Morphine

Morphine
SPL v7
SPL
SPL Set ID cadc3fdb-8edc-44cd-aaea-89e68aaf9a04
Route
INTRAVENOUS
Published
Effective Date 2021-10-13
Document Type 34391-3 HUMAN PRESCRIPTION DRUG LABEL

Drug Facts

Composition & Product

Active Ingredients
Morphine (50 mg)

Identifiers & Packaging

Marketing Status
UNAPPROVED DRUG OTHER Active Since 2005-07-28 Until 2019-07-01

Description

FOR INTRAVENOUS USE ONLY NOT FOR INTRATHECAL OR EPIDURAL USE Fliptop Vial Rx only

Indications and Usage

Morphine sulfate is indicated for the relief of severe pain. It is used preoperatively to sedate the patient and allay apprehension, facilitate anesthesia induction and reduce anesthetic dosage. It is likewise effective in the control of post-operative pain. The use of morphine for the relief of pain should be reserved for the more severe manifestations of pain, as in myocardial infarction, severe injuries, or in severe chronic pain associated with terminal cancer after all non-narcotic analgesics have failed. Effective analgesic therapy of severe chronic pain associated with terminal cancer continues to be a difficult problem. Intermittent administration of intramuscular morphine may be effective; however, the mode of therapy has significant limitations. Morphine has a short plasma half-life of 2.5 to 3.0 hours; therefore, frequent administration (every 1 to 2 hours) often becomes necessary to control severe pain associated with cancer. Tolerance develops to the analgesic effects and increasingly higher doses of morphine are required to produce analgesia. The higher morphine doses produce significant and often life-threatening side effects (see ADVERSE REACTIONS ) . The peak and trough effects produced by intermittent administration cause fluctuations in pain control. Repeated intramuscular injections are frequently unacceptable due to the lack of muscle mass in the debilitated patient, the tendency for bruising and bleeding at the injection site, and the anxiety and pain associated with the injection. Continuous intravenous infusion of morphine (see DOSAGE AND ADMINISTRATION ) has been employed as an alternative to traditional modes of administration. Lower doses of morphine produce uniform pain control because a steady morphine concentration is maintained. Titration of the dosage to the patient's needs is easily achieved by adjusting the infusion rate. The lag time between the patient's request for pain medication and administration of the dose and the amount of nursing time necessary for preparation and administration of frequent doses are reduced. The degree of respiratory depression and sedation may be decreased, and the anxiety experienced by the patient in anticipation of intramuscular administration is avoided. Some Investigators feel that tolerance to the analgesic effects may develop more slowly with continuous intravenous infusion. In addition to analgesia, the drug may relieve anxiety and reduce left ventricular work by reducing preload pressure. Morphine is also used in the therapy of dyspnea associated with acute left ventricular and pulmonary edema. Care must be taken to avoid inducing respiratory depression in such patients. For open-heart surgery, especially in high risk patients with cardiac disease, some anesthesiologists use morphine to produce anesthesia.

Dosage and Administration

THESE PRODUCTS ARE INTENDED FOR SLOW INTRAVENOUS USE ONLY. RAPID INTRAVENOUS ADMINISTRATION MAY RESULT IN CHEST WALL RIGIDITY. NOT FOR INTRATHECAL OR EPIDURAL USE.

Contraindications

Morphine Sulfate Injection is contraindicated in patients with: Significant respiratory depression (see WARNINGS ) Acute or severe bronchial asthma in an unmonitored setting or in the absence of resuscitative equipment (see PRECAUTIONS ) Concurrent use of monoamine oxidase inhibitors (MAOIs) or use of MAOIs within the last 14 days (see WARNINGS ) Known or suspected gastrointestinal obstruction, including paralytic ileus (see PRECAUTIONS ) Hypersensitivity to morphine (e.g., anaphylaxis) (see ADVERSE REACTIONS ) Because of its stimulating effect on the spinal cord, morphine should not be used in convulsive states, such as those occurring in status epilepticus, tetanus, and strychnine poisoning. Morphine is also contraindicated in the following conditions: heart failure secondary to chronic lung disease; cardiac arrhythmias; increased intracranial or cerebrospinal pressure; head injuries; brain tumor; acute alcoholism; and delirium tremens. The use of bisulfites is contraindicated in asthmatics. Bisulfites and morphine may potentiate each other, preventing use by causing severe adverse reactions. Use with extreme caution in patients with chronic obstructive pulmonary disease or cor pulmonale, patients with substantially decreased respiratory reserve, and patients with pre-existing respiratory depression, hypoxia or hypercapnia. In such patients, even usual therapeutic doses of narcotics may decrease respiratory drive while simultaneously increasing airway resistance to the point of apnea.

Adverse Reactions

Prolonged use of opioid analgesics during pregnancy for medical or non-medical purposes can result in physical dependence in the neonate and neonatal opioid withdrawal syndrome shortly after birth. Neonatal opioid withdrawal syndrome presents as irritability, hyperactivity and abnormal sleep pattern, high pitched cry, tremor, vomiting, diarrhea, and failure to gain weight. The onset, duration, and severity of neonatal withdrawal syndrome vary based on the specific opioid used, duration of use, timing and amount of last maternal use, and rate of elimination of the drug by the newborn. Observe newborns for signs of neonatal opioid withdrawal syndrome and manage accordingly (see WARNINGS ) .

Drug Interactions

Morphine may increase the anticoagulant activity of coumarin and other anticoagulants. When morphine is to be administered to patients receiving propiomazine (Largon) , the dose of morphine should be reduced by one-quarter to one-half. Atropine antagonizes morphine respiratory depression. Levallorphan and nalorphine antagonize morphine actions, principally the respiratory depression. Table 1: Clinically Significant Drug Interactions with Morphine Sulfate Injection Benzodiazepines and Other CNS Depressants Clinical Impact: Due to additive pharmacologic effect, the concomitant use of benzodiazepines or other CNS depressants, including alcohol, can increase the risk of hypotension, respiratory depression, profound sedation, coma, and death. Intervention: Reserve concomitant prescribing of these drugs for use in patients for whom alternative treatment options are inadequate. Limit dosages and durations to the minimum required. Follow patients closely for signs of respiratory depression and sedation (see WARNINGS ) . Examples: Benzodiazepines and other sedatives/hypnotics, anxiolytics, tranquilizers, muscle relaxants, general anesthetics, antipsychotics, other opioids, alcohol. Serotonergic Drugs Clinical Impact: The concomitant use of opioids with other drugs that affect the serotonergic neurotransmitter system has resulted in serotonin syndrome . Intervention: If concomitant use is warranted, carefully observe the patient, particularly during treatment initiation and dose adjustment. Discontinue Morphine Sulfate Injection if serotonin syndrome is suspected. Examples: Selective serotonin reuptake inhibitors (SSRIs), serotonin and norepinephrine reuptake inhibitors (SNRIs), tricyclic antidepressants (TCAs), triptans, 5-HT3 receptor antagonists, drugs that affect the serotonin neurotransmitter system (e.g., mirtazapine, trazodone, tramadol), certain muscle relaxants (i.e., cyclobenzaprine, metaxalone), monoamine oxidase (MAO) inhibitors (those intended to treat psychiatric disorders and also others, such as linezolid and intravenous methylene blue). Monoamine Oxidase Inhibitors (MAOIs) Clinical Impact: MAOI interactions with opioids may manifest as serotonin syndrome or opioid toxicity (e.g., respiratory depression, coma) (see WARNINGS ). Intervention: Do not use Morphine Sulfate Injection in patients taking MAOIs or within 14 days of stopping such treatment. If urgent use of an opioid is necessary, use test doses and frequent titration of small doses of other opioids (such as oxycodone, hydrocodone, oxymorphone, or buprenorphine) to treat pain while closely monitoring blood pressure and signs and symptoms of CNS and respiratory depression. Examples: phenelzine, tranylcypromine, linezolid Mixed Agonist/Antagonist and Partial Agonist Opioid Analgesics Clinical Impact: May reduce the analgesic effect of Morphine Sulfate Injection and/or precipitate withdrawal symptoms. Intervention: Avoid concomitant use. Examples: butorphanol, nalbuphine, pentazocine, buprenorphine Muscle Relaxants Clinical Impact: Morphine may enhance the neuromuscular blocking action of skeletal muscle relaxants and produce an increased degree of respiratory depression. Intervention: Monitor patients for signs of respiratory depression that may be greater than otherwise expected and decrease the dosage of Morphine Sulfate Injection and/or the muscle relaxant as necessary. Cimetidine Clinical Impact: Concomitant administration of Morphine Sulfate Injection and cimetidine has been reported to precipitate apnea, confusion, and muscle twitching in an isolated report. Intervention: Monitor patients for increased respiratory and CNS depression when receiving cimetidine concomitantly with Morphine Sulfate Injection. Diuretics Clinical Impact: Opioids can reduce the efficacy of diuretics by inducing the release of antidiuretic hormone. Intervention: Monitor patients for signs of diminished diuresis and/or effects on blood pressure and increase the dosage of the diuretic as needed. Anticholinergic Drugs Clinical Impact: The concomitant use of anticholinergic drugs may increase risk of urinary retention and/or severe constipation, which may lead to paralytic ileus. Intervention: Monitor patients for signs of urinary retention or reduced gastric motility when Morphine Sulfate Injection is used concomitantly with anticholinergic drugs. Oral P2Y 12 Inhibitors Clinical Impact: The co-administration of oral P2Y 12 inhibitors and intravenous morphine sulfate can decrease the absorption and peak concentration of oral P2Y 12 inhibitors and delay the onset of the antiplatelet effect. Intervention: Consider the use of a parenteral antiplatelet agent in the setting of acute coronary syndrome requiring co-administration of intravenous morphine sulfate. Examples: clopidogrel, prasugrel, ticagrelor

How Supplied

Morphine Sulfate Injection, USP, is available in glass fliptop vials as follows: 25 mg/mL Morphine Sulfate Injection, USP, Preservative Free (no bacteriostat or antioxidant added). Single-dose vials. Contains no antimicrobial preservatives. Unit of Sale Concentration NDC 0409-1135-02 Carton of 1 Single-dose Fliptop Vial 250 mg/10 mL (25 mg/mL) 50 mg/mL Morphine Sulfate Injection, USP (no bacteriostat added). Single-dose vials. Unit of Sale Concentration NDC 0409-1134-03 Carton of 1 Single-dose Fliptop Vial 1,000 mg/20 mL (50 mg/mL) NDC 0409-1134-05 Carton of 1 Single-dose Fliptop Vial 2,500 mg/50 mL (50 mg/mL) FOR INTRAVENOUS USE ONLY AFTER DILUTION. NOT FOR DIRECT INJECTION. THESE PRODUCTS ARE INTENDED FOR INTRAVENOUS USE ONLY. NOT INTENDED FOR INTRATHECAL OR EPIDURAL USE.


Medication Information

Indications and Usage

Morphine sulfate is indicated for the relief of severe pain. It is used preoperatively to sedate the patient and allay apprehension, facilitate anesthesia induction and reduce anesthetic dosage. It is likewise effective in the control of post-operative pain.

The use of morphine for the relief of pain should be reserved for the more severe manifestations of pain, as in myocardial infarction, severe injuries, or in severe chronic pain associated with terminal cancer after all non-narcotic analgesics have failed.

Effective analgesic therapy of severe chronic pain associated with terminal cancer continues to be a difficult problem. Intermittent administration of intramuscular morphine may be effective; however, the mode of therapy has significant limitations. Morphine has a short plasma half-life of 2.5 to 3.0 hours; therefore, frequent administration (every 1 to 2 hours) often becomes necessary to control severe pain associated with cancer. Tolerance develops to the analgesic effects and increasingly higher doses of morphine are required to produce analgesia. The higher morphine doses produce significant and often life-threatening side effects (see ADVERSE REACTIONS). The peak and trough effects produced by intermittent administration cause fluctuations in pain control. Repeated intramuscular injections are frequently unacceptable due to the lack of muscle mass in the debilitated patient, the tendency for bruising and bleeding at the injection site, and the anxiety and pain associated with the injection.

Continuous intravenous infusion of morphine (see DOSAGE AND ADMINISTRATION) has been employed as an alternative to traditional modes of administration. Lower doses of morphine produce uniform pain control because a steady morphine concentration is maintained. Titration of the dosage to the patient's needs is easily achieved by adjusting the infusion rate. The lag time between the patient's request for pain medication and administration of the dose and the amount of nursing time necessary for preparation and administration of frequent doses are reduced. The degree of respiratory depression and sedation may be decreased, and the anxiety experienced by the patient in anticipation of intramuscular administration is avoided. Some Investigators feel that tolerance to the analgesic effects may develop more slowly with continuous intravenous infusion.

In addition to analgesia, the drug may relieve anxiety and reduce left ventricular work by reducing preload pressure. Morphine is also used in the therapy of dyspnea associated with acute left ventricular and pulmonary edema. Care must be taken to avoid inducing respiratory depression in such patients.

For open-heart surgery, especially in high risk patients with cardiac disease, some anesthesiologists use morphine to produce anesthesia.

Dosage and Administration

THESE PRODUCTS ARE INTENDED FOR SLOW INTRAVENOUS USE ONLY. RAPID INTRAVENOUS ADMINISTRATION MAY RESULT IN CHEST WALL RIGIDITY. NOT FOR INTRATHECAL OR EPIDURAL USE.

Contraindications

Morphine Sulfate Injection is contraindicated in patients with:

  • Significant respiratory depression (see WARNINGS)
  • Acute or severe bronchial asthma in an unmonitored setting or in the absence of resuscitative equipment (see PRECAUTIONS)
  • Concurrent use of monoamine oxidase inhibitors (MAOIs) or use of MAOIs within the last 14 days (see WARNINGS)
  • Known or suspected gastrointestinal obstruction, including paralytic ileus (see PRECAUTIONS)
  • Hypersensitivity to morphine (e.g., anaphylaxis) (see ADVERSE REACTIONS)

Because of its stimulating effect on the spinal cord, morphine should not be used in convulsive states, such as those occurring in status epilepticus, tetanus, and strychnine poisoning. Morphine is also contraindicated in the following conditions: heart failure secondary to chronic lung disease; cardiac arrhythmias; increased intracranial or cerebrospinal pressure; head injuries; brain tumor; acute alcoholism; and delirium tremens.

The use of bisulfites is contraindicated in asthmatics. Bisulfites and morphine may potentiate each other, preventing use by causing severe adverse reactions. Use with extreme caution in patients with chronic obstructive pulmonary disease or cor pulmonale, patients with substantially decreased respiratory reserve, and patients with pre-existing respiratory depression, hypoxia or hypercapnia. In such patients, even usual therapeutic doses of narcotics may decrease respiratory drive while simultaneously increasing airway resistance to the point of apnea.

Adverse Reactions

The following serious adverse reactions are described, or described in greater detail, in other sections:

  • Addiction, Abuse, and Misuse (see WARNINGS)
  • Life-Threatening Respiratory Depression (see WARNINGS)
  • Neonatal Opioid Withdrawal Syndrome (see WARNINGS)
  • Interactions with Benzodiazepines or Other CNS Depressants (see WARNINGS)
  • Cardiovascular Instability (see WARNINGS)
  • Adrenal Insufficiency (see WARNINGS)
  • Severe Hypotension (see PRECAUTIONS)
  • Gastrointestinal Adverse Reactions (see PRECAUTIONS)
  • Seizures (see PRECAUTIONS)
  • Withdrawal (see WARNINGS)

The following adverse reactions associated with the use of morphine were identified in clinical studies or postmarketing reports. Because some of these reactions were reported voluntarily from a population of uncertain size, it is not always possible to reliably estimate their frequency or establish a causal relationship to drug exposure.

Serious adverse reactions associated with Morphine Sulfate Injection included respiratory depression, apnea, and to a lesser degree, circulatory depression, respiratory arrest, shock, and cardiac arrest. Rarely, anaphylactoid reactions have been reported when morphine or other phenanthrene alkaloids of opium are administered intravenously.

The most frequently observed adverse reactions included sedation, lightheadedness, dizziness, nausea, vomiting, constipation, and diaphoresis.

Lightheadedness, dizziness, sedation, nausea, vomiting and sweating seem to be more prominent in ambulatory patients and in those who are not suffering from severe pain. In such individuals, lower doses are advisable.

Other possible adverse reactions included:

CNS – Euphoria, dysphoria, weakness, headache, agitation, tremor, uncoordinated muscle movements, visual disturbances, transient hallucinations, disorientation, delirium, somnolence, drowsiness, miosis, pinpoint pupils, coma, insomnia, impairment of mental and physical performance, mental clouding, lethargy, anxiety, fear, psychic dependence, mood changes, confusion.

Gastrointestinal – Constipation, biliary tract spasm, dry mouth, anorexia. Patients with chronic ulcerative colitis may experience increased colonic motility; toxic dilatation has been reported in patients with acute ulcerative colitis.

Cardiovascular – Tachycardia, bradycardia, palpitation, faintness, syncope, orthostatic hypotension, peripheral circulatory collapse, hypotension, phlebitis following intravenous injection.

Genitourinary – Oliguria and urinary retention or hesitancy; an antidiuretic effect has been reported; ureteral spasm and spasm of vesical sphincters, reduced libido and/or potency.

Allergic – Pruritus, urticaria, skin rashes, edema, and (rarely) hemorrhagic urticaria. Flare over the vein with intravenous injection may occur. Anaphylactoid reactions have been reported following intravenous administration. An isolated case of thrombocytopenia has been reported to be induced by morphine.

Other – Opioid-induced histamine release may be responsible for the flushing of the face, diaphoresis, and pruritus often seen with these drugs. Wheals and urticaria at the site of injection are probably related to histamine release. Local tissue irritation, pain, and induration have been reported following repeated subcutaneous injection. Morphine may alter temperature regulation in susceptible individuals and will depress the cough reflex.

Serotonin syndrome: Cases of serotonin syndrome, a potentially life-threatening condition, have been reported during concomitant use of opioids with serotonergic drugs.

Adrenal insufficiency: Cases of adrenal insufficiency have been reported with opioid use, more often following greater than one month of use.

Anaphylaxis: Anaphylaxis has been reported with ingredients contained in Morphine Sulfate Injection.

Androgen deficiency: Cases of androgen deficiency have occurred with chronic use of opioids (see CLINICAL PHARMACOLOGY).

Drug Interactions

Morphine may increase the anticoagulant activity of coumarin and other anticoagulants.

When morphine is to be administered to patients receiving propiomazine (Largon), the dose of morphine should be reduced by one-quarter to one-half.

Atropine antagonizes morphine respiratory depression. Levallorphan and nalorphine antagonize morphine actions, principally the respiratory depression.

Table 1: Clinically Significant Drug Interactions with Morphine Sulfate Injection
Benzodiazepines and Other CNS Depressants
Clinical Impact: Due to additive pharmacologic effect, the concomitant use of benzodiazepines or other CNS depressants, including alcohol, can increase the risk of hypotension, respiratory depression, profound sedation, coma, and death.
Intervention: Reserve concomitant prescribing of these drugs for use in patients for whom alternative treatment options are inadequate. Limit dosages and durations to the minimum required. Follow patients closely for signs of respiratory depression and sedation (see WARNINGS).
Examples: Benzodiazepines and other sedatives/hypnotics, anxiolytics, tranquilizers, muscle relaxants, general anesthetics, antipsychotics, other opioids, alcohol.
Serotonergic Drugs
Clinical Impact: The concomitant use of opioids with other drugs that affect the serotonergic neurotransmitter system has resulted in serotonin syndrome.
Intervention: If concomitant use is warranted, carefully observe the patient, particularly during treatment initiation and dose adjustment. Discontinue Morphine Sulfate Injection if serotonin syndrome is suspected.
Examples: Selective serotonin reuptake inhibitors (SSRIs), serotonin and norepinephrine reuptake inhibitors (SNRIs), tricyclic antidepressants (TCAs), triptans, 5-HT3 receptor antagonists, drugs that affect the serotonin neurotransmitter system (e.g., mirtazapine, trazodone, tramadol), certain muscle relaxants (i.e., cyclobenzaprine, metaxalone), monoamine oxidase (MAO) inhibitors (those intended to treat psychiatric disorders and also others, such as linezolid and intravenous methylene blue).
Monoamine Oxidase Inhibitors (MAOIs)
Clinical Impact: MAOI interactions with opioids may manifest as serotonin syndrome or opioid toxicity (e.g., respiratory depression, coma) (see WARNINGS).
Intervention: Do not use Morphine Sulfate Injection in patients taking MAOIs or within 14 days of stopping such treatment.

If urgent use of an opioid is necessary, use test doses and frequent titration of small doses of other opioids (such as oxycodone, hydrocodone, oxymorphone, or buprenorphine) to treat pain while closely monitoring blood pressure and signs and symptoms of CNS and respiratory depression.
Examples: phenelzine, tranylcypromine, linezolid
Mixed Agonist/Antagonist and Partial Agonist Opioid Analgesics
Clinical Impact: May reduce the analgesic effect of Morphine Sulfate Injection and/or precipitate withdrawal symptoms.
Intervention: Avoid concomitant use.
Examples: butorphanol, nalbuphine, pentazocine, buprenorphine
Muscle Relaxants
Clinical Impact: Morphine may enhance the neuromuscular blocking action of skeletal muscle relaxants and produce an increased degree of respiratory depression.
Intervention: Monitor patients for signs of respiratory depression that may be greater than otherwise expected and decrease the dosage of Morphine Sulfate Injection and/or the muscle relaxant as necessary.
Cimetidine
Clinical Impact: Concomitant administration of Morphine Sulfate Injection and cimetidine has been reported to precipitate apnea, confusion, and muscle twitching in an isolated report.
Intervention: Monitor patients for increased respiratory and CNS depression when receiving cimetidine concomitantly with Morphine Sulfate Injection.
Diuretics
Clinical Impact: Opioids can reduce the efficacy of diuretics by inducing the release of antidiuretic hormone.
Intervention: Monitor patients for signs of diminished diuresis and/or effects on blood pressure and increase the dosage of the diuretic as needed.
Anticholinergic Drugs
Clinical Impact: The concomitant use of anticholinergic drugs may increase risk of urinary retention and/or severe constipation, which may lead to paralytic ileus.
Intervention: Monitor patients for signs of urinary retention or reduced gastric motility when Morphine Sulfate Injection is used concomitantly with anticholinergic drugs.
Oral P2Y12 Inhibitors
Clinical Impact: The co-administration of oral P2Y12 inhibitors and intravenous morphine sulfate can decrease the absorption and peak concentration of oral P2Y12 inhibitors and delay the onset of the antiplatelet effect.
Intervention: Consider the use of a parenteral antiplatelet agent in the setting of acute coronary syndrome requiring co-administration of intravenous morphine sulfate.
Examples: clopidogrel, prasugrel, ticagrelor
How Supplied

Morphine Sulfate Injection, USP, is available in glass fliptop vials as follows:

25 mg/mL Morphine Sulfate Injection, USP, Preservative Free (no bacteriostat or antioxidant added).

Single-dose vials.

Contains no antimicrobial preservatives.

Unit of Sale Concentration
NDC 0409-1135-02

Carton of 1 Single-dose Fliptop Vial
250 mg/10 mL

(25 mg/mL)

50 mg/mL Morphine Sulfate Injection, USP (no bacteriostat added).

Single-dose vials.

Unit of Sale Concentration
NDC 0409-1134-03

Carton of 1 Single-dose Fliptop Vial
1,000 mg/20 mL

(50 mg/mL)
NDC 0409-1134-05

Carton of 1 Single-dose Fliptop Vial
2,500 mg/50 mL

(50 mg/mL)

FOR INTRAVENOUS USE ONLY AFTER DILUTION.

NOT FOR DIRECT INJECTION.

THESE PRODUCTS ARE INTENDED FOR INTRAVENOUS USE ONLY.

NOT INTENDED FOR INTRATHECAL OR EPIDURAL USE.

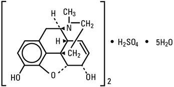
Description

Morphine is a tertiary nitrogen base containing a phenanthrene nucleus; it has two hydroxyl groups, one phenolic and the other alcoholic (secondary). The sulfate salt occurs as white, feathery, silky crystals, cubical masses of crystals, or white, crystalline powder.

The chemical name of morphine sulfate is 7,8-didehydro-4,5α-epoxy-17-methylmorphinan-3,6α-diol sulfate (2:1) (salt), pentahydrate.

It has the following chemical structure:

(C17H19NO3)2 ∙ H2SO4 ∙ 5H2O                            M.W. 758.83

Morphine Sulfate Injection, USP is a sterile solution of morphine sulfate pentahydrate in Water for Injection, USP.

Morphine Sulfate Injection, USP is available in the following concentrations:

Each mL of Morphine Sulfate Injection, USP, Preservative Free (no bacteriostat or antioxidant added) contains 25 mg Morphine Sulfate in Water for Injection. Sulfuric acid added for adjustment of pH to 3.5 (2.5 to 6.5).

Each mL of Morphine Sulfate Injection, USP, (no bacteriostat added), contains 25 mg or 50 mg Morphine Sulfate, 0.75 mg Edetate Disodium, 1 mg Sodium Metabisulfite (added during manufacture) as an antioxidant, in Water for Injection. Sulfuric acid added for adjustment of pH to 3.5 (2.5 to 6.5).

NOTE: These products are intended for intravenous use only. They are not intended for intrathecal or epidural use. They are for use after dilution, not for direct infusion, and is intended as a single-dose unit. It contains no antimicrobial preservatives. When the dosing requirement is completed, the unused portion should be discarded in an appropriate manner.

Sex

While evidence of greater post-operative Morphine Sulfate Injection consumption in men compared to women is present in the literature, clinically significant differences in analgesic outcomes and pharmacokinetic parameters have not been consistently demonstrated. Some studies have shown an increased sensitivity to the adverse effects of Morphine Sulfate Injection, including respiratory depression, in women compared to men.

Abuse

Morphine Sulfate Injection contains morphine, a substance with a high potential for abuse similar to other opioids including fentanyl, hydromorphone, methadone, oxycodone, oxymorphone, and tapentadol. Morphine Sulfate Injection can be abused and is subject to misuse, addiction, and criminal diversion (see WARNINGS).

All patients treated with opioids require careful monitoring for signs of abuse and addiction, because use of opioid analgesic products carries the risk of addiction even under appropriate medical use. Prescription drug abuse is the intentional non-therapeutic use of a prescription drug, even once, for its rewarding psychological or physiological effects.

Drug addiction is a cluster of behavioral, cognitive, and physiological phenomena that develop after repeated substance use and includes: a strong desire to take the drug, difficulties in controlling its use, persisting in its use despite harmful consequences, a higher priority given to drug use than to other activities and obligations, increased tolerance, and sometimes a physical withdrawal.

"Drug-seeking" behavior is very common in persons with substance abuse disorders. Drug-seeking tactics include emergency calls or visits near the end of office hours, refusal to undergo appropriate examination, testing or referral, repeated "loss" of prescriptions, tampering with prescriptions, and reluctance to provide prior medical records or contact information for other treating physician(s). "Doctor shopping" (visiting multiple prescribers to obtain additional prescriptions) is common among drug abusers and people suffering from untreated addiction. Preoccupation with achieving adequate pain relief can be appropriate behavior in a patient with poor pain control.

Abuse and addiction are separate and distinct from physical dependence and tolerance. Health care providers should be aware that addiction may not be accompanied by concurrent tolerance and symptoms of physical dependence in all addicts. In addition, abuse of opioids can occur in the absence of true addiction.

Morphine Sulfate Injection, like other opioids, can be diverted for non-medical use into illicit channels of distribution. Careful record-keeping of prescribing information, including quantity, frequency, and renewal requests, as required by state and federal law, is strongly advised.

Proper assessment of the patient, proper prescribing practices, periodic re-evaluation of therapy, and proper dispensing and storage are appropriate measures that help to limit abuse of opioid drugs.

Section 42229-5

FOR INTRAVENOUS USE ONLY

NOT FOR INTRATHECAL OR EPIDURAL USE

Fliptop Vial

Rx only

Storage

Store at 20 to 25°C (68 to 77°F). [See USP Controlled Room Temperature.] Morphine sulfate solutions may darken with age. Do not use if injection is darker than pale yellow, discolored in any other way, or contains a precipitate. Do not heat-sterilize the Preservative Free (antioxidant free) formula.

PROTECT FROM LIGHT

Excretion

The major excretion path of the conjugate is through the kidneys, with about 10% in the feces. Morphine is also eliminated by the kidneys, 2 to 12% being excreted unchanged in the urine. Terminal half-life is commonly reported to vary from 1.5 to 4.5 hours, although the longer half-lives were obtained when morphine levels were monitored over protracted periods with very sensitive radioimmunoassay methods. The accepted elimination half-life in normal subjects is 1.5 to 2 hours.

Morphine has a total plasma clearance which ranges from 0.9 to 1.2 L/kg/h in post-operative patients, but shows considerable interindividual variation.

Dependence

Both tolerance and physical dependence can develop during chronic opioid therapy. Tolerance is the need for increasing doses of opioids to maintain a defined effect such as analgesia (in the absence of disease progression or other external factors). Tolerance may occur to both the desired and undesired effects of drugs, and may develop at different rates for different effects.

Physical dependence results in withdrawal symptoms after abrupt discontinuation or a significant dosage reduction of a drug. Withdrawal also may be precipitated through the administration of drugs with opioid antagonist activity (e.g., naloxone, nalmefene), mixed agonist/antagonist analgesics (e.g., pentazocine, butorphanol, nalbuphine), or partial agonists (e.g., buprenorphine). Physical dependence may not occur to a clinically significant degree until after several days to weeks of continued opioid usage.

Morphine Sulfate Injection should not be abruptly discontinued in a physically-dependent patient. If Morphine Sulfate Injection is abruptly discontinued in a physically-dependent patient, a withdrawal syndrome may occur. Some or all of the following can characterize this syndrome: restlessness, lacrimation, rhinorrhea, yawning, perspiration, chills, myalgia, and mydriasis. Other signs and symptoms also may develop, including, irritability, anxiety, backache, joint pain, weakness, abdominal cramps, insomnia, nausea, anorexia, vomiting, diarrhea, or increased blood pressure, respiratory rate, or heart rate.

Withdrawal should be treated in a hospital. Usually, it is necessary only to provide supportive care with administration of a tranquilizer to suppress anxiety. Severe symptoms of withdrawal may require administration of a replacement narcotic.

Infants born to mothers physically dependent on opioids will also be physically dependent and may exhibit respiratory difficulties and withdrawal signs (see PRECAUTIONS).

Human Data

The results from a population-based prospective cohort, including 70 women exposed to morphine during the first trimester of pregnancy and 448 women exposed to morphine at any time during pregnancy, indicate no increased risk for congenital malformations. However, these studies cannot definitely establish the absence of any risk because of methodological limitations, including small sample size and non-randomized study design.

Metabolism

The major pathway of clearance is hepatic glucuronidation to morphine-3-glucuronide, which is pharmacologically inactive.

Withdrawal

Avoid the use of mixed agonist/antagonist (e.g., pentazocine, nalbuphine, and butorphanol) or partial agonist (e.g., buprenorphine) analgesics in patients who are receiving a full opioid agonist analgesic, including Morphine Sulfate Injection. In these patients, mixed agonist/antagonist and partial agonist analgesics may reduce the analgesic effect and/or precipitate withdrawal symptoms.

When discontinuing Morphine Sulfate Injection in a physically-dependent patient, gradually taper the dosage. Do not abruptly discontinue Morphine Sulfate Injection in these patients (see DRUG ABUSE AND DEPENDENCE).

Animal Data

Formal reproductive and developmental toxicology studies for morphine have not been conducted. Exposure margins for the following published study reports are based on the HDD of 60 mg morphine using a body surface area comparison.

Neural tube defects (exencephaly and cranioschisis) were noted following subcutaneous administration of morphine sulfate (35–322 mg/kg) on Gestation Day 8 to pregnant hamsters (4.7 to 43.5 times the HDD). A no adverse effect level was not defined in this study and the findings cannot be clearly attributed to maternal toxicity. Neural tube defects (exencephaly), axial skeletal fusions, and cryptorchidism were reported following a single subcutaneous injection of morphine sulfate to pregnant mice (100–500 mg/kg) on Gestation Day 8 or 9 at 200 mg/kg or greater (16 times the HDD) and fetal resorption at 400 mg/kg or higher (32 times the HDD). No adverse effects were noted following 100 mg/kg morphine in this model (8 times the HDD). In one study, following continuous subcutaneous infusion of doses greater than or equal to 2.72 mg/kg to mice (0.2 times the HDD), exencephaly, hydronephrosis, intestinal hemorrhage, split supraoccipital, malformed sternebrae, and malformed xiphoid were noted. The effects were reduced with increasing daily dose; possibly due to rapid induction of tolerance under these infusion conditions. The clinical significance of this report is not clear.

Decreased fetal weights were observed in pregnant rats treated with 20 mg/kg/day morphine sulfate (3.2 times the HDD) from Gestation Day 7 to 9. There was no evidence of malformations despite maternal toxicity (10% mortality). In a second rat study, decreased fetal weight and increased incidences of growth retardation were noted at 35 mg/kg/day (5.7 times the HDD) and there was a reduced number of fetuses at 70 mg/kg/day (11.4 times the HDD) when pregnant rats were treated with 10, 35, or 70 mg/kg/day morphine sulfate via continuous infusion from Gestation Day 5 to 20. There was no evidence of fetal malformations or maternal toxicity.

An increased incidence of abortion was noted in a study in which pregnant rabbits were treated with 2.5 (0.8 times the HDD) to 10 mg/kg morphine sulfate via subcutaneous injection from Gestation Day 6 to 10. In a second study, decreased fetal body weights were reported following treatment of pregnant rabbits with increasing doses of morphine (10–50 mg/kg/day) during the pre-mating period and 50 mg/kg/day (16 times the HDD) throughout the gestation period. No overt malformations were reported in either publication; although only limited endpoints were evaluated.

In published studies in rats, exposure to morphine during gestation and/or lactation periods is associated with: decreased pup viability at 12.5 mg/kg/day or greater (2 times the HDD); decreased pup body weights at 15 mg/kg/day or greater (2.4 times the HDD); decreased litter size, decreased absolute brain and cerebellar weights, cyanosis, and hypothermia at 20 mg/kg/day (3.2 times the HDD); alteration of behavioral responses (play, social-interaction) at 1 mg/kg/day or greater (0.2 times the HDD); alteration of maternal behaviors (e.g., decreased nursing and pup retrievals) in mice at 1 mg/kg or higher (0.08 times the HDD) and rats at 1.5 mg/kg/day or higher (0.2 times the HDD); and a host of behavioral abnormalities in the offspring of rats, including altered responsiveness to opioids at 4 mg/kg/day (0.7 times the HDD) or greater.

Fetal and/or postnatal exposure to morphine in mice and rats has been shown to result in morphological changes in fetal and neonatal brain and neuronal cell loss, alteration of a number of neurotransmitter and neuromodulator systems, including opioid and non-opioid systems, and impairment in various learning and memory tests that appear to persist into adulthood. These studies were conducted with morphine treatment usually in the range of 4 to 20 mg/kg/day (0.7 to 3.2 times the HDD).

Additionally, delayed sexual maturation and decreased sexual behaviors in female offspring at 20 mg/kg/day (3.2 times the HDD), and decreased plasma and testicular levels of LH and testosterone, decreased testes weights, seminiferous tubule shrinkage, germinal cell aplasia, and decreased spermatogenesis in male offspring were also observed at 20 mg/kg/day (3.2 times the HDD). Decreased litter size and viability were observed in the offspring of male rats that were intraperitoneally administered morphine sulfate for 1 day prior to mating at 25 mg/kg/day (4.1 times the HDD) and mated to untreated females. Decreased viability and body weight and/or movement deficits in both first and second generation offspring were reported when male mice were treated for 5 days with escalating doses of 120 to 240 mg/kg/day morphine sulfate (9.7 to 19.5 times the HDD) or when female mice treated with escalating doses of 60 to 240 mg/kg/day (4.9 to 19.5 times the HDD) followed by a 5-day treatment-free recovery period prior to mating. Similar multigenerational findings were also seen in female rats pre-gestationally treated with escalating doses of 10 to 22 mg/kg/day morphine (1.6 to 3.6 times the HDD).

Convulsions

Morphine may aggravate pre-existing convulsive disorders. Convulsions may occur in individuals without a history of convulsive disorders if dosage is substantially escalated above recommended levels because of tolerance development.

Infertility

Chronic use of opioids may cause reduced fertility in females and males of reproductive potential. It is not known whether these effects on fertility are reversible (see CLINICAL PHARMACOLOGY).

In published animal studies, morphine administration adversely effected fertility and reproductive endpoints in male rats and prolonged estrus cycle in female rats (see Carcinogenesis, Mutagenesis, Impairment of Fertility).

Mutagenesis

No formal studies to assess the mutagenic potential of morphine have been conducted. In the published literature, morphine was found to be mutagenic in vitro increasing DNA fragmentation in human T-cells. Morphine was also reported to be mutagenic in the in vivo mouse micronucleus assay and positive for the induction of chromosomal aberrations in mouse spermatids and murine lymphocytes. Mechanistic studies suggest that the in vivo clastogenic effects reported with morphine in mice may be related to increases in glucocorticoid levels produced by morphine in these species. In contrast to the above positive findings, in vitro studies in the literature have also shown that morphine did not induce chromosomal aberrations in human leukocytes or translocations or lethal mutations in Drosophila.

Constipation

Advise patients of the potential for severe constipation, including management instructions and when to seek medical attention (see ADVERSE REACTIONS).

Distribution

Morphine has an apparent volume of distribution ranging from 1.0 to 4.7 L/kg after parenteral administration. Protein binding is low, about 36%, and muscle tissue binding is reported as 54%. A blood-brain barrier exists, and when morphine is introduced outside of the CNS, plasma concentrations of morphine remain higher than the corresponding CSF morphine levels.

Risk Summary

Prolonged use of opioid analgesics during pregnancy can cause neonatal opioid withdrawal syndrome (see WARNINGS). There are no available data with Morphine Sulfate Injection in pregnant women to inform a drug-associated risk for major birth defects and miscarriage. Published studies with morphine use during pregnancy have not reported a clear association with morphine and major birth defects (see Human Data). In published animal reproduction studies, morphine administered subcutaneously during the early gestational period produced neural tube defects (i.e., exencephaly and cranioschisis) at 5 and 16 times the HDD of 60 mg based on body surface area in hamsters and mice, respectively, lower fetal body weight and increased incidence of abortion at 0.4 times the HDD in the rabbit, growth retardation at 6 times the HDD in the rat, and axial skeletal fusion and cryptorchidism at 16 times the HDD in the mouse. Administration of morphine sulfate to pregnant rats during organogenesis and through lactation resulted in cyanosis, hypothermia, decreased brain weights, pup mortality, decreased pup body weights, and adverse effects on reproductive tissues at 3–4 times the HDD; and long-term neurochemical changes in the brain of offspring which correlate with altered behavioral responses that persist through adulthood at exposures comparable to and less than the HDD (see Animal Data). Based on animal data, advise pregnant women of the potential risk to a fetus.

The estimated background risk of major birth defects and miscarriage for the indicated population is unknown. All pregnancies have a background risk of birth defect, loss, or other adverse outcomes. In the U.S. general population, the estimated background risk of major birth defects and miscarriage in clinically recognized pregnancies is 2–4% and 15–20%, respectively.

Geriatric Use

The pharmacodynamic effects of morphine in the elderly are more variable than in the younger population. Older patients will vary widely in the effective initial dose, rate of development of tolerance and the frequency and magnitude of associated adverse effects as the dose is increased. Initial elderly patients (aged 65 years or older) may have increased sensitivity to morphine. In general, use caution when selecting a dosage for an elderly patient, usually starting at the low end of the dosing range, reflecting the greater frequency of decreased hepatic, renal, or cardiac function and of concomitant disease or other drug therapy.

Respiratory depression is the chief risk for elderly patients treated with opioids, and has occurred after large initial doses were administered to patients who were not opioid-tolerant or when opioids were co-administered with other agents that depress respiration. Titrate the dosage of Morphine Sulfate Injection slowly in geriatric patients and monitor closely for signs of CNS and respiratory depression (see PRECAUTIONS).

Morphine is known to be substantially excreted by the kidney, and the risk of adverse reactions to this drug may be greater in patients with impaired renal function. Because elderly patients are more likely to have decreased renal function, care should be taken in dose selection, and it may be useful to monitor renal function.

Pediatric Use

The safety and effectiveness of Morphine Sulfate Injection in pediatric patients below the age of 18 have not been established.

Carcinogenesis

Long-term studies in animals to evaluate the carcinogenic potential of morphine have not been conducted.

Renal Impairment

Morphine pharmacokinetics are altered in patients with renal failure. The AUC is increased and clearance is decreased and the metabolites, M3G and M6G, may accumulate to much higher plasma levels in patients with renal failure as compared to patients with normal renal function. Adequate studies of the pharmacokinetics of morphine in patients with severe renal impairment have not been conducted.

Contains Sulfites

The product which contains antioxidant (25 mg/mL and 50 mg/mL concentrations – see DESCRIPTION and HOW SUPPLIED), contains sodium metabisulfite, a sulfite that may cause allergic-type reactions, including anaphylactic symptoms and life-threatening or less severe asthmatic episodes in certain susceptible people. The overall prevalence of sulfite sensitivity in the general population is unknown and probably low. Sulfite sensitivity is seen more frequently in asthmatic than in nonasthmatic people.

Labor Or Delivery

Opioids cross the placenta and may produce respiratory depression and psycho-physiologic effects in neonates. An opioid antagonist, such as naloxone, must be available for reversal of opioid-induced respiratory depression in the neonate. Morphine Sulfate Injection is not recommended for use in women during and immediately prior to labor, when use of shorter-acting analgesics or other analgesic techniques are more appropriate. Opioid analgesics, including Morphine Sulfate Injection, can prolong labor through actions that temporarily reduce the strength, duration, and frequency of uterine contractions. However, this effect is not consistent and may be offset by an increased rate of cervical dilatation, which tends to shorten labor. Monitor neonates exposed to opioid analgesics during labor for signs of excess sedation and respiratory depression.

Effects On the Cns

Morphine sulfate produces respiratory depression by direct action on brain stem respiratory centers. The respiratory depression involves a reduction in the responsiveness of the brain stem respiratory centers to both increases in carbon dioxide tension and electrical stimulation.

Morphine causes miosis, even in total darkness. Pinpoint pupils are a sign of opioid overdose but are not pathognomonic (e.g., pontine lesions of hemorrhagic or ischemic origins may produce similar findings). Marked mydriasis rather than miosis may be seen due to hypoxia in overdose situations.

Hepatic Impairment

Morphine pharmacokinetics are altered in patients with cirrhosis. Clearance was found to decrease with a corresponding increase in half-life. The M3G and M6G to morphine AUC ratios also decreased in these subjects, indicating diminished metabolic activity. Adequate studies of the pharmacokinetics of morphine in patients with severe hepatic impairment have not been conducted.

Parenteral Therapy

Give by very slow intravenous injection, in the form of a diluted solution. Rapid intravenous injection of morphine and other narcotic analgesics increases the incidence of adverse reactions; severe respiratory depression, hypotension, apnea, peripheral circulatory collapse, cardiac arrest, and anaphylactic reactions have occurred. These preparations should not be administered intravenously unless a narcotic antagonist and facilities for assisted or controlled respiration are immediately available. When given parenterally, especially intravenously, the patient should be lying down. Use caution when injecting subcutaneously or intramuscularly in chilled areas or in patients with hypotension or shock, since impaired perfusion may prevent complete absorption. If repeated injections are administered, an excessive amount may be suddenly absorbed if normal circulation is reestablished.

Serotonin Syndrome

Opioids can cause a rare but potentially life-threatening condition resulting from concomitant administration of serotonergic drugs. Instruct patients to inform their physicians if they are taking, or plan to take serotonergic medications (see Drug Interactions).

Severe Hypotension

Morphine Sulfate Injection may cause severe hypotension including orthostatic hypotension and syncope in ambulatory patients. There is increased risk in patients whose ability to maintain blood pressure has already been compromised by a reduced blood volume or concurrent administration of certain CNS depressant drugs (e.g., phenothiazines or general anesthetics) (see Drug Interactions). Monitor these patients for signs of hypotension after initiating or titrating the dosage of Morphine Sulfate Injection. In patients with circulatory shock, Morphine Sulfate Injection may cause vasodilation that can further reduce cardiac output and blood pressure. Avoid the use of Morphine Sulfate Injection in patients with circulatory shock.

Mechanism of Action

Morphine is a full opioid agonist and is relatively selective for the mu-opioid receptor, although it can bind to other opioid receptors at higher doses. The principal therapeutic action of morphine is analgesia. Like all full opioid agonists, there is no ceiling effect for analgesia with morphine. Clinically, dosage is titrated to provide adequate analgesia and may be limited by adverse reactions, including respiratory and CNS depression.

The precise mechanism of the analgesic action is unknown. However, specific CNS opioid receptors for endogenous compounds with opioid-like activity have been identified throughout the brain and spinal cord and are thought to play a role in the analgesic effects of this drug.

Controlled Substance

Morphine Sulfate Injection contains morphine, a Schedule II controlled substance.

Usual Pediatric Dose

Analgesic - Intravenous, 50 to 100 µg (0.05 to 0.1 mg) per kg of body weight, administered very slowly. Not to exceed 10 mg per dose.

Adrenal Insufficiency

Cases of adrenal insufficiency have been reported with opioid use, more often following greater than one month of use. Presentation of adrenal insufficiency may include non-specific symptoms and signs including nausea, vomiting, anorexia, fatigue, weakness, dizziness, and low blood pressure. If adrenal insufficiency is suspected, confirm the diagnosis with diagnostic testing as soon as possible. If adrenal insufficiency is diagnosed, treat with physiologic replacement doses of corticosteroids. Wean the patient off of the opioid to allow adrenal function to recover and continue corticosteroid treatment until adrenal function recovers. Other opioids may be tried as some cases reported use of a different opioid without recurrence of adrenal insufficiency. The information available does not identify any particular opioids as being more likely to be associated with adrenal insufficiency.

Clinical Presentation

Acute overdose with Morphine Sulfate Injection can be manifested by respiratory depression (a decrease in respiratory rate and/or tidal volume, Cheyne-Stokes respiration, cyanosis), somnolence progressing to stupor or coma, skeletal muscle flaccidity, cold and clammy skin, constricted pupils, and, in some cases, pulmonary edema, bradycardia, hypotension, partial or complete airway obstruction, atypical snoring, and death. Marked mydriasis rather than miosis may be seen with hypoxia in overdose situations (see CLINICAL PHARMACOLOGY). In severe overdosage, particularly by the intravenous route, apnea, circulatory collapse, cardiac arrest, and death may occur.

Treatment of Overdose

In case of overdose, priorities are the reestablishment of a patent and protected airway and institution of assisted or controlled ventilation, if needed. Employ supportive measures (including oxygen and vasopressors) in the management of circulatory shock and pulmonary edema as indicated. Cardiac arrest or arrhythmias will require advanced life-support techniques. If depressed respiration is associated with muscular rigidity, an intravenous neuromuscular blocking agent may be required to facilitate assisted or controlled respiration.

The opioid antagonists, naloxone or nalmefene, are specific antidotes to respiratory depression resulting from opioid overdose. For clinically significant respiratory or circulatory depression secondary to morphine sulfate overdose, administer an opioid antagonist. Opioid antagonists should not be administered in the absence of clinically significant respiratory or circulatory depression secondary to morphine sulfate overdose.

Because the duration of opioid reversal is expected to be less than the duration of action of morphine in Morphine Sulfate Injection, carefully monitor the patient until spontaneous respiration is reliably re-established. If the response to an opioid antagonist is suboptimal or only brief in nature, administer additional antagonist as directed by the product's prescribing information.

In an individual physically dependent on opioids, administration of the recommended dosage of the antagonist will precipitate an acute withdrawal syndrome. The severity of the withdrawal symptoms experienced will depend on the degree of physical dependence and the dose of the antagonist administered. If a decision is made to treat serious respiratory depression in the physically dependent patient, administration of the antagonist should begin with care and by titration with smaller than usual doses of the antagonist.

Oxygen, intravenous fluids, vasopressors, and other supportive measures should be employed as indicated. In cases of oral overdose, the stomach should be evacuated by emesis or gastric lavage if treatment can be instituted within 2 hours following ingestion. The patient should be observed closely for a rise in temperature or pulmonary complications that may signal the need for institution of antibiotic therapy.

For Open Heart Surgery

Large doses (0.5 to 3 mg/kg) of morphine are administered intravenously as the sole anesthetic or with a suitable anesthetic agent. The patients are given oxygen and cardiovascular function is not depressed by morphine, as long as adequate ventilation is maintained.

Clinical Considerations

Monitor infants exposed to Morphine Sulfate Injection, through breast milk for excess sedation and respiratory depression. Withdrawal symptoms can occur in breastfed infants when maternal administration of morphine is stopped, or when breastfeeding is stopped.

Impairment of Fertility

No formal nonclinical studies to assess the potential of morphine to impair fertility have been conducted.

Several nonclinical studies from the literature have demonstrated adverse effects on male fertility in the rat from exposure to morphine. One study in which male rats were administered morphine sulfate subcutaneously prior to mating (up to 30 mg/kg twice daily) and during mating (20 mg/kg twice daily) with untreated females, a number of adverse reproductive effects including reduction in total pregnancies and higher incidence of pseudopregnancies at 20 mg/kg/day (3.2 times the human daily dose-HDD of 60 mg based on body surface area) were reported.

Studies from the literature have also reported changes in hormonal levels in male rats (i.e., testosterone, LH) following treatment with morphine at 10 mg/kg/day or greater (1.6 times the HDD).

Female rats that were administered morphine sulfate intraperitoneally prior to mating exhibited prolonged estrous cycles at 10 mg/kg/day (1.6 times the HDD).

Exposure of adolescent male rats to morphine has been associated with delayed sexual maturation and following mating to untreated females, smaller litters, increased pup mortality, and/or changes in reproductive endocrine status in adult male offspring have been reported (estimated 5 times the plasma levels at the HDD).

Cardiovascular Instability

While low doses of intravenously administered morphine have little effect on cardiovascular stability, high doses are excitatory, resulting from sympathetic hyperactivity and increase in circulatory catecholamines. Have naloxone injection and resuscitative equipment immediately available for use in case of life-threatening or intolerable side effects and whenever morphine therapy is being initiated.

Addiction, Abuse, and Misuse

Morphine Sulfate Injection exposes patients and other users to the risks of opioid addiction, abuse, and misuse, which can lead to overdose and death. Assess each patient's risk prior to prescribing Morphine Sulfate Injection, and monitor all patients regularly for the development of these behaviors and conditions (see WARNINGS).

Effects On the Immune System

Opioids have been shown to have a variety of effects on components of the immune system in in vitro and animal models. The clinical significance of these findings is unknown. Overall, the effects of opioids appear to be modestly immunosuppressive.

Renal and Hepatic Dysfunction

Morphine may have a prolonged duration and cumulative effect in patients with renal or hepatic dysfunction.

Supraventricular Tachycardias

Caution should be used in patients with atrial flutter and other supraventricular tachycardias due to a possible vagolytic action which may produce a significant increase in the ventricular response rate.

Continuous Intravenous Infusion

Prior to the initiation of the morphine infusion (in concentrations between 0.2 to 1 mg/mL), a loading dose of 15 mg or higher of morphine sulfate may be administered by intravenous push to alleviate pain.

The infusion dosage range is 0.8 mg/hr to 80 mg/hr, though doses of up to 144 mg/hr have been used. Thus, for the 1 mg/mL solution, the infusion may be run from 0.8 mL /hr to 80 mL /hr, and for the 0.5 mg/mL solution, the infusion may be run from 1.6 mL /hr to 160 mL /hr.

A constant infusion rate must be maintained with an infusion pump in order to assure proper dosage control. Care must be taken to avoid overdosage (respiratory depression) or abrupt cessation of therapy, which may give rise to withdrawal symptoms.

Administration of Morphine Sulfate Injection should be limited to use by those familiar with the management of respiratory depression.

NOTE: Parenteral drug products should be inspected visually for particulate matter and discoloration prior to administration, whenever solution and container permit.

EXAMPLES OF INFUSION PREPARATION:

Concentrate Diluent Final Concentration
Morphine Sulfate Injection, USP Dextrose 5% in Water Morphine Sulfate
25 mg/mL
10 mL 490 mL 0.5 mg/mL
20 mL 480 mL 1.0 mg/mL
40 mL 960 mL 1.0 mg/mL
Morphine Sulfate Injection, USP
50 mg/mL
10 mL 990 mL 0.5 mg/mL
20 mL 980 mL 1.0 mg/mL
Effects On the Endocrine System

Opioids inhibit the secretion of adrenocorticotropic hormone (ACTH), cortisol, and luteinizing hormones (LH) in humans. They also stimulate prolactin, growth hormone (GH) secretion, and pancreatic secretion of insulin and glucagon.

Chronic use of opioids may influence the hypothalamic-pituitary-gonadal axis, leading to androgen deficiency that may manifest as low libido, impotence, erectile dysfunction, amenorrhea, or infertility. The causal role of opioids in the clinical syndrome of hypogonadism is unknown because the various medical, physical, lifestyle, and psychological stressors that may influence gonadal hormone levels have not been adequately controlled for in studies conducted to date (see ADVERSE REACTIONS).

Fetal/neonatal Adverse Reactions

Prolonged use of opioid analgesics during pregnancy for medical or non-medical purposes can result in physical dependence in the neonate and neonatal opioid withdrawal syndrome shortly after birth. Neonatal opioid withdrawal syndrome presents as irritability, hyperactivity and abnormal sleep pattern, high pitched cry, tremor, vomiting, diarrhea, and failure to gain weight. The onset, duration, and severity of neonatal withdrawal syndrome vary based on the specific opioid used, duration of use, timing and amount of last maternal use, and rate of elimination of the drug by the newborn. Observe newborns for signs of neonatal opioid withdrawal syndrome and manage accordingly (see WARNINGS).

Neonatal Opioid Withdrawal Syndrome

Prolonged use of Morphine Sulfate Injection during pregnancy can result in neonatal opioid withdrawal syndrome, which may be life-threatening if not recognized and treated, and requires management according to protocols developed by neonatology experts. If opioid use is required for a prolonged period in a pregnant woman, advise the patient of the risk of neonatal opioid withdrawal syndrome and ensure that appropriate treatment will be available (see WARNINGS).

Effects of the Cardiovascular System

Morphine produces peripheral vasodilation which may result in orthostatic hypotension or syncope. Manifestations of histamine release and/or peripheral vasodilation may include pruritus, flushing, red eyes, sweating, and/or orthostatic hypotension.

Concentration–efficacy Relationships

The minimum effective analgesic concentration will vary widely among patients, especially among patients who have been previously treated with potent agonist opioids. The minimum effective analgesic concentration of morphine for any individual patient may increase over time due to an increase in pain, the development of a new pain syndrome, and/or the development of analgesic tolerance.

Asthma and Other Respiratory Conditions

The use of bisulfites is contraindicated in asthmatics. Bisulfites and morphine may potentiate each other, preventing use by causing severe adverse reactions.

Use with extreme caution in patients with chronic obstructive pulmonary disease or cor pulmonale, patients with substantially decreased respiratory reserve, and patients with pre-existing respiratory depression, hypoxia or hypercapnia. In such patients, even usual therapeutic doses of narcotics may decrease respiratory drive while simultaneously increasing airway resistance to the point of apnea.

Life Threatening Respiratory Depression

Serious, life-threatening, or fatal respiratory depression may occur with use of Morphine Sulfate Injection. Monitor for respiratory depression, especially during initiation of Morphine Sulfate Injection or following a dose increase. Because of delay in maximum central nervous system (CNS) effect with intravenously administered morphine (30 min), rapid intravenous administration may result in overdosing (see WARNINGS).

Patients With Chronic Pulmonary Disease

Morphine Sulfate Injection-treated patients with significant chronic obstructive pulmonary disease or cor pulmonale, and those with a substantially decreased respiratory reserve, hypoxia, hypercapnia, or pre-existing respiratory depression are at increased risk of decreased respiratory drive including apnea, even at recommended dosages of Morphine Sulfate Injection (see WARNINGS).

For Relief of Pain and As Pre Anesthetic

The usual adult dose of 10 mg every 4 hours, depending on the severity of the condition and the patient's response. The usual individual dose range is 5 to 15 mg. The usual daily dose range is 12 to 120 mg.

Risks of Driving and Operating Machinery

Morphine Sulfate Injection may impair the mental or physical abilities needed to perform potentially hazardous activities such as driving a car or operating machinery. Warn patients not to drive or operate dangerous machinery unless they are tolerant to the effects of Morphine Sulfate Injection and know how they will react to the medication.

Elderly, Cachectic, Or Debilitated Patients

Life-threatening respiratory depression is more likely to occur in elderly, cachectic, or debilitated patients because they may have altered pharmacokinetics or altered clearance compared to younger, healthier patients (see WARNINGS).

Caution must be exercised in elderly and debilitated patients and in patients who are known to be sensitive to CNS depressants, including those with cardiovascular or pulmonary disease, myxedema, cerebral arteriosclerosis, emphysema, fever, bronchial asthma, kyphoscoliosis, Addison's disease, prostatic hypertrophy or urethral stricture, toxic psychosis.

Monitor such patients closely, particularly when initiating and titrating Morphine Sulfate Injection and when Morphine Sulfate Injection is given concomitantly with other drugs that depress respiration (see WARNINGS). Alternatively, consider the use of non-opioid analgesics in these patients.

Principal Display Panel 250 Mg Vial Label

10 mL Fill

NDC 0409-1135-02

Single-dosage Fliptop Vial

MORPHINE

Sulfate Inj., USP

CII

(25 mg/mL)* 250 mg*

PRESERVATIVE FREE

WARNING: MAY BE HABIT FORMING.

CAUTION: FOR DILUTION ONLY.

NOT FOR DIRECT INJECTION.

Rx only

HOSPIRA, INC., LAKE FOREST, IL 60045 USA

Principal Display Panel 250 Mg Vial Carton

One Unit/NDC 0409-1135-02

10 mL Fill

Single-dosage

Fliptop Vial

MORPHINE

Sulfate

Inj., USP

CII

(25 mg/mL)*

250 mg*

Rx only

PRESERVATIVE FREE

WARNING: MAY BE HABIT FORMING.

CAUTION: FOR DILUTION ONLY.

NOT FOR DIRECT INJECTION.

Hospira

Hospira, Inc.

Lake Forest, IL 60045 USA

Interaction With Monoamine Oxidase Inhibitors

Monoamine oxidase inhibitors (MAOIs) may potentiate the effects of morphine, including respiratory depression, coma, and confusion. Morphine Sulfate Injection should not be used in patients taking MAOIs or within 14 days of stopping such treatment.

Concentration–adverse Reaction Relationships

There is a relationship between increasing morphine sulfate plasma concentration and increasing frequency of dose-related opioid adverse reactions such as nausea, vomiting, CNS effects, and respiratory depression. In opioid-tolerant patients, the situation may be altered by the development of tolerance to opioid-related adverse reactions.

Principal Display Panel 1000 Mg/20 Ml Vial Label

20 mL

Single-dose Fliptop Vial

NDC 0409-1134-03

Rx only

MORPHINE

Sulfate Inj., USP

CII

1000 mg/20 mL* (50 mg/mL)*

FOR INTRAVENOUS USE ONLY.

NOT FOR INTRATHECAL OR EPIDURAL USE.

CAUTION: FOR DILUTION ONLY.

NOT FOR DIRECT INJECTION.

WARNING: Contains Sulfites

Hospira, Inc., Lake Forest, IL 60045 USA

Hospira

Principal Display Panel 2500 Mg/50 Ml Vial Label

NDC 0409-1134-05

50 mL

Single-dose Fliptop Vial

Rx only

MORPHINE

Sulfate Inj., USP

CII

2500 mg/50 mL* (50 mg/mL*)

FOR INTRAVENOUS USE ONLY.

NOT FOR INTRATHECAL OR EPIDURAL USE.

CAUTION: FOR DILUTION ONLY.

NOT FOR DIRECT INJECTION.

WARNING: Contains Sulfites

Hospira, Inc., Lake Forest, IL 60045 USA

Hospira

Principal Display Panel 1000 Mg/20 Ml Vial Carton

1 x 20 mL

Single-dose

Fliptop Vial

NDC 0409-1134-03

Rx only

MORPHINE

Sulfate Inj., USP

CII

1000 mg/20 mL* (50 mg/mL)*

FOR INTRAVENOUS USE ONLY.

NOT FOR INTRATHECAL OR EPIDURAL USE.

CAUTION: FOR DILUTION ONLY.

NOT FOR DIRECT INJECTION.

WARNING: Contains Sulfites

Hospira

Principal Display Panel 2500 Mg/20 Ml Vial Carton

1 x 50 mL

Single-dose

Fliptop Vial

NDC 0409-1134-05

Rx only

MORPHINE

Sulfate Inj., USP

CII

2500 mg/50 mL*(50 mg/mL*)

FOR INTRAVENOUS USE ONLY.

NOT FOR INTRATHECAL OR EPIDURAL USE.

CAUTION: FOR DILUTION ONLY.

NOT FOR DIRECT INJECTION.

WARNING: Contains Sulfites

Hospira

Risks of Use in Patients With Gastrointestinal Conditions

Morphine Sulfate Injection is contraindicated in patients with known or suspected gastrointestinal obstruction, including paralytic ileus.

The morphine in Morphine Sulfate Injection may cause spasm of the sphincter of Oddi. Opioids may cause increases in serum amylase. Monitor patients with biliary tract disease, including acute pancreatitis, for worsening symptoms.

The administration of morphine or other narcotics may obscure the diagnosis or clinical course in patients with acute abdominal conditions. Use also with caution in patients with gastrointestinal hemorrhage, ulcerative colitis, or recent gastrointestinal or urinary tract surgery.

Effects On the Gastrointestinal Tract and Other Smooth Muscle

Morphine causes a reduction in motility associated with an increase in smooth muscle tone in the antrum of the stomach duodenum. Digestion of food in the small intestine is delayed and propulsive contractions are decreased. Propulsive peristaltic waves in the colon are decreased, while tone may be increased to the point of spasm, resulting in constipation. Other opioid-induced effects may include a reduction in biliary and pancreatic secretions, spasm of sphincter of Oddi, and transient elevations in serum amylase.

Increased Risk of Seizures in Patients With Seizure Disorders

The morphine in Morphine Sulfate Injection may increase the frequency of seizures in patients with seizure disorders, and may increase the risk of seizures occurring in other clinical settings associated with seizures. Monitor patients with a history of seizure disorders for worsened seizure control during Morphine Sulfate Injection therapy.

Risks From Concomitant Use With Benzodiazepines Or Other Cns Depressants

Concomitant use of opioids with benzodiazepines or other CNS depressants, including alcohol, may result in profound sedation, respiratory depression, coma, and death (see WARNINGS, Drug Interactions).

  • Reserve concomitant prescribing of Morphine Sulfate Injection and benzodiazepines or other CNS depressants for use in patients for whom alternative treatment options are inadequate.
  • Limit dosages and durations to the minimum required.
  • Follow patients for signs and symptoms of respiratory depression and sedation.
Risks From Concomitant Use With Benzodiazepines Or Other Cns Depressants

Profound sedation, respiratory depression, coma, and death may result from the concomitant use of Morphine Sulfate Injection with benzodiazepines or other CNS depressants (e.g., non-benzodiazepine sedatives/hypnotics, anxiolytics, tranquilizers, muscle relaxants, general anesthetics, antipsychotics, other opioids, alcohol). Because of these risks, reserve concomitant prescribing of these drugs for use in patients for whom alternative treatment options are inadequate.

Observational studies have demonstrated that concomitant use of opioid analgesics and benzodiazepines increases the risk of drug-related mortality compared to use of opioid analgesics alone. Because of similar pharmacological properties, it is reasonable to expect similar risk with the concomitant use of other CNS depressant drugs with opioid analgesics (see Drug Interactions).

If the decision is made to prescribe a benzodiazepine or other CNS depressant concomitantly with an opioid analgesic, prescribe the lowest effective dosages and minimum durations of concomitant use. In patients already receiving an opioid analgesic, prescribe a lower initial dose of the benzodiazepine or other CNS depressant than indicated in the absence of an opioid, and titrate based on clinical response. If an opioid analgesic is initiated in a patient already taking a benzodiazepine or other CNS depressant, prescribe a lower initial dose of the opioid analgesic, and titrate based on clinical response. Follow patients closely for signs and symptoms of respiratory depression and sedation.

Advise both patients and caregivers about the risks of respiratory depression and sedation when Morphine Sulfate Injection is used with benzodiazepines or other CNS depressants (including alcohol and illicit drugs). Advise patients not to drive or operate heavy machinery until the effects of concomitant use of the benzodiazepine or other CNS depressant have been determined. Screen patients for risk of substance use disorders, including opioid abuse and misuse, and warn them of the risk for overdose and death associated with the use of additional CNS depressants including alcohol and illicit drugs (see Drug Interactions).

Risks of Use in Patients With Increased Intracranial Pressure, Brain Tumors, Head Injury, Or Impaired Consciousness

In patients who may be susceptible to the intracranial effects of CO2 retention (e.g., those with evidence of increased intracranial pressure or brain tumors), Morphine Sulfate Injection may reduce respiratory drive, and the resultant CO2 retention can further increase intracranial pressure. Monitor such patients for signs of sedation and respiratory depression, particularly when initiating therapy with Morphine Sulfate Injection.

Opioids may also obscure the clinical course in a patient with a head injury. Avoid the use of Morphine Sulfate Injection in patients with impaired consciousness or coma.

Life Threatening Respiratory Depression in Patients With Chronic Pulmonary Disease Or in Elderly, Cachectic, Or Debilitated Patients

The use of Morphine Sulfate Injection in patients with acute or severe bronchial asthma in an unmonitored setting or in the absence of resuscitative equipment is contraindicated.


Structured Label Content

Sex

While evidence of greater post-operative Morphine Sulfate Injection consumption in men compared to women is present in the literature, clinically significant differences in analgesic outcomes and pharmacokinetic parameters have not been consistently demonstrated. Some studies have shown an increased sensitivity to the adverse effects of Morphine Sulfate Injection, including respiratory depression, in women compared to men.

Abuse

Morphine Sulfate Injection contains morphine, a substance with a high potential for abuse similar to other opioids including fentanyl, hydromorphone, methadone, oxycodone, oxymorphone, and tapentadol. Morphine Sulfate Injection can be abused and is subject to misuse, addiction, and criminal diversion (see WARNINGS).

All patients treated with opioids require careful monitoring for signs of abuse and addiction, because use of opioid analgesic products carries the risk of addiction even under appropriate medical use. Prescription drug abuse is the intentional non-therapeutic use of a prescription drug, even once, for its rewarding psychological or physiological effects.

Drug addiction is a cluster of behavioral, cognitive, and physiological phenomena that develop after repeated substance use and includes: a strong desire to take the drug, difficulties in controlling its use, persisting in its use despite harmful consequences, a higher priority given to drug use than to other activities and obligations, increased tolerance, and sometimes a physical withdrawal.

"Drug-seeking" behavior is very common in persons with substance abuse disorders. Drug-seeking tactics include emergency calls or visits near the end of office hours, refusal to undergo appropriate examination, testing or referral, repeated "loss" of prescriptions, tampering with prescriptions, and reluctance to provide prior medical records or contact information for other treating physician(s). "Doctor shopping" (visiting multiple prescribers to obtain additional prescriptions) is common among drug abusers and people suffering from untreated addiction. Preoccupation with achieving adequate pain relief can be appropriate behavior in a patient with poor pain control.

Abuse and addiction are separate and distinct from physical dependence and tolerance. Health care providers should be aware that addiction may not be accompanied by concurrent tolerance and symptoms of physical dependence in all addicts. In addition, abuse of opioids can occur in the absence of true addiction.

Morphine Sulfate Injection, like other opioids, can be diverted for non-medical use into illicit channels of distribution. Careful record-keeping of prescribing information, including quantity, frequency, and renewal requests, as required by state and federal law, is strongly advised.

Proper assessment of the patient, proper prescribing practices, periodic re-evaluation of therapy, and proper dispensing and storage are appropriate measures that help to limit abuse of opioid drugs.

Section 42229-5 (42229-5)

FOR INTRAVENOUS USE ONLY

NOT FOR INTRATHECAL OR EPIDURAL USE

Fliptop Vial

Rx only

Storage

Store at 20 to 25°C (68 to 77°F). [See USP Controlled Room Temperature.] Morphine sulfate solutions may darken with age. Do not use if injection is darker than pale yellow, discolored in any other way, or contains a precipitate. Do not heat-sterilize the Preservative Free (antioxidant free) formula.

PROTECT FROM LIGHT

Excretion

The major excretion path of the conjugate is through the kidneys, with about 10% in the feces. Morphine is also eliminated by the kidneys, 2 to 12% being excreted unchanged in the urine. Terminal half-life is commonly reported to vary from 1.5 to 4.5 hours, although the longer half-lives were obtained when morphine levels were monitored over protracted periods with very sensitive radioimmunoassay methods. The accepted elimination half-life in normal subjects is 1.5 to 2 hours.

Morphine has a total plasma clearance which ranges from 0.9 to 1.2 L/kg/h in post-operative patients, but shows considerable interindividual variation.

Dependence

Both tolerance and physical dependence can develop during chronic opioid therapy. Tolerance is the need for increasing doses of opioids to maintain a defined effect such as analgesia (in the absence of disease progression or other external factors). Tolerance may occur to both the desired and undesired effects of drugs, and may develop at different rates for different effects.

Physical dependence results in withdrawal symptoms after abrupt discontinuation or a significant dosage reduction of a drug. Withdrawal also may be precipitated through the administration of drugs with opioid antagonist activity (e.g., naloxone, nalmefene), mixed agonist/antagonist analgesics (e.g., pentazocine, butorphanol, nalbuphine), or partial agonists (e.g., buprenorphine). Physical dependence may not occur to a clinically significant degree until after several days to weeks of continued opioid usage.

Morphine Sulfate Injection should not be abruptly discontinued in a physically-dependent patient. If Morphine Sulfate Injection is abruptly discontinued in a physically-dependent patient, a withdrawal syndrome may occur. Some or all of the following can characterize this syndrome: restlessness, lacrimation, rhinorrhea, yawning, perspiration, chills, myalgia, and mydriasis. Other signs and symptoms also may develop, including, irritability, anxiety, backache, joint pain, weakness, abdominal cramps, insomnia, nausea, anorexia, vomiting, diarrhea, or increased blood pressure, respiratory rate, or heart rate.

Withdrawal should be treated in a hospital. Usually, it is necessary only to provide supportive care with administration of a tranquilizer to suppress anxiety. Severe symptoms of withdrawal may require administration of a replacement narcotic.

Infants born to mothers physically dependent on opioids will also be physically dependent and may exhibit respiratory difficulties and withdrawal signs (see PRECAUTIONS).

Human Data

The results from a population-based prospective cohort, including 70 women exposed to morphine during the first trimester of pregnancy and 448 women exposed to morphine at any time during pregnancy, indicate no increased risk for congenital malformations. However, these studies cannot definitely establish the absence of any risk because of methodological limitations, including small sample size and non-randomized study design.

Metabolism

The major pathway of clearance is hepatic glucuronidation to morphine-3-glucuronide, which is pharmacologically inactive.

Withdrawal

Avoid the use of mixed agonist/antagonist (e.g., pentazocine, nalbuphine, and butorphanol) or partial agonist (e.g., buprenorphine) analgesics in patients who are receiving a full opioid agonist analgesic, including Morphine Sulfate Injection. In these patients, mixed agonist/antagonist and partial agonist analgesics may reduce the analgesic effect and/or precipitate withdrawal symptoms.

When discontinuing Morphine Sulfate Injection in a physically-dependent patient, gradually taper the dosage. Do not abruptly discontinue Morphine Sulfate Injection in these patients (see DRUG ABUSE AND DEPENDENCE).

Animal Data

Formal reproductive and developmental toxicology studies for morphine have not been conducted. Exposure margins for the following published study reports are based on the HDD of 60 mg morphine using a body surface area comparison.

Neural tube defects (exencephaly and cranioschisis) were noted following subcutaneous administration of morphine sulfate (35–322 mg/kg) on Gestation Day 8 to pregnant hamsters (4.7 to 43.5 times the HDD). A no adverse effect level was not defined in this study and the findings cannot be clearly attributed to maternal toxicity. Neural tube defects (exencephaly), axial skeletal fusions, and cryptorchidism were reported following a single subcutaneous injection of morphine sulfate to pregnant mice (100–500 mg/kg) on Gestation Day 8 or 9 at 200 mg/kg or greater (16 times the HDD) and fetal resorption at 400 mg/kg or higher (32 times the HDD). No adverse effects were noted following 100 mg/kg morphine in this model (8 times the HDD). In one study, following continuous subcutaneous infusion of doses greater than or equal to 2.72 mg/kg to mice (0.2 times the HDD), exencephaly, hydronephrosis, intestinal hemorrhage, split supraoccipital, malformed sternebrae, and malformed xiphoid were noted. The effects were reduced with increasing daily dose; possibly due to rapid induction of tolerance under these infusion conditions. The clinical significance of this report is not clear.

Decreased fetal weights were observed in pregnant rats treated with 20 mg/kg/day morphine sulfate (3.2 times the HDD) from Gestation Day 7 to 9. There was no evidence of malformations despite maternal toxicity (10% mortality). In a second rat study, decreased fetal weight and increased incidences of growth retardation were noted at 35 mg/kg/day (5.7 times the HDD) and there was a reduced number of fetuses at 70 mg/kg/day (11.4 times the HDD) when pregnant rats were treated with 10, 35, or 70 mg/kg/day morphine sulfate via continuous infusion from Gestation Day 5 to 20. There was no evidence of fetal malformations or maternal toxicity.

An increased incidence of abortion was noted in a study in which pregnant rabbits were treated with 2.5 (0.8 times the HDD) to 10 mg/kg morphine sulfate via subcutaneous injection from Gestation Day 6 to 10. In a second study, decreased fetal body weights were reported following treatment of pregnant rabbits with increasing doses of morphine (10–50 mg/kg/day) during the pre-mating period and 50 mg/kg/day (16 times the HDD) throughout the gestation period. No overt malformations were reported in either publication; although only limited endpoints were evaluated.

In published studies in rats, exposure to morphine during gestation and/or lactation periods is associated with: decreased pup viability at 12.5 mg/kg/day or greater (2 times the HDD); decreased pup body weights at 15 mg/kg/day or greater (2.4 times the HDD); decreased litter size, decreased absolute brain and cerebellar weights, cyanosis, and hypothermia at 20 mg/kg/day (3.2 times the HDD); alteration of behavioral responses (play, social-interaction) at 1 mg/kg/day or greater (0.2 times the HDD); alteration of maternal behaviors (e.g., decreased nursing and pup retrievals) in mice at 1 mg/kg or higher (0.08 times the HDD) and rats at 1.5 mg/kg/day or higher (0.2 times the HDD); and a host of behavioral abnormalities in the offspring of rats, including altered responsiveness to opioids at 4 mg/kg/day (0.7 times the HDD) or greater.

Fetal and/or postnatal exposure to morphine in mice and rats has been shown to result in morphological changes in fetal and neonatal brain and neuronal cell loss, alteration of a number of neurotransmitter and neuromodulator systems, including opioid and non-opioid systems, and impairment in various learning and memory tests that appear to persist into adulthood. These studies were conducted with morphine treatment usually in the range of 4 to 20 mg/kg/day (0.7 to 3.2 times the HDD).

Additionally, delayed sexual maturation and decreased sexual behaviors in female offspring at 20 mg/kg/day (3.2 times the HDD), and decreased plasma and testicular levels of LH and testosterone, decreased testes weights, seminiferous tubule shrinkage, germinal cell aplasia, and decreased spermatogenesis in male offspring were also observed at 20 mg/kg/day (3.2 times the HDD). Decreased litter size and viability were observed in the offspring of male rats that were intraperitoneally administered morphine sulfate for 1 day prior to mating at 25 mg/kg/day (4.1 times the HDD) and mated to untreated females. Decreased viability and body weight and/or movement deficits in both first and second generation offspring were reported when male mice were treated for 5 days with escalating doses of 120 to 240 mg/kg/day morphine sulfate (9.7 to 19.5 times the HDD) or when female mice treated with escalating doses of 60 to 240 mg/kg/day (4.9 to 19.5 times the HDD) followed by a 5-day treatment-free recovery period prior to mating. Similar multigenerational findings were also seen in female rats pre-gestationally treated with escalating doses of 10 to 22 mg/kg/day morphine (1.6 to 3.6 times the HDD).

Convulsions

Morphine may aggravate pre-existing convulsive disorders. Convulsions may occur in individuals without a history of convulsive disorders if dosage is substantially escalated above recommended levels because of tolerance development.

Description (DESCRIPTION)

Morphine is a tertiary nitrogen base containing a phenanthrene nucleus; it has two hydroxyl groups, one phenolic and the other alcoholic (secondary). The sulfate salt occurs as white, feathery, silky crystals, cubical masses of crystals, or white, crystalline powder.

The chemical name of morphine sulfate is 7,8-didehydro-4,5α-epoxy-17-methylmorphinan-3,6α-diol sulfate (2:1) (salt), pentahydrate.

It has the following chemical structure:

(C17H19NO3)2 ∙ H2SO4 ∙ 5H2O                            M.W. 758.83

Morphine Sulfate Injection, USP is a sterile solution of morphine sulfate pentahydrate in Water for Injection, USP.

Morphine Sulfate Injection, USP is available in the following concentrations:

Each mL of Morphine Sulfate Injection, USP, Preservative Free (no bacteriostat or antioxidant added) contains 25 mg Morphine Sulfate in Water for Injection. Sulfuric acid added for adjustment of pH to 3.5 (2.5 to 6.5).

Each mL of Morphine Sulfate Injection, USP, (no bacteriostat added), contains 25 mg or 50 mg Morphine Sulfate, 0.75 mg Edetate Disodium, 1 mg Sodium Metabisulfite (added during manufacture) as an antioxidant, in Water for Injection. Sulfuric acid added for adjustment of pH to 3.5 (2.5 to 6.5).

NOTE: These products are intended for intravenous use only. They are not intended for intrathecal or epidural use. They are for use after dilution, not for direct infusion, and is intended as a single-dose unit. It contains no antimicrobial preservatives. When the dosing requirement is completed, the unused portion should be discarded in an appropriate manner.

Infertility

Chronic use of opioids may cause reduced fertility in females and males of reproductive potential. It is not known whether these effects on fertility are reversible (see CLINICAL PHARMACOLOGY).

In published animal studies, morphine administration adversely effected fertility and reproductive endpoints in male rats and prolonged estrus cycle in female rats (see Carcinogenesis, Mutagenesis, Impairment of Fertility).

Mutagenesis

No formal studies to assess the mutagenic potential of morphine have been conducted. In the published literature, morphine was found to be mutagenic in vitro increasing DNA fragmentation in human T-cells. Morphine was also reported to be mutagenic in the in vivo mouse micronucleus assay and positive for the induction of chromosomal aberrations in mouse spermatids and murine lymphocytes. Mechanistic studies suggest that the in vivo clastogenic effects reported with morphine in mice may be related to increases in glucocorticoid levels produced by morphine in these species. In contrast to the above positive findings, in vitro studies in the literature have also shown that morphine did not induce chromosomal aberrations in human leukocytes or translocations or lethal mutations in Drosophila.

Constipation

Advise patients of the potential for severe constipation, including management instructions and when to seek medical attention (see ADVERSE REACTIONS).

Distribution

Morphine has an apparent volume of distribution ranging from 1.0 to 4.7 L/kg after parenteral administration. Protein binding is low, about 36%, and muscle tissue binding is reported as 54%. A blood-brain barrier exists, and when morphine is introduced outside of the CNS, plasma concentrations of morphine remain higher than the corresponding CSF morphine levels.

How Supplied (HOW SUPPLIED)

Morphine Sulfate Injection, USP, is available in glass fliptop vials as follows:

25 mg/mL Morphine Sulfate Injection, USP, Preservative Free (no bacteriostat or antioxidant added).

Single-dose vials.

Contains no antimicrobial preservatives.

Unit of Sale Concentration
NDC 0409-1135-02

Carton of 1 Single-dose Fliptop Vial
250 mg/10 mL

(25 mg/mL)

50 mg/mL Morphine Sulfate Injection, USP (no bacteriostat added).

Single-dose vials.

Unit of Sale Concentration
NDC 0409-1134-03

Carton of 1 Single-dose Fliptop Vial
1,000 mg/20 mL

(50 mg/mL)
NDC 0409-1134-05

Carton of 1 Single-dose Fliptop Vial
2,500 mg/50 mL

(50 mg/mL)

FOR INTRAVENOUS USE ONLY AFTER DILUTION.

NOT FOR DIRECT INJECTION.

THESE PRODUCTS ARE INTENDED FOR INTRAVENOUS USE ONLY.

NOT INTENDED FOR INTRATHECAL OR EPIDURAL USE.

Risk Summary

Prolonged use of opioid analgesics during pregnancy can cause neonatal opioid withdrawal syndrome (see WARNINGS). There are no available data with Morphine Sulfate Injection in pregnant women to inform a drug-associated risk for major birth defects and miscarriage. Published studies with morphine use during pregnancy have not reported a clear association with morphine and major birth defects (see Human Data). In published animal reproduction studies, morphine administered subcutaneously during the early gestational period produced neural tube defects (i.e., exencephaly and cranioschisis) at 5 and 16 times the HDD of 60 mg based on body surface area in hamsters and mice, respectively, lower fetal body weight and increased incidence of abortion at 0.4 times the HDD in the rabbit, growth retardation at 6 times the HDD in the rat, and axial skeletal fusion and cryptorchidism at 16 times the HDD in the mouse. Administration of morphine sulfate to pregnant rats during organogenesis and through lactation resulted in cyanosis, hypothermia, decreased brain weights, pup mortality, decreased pup body weights, and adverse effects on reproductive tissues at 3–4 times the HDD; and long-term neurochemical changes in the brain of offspring which correlate with altered behavioral responses that persist through adulthood at exposures comparable to and less than the HDD (see Animal Data). Based on animal data, advise pregnant women of the potential risk to a fetus.

The estimated background risk of major birth defects and miscarriage for the indicated population is unknown. All pregnancies have a background risk of birth defect, loss, or other adverse outcomes. In the U.S. general population, the estimated background risk of major birth defects and miscarriage in clinically recognized pregnancies is 2–4% and 15–20%, respectively.

Geriatric Use

The pharmacodynamic effects of morphine in the elderly are more variable than in the younger population. Older patients will vary widely in the effective initial dose, rate of development of tolerance and the frequency and magnitude of associated adverse effects as the dose is increased. Initial elderly patients (aged 65 years or older) may have increased sensitivity to morphine. In general, use caution when selecting a dosage for an elderly patient, usually starting at the low end of the dosing range, reflecting the greater frequency of decreased hepatic, renal, or cardiac function and of concomitant disease or other drug therapy.

Respiratory depression is the chief risk for elderly patients treated with opioids, and has occurred after large initial doses were administered to patients who were not opioid-tolerant or when opioids were co-administered with other agents that depress respiration. Titrate the dosage of Morphine Sulfate Injection slowly in geriatric patients and monitor closely for signs of CNS and respiratory depression (see PRECAUTIONS).

Morphine is known to be substantially excreted by the kidney, and the risk of adverse reactions to this drug may be greater in patients with impaired renal function. Because elderly patients are more likely to have decreased renal function, care should be taken in dose selection, and it may be useful to monitor renal function.

Pediatric Use

The safety and effectiveness of Morphine Sulfate Injection in pediatric patients below the age of 18 have not been established.

Carcinogenesis

Long-term studies in animals to evaluate the carcinogenic potential of morphine have not been conducted.

Renal Impairment

Morphine pharmacokinetics are altered in patients with renal failure. The AUC is increased and clearance is decreased and the metabolites, M3G and M6G, may accumulate to much higher plasma levels in patients with renal failure as compared to patients with normal renal function. Adequate studies of the pharmacokinetics of morphine in patients with severe renal impairment have not been conducted.

Adverse Reactions (ADVERSE REACTIONS)

The following serious adverse reactions are described, or described in greater detail, in other sections:

  • Addiction, Abuse, and Misuse (see WARNINGS)
  • Life-Threatening Respiratory Depression (see WARNINGS)
  • Neonatal Opioid Withdrawal Syndrome (see WARNINGS)
  • Interactions with Benzodiazepines or Other CNS Depressants (see WARNINGS)
  • Cardiovascular Instability (see WARNINGS)
  • Adrenal Insufficiency (see WARNINGS)
  • Severe Hypotension (see PRECAUTIONS)
  • Gastrointestinal Adverse Reactions (see PRECAUTIONS)
  • Seizures (see PRECAUTIONS)
  • Withdrawal (see WARNINGS)

The following adverse reactions associated with the use of morphine were identified in clinical studies or postmarketing reports. Because some of these reactions were reported voluntarily from a population of uncertain size, it is not always possible to reliably estimate their frequency or establish a causal relationship to drug exposure.

Serious adverse reactions associated with Morphine Sulfate Injection included respiratory depression, apnea, and to a lesser degree, circulatory depression, respiratory arrest, shock, and cardiac arrest. Rarely, anaphylactoid reactions have been reported when morphine or other phenanthrene alkaloids of opium are administered intravenously.

The most frequently observed adverse reactions included sedation, lightheadedness, dizziness, nausea, vomiting, constipation, and diaphoresis.

Lightheadedness, dizziness, sedation, nausea, vomiting and sweating seem to be more prominent in ambulatory patients and in those who are not suffering from severe pain. In such individuals, lower doses are advisable.

Other possible adverse reactions included:

CNS – Euphoria, dysphoria, weakness, headache, agitation, tremor, uncoordinated muscle movements, visual disturbances, transient hallucinations, disorientation, delirium, somnolence, drowsiness, miosis, pinpoint pupils, coma, insomnia, impairment of mental and physical performance, mental clouding, lethargy, anxiety, fear, psychic dependence, mood changes, confusion.

Gastrointestinal – Constipation, biliary tract spasm, dry mouth, anorexia. Patients with chronic ulcerative colitis may experience increased colonic motility; toxic dilatation has been reported in patients with acute ulcerative colitis.

Cardiovascular – Tachycardia, bradycardia, palpitation, faintness, syncope, orthostatic hypotension, peripheral circulatory collapse, hypotension, phlebitis following intravenous injection.

Genitourinary – Oliguria and urinary retention or hesitancy; an antidiuretic effect has been reported; ureteral spasm and spasm of vesical sphincters, reduced libido and/or potency.

Allergic – Pruritus, urticaria, skin rashes, edema, and (rarely) hemorrhagic urticaria. Flare over the vein with intravenous injection may occur. Anaphylactoid reactions have been reported following intravenous administration. An isolated case of thrombocytopenia has been reported to be induced by morphine.

Other – Opioid-induced histamine release may be responsible for the flushing of the face, diaphoresis, and pruritus often seen with these drugs. Wheals and urticaria at the site of injection are probably related to histamine release. Local tissue irritation, pain, and induration have been reported following repeated subcutaneous injection. Morphine may alter temperature regulation in susceptible individuals and will depress the cough reflex.

Serotonin syndrome: Cases of serotonin syndrome, a potentially life-threatening condition, have been reported during concomitant use of opioids with serotonergic drugs.

Adrenal insufficiency: Cases of adrenal insufficiency have been reported with opioid use, more often following greater than one month of use.

Anaphylaxis: Anaphylaxis has been reported with ingredients contained in Morphine Sulfate Injection.

Androgen deficiency: Cases of androgen deficiency have occurred with chronic use of opioids (see CLINICAL PHARMACOLOGY).

Contraindications (CONTRAINDICATIONS)

Morphine Sulfate Injection is contraindicated in patients with:

  • Significant respiratory depression (see WARNINGS)
  • Acute or severe bronchial asthma in an unmonitored setting or in the absence of resuscitative equipment (see PRECAUTIONS)
  • Concurrent use of monoamine oxidase inhibitors (MAOIs) or use of MAOIs within the last 14 days (see WARNINGS)
  • Known or suspected gastrointestinal obstruction, including paralytic ileus (see PRECAUTIONS)
  • Hypersensitivity to morphine (e.g., anaphylaxis) (see ADVERSE REACTIONS)

Because of its stimulating effect on the spinal cord, morphine should not be used in convulsive states, such as those occurring in status epilepticus, tetanus, and strychnine poisoning. Morphine is also contraindicated in the following conditions: heart failure secondary to chronic lung disease; cardiac arrhythmias; increased intracranial or cerebrospinal pressure; head injuries; brain tumor; acute alcoholism; and delirium tremens.

The use of bisulfites is contraindicated in asthmatics. Bisulfites and morphine may potentiate each other, preventing use by causing severe adverse reactions. Use with extreme caution in patients with chronic obstructive pulmonary disease or cor pulmonale, patients with substantially decreased respiratory reserve, and patients with pre-existing respiratory depression, hypoxia or hypercapnia. In such patients, even usual therapeutic doses of narcotics may decrease respiratory drive while simultaneously increasing airway resistance to the point of apnea.

Contains Sulfites

The product which contains antioxidant (25 mg/mL and 50 mg/mL concentrations – see DESCRIPTION and HOW SUPPLIED), contains sodium metabisulfite, a sulfite that may cause allergic-type reactions, including anaphylactic symptoms and life-threatening or less severe asthmatic episodes in certain susceptible people. The overall prevalence of sulfite sensitivity in the general population is unknown and probably low. Sulfite sensitivity is seen more frequently in asthmatic than in nonasthmatic people.

Drug Interactions

Morphine may increase the anticoagulant activity of coumarin and other anticoagulants.

When morphine is to be administered to patients receiving propiomazine (Largon), the dose of morphine should be reduced by one-quarter to one-half.

Atropine antagonizes morphine respiratory depression. Levallorphan and nalorphine antagonize morphine actions, principally the respiratory depression.

Table 1: Clinically Significant Drug Interactions with Morphine Sulfate Injection
Benzodiazepines and Other CNS Depressants
Clinical Impact: Due to additive pharmacologic effect, the concomitant use of benzodiazepines or other CNS depressants, including alcohol, can increase the risk of hypotension, respiratory depression, profound sedation, coma, and death.
Intervention: Reserve concomitant prescribing of these drugs for use in patients for whom alternative treatment options are inadequate. Limit dosages and durations to the minimum required. Follow patients closely for signs of respiratory depression and sedation (see WARNINGS).
Examples: Benzodiazepines and other sedatives/hypnotics, anxiolytics, tranquilizers, muscle relaxants, general anesthetics, antipsychotics, other opioids, alcohol.
Serotonergic Drugs
Clinical Impact: The concomitant use of opioids with other drugs that affect the serotonergic neurotransmitter system has resulted in serotonin syndrome.
Intervention: If concomitant use is warranted, carefully observe the patient, particularly during treatment initiation and dose adjustment. Discontinue Morphine Sulfate Injection if serotonin syndrome is suspected.
Examples: Selective serotonin reuptake inhibitors (SSRIs), serotonin and norepinephrine reuptake inhibitors (SNRIs), tricyclic antidepressants (TCAs), triptans, 5-HT3 receptor antagonists, drugs that affect the serotonin neurotransmitter system (e.g., mirtazapine, trazodone, tramadol), certain muscle relaxants (i.e., cyclobenzaprine, metaxalone), monoamine oxidase (MAO) inhibitors (those intended to treat psychiatric disorders and also others, such as linezolid and intravenous methylene blue).
Monoamine Oxidase Inhibitors (MAOIs)
Clinical Impact: MAOI interactions with opioids may manifest as serotonin syndrome or opioid toxicity (e.g., respiratory depression, coma) (see WARNINGS).
Intervention: Do not use Morphine Sulfate Injection in patients taking MAOIs or within 14 days of stopping such treatment.

If urgent use of an opioid is necessary, use test doses and frequent titration of small doses of other opioids (such as oxycodone, hydrocodone, oxymorphone, or buprenorphine) to treat pain while closely monitoring blood pressure and signs and symptoms of CNS and respiratory depression.
Examples: phenelzine, tranylcypromine, linezolid
Mixed Agonist/Antagonist and Partial Agonist Opioid Analgesics
Clinical Impact: May reduce the analgesic effect of Morphine Sulfate Injection and/or precipitate withdrawal symptoms.
Intervention: Avoid concomitant use.
Examples: butorphanol, nalbuphine, pentazocine, buprenorphine
Muscle Relaxants
Clinical Impact: Morphine may enhance the neuromuscular blocking action of skeletal muscle relaxants and produce an increased degree of respiratory depression.
Intervention: Monitor patients for signs of respiratory depression that may be greater than otherwise expected and decrease the dosage of Morphine Sulfate Injection and/or the muscle relaxant as necessary.
Cimetidine
Clinical Impact: Concomitant administration of Morphine Sulfate Injection and cimetidine has been reported to precipitate apnea, confusion, and muscle twitching in an isolated report.
Intervention: Monitor patients for increased respiratory and CNS depression when receiving cimetidine concomitantly with Morphine Sulfate Injection.
Diuretics
Clinical Impact: Opioids can reduce the efficacy of diuretics by inducing the release of antidiuretic hormone.
Intervention: Monitor patients for signs of diminished diuresis and/or effects on blood pressure and increase the dosage of the diuretic as needed.
Anticholinergic Drugs
Clinical Impact: The concomitant use of anticholinergic drugs may increase risk of urinary retention and/or severe constipation, which may lead to paralytic ileus.
Intervention: Monitor patients for signs of urinary retention or reduced gastric motility when Morphine Sulfate Injection is used concomitantly with anticholinergic drugs.
Oral P2Y12 Inhibitors
Clinical Impact: The co-administration of oral P2Y12 inhibitors and intravenous morphine sulfate can decrease the absorption and peak concentration of oral P2Y12 inhibitors and delay the onset of the antiplatelet effect.
Intervention: Consider the use of a parenteral antiplatelet agent in the setting of acute coronary syndrome requiring co-administration of intravenous morphine sulfate.
Examples: clopidogrel, prasugrel, ticagrelor
Labor Or Delivery (Labor or Delivery)

Opioids cross the placenta and may produce respiratory depression and psycho-physiologic effects in neonates. An opioid antagonist, such as naloxone, must be available for reversal of opioid-induced respiratory depression in the neonate. Morphine Sulfate Injection is not recommended for use in women during and immediately prior to labor, when use of shorter-acting analgesics or other analgesic techniques are more appropriate. Opioid analgesics, including Morphine Sulfate Injection, can prolong labor through actions that temporarily reduce the strength, duration, and frequency of uterine contractions. However, this effect is not consistent and may be offset by an increased rate of cervical dilatation, which tends to shorten labor. Monitor neonates exposed to opioid analgesics during labor for signs of excess sedation and respiratory depression.

Effects On the Cns (Effects on the CNS)

Morphine sulfate produces respiratory depression by direct action on brain stem respiratory centers. The respiratory depression involves a reduction in the responsiveness of the brain stem respiratory centers to both increases in carbon dioxide tension and electrical stimulation.

Morphine causes miosis, even in total darkness. Pinpoint pupils are a sign of opioid overdose but are not pathognomonic (e.g., pontine lesions of hemorrhagic or ischemic origins may produce similar findings). Marked mydriasis rather than miosis may be seen due to hypoxia in overdose situations.

Hepatic Impairment

Morphine pharmacokinetics are altered in patients with cirrhosis. Clearance was found to decrease with a corresponding increase in half-life. The M3G and M6G to morphine AUC ratios also decreased in these subjects, indicating diminished metabolic activity. Adequate studies of the pharmacokinetics of morphine in patients with severe hepatic impairment have not been conducted.

Parenteral Therapy

Give by very slow intravenous injection, in the form of a diluted solution. Rapid intravenous injection of morphine and other narcotic analgesics increases the incidence of adverse reactions; severe respiratory depression, hypotension, apnea, peripheral circulatory collapse, cardiac arrest, and anaphylactic reactions have occurred. These preparations should not be administered intravenously unless a narcotic antagonist and facilities for assisted or controlled respiration are immediately available. When given parenterally, especially intravenously, the patient should be lying down. Use caution when injecting subcutaneously or intramuscularly in chilled areas or in patients with hypotension or shock, since impaired perfusion may prevent complete absorption. If repeated injections are administered, an excessive amount may be suddenly absorbed if normal circulation is reestablished.

Serotonin Syndrome

Opioids can cause a rare but potentially life-threatening condition resulting from concomitant administration of serotonergic drugs. Instruct patients to inform their physicians if they are taking, or plan to take serotonergic medications (see Drug Interactions).

Severe Hypotension

Morphine Sulfate Injection may cause severe hypotension including orthostatic hypotension and syncope in ambulatory patients. There is increased risk in patients whose ability to maintain blood pressure has already been compromised by a reduced blood volume or concurrent administration of certain CNS depressant drugs (e.g., phenothiazines or general anesthetics) (see Drug Interactions). Monitor these patients for signs of hypotension after initiating or titrating the dosage of Morphine Sulfate Injection. In patients with circulatory shock, Morphine Sulfate Injection may cause vasodilation that can further reduce cardiac output and blood pressure. Avoid the use of Morphine Sulfate Injection in patients with circulatory shock.

Mechanism of Action

Morphine is a full opioid agonist and is relatively selective for the mu-opioid receptor, although it can bind to other opioid receptors at higher doses. The principal therapeutic action of morphine is analgesia. Like all full opioid agonists, there is no ceiling effect for analgesia with morphine. Clinically, dosage is titrated to provide adequate analgesia and may be limited by adverse reactions, including respiratory and CNS depression.

The precise mechanism of the analgesic action is unknown. However, specific CNS opioid receptors for endogenous compounds with opioid-like activity have been identified throughout the brain and spinal cord and are thought to play a role in the analgesic effects of this drug.

Controlled Substance

Morphine Sulfate Injection contains morphine, a Schedule II controlled substance.

Usual Pediatric Dose

Analgesic - Intravenous, 50 to 100 µg (0.05 to 0.1 mg) per kg of body weight, administered very slowly. Not to exceed 10 mg per dose.

Adrenal Insufficiency

Cases of adrenal insufficiency have been reported with opioid use, more often following greater than one month of use. Presentation of adrenal insufficiency may include non-specific symptoms and signs including nausea, vomiting, anorexia, fatigue, weakness, dizziness, and low blood pressure. If adrenal insufficiency is suspected, confirm the diagnosis with diagnostic testing as soon as possible. If adrenal insufficiency is diagnosed, treat with physiologic replacement doses of corticosteroids. Wean the patient off of the opioid to allow adrenal function to recover and continue corticosteroid treatment until adrenal function recovers. Other opioids may be tried as some cases reported use of a different opioid without recurrence of adrenal insufficiency. The information available does not identify any particular opioids as being more likely to be associated with adrenal insufficiency.

Clinical Presentation

Acute overdose with Morphine Sulfate Injection can be manifested by respiratory depression (a decrease in respiratory rate and/or tidal volume, Cheyne-Stokes respiration, cyanosis), somnolence progressing to stupor or coma, skeletal muscle flaccidity, cold and clammy skin, constricted pupils, and, in some cases, pulmonary edema, bradycardia, hypotension, partial or complete airway obstruction, atypical snoring, and death. Marked mydriasis rather than miosis may be seen with hypoxia in overdose situations (see CLINICAL PHARMACOLOGY). In severe overdosage, particularly by the intravenous route, apnea, circulatory collapse, cardiac arrest, and death may occur.

Indications and Usage (INDICATIONS AND USAGE)

Morphine sulfate is indicated for the relief of severe pain. It is used preoperatively to sedate the patient and allay apprehension, facilitate anesthesia induction and reduce anesthetic dosage. It is likewise effective in the control of post-operative pain.

The use of morphine for the relief of pain should be reserved for the more severe manifestations of pain, as in myocardial infarction, severe injuries, or in severe chronic pain associated with terminal cancer after all non-narcotic analgesics have failed.

Effective analgesic therapy of severe chronic pain associated with terminal cancer continues to be a difficult problem. Intermittent administration of intramuscular morphine may be effective; however, the mode of therapy has significant limitations. Morphine has a short plasma half-life of 2.5 to 3.0 hours; therefore, frequent administration (every 1 to 2 hours) often becomes necessary to control severe pain associated with cancer. Tolerance develops to the analgesic effects and increasingly higher doses of morphine are required to produce analgesia. The higher morphine doses produce significant and often life-threatening side effects (see ADVERSE REACTIONS). The peak and trough effects produced by intermittent administration cause fluctuations in pain control. Repeated intramuscular injections are frequently unacceptable due to the lack of muscle mass in the debilitated patient, the tendency for bruising and bleeding at the injection site, and the anxiety and pain associated with the injection.

Continuous intravenous infusion of morphine (see DOSAGE AND ADMINISTRATION) has been employed as an alternative to traditional modes of administration. Lower doses of morphine produce uniform pain control because a steady morphine concentration is maintained. Titration of the dosage to the patient's needs is easily achieved by adjusting the infusion rate. The lag time between the patient's request for pain medication and administration of the dose and the amount of nursing time necessary for preparation and administration of frequent doses are reduced. The degree of respiratory depression and sedation may be decreased, and the anxiety experienced by the patient in anticipation of intramuscular administration is avoided. Some Investigators feel that tolerance to the analgesic effects may develop more slowly with continuous intravenous infusion.

In addition to analgesia, the drug may relieve anxiety and reduce left ventricular work by reducing preload pressure. Morphine is also used in the therapy of dyspnea associated with acute left ventricular and pulmonary edema. Care must be taken to avoid inducing respiratory depression in such patients.

For open-heart surgery, especially in high risk patients with cardiac disease, some anesthesiologists use morphine to produce anesthesia.

Treatment of Overdose

In case of overdose, priorities are the reestablishment of a patent and protected airway and institution of assisted or controlled ventilation, if needed. Employ supportive measures (including oxygen and vasopressors) in the management of circulatory shock and pulmonary edema as indicated. Cardiac arrest or arrhythmias will require advanced life-support techniques. If depressed respiration is associated with muscular rigidity, an intravenous neuromuscular blocking agent may be required to facilitate assisted or controlled respiration.

The opioid antagonists, naloxone or nalmefene, are specific antidotes to respiratory depression resulting from opioid overdose. For clinically significant respiratory or circulatory depression secondary to morphine sulfate overdose, administer an opioid antagonist. Opioid antagonists should not be administered in the absence of clinically significant respiratory or circulatory depression secondary to morphine sulfate overdose.

Because the duration of opioid reversal is expected to be less than the duration of action of morphine in Morphine Sulfate Injection, carefully monitor the patient until spontaneous respiration is reliably re-established. If the response to an opioid antagonist is suboptimal or only brief in nature, administer additional antagonist as directed by the product's prescribing information.

In an individual physically dependent on opioids, administration of the recommended dosage of the antagonist will precipitate an acute withdrawal syndrome. The severity of the withdrawal symptoms experienced will depend on the degree of physical dependence and the dose of the antagonist administered. If a decision is made to treat serious respiratory depression in the physically dependent patient, administration of the antagonist should begin with care and by titration with smaller than usual doses of the antagonist.

Oxygen, intravenous fluids, vasopressors, and other supportive measures should be employed as indicated. In cases of oral overdose, the stomach should be evacuated by emesis or gastric lavage if treatment can be instituted within 2 hours following ingestion. The patient should be observed closely for a rise in temperature or pulmonary complications that may signal the need for institution of antibiotic therapy.

For Open Heart Surgery (For Open-Heart Surgery)

Large doses (0.5 to 3 mg/kg) of morphine are administered intravenously as the sole anesthetic or with a suitable anesthetic agent. The patients are given oxygen and cardiovascular function is not depressed by morphine, as long as adequate ventilation is maintained.

Clinical Considerations

Monitor infants exposed to Morphine Sulfate Injection, through breast milk for excess sedation and respiratory depression. Withdrawal symptoms can occur in breastfed infants when maternal administration of morphine is stopped, or when breastfeeding is stopped.

Impairment of Fertility

No formal nonclinical studies to assess the potential of morphine to impair fertility have been conducted.

Several nonclinical studies from the literature have demonstrated adverse effects on male fertility in the rat from exposure to morphine. One study in which male rats were administered morphine sulfate subcutaneously prior to mating (up to 30 mg/kg twice daily) and during mating (20 mg/kg twice daily) with untreated females, a number of adverse reproductive effects including reduction in total pregnancies and higher incidence of pseudopregnancies at 20 mg/kg/day (3.2 times the human daily dose-HDD of 60 mg based on body surface area) were reported.

Studies from the literature have also reported changes in hormonal levels in male rats (i.e., testosterone, LH) following treatment with morphine at 10 mg/kg/day or greater (1.6 times the HDD).

Female rats that were administered morphine sulfate intraperitoneally prior to mating exhibited prolonged estrous cycles at 10 mg/kg/day (1.6 times the HDD).

Exposure of adolescent male rats to morphine has been associated with delayed sexual maturation and following mating to untreated females, smaller litters, increased pup mortality, and/or changes in reproductive endocrine status in adult male offspring have been reported (estimated 5 times the plasma levels at the HDD).

Dosage and Administration (DOSAGE AND ADMINISTRATION)

THESE PRODUCTS ARE INTENDED FOR SLOW INTRAVENOUS USE ONLY. RAPID INTRAVENOUS ADMINISTRATION MAY RESULT IN CHEST WALL RIGIDITY. NOT FOR INTRATHECAL OR EPIDURAL USE.

Cardiovascular Instability

While low doses of intravenously administered morphine have little effect on cardiovascular stability, high doses are excitatory, resulting from sympathetic hyperactivity and increase in circulatory catecholamines. Have naloxone injection and resuscitative equipment immediately available for use in case of life-threatening or intolerable side effects and whenever morphine therapy is being initiated.

Addiction, Abuse, and Misuse

Morphine Sulfate Injection exposes patients and other users to the risks of opioid addiction, abuse, and misuse, which can lead to overdose and death. Assess each patient's risk prior to prescribing Morphine Sulfate Injection, and monitor all patients regularly for the development of these behaviors and conditions (see WARNINGS).

Effects On the Immune System (Effects on the Immune System)

Opioids have been shown to have a variety of effects on components of the immune system in in vitro and animal models. The clinical significance of these findings is unknown. Overall, the effects of opioids appear to be modestly immunosuppressive.

Renal and Hepatic Dysfunction

Morphine may have a prolonged duration and cumulative effect in patients with renal or hepatic dysfunction.

Supraventricular Tachycardias

Caution should be used in patients with atrial flutter and other supraventricular tachycardias due to a possible vagolytic action which may produce a significant increase in the ventricular response rate.

Continuous Intravenous Infusion (Continuous Intravenous infusion)

Prior to the initiation of the morphine infusion (in concentrations between 0.2 to 1 mg/mL), a loading dose of 15 mg or higher of morphine sulfate may be administered by intravenous push to alleviate pain.

The infusion dosage range is 0.8 mg/hr to 80 mg/hr, though doses of up to 144 mg/hr have been used. Thus, for the 1 mg/mL solution, the infusion may be run from 0.8 mL /hr to 80 mL /hr, and for the 0.5 mg/mL solution, the infusion may be run from 1.6 mL /hr to 160 mL /hr.

A constant infusion rate must be maintained with an infusion pump in order to assure proper dosage control. Care must be taken to avoid overdosage (respiratory depression) or abrupt cessation of therapy, which may give rise to withdrawal symptoms.

Administration of Morphine Sulfate Injection should be limited to use by those familiar with the management of respiratory depression.

NOTE: Parenteral drug products should be inspected visually for particulate matter and discoloration prior to administration, whenever solution and container permit.

EXAMPLES OF INFUSION PREPARATION:

Concentrate Diluent Final Concentration
Morphine Sulfate Injection, USP Dextrose 5% in Water Morphine Sulfate
25 mg/mL
10 mL 490 mL 0.5 mg/mL
20 mL 480 mL 1.0 mg/mL
40 mL 960 mL 1.0 mg/mL
Morphine Sulfate Injection, USP
50 mg/mL
10 mL 990 mL 0.5 mg/mL
20 mL 980 mL 1.0 mg/mL
Effects On the Endocrine System (Effects on the Endocrine System)

Opioids inhibit the secretion of adrenocorticotropic hormone (ACTH), cortisol, and luteinizing hormones (LH) in humans. They also stimulate prolactin, growth hormone (GH) secretion, and pancreatic secretion of insulin and glucagon.

Chronic use of opioids may influence the hypothalamic-pituitary-gonadal axis, leading to androgen deficiency that may manifest as low libido, impotence, erectile dysfunction, amenorrhea, or infertility. The causal role of opioids in the clinical syndrome of hypogonadism is unknown because the various medical, physical, lifestyle, and psychological stressors that may influence gonadal hormone levels have not been adequately controlled for in studies conducted to date (see ADVERSE REACTIONS).

Fetal/neonatal Adverse Reactions (Fetal/Neonatal Adverse Reactions)

Prolonged use of opioid analgesics during pregnancy for medical or non-medical purposes can result in physical dependence in the neonate and neonatal opioid withdrawal syndrome shortly after birth. Neonatal opioid withdrawal syndrome presents as irritability, hyperactivity and abnormal sleep pattern, high pitched cry, tremor, vomiting, diarrhea, and failure to gain weight. The onset, duration, and severity of neonatal withdrawal syndrome vary based on the specific opioid used, duration of use, timing and amount of last maternal use, and rate of elimination of the drug by the newborn. Observe newborns for signs of neonatal opioid withdrawal syndrome and manage accordingly (see WARNINGS).

Neonatal Opioid Withdrawal Syndrome

Prolonged use of Morphine Sulfate Injection during pregnancy can result in neonatal opioid withdrawal syndrome, which may be life-threatening if not recognized and treated, and requires management according to protocols developed by neonatology experts. If opioid use is required for a prolonged period in a pregnant woman, advise the patient of the risk of neonatal opioid withdrawal syndrome and ensure that appropriate treatment will be available (see WARNINGS).

Effects of the Cardiovascular System

Morphine produces peripheral vasodilation which may result in orthostatic hypotension or syncope. Manifestations of histamine release and/or peripheral vasodilation may include pruritus, flushing, red eyes, sweating, and/or orthostatic hypotension.

Concentration–efficacy Relationships (Concentration–Efficacy Relationships)

The minimum effective analgesic concentration will vary widely among patients, especially among patients who have been previously treated with potent agonist opioids. The minimum effective analgesic concentration of morphine for any individual patient may increase over time due to an increase in pain, the development of a new pain syndrome, and/or the development of analgesic tolerance.

Asthma and Other Respiratory Conditions

The use of bisulfites is contraindicated in asthmatics. Bisulfites and morphine may potentiate each other, preventing use by causing severe adverse reactions.

Use with extreme caution in patients with chronic obstructive pulmonary disease or cor pulmonale, patients with substantially decreased respiratory reserve, and patients with pre-existing respiratory depression, hypoxia or hypercapnia. In such patients, even usual therapeutic doses of narcotics may decrease respiratory drive while simultaneously increasing airway resistance to the point of apnea.

Life Threatening Respiratory Depression (Life-Threatening Respiratory Depression)

Serious, life-threatening, or fatal respiratory depression may occur with use of Morphine Sulfate Injection. Monitor for respiratory depression, especially during initiation of Morphine Sulfate Injection or following a dose increase. Because of delay in maximum central nervous system (CNS) effect with intravenously administered morphine (30 min), rapid intravenous administration may result in overdosing (see WARNINGS).

Patients With Chronic Pulmonary Disease (Patients with Chronic Pulmonary Disease)

Morphine Sulfate Injection-treated patients with significant chronic obstructive pulmonary disease or cor pulmonale, and those with a substantially decreased respiratory reserve, hypoxia, hypercapnia, or pre-existing respiratory depression are at increased risk of decreased respiratory drive including apnea, even at recommended dosages of Morphine Sulfate Injection (see WARNINGS).

For Relief of Pain and As Pre Anesthetic (For Relief of Pain and as Pre-anesthetic)

The usual adult dose of 10 mg every 4 hours, depending on the severity of the condition and the patient's response. The usual individual dose range is 5 to 15 mg. The usual daily dose range is 12 to 120 mg.

Risks of Driving and Operating Machinery

Morphine Sulfate Injection may impair the mental or physical abilities needed to perform potentially hazardous activities such as driving a car or operating machinery. Warn patients not to drive or operate dangerous machinery unless they are tolerant to the effects of Morphine Sulfate Injection and know how they will react to the medication.

Elderly, Cachectic, Or Debilitated Patients (Elderly, Cachectic, or Debilitated Patients)

Life-threatening respiratory depression is more likely to occur in elderly, cachectic, or debilitated patients because they may have altered pharmacokinetics or altered clearance compared to younger, healthier patients (see WARNINGS).

Caution must be exercised in elderly and debilitated patients and in patients who are known to be sensitive to CNS depressants, including those with cardiovascular or pulmonary disease, myxedema, cerebral arteriosclerosis, emphysema, fever, bronchial asthma, kyphoscoliosis, Addison's disease, prostatic hypertrophy or urethral stricture, toxic psychosis.

Monitor such patients closely, particularly when initiating and titrating Morphine Sulfate Injection and when Morphine Sulfate Injection is given concomitantly with other drugs that depress respiration (see WARNINGS). Alternatively, consider the use of non-opioid analgesics in these patients.

Principal Display Panel 250 Mg Vial Label (PRINCIPAL DISPLAY PANEL - 250 mg Vial Label)

10 mL Fill

NDC 0409-1135-02

Single-dosage Fliptop Vial

MORPHINE

Sulfate Inj., USP

CII

(25 mg/mL)* 250 mg*

PRESERVATIVE FREE

WARNING: MAY BE HABIT FORMING.

CAUTION: FOR DILUTION ONLY.

NOT FOR DIRECT INJECTION.

Rx only

HOSPIRA, INC., LAKE FOREST, IL 60045 USA

Principal Display Panel 250 Mg Vial Carton (PRINCIPAL DISPLAY PANEL - 250 mg Vial Carton)

One Unit/NDC 0409-1135-02

10 mL Fill

Single-dosage

Fliptop Vial

MORPHINE

Sulfate

Inj., USP

CII

(25 mg/mL)*

250 mg*

Rx only

PRESERVATIVE FREE

WARNING: MAY BE HABIT FORMING.

CAUTION: FOR DILUTION ONLY.

NOT FOR DIRECT INJECTION.

Hospira

Hospira, Inc.

Lake Forest, IL 60045 USA

Interaction With Monoamine Oxidase Inhibitors (Interaction with Monoamine Oxidase Inhibitors)

Monoamine oxidase inhibitors (MAOIs) may potentiate the effects of morphine, including respiratory depression, coma, and confusion. Morphine Sulfate Injection should not be used in patients taking MAOIs or within 14 days of stopping such treatment.

Concentration–adverse Reaction Relationships (Concentration–Adverse Reaction Relationships)

There is a relationship between increasing morphine sulfate plasma concentration and increasing frequency of dose-related opioid adverse reactions such as nausea, vomiting, CNS effects, and respiratory depression. In opioid-tolerant patients, the situation may be altered by the development of tolerance to opioid-related adverse reactions.

Principal Display Panel 1000 Mg/20 Ml Vial Label (PRINCIPAL DISPLAY PANEL - 1000 mg/20 mL Vial Label)

20 mL

Single-dose Fliptop Vial

NDC 0409-1134-03

Rx only

MORPHINE

Sulfate Inj., USP

CII

1000 mg/20 mL* (50 mg/mL)*

FOR INTRAVENOUS USE ONLY.

NOT FOR INTRATHECAL OR EPIDURAL USE.

CAUTION: FOR DILUTION ONLY.

NOT FOR DIRECT INJECTION.

WARNING: Contains Sulfites

Hospira, Inc., Lake Forest, IL 60045 USA

Hospira

Principal Display Panel 2500 Mg/50 Ml Vial Label (PRINCIPAL DISPLAY PANEL - 2500 mg/50 mL Vial Label)

NDC 0409-1134-05

50 mL

Single-dose Fliptop Vial

Rx only

MORPHINE

Sulfate Inj., USP

CII

2500 mg/50 mL* (50 mg/mL*)

FOR INTRAVENOUS USE ONLY.

NOT FOR INTRATHECAL OR EPIDURAL USE.

CAUTION: FOR DILUTION ONLY.

NOT FOR DIRECT INJECTION.

WARNING: Contains Sulfites

Hospira, Inc., Lake Forest, IL 60045 USA

Hospira

Principal Display Panel 1000 Mg/20 Ml Vial Carton (PRINCIPAL DISPLAY PANEL - 1000 mg/20 mL Vial Carton)

1 x 20 mL

Single-dose

Fliptop Vial

NDC 0409-1134-03

Rx only

MORPHINE

Sulfate Inj., USP

CII

1000 mg/20 mL* (50 mg/mL)*

FOR INTRAVENOUS USE ONLY.

NOT FOR INTRATHECAL OR EPIDURAL USE.

CAUTION: FOR DILUTION ONLY.

NOT FOR DIRECT INJECTION.

WARNING: Contains Sulfites

Hospira

Principal Display Panel 2500 Mg/20 Ml Vial Carton (PRINCIPAL DISPLAY PANEL - 2500 mg/20 mL Vial Carton)

1 x 50 mL

Single-dose

Fliptop Vial

NDC 0409-1134-05

Rx only

MORPHINE

Sulfate Inj., USP

CII

2500 mg/50 mL*(50 mg/mL*)

FOR INTRAVENOUS USE ONLY.

NOT FOR INTRATHECAL OR EPIDURAL USE.

CAUTION: FOR DILUTION ONLY.

NOT FOR DIRECT INJECTION.

WARNING: Contains Sulfites

Hospira

Risks of Use in Patients With Gastrointestinal Conditions (Risks of Use in Patients with Gastrointestinal Conditions)

Morphine Sulfate Injection is contraindicated in patients with known or suspected gastrointestinal obstruction, including paralytic ileus.

The morphine in Morphine Sulfate Injection may cause spasm of the sphincter of Oddi. Opioids may cause increases in serum amylase. Monitor patients with biliary tract disease, including acute pancreatitis, for worsening symptoms.

The administration of morphine or other narcotics may obscure the diagnosis or clinical course in patients with acute abdominal conditions. Use also with caution in patients with gastrointestinal hemorrhage, ulcerative colitis, or recent gastrointestinal or urinary tract surgery.

Effects On the Gastrointestinal Tract and Other Smooth Muscle (Effects on the Gastrointestinal Tract and Other Smooth Muscle)

Morphine causes a reduction in motility associated with an increase in smooth muscle tone in the antrum of the stomach duodenum. Digestion of food in the small intestine is delayed and propulsive contractions are decreased. Propulsive peristaltic waves in the colon are decreased, while tone may be increased to the point of spasm, resulting in constipation. Other opioid-induced effects may include a reduction in biliary and pancreatic secretions, spasm of sphincter of Oddi, and transient elevations in serum amylase.

Increased Risk of Seizures in Patients With Seizure Disorders (Increased Risk of Seizures in Patients with Seizure Disorders)

The morphine in Morphine Sulfate Injection may increase the frequency of seizures in patients with seizure disorders, and may increase the risk of seizures occurring in other clinical settings associated with seizures. Monitor patients with a history of seizure disorders for worsened seizure control during Morphine Sulfate Injection therapy.

Risks From Concomitant Use With Benzodiazepines Or Other Cns Depressants (Risks From Concomitant Use With Benzodiazepines Or Other CNS Depressants)

Concomitant use of opioids with benzodiazepines or other CNS depressants, including alcohol, may result in profound sedation, respiratory depression, coma, and death (see WARNINGS, Drug Interactions).

  • Reserve concomitant prescribing of Morphine Sulfate Injection and benzodiazepines or other CNS depressants for use in patients for whom alternative treatment options are inadequate.
  • Limit dosages and durations to the minimum required.
  • Follow patients for signs and symptoms of respiratory depression and sedation.
Risks From Concomitant Use With Benzodiazepines Or Other Cns Depressants (Risks from Concomitant Use with Benzodiazepines or Other CNS Depressants)

Profound sedation, respiratory depression, coma, and death may result from the concomitant use of Morphine Sulfate Injection with benzodiazepines or other CNS depressants (e.g., non-benzodiazepine sedatives/hypnotics, anxiolytics, tranquilizers, muscle relaxants, general anesthetics, antipsychotics, other opioids, alcohol). Because of these risks, reserve concomitant prescribing of these drugs for use in patients for whom alternative treatment options are inadequate.

Observational studies have demonstrated that concomitant use of opioid analgesics and benzodiazepines increases the risk of drug-related mortality compared to use of opioid analgesics alone. Because of similar pharmacological properties, it is reasonable to expect similar risk with the concomitant use of other CNS depressant drugs with opioid analgesics (see Drug Interactions).

If the decision is made to prescribe a benzodiazepine or other CNS depressant concomitantly with an opioid analgesic, prescribe the lowest effective dosages and minimum durations of concomitant use. In patients already receiving an opioid analgesic, prescribe a lower initial dose of the benzodiazepine or other CNS depressant than indicated in the absence of an opioid, and titrate based on clinical response. If an opioid analgesic is initiated in a patient already taking a benzodiazepine or other CNS depressant, prescribe a lower initial dose of the opioid analgesic, and titrate based on clinical response. Follow patients closely for signs and symptoms of respiratory depression and sedation.

Advise both patients and caregivers about the risks of respiratory depression and sedation when Morphine Sulfate Injection is used with benzodiazepines or other CNS depressants (including alcohol and illicit drugs). Advise patients not to drive or operate heavy machinery until the effects of concomitant use of the benzodiazepine or other CNS depressant have been determined. Screen patients for risk of substance use disorders, including opioid abuse and misuse, and warn them of the risk for overdose and death associated with the use of additional CNS depressants including alcohol and illicit drugs (see Drug Interactions).

Risks of Use in Patients With Increased Intracranial Pressure, Brain Tumors, Head Injury, Or Impaired Consciousness (Risks of Use in Patients with Increased Intracranial Pressure, Brain Tumors, Head Injury, or Impaired Consciousness)

In patients who may be susceptible to the intracranial effects of CO2 retention (e.g., those with evidence of increased intracranial pressure or brain tumors), Morphine Sulfate Injection may reduce respiratory drive, and the resultant CO2 retention can further increase intracranial pressure. Monitor such patients for signs of sedation and respiratory depression, particularly when initiating therapy with Morphine Sulfate Injection.

Opioids may also obscure the clinical course in a patient with a head injury. Avoid the use of Morphine Sulfate Injection in patients with impaired consciousness or coma.

Life Threatening Respiratory Depression in Patients With Chronic Pulmonary Disease Or in Elderly, Cachectic, Or Debilitated Patients (Life-Threatening Respiratory Depression in Patients with Chronic Pulmonary Disease or in Elderly, Cachectic, or Debilitated Patients)

The use of Morphine Sulfate Injection in patients with acute or severe bronchial asthma in an unmonitored setting or in the absence of resuscitative equipment is contraindicated.


Advanced Ingredient Data


Raw Label Data

All Sections (JSON)