Hydromorphone Hydrochloride Oral Solution And Hydromorphone Hydrochloride Tablets

these highlights do not include all the information needed to use hydromorphone hydrochloride oral solution and hydromorphone hydrochloride tablets safely and effectively. see full prescribing information for hydromorphone hydrochloride oral solution and hydromorphone hydrochloride tablets.
SPL v20
SPL
SPL Set ID cc574063-6ede-4da7-82c4-7450c92b229b
Route
oral
Published
Effective Date 2026-02-27
Document Type 34391-3 HUMAN PRESCRIPTION DRUG LABEL

Drug Facts

Composition & Product

Active Ingredients
hydromorphone (4 mg)
Inactive Ingredients
anhydrous lactose magnesium stearate fd&c red no. 40 methylparaben propylene glycol propylparaben water raspberry saccharin sodium anhydrous sorbitol

Identifiers & Packaging

Pill Appearance
Imprint: 54;425 Shape: round Color: white Color: red Size: 6 mm Size: 7 mm Score: 2
Marketing Status
anda completed Since 2012-03-01 Until 2022-08-12

Indications and Usage

Hydromorphone Hydrochloride Oral Solution and Hydromorphone Hydrochloride Tablets are indicated for the management of pain severe enough to require an opioid analgesic and for which alternative treatments are inadequate. Limitations of Use Because of the risks of addiction, abuse, misuse, overdose, and death, which can occur at any dosage or duration and persist over the course of therapy [see Warnings and Precautions ( 5.2 )], reserve opioid analgesics, including Hydromorphone Hydrochloride Oral Solution and Hydromorphone Hydrochloride Tablets, for use in patients for whom alternative treatment options are ineffective, not tolerated, or would be otherwise inadequate to provide sufficient management of pain.

Dosage and Administration

Ensure accuracy when prescribing, dispensing, and administering Hydromorphone Hydrochloride Oral Solution to avoid dosing errors due to confusion between mg and mL, which could result in accidental overdose and death. Ensure the proper dose is communicated and dispensed. When writing prescriptions, include both the total dose in mg and the total dose in volume. Instruct patients and caregivers on how to accurately measure and take or administer the correct dose of Hydromorphone Hydrochloride Oral Solution. Strongly advise patients and caregivers to always use a graduated oral syringe or measuring cup, with metric units of measurements (i.e., mL), to correctly measure the prescribed amount of medication. Inform patients and caregivers that oral dosing devices may be obtained from their pharmacy and to never use household teaspoons or tablespoons to measure Hydromorphone Hydrochloride Oral Solution. • Hydromorphone Hydrochloride Oral Solution and Hydromorphone Hydrochloride Tablets should be prescribed only by healthcare professionals who are knowledgeable about the use of opioids and how to mitigate the associated risks. • Use the lowest effective dosage for the shortest duration of time consistent with individual patient treatment goals [see Warnings and Precautions ( 5 )]. Because the risk of overdose increases as opioid doses increase, reserve titration to higher doses of Hydromorphone Hydrochloride Oral Solution and Hydromorphone Hydrochloride Tablets for patients in whom lower doses are insufficiently effective and in whom the expected benefits of using a higher dose opioid clearly outweigh the substantial risks. • Many acute pain conditions (e.g., the pain that occurs with a number of surgical procedures or acute musculoskeletal injuries) require no more than a few days of an opioid analgesic. Clinical guidelines on opioid prescribing for some acute pain conditions are available. • There is variability in the opioid analgesic dose and duration needed to adequately manage pain due both to the cause of pain and to individual patient factors. Initiate the dosing regimen for each patient individually, taking into account the patient’s underlying cause and severity of pain, prior analgesic treatment and response, and risk factors for addiction, abuse, and misuse [see Warnings and Precautions ( 5.2 )]. • Respiratory depression can occur at any time during opioid therapy, especially when initiating and following dosage increases with Hydromorphone Hydrochloride Oral Solution and Hydromorphone Hydrochloride Tablets. Consider this risk when selecting an initial dose and when making dose adjustments [see Warnings and Precautions ( 2.1 , 5 )]. • Initiate treatment with Hydromorphone Hydrochloride Oral Solution in a dosing range of 2.5 mL to 10 mL, 2.5 mg to 10 mg, every 3 to 6 hours as needed for pain, and at the lowest dose necessary to achieve adequate analgesia. Titrate the dose based upon the individual patient’s response to their initial dose of Hydromorphone Hydrochloride Oral Solution [see Dosage and Administration ( 2 ), Warnings and Precautions ( 5 )]. • Initiate treatment with Hydromorphone Hydrochloride Tablets in a dosing range of 2 mg to 4 mg, orally, every 4 to 6 hours as needed for pain, and at the lowest dose necessary to achieve adequate analgesia. Titrate the dose based upon the individual patient’s response to their initial dose of Hydromorphone Hydrochloride Tablets [see Dosage and Administration ( 2 ), Warnings and Precautions ( 5 )].

Contraindications

Hydromorphone Hydrochloride Oral Solution and Hydromorphone Hydrochloride Tablets are contraindicated in patients with: • Significant respiratory depression [see Warnings and Precautions ( 5.3 )] • Acute or severe bronchial asthma in an unmonitored setting or in the absence of resuscitative equipment [see Warnings and Precautions ( 5.8 )] • Known or suspected gastrointestinal obstruction, including paralytic ileus [see Warnings and Precautions ( 5.12 )] • Hypersensitivity to hydromorphone, hydromorphone salts, any other components of the product, or sulfite- containing medications (e.g., anaphylaxis) [see Warnings and Precautions ( 5.16 ), Adverse Reactions ( 6.1 )]

Warnings and Precautions

• Opioid-Induced Hyperalgesia and Allodynia : Opioid-Induced Hyperalgesia (OIH) occurs when an opioid analgesic paradoxically causes an increase in pain, or an increase in sensitivity to pain. If OIH is suspected, carefully consider appropriately decreasing the dose of the current opioid analgesic or opioid rotation. ( 5.7 ) • Life-Threatening Respiratory Depression in Patients with Chronic Pulmonary Disease or in Elderly, Cachectic, or Debilitated Patients : Regularly evaluate patients, particularly during initiation and titration. ( 5.8 ) • Adrenal Insufficiency: If diagnosed, treat with physiologic replacement of corticosteroids, and wean patient off of the opioid. ( 5.9 ) • Severe Hypotension : Regularly evaluate patients during dosage initiation and titration. Avoid use of Hydromorphone Hydrochloride Oral Solution or Hydromorphone Hydrochloride Tablets in patients with circulatory shock. ( 5.10 ) • Risks of Use in Patients with Increased Intracranial Pressure, Brain Tumors, Head Injury, or Impaired Consciousness : Monitor patients for sedation and respiratory depression. Avoid use of Hydromorphone Hydrochloride Oral Solution or Hydromorphone Hydrochloride Tablets in patients with impaired consciousness or coma. ( 5.11 )

Adverse Reactions

The following serious adverse reactions are described, or described in greater detail, in other sections: • Addiction, Abuse, and Misuse [see Warnings and Precautions ( 5.2 )] • Life-Threatening Respiratory Depression [see Warnings and Precautions ( 5.3 )] • Interactions with Benzodiazepines or Other CNS Depressants [see Warnings and Precautions ( 5.4 )] • Neonatal Opioid Withdrawal Syndrome [see Warnings and Precautions ( 5.5 )] • Opioid-Induced Hyperalgesia and Allodynia [see Warnings and Precautions ( 5.7 )] • Adrenal Insufficiency [see Warnings and Precautions ( 5.9 )] • Severe Hypotension [see Warnings and Precautions ( 5.10 )] • Gastrointestinal Adverse Reactions [see Warnings and Precautions ( 5.12 )] • Seizures [see Warnings and Precautions ( 5.13 )] • Withdrawal [see Warnings and Precautions ( 5.14 )]

Drug Interactions

Table 1 includes clinically significant drug interactions with Hydromorphone Hydrochloride. Table 1: Clinically Significant Drug Interactions with Hydromorphone Hydrochloride Benzodiazepines and other Central Nervous System (CNS) Depressants Clinical Impact: Due to additive pharmacologic effect, the concomitant use of benzodiazepines or other CNS depressants, including alcohol, can increase the risk of hypotension, respiratory depression, profound sedation, coma, and death [see Warnings and Precautions ( 5.4 )]. Intervention: Reserve concomitant prescribing of these drugs for use in patients for whom alternative treatment options are inadequate. Limit dosages and durations to the minimum required. Inform patients and caregivers of this potential interaction and educate them on the signs and symptoms of respiratory depression (including sedation). If concomitant use is warranted, consider recommending or prescribing an opioid overdose reversal agent [see Dosage and Administration ( 2.2 ), Warnings and Precautions ( 5.2 , 5.3 , 5.4 )]. Examples: Benzodiazepines and other sedatives/hypnotics, anxiolytics, tranquilizers, muscle relaxants, general anesthetics, antipsychotics, gabapentinoids (gabapentin or pregabalin), other opioids, alcohol. Serotonergic Drugs Clinical Impact: The concomitant use of opioids with other drugs that affect the serotonergic neurotransmitter system has resulted in serotonin syndrome. Intervention: If concomitant use is warranted, frequently evaluate the patient, particularly during treatment initiation and dose adjustment. Discontinue Hydromorphone Hydrochloride Oral Solution or Hydromorphone Hydrochloride Tablets if serotonin syndrome is suspected. Examples: Selective serotonin reuptake inhibitors (SSRIs), serotonin and norepinephrine reuptake inhibitors (SNRIs), tricyclic antidepressants (TCAs), triptans, 5-HT3 receptor antagonists, drugs that affect the serotonin neurotransmitter system (e.g., mirtazapine, trazodone, tramadol), certain muscle relaxants (i.e., cyclobenzaprine, metaxalone), monoamine oxidase (MAO) inhibitors (those intended to treat psychiatric disorders and also others, such as linezolid and intravenous methylene blue). Monoamine Oxidase Inhibitors (MAOIs) Clinical Impact: MAOI interactions with opioids may manifest as serotonin syndrome or opioid toxicity (e.g., respiratory depression, coma) [see Warnings and Precautions ( 5.3 )]. If urgent use of an opioid is necessary, use test doses and frequent titration of small doses to treat pain while closely monitoring blood pressure and signs and symptoms of CNS and respiratory depression. Intervention: The use of Hydromorphone Hydrochloride Oral Solution or Hydromorphone Hydrochloride Tablets is not recommended for patients taking MAOIs or within 14 days of stopping such treatment. Examples: Phenelzine, tranylcypromine, and linezolid. Mixed Agonist/Antagonist and Partial Agonist Opioid Analgesics Clinical Impact: May reduce the analgesic effect of Hydromorphone Hydrochloride Oral Solution or Hydromorphone Hydrochloride Tablets and/or precipitate withdrawal symptoms. Intervention: Avoid concomitant use. Examples: Butorphanol, nalbuphine, pentazocine, and buprenorphine. Muscle Relaxants Clinical Impact: Hydromorphone may enhance the neuromuscular blocking action of skeletal muscle relaxants and produce an increased degree of respiratory depression. Intervention: Because respiratory depression may be greater than otherwise expected, decrease the dosage of Hydromorphone Hydrochloride Oral Solution or Hydromorphone Hydrochloride Tablets and/or the muscle relaxant as necessary. Due to the risk of respiratory depression with concomitant use of skeletal muscle relaxants and opioids, consider recommending or prescribing an opioid overdose reversal agent [see Dosage and Administration ( 2.2 ), Warnings and Precautions ( 5.3 , 5.4 )]. Examples: cyclobenzaprine, metaxalone Diuretics Clinical Impact: Opioids can reduce the efficacy of diuretics by inducing the release of antidiuretic hormone. Intervention: Evaluate patients for signs of diminished diuresis and/or effects on blood pressure and increase the dosage of the diuretic as needed. Anticholinergic Drugs Clinical Impact: The concomitant use of anticholinergic drugs may increase risk of urinary retention and/or severe constipation, which may lead to paralytic ileus. Intervention: Evaluate patients for signs of urinary retention or reduced gastric motility when Hydromorphone Hydrochloride Oral Solution or Hydromorphone Hydrochloride Tablets is used concomitantly with anticholinergic drugs.

How Supplied

Hydromorphone Hydrochloride Oral Solution, USP 1 mg/mL oral solution is supplied as a clear, red solution. NDC 0054-0386-63: Bottle of 473 mL Hydromorphone Hydrochloride Tablets, USP 4 mg tablet is supplied as a white to off-white, round, flat-faced tablet with beveled edges; debossed with “4” on one side and “54 196” debossed on the other side. NDC 0054-0264-24: 10 x 10 Unit-Dose NDC 0054-0264-25: Bottle of 100 Tablets 8 mg tablet is supplied as a white to off-white, round, flat-faced tablet with beveled edges; scored on one side and “54 425” debossed on the other side. NDC 0054-0265-25: Bottle of 100 Tablets Store at 20° to 25°C (68° to 77°F). [See USP Controlled Room Temperature.] Dispense in a tight, light-resistant, child-resistant container as defined in the USP/NF. Store Hydromorphone Hydrochloride Oral Solution and Hydromorphone Hydrochloride Tablets securely and dispose of properly .

Storage and Handling

Hydromorphone Hydrochloride Oral Solution, USP 1 mg/mL oral solution is supplied as a clear, red solution. NDC 0054-0386-63: Bottle of 473 mL Hydromorphone Hydrochloride Tablets, USP 4 mg tablet is supplied as a white to off-white, round, flat-faced tablet with beveled edges; debossed with “4” on one side and “54 196” debossed on the other side. NDC 0054-0264-24: 10 x 10 Unit-Dose NDC 0054-0264-25: Bottle of 100 Tablets 8 mg tablet is supplied as a white to off-white, round, flat-faced tablet with beveled edges; scored on one side and “54 425” debossed on the other side. NDC 0054-0265-25: Bottle of 100 Tablets Store at 20° to 25°C (68° to 77°F). [See USP Controlled Room Temperature.] Dispense in a tight, light-resistant, child-resistant container as defined in the USP/NF. Store Hydromorphone Hydrochloride Oral Solution and Hydromorphone Hydrochloride Tablets securely and dispose of properly .

Description

Boxed Warning 12/2025 Indications and Usage ( 1 ) 12/2025 Dosage and Administration ( 2.2 ) 12/2025 Warnings and Precautions ( 5.2 , 5.3 , 5.4 , 5.12 , 5.14 ) 12/2025


Medication Information

Warnings and Precautions

• Opioid-Induced Hyperalgesia and Allodynia : Opioid-Induced Hyperalgesia (OIH) occurs when an opioid analgesic paradoxically causes an increase in pain, or an increase in sensitivity to pain. If OIH is suspected, carefully consider appropriately decreasing the dose of the current opioid analgesic or opioid rotation. ( 5.7 ) • Life-Threatening Respiratory Depression in Patients with Chronic Pulmonary Disease or in Elderly, Cachectic, or Debilitated Patients : Regularly evaluate patients, particularly during initiation and titration. ( 5.8 ) • Adrenal Insufficiency: If diagnosed, treat with physiologic replacement of corticosteroids, and wean patient off of the opioid. ( 5.9 ) • Severe Hypotension : Regularly evaluate patients during dosage initiation and titration. Avoid use of Hydromorphone Hydrochloride Oral Solution or Hydromorphone Hydrochloride Tablets in patients with circulatory shock. ( 5.10 ) • Risks of Use in Patients with Increased Intracranial Pressure, Brain Tumors, Head Injury, or Impaired Consciousness : Monitor patients for sedation and respiratory depression. Avoid use of Hydromorphone Hydrochloride Oral Solution or Hydromorphone Hydrochloride Tablets in patients with impaired consciousness or coma. ( 5.11 )

Indications and Usage

Hydromorphone Hydrochloride Oral Solution and Hydromorphone Hydrochloride Tablets are indicated for the management of pain severe enough to require an opioid analgesic and for which alternative treatments are inadequate. Limitations of Use Because of the risks of addiction, abuse, misuse, overdose, and death, which can occur at any dosage or duration and persist over the course of therapy [see Warnings and Precautions ( 5.2 )], reserve opioid analgesics, including Hydromorphone Hydrochloride Oral Solution and Hydromorphone Hydrochloride Tablets, for use in patients for whom alternative treatment options are ineffective, not tolerated, or would be otherwise inadequate to provide sufficient management of pain.

Dosage and Administration

Ensure accuracy when prescribing, dispensing, and administering Hydromorphone Hydrochloride Oral Solution to avoid dosing errors due to confusion between mg and mL, which could result in accidental overdose and death. Ensure the proper dose is communicated and dispensed. When writing prescriptions, include both the total dose in mg and the total dose in volume. Instruct patients and caregivers on how to accurately measure and take or administer the correct dose of Hydromorphone Hydrochloride Oral Solution. Strongly advise patients and caregivers to always use a graduated oral syringe or measuring cup, with metric units of measurements (i.e., mL), to correctly measure the prescribed amount of medication. Inform patients and caregivers that oral dosing devices may be obtained from their pharmacy and to never use household teaspoons or tablespoons to measure Hydromorphone Hydrochloride Oral Solution. • Hydromorphone Hydrochloride Oral Solution and Hydromorphone Hydrochloride Tablets should be prescribed only by healthcare professionals who are knowledgeable about the use of opioids and how to mitigate the associated risks. • Use the lowest effective dosage for the shortest duration of time consistent with individual patient treatment goals [see Warnings and Precautions ( 5 )]. Because the risk of overdose increases as opioid doses increase, reserve titration to higher doses of Hydromorphone Hydrochloride Oral Solution and Hydromorphone Hydrochloride Tablets for patients in whom lower doses are insufficiently effective and in whom the expected benefits of using a higher dose opioid clearly outweigh the substantial risks. • Many acute pain conditions (e.g., the pain that occurs with a number of surgical procedures or acute musculoskeletal injuries) require no more than a few days of an opioid analgesic. Clinical guidelines on opioid prescribing for some acute pain conditions are available. • There is variability in the opioid analgesic dose and duration needed to adequately manage pain due both to the cause of pain and to individual patient factors. Initiate the dosing regimen for each patient individually, taking into account the patient’s underlying cause and severity of pain, prior analgesic treatment and response, and risk factors for addiction, abuse, and misuse [see Warnings and Precautions ( 5.2 )]. • Respiratory depression can occur at any time during opioid therapy, especially when initiating and following dosage increases with Hydromorphone Hydrochloride Oral Solution and Hydromorphone Hydrochloride Tablets. Consider this risk when selecting an initial dose and when making dose adjustments [see Warnings and Precautions ( 2.1 , 5 )]. • Initiate treatment with Hydromorphone Hydrochloride Oral Solution in a dosing range of 2.5 mL to 10 mL, 2.5 mg to 10 mg, every 3 to 6 hours as needed for pain, and at the lowest dose necessary to achieve adequate analgesia. Titrate the dose based upon the individual patient’s response to their initial dose of Hydromorphone Hydrochloride Oral Solution [see Dosage and Administration ( 2 ), Warnings and Precautions ( 5 )]. • Initiate treatment with Hydromorphone Hydrochloride Tablets in a dosing range of 2 mg to 4 mg, orally, every 4 to 6 hours as needed for pain, and at the lowest dose necessary to achieve adequate analgesia. Titrate the dose based upon the individual patient’s response to their initial dose of Hydromorphone Hydrochloride Tablets [see Dosage and Administration ( 2 ), Warnings and Precautions ( 5 )].

Contraindications

Hydromorphone Hydrochloride Oral Solution and Hydromorphone Hydrochloride Tablets are contraindicated in patients with: • Significant respiratory depression [see Warnings and Precautions ( 5.3 )] • Acute or severe bronchial asthma in an unmonitored setting or in the absence of resuscitative equipment [see Warnings and Precautions ( 5.8 )] • Known or suspected gastrointestinal obstruction, including paralytic ileus [see Warnings and Precautions ( 5.12 )] • Hypersensitivity to hydromorphone, hydromorphone salts, any other components of the product, or sulfite- containing medications (e.g., anaphylaxis) [see Warnings and Precautions ( 5.16 ), Adverse Reactions ( 6.1 )]

Adverse Reactions

The following serious adverse reactions are described, or described in greater detail, in other sections: • Addiction, Abuse, and Misuse [see Warnings and Precautions ( 5.2 )] • Life-Threatening Respiratory Depression [see Warnings and Precautions ( 5.3 )] • Interactions with Benzodiazepines or Other CNS Depressants [see Warnings and Precautions ( 5.4 )] • Neonatal Opioid Withdrawal Syndrome [see Warnings and Precautions ( 5.5 )] • Opioid-Induced Hyperalgesia and Allodynia [see Warnings and Precautions ( 5.7 )] • Adrenal Insufficiency [see Warnings and Precautions ( 5.9 )] • Severe Hypotension [see Warnings and Precautions ( 5.10 )] • Gastrointestinal Adverse Reactions [see Warnings and Precautions ( 5.12 )] • Seizures [see Warnings and Precautions ( 5.13 )] • Withdrawal [see Warnings and Precautions ( 5.14 )]

Drug Interactions

Table 1 includes clinically significant drug interactions with Hydromorphone Hydrochloride. Table 1: Clinically Significant Drug Interactions with Hydromorphone Hydrochloride Benzodiazepines and other Central Nervous System (CNS) Depressants Clinical Impact: Due to additive pharmacologic effect, the concomitant use of benzodiazepines or other CNS depressants, including alcohol, can increase the risk of hypotension, respiratory depression, profound sedation, coma, and death [see Warnings and Precautions ( 5.4 )]. Intervention: Reserve concomitant prescribing of these drugs for use in patients for whom alternative treatment options are inadequate. Limit dosages and durations to the minimum required. Inform patients and caregivers of this potential interaction and educate them on the signs and symptoms of respiratory depression (including sedation). If concomitant use is warranted, consider recommending or prescribing an opioid overdose reversal agent [see Dosage and Administration ( 2.2 ), Warnings and Precautions ( 5.2 , 5.3 , 5.4 )]. Examples: Benzodiazepines and other sedatives/hypnotics, anxiolytics, tranquilizers, muscle relaxants, general anesthetics, antipsychotics, gabapentinoids (gabapentin or pregabalin), other opioids, alcohol. Serotonergic Drugs Clinical Impact: The concomitant use of opioids with other drugs that affect the serotonergic neurotransmitter system has resulted in serotonin syndrome. Intervention: If concomitant use is warranted, frequently evaluate the patient, particularly during treatment initiation and dose adjustment. Discontinue Hydromorphone Hydrochloride Oral Solution or Hydromorphone Hydrochloride Tablets if serotonin syndrome is suspected. Examples: Selective serotonin reuptake inhibitors (SSRIs), serotonin and norepinephrine reuptake inhibitors (SNRIs), tricyclic antidepressants (TCAs), triptans, 5-HT3 receptor antagonists, drugs that affect the serotonin neurotransmitter system (e.g., mirtazapine, trazodone, tramadol), certain muscle relaxants (i.e., cyclobenzaprine, metaxalone), monoamine oxidase (MAO) inhibitors (those intended to treat psychiatric disorders and also others, such as linezolid and intravenous methylene blue). Monoamine Oxidase Inhibitors (MAOIs) Clinical Impact: MAOI interactions with opioids may manifest as serotonin syndrome or opioid toxicity (e.g., respiratory depression, coma) [see Warnings and Precautions ( 5.3 )]. If urgent use of an opioid is necessary, use test doses and frequent titration of small doses to treat pain while closely monitoring blood pressure and signs and symptoms of CNS and respiratory depression. Intervention: The use of Hydromorphone Hydrochloride Oral Solution or Hydromorphone Hydrochloride Tablets is not recommended for patients taking MAOIs or within 14 days of stopping such treatment. Examples: Phenelzine, tranylcypromine, and linezolid. Mixed Agonist/Antagonist and Partial Agonist Opioid Analgesics Clinical Impact: May reduce the analgesic effect of Hydromorphone Hydrochloride Oral Solution or Hydromorphone Hydrochloride Tablets and/or precipitate withdrawal symptoms. Intervention: Avoid concomitant use. Examples: Butorphanol, nalbuphine, pentazocine, and buprenorphine. Muscle Relaxants Clinical Impact: Hydromorphone may enhance the neuromuscular blocking action of skeletal muscle relaxants and produce an increased degree of respiratory depression. Intervention: Because respiratory depression may be greater than otherwise expected, decrease the dosage of Hydromorphone Hydrochloride Oral Solution or Hydromorphone Hydrochloride Tablets and/or the muscle relaxant as necessary. Due to the risk of respiratory depression with concomitant use of skeletal muscle relaxants and opioids, consider recommending or prescribing an opioid overdose reversal agent [see Dosage and Administration ( 2.2 ), Warnings and Precautions ( 5.3 , 5.4 )]. Examples: cyclobenzaprine, metaxalone Diuretics Clinical Impact: Opioids can reduce the efficacy of diuretics by inducing the release of antidiuretic hormone. Intervention: Evaluate patients for signs of diminished diuresis and/or effects on blood pressure and increase the dosage of the diuretic as needed. Anticholinergic Drugs Clinical Impact: The concomitant use of anticholinergic drugs may increase risk of urinary retention and/or severe constipation, which may lead to paralytic ileus. Intervention: Evaluate patients for signs of urinary retention or reduced gastric motility when Hydromorphone Hydrochloride Oral Solution or Hydromorphone Hydrochloride Tablets is used concomitantly with anticholinergic drugs.

Storage and Handling

Hydromorphone Hydrochloride Oral Solution, USP 1 mg/mL oral solution is supplied as a clear, red solution. NDC 0054-0386-63: Bottle of 473 mL Hydromorphone Hydrochloride Tablets, USP 4 mg tablet is supplied as a white to off-white, round, flat-faced tablet with beveled edges; debossed with “4” on one side and “54 196” debossed on the other side. NDC 0054-0264-24: 10 x 10 Unit-Dose NDC 0054-0264-25: Bottle of 100 Tablets 8 mg tablet is supplied as a white to off-white, round, flat-faced tablet with beveled edges; scored on one side and “54 425” debossed on the other side. NDC 0054-0265-25: Bottle of 100 Tablets Store at 20° to 25°C (68° to 77°F). [See USP Controlled Room Temperature.] Dispense in a tight, light-resistant, child-resistant container as defined in the USP/NF. Store Hydromorphone Hydrochloride Oral Solution and Hydromorphone Hydrochloride Tablets securely and dispose of properly .

How Supplied

Hydromorphone Hydrochloride Oral Solution, USP 1 mg/mL oral solution is supplied as a clear, red solution. NDC 0054-0386-63: Bottle of 473 mL Hydromorphone Hydrochloride Tablets, USP 4 mg tablet is supplied as a white to off-white, round, flat-faced tablet with beveled edges; debossed with “4” on one side and “54 196” debossed on the other side. NDC 0054-0264-24: 10 x 10 Unit-Dose NDC 0054-0264-25: Bottle of 100 Tablets 8 mg tablet is supplied as a white to off-white, round, flat-faced tablet with beveled edges; scored on one side and “54 425” debossed on the other side. NDC 0054-0265-25: Bottle of 100 Tablets Store at 20° to 25°C (68° to 77°F). [See USP Controlled Room Temperature.] Dispense in a tight, light-resistant, child-resistant container as defined in the USP/NF. Store Hydromorphone Hydrochloride Oral Solution and Hydromorphone Hydrochloride Tablets securely and dispose of properly .

Description

Boxed Warning 12/2025 Indications and Usage ( 1 ) 12/2025 Dosage and Administration ( 2.2 ) 12/2025 Warnings and Precautions ( 5.2 , 5.3 , 5.4 , 5.12 , 5.14 ) 12/2025

Section 42231-1

Medication Guide

Hydromorphone Hydrochloride

(hye'' droe mor' fone hye'' droe klor' ide)

Tablets and Oral Solution USP, CII

Rx only

Hydromorphone Hydrochloride Tablets and Hydromorphone Hydrochloride Oral Solution are:

  • Strong prescription pain medicines that contain an opioid (narcotic) that is used to manage pain severe enough to require an opioid analgesic, when other pain treatments such as non-opioid pain medicines do not treat your pain well enough or you cannot tolerate them.
  • Opioid pain medicines that can put you at risk for overdose and death. Even if you take your dose correctly as prescribed, you are at risk for opioid addiction, abuse, and misuse that can lead to death.

Important information about Hydromorphone Hydrochloride:

  • Get emergency help or call 911 right away if you take too much Hydromorphone Hydrochloride Tablets or Hydromorphone Hydrochloride Oral Solution (overdose). When you first start taking Hydromorphone Hydrochloride Tablets or Hydromorphone Hydrochloride Oral Solution, when your dose is changed, or if you take too much (overdose), serious or life-threatening breathing problems that can lead to death may occur. Ask your healthcare provider about medicines like naloxone or nalmefene that can be used in an emergency to reverse an opioid overdose.
  • Taking Hydromorphone Hydrochloride Tablets or Hydromorphone Hydrochloride Oral Solution with other opioid medicines, benzodiazepines, gabapentinoids (gabapentin or pregabalin), alcohol, or other central nervous system depressants (including street drugs) can cause severe drowsiness, decreased awareness, breathing problems, coma, and death.
  • Never give anyone else your Hydromorphone Hydrochloride Tablets or Hydromorphone Hydrochloride Oral Solution. They could die from taking it. Selling or giving away Hydromorphone Hydrochloride Tablets or Hydromorphone Hydrochloride Oral Solution is against the law.
  • Store Hydromorphone Hydrochloride Tablets or Hydromorphone Hydrochloride Oral Solution securely, out of sight and reach of children, and in a location not accessible by others, including visitors to the home.

Do not take Hydromorphone Hydrochloride Tablets or Hydromorphone Hydrochloride Oral Solution if

you have:

  • Severe asthma, trouble breathing, or other lung problems.
  • A bowel blockage or have narrowing of the stomach or intestines.

Before taking Hydromorphone Hydrochloride Tablets or Hydromorphone Hydrochloride Oral Solution, tell your healthcare provider if you have a history of:

  • head injury, seizures • liver, kidney, thyroid problems
  • problems urinating • pancreas or gallbladder problems
  • abuse of street or prescription drugs, alcohol addiction, opioid overdose, or mental health problems

Tell your healthcare provider if you are:

  • Noticing your pain getting worse. If your pain gets worse after you take Hydromorphone Hydrochloride, do not take more of Hydromorphone Hydrochloride without first talking to your healthcare provider. Talk to your healthcare provider if the pain that you have increases, if you feel more sensitive to pain, or if you have new pain after taking Hydromorphone Hydrochloride.
  • Pregnant or planning to become pregnant. Use of Hydromorphone Hydrochloride Tablets and Hydromorphone Hydrochloride Oral Solution for an extended period of time during pregnancy can cause withdrawal symptoms in your newborn baby that could be life-threatening if not recognized and treated.
  • Breastfeeding. Hydromorphone Hydrochloride Tablets and Hydromorphone Hydrochloride Oral Solution pass into breast milk and may harm your baby. Carefully observe infants for increased sleepiness (more than usual), breathing difficulties, or limpness. Seek immediate medical care if you notice these signs.
  • Living in a household where there are small children or someone who has abused street or prescription drugs.
  • Taking prescription or over-the-counter medicines, vitamins, or herbal supplements. Taking Hydromorphone Hydrochloride with certain other medicines can cause serious side effects that could lead to death.

When taking Hydromorphone Hydrochloride:

  • Do not change your dose. Take Hydromorphone Hydrochloride exactly as prescribed by your healthcare provider. Use the lowest dose possible for the shortest time needed.
  • For acute (short-term) pain, you may only need to take Hydromorphone Hydrochloride for a few days. You may have some Hydromorphone Hydrochloride left over that you did not use. See disposal information at the bottom of this section for directions on how to safely throw away (dispose of) your unused Hydromorphone Hydrochloride.
  • Do not take more than your prescribed dose. If you miss a dose, take your next dose at your usual time.
  • Call your healthcare provider if the dose you are taking does not control your pain.
  • If you have been taking Hydromorphone Hydrochloride Tablets or Hydromorphone Hydrochloride Oral Solution regularly, do not stop taking Hydromorphone Hydrochloride Tablets or Hydromorphone Hydrochloride Oral Solution without talking to your healthcare provider.
  • Dispose of expired, unwanted, or unused Hydromorphone Hydrochloride Tablets or Hydromorphone Hydrochloride Oral Solution by promptly flushing down the toilet, if a drug take-back option is not readily available. Visit www.fda.gov/drugdisposal for additional information on disposal of unused medicines.

While taking Hydromorphone Hydrochloride, DO NOT:

  • Drive or operate heavy machinery until you know how Hydromorphone Hydrochloride Tablets or Hydromorphone Hydrochloride Oral Solution affect you. Hydromorphone Hydrochloride can make you sleepy, dizzy, or lightheaded.
  • Drink alcohol or use prescription or over-the-counter medicines that contain alcohol. Using products containing alcohol during treatment with Hydromorphone Hydrochloride Tablets or Hydromorphone Hydrochloride Oral Solution may cause you to overdose and die.

The possible side effects of Hydromorphone Hydrochloride Tablets and Hydromorphone Hydrochloride Oral Solution:

  • Constipation, nausea, sleepiness, vomiting, tiredness, headache, dizziness, abdominal pain. Call your healthcare provider if you have any of these symptoms and they are severe.

Get emergency medical help or call 911 right away if you have:

  • Trouble breathing, shortness of breath, fast heartbeat, chest pain, swelling of your face, tongue, or throat, extreme drowsiness, light-headedness when changing positions, feeling faint, agitation, high body temperature, trouble walking, stiff muscles, or mental changes such as confusion.

These are not all the possible side effects of Hydromorphone Hydrochloride Tablets and Hydromorphone Hydrochloride Oral Solution. Call your healthcare provider for medical advice about side effects. You may report side effects to FDA at 1-800-FDA-1088. For more information, go to dailymed.nlm.nih.gov.

Distributed by: Hikma

Pharmaceuticals USA Inc.


Berkeley Heights, NJ 07922

http://hikma.com or call 1-800-962-8364

This Medication Guide has been approved by the U.S. Food and Drug Administration.

C50000587/04

Revised February 2026

Section 43683-2

Boxed Warning

12/2025

Indications and Usage (1)

12/2025

Dosage and Administration (2.2)

12/2025

Warnings and Precautions (5.2, 5.3, 5.4, 5.12, 5.14 )

12/2025

9.2 Abuse

Hydromorphone Hydrochloride Oral Solution and Hydromorphone Hydrochloride Tablets contain hydromorphone, a substance with a high potential for misuse and abuse, which can lead to the development of substance use disorder, including addiction [see Warnings and Precautions (5.2)].

Misuse is the intentional use, for therapeutic purposes, of a drug by an individual in a way other than prescribed by a healthcare provider or for whom it was not prescribed.

Abuse is the intentional, non-therapeutic use of a drug, even once, for its desirable psychological or physiological effects.

Drug addiction is a cluster of behavioral, cognitive, and physiological phenomena that may include a strong desire to take the drug, difficulties in controlling drug use (e.g., continuing drug use despite harmful consequences, giving a higher priority to drug use than other activities and obligations), and possible tolerance or physical dependence.

Misuse and abuse of Hydromorphone Hydrochloride increases risk of overdose, which may lead to central nervous system and respiratory depression, hypotension, seizures, and death. The risk is increased with concurrent abuse of Hydromorphone Hydrochloride with alcohol and/or other CNS depressants. Abuse of and addiction to opioids in some individuals may not be accompanied by concurrent tolerance and symptoms of physical dependence. In addition, abuse of opioids can occur in the absence of addiction.

All patients treated with opioids require careful and frequent reevaluation for signs of misuse, abuse, and addiction, because use of opioid analgesic products carries the risk of addiction even under appropriate medical use. Patients at high risk of Hydromorphone Hydrochloride abuse include those with a history of prolonged use of any opioid, including products containing hydromorphone, those with a history of drug or alcohol abuse, or those who use Hydromorphone Hydrochloride in combination with other abused drugs.

“Drug-seeking” behavior is very common in persons with substance use disorders. Drug-seeking tactics include emergency calls or visits near the end of office hours, refusal to undergo appropriate examination, testing, or referral, repeated “loss” of prescriptions, tampering with prescriptions, and reluctance to provide prior medical records or contact information for other treating healthcare provider(s). “Doctor shopping” (visiting multiple prescribers to obtain additional prescriptions) is common among people who abuse drugs and people with substance use disorder. Preoccupation with achieving adequate pain relief can be appropriate behavior in a patient with inadequate pain control.

Hydromorphone Hydrochloride, like other opioids, can be diverted for nonmedical use into illicit channels of distribution. Careful record-keeping of prescribing information, including quantity, frequency, and renewal requests, as required by state and federal law, is strongly advised.

Proper assessment of the patient, proper prescribing practices, periodic reevaluation of therapy, and proper dispensing and storage are appropriate measures that help to limit abuse of opioid drugs.

Risks Specific to Abuse of Hydromorphone Hydrochloride

Abuse of Hydromorphone Hydrochloride Oral Solution or Hydromorphone Hydrochloride Tablets poses a risk of overdose and death. The risk is increased with concurrent use of Hydromorphone Hydrochloride with alcohol and/or other CNS depressants.

Hydromorphone Hydrochloride Oral Solution and Hydromorphone Hydrochloride Tablets are approved for oral use only.

Parenteral drug abuse is commonly associated with transmission of infectious diseases such as hepatitis and HIV.

10 Overdosage

Clinical Presentation

Acute overdose with hydromorphone can be manifested by respiratory depression, somnolence progressing to stupor or coma, skeletal muscle flaccidity, cold and clammy skin, constricted pupils, and, in some cases, pulmonary edema, bradycardia, hypotension, hypoglycemia, partial or complete airway obstruction, atypical snoring, and death. Marked mydriasis rather than miosis may be seen with hypoxia in overdose situations [see Clinical Pharmacology (12.2)].

Toxic leukoencephalopathy has been reported after opioid overdose and can present hours, days, or weeks after apparent recovery from the initial intoxication.

Treatment of Overdose

In case of overdose, priorities are the reestablishment of a patent and protected airway and institution of assisted or controlled ventilation, if needed. Employ other supportive measures (including oxygen and vasopressors) in the management of circulatory shock and pulmonary edema as indicated. Cardiac arrest or arrhythmias will require advanced life-support measures.

For clinically significant respiratory or circulatory depression secondary to opioid overdose, administer an opioid overdose reversal agent such as naloxone or nalmefene.

Because the duration of opioid reversal is expected to be less than the duration of action of hydromorphone in Hydromorphone Hydrochloride Oral Solution or Hydromorphone Hydrochloride Tablets, carefully monitor the patient until spontaneous respiration is reliably reestablished. If the response to an opioid overdose reversal agent is suboptimal or only brief in nature, administer additional reversal agent as directed by the product’s prescribing information.

In an individual physically dependent on opioids, administration of the recommended usual dosage of the opioid overdose reversal agent will precipitate an acute withdrawal syndrome. The severity of the withdrawal symptoms experienced will depend on the degree of physical dependence and the dose of the reversal agent administered. If a decision is made to treat serious respiratory depression in the physically dependent patient, administration of the reversal agent should be initiated with care and by titration with smaller than usual doses of the reversal agent.

5.16 Sulfites

Hydromorphone Hydrochloride Oral Solution and Hydromorphone Hydrochloride Tablets contain sodium metabisulfite, a sulfite that may cause allergic-type reactions including anaphylactic symptoms and life-threatening or less severe asthmatic episodes in certain susceptible people. The overall prevalence of sulfite sensitivity in the general population is unknown and probably low. Sulfite sensitivity is seen more frequently in asthmatic than in nonasthmatic people. Use of Hydromorphone Hydrochloride Oral Solution and Hydromorphone Hydrochloride Tablets is contraindicated in patients with hypersensitivity to sulfite-containing medications.

8.1 Pregnancy

Risk Summary

Use of opioid analgesics for an extended period of time during pregnancy may cause neonatal opioid withdrawal syndrome [see Warnings and Precautions (5.5)]. There are no available data with Hydromorphone Hydrochloride in pregnant women to inform a drug-associated risk for major birth defects and miscarriage.

In animal reproduction studies, reduced postnatal survival of pups, and decreased were noted following oral treatment of pregnant rats with hydromorphone during gestation and through lactation at doses 0.8 times the human daily dose of 24 mg/day (HDD), respectively. In published studies, neural tube defects were noted following subcutaneous injection of hydromorphone to pregnant hamsters at doses 6.4 times the HDD and soft tissue and skeletal abnormalities were noted following subcutaneous continuous infusion of 3 times the HDD to pregnant mice. No malformations were noted at 4 or 40.5 times the HDD in pregnant rats or rabbits, respectively [see Data]. Based on animal data, advise pregnant women of the potential risk to a fetus.

The background risk of major birth defects and miscarriage for the indicated population is unknown. All pregnancies have a background risk of birth defect, loss, or other adverse outcomes. In the U.S. general population, the estimated background risk of major birth defects and miscarriage in clinically recognized pregnancies is 2 to 4% and 15 to 20%, respectively.

Clinical Considerations

Fetal/Neonatal Adverse Reactions: Use of opioid analgesics for an extended period of time during pregnancy for medical or nonmedical purposes can result in physical dependence in the neonate and neonatal opioid withdrawal syndrome shortly after birth.

Neonatal opioid withdrawal syndrome presents as irritability, hyperactivity and abnormal sleep pattern, high pitched cry, tremor, vomiting, diarrhea and failure to gain weight. The onset, duration, and severity of neonatal opioid withdrawal syndrome vary based on the specific opioid used, duration of use, timing and amount of last maternal use, and rate of elimination of the drug by the newborn. Observe newborns for symptoms of neonatal opioid withdrawal syndrome and manage accordingly [see Warnings and Precautions (5.5)].

Labor or Delivery: Opioids cross the placenta and may produce respiratory depression and psycho-physiologic effects in neonates. An opioid overdose reversal agent, such as naloxone or nalmefene, must be available for reversal of opioid-induced respiratory depression in the neonate. Hydromorphone Hydrochloride Oral Solution or Hydromorphone Hydrochloride Tablets is not recommended for use in pregnant women during or immediately prior to labor, when other analgesic techniques are more appropriate. Opioid analgesics, including Hydromorphone Hydrochloride Oral Solution or Hydromorphone Hydrochloride Tablets, can prolong labor through actions which temporarily reduce the strength, duration, and frequency of uterine contractions. However, this effect is not consistent and may be offset by an increased rate of cervical dilation, which tends to shorten labor. Monitor neonates exposed to opioid analgesics during labor for signs of excess sedation and respiratory depression.

Data

Animal Data: Pregnant rats were treated with hydromorphone hydrochloride from Gestation Day 6 to 17 via oral gavage doses of 1, 5, or 10 mg/kg/day (0.4, 2, or 4 times the HDD of 24 mg based on body surface area, respectively). Maternal toxicity was noted in all treatment groups (reduced food consumption and body weights in the two highest dose groups). There was no evidence of malformations or embryotoxicity reported.

Pregnant rabbits were treated with hydromorphone hydrochloride from Gestation Day 7 to 19 via oral gavage doses of 10, 25, or 50 mg/kg/day (8.1, 20.3, or 40.5 times the HDD of 24 mg based on body surface area, respectively). Maternal toxicity was noted in the two highest dose groups (reduced food consumption and body weights). There was no evidence of malformations or embryotoxicity reported.

In a published study, neural tube defects (exencephaly and cranioschisis) were noted following subcutaneous administration of hydromorphone hydrochloride (19 to 258 mg/kg) on Gestation Day 8 to pregnant hamsters (6.4 to 87.2 times the HDD of 24 mg/day based on body surface area). The findings cannot be clearly attributed to maternal toxicity. No neural tube defects were noted at 14 mg/kg (4.7 times the human daily dose of 24 mg/day).

In a published study, CF-1 mice were treated subcutaneously with continuous infusion of 7.5, 15, or 30 mg/kg/day hydromorphone hydrochloride (1.5, 3, or 6.1 times the human daily dose of 24 mg based on body surface area) via implanted osmotic pumps during organogenesis (Gestation Days 7 to 10). Soft tissue malformations (cryptorchidism, cleft palate, malformed ventricles and retina), and skeletal variations (split supraoccipital, checkerboard and split sternebrae, delayed ossification of the paws, and ectopic ossification sites) were observed at doses 3 times the human dose of 24 mg/day based on body surface area. The findings cannot be clearly attributed to maternal toxicity.

Increased pup mortality and decreased pup body weights were noted at 0.8 and 2 times the human daily dose of 24 mg in a study in which pregnant rats were treated with hydromorphone hydrochloride from Gestation Day 7 to Lactation Day 20 via oral gavage doses of 0, 0.5, 2, or 5 mg/kg/day (0.2, 0.8, or 2 times the HDD of 24 mg based on body surface area, respectively). Maternal toxicity (decreased food consumption and body weight gain) was also noted at the two highest doses tested.

8.2 Lactation

Risk Summary

Low levels of opioid analgesics have been detected in human milk. The developmental and health benefits of breastfeeding should be considered along with the mother’s clinical need for Hydromorphone Hydrochloride Oral Solution or Hydromorphone Hydrochloride Tablets and any potential adverse effects on the breastfed infant from Hydromorphone Hydrochloride Oral Solution or Hydromorphone Hydrochloride Tablets or from the underlying maternal condition.

Clinical Considerations

Monitor infants exposed to Hydromorphone Hydrochloride through breast milk for excess sedation and respiratory depression. Withdrawal symptoms can occur in breastfed infants when maternal administration of hydromorphone is stopped, or when breastfeeding is stopped.

11 Description

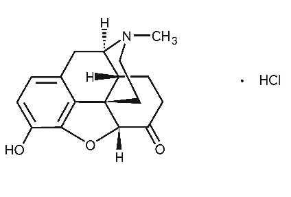
Hydromorphone hydrochloride, a hydrogenated ketone of morphine, is an opioid agonist. Hydromorphone hydrochloride, USP is a white to off-white powder. It is soluble in water and sparingly soluble in alcohol. The chemical name of hydromorphone hydrochloride is 4,5α-Epoxy-3-hydroxy-17-methylmorphinan-6-one hydrochloride. The structural formula is:

  •  
  •  
    C17H19NO3 ●HCl M.W. 321.80

Each Hydromorphone Hydrochloride Tablet, USP for oral administration, contains 4 mg or 8 mg hydromorphone hydrochloride, USP. In addition, the tablets include lactose anhydrous and magnesium stearate. Hydromorphone Hydrochloride Tablets, USP may contain traces of sodium metabisulfite.

Each 5 mL (1 teaspoon) of Hydromorphone Hydrochloride Oral Solution, USP contains 5 mg of hydromorphone hydrochloride, USP. In addition, other ingredients include FD&C Red No. 40, methyl paraben, propylene glycol, propylparaben, purified water, raspberry blend, saccharin sodium and sorbitol solution. Hydromorphone Hydrochloride Oral Solution, USP may contain traces of sodium metabisulfite.

9.3 Dependence

Both tolerance and physical dependence can develop during use of opioid therapy.

Tolerance is a physiological state characterized by a reduced response to a drug after repeated administration (i.e., a higher dose of a drug is required to produce the same effect that was once obtained at a lower dose).

Physical dependence is a state that develops as a result of a physiological adaptation in response to repeated drug use, manifested by withdrawal signs and symptoms after abrupt discontinuation or a significant dose reduction of a drug.

Withdrawal may be precipitated through the administration of drugs with opioid antagonist activity (e.g., naloxone, nalmefene), mixed agonist/antagonist analgesics (e.g., pentazocine, butorphanol, nalbuphine), or partial agonists (e.g., buprenorphine). Physical dependence may not occur to a clinically significant degree until after several days to weeks of continued use.

Do not rapidly reduce or abruptly discontinue Hydromorphone Hydrochloride Oral Solution and Hydromorphone Hydrochloride Tablets in a patient physically dependent on opioids. Rapid tapering of Hydromorphone Hydrochloride Oral Solution and Hydromorphone Hydrochloride Tablets in a patient physically dependent on opioids may lead to serious withdrawal symptoms, uncontrolled pain, and suicide. Rapid discontinuation has also been associated with attempts to find other sources of opioid analgesics, which may be confused with drug-seeking for abuse.

When discontinuing Hydromorphone Hydrochloride Oral Solution and Hydromorphone Hydrochloride Tablets, gradually taper the dosage using a patient-specific plan that considers the following: the dose of Hydromorphone Hydrochloride Oral Solution and Hydromorphone Hydrochloride Tablets the patient has been taking, the duration of treatment, and the physical and psychological attributes of the patient. To improve the likelihood of a successful taper and minimize withdrawal symptoms, it is important that the opioid tapering schedule is agreed upon by the patient. In patients taking opioids for an extended period of time at high doses, ensure that a multimodal approach to pain management, including mental health support (if needed), is in place prior to initiating an opioid analgesic taper [see Dosage and Administration ( 2.7 ), Warnings and Precautions (5.14)].

Infants born to mothers physically dependent on opioids will also be physically dependent and may exhibit respiratory difficulties and withdrawal signs [see Use in Specific Populations ( 8.1)].

5.14 Withdrawal

Do not rapidly reduce or abruptly discontinue Hydromorphone Hydrochloride Oral Solution or Hydromorphone Hydrochloride Tablets in a patient physically dependent on opioids. When discontinuing Hydromorphone Hydrochloride Oral Solution or Hydromorphone Hydrochloride Tablets in a physically dependent patient, gradually taper the dosage. Rapid tapering of hydromorphone in a patient physically dependent on opioids may lead to a withdrawal syndrome and return of pain [see Dosage and Administration (2.7), Drug Abuse and Dependence (9.3)].

Additionally, avoid the use of mixed agonist/antagonist (e.g., pentazocine, nalbuphine, and butorphanol) or partial agonist (e.g., buprenorphine) analgesics in patients who are receiving a full opioid agonist analgesic, including Hydromorphone Hydrochloride Oral Solution or Hydromorphone Hydrochloride Tablets. In these patients, mixed agonist/antagonist and partial agonist analgesics may reduce the analgesic effect and/or precipitate withdrawal symptoms [see Drug Interactions (7)].

8.4 Pediatric Use

The safety and effectiveness of Hydromorphone Hydrochloride in pediatric patients have not been established.

8.5 Geriatric Use

Elderly patients (aged 65 years or older) may have increased sensitivity to hydromorphone. In general, use caution when selecting a dosage for an elderly patient, usually starting at the low end of the dosing range, reflecting the greater frequency of decreased hepatic, renal, or cardiac function and of concomitant disease or other drug therapy.

Respiratory depression is the chief risk for elderly patients treated with opioids, and has occurred after large initial doses were administered to patients who were not opioid-tolerant or when opioids were co-administered with other agents that depress respiration. Titrate the dosage of Hydromorphone Hydrochloride slowly in geriatric patients and frequently reevaluate the patient for signs of central nervous system and respiratory depression [see Warnings and Precautions (5.8)].

Hydromorphone is known to be substantially excreted by the kidney, and the risk of adverse reactions to this drug may be greater in patients with impaired renal function. Because elderly patients are more likely to have decreased renal function, care should be taken in dose selection, and it may be useful to regularly evaluate renal function.

2.3 Initial Dosage

Initiating Treatment with Hydromorphone Hydrochloride Oral Solution or Hydromorphone Hydrochloride Tablets

Hydromorphone Hydrochloride Oral Solution

Initiate treatment with Hydromorphone Hydrochloride Oral Solution in a dosing range of 2.5 mL to 10 mL, 2.5 mg to

10 mg, every 3 to 6 hours as needed for pain, and at the lowest dose necessary to achieve adequate analgesia. Titrate the dose based upon the individual patient’s response to their initial dose of Hydromorphone Hydrochloride Oral Solution.

Hydromorphone Hydrochloride Tablets

Initiate treatment with Hydromorphone Hydrochloride Tablets in a dosing range of 2 mg to 4 mg, orally, every 4 to 6 hours as needed for pain, and at the lowest dose necessary to achieve adequate analgesia. Titrate the dose based upon the individual patient’s response to their initial dose of Hydromorphone Hydrochloride Tablets.

Conversion from Other Opioids to Hydromorphone Hydrochloride Oral Solution or Hydromorphone Hydrochloride Tablets

There is inter-patient variability in the potency of opioid drugs and opioid formulations. Therefore, a conservative approach is advised when determining the total daily dosage of Hydromorphone Hydrochloride Oral Solution or Hydromorphone Hydrochloride Tablets. It is safer to underestimate a patient’s 24-hour Hydromorphone Hydrochloride dosage than to overestimate the 24-hour dosage and manage an adverse reaction due to overdose.

In general, it is safest to start Hydromorphone Hydrochloride therapy by administering half of the usual starting dose every 3 to 6 hours for Hydromorphone Hydrochloride Oral Solution; and every 4 to 6 hours for Hydromorphone Hydrochloride Tablets. The dose of Hydromorphone Hydrochloride can be gradually adjusted until adequate pain relief and acceptable side effects have been achieved [see Dosage and Administration (2.5)].

Conversion from Hydromorphone Hydrochloride Oral Solution or Hydromorphone Hydrochloride Tablets to Extended-Release Hydromorphone Hydrochloride

The relative bioavailability of Hydromorphone Hydrochloride Oral Solution and Hydromorphone Hydrochloride Tablets compared to extended-release hydromorphone is unknown, so conversion to extended-release hydromorphone may lead to increased risk of excessive sedation and respiratory depression.

14 Clinical Studies

Analgesic effects of single doses of Hydromorphone Hydrochloride Oral Solution administered to patients with post-surgical pain have been studied in double-blind controlled trials. In one study, both 5 mg and 10 mg of Hydromorphone Hydrochloride Oral Solution provided significantly more analgesia than placebo. In another trial, 5 mg and 10 mg of Hydromorphone Hydrochloride Oral Solution were compared to 30 mg and 60 mg of morphine sulfate oral liquid. The pain relief provided by 5 mg and 10 mg Hydromorphone Hydrochloride Oral Solution was comparable to 30 mg and 60 mg oral morphine sulfate, respectively.

4 Contraindications

Hydromorphone Hydrochloride Oral Solution and Hydromorphone Hydrochloride Tablets are contraindicated in patients with:

  • Significant respiratory depression [see Warnings and Precautions (5.3)]
  • Acute or severe bronchial asthma in an unmonitored setting or in the absence of resuscitative equipment [see Warnings and Precautions (5.8)]
  • Known or suspected gastrointestinal obstruction, including paralytic ileus [see Warnings and Precautions (5.12)]
  • Hypersensitivity to hydromorphone, hydromorphone salts, any other components of the product, or sulfite- containing medications (e.g., anaphylaxis) [see Warnings and Precautions (5.16), Adverse Reactions (6.1)]
6 Adverse Reactions

The following serious adverse reactions are described, or described in greater detail, in other sections:

  • Addiction, Abuse, and Misuse [see Warnings and Precautions (5.2)]
  • Life-Threatening Respiratory Depression [see Warnings and Precautions (5.3)]
  • Interactions with Benzodiazepines or Other CNS Depressants [see Warnings and Precautions (5.4)]
  • Neonatal Opioid Withdrawal Syndrome [see Warnings and Precautions (5.5)]
  • Opioid-Induced Hyperalgesia and Allodynia [see Warnings and Precautions (5.7)]
  • Adrenal Insufficiency [see Warnings and Precautions (5.9)]
  • Severe Hypotension [see Warnings and Precautions (5.10)]
  • Gastrointestinal Adverse Reactions [see Warnings and Precautions (5.12)]
  • Seizures [see Warnings and Precautions (5.13)]
  • Withdrawal [see Warnings and Precautions (5.14)]
7 Drug Interactions

Table 1 includes clinically significant drug interactions with Hydromorphone Hydrochloride.

Table 1: Clinically Significant Drug Interactions with Hydromorphone Hydrochloride

Benzodiazepines and other Central Nervous System (CNS) Depressants

Clinical Impact:

Due to additive pharmacologic effect, the concomitant use of benzodiazepines or other CNS depressants, including alcohol, can increase the risk of hypotension, respiratory depression, profound sedation, coma, and death [see Warnings and Precautions (5.4)].

Intervention:

Reserve concomitant prescribing of these drugs for use in patients for whom alternative treatment options are inadequate. Limit dosages and durations to the minimum required. Inform patients and caregivers of this potential interaction and educate them on the signs and symptoms of respiratory depression (including sedation). If concomitant use is warranted, consider recommending or prescribing an opioid overdose reversal agent [see Dosage and Administration (2.2), Warnings and Precautions (5.2, 5.3, 5.4)].

Examples:

Benzodiazepines and other sedatives/hypnotics, anxiolytics, tranquilizers, muscle relaxants, general anesthetics, antipsychotics, gabapentinoids (gabapentin or pregabalin), other opioids, alcohol.

Serotonergic Drugs

Clinical Impact:

The concomitant use of opioids with other drugs that affect the serotonergic neurotransmitter system has resulted in serotonin syndrome.

Intervention:

If concomitant use is warranted, frequently evaluate the patient, particularly during treatment initiation and dose adjustment. Discontinue Hydromorphone Hydrochloride Oral Solution or Hydromorphone Hydrochloride Tablets if serotonin syndrome is suspected.

Examples:

Selective serotonin reuptake inhibitors (SSRIs), serotonin and norepinephrine reuptake inhibitors (SNRIs), tricyclic antidepressants (TCAs), triptans, 5-HT3 receptor antagonists, drugs that affect the serotonin neurotransmitter system (e.g., mirtazapine, trazodone, tramadol), certain muscle relaxants (i.e., cyclobenzaprine, metaxalone), monoamine oxidase (MAO) inhibitors (those intended to treat psychiatric disorders and also others, such as linezolid and intravenous methylene blue).

Monoamine Oxidase Inhibitors (MAOIs)

Clinical Impact:

MAOI interactions with opioids may manifest as serotonin syndrome or opioid toxicity (e.g., respiratory depression, coma) [see Warnings and Precautions (5.3)].

If urgent use of an opioid is necessary, use test doses and frequent titration of small doses to treat pain while closely monitoring blood pressure and signs and symptoms of CNS and respiratory depression.

Intervention:

The use of Hydromorphone Hydrochloride Oral Solution or Hydromorphone Hydrochloride Tablets is not recommended for patients taking MAOIs or within 14 days of stopping such treatment.

Examples:

Phenelzine, tranylcypromine, and linezolid.

Mixed Agonist/Antagonist and Partial Agonist Opioid Analgesics

Clinical Impact:

May reduce the analgesic effect of Hydromorphone Hydrochloride Oral Solution or Hydromorphone Hydrochloride Tablets and/or precipitate withdrawal symptoms.

Intervention:

Avoid concomitant use.

Examples:

Butorphanol, nalbuphine, pentazocine, and buprenorphine.

Muscle Relaxants

Clinical Impact:

Hydromorphone may enhance the neuromuscular blocking action of skeletal muscle relaxants and produce an increased degree of respiratory depression.

Intervention:

Because respiratory depression may be greater than otherwise expected, decrease the dosage of Hydromorphone Hydrochloride Oral Solution or Hydromorphone Hydrochloride Tablets and/or the muscle relaxant as necessary. Due to the risk of respiratory depression with concomitant use of skeletal muscle relaxants and opioids, consider recommending or prescribing an opioid overdose reversal agent [see Dosage and Administration (2.2), Warnings and Precautions (5.3, 5.4)].

Examples:

cyclobenzaprine, metaxalone

Diuretics

Clinical Impact:

Opioids can reduce the efficacy of diuretics by inducing the release of antidiuretic hormone.

Intervention:

Evaluate patients for signs of diminished diuresis and/or effects on blood pressure and increase the dosage of the diuretic as needed.

Anticholinergic Drugs

Clinical Impact:

The concomitant use of anticholinergic drugs may increase risk of urinary retention and/or severe constipation, which may lead to paralytic ileus.

Intervention:

Evaluate patients for signs of urinary retention or reduced gastric motility when Hydromorphone Hydrochloride Oral Solution or Hydromorphone Hydrochloride Tablets is used concomitantly with anticholinergic drugs.

8.7 Renal Impairment

The pharmacokinetics of hydromorphone is affected by renal impairment. In addition, in patients with severe renal impairment, hydromorphone appeared to be more slowly eliminated with a longer terminal elimination half-life. Start patients with renal impairment on one-fourth to one-half the usual starting dose depending on the degree of impairment. Patients with renal impairment should be regularly evaluated during dose titration [see Clinical Pharmacology (12.3)].

12.2 Pharmacodynamics

Effects on the Central Nervous System

Hydromorphone produces respiratory depression by direct action on brain stem respiratory centers. The respiratory depression involves a reduction in the responsiveness of the brain stem respiratory centers to both increases in carbon dioxide tension and to electrical stimulation.

Hydromorphone causes miosis, even in total darkness. Pinpoint pupils are a sign of opioid overdose but are not pathognomonic (e.g., pontine lesions of hemorrhagic or ischemic origins may produce similar findings). Marked mydriasis rather than miosis may be seen due to hypoxia in overdose situations.

Effects on the Gastrointestinal Tract and Other Smooth Muscle

Hydromorphone causes a reduction in motility associated with an increase in smooth muscle tone in the antrum of the stomach and duodenum. Digestion of food in the small intestine is delayed and propulsive contractions are decreased. Propulsive peristaltic waves in the colon are decreased, while tone may be increased to the point of spasm, resulting in constipation. Other opioid-induced effects may include a reduction in biliary and pancreatic secretions, spasm of sphincter of Oddi, transient elevations in serum amylase, and opioid-induced esophageal dysfunction (OIED).

Effects on the Cardiovascular System

Hydromorphone produces peripheral vasodilation which may result in orthostatic hypotension or syncope. Manifestations of histamine release and/or peripheral vasodilation may include pruritus, flushing, red eyes and sweating, and/or orthostatic hypotension.

Effects on the Endocrine System

Opioids inhibit the secretion of adrenocorticotropic hormone (ACTH), cortisol, and luteinizing hormone (LH) in humans [see Adverse Reactions (6.2)]. They also stimulate prolactin, growth hormone (GH) secretion, and pancreatic secretion of insulin and glucagon.

Use of opioids for an extended period of time may influence the hypothalamic-pituitary-gonadal axis, leading to androgen deficiency that may manifest as low libido, impotence, erectile dysfunction, amenorrhea, or infertility. The causal role of opioids in the clinical syndrome of hypogonadism is unknown because the various medical, physical, lifestyle, and psychological stressors that may influence gonadal hormone levels have not been adequately controlled for in studies conducted to date [see Adverse Reactions (6.2)].

Effects on the Immune System

Opioids have been shown to have a variety of effects on components of the immune system in in vitro and animal models. The clinical significance of these findings is unknown. Overall, the effects of opioids appear to be modestly immunosuppressive.

Concentration–Efficacy Relationships

The minimum effective analgesic concentration will vary widely among patients, especially among patients who have been previously treated with opioid agonists. The minimum effective analgesic concentration of hydromorphone for any individual patient may increase over time due to an increase in pain, the development of a new pain syndrome, and/or the development of analgesic tolerance [see Dosage and Administration (2.1, 2.6 )].

Concentration–Adverse Reaction Relationships

There is a relationship between increasing hydromorphone plasma concentration and increasing frequency of dose-related opioid adverse reactions such as nausea, vomiting, CNS effects, and respiratory depression. In opioid-tolerant patients, the situation may be altered by the development of tolerance to opioid-related adverse reactions [see Dosage and Administration (2.1, 2.3, 2.6)].

12.3 Pharmacokinetics

Absorption

The analgesic activity of Hydromorphone Hydrochloride is due to the parent drug, hydromorphone. Hydromorphone is rapidly absorbed from the gastrointestinal tract after oral administration and undergoes extensive first-pass metabolism. Exposure of hydromorphone (Cmax and AUC0-24) is dose-proportional at a dose range of 2 and 8 mg. In vivo bioavailability following single-dose administration of the 8 mg tablet is approximately 24% (coefficient of variation 21%). Bioequivalence between the Hydromorphone Hydrochloride 8 mg Tablet and an equivalent dose of Hydromorphone Hydrochloride Oral Solution has been demonstrated.

After oral administration of Hydromorphone Hydrochloride, peak plasma hydromorphone concentrations are generally attained within ½ to 1 hour.

Mean (%cv)

Dosage Form

Cmax

(ng)

Tmax

(hrs)

AUC

(ng*hr/mL)

T1/2

(hrs)

8 mg Tablet

5.5 (33%)

0.74 (34%)

23.7 (28%)

2.6 (18%)

8 mg Oral Liquid

5.7 (31%)

0.73 (71%)

24.6 (29%)

2.8 (20%)

Food Effects: In a study conducted with a single 8 mg dose of hydromorphone (2 mg hydromorphone immediate-release tablets), food lowered Cmax by 25%, prolonged Tmax by 0.8 hour, and increased AUC by 35%. The effects may not be clinically relevant.

Distribution

At therapeutic plasma levels, hydromorphone is approximately 8% to 19% bound to plasma proteins. After an intravenous bolus dose, the steady state of volume distribution [mean (% cv)] is 302.9 (32%) liters.

Elimination

The systemic clearance is approximately 1.96 (20%) liters/minute. The terminal elimination half-life of hydromorphone after an intravenous dose is about 2.3 hours.

Metabolism: Hydromorphone is extensively metabolized via glucuronidation in the liver, with greater than 95% of the dose metabolized to hydromorphone-3-glucuronide along with minor amounts of 6-hydroxy reduction metabolites.

Excretion: Only a small amount of the hydromorphone dose is excreted unchanged in the urine. Most of the dose is excreted as hydromorphone-3-glucuronide along with minor amounts of 6-hydroxy reduction metabolites.

Specific Populations

Hepatic Impairment: After oral administration of a single 4 mg dose (2 mg hydromorphone immediate-release tablets), mean exposure to hydromorphone (Cmax and AUC∞) is increased 4-fold in patients with moderate (Child-Pugh Group B) hepatic impairment compared with subjects with normal hepatic function. Due to increased exposure of hydromorphone, patients with moderate hepatic impairment should be started at a lower dose and closely monitored during dose titration. Pharmacokinetics of hydromorphone in severe hepatic impairment patients has not been studied. Further increase in Cmax and AUC of hydromorphone in this group is expected. As such, starting dose should be even more conservative [see Use in Specific Populations (8.6)].

Renal Impairment: After oral administration of a single 4 mg dose (2 mg hydromorphone immediate-release tablets), exposure to hydromorphone (Cmax and AUC0-48) is increased in patients with impaired renal function by 2-fold in moderate (CLcr = 40 to 60 mL/min) and 3-fold in severe (CLcr< 30 mL/min) renal impairment compared with normal subjects (CLcr > 80 mL/min). In addition, in patients with severe renal impairment hydromorphone appeared to be more slowly eliminated with longer terminal elimination half-life (40 hr) compared to patients with normal renal function (15 hr). Patients with moderate renal impairment should be started on a lower dose. Starting doses for patients with severe renal impairment should be even lower. Patients with renal impairment should be closely monitored during dose titration [see Use in Specific Populations (8.7)].

Age: Geriatric Population: In the geriatric population, age has no effect on the pharmacokinetics of hydromorphone.

Sex: Sex has little effect on the pharmacokinetics of hydromorphone. Females appear to have higher Cmax (25%) than males with comparable AUC0-24 values. The difference observed in Cmax may not be clinically relevant.

8.6 Hepatic Impairment

The pharmacokinetics of hydromorphone is affected by hepatic impairment. Due to increased exposure of hydromorphone, patients with hepatic impairment should be started at one-fourth to one-half the recommended starting dose depending on the degree of hepatic dysfunction and regularly evaluated during dose titration. The pharmacokinetics of hydromorphone in patients with severe hepatic impairment has not been studied. A further increase in Cmax and AUC of hydromorphone in this group is expected and should be taken into consideration when selecting a starting dose [see Clinical Pharmacology (12.3)].

1 Indications and Usage

Hydromorphone Hydrochloride Oral Solution and Hydromorphone Hydrochloride Tablets are indicated for the management of pain severe enough to require an opioid analgesic and for which alternative treatments are inadequate.

Limitations of Use

Because of the risks of addiction, abuse, misuse, overdose, and death, which can occur at any dosage or duration and persist over the course of therapy [see Warnings and Precautions (5.2)], reserve opioid analgesics, including Hydromorphone Hydrochloride Oral Solution and Hydromorphone Hydrochloride Tablets, for use in patients for whom alternative treatment options are ineffective, not tolerated, or would be otherwise inadequate to provide sufficient management of pain.

5.10 Severe Hypotension

Hydromorphone Hydrochloride Oral Solution or Hydromorphone Hydrochloride Tablets may cause severe hypotension including orthostatic hypotension and syncope in ambulatory patients. There is increased risk in patients whose ability to maintain blood pressure has already been compromised by a reduced blood volume or concurrent administration of certain CNS depressant drugs (e.g. phenothiazines or general anesthetics) [see Drug Interactions (7)]. Regularly evaluate these patients for signs of hypotension after initiating or titrating the dosage of Hydromorphone Hydrochloride Oral Solution or Hydromorphone Hydrochloride Tablets. In patients with circulatory shock, Hydromorphone Hydrochloride may cause vasodilation that can further reduce cardiac output and blood pressure. Avoid the use of Hydromorphone Hydrochloride Oral Solution or Hydromorphone Hydrochloride Tablets in patients with circulatory shock.

12.1 Mechanism of Action

Hydromorphone is a full opioid agonist and is relatively selective for the mu-opioid receptor, although it can bind to other opioid receptors at higher doses. The principal therapeutic action of hydromorphone is analgesia. Like all full opioid agonists, there is no ceiling effect for analgesia with morphine. Clinically, dosage is titrated to provide adequate analgesia and may be limited by adverse reactions, including respiratory and CNS depression.

The precise mechanism of the analgesic action is unknown. However, specific CNS opioid receptors for endogenous compounds with opioid-like activity have been identified throughout the brain and spinal cord and are thought to play a role in the analgesic effects of this drug.

9.1 Controlled Substance

Hydromorphone Hydrochloride Oral Solution and Hydromorphone Hydrochloride Tablets contain hydromorphone, a Schedule II controlled substance.

5.9 Adrenal Insufficiency

Cases of adrenal insufficiency have been reported with opioid use, more often following greater than one month of use. Presentation of adrenal insufficiency may include non-specific symptoms and signs including nausea, vomiting, anorexia, fatigue, weakness, dizziness, and low blood pressure. If adrenal insufficiency is suspected, confirm the diagnosis with diagnostic testing as soon as possible. If adrenal insufficiency is diagnosed, treat with physiologic replacement doses of corticosteroids. Wean the patient off of the opioid to allow adrenal function to recover and continue corticosteroid treatment until adrenal function recovers. Other opioids may be tried as some cases reported use of a different opioid without recurrence of adrenal insufficiency. The information available does not identify any particular opioids as being more likely to be associated with adrenal insufficiency.

5 Warnings and Precautions
  • Opioid-Induced Hyperalgesia and Allodynia: Opioid-Induced Hyperalgesia (OIH) occurs when an opioid analgesic paradoxically causes an increase in pain, or an increase in sensitivity to pain. If OIH is suspected, carefully consider appropriately decreasing the dose of the current opioid analgesic or opioid rotation. (5.7)
  • Life-Threatening Respiratory Depression in Patients with Chronic Pulmonary Disease or in Elderly, Cachectic, or Debilitated Patients: Regularly evaluate patients, particularly during initiation and titration. (5.8)
  • Adrenal Insufficiency: If diagnosed, treat with physiologic replacement of corticosteroids, and wean patient off of the opioid. (5.9)
  • Severe Hypotension: Regularly evaluate patients during dosage initiation and titration. Avoid use of Hydromorphone Hydrochloride Oral Solution or Hydromorphone Hydrochloride Tablets in patients with circulatory shock. (5.10)
  • Risks of Use in Patients with Increased Intracranial Pressure, Brain Tumors, Head Injury, or Impaired Consciousness: Monitor patients for sedation and respiratory depression. Avoid use of Hydromorphone Hydrochloride Oral Solution or Hydromorphone Hydrochloride Tablets in patients with impaired consciousness or coma. (5.11)
2 Dosage and Administration
  • Hydromorphone Hydrochloride Oral Solution and Hydromorphone Hydrochloride Tablets should be prescribed only by healthcare professionals who are knowledgeable about the use of opioids and how to mitigate the associated risks. (2.1)
  • Use the lowest effective dosage for the shortest duration of time consistent with individual patient treatment goals. Reserve titration to higher doses of Hydromorphone Hydrochloride for patients in whom lower doses are insufficiently effective and in whom the expected benefits of using a higher dose opioid clearly outweigh the substantial risks. (2.1, 5)
  • Many acute pain conditions (e.g., the pain that occurs with a number of surgical procedures or acute musculoskeletal injuries) require no more than a few days of an opioid analgesic. Clinical guidelines on opioid prescribing for some acute pain conditions are available. (2.1)
  • Initiate the dosing regimen for each patient individually, taking into account the patient’s underlying cause and severity of pain, prior analgesic treatment and response, and risk factors for addiction, abuse, and misuse. (2.1, 5.2)
  • Respiratory depression can occur at any time during opioid therapy, especially when initiating and following dosage increases with Hydromorphone Hydrochloride. Consider this risk when selecting an initial dose and when making dose adjustments. (2.1, 5.3)
  • Discuss opioid overdose reversal agents and options for acquiring them with the patient and/or caregiver, both when initiating and renewing treatment with Hydromorphone Hydrochloride, especially if the patient has additional risk factors for overdose, or close contacts at risk for exposure and overdose. (2.2, 5.2, 5.3, 5.4 )
  • Initiate treatment with Hydromorphone Hydrochloride Oral Solution in a dosing range of 2.5 mL to 10 mL, 2.5 mg to 10 mg, every 3 to 6 hours as needed for pain, and at the lowest dose necessary to achieve adequate analgesia. Titrate the dose based upon the individual patient’s response to their initial dose of Hydromorphone Hydrochloride Oral Solution. (2, 5)
  • Initiate treatment with Hydromorphone Hydrochloride Tablets in a dosing range of 2 mg to 4 mg, orally, every 4 to 6 hours as needed for pain, and at the lowest dose necessary to achieve adequate analgesia. Titrate the dose based upon the individual patient’s response to their initial dose of Hydromorphone Hydrochloride Tablets. (2, 5)
  • Periodically reassess patients receiving Hydromorphone Hydrochloride to evaluate the continued need for opioid analgesics to maintain pain control, for the signs or symptoms of adverse reactions, and for the development of addiction, abuse, or misuse. (2.6)
  • Do not rapidly reduce or abruptly discontinue Hydromorphone Hydrochloride in a physically-dependent patient because rapid reduction or abrupt discontinuation of opioid analgesics has resulted in serious withdrawal symptoms, uncontrolled pain, and suicide. (2.7 , 5.14 )
3 Dosage Forms and Strengths

Hydromorphone Hydrochloride Oral Solution, USP

  • 5 mg/5 mL (1 mg/mL) of hydromorphone hydrochloride, USP in a clear, red solution.

Hydromorphone Hydrochloride Tablets, USP

  • 4 mg tablets (white to off-white, round, flat-faced tablet with beveled edges; debossed with “4” on one side and “54 196” debossed on the other side)
  • 8 mg tablets (white to off-white, round, flat-faced tablet with beveled edges: scored on one side and “54 425” debossed on the other side)
6.2 Postmarketing Experience

The following adverse reactions have been identified during post approval use of hydromorphone. Because these reactions are reported voluntarily from a population of uncertain size, it is not always possible to reliably estimate their frequency or establish a causal relationship to drug exposure.

Confusional state, convulsions, drowsiness, dyskinesia, dyspnea, erectile dysfunction, fatigue, hepatic enzymes increased, hyperalgesia, hypersensitivity reaction, lethargy, myoclonus, oropharyngeal swelling, peripheral edema, and somnolence.

Serotonin Syndrome

Cases of serotonin syndrome, a potentially life-threatening condition, have been reported during concomitant use of opioids with serotonergic drugs.

Adrenal Insufficiency

Cases of adrenal insufficiency have been reported with opioid use, more often following greater than one month of use.

Anaphylaxis

Anaphylaxis has been reported with ingredients contained in Hydromorphone Hydrochloride Oral Solution or Hydromorphone Hydrochloride Tablets.

Androgen Deficiency

Cases of androgen deficiency have occurred with use of opioids for an extended period of time [see Clinical Pharmacology (12.2)].

Hyperalgesia and Allodynia

Cases of hyperalgesia and allodynia have been reported with opioid therapy of any duration [see Warnings and Precautions (5.7)].

Hypoglycemia

Cases of hypoglycemia have been reported in patients taking opioids. Most reports were in patients with at least one predisposing risk factor (e.g., diabetes).

Opioid-induced esophageal dysfunction (OIED): Cases of OIED have been reported in patients taking opioids and

may occur more frequently in patients taking higher doses of opioids, and/or in patients taking opioids longer term

[see Warnings and Precautions (5.12)].

Adverse Reactions from Observational Studies

A prospective, observational cohort study estimated the risks of addiction, abuse, and misuse in patients initiating long-term use of Schedule II opioid analgesics between 2017 and 2021. Study participants included in one or more analyses had been enrolled in selected insurance plans or health systems for at least one year, were free of at least one outcome at baseline, completed a minimum number of follow-up assessments, and either: 1) filled multiple extended-release/longacting opioid analgesic prescriptions during a 90-day period (n=978); or 2) filled any Schedule II opioid analgesic prescriptions covering at least 70 of 90 days (n=1,244). Those included also had no dispensing of the qualifying opioids in the previous 6 months.

Over 12 months:

  • approximately 1% to 6% of participants across the two cohorts newly met criteria for addiction, as assessed with two validated interview-based measures of moderate-to-severe opioid use disorder based on Diagnostic and Statistical Manual of Mental Disorders, Fifth Edition (DSM-5) criteria, and
  • approximately 9% and 22% of participants across the two cohorts newly met criteria for prescription opioid abuse and misuse [defined in Drug Abuse and Dependence (9.2)], respectively, as measured with a validated self-reported instrument.

A retrospective, observational cohort study estimated the risk of opioid-involved overdose or opioid overdose-related death in patients with new long-term use of Schedule II opioid analgesics from 2006 through 2016 (n=220,249).

Included patients had been enrolled in either one of two commercial insurance programs, one managed care program,

or one Medicaid program for at least 9 months. New long-term use was defined as having Schedule II opioid analgesic prescriptions covering at least 70 days’ supply over the 3 months prior to study entry and none during the preceding 6 months. Patients were excluded if they had an opioid-involved overdose in the 9 months prior to study entry. Overdose was measured using a validated medical code-based algorithm with linkage to the National Death Index database. The

5-year cumulative incidence estimates for opioid-involved overdose or opioid overdose-related death ranged from approximately 1.5% to 4% across study sites, counting only the first event during follow-up.

Approximately 17% of first opioid overdoses observed over the entire study period (5 to 11 years, depending on the study site) were fatal. Higher baseline opioid dose was the strongest and most consistent predictor of opioid-involved overdose or opioid overdose-related death. Study exclusion criteria may have selected patients at lower risk of overdose, and substantial loss to follow-up (approximately 80%) also may have biased estimates.

The risk estimates from the studies described above may not be generalizable to all patients receiving opioid analgesics, such as those with exposures shorter or longer than the duration evaluated in the studies.

8 Use in Specific Populations
  • Pregnancy: May cause fetal harm. (8.1)
6.1 Clinical Trials Experience

Because clinical trials are conducted under widely varying conditions, adverse reaction rates observed in the clinical trials of a drug cannot be directly compared to rates in the clinical trials of another drug and may not reflect the rates observed in clinical practice.

Serious adverse reactions associated with hydromorphone hydrochloride include respiratory depression and apnea and, to a lesser degree, circulatory depression, respiratory arrest, shock, and cardiac arrest.

The most common adverse effects are lightheadedness, dizziness, sedation, nausea, vomiting, sweating, flushing, dysphoria, euphoria, dry mouth, and pruritus. These effects seem to be more prominent in ambulatory patients and in those not experiencing severe pain.

Less Frequently Observed Adverse Reactions

Cardiac Disorders: tachycardia, bradycardia, palpitations

Eye Disorders: vision blurred, diplopia, miosis, visual impairment

Gastrointestinal Disorders: constipation, ileus, diarrhea, abdominal pain

General Disorders and Administration Site Conditions: weakness, feeling abnormal, chills

Hepatobiliary Disorders: biliary colic

Metabolism and Nutrition Disorders: decreased appetite

Musculoskeletal and Connective Tissue Disorders: muscle rigidity

Nervous System Disorders: headache, tremor, paraesthesia, nystagmus, increased intracranial pressure, syncope, taste alteration, involuntary muscle contractions, presyncope

Psychiatric Disorders: agitation, mood altered, nervousness, anxiety, depression, hallucination, disorientation, insomnia, abnormal dreams

Renal and Urinary Disorders: urinary retention, urinary hesitation, antidiuretic effects

Respiratory, Thoracic, and Mediastinal Disorders: bronchospasm, laryngospasm

Skin and Subcutaneous Tissue Disorders: urticaria, rash, hyperhidrosis

Vascular Disorders: flushing, hypotension, hypertension

5.2 Addiction, Abuse, and Misuse

Hydromorphone Hydrochloride Oral Solution and Hydromorphone Hydrochloride Tablets contain hydromorphone, a Schedule II controlled substance. As an opioid, Hydromorphone Hydrochloride exposes users to the risks of addiction, abuse, and misuse [see Drug Abuse and Dependence (9)].

Although the risk of addiction in any individual is unknown, it can occur in patients appropriately prescribed Hydromorphone Hydrochloride Oral Solution or Hydromorphone Hydrochloride Tablets. Addiction can occur at recommended doses and if the drug is misused or abused. The risk of opioid-related overdose or overdose-related death is increased with higher opioid doses, and this risk persists over the course of therapy. In postmarketing studies, addiction, abuse, misuse, and fatal and non-fatal opioid overdose were observed in patients with long-term opioid use [see Adverse Reactions (6.2)].

Assess each patient’s risk for opioid addiction, abuse, or misuse prior to prescribing Hydromorphone Hydrochloride Oral Solution or Hydromorphone Hydrochloride Tablets, and reassess all patients receiving Hydromorphone Hydrochloride Oral Solution or Hydromorphone Hydrochloride Tablets for the development of these behaviors and conditions. Risks are increased in patients with a personal or family history of substance abuse (including drug or alcohol abuse or addiction) or mental illness (e.g., major depression). The potential for these risks should not, however, prevent the proper management of pain in any given patient. Patients at increased risk may be prescribed opioids such as Hydromorphone Hydrochloride Oral Solution or Hydromorphone Hydrochloride Tablets but use in such patients necessitates intensive counseling about the risks and proper use of Hydromorphone Hydrochloride Oral Solution and Hydromorphone Hydrochloride Tablets

along with frequent reevaluation for signs of addiction, abuse, and misuse. Consider recommending or prescribing an opioid overdose reversal agent [see Dosage and Administration (2.2), Warnings and Precautions (5.3)].

Opioids are sought for nonmedical use and are subject to diversion from legitimate prescribed use. Consider these risks when prescribing or dispensing Hydromorphone Hydrochloride Oral Solution or Hydromorphone Hydrochloride Tablets. Strategies to reduce these risks include prescribing the drug in the smallest appropriate quantity and advising the patient on careful storage of the drug during the course of treatment and the proper disposal of unused drug. Contact local state professional licensing board or state-controlled substances authority for information on how to prevent and detect abuse or diversion of this product.

17 Patient Counseling Information

Advise the patient to read the FDA-approved patient labeling (Medication Guide).

Storage and Disposal

Because of the risks associated with accidental ingestion, misuse, and abuse, advise patients to store Hydromorphone Hydrochloride Oral Solution and Hydromorphone Hydrochloride Tablets securely, out of sight and reach of children, and in a location not accessible by others, including visitors to the home. Inform patients that leaving Hydromorphone Hydrochloride Oral Solution and Hydromorphone Hydrochloride Tablets unsecured can pose a deadly risk to others in the home [see Warnings and Precautions ( 5.2, 5.3), Drug Abuse and Dependence (9.2)].

Advise patients and caregivers that when medicines are no longer needed, they should be disposed of promptly. Expired, unwanted, or unused Hydromorphone Hydrochloride Oral Solution and Hydromorphone Hydrochloride Tablets should be disposed of by flushing the unused medication down the toilet if a drug take-back option is not readily available. Inform patients that they can visit www.fda.gov/drugdisposal for a complete list of medicines recommended for disposal by flushing, as well as additional information on disposal of unused medicines.

Medication Errors

Instruct patients and caregivers how to measure and take or administer the correct dose of Hydromorphone Hydrochloride Oral Solution, and to always use a graduated oral syringe or measuring cup, with metric units of measurements (i.e., mL), to correctly measure the prescribed amount of medication. Inform patients and caregivers that oral dosing devices may be obtained from their pharmacy and to never use household teaspoons or tablespoons to measure Hydromorphone Hydrochloride Oral Solution [see Dosage and Administration (2.1), Warnings and Precautions (5.1)].

If the prescribed concentration is changed, instruct patients and caregivers on how to correctly measure the new dose to avoid errors which could result in accidental overdose and death.

Addiction, Abuse, and Misuse

Inform patients that the use of Hydromorphone Hydrochloride Oral Solution or Hydromorphone Hydrochloride Tablets, even when taken as recommended, can result in addiction, abuse, and misuse, which can lead to overdose and death [see Warnings and Precautions (5.2)]. Instruct patients not to share Hydromorphone Hydrochloride Oral Solution or Hydromorphone Hydrochloride Tablets with others and to take steps to protect Hydromorphone Hydrochloride Oral Solution or Hydromorphone Hydrochloride Tablets from theft or misuse.

Life-Threatening Respiratory Depression

Inform patients of the risk of life-threatening respiratory depression, including information that the risk is greatest when starting Hydromorphone Hydrochloride Oral Solution or Hydromorphone Hydrochloride Tablets or when the dosage is increased, and that it can occur even at recommended dosages.

Educate patients and caregivers on how to recognize respiratory depression and emphasize the importance of calling 911 or getting emergency medical help right away in the event of a known or suspected overdose [see Warnings and Precautions ( 5.3)].

Accidental Ingestion

Inform patients that accidental ingestion, especially by children, may result in respiratory depression or death [see Warnings and Precautions ( 5.3)].

Interactions with Benzodiazepines and Other CNS Depressants

Inform patients and caregivers that potentially fatal additive effects may occur if Hydromorphone Hydrochloride Oral Solution or Hydromorphone Hydrochloride Tablets are used with benzodiazepines or other CNS depressants, including alcohol (e.g., non-benzodiazepine sedative/hypnotics, anxiolytics, tranquilizers, muscle relaxants, general anesthetics, antipsychotics, gabapentinoids [gabapentin or pregabalin], and other opioids), and not to use these concomitantly unless supervised by a healthcare provider [see Warnings and Precautions (5.4), Drug Interactions (7)].

Patient Access to an Opioid Overdose Reversal Agent for the Emergency Treatment of Opioid Overdose

Inform patients and caregivers about opioid overdose reversal agents (e.g., naloxone, nalmefene). Discuss importance of having access to an opioid overdose reversal agent, especially if the patient has risk factors for overdose (e.g., concomitant use of CNS depressants, a history of opioid use disorder, or prior opioid overdose) or if there are household members (including children) or other close contacts at risk for accidental ingestion or opioid overdose.

Discuss with the patient the options for obtaining an opioid overdose reversal agent (e.g., prescription, over-the-counter, or as part of a community-based program) [see Dosage and Administration (2.2), Warnings and Precautions (5.3)].

Educate patients and caregivers on how to recognize the signs and symptoms of an overdose.

Explain to patients and caregivers that effects of opioid overdose reversal agents like naloxone and nalmefene are temporary, and that they must call 911 or get emergency medical help right away in all cases of known or suspected opioid overdose, even if an opioid overdose reversal agent is administered [see Overdosage (10)].

Advise patients and caregivers:

  • how to treat with the overdose reversal agent in the event of an opioid overdose
  • to tell family and friends about the opioid overdose reversal agent, and to keep it in a place where family and friends can access it in an emergency
  • to read the Patient Information (or other educational material) that will come with their opioid overdose reversal agent. Emphasize the importance of doing this before an opioid emergency happens, so the patient and caregiver will know what to do.

Hyperalgesia and Allodynia

Inform patients and caregivers not to increase opioid dosage without first consulting a clinician. Advise patients to seek medical attention if they experience symptoms of hyperalgesia, including worsening pain, increased sensitivity to pain, or new pain [see Warnings and Precautions (5.7), Adverse Reactions (6.2)].

Serotonin Syndrome

Inform patients that Hydromorphone Hydrochloride could cause a rare but potentially life-threatening condition called serotonin syndrome resulting from concomitant administration of serotonergic drugs. Warn patients of the symptoms of serotonin syndrome and to seek medical attention right away if symptoms develop. Instruct patients to inform their healthcare providers if they are taking, or plan to take, serotonergic medications [see Drug Interactions (7)].

MAOI Interaction

Inform patients to avoid taking Hydromorphone Hydrochloride Oral Solution or Hydromorphone Hydrochloride Tablets while using any drugs that inhibit monoamine oxidase. Patients should not start MAOIs while taking Hydromorphone Hydrochloride Oral Solution or Hydromorphone Hydrochloride Tablets [see Drug Interactions (7)].

Important Administration Instructions

Instruct patients how to properly take Hydromorphone Hydrochloride [see Dosage and Administration (2), Warnings and Precautions (5.1)].

  • Instruct patients and caregivers on how to accurately measure and take the correct dose of Hydromorphone Hydrochloride Oral Solution.
  • Strongly advise patients and caregivers to always use a graduated oral dosing syringe or measuring cup with metric units of measurements (i.e., mL) to correctly measure the prescribed amount of medication.
  • Inform patients and caregivers that oral dosing devices may be obtained from their pharmacy and to never use household teaspoons or tablespoons to measure Hydromorphone Hydrochloride Oral Solution [see Dosage and Administration (2)].
  • Advise patients and caregivers not to adjust the dose of Hydromorphone Hydrochloride Oral Solution without consulting with a physician or other healthcare professional.

Important Discontinuation Instructions

In order to avoid developing withdrawal symptoms, instruct patients not to discontinue Hydromorphone Hydrochloride Oral Solution or Hydromorphone Hydrochloride Tablets without first discussing a tapering plan with the prescriber [see Dosage and Administration ( 2.7 )].

Driving or Operating Heavy Machinery

Inform patients that Hydromorphone Hydrochloride Oral Solution or Hydromorphone Hydrochloride Tablets may impair the ability to perform potentially hazardous activities such as driving a car or operating heavy machinery. Advise patients not to perform such tasks until they know how they will react to the medication [see Warnings and Precautions (5.15)].

Constipation

Advise patients of the potential for severe constipation, including management instructions and when to seek medical attention [see Adverse Reactions (6), Clinical Pharmacology (12.2)].

Healthcare professionals can telephone Hikma Pharmaceuticals USA Inc. (1-800-962-8364) for information on this product.

Adrenal Insufficiency

Inform patients that opioids could cause adrenal insufficiency, a potentially life-threatening condition. Adrenal insufficiency may present with non-specific symptoms and signs such as nausea, vomiting, anorexia, fatigue, weakness, dizziness, and low blood pressure. Advise patients to seek medical attention if they experience a constellation of these symptoms [see Warnings and Precautions (5.9)].

Hypotension

Inform patients that Hydromorphone Hydrochloride Oral Solution or Hydromorphone Hydrochloride Tablets may cause orthostatic hypotension and syncope. Instruct patients how to recognize symptoms of low blood pressure and how to reduce the risk of serious consequences should hypotension occur (e.g., sit or lie down, carefully rise from a sitting or lying position) [see Warnings and Precautions (5.10)].

Anaphylaxis

Inform patients that anaphylaxis has been reported with ingredients contained in Hydromorphone Hydrochloride Oral Solution or Hydromorphone Hydrochloride Tablets. Advise patients how to recognize such a reaction and when to seek medical attention [see Contraindications (4), Adverse Reactions (6)].

Pregnancy

Neonatal Opioid Withdrawal Syndrome: Inform female patients of reproductive potential that use of Hydromorphone Hydrochloride Oral Solution or Hydromorphone Hydrochloride Tablets for an extended period of time during pregnancy can result in neonatal opioid withdrawal syndrome, which may be life-threatening if not recognized and treated [see Warnings and Precautions (5.5), Use in Specific Populations (8.1)].

Embryo-Fetal Toxicity: Inform female patients of reproductive potential that Hydromorphone Hydrochloride Oral Solution or Hydromorphone Hydrochloride Tablets can cause fetal harm and to inform their healthcare provider of a known or suspected pregnancy [see Use in Specific Populations (8.1), Warnings and Precautions (5.5)].

Lactation

Advise nursing mothers to carefully observe infants for increased sleepiness (more than usual), breathing difficulties, or limpness. Instruct nursing mothers to seek immediate medical care if they notice these signs [see Use in Specific Populations (8.2)].

Infertility

Inform patients that use of opioids for an extended period of time may cause reduced fertility. It is not known whether these effects on fertility are reversible [see Use in Specific Population (8.3)].

Distributed by: Hikma

Pharmaceuticals USA Inc.

Berkeley Heights, NJ 07922

C50000587/04

Revised February 2026

16 How Supplied/storage and Handling

Hydromorphone Hydrochloride Oral Solution, USP

1 mg/mL oral solution is supplied as a clear, red solution.

NDC 0054-0386-63: Bottle of 473 mL

Hydromorphone Hydrochloride Tablets, USP

4 mg tablet is supplied as a white to off-white, round, flat-faced tablet with beveled edges; debossed with “4” on one side and “54 196” debossed on the other side.

NDC 0054-0264-24: 10 x 10 Unit-Dose

NDC 0054-0264-25: Bottle of 100 Tablets

8 mg tablet is supplied as a white to off-white, round, flat-faced tablet with beveled edges; scored on one side and “54 425” debossed on the other side.

NDC 0054-0265-25: Bottle of 100 Tablets

Store at 20° to 25°C (68° to 77°F). [See USP Controlled Room Temperature.] Dispense in a tight, light-resistant, child-resistant container as defined in the USP/NF.

Store Hydromorphone Hydrochloride Oral Solution and Hydromorphone Hydrochloride Tablets securely and dispose of properly.

Package/label Principal Display Panel

NDC 0054-0386-63 1mg/mL Oral Solution , 473 mL Bottle

5.5 Neonatal Opioid Withdrawal Syndrome

Use of Hydromorphone Hydrochloride Oral Solution or Hydromorphone Hydrochloride Tablets for an extended period of time during pregnancy can result in withdrawal in the neonate. Neonatal opioid withdrawal syndrome, unlike opioid withdrawal syndrome in adults, may be life-threatening if not recognized and treated, and requires management according to protocols developed by neonatology experts. Observe newborns for signs of neonatal opioid withdrawal syndrome and manage accordingly. Advise pregnant women using opioids for an extended period of time of the risk of neonatal opioid withdrawal syndrome and ensure that appropriate treatment will be available [see Use in Specific Populations (8.1)].

2.6 Titration and Maintenance of Therapy

Individually titrate Hydromorphone Hydrochloride Oral Solution or Hydromorphone Hydrochloride Tablets to a dose that provides adequate analgesia and minimizes adverse reactions. Continually reevaluate patients receiving Hydromorphone Hydrochloride Oral Solution or Hydromorphone Hydrochloride Tablets to assess the maintenance of pain control, signs and symptoms of opioid withdrawal, and other adverse reactions, as well as to reassess for the development of addiction, abuse, or misuse [see Warnings and Precautions (5.2, 5.14)]. Frequent communication is important among the prescriber, other members of the healthcare team, the patient, and the caregiver/family during periods of changing analgesic requirements, including initial titration.

If the level of pain increases after dosage stabilization, attempt to identify the source of increased pain before increasing the Hydromorphone Hydrochloride Oral Solution or Hydromorphone Hydrochloride Tablets dosage. If after increasing the dosage, unacceptable opioid-related adverse reactions are observed (including an increase in pain after a dosage increase), consider reducing the dosage [see Warnings and Precautions (5)]. Adjust the dosage to obtain an appropriate balance between management of pain and opioid-related adverse reactions.

A supplemental dose of 5 to 15% of the total daily usage may be administered every two hours on an as-needed basis.

5.3 Life Threatening Respiratory Depression

Serious, life-threatening, or fatal respiratory depression has been reported with the use of opioids, even when used as recommended. Respiratory depression, if not immediately recognized and treated, may lead to respiratory arrest and death. Management of respiratory depression may include close observation, supportive measures, and use of opioid overdose reversal agents (e.g., naloxone, nalmefene), depending on the patient’s clinical status [see Overdosage ( 10 )]. Carbon dioxide (CO2) retention from opioid-induced respiratory depression can exacerbate the sedating effects of opioids.

While serious, life-threatening, or fatal respiratory depression can occur at any time during the use of Hydromorphone Hydrochloride Oral Solution or Hydromorphone Hydrochloride Tablets, the risk is greatest during the initiation of therapy or following a dosage increase.

To reduce the risk of respiratory depression, proper dosing and titration of Hydromorphone Hydrochloride Oral Solution or Hydromorphone Hydrochloride Tablets are essential [see Dosage and Administration ( 2 )]. Overestimating the Hydromorphone Hydrochloride Oral Solution or Hydromorphone Hydrochloride Tablets dosage when converting patients from another opioid product can result in a fatal overdose with the first dose.

Accidental ingestion of even one dose of Hydromorphone Hydrochloride Oral Solution or Hydromorphone Hydrochloride Tablets, especially by children, can result in respiratory depression and death due to an overdose of hydromorphone.

Educate patients and caregivers on how to recognize respiratory depression and emphasize the importance of calling 911 or getting emergency medical help right away in the event of a known or suspected overdose.

Opioids can cause sleep-related breathing disorders including central sleep apnea (CSA) and sleep-related hypoxemia. Opioid use increases the risk of CSA in a dose-dependent fashion. In patients who present with CSA, consider decreasing the opioid dosage using best practices for opioid taper [see Dosage and Administration ( 2.7 )].

Patient Access to an Opioid Overdose Reversal Agent for the Emergency Treatment of Opioid Overdose

Inform patients and caregivers about opioid overdose reversal agents (e.g., naloxone, nalmefene). Discuss the

importance of having access to an opioid overdose reversal agent, especially if the patient has risk factors for overdose (e.g., concomitant use of CNS depressants, a history of opioid use disorder, or prior opioid overdose) or if there are household members (including children) or other close contacts at risk for accidental ingestion or opioid overdose. The presence of risk factors for overdose should not prevent the management of pain in any patient [see Warnings and Precautions (5.2, 5.4)]. Discuss the options for obtaining an opioid overdose reversal agent (e.g., prescription, over-the-counter, or as part of a community-based program).

There are important differences among the opioid overdose reversal agents, such as route of administration, product strength, approved patient age range, and pharmacokinetics. Be familiar with these differences, as outlined in the approved labeling for those products, prior to recommending or prescribing such an agent.

Educate patients and caregivers on how to recognize respiratory depression, and how to use an opioid overdose reversal agent for the emergency treatment of opioid overdose. Emphasize the importance of calling 911 or getting emergency medical help, even if an opioid overdose reversal agent is administered [see Dosage and Administration (2.2), Warnings and Precautions (5.2, 5.4), Overdosage (10)].

5.12 Risks of Gastrointestinal Complications

Hydromorphone Hydrochloride Oral Solution or Hydromorphone Hydrochloride Tablets are contraindicated in patients with known or suspected gastrointestinal obstruction, including paralytic ileus.

The hydromorphone in Hydromorphone Hydrochloride Oral Solution or Hydromorphone Hydrochloride Tablets may cause spasm of the sphincter of Oddi. Opioids may cause increases in serum amylase. Regularly evaluate patients with biliary tract disease, including acute pancreatitis, for worsening symptoms.

Cases of opioid-induced esophageal dysfunction (OIED) have been reported in patients taking opioids. The risk of OIED may increase as the dose and/or duration of opioids increases. Regularly evaluate patients for signs and symptoms of OIED (e.g., dysphagia, regurgitation, non-cardiac chest pain) and, if necessary, adjust opioid therapy as clinically appropriate [see Clinical Pharmacology (12.2)].

5.15 Risks of Driving and Operating Machinery

Hydromorphone Hydrochloride Oral Solution or Hydromorphone Hydrochloride Tablets may impair the mental or physical abilities needed to perform potentially hazardous activities such as driving a car or operating machinery. Warn patients not to drive or operate dangerous machinery unless they are tolerant to the effects of Hydromorphone Hydrochloride Oral Solution or Hydromorphone Hydrochloride Tablets and know how they will react to the medication.

5.7 Opioid Induced Hyperalgesia and Allodynia

Opioid-Induced Hyperalgesia (OIH) occurs when an opioid analgesic paradoxically causes an increase in pain, or an increase in sensitivity to pain. This condition differs from tolerance, which is the need for increasing doses of opioids to maintain a defined effect [see Dependence (9.3)]. Symptoms of OIH include (but may not be limited to) increased levels of pain upon opioid dosage increase, decreased levels of pain upon opioid dosage decrease, or pain from ordinarily non-painful stimuli (allodynia). These symptoms may suggest OIH only if there is no evidence of underlying disease progression, opioid tolerance, opioid withdrawal, or addictive behavior.

Cases of OIH have been reported, both with short-term and longer-term use of opioid analgesics. Though the mechanism of OIH is not fully understood, multiple biochemical pathways have been implicated. Medical literature suggests a strong biologic plausibility between opioid analgesics and OIH and allodynia. If a patient is suspected to be experiencing OIH, carefully consider appropriately decreasing the dose of the current opioid analgesic or opioid rotation (safely switching the patient to a different opioid moiety) [see Dosage and Administration (2.7), Warnings and Precautions (5.14)].

8.3 Females and Males of Reproductive Potential

Infertility

Use of opioids for an extended period of time may cause reduced fertility in females and males of reproductive potential. It is not known whether these effects on fertility are reversible [see Adverse Reactions (6.2), Clinical Pharmacology (12.2), Nonclinical Toxicology (13.1)].

2.1 Important Dosage and Administration Instructions

Ensure accuracy when prescribing, dispensing, and administering Hydromorphone Hydrochloride Oral Solution to avoid dosing errors due to confusion between mg and mL, which could result in accidental overdose and death. Ensure the proper dose is communicated and dispensed. When writing prescriptions, include both the total dose in mg and the total dose in volume.

Instruct patients and caregivers on how to accurately measure and take or administer the correct dose of Hydromorphone Hydrochloride Oral Solution.

Strongly advise patients and caregivers to always use a graduated oral syringe or measuring cup, with metric units of measurements (i.e., mL), to correctly measure the prescribed amount of medication.

Inform patients and caregivers that oral dosing devices may be obtained from their pharmacy and to never use household teaspoons or tablespoons to measure Hydromorphone Hydrochloride Oral Solution.

  • Hydromorphone Hydrochloride Oral Solution and Hydromorphone Hydrochloride Tablets should be prescribed only by healthcare professionals who are knowledgeable about the use of opioids and how to mitigate the associated risks.
  • Use the lowest effective dosage for the shortest duration of time consistent with individual patient treatment goals [see Warnings and Precautions (5)]. Because the risk of overdose increases as opioid doses increase, reserve titration to higher doses of Hydromorphone Hydrochloride Oral Solution and Hydromorphone Hydrochloride Tablets for patients in whom lower doses are insufficiently effective and in whom the expected benefits of using a higher dose opioid clearly outweigh the substantial risks.
  • Many acute pain conditions (e.g., the pain that occurs with a number of surgical procedures or acute musculoskeletal injuries) require no more than a few days of an opioid analgesic. Clinical guidelines on opioid prescribing for some acute pain conditions are available.
  • There is variability in the opioid analgesic dose and duration needed to adequately manage pain due both to the cause of pain and to individual patient factors. Initiate the dosing regimen for each patient individually, taking into account the patient’s underlying cause and severity of pain, prior analgesic treatment and response, and risk factors for addiction, abuse, and misuse [see Warnings and Precautions ( 5.2 )].
  • Respiratory depression can occur at any time during opioid therapy, especially when initiating and following dosage increases with Hydromorphone Hydrochloride Oral Solution and Hydromorphone Hydrochloride Tablets. Consider this risk when selecting an initial dose and when making dose adjustments [see Warnings and Precautions (2.1, 5)].
  • Initiate treatment with Hydromorphone Hydrochloride Oral Solution in a dosing range of 2.5 mL to 10 mL,

    2.5 mg to 10 mg, every 3 to 6 hours as needed for pain, and at the lowest dose necessary to achieve adequate analgesia. Titrate the dose based upon the individual patient’s response to their initial dose of Hydromorphone Hydrochloride Oral Solution [see Dosage and Administration (2), Warnings and Precautions (5)].
  • Initiate treatment with Hydromorphone Hydrochloride Tablets in a dosing range of 2 mg to 4 mg, orally, every

    4 to 6 hours as needed for pain, and at the lowest dose necessary to achieve adequate analgesia. Titrate the dose based upon the individual patient’s response to their initial dose of Hydromorphone Hydrochloride Tablets [see Dosage and Administration (2), Warnings and Precautions (5)].
Warning: Serious and Life Threatening Risks From Use Of

Risk of Medication Errors

Ensure accuracy when prescribing, dispensing, and administering Hydromorphone Hydrochloride Oral Solution. Dosing errors due to confusion between mg and mL, and other hydromorphone oral solutions of different concentrations can result in accidental overdose and death [see Dosage and Administration ( 2.1 ), Warnings and Precautions ( 5.1 )].

Addiction, Abuse, and Misuse

Because the use of Hydromorphone Hydrochloride Oral Solution and Hydromorphone Hydrochloride Tablets expose patients and other users to the risks of opioid addiction, abuse, and misuse, which can lead to overdose and death, assess each patient’s risk prior to prescribing and reassess all patients regularly for the development of these behaviors and conditions [see Warnings and Precautions ( 5.2 )].

Life-Threatening Respiratory Depression

Serious, life-threatening, or fatal respiratory depression may occur with use of Hydromorphone Hydrochloride Oral Solution and Hydromorphone Hydrochloride Tablets, especially during initiation or following a dosage increase. To reduce the risk of respiratory depression, proper dosing and titration of Hydromorphone Hydrochloride Oral Solution and Hydromorphone Hydrochloride Tablets are essential [see Warnings and Precautions (5.3)].

Accidental Ingestion

Accidental ingestion of even one dose of Hydromorphone Hydrochloride Oral Solution or Hydromorphone Hydrochloride Tablets, especially by children, can result in a fatal overdose of hydromorphone [see Warnings and Precautions (5.3)].

Risks From Concomitant Use With Benzodiazepines Or Other CNS Depressants

Concomitant use of opioids with benzodiazepines or other central nervous system (CNS) depressants, including alcohol, may result in profound sedation, respiratory depression, coma, and death. Reserve concomitant prescribing of Hydromorphone Hydrochloride Oral Solution and Hydromorphone Hydrochloride Tablets and benzodiazepines or other CNS depressants for use in patients for whom alternative treatment options are inadequate [see Warnings and Precautions (5.4), Drug Interactions (7)].

Neonatal Opioid Withdrawal Syndrome (NOWS)

Advise pregnant women using opioids for an extended period of time of the risk of Neonatal Opioid Withdrawal Syndrome, which may be life-threatening if not recognized and treated. Ensure that management by neonatology experts will be available at delivery [see Warnings and Precautions (5.5)].

Opioid Analgesic Risk Evaluation and Mitigation Strategy (REMS)

Healthcare providers are strongly encouraged to complete a REMS-compliant education program and to counsel patients and caregivers on serious risks, safe use, and the importance of reading the Medication Guide with each prescription [see Warnings and Precautions (5.6)].

13.1 Carcinogenesis, Mutagenesis, Impairment of Fertility

Carcinogenesis

Long term studies in animals to evaluate the carcinogenic potential of hydromorphone have not been conducted.

Mutagenesis

Hydromorphone was positive in the mouse lymphoma assay in the presence of metabolic activation, but was negative in the mouse lymphoma assay in the absence of metabolic activation. Hydromorphone was not mutagenic in the in vitro bacterial reverse mutation assay (Ames assay). Hydromorphone was not clastogenic in either the in vitro human lymphocyte chromosome aberration assay or the in vivo mouse micronucleus assay.

Impairment of Fertility

Reduced implantation sites and viable fetuses were noted at 2.1 times the human daily dose of 32 mg/day in a study in which female rats were treated orally with 1.75, 3.5, or 7 mg/kg/day hydromorphone hydrochloride (0.5, 1.1, or 2.1 times a human daily dose of 24 mg/day (HDD) based on body surface area) beginning 14 days prior to mating through Gestation Day 7 and male rats were treated with the same hydromorphone hydrochloride doses beginning 28 days prior to and throughout mating.

2.5 Dosage Modifications in Patients With Renal Impairment

Initiate treatment with one-fourth to one-half the usual Hydromorphone Hydrochloride starting dose depending on the degree of impairment [see Use in Specific Populations (8.7), Clinical Pharmacology (12.3)].

2.4 Dosage Modifications in Patients With Hepatic Impairment

Initiate treatment with one-fourth to one-half the usual Hydromorphone Hydrochloride starting dose depending on the degree of impairment [see Use in Specific Populations (8.6), Clinical Pharmacology (12.3)].

5.1 Risk of Accidental Overdose and Death Due to Medication Errors

Dosing errors can result in accidental overdose and death. Avoid dosing errors that may result from confusion between mg and mL and confusion with other hydromorphone oral solutions of different concentrations, when prescribing, dispensing, and administering Hydromorphone Hydrochloride Oral Solution. Ensure that the dose is communicated clearly and dispensed accurately.

Instruct patients and caregivers on how to measure and take or administer the correct dose of Hydromorphone Hydrochloride Oral Solution and to use extreme caution when measuring the dose. Strongly advise patients and caregivers to obtain and always use a graduated device that can measure and deliver the prescribed dose accurately, and to never use household teaspoons or tablespoons to measure a dose because these are not accurate measuring devices.

5.13 Increased Risk of Seizures in Patients With Seizure Disorders

The hydromorphone in Hydromorphone Hydrochloride Oral Solution or Hydromorphone Hydrochloride Tablets may increase the frequency of seizures in patients with seizure disorders, and may increase the risk of seizures occurring in other clinical settings associated with seizures. Regularly evaluate patients with a history of seizure disorders for worsened seizure control during Hydromorphone Hydrochloride Oral Solution or Hydromorphone Hydrochloride Tablets therapy.

5.6 Opioid Analgesic Risk Evaluation and Mitigation Strategy (rems)

To ensure that the benefits of opioid analgesics outweigh the risks of addiction, abuse, and misuse, the Food and Drug Administration (FDA) has required a Risk Evaluation and Mitigation Strategy (REMS) for these products. Under the requirements of the REMS, drug companies with approved opioid analgesic products must make REMS-compliant education programs available to healthcare providers. Healthcare providers are strongly encouraged to do all of the following:

  • Complete a REMS-compliant education program offered by an accredited provider of continuing education (CE) or another education program that includes all the elements of the FDA Education Blueprint for Health Care Providers Involved in the Management or Support of Patients with Pain.
  • Discuss the safe use, serious risks, and proper storage and disposal of opioid analgesics with patients and/or their caregivers every time these medicines are prescribed. The Patient Counseling Guide (PCG) can be obtained at this link: www.fda.gov/OpioidAnalgesicREMSPCG.
  • Emphasize to patients and their caregivers the importance of reading the Medication Guide that they will receive from their pharmacist every time an opioid analgesic is dispensed to them.
  • Consider using other tools to improve patient, household, and community safety, such as patient-prescriber agreements that reinforce patient-prescriber responsibilities.

To obtain further information on the opioid analgesic REMS and for a list of accredited REMS CME/CE, call 1-800-503-0784, or log on to www.opioidanalgesicrems.com. The FDA Blueprint can be found at www.fda.gov/OpioidAnalgesicREMSBlueprint.

5.4 Risks From Concomitant Use With Benzodiazepines Or Other Cns Depressants

Profound sedation, respiratory depression, coma, and death may result from the concomitant use of Hydromorphone Hydrochloride Oral Solution and Hydromorphone Hydrochloride Tablets with benzodiazepines and/or other CNS depressants, including alcohol (e.g., non-benzodiazepine sedatives/hypnotics, anxiolytics, tranquilizers, muscle relaxants,

general anesthetics, antipsychotics, gabapentinoids [gabapentin or pregabalin], and other opioids). Because of these risks,

reserve concomitant prescribing of these drugs for use in patients for whom alternative treatment options are inadequate.

Observational studies have demonstrated that concomitant use of opioid analgesics and benzodiazepines increases the risk of drug-related mortality compared to use of opioid analgesics alone. Because of similar pharmacological properties, it is reasonable to expect similar risk with the concomitant use of other CNS depressant drugs with opioid analgesics [see Drug Interactions (7)].

If the decision is made to prescribe a benzodiazepine or other CNS depressant concomitantly with an opioid analgesic, prescribe the lowest effective dosages and minimum durations of concomitant use. In patients already receiving an opioid analgesic, prescribe a lower initial dose of the benzodiazepine or other CNS depressant than indicated in the absence of an opioid, and titrate based on clinical response. If an opioid analgesic is initiated in a patient already taking a benzodiazepine or other CNS depressant, prescribe a lower initial dose of the opioid analgesic, and titrate based on clinical response. Inform patients and caregivers of this potential interaction and educate them on the signs and symptoms of respiratory depression (including sedation).

If concomitant use is warranted, consider recommending or prescribing an opioid overdose reversal agent [see Dosage and Administration (2.2), Warnings and Precautions (5.3), Overdosage (10)].

Advise both patients and caregivers about the risks of respiratory depression and sedation when Hydromorphone Hydrochloride Oral Solution or Hydromorphone Hydrochloride Tablets are used with benzodiazepines or other CNS depressants (including alcohol and illicit drugs). Advise patients not to drive or operate heavy machinery until the effects of concomitant use of the benzodiazepine or other CNS depressant have been determined. Screen patients for risk of substance use disorders, including opioid abuse and misuse, and warn them of the risk for overdose and death associated with the use of additional CNS depressants including alcohol and illicit drugs [see Drug Interactions (7)].

2.2 Patient Access to An Opioid Overdose Reversal Agent for the Emergency Treatment of Opioid Overdose

Inform patients and caregivers about opioid overdose reversal agents (e.g., naloxone, nalmefene). Discuss the importance of having access to an opioid overdose reversal agent, especially if the patient has risk factors for overdose (e.g., concomitant use of CNS depressants, a history of opioid use disorder, or prior opioid overdose) or if there are household members (including children) or other close contacts at risk for accidental ingestion or opioid overdose. The presence of risk factors for overdose should not prevent the management of pain in any patient [see Warnings and Precautions (5.2, 5.3, 5.4)].

Discuss the options for obtaining an opioid overdose reversal agent (e.g., prescription, over-the-counter, or as part of a community-based program) [see Warnings and Precautions (5.3)].

There are important differences among the opioid overdose reversal agents, such as route of administration, product strength, approved patient age range, and pharmacokinetics. Be familiar with these differences, as outlined in the approved labeling for those products, prior to recommending or prescribing such an agent.

5.11 Risks of Use in Patients With Increased Intracranial Pressure, Brain Tumors, Head Injury, Or Impaired Consciousness

In patients who may be susceptible to the intracranial effects of CO2 retention (e.g., those with evidence of increased intracranial pressure or brain tumors), Hydromorphone Hydrochloride Oral Solution or Hydromorphone Hydrochloride Tablets may reduce respiratory drive, and the resultant CO2 retention can further increase intracranial pressure. Monitor such patients for signs of sedation and respiratory depression, particularly when initiating therapy with Hydromorphone Hydrochloride Oral Solution or Hydromorphone Hydrochloride Tablets.

Opioids may also obscure the clinical course in a patient with a head injury. Avoid the use of Hydromorphone Hydrochloride in patients with impaired consciousness or coma.

2.7 Safe Reduction Or Discontinuation of Hydromorphone Hydrochloride Oral Solution Or Hydromorphone Hydrochloride Tablets

Do not rapidly reduce or abruptly discontinue Hydromorphone Hydrochloride Oral Solution and Hydromorphone Hydrochloride Tablets in patients who may be physically dependent on opioids. Rapid reduction or abrupt discontinuation of opioid analgesics in patients who are physically dependent on opioids has resulted in serious withdrawal symptoms, uncontrolled pain, and suicide. Rapid reduction or abrupt discontinuation has also been associated with attempts to find other sources of opioid analgesics, which may be confused with drug-seeking for abuse. Patients may also attempt to treat their pain or withdrawal symptoms with illicit opioids, such as heroin, and other substances.

When a decision has been made to decrease the dose or discontinue therapy in an opioid dependent patient taking Hydromorphone Hydrochloride Oral Solution and Hydromorphone Hydrochloride Tablets, there are a variety of factors that should be considered, including the total daily dose of opioid (including Hydromorphone Hydrochloride Oral Solution and Hydromorphone Hydrochloride Tablets) the patient has been taking, the duration of treatment, the type of pain being treated, and the physical and psychological attributes of the patient. It is important to ensure ongoing care of the patient and to agree on an appropriate tapering schedule and follow-up plan so that patient and provider goals and expectations are clear and realistic. When opioid analgesics are being discontinued due to a suspected substance use disorder, evaluate and treat the patient, or refer for evaluation and treatment of the substance use disorder. Treatment should include evidence-based approaches, such as medication assisted treatment of opioid use disorder. Complex patients with co-morbid pain and substance use disorders may benefit from referral to a specialist.

There are no standard opioid tapering schedules that are suitable for all patients. Good clinical practice dictates a patient-specific plan to taper the dose of the opioid gradually. For patients on Hydromorphone Hydrochloride Oral Solution and Hydromorphone Hydrochloride Tablets who are physically opioid-dependent, initiate the taper by a small enough increment (e.g., no greater than 10% to 25% of the total daily dose) to avoid withdrawal symptoms, and proceed with dose-lowering at an interval of every 2 to 4 weeks. Patients who have been taking opioids for briefer periods of time may tolerate a more rapid taper.

It may be necessary to provide the patient with lower dosage strengths to accomplish a successful taper. Reassess the patient frequently to manage pain and withdrawal symptoms, should they emerge. Common withdrawal symptoms include restlessness, lacrimation, rhinorrhea, yawning, perspiration, chills, myalgia, and mydriasis. Other signs and symptoms also may develop, including irritability, anxiety, backache, joint pain, weakness, abdominal cramps, insomnia, nausea, anorexia, vomiting, diarrhea, or increased blood pressure, respiratory rate, or heart rate. If withdrawal symptoms arise, it may be necessary to pause the taper for a period of time or raise the dose of the opioid analgesic to the previous dose, and then proceed with a slower taper. In addition, evaluate patients for any changes in mood, emergence of suicidal thoughts, or use of other substances.

When managing patients taking opioid analgesics, particularly those who have been treated for an extended period of time, and/or with high doses for chronic pain, ensure that a multimodal approach to pain management, including mental health support (if needed), is in place prior to initiating an opioid analgesic taper. A multimodal approach to pain management may optimize the treatment of chronic pain, as well as assist with the successful tapering of the opioid analgesic [see Warnings and Precautions (5.14), Drug Abuse and Dependence (9.3)].

5.8 Life Threatening Respiratory Depression in Patients With Chronic Pulmonary Disease Or in Elderly, Cachectic, Or Debilitated Patients

The use of Hydromorphone Hydrochloride Oral Solution or Hydromorphone Hydrochloride Tablets in patients with acute or severe bronchial asthma in an unmonitored setting or in the absence of resuscitative equipment is contraindicated.

Patients with Chronic Pulmonary Disease

Hydromorphone Hydrochloride Oral Solution- or Hydromorphone Hydrochloride Tablet-treated patients with significant chronic obstructive pulmonary disease or cor pulmonale, and those with a substantially decreased respiratory reserve, hypoxia, hypercapnia, or pre-existing respiratory depression are at increased risk of decreased respiratory drive including apnea, even at recommended dosages of Hydromorphone Hydrochloride Oral Solution or Hydromorphone Hydrochloride Tablets [see Warnings and Precautions (5.3)].

Elderly, Cachectic, or Debilitated Patients

Life-threatening respiratory depression is more likely to occur in elderly, cachectic, or debilitated patients because they may have altered pharmacokinetics or altered clearance compared to younger, healthier patients [see Warnings and Precautions (5.3)].

Regularly evaluate patients, particularly when initiating and titrating Hydromorphone Hydrochloride Oral Solution or Hydromorphone Hydrochloride Tablets and when Hydromorphone Hydrochloride is given concomitantly with other drugs that depress respiration [see Warnings and Precautions (5.3, 5.4), Drug Interactions (7)]. Alternatively, consider the use of non-opioid analgesics in these patients.


Structured Label Content

Section 42231-1 (42231-1)

Medication Guide

Hydromorphone Hydrochloride

(hye'' droe mor' fone hye'' droe klor' ide)

Tablets and Oral Solution USP, CII

Rx only

Hydromorphone Hydrochloride Tablets and Hydromorphone Hydrochloride Oral Solution are:

  • Strong prescription pain medicines that contain an opioid (narcotic) that is used to manage pain severe enough to require an opioid analgesic, when other pain treatments such as non-opioid pain medicines do not treat your pain well enough or you cannot tolerate them.
  • Opioid pain medicines that can put you at risk for overdose and death. Even if you take your dose correctly as prescribed, you are at risk for opioid addiction, abuse, and misuse that can lead to death.

Important information about Hydromorphone Hydrochloride:

  • Get emergency help or call 911 right away if you take too much Hydromorphone Hydrochloride Tablets or Hydromorphone Hydrochloride Oral Solution (overdose). When you first start taking Hydromorphone Hydrochloride Tablets or Hydromorphone Hydrochloride Oral Solution, when your dose is changed, or if you take too much (overdose), serious or life-threatening breathing problems that can lead to death may occur. Ask your healthcare provider about medicines like naloxone or nalmefene that can be used in an emergency to reverse an opioid overdose.
  • Taking Hydromorphone Hydrochloride Tablets or Hydromorphone Hydrochloride Oral Solution with other opioid medicines, benzodiazepines, gabapentinoids (gabapentin or pregabalin), alcohol, or other central nervous system depressants (including street drugs) can cause severe drowsiness, decreased awareness, breathing problems, coma, and death.
  • Never give anyone else your Hydromorphone Hydrochloride Tablets or Hydromorphone Hydrochloride Oral Solution. They could die from taking it. Selling or giving away Hydromorphone Hydrochloride Tablets or Hydromorphone Hydrochloride Oral Solution is against the law.
  • Store Hydromorphone Hydrochloride Tablets or Hydromorphone Hydrochloride Oral Solution securely, out of sight and reach of children, and in a location not accessible by others, including visitors to the home.

Do not take Hydromorphone Hydrochloride Tablets or Hydromorphone Hydrochloride Oral Solution if

you have:

  • Severe asthma, trouble breathing, or other lung problems.
  • A bowel blockage or have narrowing of the stomach or intestines.

Before taking Hydromorphone Hydrochloride Tablets or Hydromorphone Hydrochloride Oral Solution, tell your healthcare provider if you have a history of:

  • head injury, seizures • liver, kidney, thyroid problems
  • problems urinating • pancreas or gallbladder problems
  • abuse of street or prescription drugs, alcohol addiction, opioid overdose, or mental health problems

Tell your healthcare provider if you are:

  • Noticing your pain getting worse. If your pain gets worse after you take Hydromorphone Hydrochloride, do not take more of Hydromorphone Hydrochloride without first talking to your healthcare provider. Talk to your healthcare provider if the pain that you have increases, if you feel more sensitive to pain, or if you have new pain after taking Hydromorphone Hydrochloride.
  • Pregnant or planning to become pregnant. Use of Hydromorphone Hydrochloride Tablets and Hydromorphone Hydrochloride Oral Solution for an extended period of time during pregnancy can cause withdrawal symptoms in your newborn baby that could be life-threatening if not recognized and treated.
  • Breastfeeding. Hydromorphone Hydrochloride Tablets and Hydromorphone Hydrochloride Oral Solution pass into breast milk and may harm your baby. Carefully observe infants for increased sleepiness (more than usual), breathing difficulties, or limpness. Seek immediate medical care if you notice these signs.
  • Living in a household where there are small children or someone who has abused street or prescription drugs.
  • Taking prescription or over-the-counter medicines, vitamins, or herbal supplements. Taking Hydromorphone Hydrochloride with certain other medicines can cause serious side effects that could lead to death.

When taking Hydromorphone Hydrochloride:

  • Do not change your dose. Take Hydromorphone Hydrochloride exactly as prescribed by your healthcare provider. Use the lowest dose possible for the shortest time needed.
  • For acute (short-term) pain, you may only need to take Hydromorphone Hydrochloride for a few days. You may have some Hydromorphone Hydrochloride left over that you did not use. See disposal information at the bottom of this section for directions on how to safely throw away (dispose of) your unused Hydromorphone Hydrochloride.
  • Do not take more than your prescribed dose. If you miss a dose, take your next dose at your usual time.
  • Call your healthcare provider if the dose you are taking does not control your pain.
  • If you have been taking Hydromorphone Hydrochloride Tablets or Hydromorphone Hydrochloride Oral Solution regularly, do not stop taking Hydromorphone Hydrochloride Tablets or Hydromorphone Hydrochloride Oral Solution without talking to your healthcare provider.
  • Dispose of expired, unwanted, or unused Hydromorphone Hydrochloride Tablets or Hydromorphone Hydrochloride Oral Solution by promptly flushing down the toilet, if a drug take-back option is not readily available. Visit www.fda.gov/drugdisposal for additional information on disposal of unused medicines.

While taking Hydromorphone Hydrochloride, DO NOT:

  • Drive or operate heavy machinery until you know how Hydromorphone Hydrochloride Tablets or Hydromorphone Hydrochloride Oral Solution affect you. Hydromorphone Hydrochloride can make you sleepy, dizzy, or lightheaded.
  • Drink alcohol or use prescription or over-the-counter medicines that contain alcohol. Using products containing alcohol during treatment with Hydromorphone Hydrochloride Tablets or Hydromorphone Hydrochloride Oral Solution may cause you to overdose and die.

The possible side effects of Hydromorphone Hydrochloride Tablets and Hydromorphone Hydrochloride Oral Solution:

  • Constipation, nausea, sleepiness, vomiting, tiredness, headache, dizziness, abdominal pain. Call your healthcare provider if you have any of these symptoms and they are severe.

Get emergency medical help or call 911 right away if you have:

  • Trouble breathing, shortness of breath, fast heartbeat, chest pain, swelling of your face, tongue, or throat, extreme drowsiness, light-headedness when changing positions, feeling faint, agitation, high body temperature, trouble walking, stiff muscles, or mental changes such as confusion.

These are not all the possible side effects of Hydromorphone Hydrochloride Tablets and Hydromorphone Hydrochloride Oral Solution. Call your healthcare provider for medical advice about side effects. You may report side effects to FDA at 1-800-FDA-1088. For more information, go to dailymed.nlm.nih.gov.

Distributed by: Hikma

Pharmaceuticals USA Inc.


Berkeley Heights, NJ 07922

http://hikma.com or call 1-800-962-8364

This Medication Guide has been approved by the U.S. Food and Drug Administration.

C50000587/04

Revised February 2026

Section 43683-2 (43683-2)

Boxed Warning

12/2025

Indications and Usage (1)

12/2025

Dosage and Administration (2.2)

12/2025

Warnings and Precautions (5.2, 5.3, 5.4, 5.12, 5.14 )

12/2025

9.2 Abuse

Hydromorphone Hydrochloride Oral Solution and Hydromorphone Hydrochloride Tablets contain hydromorphone, a substance with a high potential for misuse and abuse, which can lead to the development of substance use disorder, including addiction [see Warnings and Precautions (5.2)].

Misuse is the intentional use, for therapeutic purposes, of a drug by an individual in a way other than prescribed by a healthcare provider or for whom it was not prescribed.

Abuse is the intentional, non-therapeutic use of a drug, even once, for its desirable psychological or physiological effects.

Drug addiction is a cluster of behavioral, cognitive, and physiological phenomena that may include a strong desire to take the drug, difficulties in controlling drug use (e.g., continuing drug use despite harmful consequences, giving a higher priority to drug use than other activities and obligations), and possible tolerance or physical dependence.

Misuse and abuse of Hydromorphone Hydrochloride increases risk of overdose, which may lead to central nervous system and respiratory depression, hypotension, seizures, and death. The risk is increased with concurrent abuse of Hydromorphone Hydrochloride with alcohol and/or other CNS depressants. Abuse of and addiction to opioids in some individuals may not be accompanied by concurrent tolerance and symptoms of physical dependence. In addition, abuse of opioids can occur in the absence of addiction.

All patients treated with opioids require careful and frequent reevaluation for signs of misuse, abuse, and addiction, because use of opioid analgesic products carries the risk of addiction even under appropriate medical use. Patients at high risk of Hydromorphone Hydrochloride abuse include those with a history of prolonged use of any opioid, including products containing hydromorphone, those with a history of drug or alcohol abuse, or those who use Hydromorphone Hydrochloride in combination with other abused drugs.

“Drug-seeking” behavior is very common in persons with substance use disorders. Drug-seeking tactics include emergency calls or visits near the end of office hours, refusal to undergo appropriate examination, testing, or referral, repeated “loss” of prescriptions, tampering with prescriptions, and reluctance to provide prior medical records or contact information for other treating healthcare provider(s). “Doctor shopping” (visiting multiple prescribers to obtain additional prescriptions) is common among people who abuse drugs and people with substance use disorder. Preoccupation with achieving adequate pain relief can be appropriate behavior in a patient with inadequate pain control.

Hydromorphone Hydrochloride, like other opioids, can be diverted for nonmedical use into illicit channels of distribution. Careful record-keeping of prescribing information, including quantity, frequency, and renewal requests, as required by state and federal law, is strongly advised.

Proper assessment of the patient, proper prescribing practices, periodic reevaluation of therapy, and proper dispensing and storage are appropriate measures that help to limit abuse of opioid drugs.

Risks Specific to Abuse of Hydromorphone Hydrochloride

Abuse of Hydromorphone Hydrochloride Oral Solution or Hydromorphone Hydrochloride Tablets poses a risk of overdose and death. The risk is increased with concurrent use of Hydromorphone Hydrochloride with alcohol and/or other CNS depressants.

Hydromorphone Hydrochloride Oral Solution and Hydromorphone Hydrochloride Tablets are approved for oral use only.

Parenteral drug abuse is commonly associated with transmission of infectious diseases such as hepatitis and HIV.

10 Overdosage (10 OVERDOSAGE)

Clinical Presentation

Acute overdose with hydromorphone can be manifested by respiratory depression, somnolence progressing to stupor or coma, skeletal muscle flaccidity, cold and clammy skin, constricted pupils, and, in some cases, pulmonary edema, bradycardia, hypotension, hypoglycemia, partial or complete airway obstruction, atypical snoring, and death. Marked mydriasis rather than miosis may be seen with hypoxia in overdose situations [see Clinical Pharmacology (12.2)].

Toxic leukoencephalopathy has been reported after opioid overdose and can present hours, days, or weeks after apparent recovery from the initial intoxication.

Treatment of Overdose

In case of overdose, priorities are the reestablishment of a patent and protected airway and institution of assisted or controlled ventilation, if needed. Employ other supportive measures (including oxygen and vasopressors) in the management of circulatory shock and pulmonary edema as indicated. Cardiac arrest or arrhythmias will require advanced life-support measures.

For clinically significant respiratory or circulatory depression secondary to opioid overdose, administer an opioid overdose reversal agent such as naloxone or nalmefene.

Because the duration of opioid reversal is expected to be less than the duration of action of hydromorphone in Hydromorphone Hydrochloride Oral Solution or Hydromorphone Hydrochloride Tablets, carefully monitor the patient until spontaneous respiration is reliably reestablished. If the response to an opioid overdose reversal agent is suboptimal or only brief in nature, administer additional reversal agent as directed by the product’s prescribing information.

In an individual physically dependent on opioids, administration of the recommended usual dosage of the opioid overdose reversal agent will precipitate an acute withdrawal syndrome. The severity of the withdrawal symptoms experienced will depend on the degree of physical dependence and the dose of the reversal agent administered. If a decision is made to treat serious respiratory depression in the physically dependent patient, administration of the reversal agent should be initiated with care and by titration with smaller than usual doses of the reversal agent.

5.16 Sulfites

Hydromorphone Hydrochloride Oral Solution and Hydromorphone Hydrochloride Tablets contain sodium metabisulfite, a sulfite that may cause allergic-type reactions including anaphylactic symptoms and life-threatening or less severe asthmatic episodes in certain susceptible people. The overall prevalence of sulfite sensitivity in the general population is unknown and probably low. Sulfite sensitivity is seen more frequently in asthmatic than in nonasthmatic people. Use of Hydromorphone Hydrochloride Oral Solution and Hydromorphone Hydrochloride Tablets is contraindicated in patients with hypersensitivity to sulfite-containing medications.

8.1 Pregnancy

Risk Summary

Use of opioid analgesics for an extended period of time during pregnancy may cause neonatal opioid withdrawal syndrome [see Warnings and Precautions (5.5)]. There are no available data with Hydromorphone Hydrochloride in pregnant women to inform a drug-associated risk for major birth defects and miscarriage.

In animal reproduction studies, reduced postnatal survival of pups, and decreased were noted following oral treatment of pregnant rats with hydromorphone during gestation and through lactation at doses 0.8 times the human daily dose of 24 mg/day (HDD), respectively. In published studies, neural tube defects were noted following subcutaneous injection of hydromorphone to pregnant hamsters at doses 6.4 times the HDD and soft tissue and skeletal abnormalities were noted following subcutaneous continuous infusion of 3 times the HDD to pregnant mice. No malformations were noted at 4 or 40.5 times the HDD in pregnant rats or rabbits, respectively [see Data]. Based on animal data, advise pregnant women of the potential risk to a fetus.

The background risk of major birth defects and miscarriage for the indicated population is unknown. All pregnancies have a background risk of birth defect, loss, or other adverse outcomes. In the U.S. general population, the estimated background risk of major birth defects and miscarriage in clinically recognized pregnancies is 2 to 4% and 15 to 20%, respectively.

Clinical Considerations

Fetal/Neonatal Adverse Reactions: Use of opioid analgesics for an extended period of time during pregnancy for medical or nonmedical purposes can result in physical dependence in the neonate and neonatal opioid withdrawal syndrome shortly after birth.

Neonatal opioid withdrawal syndrome presents as irritability, hyperactivity and abnormal sleep pattern, high pitched cry, tremor, vomiting, diarrhea and failure to gain weight. The onset, duration, and severity of neonatal opioid withdrawal syndrome vary based on the specific opioid used, duration of use, timing and amount of last maternal use, and rate of elimination of the drug by the newborn. Observe newborns for symptoms of neonatal opioid withdrawal syndrome and manage accordingly [see Warnings and Precautions (5.5)].

Labor or Delivery: Opioids cross the placenta and may produce respiratory depression and psycho-physiologic effects in neonates. An opioid overdose reversal agent, such as naloxone or nalmefene, must be available for reversal of opioid-induced respiratory depression in the neonate. Hydromorphone Hydrochloride Oral Solution or Hydromorphone Hydrochloride Tablets is not recommended for use in pregnant women during or immediately prior to labor, when other analgesic techniques are more appropriate. Opioid analgesics, including Hydromorphone Hydrochloride Oral Solution or Hydromorphone Hydrochloride Tablets, can prolong labor through actions which temporarily reduce the strength, duration, and frequency of uterine contractions. However, this effect is not consistent and may be offset by an increased rate of cervical dilation, which tends to shorten labor. Monitor neonates exposed to opioid analgesics during labor for signs of excess sedation and respiratory depression.

Data

Animal Data: Pregnant rats were treated with hydromorphone hydrochloride from Gestation Day 6 to 17 via oral gavage doses of 1, 5, or 10 mg/kg/day (0.4, 2, or 4 times the HDD of 24 mg based on body surface area, respectively). Maternal toxicity was noted in all treatment groups (reduced food consumption and body weights in the two highest dose groups). There was no evidence of malformations or embryotoxicity reported.

Pregnant rabbits were treated with hydromorphone hydrochloride from Gestation Day 7 to 19 via oral gavage doses of 10, 25, or 50 mg/kg/day (8.1, 20.3, or 40.5 times the HDD of 24 mg based on body surface area, respectively). Maternal toxicity was noted in the two highest dose groups (reduced food consumption and body weights). There was no evidence of malformations or embryotoxicity reported.

In a published study, neural tube defects (exencephaly and cranioschisis) were noted following subcutaneous administration of hydromorphone hydrochloride (19 to 258 mg/kg) on Gestation Day 8 to pregnant hamsters (6.4 to 87.2 times the HDD of 24 mg/day based on body surface area). The findings cannot be clearly attributed to maternal toxicity. No neural tube defects were noted at 14 mg/kg (4.7 times the human daily dose of 24 mg/day).

In a published study, CF-1 mice were treated subcutaneously with continuous infusion of 7.5, 15, or 30 mg/kg/day hydromorphone hydrochloride (1.5, 3, or 6.1 times the human daily dose of 24 mg based on body surface area) via implanted osmotic pumps during organogenesis (Gestation Days 7 to 10). Soft tissue malformations (cryptorchidism, cleft palate, malformed ventricles and retina), and skeletal variations (split supraoccipital, checkerboard and split sternebrae, delayed ossification of the paws, and ectopic ossification sites) were observed at doses 3 times the human dose of 24 mg/day based on body surface area. The findings cannot be clearly attributed to maternal toxicity.

Increased pup mortality and decreased pup body weights were noted at 0.8 and 2 times the human daily dose of 24 mg in a study in which pregnant rats were treated with hydromorphone hydrochloride from Gestation Day 7 to Lactation Day 20 via oral gavage doses of 0, 0.5, 2, or 5 mg/kg/day (0.2, 0.8, or 2 times the HDD of 24 mg based on body surface area, respectively). Maternal toxicity (decreased food consumption and body weight gain) was also noted at the two highest doses tested.

8.2 Lactation

Risk Summary

Low levels of opioid analgesics have been detected in human milk. The developmental and health benefits of breastfeeding should be considered along with the mother’s clinical need for Hydromorphone Hydrochloride Oral Solution or Hydromorphone Hydrochloride Tablets and any potential adverse effects on the breastfed infant from Hydromorphone Hydrochloride Oral Solution or Hydromorphone Hydrochloride Tablets or from the underlying maternal condition.

Clinical Considerations

Monitor infants exposed to Hydromorphone Hydrochloride through breast milk for excess sedation and respiratory depression. Withdrawal symptoms can occur in breastfed infants when maternal administration of hydromorphone is stopped, or when breastfeeding is stopped.

11 Description (11 DESCRIPTION)

Hydromorphone hydrochloride, a hydrogenated ketone of morphine, is an opioid agonist. Hydromorphone hydrochloride, USP is a white to off-white powder. It is soluble in water and sparingly soluble in alcohol. The chemical name of hydromorphone hydrochloride is 4,5α-Epoxy-3-hydroxy-17-methylmorphinan-6-one hydrochloride. The structural formula is:

  •  
  •  
    C17H19NO3 ●HCl M.W. 321.80

Each Hydromorphone Hydrochloride Tablet, USP for oral administration, contains 4 mg or 8 mg hydromorphone hydrochloride, USP. In addition, the tablets include lactose anhydrous and magnesium stearate. Hydromorphone Hydrochloride Tablets, USP may contain traces of sodium metabisulfite.

Each 5 mL (1 teaspoon) of Hydromorphone Hydrochloride Oral Solution, USP contains 5 mg of hydromorphone hydrochloride, USP. In addition, other ingredients include FD&C Red No. 40, methyl paraben, propylene glycol, propylparaben, purified water, raspberry blend, saccharin sodium and sorbitol solution. Hydromorphone Hydrochloride Oral Solution, USP may contain traces of sodium metabisulfite.

9.3 Dependence

Both tolerance and physical dependence can develop during use of opioid therapy.

Tolerance is a physiological state characterized by a reduced response to a drug after repeated administration (i.e., a higher dose of a drug is required to produce the same effect that was once obtained at a lower dose).

Physical dependence is a state that develops as a result of a physiological adaptation in response to repeated drug use, manifested by withdrawal signs and symptoms after abrupt discontinuation or a significant dose reduction of a drug.

Withdrawal may be precipitated through the administration of drugs with opioid antagonist activity (e.g., naloxone, nalmefene), mixed agonist/antagonist analgesics (e.g., pentazocine, butorphanol, nalbuphine), or partial agonists (e.g., buprenorphine). Physical dependence may not occur to a clinically significant degree until after several days to weeks of continued use.

Do not rapidly reduce or abruptly discontinue Hydromorphone Hydrochloride Oral Solution and Hydromorphone Hydrochloride Tablets in a patient physically dependent on opioids. Rapid tapering of Hydromorphone Hydrochloride Oral Solution and Hydromorphone Hydrochloride Tablets in a patient physically dependent on opioids may lead to serious withdrawal symptoms, uncontrolled pain, and suicide. Rapid discontinuation has also been associated with attempts to find other sources of opioid analgesics, which may be confused with drug-seeking for abuse.

When discontinuing Hydromorphone Hydrochloride Oral Solution and Hydromorphone Hydrochloride Tablets, gradually taper the dosage using a patient-specific plan that considers the following: the dose of Hydromorphone Hydrochloride Oral Solution and Hydromorphone Hydrochloride Tablets the patient has been taking, the duration of treatment, and the physical and psychological attributes of the patient. To improve the likelihood of a successful taper and minimize withdrawal symptoms, it is important that the opioid tapering schedule is agreed upon by the patient. In patients taking opioids for an extended period of time at high doses, ensure that a multimodal approach to pain management, including mental health support (if needed), is in place prior to initiating an opioid analgesic taper [see Dosage and Administration ( 2.7 ), Warnings and Precautions (5.14)].

Infants born to mothers physically dependent on opioids will also be physically dependent and may exhibit respiratory difficulties and withdrawal signs [see Use in Specific Populations ( 8.1)].

5.14 Withdrawal

Do not rapidly reduce or abruptly discontinue Hydromorphone Hydrochloride Oral Solution or Hydromorphone Hydrochloride Tablets in a patient physically dependent on opioids. When discontinuing Hydromorphone Hydrochloride Oral Solution or Hydromorphone Hydrochloride Tablets in a physically dependent patient, gradually taper the dosage. Rapid tapering of hydromorphone in a patient physically dependent on opioids may lead to a withdrawal syndrome and return of pain [see Dosage and Administration (2.7), Drug Abuse and Dependence (9.3)].

Additionally, avoid the use of mixed agonist/antagonist (e.g., pentazocine, nalbuphine, and butorphanol) or partial agonist (e.g., buprenorphine) analgesics in patients who are receiving a full opioid agonist analgesic, including Hydromorphone Hydrochloride Oral Solution or Hydromorphone Hydrochloride Tablets. In these patients, mixed agonist/antagonist and partial agonist analgesics may reduce the analgesic effect and/or precipitate withdrawal symptoms [see Drug Interactions (7)].

8.4 Pediatric Use

The safety and effectiveness of Hydromorphone Hydrochloride in pediatric patients have not been established.

8.5 Geriatric Use

Elderly patients (aged 65 years or older) may have increased sensitivity to hydromorphone. In general, use caution when selecting a dosage for an elderly patient, usually starting at the low end of the dosing range, reflecting the greater frequency of decreased hepatic, renal, or cardiac function and of concomitant disease or other drug therapy.

Respiratory depression is the chief risk for elderly patients treated with opioids, and has occurred after large initial doses were administered to patients who were not opioid-tolerant or when opioids were co-administered with other agents that depress respiration. Titrate the dosage of Hydromorphone Hydrochloride slowly in geriatric patients and frequently reevaluate the patient for signs of central nervous system and respiratory depression [see Warnings and Precautions (5.8)].

Hydromorphone is known to be substantially excreted by the kidney, and the risk of adverse reactions to this drug may be greater in patients with impaired renal function. Because elderly patients are more likely to have decreased renal function, care should be taken in dose selection, and it may be useful to regularly evaluate renal function.

2.3 Initial Dosage

Initiating Treatment with Hydromorphone Hydrochloride Oral Solution or Hydromorphone Hydrochloride Tablets

Hydromorphone Hydrochloride Oral Solution

Initiate treatment with Hydromorphone Hydrochloride Oral Solution in a dosing range of 2.5 mL to 10 mL, 2.5 mg to

10 mg, every 3 to 6 hours as needed for pain, and at the lowest dose necessary to achieve adequate analgesia. Titrate the dose based upon the individual patient’s response to their initial dose of Hydromorphone Hydrochloride Oral Solution.

Hydromorphone Hydrochloride Tablets

Initiate treatment with Hydromorphone Hydrochloride Tablets in a dosing range of 2 mg to 4 mg, orally, every 4 to 6 hours as needed for pain, and at the lowest dose necessary to achieve adequate analgesia. Titrate the dose based upon the individual patient’s response to their initial dose of Hydromorphone Hydrochloride Tablets.

Conversion from Other Opioids to Hydromorphone Hydrochloride Oral Solution or Hydromorphone Hydrochloride Tablets

There is inter-patient variability in the potency of opioid drugs and opioid formulations. Therefore, a conservative approach is advised when determining the total daily dosage of Hydromorphone Hydrochloride Oral Solution or Hydromorphone Hydrochloride Tablets. It is safer to underestimate a patient’s 24-hour Hydromorphone Hydrochloride dosage than to overestimate the 24-hour dosage and manage an adverse reaction due to overdose.

In general, it is safest to start Hydromorphone Hydrochloride therapy by administering half of the usual starting dose every 3 to 6 hours for Hydromorphone Hydrochloride Oral Solution; and every 4 to 6 hours for Hydromorphone Hydrochloride Tablets. The dose of Hydromorphone Hydrochloride can be gradually adjusted until adequate pain relief and acceptable side effects have been achieved [see Dosage and Administration (2.5)].

Conversion from Hydromorphone Hydrochloride Oral Solution or Hydromorphone Hydrochloride Tablets to Extended-Release Hydromorphone Hydrochloride

The relative bioavailability of Hydromorphone Hydrochloride Oral Solution and Hydromorphone Hydrochloride Tablets compared to extended-release hydromorphone is unknown, so conversion to extended-release hydromorphone may lead to increased risk of excessive sedation and respiratory depression.

14 Clinical Studies (14 CLINICAL STUDIES)

Analgesic effects of single doses of Hydromorphone Hydrochloride Oral Solution administered to patients with post-surgical pain have been studied in double-blind controlled trials. In one study, both 5 mg and 10 mg of Hydromorphone Hydrochloride Oral Solution provided significantly more analgesia than placebo. In another trial, 5 mg and 10 mg of Hydromorphone Hydrochloride Oral Solution were compared to 30 mg and 60 mg of morphine sulfate oral liquid. The pain relief provided by 5 mg and 10 mg Hydromorphone Hydrochloride Oral Solution was comparable to 30 mg and 60 mg oral morphine sulfate, respectively.

4 Contraindications (4 CONTRAINDICATIONS)

Hydromorphone Hydrochloride Oral Solution and Hydromorphone Hydrochloride Tablets are contraindicated in patients with:

  • Significant respiratory depression [see Warnings and Precautions (5.3)]
  • Acute or severe bronchial asthma in an unmonitored setting or in the absence of resuscitative equipment [see Warnings and Precautions (5.8)]
  • Known or suspected gastrointestinal obstruction, including paralytic ileus [see Warnings and Precautions (5.12)]
  • Hypersensitivity to hydromorphone, hydromorphone salts, any other components of the product, or sulfite- containing medications (e.g., anaphylaxis) [see Warnings and Precautions (5.16), Adverse Reactions (6.1)]
6 Adverse Reactions (6 ADVERSE REACTIONS)

The following serious adverse reactions are described, or described in greater detail, in other sections:

  • Addiction, Abuse, and Misuse [see Warnings and Precautions (5.2)]
  • Life-Threatening Respiratory Depression [see Warnings and Precautions (5.3)]
  • Interactions with Benzodiazepines or Other CNS Depressants [see Warnings and Precautions (5.4)]
  • Neonatal Opioid Withdrawal Syndrome [see Warnings and Precautions (5.5)]
  • Opioid-Induced Hyperalgesia and Allodynia [see Warnings and Precautions (5.7)]
  • Adrenal Insufficiency [see Warnings and Precautions (5.9)]
  • Severe Hypotension [see Warnings and Precautions (5.10)]
  • Gastrointestinal Adverse Reactions [see Warnings and Precautions (5.12)]
  • Seizures [see Warnings and Precautions (5.13)]
  • Withdrawal [see Warnings and Precautions (5.14)]
7 Drug Interactions (7 DRUG INTERACTIONS)

Table 1 includes clinically significant drug interactions with Hydromorphone Hydrochloride.

Table 1: Clinically Significant Drug Interactions with Hydromorphone Hydrochloride

Benzodiazepines and other Central Nervous System (CNS) Depressants

Clinical Impact:

Due to additive pharmacologic effect, the concomitant use of benzodiazepines or other CNS depressants, including alcohol, can increase the risk of hypotension, respiratory depression, profound sedation, coma, and death [see Warnings and Precautions (5.4)].

Intervention:

Reserve concomitant prescribing of these drugs for use in patients for whom alternative treatment options are inadequate. Limit dosages and durations to the minimum required. Inform patients and caregivers of this potential interaction and educate them on the signs and symptoms of respiratory depression (including sedation). If concomitant use is warranted, consider recommending or prescribing an opioid overdose reversal agent [see Dosage and Administration (2.2), Warnings and Precautions (5.2, 5.3, 5.4)].

Examples:

Benzodiazepines and other sedatives/hypnotics, anxiolytics, tranquilizers, muscle relaxants, general anesthetics, antipsychotics, gabapentinoids (gabapentin or pregabalin), other opioids, alcohol.

Serotonergic Drugs

Clinical Impact:

The concomitant use of opioids with other drugs that affect the serotonergic neurotransmitter system has resulted in serotonin syndrome.

Intervention:

If concomitant use is warranted, frequently evaluate the patient, particularly during treatment initiation and dose adjustment. Discontinue Hydromorphone Hydrochloride Oral Solution or Hydromorphone Hydrochloride Tablets if serotonin syndrome is suspected.

Examples:

Selective serotonin reuptake inhibitors (SSRIs), serotonin and norepinephrine reuptake inhibitors (SNRIs), tricyclic antidepressants (TCAs), triptans, 5-HT3 receptor antagonists, drugs that affect the serotonin neurotransmitter system (e.g., mirtazapine, trazodone, tramadol), certain muscle relaxants (i.e., cyclobenzaprine, metaxalone), monoamine oxidase (MAO) inhibitors (those intended to treat psychiatric disorders and also others, such as linezolid and intravenous methylene blue).

Monoamine Oxidase Inhibitors (MAOIs)

Clinical Impact:

MAOI interactions with opioids may manifest as serotonin syndrome or opioid toxicity (e.g., respiratory depression, coma) [see Warnings and Precautions (5.3)].

If urgent use of an opioid is necessary, use test doses and frequent titration of small doses to treat pain while closely monitoring blood pressure and signs and symptoms of CNS and respiratory depression.

Intervention:

The use of Hydromorphone Hydrochloride Oral Solution or Hydromorphone Hydrochloride Tablets is not recommended for patients taking MAOIs or within 14 days of stopping such treatment.

Examples:

Phenelzine, tranylcypromine, and linezolid.

Mixed Agonist/Antagonist and Partial Agonist Opioid Analgesics

Clinical Impact:

May reduce the analgesic effect of Hydromorphone Hydrochloride Oral Solution or Hydromorphone Hydrochloride Tablets and/or precipitate withdrawal symptoms.

Intervention:

Avoid concomitant use.

Examples:

Butorphanol, nalbuphine, pentazocine, and buprenorphine.

Muscle Relaxants

Clinical Impact:

Hydromorphone may enhance the neuromuscular blocking action of skeletal muscle relaxants and produce an increased degree of respiratory depression.

Intervention:

Because respiratory depression may be greater than otherwise expected, decrease the dosage of Hydromorphone Hydrochloride Oral Solution or Hydromorphone Hydrochloride Tablets and/or the muscle relaxant as necessary. Due to the risk of respiratory depression with concomitant use of skeletal muscle relaxants and opioids, consider recommending or prescribing an opioid overdose reversal agent [see Dosage and Administration (2.2), Warnings and Precautions (5.3, 5.4)].

Examples:

cyclobenzaprine, metaxalone

Diuretics

Clinical Impact:

Opioids can reduce the efficacy of diuretics by inducing the release of antidiuretic hormone.

Intervention:

Evaluate patients for signs of diminished diuresis and/or effects on blood pressure and increase the dosage of the diuretic as needed.

Anticholinergic Drugs

Clinical Impact:

The concomitant use of anticholinergic drugs may increase risk of urinary retention and/or severe constipation, which may lead to paralytic ileus.

Intervention:

Evaluate patients for signs of urinary retention or reduced gastric motility when Hydromorphone Hydrochloride Oral Solution or Hydromorphone Hydrochloride Tablets is used concomitantly with anticholinergic drugs.

8.7 Renal Impairment

The pharmacokinetics of hydromorphone is affected by renal impairment. In addition, in patients with severe renal impairment, hydromorphone appeared to be more slowly eliminated with a longer terminal elimination half-life. Start patients with renal impairment on one-fourth to one-half the usual starting dose depending on the degree of impairment. Patients with renal impairment should be regularly evaluated during dose titration [see Clinical Pharmacology (12.3)].

12.2 Pharmacodynamics

Effects on the Central Nervous System

Hydromorphone produces respiratory depression by direct action on brain stem respiratory centers. The respiratory depression involves a reduction in the responsiveness of the brain stem respiratory centers to both increases in carbon dioxide tension and to electrical stimulation.

Hydromorphone causes miosis, even in total darkness. Pinpoint pupils are a sign of opioid overdose but are not pathognomonic (e.g., pontine lesions of hemorrhagic or ischemic origins may produce similar findings). Marked mydriasis rather than miosis may be seen due to hypoxia in overdose situations.

Effects on the Gastrointestinal Tract and Other Smooth Muscle

Hydromorphone causes a reduction in motility associated with an increase in smooth muscle tone in the antrum of the stomach and duodenum. Digestion of food in the small intestine is delayed and propulsive contractions are decreased. Propulsive peristaltic waves in the colon are decreased, while tone may be increased to the point of spasm, resulting in constipation. Other opioid-induced effects may include a reduction in biliary and pancreatic secretions, spasm of sphincter of Oddi, transient elevations in serum amylase, and opioid-induced esophageal dysfunction (OIED).

Effects on the Cardiovascular System

Hydromorphone produces peripheral vasodilation which may result in orthostatic hypotension or syncope. Manifestations of histamine release and/or peripheral vasodilation may include pruritus, flushing, red eyes and sweating, and/or orthostatic hypotension.

Effects on the Endocrine System

Opioids inhibit the secretion of adrenocorticotropic hormone (ACTH), cortisol, and luteinizing hormone (LH) in humans [see Adverse Reactions (6.2)]. They also stimulate prolactin, growth hormone (GH) secretion, and pancreatic secretion of insulin and glucagon.

Use of opioids for an extended period of time may influence the hypothalamic-pituitary-gonadal axis, leading to androgen deficiency that may manifest as low libido, impotence, erectile dysfunction, amenorrhea, or infertility. The causal role of opioids in the clinical syndrome of hypogonadism is unknown because the various medical, physical, lifestyle, and psychological stressors that may influence gonadal hormone levels have not been adequately controlled for in studies conducted to date [see Adverse Reactions (6.2)].

Effects on the Immune System

Opioids have been shown to have a variety of effects on components of the immune system in in vitro and animal models. The clinical significance of these findings is unknown. Overall, the effects of opioids appear to be modestly immunosuppressive.

Concentration–Efficacy Relationships

The minimum effective analgesic concentration will vary widely among patients, especially among patients who have been previously treated with opioid agonists. The minimum effective analgesic concentration of hydromorphone for any individual patient may increase over time due to an increase in pain, the development of a new pain syndrome, and/or the development of analgesic tolerance [see Dosage and Administration (2.1, 2.6 )].

Concentration–Adverse Reaction Relationships

There is a relationship between increasing hydromorphone plasma concentration and increasing frequency of dose-related opioid adverse reactions such as nausea, vomiting, CNS effects, and respiratory depression. In opioid-tolerant patients, the situation may be altered by the development of tolerance to opioid-related adverse reactions [see Dosage and Administration (2.1, 2.3, 2.6)].

12.3 Pharmacokinetics

Absorption

The analgesic activity of Hydromorphone Hydrochloride is due to the parent drug, hydromorphone. Hydromorphone is rapidly absorbed from the gastrointestinal tract after oral administration and undergoes extensive first-pass metabolism. Exposure of hydromorphone (Cmax and AUC0-24) is dose-proportional at a dose range of 2 and 8 mg. In vivo bioavailability following single-dose administration of the 8 mg tablet is approximately 24% (coefficient of variation 21%). Bioequivalence between the Hydromorphone Hydrochloride 8 mg Tablet and an equivalent dose of Hydromorphone Hydrochloride Oral Solution has been demonstrated.

After oral administration of Hydromorphone Hydrochloride, peak plasma hydromorphone concentrations are generally attained within ½ to 1 hour.

Mean (%cv)

Dosage Form

Cmax

(ng)

Tmax

(hrs)

AUC

(ng*hr/mL)

T1/2

(hrs)

8 mg Tablet

5.5 (33%)

0.74 (34%)

23.7 (28%)

2.6 (18%)

8 mg Oral Liquid

5.7 (31%)

0.73 (71%)

24.6 (29%)

2.8 (20%)

Food Effects: In a study conducted with a single 8 mg dose of hydromorphone (2 mg hydromorphone immediate-release tablets), food lowered Cmax by 25%, prolonged Tmax by 0.8 hour, and increased AUC by 35%. The effects may not be clinically relevant.

Distribution

At therapeutic plasma levels, hydromorphone is approximately 8% to 19% bound to plasma proteins. After an intravenous bolus dose, the steady state of volume distribution [mean (% cv)] is 302.9 (32%) liters.

Elimination

The systemic clearance is approximately 1.96 (20%) liters/minute. The terminal elimination half-life of hydromorphone after an intravenous dose is about 2.3 hours.

Metabolism: Hydromorphone is extensively metabolized via glucuronidation in the liver, with greater than 95% of the dose metabolized to hydromorphone-3-glucuronide along with minor amounts of 6-hydroxy reduction metabolites.

Excretion: Only a small amount of the hydromorphone dose is excreted unchanged in the urine. Most of the dose is excreted as hydromorphone-3-glucuronide along with minor amounts of 6-hydroxy reduction metabolites.

Specific Populations

Hepatic Impairment: After oral administration of a single 4 mg dose (2 mg hydromorphone immediate-release tablets), mean exposure to hydromorphone (Cmax and AUC∞) is increased 4-fold in patients with moderate (Child-Pugh Group B) hepatic impairment compared with subjects with normal hepatic function. Due to increased exposure of hydromorphone, patients with moderate hepatic impairment should be started at a lower dose and closely monitored during dose titration. Pharmacokinetics of hydromorphone in severe hepatic impairment patients has not been studied. Further increase in Cmax and AUC of hydromorphone in this group is expected. As such, starting dose should be even more conservative [see Use in Specific Populations (8.6)].

Renal Impairment: After oral administration of a single 4 mg dose (2 mg hydromorphone immediate-release tablets), exposure to hydromorphone (Cmax and AUC0-48) is increased in patients with impaired renal function by 2-fold in moderate (CLcr = 40 to 60 mL/min) and 3-fold in severe (CLcr< 30 mL/min) renal impairment compared with normal subjects (CLcr > 80 mL/min). In addition, in patients with severe renal impairment hydromorphone appeared to be more slowly eliminated with longer terminal elimination half-life (40 hr) compared to patients with normal renal function (15 hr). Patients with moderate renal impairment should be started on a lower dose. Starting doses for patients with severe renal impairment should be even lower. Patients with renal impairment should be closely monitored during dose titration [see Use in Specific Populations (8.7)].

Age: Geriatric Population: In the geriatric population, age has no effect on the pharmacokinetics of hydromorphone.

Sex: Sex has little effect on the pharmacokinetics of hydromorphone. Females appear to have higher Cmax (25%) than males with comparable AUC0-24 values. The difference observed in Cmax may not be clinically relevant.

8.6 Hepatic Impairment

The pharmacokinetics of hydromorphone is affected by hepatic impairment. Due to increased exposure of hydromorphone, patients with hepatic impairment should be started at one-fourth to one-half the recommended starting dose depending on the degree of hepatic dysfunction and regularly evaluated during dose titration. The pharmacokinetics of hydromorphone in patients with severe hepatic impairment has not been studied. A further increase in Cmax and AUC of hydromorphone in this group is expected and should be taken into consideration when selecting a starting dose [see Clinical Pharmacology (12.3)].

1 Indications and Usage (1 INDICATIONS AND USAGE)

Hydromorphone Hydrochloride Oral Solution and Hydromorphone Hydrochloride Tablets are indicated for the management of pain severe enough to require an opioid analgesic and for which alternative treatments are inadequate.

Limitations of Use

Because of the risks of addiction, abuse, misuse, overdose, and death, which can occur at any dosage or duration and persist over the course of therapy [see Warnings and Precautions (5.2)], reserve opioid analgesics, including Hydromorphone Hydrochloride Oral Solution and Hydromorphone Hydrochloride Tablets, for use in patients for whom alternative treatment options are ineffective, not tolerated, or would be otherwise inadequate to provide sufficient management of pain.

5.10 Severe Hypotension

Hydromorphone Hydrochloride Oral Solution or Hydromorphone Hydrochloride Tablets may cause severe hypotension including orthostatic hypotension and syncope in ambulatory patients. There is increased risk in patients whose ability to maintain blood pressure has already been compromised by a reduced blood volume or concurrent administration of certain CNS depressant drugs (e.g. phenothiazines or general anesthetics) [see Drug Interactions (7)]. Regularly evaluate these patients for signs of hypotension after initiating or titrating the dosage of Hydromorphone Hydrochloride Oral Solution or Hydromorphone Hydrochloride Tablets. In patients with circulatory shock, Hydromorphone Hydrochloride may cause vasodilation that can further reduce cardiac output and blood pressure. Avoid the use of Hydromorphone Hydrochloride Oral Solution or Hydromorphone Hydrochloride Tablets in patients with circulatory shock.

12.1 Mechanism of Action

Hydromorphone is a full opioid agonist and is relatively selective for the mu-opioid receptor, although it can bind to other opioid receptors at higher doses. The principal therapeutic action of hydromorphone is analgesia. Like all full opioid agonists, there is no ceiling effect for analgesia with morphine. Clinically, dosage is titrated to provide adequate analgesia and may be limited by adverse reactions, including respiratory and CNS depression.

The precise mechanism of the analgesic action is unknown. However, specific CNS opioid receptors for endogenous compounds with opioid-like activity have been identified throughout the brain and spinal cord and are thought to play a role in the analgesic effects of this drug.

9.1 Controlled Substance

Hydromorphone Hydrochloride Oral Solution and Hydromorphone Hydrochloride Tablets contain hydromorphone, a Schedule II controlled substance.

5.9 Adrenal Insufficiency

Cases of adrenal insufficiency have been reported with opioid use, more often following greater than one month of use. Presentation of adrenal insufficiency may include non-specific symptoms and signs including nausea, vomiting, anorexia, fatigue, weakness, dizziness, and low blood pressure. If adrenal insufficiency is suspected, confirm the diagnosis with diagnostic testing as soon as possible. If adrenal insufficiency is diagnosed, treat with physiologic replacement doses of corticosteroids. Wean the patient off of the opioid to allow adrenal function to recover and continue corticosteroid treatment until adrenal function recovers. Other opioids may be tried as some cases reported use of a different opioid without recurrence of adrenal insufficiency. The information available does not identify any particular opioids as being more likely to be associated with adrenal insufficiency.

5 Warnings and Precautions (5 WARNINGS AND PRECAUTIONS)
  • Opioid-Induced Hyperalgesia and Allodynia: Opioid-Induced Hyperalgesia (OIH) occurs when an opioid analgesic paradoxically causes an increase in pain, or an increase in sensitivity to pain. If OIH is suspected, carefully consider appropriately decreasing the dose of the current opioid analgesic or opioid rotation. (5.7)
  • Life-Threatening Respiratory Depression in Patients with Chronic Pulmonary Disease or in Elderly, Cachectic, or Debilitated Patients: Regularly evaluate patients, particularly during initiation and titration. (5.8)
  • Adrenal Insufficiency: If diagnosed, treat with physiologic replacement of corticosteroids, and wean patient off of the opioid. (5.9)
  • Severe Hypotension: Regularly evaluate patients during dosage initiation and titration. Avoid use of Hydromorphone Hydrochloride Oral Solution or Hydromorphone Hydrochloride Tablets in patients with circulatory shock. (5.10)
  • Risks of Use in Patients with Increased Intracranial Pressure, Brain Tumors, Head Injury, or Impaired Consciousness: Monitor patients for sedation and respiratory depression. Avoid use of Hydromorphone Hydrochloride Oral Solution or Hydromorphone Hydrochloride Tablets in patients with impaired consciousness or coma. (5.11)
2 Dosage and Administration (2 DOSAGE AND ADMINISTRATION)
  • Hydromorphone Hydrochloride Oral Solution and Hydromorphone Hydrochloride Tablets should be prescribed only by healthcare professionals who are knowledgeable about the use of opioids and how to mitigate the associated risks. (2.1)
  • Use the lowest effective dosage for the shortest duration of time consistent with individual patient treatment goals. Reserve titration to higher doses of Hydromorphone Hydrochloride for patients in whom lower doses are insufficiently effective and in whom the expected benefits of using a higher dose opioid clearly outweigh the substantial risks. (2.1, 5)
  • Many acute pain conditions (e.g., the pain that occurs with a number of surgical procedures or acute musculoskeletal injuries) require no more than a few days of an opioid analgesic. Clinical guidelines on opioid prescribing for some acute pain conditions are available. (2.1)
  • Initiate the dosing regimen for each patient individually, taking into account the patient’s underlying cause and severity of pain, prior analgesic treatment and response, and risk factors for addiction, abuse, and misuse. (2.1, 5.2)
  • Respiratory depression can occur at any time during opioid therapy, especially when initiating and following dosage increases with Hydromorphone Hydrochloride. Consider this risk when selecting an initial dose and when making dose adjustments. (2.1, 5.3)
  • Discuss opioid overdose reversal agents and options for acquiring them with the patient and/or caregiver, both when initiating and renewing treatment with Hydromorphone Hydrochloride, especially if the patient has additional risk factors for overdose, or close contacts at risk for exposure and overdose. (2.2, 5.2, 5.3, 5.4 )
  • Initiate treatment with Hydromorphone Hydrochloride Oral Solution in a dosing range of 2.5 mL to 10 mL, 2.5 mg to 10 mg, every 3 to 6 hours as needed for pain, and at the lowest dose necessary to achieve adequate analgesia. Titrate the dose based upon the individual patient’s response to their initial dose of Hydromorphone Hydrochloride Oral Solution. (2, 5)
  • Initiate treatment with Hydromorphone Hydrochloride Tablets in a dosing range of 2 mg to 4 mg, orally, every 4 to 6 hours as needed for pain, and at the lowest dose necessary to achieve adequate analgesia. Titrate the dose based upon the individual patient’s response to their initial dose of Hydromorphone Hydrochloride Tablets. (2, 5)
  • Periodically reassess patients receiving Hydromorphone Hydrochloride to evaluate the continued need for opioid analgesics to maintain pain control, for the signs or symptoms of adverse reactions, and for the development of addiction, abuse, or misuse. (2.6)
  • Do not rapidly reduce or abruptly discontinue Hydromorphone Hydrochloride in a physically-dependent patient because rapid reduction or abrupt discontinuation of opioid analgesics has resulted in serious withdrawal symptoms, uncontrolled pain, and suicide. (2.7 , 5.14 )
3 Dosage Forms and Strengths (3 DOSAGE FORMS AND STRENGTHS)

Hydromorphone Hydrochloride Oral Solution, USP

  • 5 mg/5 mL (1 mg/mL) of hydromorphone hydrochloride, USP in a clear, red solution.

Hydromorphone Hydrochloride Tablets, USP

  • 4 mg tablets (white to off-white, round, flat-faced tablet with beveled edges; debossed with “4” on one side and “54 196” debossed on the other side)
  • 8 mg tablets (white to off-white, round, flat-faced tablet with beveled edges: scored on one side and “54 425” debossed on the other side)
6.2 Postmarketing Experience

The following adverse reactions have been identified during post approval use of hydromorphone. Because these reactions are reported voluntarily from a population of uncertain size, it is not always possible to reliably estimate their frequency or establish a causal relationship to drug exposure.

Confusional state, convulsions, drowsiness, dyskinesia, dyspnea, erectile dysfunction, fatigue, hepatic enzymes increased, hyperalgesia, hypersensitivity reaction, lethargy, myoclonus, oropharyngeal swelling, peripheral edema, and somnolence.

Serotonin Syndrome

Cases of serotonin syndrome, a potentially life-threatening condition, have been reported during concomitant use of opioids with serotonergic drugs.

Adrenal Insufficiency

Cases of adrenal insufficiency have been reported with opioid use, more often following greater than one month of use.

Anaphylaxis

Anaphylaxis has been reported with ingredients contained in Hydromorphone Hydrochloride Oral Solution or Hydromorphone Hydrochloride Tablets.

Androgen Deficiency

Cases of androgen deficiency have occurred with use of opioids for an extended period of time [see Clinical Pharmacology (12.2)].

Hyperalgesia and Allodynia

Cases of hyperalgesia and allodynia have been reported with opioid therapy of any duration [see Warnings and Precautions (5.7)].

Hypoglycemia

Cases of hypoglycemia have been reported in patients taking opioids. Most reports were in patients with at least one predisposing risk factor (e.g., diabetes).

Opioid-induced esophageal dysfunction (OIED): Cases of OIED have been reported in patients taking opioids and

may occur more frequently in patients taking higher doses of opioids, and/or in patients taking opioids longer term

[see Warnings and Precautions (5.12)].

Adverse Reactions from Observational Studies

A prospective, observational cohort study estimated the risks of addiction, abuse, and misuse in patients initiating long-term use of Schedule II opioid analgesics between 2017 and 2021. Study participants included in one or more analyses had been enrolled in selected insurance plans or health systems for at least one year, were free of at least one outcome at baseline, completed a minimum number of follow-up assessments, and either: 1) filled multiple extended-release/longacting opioid analgesic prescriptions during a 90-day period (n=978); or 2) filled any Schedule II opioid analgesic prescriptions covering at least 70 of 90 days (n=1,244). Those included also had no dispensing of the qualifying opioids in the previous 6 months.

Over 12 months:

  • approximately 1% to 6% of participants across the two cohorts newly met criteria for addiction, as assessed with two validated interview-based measures of moderate-to-severe opioid use disorder based on Diagnostic and Statistical Manual of Mental Disorders, Fifth Edition (DSM-5) criteria, and
  • approximately 9% and 22% of participants across the two cohorts newly met criteria for prescription opioid abuse and misuse [defined in Drug Abuse and Dependence (9.2)], respectively, as measured with a validated self-reported instrument.

A retrospective, observational cohort study estimated the risk of opioid-involved overdose or opioid overdose-related death in patients with new long-term use of Schedule II opioid analgesics from 2006 through 2016 (n=220,249).

Included patients had been enrolled in either one of two commercial insurance programs, one managed care program,

or one Medicaid program for at least 9 months. New long-term use was defined as having Schedule II opioid analgesic prescriptions covering at least 70 days’ supply over the 3 months prior to study entry and none during the preceding 6 months. Patients were excluded if they had an opioid-involved overdose in the 9 months prior to study entry. Overdose was measured using a validated medical code-based algorithm with linkage to the National Death Index database. The

5-year cumulative incidence estimates for opioid-involved overdose or opioid overdose-related death ranged from approximately 1.5% to 4% across study sites, counting only the first event during follow-up.

Approximately 17% of first opioid overdoses observed over the entire study period (5 to 11 years, depending on the study site) were fatal. Higher baseline opioid dose was the strongest and most consistent predictor of opioid-involved overdose or opioid overdose-related death. Study exclusion criteria may have selected patients at lower risk of overdose, and substantial loss to follow-up (approximately 80%) also may have biased estimates.

The risk estimates from the studies described above may not be generalizable to all patients receiving opioid analgesics, such as those with exposures shorter or longer than the duration evaluated in the studies.

8 Use in Specific Populations (8 USE IN SPECIFIC POPULATIONS)
  • Pregnancy: May cause fetal harm. (8.1)
6.1 Clinical Trials Experience

Because clinical trials are conducted under widely varying conditions, adverse reaction rates observed in the clinical trials of a drug cannot be directly compared to rates in the clinical trials of another drug and may not reflect the rates observed in clinical practice.

Serious adverse reactions associated with hydromorphone hydrochloride include respiratory depression and apnea and, to a lesser degree, circulatory depression, respiratory arrest, shock, and cardiac arrest.

The most common adverse effects are lightheadedness, dizziness, sedation, nausea, vomiting, sweating, flushing, dysphoria, euphoria, dry mouth, and pruritus. These effects seem to be more prominent in ambulatory patients and in those not experiencing severe pain.

Less Frequently Observed Adverse Reactions

Cardiac Disorders: tachycardia, bradycardia, palpitations

Eye Disorders: vision blurred, diplopia, miosis, visual impairment

Gastrointestinal Disorders: constipation, ileus, diarrhea, abdominal pain

General Disorders and Administration Site Conditions: weakness, feeling abnormal, chills

Hepatobiliary Disorders: biliary colic

Metabolism and Nutrition Disorders: decreased appetite

Musculoskeletal and Connective Tissue Disorders: muscle rigidity

Nervous System Disorders: headache, tremor, paraesthesia, nystagmus, increased intracranial pressure, syncope, taste alteration, involuntary muscle contractions, presyncope

Psychiatric Disorders: agitation, mood altered, nervousness, anxiety, depression, hallucination, disorientation, insomnia, abnormal dreams

Renal and Urinary Disorders: urinary retention, urinary hesitation, antidiuretic effects

Respiratory, Thoracic, and Mediastinal Disorders: bronchospasm, laryngospasm

Skin and Subcutaneous Tissue Disorders: urticaria, rash, hyperhidrosis

Vascular Disorders: flushing, hypotension, hypertension

5.2 Addiction, Abuse, and Misuse

Hydromorphone Hydrochloride Oral Solution and Hydromorphone Hydrochloride Tablets contain hydromorphone, a Schedule II controlled substance. As an opioid, Hydromorphone Hydrochloride exposes users to the risks of addiction, abuse, and misuse [see Drug Abuse and Dependence (9)].

Although the risk of addiction in any individual is unknown, it can occur in patients appropriately prescribed Hydromorphone Hydrochloride Oral Solution or Hydromorphone Hydrochloride Tablets. Addiction can occur at recommended doses and if the drug is misused or abused. The risk of opioid-related overdose or overdose-related death is increased with higher opioid doses, and this risk persists over the course of therapy. In postmarketing studies, addiction, abuse, misuse, and fatal and non-fatal opioid overdose were observed in patients with long-term opioid use [see Adverse Reactions (6.2)].

Assess each patient’s risk for opioid addiction, abuse, or misuse prior to prescribing Hydromorphone Hydrochloride Oral Solution or Hydromorphone Hydrochloride Tablets, and reassess all patients receiving Hydromorphone Hydrochloride Oral Solution or Hydromorphone Hydrochloride Tablets for the development of these behaviors and conditions. Risks are increased in patients with a personal or family history of substance abuse (including drug or alcohol abuse or addiction) or mental illness (e.g., major depression). The potential for these risks should not, however, prevent the proper management of pain in any given patient. Patients at increased risk may be prescribed opioids such as Hydromorphone Hydrochloride Oral Solution or Hydromorphone Hydrochloride Tablets but use in such patients necessitates intensive counseling about the risks and proper use of Hydromorphone Hydrochloride Oral Solution and Hydromorphone Hydrochloride Tablets

along with frequent reevaluation for signs of addiction, abuse, and misuse. Consider recommending or prescribing an opioid overdose reversal agent [see Dosage and Administration (2.2), Warnings and Precautions (5.3)].

Opioids are sought for nonmedical use and are subject to diversion from legitimate prescribed use. Consider these risks when prescribing or dispensing Hydromorphone Hydrochloride Oral Solution or Hydromorphone Hydrochloride Tablets. Strategies to reduce these risks include prescribing the drug in the smallest appropriate quantity and advising the patient on careful storage of the drug during the course of treatment and the proper disposal of unused drug. Contact local state professional licensing board or state-controlled substances authority for information on how to prevent and detect abuse or diversion of this product.

17 Patient Counseling Information (17 PATIENT COUNSELING INFORMATION)

Advise the patient to read the FDA-approved patient labeling (Medication Guide).

Storage and Disposal

Because of the risks associated with accidental ingestion, misuse, and abuse, advise patients to store Hydromorphone Hydrochloride Oral Solution and Hydromorphone Hydrochloride Tablets securely, out of sight and reach of children, and in a location not accessible by others, including visitors to the home. Inform patients that leaving Hydromorphone Hydrochloride Oral Solution and Hydromorphone Hydrochloride Tablets unsecured can pose a deadly risk to others in the home [see Warnings and Precautions ( 5.2, 5.3), Drug Abuse and Dependence (9.2)].

Advise patients and caregivers that when medicines are no longer needed, they should be disposed of promptly. Expired, unwanted, or unused Hydromorphone Hydrochloride Oral Solution and Hydromorphone Hydrochloride Tablets should be disposed of by flushing the unused medication down the toilet if a drug take-back option is not readily available. Inform patients that they can visit www.fda.gov/drugdisposal for a complete list of medicines recommended for disposal by flushing, as well as additional information on disposal of unused medicines.

Medication Errors

Instruct patients and caregivers how to measure and take or administer the correct dose of Hydromorphone Hydrochloride Oral Solution, and to always use a graduated oral syringe or measuring cup, with metric units of measurements (i.e., mL), to correctly measure the prescribed amount of medication. Inform patients and caregivers that oral dosing devices may be obtained from their pharmacy and to never use household teaspoons or tablespoons to measure Hydromorphone Hydrochloride Oral Solution [see Dosage and Administration (2.1), Warnings and Precautions (5.1)].

If the prescribed concentration is changed, instruct patients and caregivers on how to correctly measure the new dose to avoid errors which could result in accidental overdose and death.

Addiction, Abuse, and Misuse

Inform patients that the use of Hydromorphone Hydrochloride Oral Solution or Hydromorphone Hydrochloride Tablets, even when taken as recommended, can result in addiction, abuse, and misuse, which can lead to overdose and death [see Warnings and Precautions (5.2)]. Instruct patients not to share Hydromorphone Hydrochloride Oral Solution or Hydromorphone Hydrochloride Tablets with others and to take steps to protect Hydromorphone Hydrochloride Oral Solution or Hydromorphone Hydrochloride Tablets from theft or misuse.

Life-Threatening Respiratory Depression

Inform patients of the risk of life-threatening respiratory depression, including information that the risk is greatest when starting Hydromorphone Hydrochloride Oral Solution or Hydromorphone Hydrochloride Tablets or when the dosage is increased, and that it can occur even at recommended dosages.

Educate patients and caregivers on how to recognize respiratory depression and emphasize the importance of calling 911 or getting emergency medical help right away in the event of a known or suspected overdose [see Warnings and Precautions ( 5.3)].

Accidental Ingestion

Inform patients that accidental ingestion, especially by children, may result in respiratory depression or death [see Warnings and Precautions ( 5.3)].

Interactions with Benzodiazepines and Other CNS Depressants

Inform patients and caregivers that potentially fatal additive effects may occur if Hydromorphone Hydrochloride Oral Solution or Hydromorphone Hydrochloride Tablets are used with benzodiazepines or other CNS depressants, including alcohol (e.g., non-benzodiazepine sedative/hypnotics, anxiolytics, tranquilizers, muscle relaxants, general anesthetics, antipsychotics, gabapentinoids [gabapentin or pregabalin], and other opioids), and not to use these concomitantly unless supervised by a healthcare provider [see Warnings and Precautions (5.4), Drug Interactions (7)].

Patient Access to an Opioid Overdose Reversal Agent for the Emergency Treatment of Opioid Overdose

Inform patients and caregivers about opioid overdose reversal agents (e.g., naloxone, nalmefene). Discuss importance of having access to an opioid overdose reversal agent, especially if the patient has risk factors for overdose (e.g., concomitant use of CNS depressants, a history of opioid use disorder, or prior opioid overdose) or if there are household members (including children) or other close contacts at risk for accidental ingestion or opioid overdose.

Discuss with the patient the options for obtaining an opioid overdose reversal agent (e.g., prescription, over-the-counter, or as part of a community-based program) [see Dosage and Administration (2.2), Warnings and Precautions (5.3)].

Educate patients and caregivers on how to recognize the signs and symptoms of an overdose.

Explain to patients and caregivers that effects of opioid overdose reversal agents like naloxone and nalmefene are temporary, and that they must call 911 or get emergency medical help right away in all cases of known or suspected opioid overdose, even if an opioid overdose reversal agent is administered [see Overdosage (10)].

Advise patients and caregivers:

  • how to treat with the overdose reversal agent in the event of an opioid overdose
  • to tell family and friends about the opioid overdose reversal agent, and to keep it in a place where family and friends can access it in an emergency
  • to read the Patient Information (or other educational material) that will come with their opioid overdose reversal agent. Emphasize the importance of doing this before an opioid emergency happens, so the patient and caregiver will know what to do.

Hyperalgesia and Allodynia

Inform patients and caregivers not to increase opioid dosage without first consulting a clinician. Advise patients to seek medical attention if they experience symptoms of hyperalgesia, including worsening pain, increased sensitivity to pain, or new pain [see Warnings and Precautions (5.7), Adverse Reactions (6.2)].

Serotonin Syndrome

Inform patients that Hydromorphone Hydrochloride could cause a rare but potentially life-threatening condition called serotonin syndrome resulting from concomitant administration of serotonergic drugs. Warn patients of the symptoms of serotonin syndrome and to seek medical attention right away if symptoms develop. Instruct patients to inform their healthcare providers if they are taking, or plan to take, serotonergic medications [see Drug Interactions (7)].

MAOI Interaction

Inform patients to avoid taking Hydromorphone Hydrochloride Oral Solution or Hydromorphone Hydrochloride Tablets while using any drugs that inhibit monoamine oxidase. Patients should not start MAOIs while taking Hydromorphone Hydrochloride Oral Solution or Hydromorphone Hydrochloride Tablets [see Drug Interactions (7)].

Important Administration Instructions

Instruct patients how to properly take Hydromorphone Hydrochloride [see Dosage and Administration (2), Warnings and Precautions (5.1)].

  • Instruct patients and caregivers on how to accurately measure and take the correct dose of Hydromorphone Hydrochloride Oral Solution.
  • Strongly advise patients and caregivers to always use a graduated oral dosing syringe or measuring cup with metric units of measurements (i.e., mL) to correctly measure the prescribed amount of medication.
  • Inform patients and caregivers that oral dosing devices may be obtained from their pharmacy and to never use household teaspoons or tablespoons to measure Hydromorphone Hydrochloride Oral Solution [see Dosage and Administration (2)].
  • Advise patients and caregivers not to adjust the dose of Hydromorphone Hydrochloride Oral Solution without consulting with a physician or other healthcare professional.

Important Discontinuation Instructions

In order to avoid developing withdrawal symptoms, instruct patients not to discontinue Hydromorphone Hydrochloride Oral Solution or Hydromorphone Hydrochloride Tablets without first discussing a tapering plan with the prescriber [see Dosage and Administration ( 2.7 )].

Driving or Operating Heavy Machinery

Inform patients that Hydromorphone Hydrochloride Oral Solution or Hydromorphone Hydrochloride Tablets may impair the ability to perform potentially hazardous activities such as driving a car or operating heavy machinery. Advise patients not to perform such tasks until they know how they will react to the medication [see Warnings and Precautions (5.15)].

Constipation

Advise patients of the potential for severe constipation, including management instructions and when to seek medical attention [see Adverse Reactions (6), Clinical Pharmacology (12.2)].

Healthcare professionals can telephone Hikma Pharmaceuticals USA Inc. (1-800-962-8364) for information on this product.

Adrenal Insufficiency

Inform patients that opioids could cause adrenal insufficiency, a potentially life-threatening condition. Adrenal insufficiency may present with non-specific symptoms and signs such as nausea, vomiting, anorexia, fatigue, weakness, dizziness, and low blood pressure. Advise patients to seek medical attention if they experience a constellation of these symptoms [see Warnings and Precautions (5.9)].

Hypotension

Inform patients that Hydromorphone Hydrochloride Oral Solution or Hydromorphone Hydrochloride Tablets may cause orthostatic hypotension and syncope. Instruct patients how to recognize symptoms of low blood pressure and how to reduce the risk of serious consequences should hypotension occur (e.g., sit or lie down, carefully rise from a sitting or lying position) [see Warnings and Precautions (5.10)].

Anaphylaxis

Inform patients that anaphylaxis has been reported with ingredients contained in Hydromorphone Hydrochloride Oral Solution or Hydromorphone Hydrochloride Tablets. Advise patients how to recognize such a reaction and when to seek medical attention [see Contraindications (4), Adverse Reactions (6)].

Pregnancy

Neonatal Opioid Withdrawal Syndrome: Inform female patients of reproductive potential that use of Hydromorphone Hydrochloride Oral Solution or Hydromorphone Hydrochloride Tablets for an extended period of time during pregnancy can result in neonatal opioid withdrawal syndrome, which may be life-threatening if not recognized and treated [see Warnings and Precautions (5.5), Use in Specific Populations (8.1)].

Embryo-Fetal Toxicity: Inform female patients of reproductive potential that Hydromorphone Hydrochloride Oral Solution or Hydromorphone Hydrochloride Tablets can cause fetal harm and to inform their healthcare provider of a known or suspected pregnancy [see Use in Specific Populations (8.1), Warnings and Precautions (5.5)].

Lactation

Advise nursing mothers to carefully observe infants for increased sleepiness (more than usual), breathing difficulties, or limpness. Instruct nursing mothers to seek immediate medical care if they notice these signs [see Use in Specific Populations (8.2)].

Infertility

Inform patients that use of opioids for an extended period of time may cause reduced fertility. It is not known whether these effects on fertility are reversible [see Use in Specific Population (8.3)].

Distributed by: Hikma

Pharmaceuticals USA Inc.

Berkeley Heights, NJ 07922

C50000587/04

Revised February 2026

16 How Supplied/storage and Handling (16 HOW SUPPLIED/STORAGE AND HANDLING)

Hydromorphone Hydrochloride Oral Solution, USP

1 mg/mL oral solution is supplied as a clear, red solution.

NDC 0054-0386-63: Bottle of 473 mL

Hydromorphone Hydrochloride Tablets, USP

4 mg tablet is supplied as a white to off-white, round, flat-faced tablet with beveled edges; debossed with “4” on one side and “54 196” debossed on the other side.

NDC 0054-0264-24: 10 x 10 Unit-Dose

NDC 0054-0264-25: Bottle of 100 Tablets

8 mg tablet is supplied as a white to off-white, round, flat-faced tablet with beveled edges; scored on one side and “54 425” debossed on the other side.

NDC 0054-0265-25: Bottle of 100 Tablets

Store at 20° to 25°C (68° to 77°F). [See USP Controlled Room Temperature.] Dispense in a tight, light-resistant, child-resistant container as defined in the USP/NF.

Store Hydromorphone Hydrochloride Oral Solution and Hydromorphone Hydrochloride Tablets securely and dispose of properly.

Package/label Principal Display Panel (PACKAGE/LABEL PRINCIPAL DISPLAY PANEL)

NDC 0054-0386-63 1mg/mL Oral Solution , 473 mL Bottle

5.5 Neonatal Opioid Withdrawal Syndrome

Use of Hydromorphone Hydrochloride Oral Solution or Hydromorphone Hydrochloride Tablets for an extended period of time during pregnancy can result in withdrawal in the neonate. Neonatal opioid withdrawal syndrome, unlike opioid withdrawal syndrome in adults, may be life-threatening if not recognized and treated, and requires management according to protocols developed by neonatology experts. Observe newborns for signs of neonatal opioid withdrawal syndrome and manage accordingly. Advise pregnant women using opioids for an extended period of time of the risk of neonatal opioid withdrawal syndrome and ensure that appropriate treatment will be available [see Use in Specific Populations (8.1)].

2.6 Titration and Maintenance of Therapy

Individually titrate Hydromorphone Hydrochloride Oral Solution or Hydromorphone Hydrochloride Tablets to a dose that provides adequate analgesia and minimizes adverse reactions. Continually reevaluate patients receiving Hydromorphone Hydrochloride Oral Solution or Hydromorphone Hydrochloride Tablets to assess the maintenance of pain control, signs and symptoms of opioid withdrawal, and other adverse reactions, as well as to reassess for the development of addiction, abuse, or misuse [see Warnings and Precautions (5.2, 5.14)]. Frequent communication is important among the prescriber, other members of the healthcare team, the patient, and the caregiver/family during periods of changing analgesic requirements, including initial titration.

If the level of pain increases after dosage stabilization, attempt to identify the source of increased pain before increasing the Hydromorphone Hydrochloride Oral Solution or Hydromorphone Hydrochloride Tablets dosage. If after increasing the dosage, unacceptable opioid-related adverse reactions are observed (including an increase in pain after a dosage increase), consider reducing the dosage [see Warnings and Precautions (5)]. Adjust the dosage to obtain an appropriate balance between management of pain and opioid-related adverse reactions.

A supplemental dose of 5 to 15% of the total daily usage may be administered every two hours on an as-needed basis.

5.3 Life Threatening Respiratory Depression (5.3 Life-Threatening Respiratory Depression)

Serious, life-threatening, or fatal respiratory depression has been reported with the use of opioids, even when used as recommended. Respiratory depression, if not immediately recognized and treated, may lead to respiratory arrest and death. Management of respiratory depression may include close observation, supportive measures, and use of opioid overdose reversal agents (e.g., naloxone, nalmefene), depending on the patient’s clinical status [see Overdosage ( 10 )]. Carbon dioxide (CO2) retention from opioid-induced respiratory depression can exacerbate the sedating effects of opioids.

While serious, life-threatening, or fatal respiratory depression can occur at any time during the use of Hydromorphone Hydrochloride Oral Solution or Hydromorphone Hydrochloride Tablets, the risk is greatest during the initiation of therapy or following a dosage increase.

To reduce the risk of respiratory depression, proper dosing and titration of Hydromorphone Hydrochloride Oral Solution or Hydromorphone Hydrochloride Tablets are essential [see Dosage and Administration ( 2 )]. Overestimating the Hydromorphone Hydrochloride Oral Solution or Hydromorphone Hydrochloride Tablets dosage when converting patients from another opioid product can result in a fatal overdose with the first dose.

Accidental ingestion of even one dose of Hydromorphone Hydrochloride Oral Solution or Hydromorphone Hydrochloride Tablets, especially by children, can result in respiratory depression and death due to an overdose of hydromorphone.

Educate patients and caregivers on how to recognize respiratory depression and emphasize the importance of calling 911 or getting emergency medical help right away in the event of a known or suspected overdose.

Opioids can cause sleep-related breathing disorders including central sleep apnea (CSA) and sleep-related hypoxemia. Opioid use increases the risk of CSA in a dose-dependent fashion. In patients who present with CSA, consider decreasing the opioid dosage using best practices for opioid taper [see Dosage and Administration ( 2.7 )].

Patient Access to an Opioid Overdose Reversal Agent for the Emergency Treatment of Opioid Overdose

Inform patients and caregivers about opioid overdose reversal agents (e.g., naloxone, nalmefene). Discuss the

importance of having access to an opioid overdose reversal agent, especially if the patient has risk factors for overdose (e.g., concomitant use of CNS depressants, a history of opioid use disorder, or prior opioid overdose) or if there are household members (including children) or other close contacts at risk for accidental ingestion or opioid overdose. The presence of risk factors for overdose should not prevent the management of pain in any patient [see Warnings and Precautions (5.2, 5.4)]. Discuss the options for obtaining an opioid overdose reversal agent (e.g., prescription, over-the-counter, or as part of a community-based program).

There are important differences among the opioid overdose reversal agents, such as route of administration, product strength, approved patient age range, and pharmacokinetics. Be familiar with these differences, as outlined in the approved labeling for those products, prior to recommending or prescribing such an agent.

Educate patients and caregivers on how to recognize respiratory depression, and how to use an opioid overdose reversal agent for the emergency treatment of opioid overdose. Emphasize the importance of calling 911 or getting emergency medical help, even if an opioid overdose reversal agent is administered [see Dosage and Administration (2.2), Warnings and Precautions (5.2, 5.4), Overdosage (10)].

5.12 Risks of Gastrointestinal Complications

Hydromorphone Hydrochloride Oral Solution or Hydromorphone Hydrochloride Tablets are contraindicated in patients with known or suspected gastrointestinal obstruction, including paralytic ileus.

The hydromorphone in Hydromorphone Hydrochloride Oral Solution or Hydromorphone Hydrochloride Tablets may cause spasm of the sphincter of Oddi. Opioids may cause increases in serum amylase. Regularly evaluate patients with biliary tract disease, including acute pancreatitis, for worsening symptoms.

Cases of opioid-induced esophageal dysfunction (OIED) have been reported in patients taking opioids. The risk of OIED may increase as the dose and/or duration of opioids increases. Regularly evaluate patients for signs and symptoms of OIED (e.g., dysphagia, regurgitation, non-cardiac chest pain) and, if necessary, adjust opioid therapy as clinically appropriate [see Clinical Pharmacology (12.2)].

5.15 Risks of Driving and Operating Machinery

Hydromorphone Hydrochloride Oral Solution or Hydromorphone Hydrochloride Tablets may impair the mental or physical abilities needed to perform potentially hazardous activities such as driving a car or operating machinery. Warn patients not to drive or operate dangerous machinery unless they are tolerant to the effects of Hydromorphone Hydrochloride Oral Solution or Hydromorphone Hydrochloride Tablets and know how they will react to the medication.

5.7 Opioid Induced Hyperalgesia and Allodynia (5.7 Opioid-Induced Hyperalgesia and Allodynia)

Opioid-Induced Hyperalgesia (OIH) occurs when an opioid analgesic paradoxically causes an increase in pain, or an increase in sensitivity to pain. This condition differs from tolerance, which is the need for increasing doses of opioids to maintain a defined effect [see Dependence (9.3)]. Symptoms of OIH include (but may not be limited to) increased levels of pain upon opioid dosage increase, decreased levels of pain upon opioid dosage decrease, or pain from ordinarily non-painful stimuli (allodynia). These symptoms may suggest OIH only if there is no evidence of underlying disease progression, opioid tolerance, opioid withdrawal, or addictive behavior.

Cases of OIH have been reported, both with short-term and longer-term use of opioid analgesics. Though the mechanism of OIH is not fully understood, multiple biochemical pathways have been implicated. Medical literature suggests a strong biologic plausibility between opioid analgesics and OIH and allodynia. If a patient is suspected to be experiencing OIH, carefully consider appropriately decreasing the dose of the current opioid analgesic or opioid rotation (safely switching the patient to a different opioid moiety) [see Dosage and Administration (2.7), Warnings and Precautions (5.14)].

8.3 Females and Males of Reproductive Potential

Infertility

Use of opioids for an extended period of time may cause reduced fertility in females and males of reproductive potential. It is not known whether these effects on fertility are reversible [see Adverse Reactions (6.2), Clinical Pharmacology (12.2), Nonclinical Toxicology (13.1)].

2.1 Important Dosage and Administration Instructions

Ensure accuracy when prescribing, dispensing, and administering Hydromorphone Hydrochloride Oral Solution to avoid dosing errors due to confusion between mg and mL, which could result in accidental overdose and death. Ensure the proper dose is communicated and dispensed. When writing prescriptions, include both the total dose in mg and the total dose in volume.

Instruct patients and caregivers on how to accurately measure and take or administer the correct dose of Hydromorphone Hydrochloride Oral Solution.

Strongly advise patients and caregivers to always use a graduated oral syringe or measuring cup, with metric units of measurements (i.e., mL), to correctly measure the prescribed amount of medication.

Inform patients and caregivers that oral dosing devices may be obtained from their pharmacy and to never use household teaspoons or tablespoons to measure Hydromorphone Hydrochloride Oral Solution.

  • Hydromorphone Hydrochloride Oral Solution and Hydromorphone Hydrochloride Tablets should be prescribed only by healthcare professionals who are knowledgeable about the use of opioids and how to mitigate the associated risks.
  • Use the lowest effective dosage for the shortest duration of time consistent with individual patient treatment goals [see Warnings and Precautions (5)]. Because the risk of overdose increases as opioid doses increase, reserve titration to higher doses of Hydromorphone Hydrochloride Oral Solution and Hydromorphone Hydrochloride Tablets for patients in whom lower doses are insufficiently effective and in whom the expected benefits of using a higher dose opioid clearly outweigh the substantial risks.
  • Many acute pain conditions (e.g., the pain that occurs with a number of surgical procedures or acute musculoskeletal injuries) require no more than a few days of an opioid analgesic. Clinical guidelines on opioid prescribing for some acute pain conditions are available.
  • There is variability in the opioid analgesic dose and duration needed to adequately manage pain due both to the cause of pain and to individual patient factors. Initiate the dosing regimen for each patient individually, taking into account the patient’s underlying cause and severity of pain, prior analgesic treatment and response, and risk factors for addiction, abuse, and misuse [see Warnings and Precautions ( 5.2 )].
  • Respiratory depression can occur at any time during opioid therapy, especially when initiating and following dosage increases with Hydromorphone Hydrochloride Oral Solution and Hydromorphone Hydrochloride Tablets. Consider this risk when selecting an initial dose and when making dose adjustments [see Warnings and Precautions (2.1, 5)].
  • Initiate treatment with Hydromorphone Hydrochloride Oral Solution in a dosing range of 2.5 mL to 10 mL,

    2.5 mg to 10 mg, every 3 to 6 hours as needed for pain, and at the lowest dose necessary to achieve adequate analgesia. Titrate the dose based upon the individual patient’s response to their initial dose of Hydromorphone Hydrochloride Oral Solution [see Dosage and Administration (2), Warnings and Precautions (5)].
  • Initiate treatment with Hydromorphone Hydrochloride Tablets in a dosing range of 2 mg to 4 mg, orally, every

    4 to 6 hours as needed for pain, and at the lowest dose necessary to achieve adequate analgesia. Titrate the dose based upon the individual patient’s response to their initial dose of Hydromorphone Hydrochloride Tablets [see Dosage and Administration (2), Warnings and Precautions (5)].
Warning: Serious and Life Threatening Risks From Use Of (WARNING: SERIOUS AND LIFE-THREATENING RISKS FROM USE OF)

Risk of Medication Errors

Ensure accuracy when prescribing, dispensing, and administering Hydromorphone Hydrochloride Oral Solution. Dosing errors due to confusion between mg and mL, and other hydromorphone oral solutions of different concentrations can result in accidental overdose and death [see Dosage and Administration ( 2.1 ), Warnings and Precautions ( 5.1 )].

Addiction, Abuse, and Misuse

Because the use of Hydromorphone Hydrochloride Oral Solution and Hydromorphone Hydrochloride Tablets expose patients and other users to the risks of opioid addiction, abuse, and misuse, which can lead to overdose and death, assess each patient’s risk prior to prescribing and reassess all patients regularly for the development of these behaviors and conditions [see Warnings and Precautions ( 5.2 )].

Life-Threatening Respiratory Depression

Serious, life-threatening, or fatal respiratory depression may occur with use of Hydromorphone Hydrochloride Oral Solution and Hydromorphone Hydrochloride Tablets, especially during initiation or following a dosage increase. To reduce the risk of respiratory depression, proper dosing and titration of Hydromorphone Hydrochloride Oral Solution and Hydromorphone Hydrochloride Tablets are essential [see Warnings and Precautions (5.3)].

Accidental Ingestion

Accidental ingestion of even one dose of Hydromorphone Hydrochloride Oral Solution or Hydromorphone Hydrochloride Tablets, especially by children, can result in a fatal overdose of hydromorphone [see Warnings and Precautions (5.3)].

Risks From Concomitant Use With Benzodiazepines Or Other CNS Depressants

Concomitant use of opioids with benzodiazepines or other central nervous system (CNS) depressants, including alcohol, may result in profound sedation, respiratory depression, coma, and death. Reserve concomitant prescribing of Hydromorphone Hydrochloride Oral Solution and Hydromorphone Hydrochloride Tablets and benzodiazepines or other CNS depressants for use in patients for whom alternative treatment options are inadequate [see Warnings and Precautions (5.4), Drug Interactions (7)].

Neonatal Opioid Withdrawal Syndrome (NOWS)

Advise pregnant women using opioids for an extended period of time of the risk of Neonatal Opioid Withdrawal Syndrome, which may be life-threatening if not recognized and treated. Ensure that management by neonatology experts will be available at delivery [see Warnings and Precautions (5.5)].

Opioid Analgesic Risk Evaluation and Mitigation Strategy (REMS)

Healthcare providers are strongly encouraged to complete a REMS-compliant education program and to counsel patients and caregivers on serious risks, safe use, and the importance of reading the Medication Guide with each prescription [see Warnings and Precautions (5.6)].

13.1 Carcinogenesis, Mutagenesis, Impairment of Fertility

Carcinogenesis

Long term studies in animals to evaluate the carcinogenic potential of hydromorphone have not been conducted.

Mutagenesis

Hydromorphone was positive in the mouse lymphoma assay in the presence of metabolic activation, but was negative in the mouse lymphoma assay in the absence of metabolic activation. Hydromorphone was not mutagenic in the in vitro bacterial reverse mutation assay (Ames assay). Hydromorphone was not clastogenic in either the in vitro human lymphocyte chromosome aberration assay or the in vivo mouse micronucleus assay.

Impairment of Fertility

Reduced implantation sites and viable fetuses were noted at 2.1 times the human daily dose of 32 mg/day in a study in which female rats were treated orally with 1.75, 3.5, or 7 mg/kg/day hydromorphone hydrochloride (0.5, 1.1, or 2.1 times a human daily dose of 24 mg/day (HDD) based on body surface area) beginning 14 days prior to mating through Gestation Day 7 and male rats were treated with the same hydromorphone hydrochloride doses beginning 28 days prior to and throughout mating.

2.5 Dosage Modifications in Patients With Renal Impairment (2.5 Dosage Modifications in Patients with Renal Impairment)

Initiate treatment with one-fourth to one-half the usual Hydromorphone Hydrochloride starting dose depending on the degree of impairment [see Use in Specific Populations (8.7), Clinical Pharmacology (12.3)].

2.4 Dosage Modifications in Patients With Hepatic Impairment (2.4 Dosage Modifications in Patients with Hepatic Impairment)

Initiate treatment with one-fourth to one-half the usual Hydromorphone Hydrochloride starting dose depending on the degree of impairment [see Use in Specific Populations (8.6), Clinical Pharmacology (12.3)].

5.1 Risk of Accidental Overdose and Death Due to Medication Errors (5.1 Risk of Accidental Overdose and Death due to Medication Errors)

Dosing errors can result in accidental overdose and death. Avoid dosing errors that may result from confusion between mg and mL and confusion with other hydromorphone oral solutions of different concentrations, when prescribing, dispensing, and administering Hydromorphone Hydrochloride Oral Solution. Ensure that the dose is communicated clearly and dispensed accurately.

Instruct patients and caregivers on how to measure and take or administer the correct dose of Hydromorphone Hydrochloride Oral Solution and to use extreme caution when measuring the dose. Strongly advise patients and caregivers to obtain and always use a graduated device that can measure and deliver the prescribed dose accurately, and to never use household teaspoons or tablespoons to measure a dose because these are not accurate measuring devices.

5.13 Increased Risk of Seizures in Patients With Seizure Disorders (5.13 Increased Risk of Seizures in Patients with Seizure Disorders)

The hydromorphone in Hydromorphone Hydrochloride Oral Solution or Hydromorphone Hydrochloride Tablets may increase the frequency of seizures in patients with seizure disorders, and may increase the risk of seizures occurring in other clinical settings associated with seizures. Regularly evaluate patients with a history of seizure disorders for worsened seizure control during Hydromorphone Hydrochloride Oral Solution or Hydromorphone Hydrochloride Tablets therapy.

5.6 Opioid Analgesic Risk Evaluation and Mitigation Strategy (rems) (5.6 Opioid Analgesic Risk Evaluation and Mitigation Strategy (REMS))

To ensure that the benefits of opioid analgesics outweigh the risks of addiction, abuse, and misuse, the Food and Drug Administration (FDA) has required a Risk Evaluation and Mitigation Strategy (REMS) for these products. Under the requirements of the REMS, drug companies with approved opioid analgesic products must make REMS-compliant education programs available to healthcare providers. Healthcare providers are strongly encouraged to do all of the following:

  • Complete a REMS-compliant education program offered by an accredited provider of continuing education (CE) or another education program that includes all the elements of the FDA Education Blueprint for Health Care Providers Involved in the Management or Support of Patients with Pain.
  • Discuss the safe use, serious risks, and proper storage and disposal of opioid analgesics with patients and/or their caregivers every time these medicines are prescribed. The Patient Counseling Guide (PCG) can be obtained at this link: www.fda.gov/OpioidAnalgesicREMSPCG.
  • Emphasize to patients and their caregivers the importance of reading the Medication Guide that they will receive from their pharmacist every time an opioid analgesic is dispensed to them.
  • Consider using other tools to improve patient, household, and community safety, such as patient-prescriber agreements that reinforce patient-prescriber responsibilities.

To obtain further information on the opioid analgesic REMS and for a list of accredited REMS CME/CE, call 1-800-503-0784, or log on to www.opioidanalgesicrems.com. The FDA Blueprint can be found at www.fda.gov/OpioidAnalgesicREMSBlueprint.

5.4 Risks From Concomitant Use With Benzodiazepines Or Other Cns Depressants (5.4 Risks from Concomitant Use with Benzodiazepines or Other CNS Depressants)

Profound sedation, respiratory depression, coma, and death may result from the concomitant use of Hydromorphone Hydrochloride Oral Solution and Hydromorphone Hydrochloride Tablets with benzodiazepines and/or other CNS depressants, including alcohol (e.g., non-benzodiazepine sedatives/hypnotics, anxiolytics, tranquilizers, muscle relaxants,

general anesthetics, antipsychotics, gabapentinoids [gabapentin or pregabalin], and other opioids). Because of these risks,

reserve concomitant prescribing of these drugs for use in patients for whom alternative treatment options are inadequate.

Observational studies have demonstrated that concomitant use of opioid analgesics and benzodiazepines increases the risk of drug-related mortality compared to use of opioid analgesics alone. Because of similar pharmacological properties, it is reasonable to expect similar risk with the concomitant use of other CNS depressant drugs with opioid analgesics [see Drug Interactions (7)].

If the decision is made to prescribe a benzodiazepine or other CNS depressant concomitantly with an opioid analgesic, prescribe the lowest effective dosages and minimum durations of concomitant use. In patients already receiving an opioid analgesic, prescribe a lower initial dose of the benzodiazepine or other CNS depressant than indicated in the absence of an opioid, and titrate based on clinical response. If an opioid analgesic is initiated in a patient already taking a benzodiazepine or other CNS depressant, prescribe a lower initial dose of the opioid analgesic, and titrate based on clinical response. Inform patients and caregivers of this potential interaction and educate them on the signs and symptoms of respiratory depression (including sedation).

If concomitant use is warranted, consider recommending or prescribing an opioid overdose reversal agent [see Dosage and Administration (2.2), Warnings and Precautions (5.3), Overdosage (10)].

Advise both patients and caregivers about the risks of respiratory depression and sedation when Hydromorphone Hydrochloride Oral Solution or Hydromorphone Hydrochloride Tablets are used with benzodiazepines or other CNS depressants (including alcohol and illicit drugs). Advise patients not to drive or operate heavy machinery until the effects of concomitant use of the benzodiazepine or other CNS depressant have been determined. Screen patients for risk of substance use disorders, including opioid abuse and misuse, and warn them of the risk for overdose and death associated with the use of additional CNS depressants including alcohol and illicit drugs [see Drug Interactions (7)].

2.2 Patient Access to An Opioid Overdose Reversal Agent for the Emergency Treatment of Opioid Overdose (2.2 Patient Access to an Opioid Overdose Reversal Agent for the Emergency Treatment of Opioid Overdose)

Inform patients and caregivers about opioid overdose reversal agents (e.g., naloxone, nalmefene). Discuss the importance of having access to an opioid overdose reversal agent, especially if the patient has risk factors for overdose (e.g., concomitant use of CNS depressants, a history of opioid use disorder, or prior opioid overdose) or if there are household members (including children) or other close contacts at risk for accidental ingestion or opioid overdose. The presence of risk factors for overdose should not prevent the management of pain in any patient [see Warnings and Precautions (5.2, 5.3, 5.4)].

Discuss the options for obtaining an opioid overdose reversal agent (e.g., prescription, over-the-counter, or as part of a community-based program) [see Warnings and Precautions (5.3)].

There are important differences among the opioid overdose reversal agents, such as route of administration, product strength, approved patient age range, and pharmacokinetics. Be familiar with these differences, as outlined in the approved labeling for those products, prior to recommending or prescribing such an agent.

5.11 Risks of Use in Patients With Increased Intracranial Pressure, Brain Tumors, Head Injury, Or Impaired Consciousness (5.11 Risks of Use in Patients with Increased Intracranial Pressure, Brain Tumors, Head Injury, or Impaired Consciousness)

In patients who may be susceptible to the intracranial effects of CO2 retention (e.g., those with evidence of increased intracranial pressure or brain tumors), Hydromorphone Hydrochloride Oral Solution or Hydromorphone Hydrochloride Tablets may reduce respiratory drive, and the resultant CO2 retention can further increase intracranial pressure. Monitor such patients for signs of sedation and respiratory depression, particularly when initiating therapy with Hydromorphone Hydrochloride Oral Solution or Hydromorphone Hydrochloride Tablets.

Opioids may also obscure the clinical course in a patient with a head injury. Avoid the use of Hydromorphone Hydrochloride in patients with impaired consciousness or coma.

2.7 Safe Reduction Or Discontinuation of Hydromorphone Hydrochloride Oral Solution Or Hydromorphone Hydrochloride Tablets (2.7 Safe Reduction or Discontinuation of Hydromorphone Hydrochloride Oral Solution or Hydromorphone Hydrochloride Tablets)

Do not rapidly reduce or abruptly discontinue Hydromorphone Hydrochloride Oral Solution and Hydromorphone Hydrochloride Tablets in patients who may be physically dependent on opioids. Rapid reduction or abrupt discontinuation of opioid analgesics in patients who are physically dependent on opioids has resulted in serious withdrawal symptoms, uncontrolled pain, and suicide. Rapid reduction or abrupt discontinuation has also been associated with attempts to find other sources of opioid analgesics, which may be confused with drug-seeking for abuse. Patients may also attempt to treat their pain or withdrawal symptoms with illicit opioids, such as heroin, and other substances.

When a decision has been made to decrease the dose or discontinue therapy in an opioid dependent patient taking Hydromorphone Hydrochloride Oral Solution and Hydromorphone Hydrochloride Tablets, there are a variety of factors that should be considered, including the total daily dose of opioid (including Hydromorphone Hydrochloride Oral Solution and Hydromorphone Hydrochloride Tablets) the patient has been taking, the duration of treatment, the type of pain being treated, and the physical and psychological attributes of the patient. It is important to ensure ongoing care of the patient and to agree on an appropriate tapering schedule and follow-up plan so that patient and provider goals and expectations are clear and realistic. When opioid analgesics are being discontinued due to a suspected substance use disorder, evaluate and treat the patient, or refer for evaluation and treatment of the substance use disorder. Treatment should include evidence-based approaches, such as medication assisted treatment of opioid use disorder. Complex patients with co-morbid pain and substance use disorders may benefit from referral to a specialist.

There are no standard opioid tapering schedules that are suitable for all patients. Good clinical practice dictates a patient-specific plan to taper the dose of the opioid gradually. For patients on Hydromorphone Hydrochloride Oral Solution and Hydromorphone Hydrochloride Tablets who are physically opioid-dependent, initiate the taper by a small enough increment (e.g., no greater than 10% to 25% of the total daily dose) to avoid withdrawal symptoms, and proceed with dose-lowering at an interval of every 2 to 4 weeks. Patients who have been taking opioids for briefer periods of time may tolerate a more rapid taper.

It may be necessary to provide the patient with lower dosage strengths to accomplish a successful taper. Reassess the patient frequently to manage pain and withdrawal symptoms, should they emerge. Common withdrawal symptoms include restlessness, lacrimation, rhinorrhea, yawning, perspiration, chills, myalgia, and mydriasis. Other signs and symptoms also may develop, including irritability, anxiety, backache, joint pain, weakness, abdominal cramps, insomnia, nausea, anorexia, vomiting, diarrhea, or increased blood pressure, respiratory rate, or heart rate. If withdrawal symptoms arise, it may be necessary to pause the taper for a period of time or raise the dose of the opioid analgesic to the previous dose, and then proceed with a slower taper. In addition, evaluate patients for any changes in mood, emergence of suicidal thoughts, or use of other substances.

When managing patients taking opioid analgesics, particularly those who have been treated for an extended period of time, and/or with high doses for chronic pain, ensure that a multimodal approach to pain management, including mental health support (if needed), is in place prior to initiating an opioid analgesic taper. A multimodal approach to pain management may optimize the treatment of chronic pain, as well as assist with the successful tapering of the opioid analgesic [see Warnings and Precautions (5.14), Drug Abuse and Dependence (9.3)].

5.8 Life Threatening Respiratory Depression in Patients With Chronic Pulmonary Disease Or in Elderly, Cachectic, Or Debilitated Patients (5.8 Life-Threatening Respiratory Depression in Patients with Chronic Pulmonary Disease or in Elderly, Cachectic, or Debilitated Patients)

The use of Hydromorphone Hydrochloride Oral Solution or Hydromorphone Hydrochloride Tablets in patients with acute or severe bronchial asthma in an unmonitored setting or in the absence of resuscitative equipment is contraindicated.

Patients with Chronic Pulmonary Disease

Hydromorphone Hydrochloride Oral Solution- or Hydromorphone Hydrochloride Tablet-treated patients with significant chronic obstructive pulmonary disease or cor pulmonale, and those with a substantially decreased respiratory reserve, hypoxia, hypercapnia, or pre-existing respiratory depression are at increased risk of decreased respiratory drive including apnea, even at recommended dosages of Hydromorphone Hydrochloride Oral Solution or Hydromorphone Hydrochloride Tablets [see Warnings and Precautions (5.3)].

Elderly, Cachectic, or Debilitated Patients

Life-threatening respiratory depression is more likely to occur in elderly, cachectic, or debilitated patients because they may have altered pharmacokinetics or altered clearance compared to younger, healthier patients [see Warnings and Precautions (5.3)].

Regularly evaluate patients, particularly when initiating and titrating Hydromorphone Hydrochloride Oral Solution or Hydromorphone Hydrochloride Tablets and when Hydromorphone Hydrochloride is given concomitantly with other drugs that depress respiration [see Warnings and Precautions (5.3, 5.4), Drug Interactions (7)]. Alternatively, consider the use of non-opioid analgesics in these patients.


Advanced Ingredient Data


Raw Label Data

All Sections (JSON)