in a longer time to complete recovery.

13.2 Animal Toxicology And/or Pharmacology

Published studies in animals demonstrate that the use of anesthetic agents during the period of rapid brain growth or synaptogenesis results in widespread neuronal and oligodendrocyte cell loss in the developing brain and alterations in synaptic morphology and neurogenesis. Based on comparisons across species, the window of vulnerability to these changes is believed to correlate with exposures in the third trimester through the first several months of life, but may extend out to approximately 3 years of age in humans.

In primates, exposure to 3 hours of an anesthetic regimen that produced a light surgical plane of anesthesia did not increase neuronal cell loss, however, treatment regimens of 5 hours or longer increased neuronal cell loss. Data in rodents and in primates suggest that the neuronal and oligodendrocyte cell losses are associated with subtle but prolonged cognitive deficits in learning and memory. The clinical significance of these nonclinical findings is not known, and healthcare providers should balance the benefits of appropriate anesthesia in neonates and young children who require procedures against the potential risks suggested by the nonclinical data [see Warnings and Precautions (5.5), Use in Specific Populations (8.1, 8.4)].

In published studies, intraperitoneal administration of ketamine at doses greater than 40 mg/kg induced vacuolation in neuronal cells of the posterior cingulate and retrosplenial cortices in adult rats, similar to what has been reported in rodents administered other NMDA receptor antagonists. These vacuoles were demonstrated to be reversible and did not progress to degeneration or neuronal death up to doses of 80 mg/kg (1.2 times the human dose of 10 mg/kg based on body surface area). A no-effect level for neuronal vacuolation was 20 mg/kg intraperitoneal (0.3 times a human dose of 10 mg/kg on a body surface area basis). The window of vulnerability to these changes is believed to correlate with exposures in humans from the onset of puberty through adulthood. The relevance of this finding to humans is unknown.

5.7 Increase in Cerebrospinal Fluid Pressure

An increase in intracranial pressure has been reported following administration of ketamine hydrochloride. Patients with elevated intracranial pressure should be in a monitored setting with frequent neurologic assessments.

2.1 Important Dosage and Administration Information

Ketamine Hydrochloride Injection should be administered by or under the direction of physicians experienced in the administration of general anesthetics, maintenance of a patent airway, and oxygenation and ventilation. Continuously monitor vital signs in patients receiving Ketamine Hydrochloride Injection.

Emergency airway equipment must be immediately available.

Do not administer the 100 mg/mL concentration of Ketamine Hydrochloride Injection intravenously without proper dilution [see Dosage and Administration (2.3)]. Must be used immediately after dilution.

While some degree of airway protection may be afforded due to active laryngeal-pharyngeal reflexes, vomiting and aspiration may occur with Ketamine Hydrochloride Injection. Ketamine Hydrochloride Injection is not recommended for use in patients who have not followed nil per os guidelines.

Due to the potential for salivation during Ketamine Hydrochloride Injection administration, administer an antisialagogue prior to induction of anesthesia.

In individuals with a history of chronic Ketamine Hydrochloride Injection use for off-label indications, there have been case reports of genitourinary pain that may be related to the Ketamine Hydrochloride Injection treatment, not the underlying condition [see Adverse Reactions (6)]. Consider cessation of Ketamine Hydrochloride Injection if genitourinary pain continues in the setting of other genitourinary symptoms.

7.3 Benzodiazepines, Opioid Analgesics, Or Other Cns Depressants

Concomitant use of ketamine with opioid analgesics, benzodiazepines, or other central nervous system (CNS) depressants, including alcohol, may result in profound sedation, respiratory depression, coma, and death [see Warnings and Precautions (5.8)].

Opioid analgesics administered concomitantly with Ketamine Hydrochloride Injection may prolong time to complete recovery from anesthesia.

5.4 Risks of Ketamine Hydrochloride Injection Alone for Procedures of the Pharynx, Larynx, Or Bronchial Tree

Ketamine Hydrochloride Injection does not suppress pharyngeal and laryngeal reflexes. Avoid Ketamine Hydrochloride Injection administration as a sole anesthetic agent during procedures of the pharynx, larynx, or bronchial tree, including mechanical stimulation of the pharynx. Muscle relaxants may be required for successful completion of procedures of the pharynx, larynx, or bronchial tree.


Structured Label Content

Section 42229-5 (42229-5)

Induction of Anesthesia

Section 44425-7 (44425-7)

Storage and Handling

Store at 20° to 25°C (68° to 77°F); excursions permitted to 15° to 30°C (59° to 86°F) [see USP Controlled Room Temperature]. Protect from light. Protect from freezing.

This container closure is not made with natural rubber latex.

Section 51945-4 (51945-4)

PACKAGE LABEL - PRINCIPAL DISPLAY – Ketamine HCl Injection, USP 20 mL Vial Label

NDC 65219-184-01

Ketamine HCl Injection, USP CIII

200 mg/20 mL

(10 mg/mL)

For Slow Intravenous or Intramuscular Use

20 mL Multiple-Dose Vial

Rx only

9.2 Abuse

Individuals with a history of drug abuse or dependence may be at greater risk for abuse and misuse of Ketamine Hydrochloride Injection. Abuse is the intentional, non-therapeutic use of a drug, even once, for its psychological or physiological effects. Misuse is the intentional use, for therapeutic purposes, of a drug by an individual in a way other than prescribed by a health care provider or for whom it was not prescribed.

In a context of drug abuse, Ketamine Hydrochloride Injection may produce a variety of symptoms including anxiety, dysphoria, disorientation, insomnia, flashback, hallucinations, and feelings of floating, detachment and being “spaced out”.

Recurrent high-dose ketamine misuse or abuse may be associated with memory and/or attention impairment.

10 Overdosage (10 OVERDOSAGE)

Changes in heart rate and blood pressure, respiratory depression, and apnea may occur with overdosage or by a rapid rate of administration of Ketamine Hydrochloride Injection. Monitor patients for clinically relevant changes in heart rate and blood pressure. Assisted ventilation, including mechanical ventilation, may be required.

In cases of unintentional overdose of Ketamine Hydrochloride Injection (up to ten times that usually required), patients had a prolonged but complete recovery.

11 Description (11 DESCRIPTION)

Ketamine Hydrochloride Injection, USP, for intravenous or intramuscular use, contains ketamine, a nonbarbiturate general anesthetic. Ketamine Hydrochloride, USP is a white crystalline powder and has a molecular formula of C13H16ClNO•HCl and a molecular weight of 274.19. The chemical name for ketamine hydrochloride is (±)-2-(o-Chlorophenyl)-2-(methylamino)cyclohexanone hydrochloride. The chemical structure of ketamine hydrochloride is:

It is formulated as a slightly acidic (pH 3.5-5.5) sterile solution for intravenous or intramuscular injection. Each milliliter (mL) of the multiple-dose vials contain either 10 mg ketamine base (equivalent to 11.53 mg ketamine hydrochloride) or 50 mg ketamine base (equivalent to 57.67 mg ketamine hydrochloride) or 100 mg ketamine base (equivalent to 115.33 mg ketamine hydrochloride) and not more than 0.10 mg/mL benzethonium chloride added as a preservative in water for injection. The 10 mg/mL solution has been made isotonic with 6.60 mg sodium chloride.

9.3 Dependence

Physical dependence has been reported with prolonged use of ketamine. Physical dependence is a state that

develops as a result of physiological adaptation in response to repeated drug use, manifested by withdrawal signs and symptoms after abrupt discontinuation or significant dosage reduction of a drug. Withdrawal symptoms have been reported after the discontinuation of frequently used (more than weekly), large doses of ketamine for long periods of time. Reported symptoms of withdrawal associated with daily intake of large doses of ketamine include craving, fatigue, poor appetite, and anxiety.

Tolerance has been reported with prolonged use of ketamine. Tolerance is a physiological state characterized by a reduced response to a drug after repeated administration (i.e., a higher dose of a drug is required to produce the same effect that was once obtained at a lower dose).

8.4 Pediatric Use

Safety and effectiveness in pediatric patients below the age of 16 have not been established.

Published juvenile animal studies demonstrate that the administration of anesthetic and sedation drugs, such as Ketamine Hydrochloride Injection, that either block NMDA receptors or potentiate the activity of GABA during the period of rapid brain growth or synaptogenesis, results in widespread neuronal and oligodendrocyte cell loss in the developing brain and alterations in synaptic morphology and neurogenesis. Based on comparisons across species, the window of vulnerability to these changes is believed to correlate with exposures in the third trimester of gestation through the first several months of life but may extend out to approximately 3 years of age in humans.

In primates, exposure to 3 hours of ketamine that produced a light surgical plane of anesthesia did not increase neuronal cell loss, however, treatment regimens of 5 hours or longer of isoflurane increased neuronal cell loss. Data from isoflurane-treated rodents and ketamine-treated primates suggest that the neuronal and oligodendrocyte cell losses are associated with prolonged cognitive deficits in learning and memory. The clinical significance of these nonclinical findings is not known, and healthcare providers should balance the benefits of appropriate anesthesia in neonates and young children who require procedures with the potential risks suggested by the nonclinical data [see Warnings and Precautions (5.5), Use in Specific Populations (8.1), and Nonclinical Toxicology (13.2)].

8.5 Geriatric Use

Clinical studies of ketamine hydrochloride did not include sufficient numbers of subjects aged 65 and over to determine whether they respond differently from younger subjects. Other reported clinical experience has not identified differences in responses between the elderly and younger patients. In general, dose selection for an elderly patient should be cautious, usually starting at the low end of the dosing range, reflecting the greater frequency of decreased hepatic, renal, or cardiac function, and of concomitant disease or other drug therapy.

14 Clinical Studies (14 CLINICAL STUDIES)

Ketamine Hydrochloride Injection has been studied in over 12,000 operative and diagnostic procedures, involving over 10,000 patients in 105 separate studies. During the course of these studies, Ketamine Hydrochloride Injection was administered as the sole general anesthetic, as an induction agent prior to administration of other general anesthetics, or to supplement other anesthetic agents.

Ketamine Hydrochloride Injection has been evaluated during the following procedures:

  • debridement, dressing changes, and skin grafting in burn patients, as well as other superficial surgical procedures.
  • neurodiagnostic procedures such as myelograms and lumbar punctures.
  • diagnostic and operative procedures of the ear, nose, and mouth, including dental extractions.
  • sigmoidoscopy and minor surgery of the anus and rectum, and circumcision.
  • extraperitoneal procedures, such as dilatation and curettage.
  • orthopedic procedures such as closed reductions, manipulations, femoral pinning, amputations, and biopsies.
  • cardiac catheterization procedures.
4 Contraindications (4 CONTRAINDICATIONS)
  • Ketamine Hydrochloride Injection is contraindicated in patients for whom a significant elevation of blood pressure would constitute a serious hazard [see Warnings and Precautions (5.1)].
  • Ketamine Hydrochloride Injection is contraindicated in patients with known hypersensitivity to ketamine or to any excipient [see Adverse Reactions (6)].
6 Adverse Reactions (6 ADVERSE REACTIONS)

The following clinically significant adverse reactions are described elsewhere in the labeling:

  • Hemodynamic Instability [see Warnings and Precautions (5.1)]
  • Emergence Reactions [see Warnings and Precautions (5.2)]
  • Respiratory Depression [see Warnings and Precautions (5.3)]
  • Pediatric Neurotoxicity [see Warnings and Precautions (5.5)]
  • Drug-Induced Liver Injury [see Warnings and Precautions (5.6)]

The following adverse reactions associated with the use of Ketamine Hydrochloride Injection were identified in clinical studies or postmarketing reports. Because some of these reactions were reported voluntarily from a population of uncertain size, it is not always possible to reliably estimate their frequency or establish a causal relationship to drug exposure.

Cardiovascular disorders: Elevated blood pressure, heart rate, and cardiac index; decreases in blood pressure and heart rate; arrhythmias; cardiac decompensation (in patients with suspected catecholamine depletion).

Eye disorders: Diplopia, nystagmus, elevation in intraocular pressure.

Gastrointestinal disorders: Anorexia, nausea, vomiting, hepatobiliary dysfunction. Biliary duct dilatation with or without evidence of biliary obstruction has been reported with recurrent use (e.g., misuse/abuse or medically supervised unapproved indications).

Administration site disorders: Local pain and exanthema at the injection site.

Immune system disorders: Anaphylaxis.

Neurologic disorders: Emergence reactions (post-operative delirium), [see Warnings and Precautions (5.2)]. During administration, enhanced muscle tone and spasms (resembling a partial motor or generalized motor seizure).

Psychiatric disorders: Adverse psychiatric events have occurred and/or persisted days to weeks after ketamine exposure.

Renal and urinary disorders: In individuals with history of chronic ketamine use or abuse, lower urinary tract and bladder symptoms including dysuria, increased urinary frequency, urgency, urge incontinence, and hematuria have been reported [see Dosage and Administration (2.1)]. In addition, diagnostic studies performed to assess the cause of these symptoms have reported cystitis (including cystitis non-infective, cystitis interstitial, cystitis ulcerative, cystitis erosive and cystitis hemorrhagic) as well as hydronephrosis and reduced bladder capacity.

Respiratory disorders: Respiratory depression and apnea following rapid intravenous administration of high doses of Ketamine Hydrochloride Injection; laryngospasm, and airway obstruction.

Skin and subcutaneous tissue disorders: Transient erythema and/or morbilliform rash

7 Drug Interactions (7 DRUG INTERACTIONS)

Theophylline or Aminophylline: Do not co-administer with Ketamine Hydrochloride Injection as concomitant use may lower the seizure threshold (7.1).

Sympathomimetics and Vasopressin: Closely monitor vital signs when co-administered with Ketamine Hydrochloride Injection. Consider dose adjustment individualized to the patient's clinical situation (7.2).

Benzodiazepines, Opioid Analgesics, or other CNS Depressants: Concomitant use may result in profound sedation, respiratory depression, coma, or death. Concomitant use of opioid analgesics may prolong recovery time. (7.3).

1 Indications and Usage (1 INDICATIONS AND USAGE)

Ketamine Hydrochloride Injection is indicated:

  • as the sole anesthetic agent for diagnostic and surgical procedures that do not require skeletal muscle relaxation.
  • for the induction of anesthesia prior to the administration of other general anesthetic agents.
  • as a supplement to other anesthetic agents.
5.2 Emergence Reactions

Emergence delirium (postoperative confusional states or agitation) has occurred in approximately 12% of patients during the recovery period, and the duration is generally a few hours. The neuropsychological manifestations vary in severity between pleasant dream-like states, vivid imagery, hallucinations, and emergence delirium. In some cases, these states have been accompanied by confusion, excitement, and irrational behavior, which have been recalled as unpleasant experiences. No residual psychological effects are known to have resulted from use of Ketamine Hydrochloride Injection during induction and maintenance of anesthesia.

Intramuscular administration results in a lower incidence of emergence reactions.

The incidence of psychological manifestations during emergence, particularly dream-like observations and emergence delirium, may be reduced by using lower recommended dosages of Ketamine Hydrochloride Injection in conjunction with an intravenous benzodiazepine during induction and maintenance of anesthesia [see Dosage and Administration (2.3)]. Also, these reactions may be reduced if verbal, tactile, and visual stimulation of the patient is minimized during the recovery period. This does not preclude the monitoring of vital signs.

12.1 Mechanism of Action

Ketamine Hydrochloride Injection, a racemic mixture of ketamine, is a non-selective, non-competitive antagonist of the N-methyl-D-aspartate (NMDA) receptor, an ionotropic glutamate receptor. The major circulating metabolite of ketamine (norketamine) demonstrated activity at the same receptor with less affinity. Norketamine is about 1/3 as active as ketamine in reducing halothane requirements (MAC) of the rat.

9.1 Controlled Substance

Ketamine Hydrochloride Injection contains ketamine, a Schedule III controlled substance under the Controlled Substance Act.

5 Warnings and Precautions (5 WARNINGS AND PRECAUTIONS)
  • Hemodynamic Instability: Monitor vital signs and cardiac function during Ketamine Hydrochloride Injection administration. (5.1)
  • Emergence Reactions: Postoperative confusional states may occur during the recovery period. Reduce by minimizing verbal, tactile, and visual stimulation of the patient. (5.2)
  • Risk of Respiratory Depression: May occur with overdosage or too rapid a rate of administration. Maintain adequate oxygenation and ventilation. (5.3)
  • Risks of Ketamine Hydrochloride Injection alone for Procedures of the Pharynx, Larynx, or Bronchial Tree: Pharyngeal and laryngeal reflexes are not suppressed with Ketamine Hydrochloride Injection when it is used alone. Avoid use as a sole anesthetic agent in surgery or diagnostic procedures of the pharynx, larynx, or bronchial tree. Muscle relaxants may be required. (5.4)
  • Pediatric Neurotoxicity: Long-term cognitive deficits may occur when used for longer than 3 hours in children ≤3 years (5.5)
5.3 Respiratory Depression

Respiratory depression may occur with overdosage or a rapid rate of administration of Ketamine Hydrochloride Injection. Maintain adequate oxygenation and ventilation.

2 Dosage and Administration (2 DOSAGE AND ADMINISTRATION)
  • See Full Prescribing Information for important dosage and administration instructions. (2)
  • Induction of anesthesia:
    • --
      Intravenous route: Initially, 1 to 4.5 mg/kg administered slowly (over a period of 60 seconds). Alternatively, administer a dose of 1 to 2 mg/kg at a rate of 0.5 mg/kg/min. (2.2)
    • --
      Intramuscular route: Initially, 6.5 to 13 mg/kg. (2.2)
  • Maintenance of anesthesia: Increments of one-half to the full induction dose may be repeated as needed (2.2). Adjust the dose according to the patient's anesthetic needs and whether an additional anesthetic agent is employed. (2.2)
  • Supplement to other anesthetic agents: The regimen of a reduced dose of Ketamine Hydrochloride Injection supplemented with diazepam can be used to produce balanced anesthesia by combination with other agents. (2.2)
2.3 Preparation of Dilution

Ketamine Hydrochloride Injection is a clear, colorless to slightly yellow sterile solution. Parenteral drug products should be inspected visually for particulate matter and discoloration prior to administration, whenever solution and container permit. Discard if product is discolored or contains particulate matter.

5.1 Hemodynamic Instability

Transient increases in blood pressure, heart rate, and cardiac index are frequently observed following administration of Ketamine Hydrochloride Injection. Decreases in blood pressure and heart rate, arrhythmias, and cardiac decompensation have also been observed. Monitor vital signs and cardiac function during Ketamine Hydrochloride Injection administration. Ketamine Hydrochloride Injection is contraindicated in patients for whom a significant elevation of blood pressure would constitute a serious hazard [see Contraindications (4)].

5.5 Pediatric Neurotoxicity

Published animal studies demonstrate that the administration of anesthetic and sedation drugs that block NMDA receptors and/or potentiate GABA activity increase neuronal apoptosis in the developing brain and result in long-term cognitive deficits when used for longer than 3 hours. The clinical significance of these findings is not clear. However, based on the available data, the window of vulnerability to these changes is believed to correlate with exposures in the third trimester of gestation through the first several months of life, but may extend out to approximately three years of age in humans [see Use in Specific Populations (8.1, 8.4), Nonclinical Toxicology (13.2)].

Some published studies in children suggest that similar deficits may occur after repeated or prolonged exposures to anesthetic agents early in life and may result in adverse cognitive or behavioral effects. These studies have substantial limitations, and it is not clear if the observed effects are due to the anesthetic/sedation drug administration or other factors such as the surgery or underlying illness.

Anesthetic and sedation drugs are a necessary part of the care of children needing surgery, other procedures, or tests that cannot be delayed, and no specific medications have been shown to be safer than any other. Decisions regarding the timing of any elective procedures requiring anesthesia should take into consideration the benefits of the procedure weighed against the potential risks.

3 Dosage Forms and Strengths (3 DOSAGE FORMS AND STRENGTHS)

Ketamine Hydrochloride Injection, USP is a clear, colorless to slightly yellow sterile solution available in multiple-dose vials containing either 10 mg ketamine base (equivalent to 11.53 mg ketamine hydrochloride) or 50 mg ketamine base (equivalent to 57.67 mg ketamine hydrochloride) or 100 mg ketamine base (equivalent to 115.33 mg ketamine hydrochloride).

  • 200 mg/20 mL (10 mg/mL)
  • 500 mg/10 mL (50 mg/mL)
  • 500 mg/5 mL (100 mg/mL)
5.6 Drug Induced Liver Injury (5.6 Drug-Induced Liver Injury)

Ketamine administration is associated with hepatobiliary dysfunction (most often a cholestatic pattern), with recurrent use (e.g., misuse/abuse or medically supervised unapproved indications). Biliary duct dilatation with or without evidence of biliary obstruction has also been reported with recurrent use. Obtain baseline LFTs, including alkaline phosphatase and gamma glutamyl transferase, in patients receiving ketamine as part of a treatment plan that utilizes recurrent dosing. Monitor those receiving recurrent ketamine at periodic intervals during treatment.

8 Use in Specific Populations (8 USE IN SPECIFIC POPULATIONS)
  • Pregnancy: Animal data show that Ketamine Hydrochloride Injection may cause harm to the fetus; avoid use during pregnancy, labor, and delivery (8.1)
17 Patient Counseling Information (17 PATIENT COUNSELING INFORMATION)
  • Studies conducted in young animals and children suggest repeated or prolonged use of general anesthetic or sedation drugs in children younger than 3 years may have negative effects on their developing brains. Discuss with parents and caregivers the benefits, risks, and timing and duration of surgery or procedures requiring anesthetic and sedation drugs [see Warnings and Precautions (5.5)].
  • Due to the residual anesthetic effects and the potential for drowsiness, advise patients not to drive an automobile, operate hazardous machinery, or engage in hazardous activities within 24 hours of receiving Ketamine Hydrochloride Injection.

Manufactured by:

Lake Zurich, IL 60047

www.fresenius-kabi.com/us

451793A

7.1 Theophylline Or Aminophylline (7.1 Theophylline or Aminophylline)

Concomitant administration of Ketamine Hydrochloride Injection and theophylline or aminophylline may lower the seizure threshold. Consider using an alternative to Ketamine Hydrochloride Injection in patients receiving theophylline or aminophylline.

7.2 Sympathomimetics and Vasopressin

Sympathomimetics and vasopressin may enhance the sympathomimetic effects of ketamine. Closely monitor vital signs when Ketamine Hydrochloride Injection and sympathomimetics or vasopressin are co-administered and consider dose adjustment individualized to the patient's clinical situation.

2.2 Recommended Dosage and Administration

The Ketamine Hydrochloride Injection dosage must be individualized and titrated to the desired clinical effect.

If a longer duration of effect is desired, additional increments can be administered intravenously or intramuscularly to maintain anesthesia. However, a higher total dose will result in a longer time to complete recovery.

13.2 Animal Toxicology And/or Pharmacology (13.2 Animal Toxicology and/or Pharmacology)

Published studies in animals demonstrate that the use of anesthetic agents during the period of rapid brain growth or synaptogenesis results in widespread neuronal and oligodendrocyte cell loss in the developing brain and alterations in synaptic morphology and neurogenesis. Based on comparisons across species, the window of vulnerability to these changes is believed to correlate with exposures in the third trimester through the first several months of life, but may extend out to approximately 3 years of age in humans.

In primates, exposure to 3 hours of an anesthetic regimen that produced a light surgical plane of anesthesia did not increase neuronal cell loss, however, treatment regimens of 5 hours or longer increased neuronal cell loss. Data in rodents and in primates suggest that the neuronal and oligodendrocyte cell losses are associated with subtle but prolonged cognitive deficits in learning and memory. The clinical significance of these nonclinical findings is not known, and healthcare providers should balance the benefits of appropriate anesthesia in neonates and young children who require procedures against the potential risks suggested by the nonclinical data [see Warnings and Precautions (5.5), Use in Specific Populations (8.1, 8.4)].

In published studies, intraperitoneal administration of ketamine at doses greater than 40 mg/kg induced vacuolation in neuronal cells of the posterior cingulate and retrosplenial cortices in adult rats, similar to what has been reported in rodents administered other NMDA receptor antagonists. These vacuoles were demonstrated to be reversible and did not progress to degeneration or neuronal death up to doses of 80 mg/kg (1.2 times the human dose of 10 mg/kg based on body surface area). A no-effect level for neuronal vacuolation was 20 mg/kg intraperitoneal (0.3 times a human dose of 10 mg/kg on a body surface area basis). The window of vulnerability to these changes is believed to correlate with exposures in humans from the onset of puberty through adulthood. The relevance of this finding to humans is unknown.

5.7 Increase in Cerebrospinal Fluid Pressure

An increase in intracranial pressure has been reported following administration of ketamine hydrochloride. Patients with elevated intracranial pressure should be in a monitored setting with frequent neurologic assessments.

2.1 Important Dosage and Administration Information

Ketamine Hydrochloride Injection should be administered by or under the direction of physicians experienced in the administration of general anesthetics, maintenance of a patent airway, and oxygenation and ventilation. Continuously monitor vital signs in patients receiving Ketamine Hydrochloride Injection.

Emergency airway equipment must be immediately available.

Do not administer the 100 mg/mL concentration of Ketamine Hydrochloride Injection intravenously without proper dilution [see Dosage and Administration (2.3)]. Must be used immediately after dilution.

While some degree of airway protection may be afforded due to active laryngeal-pharyngeal reflexes, vomiting and aspiration may occur with Ketamine Hydrochloride Injection. Ketamine Hydrochloride Injection is not recommended for use in patients who have not followed nil per os guidelines.

Due to the potential for salivation during Ketamine Hydrochloride Injection administration, administer an antisialagogue prior to induction of anesthesia.

In individuals with a history of chronic Ketamine Hydrochloride Injection use for off-label indications, there have been case reports of genitourinary pain that may be related to the Ketamine Hydrochloride Injection treatment, not the underlying condition [see Adverse Reactions (6)]. Consider cessation of Ketamine Hydrochloride Injection if genitourinary pain continues in the setting of other genitourinary symptoms.

7.3 Benzodiazepines, Opioid Analgesics, Or Other Cns Depressants (7.3 Benzodiazepines, Opioid Analgesics, Or Other CNS Depressants)

Concomitant use of ketamine with opioid analgesics, benzodiazepines, or other central nervous system (CNS) depressants, including alcohol, may result in profound sedation, respiratory depression, coma, and death [see Warnings and Precautions (5.8)].

Opioid analgesics administered concomitantly with Ketamine Hydrochloride Injection may prolong time to complete recovery from anesthesia.

5.4 Risks of Ketamine Hydrochloride Injection Alone for Procedures of the Pharynx, Larynx, Or Bronchial Tree (5.4 Risks of Ketamine Hydrochloride Injection Alone for Procedures of the Pharynx, Larynx, or Bronchial Tree)

Ketamine Hydrochloride Injection does not suppress pharyngeal and laryngeal reflexes. Avoid Ketamine Hydrochloride Injection administration as a sole anesthetic agent during procedures of the pharynx, larynx, or bronchial tree, including mechanical stimulation of the pharynx. Muscle relaxants may be required for successful completion of procedures of the pharynx, larynx, or bronchial tree.


Advanced Ingredient Data


Raw Label Data

All Sections (JSON)