These Highlights Do Not Include All The Information Needed To Use Heparin Sodium In 0.45% Sodium Chloride Injection Or Heparin Sodium In 5% Dextrose Injection Safely And Effectively. See Full Prescribing Information For Heparin Sodium In 0.45% Sodium Chloride Injection Or Heparin Sodium In 5% Dextrose Injection.

These Highlights Do Not Include All The Information Needed To Use Heparin Sodium In 0.45% Sodium Chloride Injection Or Heparin Sodium In 5% Dextrose Injection Safely And Effectively. See Full Prescribing Information For Heparin Sodium In 0.45% Sodium Chloride Injection Or Heparin Sodium In 5% Dextrose Injection.
SPL v8
SPL
SPL Set ID cb1c1e7a-c9ca-4a07-8833-e45ce436d287
Route
INTRAVENOUS
Published
Effective Date 2019-12-31
Document Type 34391-3 HUMAN PRESCRIPTION DRUG LABEL

Drug Facts

Composition & Product

Active Ingredients
Heparin (5000 [USP'U])
Inactive Ingredients
Dextrose Monohydrate Anhydrous Citric Acid Trisodium Citrate Dihydrate Sodium Metabisulfite Sodium Chloride Edetate Disodium Sodium Hydroxide Hydrochloric Acid Water

Identifiers & Packaging

Marketing Status
NDA Active Since 2017-08-24

Description

Heparin sodium is indicated for: Prophylaxis and treatment of venous thromboembolism and pulmonary embolism; Atrial fibrillation with embolization; Treatment of acute and chronic consumptive coagulopathies (disseminated intravascular coagulation); Prevention of clotting in arterial and cardiac surgery; Prophylaxis and treatment of peripheral arterial embolism; Anticoagulant use in blood transfusions, extracorporeal circulation, and dialysis procedures.

Warnings and Precautions

Fatal Medication Errors: Confirm choice of correct strength prior to administration. ( 5.1 ) Hemorrhage: Fatal cases have occurred. Use caution in conditions with increased risk of hemorrhage. ( 5.2 ) HIT and HITT: Monitor for signs and symptoms and discontinue if indicative of HIT and HITT. ( 5.3 ) Monitoring: Blood coagulation tests guide therapy for full-dose heparin. Monitor platelet count and hematocrit in all patients receiving heparin. ( 5.5 )

Contraindications

The use of Heparin Sodium in 0.45% Sodium Chloride Injection or Heparin Sodium in 5% Dextrose Injection is contraindicated in patients with the following conditions: History of Heparin-Induced Thrombocytopenia (HIT) and Heparin-Induced Thrombocytopenia and Thrombosis (HITT) [see Warnings and Precautions ( 5.3 )] Known hypersensitivity to heparin or pork products (e.g., anaphylactoid reactions) [see Adverse Reactions ( 6.1 )] In whom suitable blood coagulation tests — e.g., the whole blood clotting time, partial thromboplastin time, etc.,  — cannot be performed at appropriate intervals (this contraindication refers to full-dose heparin; there is usually no need to monitor coagulation parameters in patients receiving low-dose heparin) [see Warnings and Precautions ( 5.5 )] An uncontrolled bleeding state [see Warnings and Precautions ( 5.2 )] , except when this is due to disseminated intravascular coagulation.

Adverse Reactions

The following serious adverse reactions are described elsewhere in the labeling: Hemorrhage [see Warnings and Precautions ( 5.2 )] Heparin-Induced Thrombocytopenia (HIT) and  Heparin-Induced Thrombocytopenia and Thrombosis (HITT) [see Warnings and Precautions ( 5.3 )] Thrombocytopenia [see Warnings and Precautions ( 5.4 )] Heparin Resistance [see Warnings and Precautions ( 5.6 )] Hypersensitivity [see Warnings and Precautions ( 5.7 )]

Drug Interactions

Drugs that interfere with coagulation, platelet aggregation or drugs that counteract coagulation may induce bleeding. ( 7 )

Storage and Handling

Heparin Sodium in 0.45% Sodium Chloride Injection is supplied as follows: Product Code Unit of Sale Strength Each 518077 NDC 63323-518-77 Unit of 24 25,000 USP units per 500 mL (50 USP units per mL) NDC 63323-518-01 500 mL Single Dose free flex ® Bag 517074 NDC 63323-517-74 Unit of 24 25,000 USP units per 250 mL (100 USP units per mL) NDC 63323-517-01 250 mL Single Dose free flex ® Bag Heparin Sodium in 5% Dextrose Injection is supplied as follows: Product Code Unit of Sale Strength Each 507277 NDC 63323-522-77 Unit of 24 25,000 USP units per 500 mL (50 USP units per mL) NDC 63323-522-01 500 mL Single Dose free flex ® Bag 507374 NDC 63323-523-74 Unit of 24 25,000 USP units per 250 mL (100 USP units per mL) NDC 63323-523-01 250 mL Single Dose free flex ® Bag Store at 20° to 25°C (68° to 77°F) [see USP Controlled Room Temperature].  Avoid excessive heat.  Do not freeze. The container closure is not made with natural rubber latex. Non-PVC, Non-DEHP, Sterile.

How Supplied

Heparin Sodium in 0.45% Sodium Chloride Injection is supplied as follows: Product Code Unit of Sale Strength Each 518077 NDC 63323-518-77 Unit of 24 25,000 USP units per 500 mL (50 USP units per mL) NDC 63323-518-01 500 mL Single Dose free flex ® Bag 517074 NDC 63323-517-74 Unit of 24 25,000 USP units per 250 mL (100 USP units per mL) NDC 63323-517-01 250 mL Single Dose free flex ® Bag Heparin Sodium in 5% Dextrose Injection is supplied as follows: Product Code Unit of Sale Strength Each 507277 NDC 63323-522-77 Unit of 24 25,000 USP units per 500 mL (50 USP units per mL) NDC 63323-522-01 500 mL Single Dose free flex ® Bag 507374 NDC 63323-523-74 Unit of 24 25,000 USP units per 250 mL (100 USP units per mL) NDC 63323-523-01 250 mL Single Dose free flex ® Bag Store at 20° to 25°C (68° to 77°F) [see USP Controlled Room Temperature].  Avoid excessive heat.  Do not freeze. The container closure is not made with natural rubber latex. Non-PVC, Non-DEHP, Sterile.


Medication Information

Warnings and Precautions

Fatal Medication Errors: Confirm choice of correct strength prior to administration. ( 5.1 ) Hemorrhage: Fatal cases have occurred. Use caution in conditions with increased risk of hemorrhage. ( 5.2 ) HIT and HITT: Monitor for signs and symptoms and discontinue if indicative of HIT and HITT. ( 5.3 ) Monitoring: Blood coagulation tests guide therapy for full-dose heparin. Monitor platelet count and hematocrit in all patients receiving heparin. ( 5.5 )

Contraindications

The use of Heparin Sodium in 0.45% Sodium Chloride Injection or Heparin Sodium in 5% Dextrose Injection is contraindicated in patients with the following conditions: History of Heparin-Induced Thrombocytopenia (HIT) and Heparin-Induced Thrombocytopenia and Thrombosis (HITT) [see Warnings and Precautions ( 5.3 )] Known hypersensitivity to heparin or pork products (e.g., anaphylactoid reactions) [see Adverse Reactions ( 6.1 )] In whom suitable blood coagulation tests — e.g., the whole blood clotting time, partial thromboplastin time, etc.,  — cannot be performed at appropriate intervals (this contraindication refers to full-dose heparin; there is usually no need to monitor coagulation parameters in patients receiving low-dose heparin) [see Warnings and Precautions ( 5.5 )] An uncontrolled bleeding state [see Warnings and Precautions ( 5.2 )] , except when this is due to disseminated intravascular coagulation.

Adverse Reactions

The following serious adverse reactions are described elsewhere in the labeling: Hemorrhage [see Warnings and Precautions ( 5.2 )] Heparin-Induced Thrombocytopenia (HIT) and  Heparin-Induced Thrombocytopenia and Thrombosis (HITT) [see Warnings and Precautions ( 5.3 )] Thrombocytopenia [see Warnings and Precautions ( 5.4 )] Heparin Resistance [see Warnings and Precautions ( 5.6 )] Hypersensitivity [see Warnings and Precautions ( 5.7 )]

Drug Interactions

Drugs that interfere with coagulation, platelet aggregation or drugs that counteract coagulation may induce bleeding. ( 7 )

Storage and Handling

Heparin Sodium in 0.45% Sodium Chloride Injection is supplied as follows: Product Code Unit of Sale Strength Each 518077 NDC 63323-518-77 Unit of 24 25,000 USP units per 500 mL (50 USP units per mL) NDC 63323-518-01 500 mL Single Dose free flex ® Bag 517074 NDC 63323-517-74 Unit of 24 25,000 USP units per 250 mL (100 USP units per mL) NDC 63323-517-01 250 mL Single Dose free flex ® Bag Heparin Sodium in 5% Dextrose Injection is supplied as follows: Product Code Unit of Sale Strength Each 507277 NDC 63323-522-77 Unit of 24 25,000 USP units per 500 mL (50 USP units per mL) NDC 63323-522-01 500 mL Single Dose free flex ® Bag 507374 NDC 63323-523-74 Unit of 24 25,000 USP units per 250 mL (100 USP units per mL) NDC 63323-523-01 250 mL Single Dose free flex ® Bag Store at 20° to 25°C (68° to 77°F) [see USP Controlled Room Temperature].  Avoid excessive heat.  Do not freeze. The container closure is not made with natural rubber latex. Non-PVC, Non-DEHP, Sterile.

How Supplied

Heparin Sodium in 0.45% Sodium Chloride Injection is supplied as follows: Product Code Unit of Sale Strength Each 518077 NDC 63323-518-77 Unit of 24 25,000 USP units per 500 mL (50 USP units per mL) NDC 63323-518-01 500 mL Single Dose free flex ® Bag 517074 NDC 63323-517-74 Unit of 24 25,000 USP units per 250 mL (100 USP units per mL) NDC 63323-517-01 250 mL Single Dose free flex ® Bag Heparin Sodium in 5% Dextrose Injection is supplied as follows: Product Code Unit of Sale Strength Each 507277 NDC 63323-522-77 Unit of 24 25,000 USP units per 500 mL (50 USP units per mL) NDC 63323-522-01 500 mL Single Dose free flex ® Bag 507374 NDC 63323-523-74 Unit of 24 25,000 USP units per 250 mL (100 USP units per mL) NDC 63323-523-01 250 mL Single Dose free flex ® Bag Store at 20° to 25°C (68° to 77°F) [see USP Controlled Room Temperature].  Avoid excessive heat.  Do not freeze. The container closure is not made with natural rubber latex. Non-PVC, Non-DEHP, Sterile.

Description

Heparin sodium is indicated for: Prophylaxis and treatment of venous thromboembolism and pulmonary embolism; Atrial fibrillation with embolization; Treatment of acute and chronic consumptive coagulopathies (disseminated intravascular coagulation); Prevention of clotting in arterial and cardiac surgery; Prophylaxis and treatment of peripheral arterial embolism; Anticoagulant use in blood transfusions, extracorporeal circulation, and dialysis procedures.

Section 51945-4

PACKAGE LABEL - PRINCIPAL DISPLAY PANEL - Heparin Sodium 500 mL Bag Label  

NDC 63323-518-01

Heparin

Heparin Sodium in 0.45% Sodium Chloride Injection

25,000 USP units per 500 mL (5
0 USP units per mL) 

For intravenous use only.

Single Dose Container.

Discard unused portion.

Rx only

DO NOT ADMIX WITH OTHER DRUGS.

10 Overdosage

Bleeding may result from heparin overdosage. 

Neutralization of heparin effect

When circumstances (e.g., bleeding) require reversal of heparinization, protamine sulfate (1% solution) by slow infusion will neutralize heparin sodium.

No more than 50 mg should be administered, very slowly, in any 10 minute period.  Each mg of protamine sulfate neutralizes approximately 100 USP units.  The amount of protamine required decreases over time as heparin is metabolized.  Although the metabolism of heparin is complex, it may, for the purpose of choosing a protamine dose, be assumed to have a half-life of about 1/2 hour after intravenous injection.

Because fatal reactions often resembling anaphylaxis have been reported, the drug should be given only when resuscitation techniques and treatment of anaphylactoid shock are readily available.

For additional information, consult the prescribing information for Protamine Sulfate Injection, USP.

8.1 Pregnancy

Risk Summary

There are no available data on heparin sodium use in pregnant women to inform a drug-associated risk of major birth defects and miscarriage.  In published reports, heparin exposure during pregnancy did not show evidence of an increased risk of adverse maternal or fetal outcomes in humans.  No teratogenicity, but early embryo-fetal death was observed in animal reproduction studies with administration of heparin sodium to pregnant rats and rabbits during organogenesis at doses approximately 10 times the maximum recommended human dose (MRHD) of 40,000 units/24 hours infusion (see Data).  Consider the benefits and risks of Heparin Sodium in 0.45% Sodium Chloride Injection or Heparin Sodium in 5% Dextrose Injection to a pregnant woman and possible risks to the fetus when prescribing Heparin Sodium in 0.45% Sodium Chloride Injection or Heparin Sodium in 5% Dextrose Injection to a pregnant woman.  

The estimated background risk of major birth defects and miscarriage for the indicated population is unknown. All pregnancies have a background risk of birth defect, loss, or other adverse outcomes. In the U.S. general population, the estimated background risk of major birth defects and miscarriage in clinically recognized pregnancies is 2 to 4% and 15 to 20%, respectively.

Data

Human Data

The maternal and fetal outcomes associated with uses of heparin via various dosing methods and administration routes during pregnancy have been investigated in numerous studies.  These studies generally reported normal deliveries with no maternal or fetal bleeding and no other complications.

Animal Data

In a published study conducted in rats and rabbits, pregnant animals received heparin intravenously during organogenesis at a dose of 10,000 USP units/kg/day, approximately 10 times the maximum human daily dose based on body weight.  The number of early resorptions increased in both species. There was no evidence of teratogenic effects.

8.2 Lactation

Risk Summary

There is no information regarding the presence of Heparin Sodium in 0.45% Sodium Chloride Injection or Heparin Sodium in 5% Dextrose Injection in human milk, the effects on the breastfed infant, or the effects on milk production.  Due to its large molecular weight, heparin is not likely to be excreted in human milk, and any heparin in milk would not be orally absorbed by a nursing infant.  The developmental and health benefits of breastfeeding should be considered along with the mother’s clinical need for Heparin Sodium in 0.45% Sodium Chloride Injection or Heparin Sodium in 5% Dextrose Injection and any potential adverse effects on the breastfed infant from Heparin Sodium in 0.45% Sodium Chloride Injection or Heparin Sodium in 5% Dextrose Injection or from the underlying maternal condition [see Use in Specific Populations (8.4)].

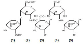
11 Description

Heparin is a heterogeneous group of straight-chain anionic mucopolysaccharides, called glycosaminoglycans, possessing anticoagulant properties.  It is composed of polymers of alternating derivations of α-D-glucosamido (N-sulfated O-sulfated O-sulfated or N-acetylated) and O-sulfated uronic acid (α-L-iduronic acid or β-D-glucoronic acid).

Structure of Heparin Sodium (representative subunits):



Heparin Sodium in 0.45% Sodium Chloride Injection and Heparin Sodium in 5% Dextrose Injection are sterile, nonpyrogenic solutions prepared from heparin sodium (derived from porcine intestinal mucosa) for intravenous administration.  The potency is determined by a biological assay using a USP reference standard based on units of heparin activity per milligram.

Heparin Sodium in 0.45% Sodium Chloride Injection, is available as follows:

Each 100 mL contains heparin sodium 5,000 or 10,000 USP Units; sodium chloride, 0.45 g; edetate disodium, dihydrate, 0.0111 g added as a stabilizer and water for injection, q.s.  Each liter contains the following electrolytes: Sodium 77 mEq and chloride 77 mEq; pH 5.0 to 7.5.  The solution may contain sodium hydroxide and/or hydrochloric acid for pH adjustment.

Heparin Sodium in 5% Dextrose Injection, is available as follows:

Each 100 mL contains heparin sodium 5,000 or 10,000 USP Units; dextrose hydrous, 5 g; citric acid anhydrous, 51 mg and sodium citrate dihydrate, 334 mg added as buffers; and sodium metabisulfite, 20 mg added as an antioxidant.  Each liter contains the following electrolytes: Sodium 39 mEq and citrate 42 mEq; pH 5.0 to 7.5.  

5.2 Hemorrhage

Avoid using heparin in the presence of major bleeding, except when the benefits of heparin therapy outweigh the potential risks.

Hemorrhage, including fatal events, has occurred in patients receiving Heparin Sodium.  Hemorrhage can occur at virtually any site in patients receiving heparin.  Adrenal hemorrhage (with resultant acute adrenal insufficiency), ovarian hemorrhage, and retroperitoneal hemorrhage have occurred during anticoagulant therapy with heparin [see Adverse Reactions (6.1)]. A higher incidence of bleeding has been reported in patients, particularly women, over 60 years of age [see Clinical Pharmacology (12.3)].  An unexplained fall in hematocrit or fall in blood pressure should lead to serious consideration of a hemorrhagic event.

Use heparin sodium with caution in disease states in which there is increased risk of hemorrhage, including:

  • Cardiovascular  — Subacute bacterial endocarditis, severe hypertension.
  • Surgical — During and immediately following (a) spinal tap or spinal anesthesia or (b) major surgery, especially involving the brain, spinal cord or eye.
  • Hematologic  — Conditions associated with increased bleeding tendencies, such as hemophilia, thrombocytopenia and some vascular purpuras.
  • Patients with hereditary antithrombin III deficiency receiving concurrent antithrombin III therapy  — The anticoagulant effect of heparin is enhanced by concurrent treatment with antithrombin III (human) in patients with hereditary antithrombin III deficiency.  To reduce the risk of bleeding, reduce the heparin dose during concomitant treatment with antithrombin III (human).
  • Gastrointestinal — Ulcerative lesions and continuous tube drainage of the stomach or small intestine.
  • Other  — Menstruation, liver disease with impaired hemostasis.
2.4 Pediatric Use

There are no adequate and well-controlled studies on heparin use in pediatric patients.  Pediatric dosing recommendations are based on clinical experience.  In general, the following dosage schedule may be used as a guideline in pediatric patients:

           

Initial Dose:                 75 to 100 units/kg (intravenous bolus over 10 minutes)

Maintenance Dose       Infants:  25 to 30 units/kg/hour;  

                                     Infants < 2 months have the highest requirements (average 28 units/kg/hour)

                                     Children > 1 year of age: 18 to 20 units/kg/hour;

                                     Older children may require less heparin, similar to weight-adjusted adult dosage

Monitoring:                  Adjust heparin to maintain aPTT of 60 to 85 seconds, assuming this reflects an 

                                     anti-Factor Xa level of 0.35 to 0.70.

8.4 Pediatric Use

There are no adequate and well-controlled studies on heparin use in pediatric patients.  Pediatric dosing recommendations are based on clinical experience [see Dosage and Administration (2.4)].

8.5 Geriatric Use

There are limited adequate and well-controlled studies in patients 65 years and older.  However, a higher incidence of bleeding has been reported in patients over 60 years of age, especially women [see Warnings and Precautions (5.2)].  Lower doses of heparin may be indicated in these patients [see Clinical Pharmacology (12.3)].

4 Contraindications

The use of Heparin Sodium in 0.45% Sodium Chloride Injection or Heparin Sodium in 5% Dextrose Injection is contraindicated in patients with the following conditions:

  • History of Heparin-Induced Thrombocytopenia (HIT) and Heparin-Induced Thrombocytopenia and Thrombosis (HITT) [see Warnings and Precautions (5.3)]
  • Known hypersensitivity to heparin or pork products (e.g., anaphylactoid reactions) [see Adverse Reactions (6.1)]
  • In whom suitable blood coagulation tests — e.g., the whole blood clotting time, partial thromboplastin time, etc.,  — cannot be performed at appropriate intervals (this contraindication refers to full-dose heparin; there is usually no need to monitor coagulation parameters in patients receiving low-dose heparin) [see Warnings and Precautions (5.5)]
  • An uncontrolled bleeding state [see Warnings and Precautions (5.2)], except when this is due to disseminated intravascular coagulation.
6 Adverse Reactions

The following serious adverse reactions are described elsewhere in the labeling:

  • Hemorrhage [see Warnings and Precautions (5.2)]
  • Heparin-Induced Thrombocytopenia (HIT) and  Heparin-Induced Thrombocytopenia and Thrombosis (HITT) [see Warnings and Precautions (5.3)]
  • Thrombocytopenia [see Warnings and Precautions (5.4)]
  • Heparin Resistance [see Warnings and Precautions (5.6)]
  • Hypersensitivity [see Warnings and Precautions (5.7)]
7 Drug Interactions

Drugs that interfere with coagulation, platelet aggregation or drugs that counteract coagulation may induce bleeding. (7)

5.4 Thrombocytopenia

Thrombocytopenia has been reported to occur in patients receiving heparin with a reported incidence of up to 30%.  It can occur 2 to 20 days (average 5 to 9) following the onset of heparin therapy.  Obtain platelet counts before and periodically during heparin therapy.  Monitor thrombocytopenia of any degree closely.  If the count falls below 100,000/mm 3 or if recurrent thrombosis develops, promptly discontinue heparin, evaluate for HIT and, if necessary, administer an alternative anticoagulant [see Warnings and Precautions (5.3)].

5.7 Hypersensitivity

Patients with documented hypersensitivity to heparin should be given the drug only in clearly life-threatening situations [see Adverse Reactions (6.1)].  Because heparin sodium is derived from animal tissue, monitor for signs and symptoms of hypersensitivity when it is used in patients with a history of allergy.

Heparin Sodium in 5% Dextrose Injection

This product contains sodium metabisulfite, a sulfite that may cause allergic-type reactions including anaphylactic symptoms and life-threatening or less severe asthmatic episodes in certain susceptible people.  The overall prevalence of sulfite sensitivity in the general population is unknown and probably low.  Sulfite sensitivity is seen more frequently in asthmatic than in nonasthmatic people.

12.2 Pharmacodynamics

Bleeding time is usually unaffected by heparin. Various times (activated clotting time, activated partial thromboplastin time, prothrombin time, whole blood clotting time) are prolonged by full therapeutic doses of heparin; in most cases it is not measurably affected by low doses of heparin.

12.3 Pharmacokinetics

Absorption

Heparin is not absorbed through the gastrointestinal tract and therefore administered via parenteral route. Peak plasma concentration and the onset of action are achieved immediately after intravenous administration.

Distribution

Heparin is highly bound to antithrombin, fibrinogens, globulins, serum proteases and lipoproteins. The volume of distribution is 0.07 L/kg.

Elimination

Metabolism

Heparin does not undergo enzymatic degradation.

Excretion

Heparin is mainly cleared from the circulation by liver and reticuloendothelial cells mediated uptake into extravascular space. Heparin undergoes biphasic clearance, a) rapid saturable clearance (zero order process due to binding to proteins, endothelial cells and macrophage) and b) slower first order elimination. The plasma half-life is dose-dependent and it ranges from 0.5 to 2 h.

Specific Population

Geriatric patients

Patients over 60 years of age, following similar doses of heparin, may have higher plasma levels of heparin and longer activated partial thromboplastin times (APTTs) compared with patients under 60 years of age [see Use in Specific Populations (8.5)].

5.6 Heparin Resistance

Increased resistance to heparin is frequently encountered in fever, thrombosis, thrombophlebitis, infections with thrombosing tendencies, myocardial infarction, cancer, in postsurgical patients, and patients with antithrombin III deficiency. Close monitoring of coagulation tests is recommended in these cases. Adjustment of heparin doses based on anti-Factor Xa levels may be warranted.

7.3 Other Interactions

Digitalis, tetracyclines, nicotine, antihistamines, or intravenous nitroglycerin may partially counteract the anticoagulant action of heparin sodium.

Heparin Sodium in 5% Dextrose Injection

Intravenous nitroglycerin administered to heparinized patients may result in a decrease of the partial thromboplastin time with subsequent rebound effect upon discontinuation of nitroglycerin. Careful monitoring of partial thromboplastin time and adjustment of heparin dosage are recommended during coadministration of heparin and intravenous nitroglycerin.

Antithrombin III (human) – The anticoagulant effect of heparin is enhanced by concurrent treatment with antithrombin III (human) in patients with hereditary antithrombin III deficiency. To reduce the risk of bleeding, a reduced dosage of heparin is recommended during treatment with antithrombin III (human).

7.1 Oral Anticoagulants

Heparin sodium may prolong the one-stage prothrombin time. Therefore, when heparin sodium is given with dicumarol or warfarin sodium, a period of at least 5 hours after the last intravenous dose or 24 hours after the last subcutaneous dose should elapse before blood is drawn if a valid prothrombin time is to be obtained.

7.2 Platelet Inhibitors

Drugs such as NSAIDS (including salicylic acid, ibuprofen, indomethacin, and celecoxib), dextran, phenylbutazone, thienopyridines, dipyridamole, hydroxychloroquine, glycoprotein IIb/IIIa antagonists (including abciximab, eptifibatide, and tirofiban), and others that interfere with platelet-aggregation reactions (the main hemostatic defense of heparinized patients) may induce bleeding and should be used with caution in patients receiving heparin sodium. To reduce the risk of bleeding, a reduction in the dose of antiplatelet agent or heparin is recommended.



1 Indications and Usage

Heparin sodium is indicated for:

  • Prophylaxis and treatment of venous thromboembolism and pulmonary embolism;
  • Atrial fibrillation with embolization;
  • Treatment of acute and chronic consumptive coagulopathies (disseminated intravascular coagulation);
  • Prevention of clotting in arterial and cardiac surgery;
  • Prophylaxis and treatment of peripheral arterial embolism;
  • Anticoagulant use in blood transfusions, extracorporeal circulation, and dialysis procedures.
12.1 Mechanism of Action

Heparin interacts with the naturally occurring plasma protein, Antithrombin III, to induce a conformational change, which markedly enhances the serine protease activity of Antithrombin III, thereby inhibiting the activated coagulation factors involved in the clotting sequence, particularly Xa and IIa. Small amounts of heparin inhibit Factor Xa, and larger amounts inhibit thrombin (Factor IIa). Heparin also prevents the formation of a stable fibrin clot by inhibiting the activation of the fibrin stabilizing factor.  Heparin does not have fibrinolytic activity; therefore, it will not lyse existing clots.

2.5 Cardiovascular Surgery

Patients undergoing total body perfusion for open-heart surgery should receive an initial dose of not less than 150 units of heparin sodium per kilogram of body weight.  Frequently, a dose of 300 units per kilogram is used for procedures estimated to last less than 60 minutes or 400 units per kilogram for those estimated to last longer than 60 minutes.

2.6 Converting to Warfarin

To ensure continuous anticoagulation when converting from Heparin Sodium to warfarin, continue full heparin therapy for several days until the INR (prothrombin time) has reached a stable therapeutic range.  Heparin therapy may then be discontinued without tapering [see Drug Interactions (7.1)].

5 Warnings and Precautions
  • Fatal Medication Errors: Confirm choice of correct strength prior to administration. (5.1)
  • Hemorrhage: Fatal cases have occurred. Use caution in conditions with increased risk of hemorrhage. (5.2)
  • HIT and HITT: Monitor for signs and symptoms and discontinue if indicative of HIT and HITT. (5.3)
  • Monitoring: Blood coagulation tests guide therapy for full-dose heparin. Monitor platelet count and hematocrit in all patients receiving heparin. (5.5)
2.8 Extracorporeal Dialysis

Follow equipment manufacturer’s operating directions carefully. A dose of 25 to 30 units/kg followed by an infusion rate of 1,500 to 2,000 units/hour is suggested based on pharmacodynamic data if specific manufacturers' recommendations are not available.

5.1 Fatal Medication Errors

Do not use this product as a “catheter lock flush” product. Heparin is supplied in various strengths. Fatal hemorrhages have occurred due to medication errors.  Carefully examine all heparin products to confirm the correct container choice prior to administration of the drug.

2 Dosage and Administration

 Recommended Adult Dosages:

  • Therapeutic Anticoagulant Effect with Full-Dose Heparin* (2.3)
Intermittent Intravenous Injection

Initial Dose

10,000 units

Every 4 to 6 hours

5,000 to 10,000 units

Continuous Intravenous Infusion

Initial Dose

5,000 units by intravenous injection

Continuous

20,000 to

40,000 units/24 hours

*Based on 150 lb. (68 kg) patient.

  • Surgery of the Heart and Blood Vessels (2.5)
Intravascular via Total Body Perfusion

Initial Dose

≥ 150 units/kg; adjust for longer procedures

  • Extracorporeal Dialysis (2.8)
Intravascular via Extracorporeal Dialysis

Follow equipment manufacturer’s operating

directions carefully.

  • See full prescribing information for recommended pediatric dosage. (2.4)
6.1 Postmarketing Experience

The following adverse reactions have been identified during post-approval use of heparin sodium. Because these reactions are reported voluntarily from a population of uncertain size, it is not always possible to reliably estimate their frequency.

  • Hemorrhage – Hemorrhage is the chief complication that may result from heparin therapy [see Warnings and Precautions (5.2)].  Gastrointestinal or urinary tract bleeding during anticoagulant therapy may indicate the presence of an underlying occult lesion.  Bleeding can occur at any site but certain specific hemorrhagic complications may be difficult to detect:

                  –  Adrenal hemorrhage, with resultant acute adrenal insufficiency, has occurred with

                      heparin therapy, including fatal cases.  

                  –  Ovarian (corpus luteum) hemorrhage developed 

                      in a number of women of reproductive age receiving short- or long-term anticoagulant 

                      therapy.      

                 –   Retroperitoneal hemorrhage.

  • HIT and HITT, including delayed onset cases  [see Warnings and Precautions (5.3 and 5.4)].
  • Hypersensitivity  Generalized hypersensitivity reactions have been reported with chills, fever, and urticaria as the most usual manifestations, and asthma, rhinitis, lacrimation, headache, nausea and vomiting, and anaphylactoid reactions, including shock, occurring more rarely.  Itching and burning, especially on the plantar side of the feet, may occur [see Warnings and Precautions (5.7)].
  • Elevations of serum aminotransferases – Significant elevations of aspartate aminotransferase (AST) and alanine aminotransferase (ALT) levels have occurred in patients who have received heparin.
  • Others  Osteoporosis following long-term administration of high-doses of heparin, cutaneous necrosis after systemic administration, suppression of aldosterone synthesis, delayed transient alopecia, priapism, and rebound hyperlipemia on discontinuation of heparin sodium have also been reported.
3 Dosage Forms and Strengths

Heparin Sodium in 0.45% Sodium Chloride Injection is available as:

  • Injection: 50 USP units per mL in 0.45% Sodium Chloride clear solution (25,000 USP units per 500 mL) in single-dose free flex ® bag
  • Injection: 100 USP units per mL in 0.45% Sodium Chloride clear solution (25,000 USP units per 250 mL) in single-dose free flex ® bag

Heparin Sodium in 5% Dextrose Injection is available as:

  • Injection: 50 USP units per mL in 5% Dextrose  clear solution (25,000 USP units per 500 mL) in single-dose free flex ® bag
  • Injection: 100 USP units per mL in 5% Dextrose clear solution (25,000 USP units per 250 mL) in single-dose free flex ® bag
17 Patient Counseling Information

Hemorrhage

Inform patients that it may take them longer than usual to stop bleeding, that they may bruise and/or bleed more easily when they are treated with heparin, and that they should report any unusual bleeding or bruising to their physician. Hemorrhage can occur at virtually any site in patients receiving heparin. Fatal hemorrhages have occurred [see Warnings and Precautions (5.2)].

Prior to Surgery

Advise patients to inform physicians and dentists that they are receiving heparin before any surgery is scheduled [see Warnings and Precautions (5.2)].

Heparin-Induced Thrombocytopenia

Inform patients of the risk of heparin-induced thrombocytopenia (HIT). HIT may progress to the development of venous and arterial thromboses, a condition known as heparin-induced thrombocytopenia and thrombosis.  HIT and HITT can occur up to several weeks after the discontinuation of heparin therapy [see Warnings and Precautions (5.3 and 5.4)].

Hypersensitivity

Inform patients that generalized hypersensitivity reactions have been reported [see Warnings and Precautions (5.7), Adverse Reactions (6)].

Other Medications

Because of the risk of hemorrhage, advise patients to inform their physicians and dentists of all medications they are taking, including non-prescription medications, and before starting any new medication [see Drug Interactions (7.2)].



Manufactured for:



Made in Norway

www.fresenius-kabi.com/us

451475C

Revised: December 2019

2.1 Preparation for Administration

Confirm the selection of the correct formulation and strength prior to administration of the drug.

INSTRUCTIONS FOR USE for the free flex ® Bag

Leave bag in the overwrap until time of use.

The intact port cap provides visual tamper evidence.  Do not use if port cap is prematurely removed.

Maintain strict aseptic technique during handling.

To Open:

  • Always inspect the bag before and after removal from the overwrap.
  • Place the bag on a clean, flat surface. Starting in the bottom corner, peel the overwrap open and remove the bag.
  • Check the bag for leaks by squeezing firmly. If leaks are found, discard the bag.
  • Do not use if the solution is cloudy or a precipitate is present.

To Prepare for Administration:

  • Immediately before connecting the infusion set, firmly grasp the BLUE infusion port cap with the arrow pointing away from the bag between index finger and thumb.  Gently break off the port cap. The membrane of the infusion port is sterile, and disinfection before initial use is not necessary if proper aseptic handling technique is followed.
  • Use a non-vented infusion set or close the air-inlet on a vented set. The BLUE infusion port is compatible with spike systems produced according to ISO 8536-4, with an external spike diameter of 5.5 to 5.7 mm.
  • Close the roller clamp of the infusion set.
  • Hold the base of the BLUE infusion port and insert the spike by rotating your wrist slightly until the spike is fully inserted.
  • The port membrane contains a self-sealing septum that helps prevent leakage after removing the spike.  The infusion port is not intended to be spiked more than once.
  • Hang from the hole at the top of the bag.
  • For Single Use Only.  Discard unused portion.


Do not admix with other drugs.

Do not use flexible container in series connections.

Parenteral drug products should be inspected visually for particulate matter and discoloration prior to administration, whenever solution and container permit. 

16 How Supplied/storage and Handling


Heparin Sodium in 0.45% Sodium Chloride Injection is supplied as follows:



Product Code Unit of Sale

Strength Each
518077 NDC 63323-518-77

Unit of 24

25,000 USP units per 500 mL

(50 USP units per mL)
NDC 63323-518-01

500 mL Single Dose free flex® Bag

517074 NDC 63323-517-74

Unit of 24

25,000 USP units per 250 mL

(100 USP units per mL)
NDC 63323-517-01

250 mL Single Dose free flex® Bag

Heparin Sodium in 5% Dextrose Injection is supplied as follows:

Product Code Unit of Sale

Strength Each
507277 NDC 63323-522-77

Unit of 24

25,000 USP units per 500 mL

(50 USP units per mL)
NDC 63323-522-01

500 mL Single Dose free flex® Bag

507374 NDC 63323-523-74

Unit of 24

25,000 USP units per 250 mL

(100 USP units per mL)
NDC 63323-523-01

250 mL Single Dose free flex® Bag



Store at 20° to 25°C (68° to 77°F) [see USP Controlled Room Temperature].  Avoid excessive heat. 

Do not freeze.

The container closure is not made with natural rubber latex.

Non-PVC, Non-DEHP, Sterile.



5.5 Coagulation Testing and Monitoring

When using a full dose heparin regimen, adjust the heparin dose based on frequent blood coagulation tests.  If the coagulation test is unduly prolonged or if hemorrhage occurs, heparin sodium should be discontinued promptly [see Overdosage (10)].  Periodic platelet counts, hematocrits are recommended during the entire course of heparin therapy [see Dosage and Administration (2.2)].

2.2 Laboratory Monitoring for Efficacy and Safety

Adjust the dosage of heparin sodium according to the patient’s coagulation test results.  When heparin is given by continuous intravenous infusion, determine the coagulation time approximately every 4 hours in the early stages of treatment.  When the drug is administered intermittently by intravenous injection, perform coagulation tests before each injection during the early stages of treatment and at appropriate intervals thereafter.  Dosage is considered adequate when the activated partial thromboplastin time (APTT) is 1.5 to 2 times the normal or when the whole blood clotting time is elevated approximately 2.5 to 3 times the control value.      

Periodic platelet counts, hematocrits, and tests for occult blood in stool are recommended during the entire course of heparin therapy.

2.7 Converting to Oral Anticoagulants Other Than Warfarin

For patients currently receiving intravenous heparin, stop intravenous infusion of heparin sodium immediately after administering the first dose of oral anticoagulant; or for intermittent intravenous administration of heparin sodium, start oral anticoagulant 0 to 2 hours before the time that the next dose of heparin was to have been administered.

13.1 Carcinogenesis, Mutagenesis, impairment of Fertility

No long-term studies in animals have been performed to evaluate the carcinogenic potential of heparin. Also, no studies in animals have been performed concerning mutagenesis or impairment of fertility.

2.3 Therapeutic Anticoagulant Effect With Full Dose Heparin

The dosing recommendations in Table 1 are based on clinical experience.  Although dosage must be adjusted for the individual patient according to the results of suitable laboratory tests, the following dosage schedules may be used as guidelines:

 

Table 1: Recommended Adult Full-Dose Heparin Regimens for Therapeutic Anticoagulant Effect

Method of

Administration


Frequency

Recommended Dose*

Intermittent

Intravenous Injection



Initial Dose

 

10,000 units

 

Every 4 to 6 hours

5,000 to 10,000 units

 

Continuous

Intravenous Infusion

Initial Dose

5,000 units by intravenous injection

Continuous

20,000 to 40,000 units per 24 hours

 

 



 * Based on 150 lb. (68 kg) patient.

5.3 Heparin Induced Thrombocytopenia (hit) and Heparin Induced Thrombocytopenia and Thrombosis (hitt)

HIT is a serious antibody-mediated reaction resulting from irreversible aggregation of platelets.  HIT occurs in patients treated with heparin and is due to the development of antibodies to a platelet Factor 4-heparin complex that induce in vivo platelet aggregation. HIT may progress to the development of venous and arterial thromboses, a condition known as heparin-induced thrombocytopenia and thrombosis (HITT).  Thrombotic events may also be the initial presentation for HITT.  These serious thromboembolic events include deep vein thrombosis, pulmonary embolism, cerebral vein thrombosis, limb ischemia, stroke, myocardial infarction, thrombus formation on a prosthetic cardiac valve, mesenteric thrombosis, renal arterial thrombosis, skin necrosis, gangrene of the extremities that may lead to amputation, and possibly death.  Monitor thrombocytopenia of any degree closely.  If the platelet count falls below 100,000/mm3 or if recurrent thrombosis develops, promptly discontinue heparin, evaluate for HIT and HITT, and, if necessary, administer an alternative anticoagulant.

HIT or HITT can occur up to several weeks after the discontinuation of heparin therapy.  Patients presenting with thrombocytopenia or thrombosis after discontinuation of heparin should be evaluated for HIT or HITT.


Structured Label Content

Section 51945-4 (51945-4)

PACKAGE LABEL - PRINCIPAL DISPLAY PANEL - Heparin Sodium 500 mL Bag Label  

NDC 63323-518-01

Heparin

Heparin Sodium in 0.45% Sodium Chloride Injection

25,000 USP units per 500 mL (5
0 USP units per mL) 

For intravenous use only.

Single Dose Container.

Discard unused portion.

Rx only

DO NOT ADMIX WITH OTHER DRUGS.

10 Overdosage (10 OVERDOSAGE)

Bleeding may result from heparin overdosage. 

Neutralization of heparin effect

When circumstances (e.g., bleeding) require reversal of heparinization, protamine sulfate (1% solution) by slow infusion will neutralize heparin sodium.

No more than 50 mg should be administered, very slowly, in any 10 minute period.  Each mg of protamine sulfate neutralizes approximately 100 USP units.  The amount of protamine required decreases over time as heparin is metabolized.  Although the metabolism of heparin is complex, it may, for the purpose of choosing a protamine dose, be assumed to have a half-life of about 1/2 hour after intravenous injection.

Because fatal reactions often resembling anaphylaxis have been reported, the drug should be given only when resuscitation techniques and treatment of anaphylactoid shock are readily available.

For additional information, consult the prescribing information for Protamine Sulfate Injection, USP.

8.1 Pregnancy

Risk Summary

There are no available data on heparin sodium use in pregnant women to inform a drug-associated risk of major birth defects and miscarriage.  In published reports, heparin exposure during pregnancy did not show evidence of an increased risk of adverse maternal or fetal outcomes in humans.  No teratogenicity, but early embryo-fetal death was observed in animal reproduction studies with administration of heparin sodium to pregnant rats and rabbits during organogenesis at doses approximately 10 times the maximum recommended human dose (MRHD) of 40,000 units/24 hours infusion (see Data).  Consider the benefits and risks of Heparin Sodium in 0.45% Sodium Chloride Injection or Heparin Sodium in 5% Dextrose Injection to a pregnant woman and possible risks to the fetus when prescribing Heparin Sodium in 0.45% Sodium Chloride Injection or Heparin Sodium in 5% Dextrose Injection to a pregnant woman.  

The estimated background risk of major birth defects and miscarriage for the indicated population is unknown. All pregnancies have a background risk of birth defect, loss, or other adverse outcomes. In the U.S. general population, the estimated background risk of major birth defects and miscarriage in clinically recognized pregnancies is 2 to 4% and 15 to 20%, respectively.

Data

Human Data

The maternal and fetal outcomes associated with uses of heparin via various dosing methods and administration routes during pregnancy have been investigated in numerous studies.  These studies generally reported normal deliveries with no maternal or fetal bleeding and no other complications.

Animal Data

In a published study conducted in rats and rabbits, pregnant animals received heparin intravenously during organogenesis at a dose of 10,000 USP units/kg/day, approximately 10 times the maximum human daily dose based on body weight.  The number of early resorptions increased in both species. There was no evidence of teratogenic effects.

8.2 Lactation

Risk Summary

There is no information regarding the presence of Heparin Sodium in 0.45% Sodium Chloride Injection or Heparin Sodium in 5% Dextrose Injection in human milk, the effects on the breastfed infant, or the effects on milk production.  Due to its large molecular weight, heparin is not likely to be excreted in human milk, and any heparin in milk would not be orally absorbed by a nursing infant.  The developmental and health benefits of breastfeeding should be considered along with the mother’s clinical need for Heparin Sodium in 0.45% Sodium Chloride Injection or Heparin Sodium in 5% Dextrose Injection and any potential adverse effects on the breastfed infant from Heparin Sodium in 0.45% Sodium Chloride Injection or Heparin Sodium in 5% Dextrose Injection or from the underlying maternal condition [see Use in Specific Populations (8.4)].

11 Description (11 DESCRIPTION)

Heparin is a heterogeneous group of straight-chain anionic mucopolysaccharides, called glycosaminoglycans, possessing anticoagulant properties.  It is composed of polymers of alternating derivations of α-D-glucosamido (N-sulfated O-sulfated O-sulfated or N-acetylated) and O-sulfated uronic acid (α-L-iduronic acid or β-D-glucoronic acid).

Structure of Heparin Sodium (representative subunits):



Heparin Sodium in 0.45% Sodium Chloride Injection and Heparin Sodium in 5% Dextrose Injection are sterile, nonpyrogenic solutions prepared from heparin sodium (derived from porcine intestinal mucosa) for intravenous administration.  The potency is determined by a biological assay using a USP reference standard based on units of heparin activity per milligram.

Heparin Sodium in 0.45% Sodium Chloride Injection, is available as follows:

Each 100 mL contains heparin sodium 5,000 or 10,000 USP Units; sodium chloride, 0.45 g; edetate disodium, dihydrate, 0.0111 g added as a stabilizer and water for injection, q.s.  Each liter contains the following electrolytes: Sodium 77 mEq and chloride 77 mEq; pH 5.0 to 7.5.  The solution may contain sodium hydroxide and/or hydrochloric acid for pH adjustment.

Heparin Sodium in 5% Dextrose Injection, is available as follows:

Each 100 mL contains heparin sodium 5,000 or 10,000 USP Units; dextrose hydrous, 5 g; citric acid anhydrous, 51 mg and sodium citrate dihydrate, 334 mg added as buffers; and sodium metabisulfite, 20 mg added as an antioxidant.  Each liter contains the following electrolytes: Sodium 39 mEq and citrate 42 mEq; pH 5.0 to 7.5.  

5.2 Hemorrhage

Avoid using heparin in the presence of major bleeding, except when the benefits of heparin therapy outweigh the potential risks.

Hemorrhage, including fatal events, has occurred in patients receiving Heparin Sodium.  Hemorrhage can occur at virtually any site in patients receiving heparin.  Adrenal hemorrhage (with resultant acute adrenal insufficiency), ovarian hemorrhage, and retroperitoneal hemorrhage have occurred during anticoagulant therapy with heparin [see Adverse Reactions (6.1)]. A higher incidence of bleeding has been reported in patients, particularly women, over 60 years of age [see Clinical Pharmacology (12.3)].  An unexplained fall in hematocrit or fall in blood pressure should lead to serious consideration of a hemorrhagic event.

Use heparin sodium with caution in disease states in which there is increased risk of hemorrhage, including:

  • Cardiovascular  — Subacute bacterial endocarditis, severe hypertension.
  • Surgical — During and immediately following (a) spinal tap or spinal anesthesia or (b) major surgery, especially involving the brain, spinal cord or eye.
  • Hematologic  — Conditions associated with increased bleeding tendencies, such as hemophilia, thrombocytopenia and some vascular purpuras.
  • Patients with hereditary antithrombin III deficiency receiving concurrent antithrombin III therapy  — The anticoagulant effect of heparin is enhanced by concurrent treatment with antithrombin III (human) in patients with hereditary antithrombin III deficiency.  To reduce the risk of bleeding, reduce the heparin dose during concomitant treatment with antithrombin III (human).
  • Gastrointestinal — Ulcerative lesions and continuous tube drainage of the stomach or small intestine.
  • Other  — Menstruation, liver disease with impaired hemostasis.
2.4 Pediatric Use

There are no adequate and well-controlled studies on heparin use in pediatric patients.  Pediatric dosing recommendations are based on clinical experience.  In general, the following dosage schedule may be used as a guideline in pediatric patients:

           

Initial Dose:                 75 to 100 units/kg (intravenous bolus over 10 minutes)

Maintenance Dose       Infants:  25 to 30 units/kg/hour;  

                                     Infants < 2 months have the highest requirements (average 28 units/kg/hour)

                                     Children > 1 year of age: 18 to 20 units/kg/hour;

                                     Older children may require less heparin, similar to weight-adjusted adult dosage

Monitoring:                  Adjust heparin to maintain aPTT of 60 to 85 seconds, assuming this reflects an 

                                     anti-Factor Xa level of 0.35 to 0.70.

8.4 Pediatric Use

There are no adequate and well-controlled studies on heparin use in pediatric patients.  Pediatric dosing recommendations are based on clinical experience [see Dosage and Administration (2.4)].

8.5 Geriatric Use

There are limited adequate and well-controlled studies in patients 65 years and older.  However, a higher incidence of bleeding has been reported in patients over 60 years of age, especially women [see Warnings and Precautions (5.2)].  Lower doses of heparin may be indicated in these patients [see Clinical Pharmacology (12.3)].

4 Contraindications (4 CONTRAINDICATIONS)

The use of Heparin Sodium in 0.45% Sodium Chloride Injection or Heparin Sodium in 5% Dextrose Injection is contraindicated in patients with the following conditions:

  • History of Heparin-Induced Thrombocytopenia (HIT) and Heparin-Induced Thrombocytopenia and Thrombosis (HITT) [see Warnings and Precautions (5.3)]
  • Known hypersensitivity to heparin or pork products (e.g., anaphylactoid reactions) [see Adverse Reactions (6.1)]
  • In whom suitable blood coagulation tests — e.g., the whole blood clotting time, partial thromboplastin time, etc.,  — cannot be performed at appropriate intervals (this contraindication refers to full-dose heparin; there is usually no need to monitor coagulation parameters in patients receiving low-dose heparin) [see Warnings and Precautions (5.5)]
  • An uncontrolled bleeding state [see Warnings and Precautions (5.2)], except when this is due to disseminated intravascular coagulation.
6 Adverse Reactions (6 ADVERSE REACTIONS)

The following serious adverse reactions are described elsewhere in the labeling:

  • Hemorrhage [see Warnings and Precautions (5.2)]
  • Heparin-Induced Thrombocytopenia (HIT) and  Heparin-Induced Thrombocytopenia and Thrombosis (HITT) [see Warnings and Precautions (5.3)]
  • Thrombocytopenia [see Warnings and Precautions (5.4)]
  • Heparin Resistance [see Warnings and Precautions (5.6)]
  • Hypersensitivity [see Warnings and Precautions (5.7)]
7 Drug Interactions (7 DRUG INTERACTIONS)

Drugs that interfere with coagulation, platelet aggregation or drugs that counteract coagulation may induce bleeding. (7)

5.4 Thrombocytopenia

Thrombocytopenia has been reported to occur in patients receiving heparin with a reported incidence of up to 30%.  It can occur 2 to 20 days (average 5 to 9) following the onset of heparin therapy.  Obtain platelet counts before and periodically during heparin therapy.  Monitor thrombocytopenia of any degree closely.  If the count falls below 100,000/mm 3 or if recurrent thrombosis develops, promptly discontinue heparin, evaluate for HIT and, if necessary, administer an alternative anticoagulant [see Warnings and Precautions (5.3)].

5.7 Hypersensitivity

Patients with documented hypersensitivity to heparin should be given the drug only in clearly life-threatening situations [see Adverse Reactions (6.1)].  Because heparin sodium is derived from animal tissue, monitor for signs and symptoms of hypersensitivity when it is used in patients with a history of allergy.

Heparin Sodium in 5% Dextrose Injection

This product contains sodium metabisulfite, a sulfite that may cause allergic-type reactions including anaphylactic symptoms and life-threatening or less severe asthmatic episodes in certain susceptible people.  The overall prevalence of sulfite sensitivity in the general population is unknown and probably low.  Sulfite sensitivity is seen more frequently in asthmatic than in nonasthmatic people.

12.2 Pharmacodynamics

Bleeding time is usually unaffected by heparin. Various times (activated clotting time, activated partial thromboplastin time, prothrombin time, whole blood clotting time) are prolonged by full therapeutic doses of heparin; in most cases it is not measurably affected by low doses of heparin.

12.3 Pharmacokinetics

Absorption

Heparin is not absorbed through the gastrointestinal tract and therefore administered via parenteral route. Peak plasma concentration and the onset of action are achieved immediately after intravenous administration.

Distribution

Heparin is highly bound to antithrombin, fibrinogens, globulins, serum proteases and lipoproteins. The volume of distribution is 0.07 L/kg.

Elimination

Metabolism

Heparin does not undergo enzymatic degradation.

Excretion

Heparin is mainly cleared from the circulation by liver and reticuloendothelial cells mediated uptake into extravascular space. Heparin undergoes biphasic clearance, a) rapid saturable clearance (zero order process due to binding to proteins, endothelial cells and macrophage) and b) slower first order elimination. The plasma half-life is dose-dependent and it ranges from 0.5 to 2 h.

Specific Population

Geriatric patients

Patients over 60 years of age, following similar doses of heparin, may have higher plasma levels of heparin and longer activated partial thromboplastin times (APTTs) compared with patients under 60 years of age [see Use in Specific Populations (8.5)].

5.6 Heparin Resistance

Increased resistance to heparin is frequently encountered in fever, thrombosis, thrombophlebitis, infections with thrombosing tendencies, myocardial infarction, cancer, in postsurgical patients, and patients with antithrombin III deficiency. Close monitoring of coagulation tests is recommended in these cases. Adjustment of heparin doses based on anti-Factor Xa levels may be warranted.

7.3 Other Interactions

Digitalis, tetracyclines, nicotine, antihistamines, or intravenous nitroglycerin may partially counteract the anticoagulant action of heparin sodium.

Heparin Sodium in 5% Dextrose Injection

Intravenous nitroglycerin administered to heparinized patients may result in a decrease of the partial thromboplastin time with subsequent rebound effect upon discontinuation of nitroglycerin. Careful monitoring of partial thromboplastin time and adjustment of heparin dosage are recommended during coadministration of heparin and intravenous nitroglycerin.

Antithrombin III (human) – The anticoagulant effect of heparin is enhanced by concurrent treatment with antithrombin III (human) in patients with hereditary antithrombin III deficiency. To reduce the risk of bleeding, a reduced dosage of heparin is recommended during treatment with antithrombin III (human).

7.1 Oral Anticoagulants

Heparin sodium may prolong the one-stage prothrombin time. Therefore, when heparin sodium is given with dicumarol or warfarin sodium, a period of at least 5 hours after the last intravenous dose or 24 hours after the last subcutaneous dose should elapse before blood is drawn if a valid prothrombin time is to be obtained.

7.2 Platelet Inhibitors

Drugs such as NSAIDS (including salicylic acid, ibuprofen, indomethacin, and celecoxib), dextran, phenylbutazone, thienopyridines, dipyridamole, hydroxychloroquine, glycoprotein IIb/IIIa antagonists (including abciximab, eptifibatide, and tirofiban), and others that interfere with platelet-aggregation reactions (the main hemostatic defense of heparinized patients) may induce bleeding and should be used with caution in patients receiving heparin sodium. To reduce the risk of bleeding, a reduction in the dose of antiplatelet agent or heparin is recommended.



1 Indications and Usage (1 INDICATIONS AND USAGE)

Heparin sodium is indicated for:

  • Prophylaxis and treatment of venous thromboembolism and pulmonary embolism;
  • Atrial fibrillation with embolization;
  • Treatment of acute and chronic consumptive coagulopathies (disseminated intravascular coagulation);
  • Prevention of clotting in arterial and cardiac surgery;
  • Prophylaxis and treatment of peripheral arterial embolism;
  • Anticoagulant use in blood transfusions, extracorporeal circulation, and dialysis procedures.
12.1 Mechanism of Action

Heparin interacts with the naturally occurring plasma protein, Antithrombin III, to induce a conformational change, which markedly enhances the serine protease activity of Antithrombin III, thereby inhibiting the activated coagulation factors involved in the clotting sequence, particularly Xa and IIa. Small amounts of heparin inhibit Factor Xa, and larger amounts inhibit thrombin (Factor IIa). Heparin also prevents the formation of a stable fibrin clot by inhibiting the activation of the fibrin stabilizing factor.  Heparin does not have fibrinolytic activity; therefore, it will not lyse existing clots.

2.5 Cardiovascular Surgery

Patients undergoing total body perfusion for open-heart surgery should receive an initial dose of not less than 150 units of heparin sodium per kilogram of body weight.  Frequently, a dose of 300 units per kilogram is used for procedures estimated to last less than 60 minutes or 400 units per kilogram for those estimated to last longer than 60 minutes.

2.6 Converting to Warfarin

To ensure continuous anticoagulation when converting from Heparin Sodium to warfarin, continue full heparin therapy for several days until the INR (prothrombin time) has reached a stable therapeutic range.  Heparin therapy may then be discontinued without tapering [see Drug Interactions (7.1)].

5 Warnings and Precautions (5 WARNINGS AND PRECAUTIONS)
  • Fatal Medication Errors: Confirm choice of correct strength prior to administration. (5.1)
  • Hemorrhage: Fatal cases have occurred. Use caution in conditions with increased risk of hemorrhage. (5.2)
  • HIT and HITT: Monitor for signs and symptoms and discontinue if indicative of HIT and HITT. (5.3)
  • Monitoring: Blood coagulation tests guide therapy for full-dose heparin. Monitor platelet count and hematocrit in all patients receiving heparin. (5.5)
2.8 Extracorporeal Dialysis

Follow equipment manufacturer’s operating directions carefully. A dose of 25 to 30 units/kg followed by an infusion rate of 1,500 to 2,000 units/hour is suggested based on pharmacodynamic data if specific manufacturers' recommendations are not available.

5.1 Fatal Medication Errors

Do not use this product as a “catheter lock flush” product. Heparin is supplied in various strengths. Fatal hemorrhages have occurred due to medication errors.  Carefully examine all heparin products to confirm the correct container choice prior to administration of the drug.

2 Dosage and Administration (2 DOSAGE AND ADMINISTRATION)

 Recommended Adult Dosages:

  • Therapeutic Anticoagulant Effect with Full-Dose Heparin* (2.3)
Intermittent Intravenous Injection

Initial Dose

10,000 units

Every 4 to 6 hours

5,000 to 10,000 units

Continuous Intravenous Infusion

Initial Dose

5,000 units by intravenous injection

Continuous

20,000 to

40,000 units/24 hours

*Based on 150 lb. (68 kg) patient.

  • Surgery of the Heart and Blood Vessels (2.5)
Intravascular via Total Body Perfusion

Initial Dose

≥ 150 units/kg; adjust for longer procedures

  • Extracorporeal Dialysis (2.8)
Intravascular via Extracorporeal Dialysis

Follow equipment manufacturer’s operating

directions carefully.

  • See full prescribing information for recommended pediatric dosage. (2.4)
6.1 Postmarketing Experience

The following adverse reactions have been identified during post-approval use of heparin sodium. Because these reactions are reported voluntarily from a population of uncertain size, it is not always possible to reliably estimate their frequency.

  • Hemorrhage – Hemorrhage is the chief complication that may result from heparin therapy [see Warnings and Precautions (5.2)].  Gastrointestinal or urinary tract bleeding during anticoagulant therapy may indicate the presence of an underlying occult lesion.  Bleeding can occur at any site but certain specific hemorrhagic complications may be difficult to detect:

                  –  Adrenal hemorrhage, with resultant acute adrenal insufficiency, has occurred with

                      heparin therapy, including fatal cases.  

                  –  Ovarian (corpus luteum) hemorrhage developed 

                      in a number of women of reproductive age receiving short- or long-term anticoagulant 

                      therapy.      

                 –   Retroperitoneal hemorrhage.

  • HIT and HITT, including delayed onset cases  [see Warnings and Precautions (5.3 and 5.4)].
  • Hypersensitivity  Generalized hypersensitivity reactions have been reported with chills, fever, and urticaria as the most usual manifestations, and asthma, rhinitis, lacrimation, headache, nausea and vomiting, and anaphylactoid reactions, including shock, occurring more rarely.  Itching and burning, especially on the plantar side of the feet, may occur [see Warnings and Precautions (5.7)].
  • Elevations of serum aminotransferases – Significant elevations of aspartate aminotransferase (AST) and alanine aminotransferase (ALT) levels have occurred in patients who have received heparin.
  • Others  Osteoporosis following long-term administration of high-doses of heparin, cutaneous necrosis after systemic administration, suppression of aldosterone synthesis, delayed transient alopecia, priapism, and rebound hyperlipemia on discontinuation of heparin sodium have also been reported.
3 Dosage Forms and Strengths (3 DOSAGE FORMS AND STRENGTHS)

Heparin Sodium in 0.45% Sodium Chloride Injection is available as:

  • Injection: 50 USP units per mL in 0.45% Sodium Chloride clear solution (25,000 USP units per 500 mL) in single-dose free flex ® bag
  • Injection: 100 USP units per mL in 0.45% Sodium Chloride clear solution (25,000 USP units per 250 mL) in single-dose free flex ® bag

Heparin Sodium in 5% Dextrose Injection is available as:

  • Injection: 50 USP units per mL in 5% Dextrose  clear solution (25,000 USP units per 500 mL) in single-dose free flex ® bag
  • Injection: 100 USP units per mL in 5% Dextrose clear solution (25,000 USP units per 250 mL) in single-dose free flex ® bag
17 Patient Counseling Information (17 PATIENT COUNSELING INFORMATION)

Hemorrhage

Inform patients that it may take them longer than usual to stop bleeding, that they may bruise and/or bleed more easily when they are treated with heparin, and that they should report any unusual bleeding or bruising to their physician. Hemorrhage can occur at virtually any site in patients receiving heparin. Fatal hemorrhages have occurred [see Warnings and Precautions (5.2)].

Prior to Surgery

Advise patients to inform physicians and dentists that they are receiving heparin before any surgery is scheduled [see Warnings and Precautions (5.2)].

Heparin-Induced Thrombocytopenia

Inform patients of the risk of heparin-induced thrombocytopenia (HIT). HIT may progress to the development of venous and arterial thromboses, a condition known as heparin-induced thrombocytopenia and thrombosis.  HIT and HITT can occur up to several weeks after the discontinuation of heparin therapy [see Warnings and Precautions (5.3 and 5.4)].

Hypersensitivity

Inform patients that generalized hypersensitivity reactions have been reported [see Warnings and Precautions (5.7), Adverse Reactions (6)].

Other Medications

Because of the risk of hemorrhage, advise patients to inform their physicians and dentists of all medications they are taking, including non-prescription medications, and before starting any new medication [see Drug Interactions (7.2)].



Manufactured for:



Made in Norway

www.fresenius-kabi.com/us

451475C

Revised: December 2019

2.1 Preparation for Administration

Confirm the selection of the correct formulation and strength prior to administration of the drug.

INSTRUCTIONS FOR USE for the free flex ® Bag

Leave bag in the overwrap until time of use.

The intact port cap provides visual tamper evidence.  Do not use if port cap is prematurely removed.

Maintain strict aseptic technique during handling.

To Open:

  • Always inspect the bag before and after removal from the overwrap.
  • Place the bag on a clean, flat surface. Starting in the bottom corner, peel the overwrap open and remove the bag.
  • Check the bag for leaks by squeezing firmly. If leaks are found, discard the bag.
  • Do not use if the solution is cloudy or a precipitate is present.

To Prepare for Administration:

  • Immediately before connecting the infusion set, firmly grasp the BLUE infusion port cap with the arrow pointing away from the bag between index finger and thumb.  Gently break off the port cap. The membrane of the infusion port is sterile, and disinfection before initial use is not necessary if proper aseptic handling technique is followed.
  • Use a non-vented infusion set or close the air-inlet on a vented set. The BLUE infusion port is compatible with spike systems produced according to ISO 8536-4, with an external spike diameter of 5.5 to 5.7 mm.
  • Close the roller clamp of the infusion set.
  • Hold the base of the BLUE infusion port and insert the spike by rotating your wrist slightly until the spike is fully inserted.
  • The port membrane contains a self-sealing septum that helps prevent leakage after removing the spike.  The infusion port is not intended to be spiked more than once.
  • Hang from the hole at the top of the bag.
  • For Single Use Only.  Discard unused portion.


Do not admix with other drugs.

Do not use flexible container in series connections.

Parenteral drug products should be inspected visually for particulate matter and discoloration prior to administration, whenever solution and container permit. 

16 How Supplied/storage and Handling (16 HOW SUPPLIED/STORAGE AND HANDLING)


Heparin Sodium in 0.45% Sodium Chloride Injection is supplied as follows:



Product Code Unit of Sale

Strength Each
518077 NDC 63323-518-77

Unit of 24

25,000 USP units per 500 mL

(50 USP units per mL)
NDC 63323-518-01

500 mL Single Dose free flex® Bag

517074 NDC 63323-517-74

Unit of 24

25,000 USP units per 250 mL

(100 USP units per mL)
NDC 63323-517-01

250 mL Single Dose free flex® Bag

Heparin Sodium in 5% Dextrose Injection is supplied as follows:

Product Code Unit of Sale

Strength Each
507277 NDC 63323-522-77

Unit of 24

25,000 USP units per 500 mL

(50 USP units per mL)
NDC 63323-522-01

500 mL Single Dose free flex® Bag

507374 NDC 63323-523-74

Unit of 24

25,000 USP units per 250 mL

(100 USP units per mL)
NDC 63323-523-01

250 mL Single Dose free flex® Bag



Store at 20° to 25°C (68° to 77°F) [see USP Controlled Room Temperature].  Avoid excessive heat. 

Do not freeze.

The container closure is not made with natural rubber latex.

Non-PVC, Non-DEHP, Sterile.



5.5 Coagulation Testing and Monitoring

When using a full dose heparin regimen, adjust the heparin dose based on frequent blood coagulation tests.  If the coagulation test is unduly prolonged or if hemorrhage occurs, heparin sodium should be discontinued promptly [see Overdosage (10)].  Periodic platelet counts, hematocrits are recommended during the entire course of heparin therapy [see Dosage and Administration (2.2)].

2.2 Laboratory Monitoring for Efficacy and Safety

Adjust the dosage of heparin sodium according to the patient’s coagulation test results.  When heparin is given by continuous intravenous infusion, determine the coagulation time approximately every 4 hours in the early stages of treatment.  When the drug is administered intermittently by intravenous injection, perform coagulation tests before each injection during the early stages of treatment and at appropriate intervals thereafter.  Dosage is considered adequate when the activated partial thromboplastin time (APTT) is 1.5 to 2 times the normal or when the whole blood clotting time is elevated approximately 2.5 to 3 times the control value.      

Periodic platelet counts, hematocrits, and tests for occult blood in stool are recommended during the entire course of heparin therapy.

2.7 Converting to Oral Anticoagulants Other Than Warfarin (2.7 Converting to Oral Anticoagulants other than Warfarin)

For patients currently receiving intravenous heparin, stop intravenous infusion of heparin sodium immediately after administering the first dose of oral anticoagulant; or for intermittent intravenous administration of heparin sodium, start oral anticoagulant 0 to 2 hours before the time that the next dose of heparin was to have been administered.

13.1 Carcinogenesis, Mutagenesis, impairment of Fertility (13.1 Carcinogenesis, Mutagenesis, Impairment of Fertility)

No long-term studies in animals have been performed to evaluate the carcinogenic potential of heparin. Also, no studies in animals have been performed concerning mutagenesis or impairment of fertility.

2.3 Therapeutic Anticoagulant Effect With Full Dose Heparin (2.3 Therapeutic Anticoagulant Effect with Full-Dose Heparin)

The dosing recommendations in Table 1 are based on clinical experience.  Although dosage must be adjusted for the individual patient according to the results of suitable laboratory tests, the following dosage schedules may be used as guidelines:

 

Table 1: Recommended Adult Full-Dose Heparin Regimens for Therapeutic Anticoagulant Effect

Method of

Administration


Frequency

Recommended Dose*

Intermittent

Intravenous Injection



Initial Dose

 

10,000 units

 

Every 4 to 6 hours

5,000 to 10,000 units

 

Continuous

Intravenous Infusion

Initial Dose

5,000 units by intravenous injection

Continuous

20,000 to 40,000 units per 24 hours

 

 



 * Based on 150 lb. (68 kg) patient.

5.3 Heparin Induced Thrombocytopenia (hit) and Heparin Induced Thrombocytopenia and Thrombosis (hitt) (5.3 Heparin-Induced Thrombocytopenia (HIT) and Heparin-Induced Thrombocytopenia and Thrombosis (HITT))

HIT is a serious antibody-mediated reaction resulting from irreversible aggregation of platelets.  HIT occurs in patients treated with heparin and is due to the development of antibodies to a platelet Factor 4-heparin complex that induce in vivo platelet aggregation. HIT may progress to the development of venous and arterial thromboses, a condition known as heparin-induced thrombocytopenia and thrombosis (HITT).  Thrombotic events may also be the initial presentation for HITT.  These serious thromboembolic events include deep vein thrombosis, pulmonary embolism, cerebral vein thrombosis, limb ischemia, stroke, myocardial infarction, thrombus formation on a prosthetic cardiac valve, mesenteric thrombosis, renal arterial thrombosis, skin necrosis, gangrene of the extremities that may lead to amputation, and possibly death.  Monitor thrombocytopenia of any degree closely.  If the platelet count falls below 100,000/mm3 or if recurrent thrombosis develops, promptly discontinue heparin, evaluate for HIT and HITT, and, if necessary, administer an alternative anticoagulant.

HIT or HITT can occur up to several weeks after the discontinuation of heparin therapy.  Patients presenting with thrombocytopenia or thrombosis after discontinuation of heparin should be evaluated for HIT or HITT.


Advanced Ingredient Data


Raw Label Data

All Sections (JSON)