These Highlights Do Not Include All The Information Needed To Use Eluciremtm

These Highlights Do Not Include All The Information Needed To Use Eluciremtm
SPL v13
SPL
SPL Set ID ca582f31-1042-487f-82e4-533f1b541902
Route
INTRAVENOUS
Published
Effective Date 2025-12-12
Document Type 34391-3 HUMAN PRESCRIPTION DRUG LABEL

Drug Facts

Composition & Product

Active Ingredients
Gadopiclenol (485.1 mg)
Inactive Ingredients
Tetraxetan Sodium Hydroxide Hydrochloric Acid Tromethamine Water

Identifiers & Packaging

Marketing Status
NDA Active Since 2025-11-14

Description

Indications and Usage ( 1 )                                                      2/2026 Dosage and Administration      Recommended Dosage ( 2.1 )                                             2/2026      Directions for Use of Imaging Bulk Package ( 2.5 )             11/2025

Indications and Usage

ELUCIREM is indicated in adult and pediatric patients, including term neonates, for use with magnetic resonance imaging (MRI) to detect and visualize lesions with abnormal vascularity in: the central nervous system (brain, spine, and associated tissues), the body (head and neck, thorax, abdomen, pelvis, and musculoskeletal system).

Dosage and Administration

The recommended dose for adult and pediatric patients, including term neonates, is 0.05 mmol/kg actual body weight (equivalent to 0.1 mL/kg) administered intravenously at approximately 2 mL/sec. ( 2.1 )

Warnings and Precautions

Hypersensitivity Reactions: Serious hypersensitivity reactions have occurred with GBCAs. Monitor patients closely for need of emergency cardiorespiratory support. ( 5.3 ) Gadolinium Retention: Gadolinium is retained for months or years in brain, bone, and other organs. ( 5.4 )

Contraindications

ELUCIREM is contraindicated in patients with history of hypersensitivity reactions to ELUCIREM.

Adverse Reactions

The following clinically significant adverse reactions are discussed elsewhere in labeling: Nephrogenic Systemic Fibrosis [see Warnings and Precautions ( 5.2 )] Hypersensitivity Reactions [see Contraindications ( 4 ) and Warnings and Precautions ( 5.3 )]

Storage and Handling

HOW SUPPLIED ELUCIREM (gadopiclenol) injection is a clear, colorless to yellow aqueous solution supplied in the following presentations: Strength Sale Unit NDC Single-Dose Vial (glass) 1.5 mmol/3 mL (0.5 mmol/mL) Carton of 1 67684-4230-1 Carton of 10 67684-4230-2 3.75 mmol/7.5 mL (0.5 mmol/mL) Carton of 1 67684-4231-1 Carton of 10 67684-4231-2 5 mmol/10 mL (0.5 mmol/mL) Carton of 1 67684-4232-1 Carton of 10 67684-4232-2 7.5 mmol/15 mL (0.5 mmol/mL) Carton of 1 67684-4233-1 Carton of 10 67684-4233-2 Single-Dose Prefilled Syringe (plastic)  3.75 mmol/7.5 mL (0.5 mmol/mL) Carton of 1 67684-4240-1 Carton of 10 67684-4240-2 5 mmol/10 mL (0.5 mmol/mL) Carton of 1 67684-4241-1 Carton of 10 67684-4241-2 7.5 mmol/15 mL (0.5 mmol/mL) Carton of 1 67684-4242-1 Carton of 10 67684-4242-2 Pharmacy Bulk Package (glass) 15 mmol/30 mL (0.5 mmol/mL) Carton of 1 67684-4250-1 Carton of 25 67684-4250-2 25 mmol/50 mL (0.5 mmol/mL) Carton of 1 67684-4250-3 Carton of 25 67684-4250-4 50 mmol/100 mL (0.5 mmol/mL) Carton of 1 67684-4250-5 Carton of 6 67684-4250-6 Carton of 12 67684-4250-7 Imaging Bulk Package (glass) 15 mmol/30 mL (0.5 mmol/mL) Carton of 1 67684-4251-1 Carton of 25 67684-4251-2 25 mmol/50 mL (0.5 mmol/mL) Carton of 1 67684-4251-3 Carton of 25 67684-4251-4 50 mmol/100 mL (0.5 mmol/mL) Carton of 1 67684-4251-5 Carton of 6 67684-4251-6 Carton of 12 67684-4251-7 Storage and Handling Store at 25°C (77°F); excursions permitted from 15°C to 30°C (59°F to 86°F) [see USP, Controlled Room Temperature]. Do not freeze Pre-filled syringes.

How Supplied

HOW SUPPLIED ELUCIREM (gadopiclenol) injection is a clear, colorless to yellow aqueous solution supplied in the following presentations: Strength Sale Unit NDC Single-Dose Vial (glass) 1.5 mmol/3 mL (0.5 mmol/mL) Carton of 1 67684-4230-1 Carton of 10 67684-4230-2 3.75 mmol/7.5 mL (0.5 mmol/mL) Carton of 1 67684-4231-1 Carton of 10 67684-4231-2 5 mmol/10 mL (0.5 mmol/mL) Carton of 1 67684-4232-1 Carton of 10 67684-4232-2 7.5 mmol/15 mL (0.5 mmol/mL) Carton of 1 67684-4233-1 Carton of 10 67684-4233-2 Single-Dose Prefilled Syringe (plastic)  3.75 mmol/7.5 mL (0.5 mmol/mL) Carton of 1 67684-4240-1 Carton of 10 67684-4240-2 5 mmol/10 mL (0.5 mmol/mL) Carton of 1 67684-4241-1 Carton of 10 67684-4241-2 7.5 mmol/15 mL (0.5 mmol/mL) Carton of 1 67684-4242-1 Carton of 10 67684-4242-2 Pharmacy Bulk Package (glass) 15 mmol/30 mL (0.5 mmol/mL) Carton of 1 67684-4250-1 Carton of 25 67684-4250-2 25 mmol/50 mL (0.5 mmol/mL) Carton of 1 67684-4250-3 Carton of 25 67684-4250-4 50 mmol/100 mL (0.5 mmol/mL) Carton of 1 67684-4250-5 Carton of 6 67684-4250-6 Carton of 12 67684-4250-7 Imaging Bulk Package (glass) 15 mmol/30 mL (0.5 mmol/mL) Carton of 1 67684-4251-1 Carton of 25 67684-4251-2 25 mmol/50 mL (0.5 mmol/mL) Carton of 1 67684-4251-3 Carton of 25 67684-4251-4 50 mmol/100 mL (0.5 mmol/mL) Carton of 1 67684-4251-5 Carton of 6 67684-4251-6 Carton of 12 67684-4251-7 Storage and Handling Store at 25°C (77°F); excursions permitted from 15°C to 30°C (59°F to 86°F) [see USP, Controlled Room Temperature]. Do not freeze Pre-filled syringes.


Medication Information

Recent Major Changes

Warnings and Precautions

Hypersensitivity Reactions: Serious hypersensitivity reactions have occurred with GBCAs. Monitor patients closely for need of emergency cardiorespiratory support. ( 5.3 ) Gadolinium Retention: Gadolinium is retained for months or years in brain, bone, and other organs. ( 5.4 )

Indications and Usage

ELUCIREM is indicated in adult and pediatric patients, including term neonates, for use with magnetic resonance imaging (MRI) to detect and visualize lesions with abnormal vascularity in: the central nervous system (brain, spine, and associated tissues), the body (head and neck, thorax, abdomen, pelvis, and musculoskeletal system).

Dosage and Administration

The recommended dose for adult and pediatric patients, including term neonates, is 0.05 mmol/kg actual body weight (equivalent to 0.1 mL/kg) administered intravenously at approximately 2 mL/sec. ( 2.1 )

Contraindications

ELUCIREM is contraindicated in patients with history of hypersensitivity reactions to ELUCIREM.

Adverse Reactions

The following clinically significant adverse reactions are discussed elsewhere in labeling: Nephrogenic Systemic Fibrosis [see Warnings and Precautions ( 5.2 )] Hypersensitivity Reactions [see Contraindications ( 4 ) and Warnings and Precautions ( 5.3 )]

Storage and Handling

HOW SUPPLIED ELUCIREM (gadopiclenol) injection is a clear, colorless to yellow aqueous solution supplied in the following presentations: Strength Sale Unit NDC Single-Dose Vial (glass) 1.5 mmol/3 mL (0.5 mmol/mL) Carton of 1 67684-4230-1 Carton of 10 67684-4230-2 3.75 mmol/7.5 mL (0.5 mmol/mL) Carton of 1 67684-4231-1 Carton of 10 67684-4231-2 5 mmol/10 mL (0.5 mmol/mL) Carton of 1 67684-4232-1 Carton of 10 67684-4232-2 7.5 mmol/15 mL (0.5 mmol/mL) Carton of 1 67684-4233-1 Carton of 10 67684-4233-2 Single-Dose Prefilled Syringe (plastic)  3.75 mmol/7.5 mL (0.5 mmol/mL) Carton of 1 67684-4240-1 Carton of 10 67684-4240-2 5 mmol/10 mL (0.5 mmol/mL) Carton of 1 67684-4241-1 Carton of 10 67684-4241-2 7.5 mmol/15 mL (0.5 mmol/mL) Carton of 1 67684-4242-1 Carton of 10 67684-4242-2 Pharmacy Bulk Package (glass) 15 mmol/30 mL (0.5 mmol/mL) Carton of 1 67684-4250-1 Carton of 25 67684-4250-2 25 mmol/50 mL (0.5 mmol/mL) Carton of 1 67684-4250-3 Carton of 25 67684-4250-4 50 mmol/100 mL (0.5 mmol/mL) Carton of 1 67684-4250-5 Carton of 6 67684-4250-6 Carton of 12 67684-4250-7 Imaging Bulk Package (glass) 15 mmol/30 mL (0.5 mmol/mL) Carton of 1 67684-4251-1 Carton of 25 67684-4251-2 25 mmol/50 mL (0.5 mmol/mL) Carton of 1 67684-4251-3 Carton of 25 67684-4251-4 50 mmol/100 mL (0.5 mmol/mL) Carton of 1 67684-4251-5 Carton of 6 67684-4251-6 Carton of 12 67684-4251-7 Storage and Handling Store at 25°C (77°F); excursions permitted from 15°C to 30°C (59°F to 86°F) [see USP, Controlled Room Temperature]. Do not freeze Pre-filled syringes.

How Supplied

HOW SUPPLIED ELUCIREM (gadopiclenol) injection is a clear, colorless to yellow aqueous solution supplied in the following presentations: Strength Sale Unit NDC Single-Dose Vial (glass) 1.5 mmol/3 mL (0.5 mmol/mL) Carton of 1 67684-4230-1 Carton of 10 67684-4230-2 3.75 mmol/7.5 mL (0.5 mmol/mL) Carton of 1 67684-4231-1 Carton of 10 67684-4231-2 5 mmol/10 mL (0.5 mmol/mL) Carton of 1 67684-4232-1 Carton of 10 67684-4232-2 7.5 mmol/15 mL (0.5 mmol/mL) Carton of 1 67684-4233-1 Carton of 10 67684-4233-2 Single-Dose Prefilled Syringe (plastic)  3.75 mmol/7.5 mL (0.5 mmol/mL) Carton of 1 67684-4240-1 Carton of 10 67684-4240-2 5 mmol/10 mL (0.5 mmol/mL) Carton of 1 67684-4241-1 Carton of 10 67684-4241-2 7.5 mmol/15 mL (0.5 mmol/mL) Carton of 1 67684-4242-1 Carton of 10 67684-4242-2 Pharmacy Bulk Package (glass) 15 mmol/30 mL (0.5 mmol/mL) Carton of 1 67684-4250-1 Carton of 25 67684-4250-2 25 mmol/50 mL (0.5 mmol/mL) Carton of 1 67684-4250-3 Carton of 25 67684-4250-4 50 mmol/100 mL (0.5 mmol/mL) Carton of 1 67684-4250-5 Carton of 6 67684-4250-6 Carton of 12 67684-4250-7 Imaging Bulk Package (glass) 15 mmol/30 mL (0.5 mmol/mL) Carton of 1 67684-4251-1 Carton of 25 67684-4251-2 25 mmol/50 mL (0.5 mmol/mL) Carton of 1 67684-4251-3 Carton of 25 67684-4251-4 50 mmol/100 mL (0.5 mmol/mL) Carton of 1 67684-4251-5 Carton of 6 67684-4251-6 Carton of 12 67684-4251-7 Storage and Handling Store at 25°C (77°F); excursions permitted from 15°C to 30°C (59°F to 86°F) [see USP, Controlled Room Temperature]. Do not freeze Pre-filled syringes.

Description

Indications and Usage ( 1 )                                                      2/2026 Dosage and Administration      Recommended Dosage ( 2.1 )                                             2/2026      Directions for Use of Imaging Bulk Package ( 2.5 )             11/2025

Section 42229-5

Section 42231-1

MEDICATION GUIDE

ELUCIREMTM (ah LOOS er em)

(gadopiclenol)

injection, for intravenous use

What is the most important information I should know about ELUCIREM?

  • GBCAs like ELUCIREM may cause serious side effects including death, coma, encephalopathy, and seizures when it is given intrathecally (injection given into the spinal canal). It is not known if ELUCIREM is safe and effective with intrathecal use. ELUCIREM is not approved for this use.
  • ELUCIREM contains a metal called gadolinium. Small amounts of gadolinium can stay in your body including the brain, bones, skin and other parts of your body for a long time (several months to years).
  • It is not known how gadolinium may affect you, but so far, studies have not found harmful effects in patients with normal kidneys.
  • Rarely patients have reported pains, tiredness, and skin, muscle or bone ailments for a long time, but these symptoms have not been directly linked to gadolinium.
  • There are different GBCAs that can be used for your MRI exam. The amount of gadolinium that stays in the body is different for different gadolinium medicines. Gadolinium stays in the body more after gadodiamide than after gadoxetate disodium or gadobenate dimeglumine. Gadolinium stays in the body the least after, gadoterate meglumine, gadobutrol, gadoteridol, and gadopiclenol.
  • People who get many doses of gadolinium medicines, women who are pregnant and young children may be at increased risk from gadolinium staying in the body.
  • Some people with kidney problems who get gadolinium medicines can develop a condition with severe thickening of the skin, muscles and other organs in the body (nephrogenic systemic fibrosis). Your healthcare provider should screen you to see how well your kidneys are working before you receive ELUCIREM.

What is ELUCIREM?

  • ELUCIREM is a prescription medicine called a gadolinium-based contrast agent (GBCA). ELUCIREM, like other GBCAs, is injected into your vein and used with a magnetic resonance imaging (MRI) scanner.
  • An MRI exam with a GBCA, including ELUCIREM, helps your healthcare provider to see problems better than an MRI exam without a GBCA.
  • Your healthcare provider has reviewed your medical records and has determined that you would benefit from using a GBCA with your MRI exam.

Do not receive ELUCIREM if you have had a severe allergic reaction to ELUCIREM.

Before receiving ELUCIREM, tell your healthcare provider about all your medical conditions, including if you:

  • have had any MRI procedures in the past where you received a GBCA. Your healthcare provider may ask you for more information including the dates of these MRI procedures.
  • are pregnant or plan to become pregnant. It is not known if ELUCIREM can harm your unborn baby. Talk to your healthcare provider about the possible risks to an unborn baby if a GBCA such as ELUCIREM is received during pregnancy.
  • have kidney problems, diabetes, or high blood pressure.
  • have had an allergic reaction to dyes (contrast agents) including GBCAs.

What are possible side effects of ELUCIREM?

  • See “What is the most important information I should know about ELUCIREM?”
  • Allergic reactions. ELUCIREM can cause allergic reactions that can sometimes be serious. Your healthcare provider will monitor you closely for symptoms of an allergic reaction.

The most common side effects of ELUCIREM include: injection site pain, headache, nausea, injection site coldness, injection site warmth, dizziness, and localized swelling.

These are not all the possible side effects of ELUCIREM.

Call your doctor for medical advice about side effects. You may report side effects to FDA at 1-800-FDA-1088.

General information about the safe and effective uses of ELUCIREM.

Medicines are sometimes prescribed for purposes other than those listed in a Medication Guide. You can ask your healthcare provider for information about ELUCIREM that is written for health professionals.

What are the ingredients in ELUCIREM?

Active ingredient: gadopiclenol

Inactive ingredients: tetraxetan; trometamol; hydrochloric acid or sodium hydroxide for pH adjustment; and water for injection

Vials and pre-filled syringes manufactured by: Liebel-Flarsheim Company LLC, 8800 Durant Road, Raleigh, North Carolina (NC) 27616-3104, USA

Vials manufactured by BIPSO GmbH 78224 singen, Germany

Distributed by: Guerbet LLC, 214 Carnegie Center, Suite 300, Princeton, New Jersey 08540, USA

For more information, go to www.guerbet-us.com or call 1-877-729-6679.

This Medication Guide has been approved by the U.S. Food and Drug Administration.    Revised: 12/2025

Section 51945-4

Single-Dose Vial (glass)

1.5 mmol/3 mL (0.5 mmol/mL)

3.75 mmol/7.5 mL (0.5 mmol/mL)

5 mmol/10 mL (0.5 mmol/mL)

7.5 mmol/15 mL (0.5 mmol/mL)

10 Overdosage

Among subjects who received a single 0.3 mmol/kg intravenous dose of gadopiclenol (6 times the recommended dose of ELUCIREM), headache and nausea were the most frequently reported adverse reactions. Gadopiclenol can be removed from the body by hemodialysis [see Clinical Pharmacology (12.3)].

8.1 Pregnancy

Risk Summary

There are no available data on ELUCIREM use in pregnant women to evaluate for a drug-associated risk of major birth defects, miscarriage, or other adverse maternal or fetal outcomes. GBCAs cross the placenta and result in fetal exposure. In human placental imaging studies, contrast was visualized in the placenta and fetal tissues after maternal GBCA administration. Based on animal studies, use of GBCAs during pregnancy may result in fetal gadolinium retention.

Published epidemiological studies on the association between GBCAs and adverse fetal outcomes have reported inconsistent findings and have important methodological limitations (see Data). In animal reproduction studies, there were no adverse developmental effects observed in rats or rabbits with intravenous administration of ELUCIREM during organogenesis (see Data). Because of the potential risks of gadolinium to the fetus, use ELUCIREM only if imaging is essential during pregnancy and cannot be delayed.

The background risk of major birth defects and miscarriage for the indicated population(s) are unknown. All pregnancies have a background risk of birth defect, loss, or other adverse outcomes. In the U.S. general population, the estimated background risk of major birth defects and miscarriage in clinically recognized pregnancies is 2% to 4% and 15% to 20% respectively.

Data

Human Data

Available data regarding exposure to GBCAs during pregnancy from published epidemiological studies are not sufficient to assess the potential risk of adverse fetal and neonatal effects that may be associated with GBCAs. A retrospective cohort study of over 1.4 million pregnancies in Ontario, Canada, comparing pregnant women who had a GBCA MRI to pregnant women who did not have an MRI, reported a higher occurrence of stillbirths and neonatal deaths in the group receiving GBCA MRI. Limitations of this study include a lack of comparison with non-contrast MRI and lack of information about the maternal indication for MRI. Another retrospective cohort study of over 11 million pregnancies in the Medicaid database found no increased risk of fetal or neonatal death or Neonatal Intensive Care Unit admission when comparing pregnancies exposed to GBCA MRI versus non-contrast MRI. These two retrospective observational studies assessed a limited number of potential pregnancy outcomes and did not evaluate the full spectrum of potential fetal risk.

Animal Data

Gadolinium Retention

GBCAs administered to pregnant non-human primates (0.1 mmol/kg on gestational days 85 and 135) result in measurable gadolinium concentration in the offspring in bone, brain, skin, liver, kidney, and spleen for at least 7 months. GBCAs administered to pregnant mice (2 mmol/kg daily on gestational days 16 through 19) result in measurable gadolinium concentrations in the pups in bone, brain, kidney, liver, blood, muscle, and spleen at one-month postnatal age.

Reproductive Toxicology

Animal reproduction studies conducted with gadopiclenol showed some signs of maternal toxicity in rats at 10 mmol/kg and rabbits at 5 mmol/kg (corresponding to 52 times and 57 times the recommended human dose, respectively). This maternal toxicity was characterized in both species by swelling, decreased activity, and lower gestation weight gain and food consumption.

No effect on embryo-fetal development was observed in rats at 10 mmol/kg (corresponding to 52 times the recommended human dose). In rabbits, a lower mean fetal body weight was observed at 5 mmol/kg (corresponding to 57 times the recommended human dose) and this was attributed as a consequence of the lower gestation weight gain.

8.2 Lactation

Risk Summary

There are no data on the presence of gadopiclenol in human milk, the effects on the breastfed infant, or the effects on milk production. However, published lactation data on other GBCAs indicate that 0.01% to 0.04% of the maternal gadolinium dose is excreted in breast milk. Additionally, there is limited GBCA gastrointestinal absorption in the breast-fed infant. Gadopiclenol is present in rat milk. When a drug is present in animal milk, it is likely that the drug will be present in human milk (see Data). The developmental and health benefits of breastfeeding should be considered along with the mother’s clinical need for ELUCIREM and any potential adverse effects on the breastfed infant from ELUCIREM or from the underlying maternal condition.

Data

In lactating rats receiving single intravenous injection of [153Gd]-gadopiclenol, 0.3% and 0.2% of the total administered radioactivity was transferred to the pups via maternal milk at 6 hours and 24 hours after administration, respectively. Furthermore, in nursing rat pups, oral absorption of gadopiclenol was 3.6%.

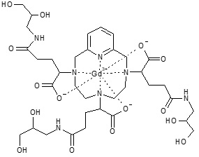
11 Description

ELUCIREM (gadopiclenol) injection is a paramagnetic macrocyclic non-ionic gadolinium-based contrast agent for intravenous use.

The chemical name for gadopiclenol is rac-[(2R,2'Ξ,2''Ξ)-2,2',2''-(3,6,9-triaza-κ3N3,N6,N9-1(2,6)-pyridina-κN1-cyclodecaphane-3,6,9-triyl)tris(5-{[(2Ξ)-2,3-dihydroxypropyl]amino}-5-oxopentanoato-κ3O1,O1',O1'')(3−)]gadolinium with a molecular weight of 970.11 g/mol and a molecular formula of 970.11 g/mol and a molecular formula of C 35 H 54 GdN 7 O 15

ELUCIREM is a sterile, nonpyrogenic, clear, colorless to yellow aqueous solution.

Each mL contains 485.1 mg (0.5 mmol) of gadopiclenol (containing 0.5 mmol of gadolinium) and the following inactive ingredients: 0.404 mg tetraxetan, 1.211 mg trometamol, hydrochloric acid and/or sodium hydroxide (for pH adjustment, if needed), and water for injection.

The main physicochemical properties of ELUCIREM are provided in Table 2.

Table 2. Physicochemical properties of ELUCIREM

Parameter

Value

Density at 20°C

1.211 g/cm3

Mean viscosity at 20°C

12.6 mPa.s

Mean viscosity at 37°C

7.6 mPa.s

Osmolality at 37°C

850 mOsm/kg water

pH

7.0 – 7.8

8.4 Pediatric Use

The safety and effectiveness of ELUCIREM for use with MRI to detect and visualize lesions with abnormal vascularity in the CNS (brain, spine, and associated tissues), and the body (head and neck, thorax, abdomen, pelvis, and musculoskeletal system) have been established in pediatric patients including term neonates.

Use of ELUCIREM in this age group is supported by evidence from adequate and well-controlled studies in adults, with additional pharmacokinetic and safety data from two open-label, single-arm, multicenter, single-dose studies (i.e., Trials 1 and 2) of ELUCIREM (0.05 mmol/kg) in 116 pediatric patients who underwent CNS and body MRI. Trial 1 (NCT03749252) included 80 pediatric patients aged 2 to 17 years, and Trial 2 (NCT05590884) included 36 pediatric patients aged 25 days to less than 2 years [see Adverse Reactions (6.1), Clinical Pharmacology (12.3) and Clinical Studies (14.2, 14.3)].

The safety of ELUCIREM has not been established in preterm neonates.

8.5 Geriatric Use

Of the total number of ELUCIREM-treated patients in clinical studies, 270 (26%) patients were 65 years of age and over, while 62 (6%) patients were 75 years of age and over. No overall differences in safety or efficacy were observed between these subjects and younger subjects.

This drug is known to be substantially excreted by the kidney, and the risk of adverse reactions to this drug may be greater in patients with impaired renal function. Because elderly patients are more likely to have decreased renal function, it may be useful to monitor renal function.

14 Clinical Studies

4 Contraindications

ELUCIREM is contraindicated in patients with history of hypersensitivity reactions to ELUCIREM.

6 Adverse Reactions

The following clinically significant adverse reactions are discussed elsewhere in labeling:

  • Nephrogenic Systemic Fibrosis [see Warnings and Precautions (5.2)]
  • Hypersensitivity Reactions [see Contraindications (4) and Warnings and Precautions (5.3)]
8.6 Renal Impairment

In patients with renal impairment, the exposure of gadopiclenol is increased compared to patients with normal renal function. This may increase the risk of adverse reactions such as nephrogenic systemic fibrosis (NSF). Avoid use of GBCAs among these patients unless the diagnostic information is essential and not available with non-contrast MRI or other modalities. No dose adjustment of ELUCIREM is recommended for patients with renal impairment. ELUCIREM can be removed from the body by hemodialysis [see Warnings and Precautions (5.2, 5.4, 5.5) and Clinical Pharmacology (12.3)].

12.2 Pharmacodynamics

In MRI, visualization of normal and pathological tissue depends in part on variations in the radiofrequency signal intensity that occur with:

  • differences in proton density
  • differences of the spin-lattice or longitudinal relaxation times (T1)
  • differences in the spin-spin or transverse relaxation time (T2).

When placed in a magnetic field (patient in MRI machine), gadopiclenol shortens the T1 and T2 relaxation times in targeted tissues. The extent to which a contrast agent can affect the relaxation rate of tissue water (1/T1 or 1/T2) is termed relaxivity (r1 or r2).

The relaxivity of GBCAs is presented in Table 3.

Table 3. Relaxivity (r1) of GBCAs in Human Plasma/Serum at 1.5 T and 37°C

Gadolinium-Chelate

r1 (L.mmol-1.s-1)

Gadobenic acid

6.3

Gadobutrol

5.2

Gadodiamide

4.3

Gadopiclenol

12.8

Gadoteric acid

3.6

Gadoteridol

4.1

Gadoxetic acid

6.9

Cardiac Electrophysiology

At 6 times the recommended dosage in adult patients, gadopiclenol does not prolong the QT interval to any clinically relevant extent.

12.3 Pharmacokinetics

The Cmax and AUCinf of gadopiclenol increased proportionally over a dosage range from 0.025 mmol/kg to 0.3 mmol/kg (0.5 times to 6 times the recommended dosage). At the recommended dose, the mean (CV%) Cmax and AUCinf were 525 (13%) µg/mL and 569 (18%) µg·h/mL, respectively.

Distribution

After intravenous administration of ELUCIREM, gadopiclenol is distributed in the extracellular fluids.

The mean (CV%) volume of distribution of gadopiclenol at steady state is 13 (13%) L.

Protein binding of gadopiclenol is ≤ 1.8% at clinically relevant concentrations.

Following GBCA administration, gadolinium is present for months or years in brain, bone, skin, and other organs [see Warnings and Precautions (5.4)]. It is unknown whether the recommended dose of ELUCIREM results in similar or different levels of gadolinium retention relative to those of other approved macrocyclic GBCAs at their recommended doses.

Elimination

The mean (CV%) elimination half-life (t1/2) of gadopiclenol is 1.5 (14%) hour.

The mean (CV%) total body clearance (CL) and renal clearance (CLr) of gadopiclenol are 100 (9.5%) mL/min and 81 (35%) mL/min, respectively.

Metabolism

Gadopiclenol is not metabolized.

Excretion

Gadopiclenol is mainly eliminated through the kidneys by glomerular filtration. Approximately 98% of the dose was recovered in urine within 48 hours after administration.

Specific Populations

No clinically significant differences in the pharmacokinetics of gadopiclenol were observed based on sex.

Pediatric Patients

The pharmacokinetics of gadopiclenol in pediatric patients were within the range of those in adults (>18 years of age) [see Dosage and Administration (2.1)].

The pharmacokinetic parameters (median (range)) of gadopiclenol by age group are presented in Table 4.

Table 4. Pharmacokinetic Parameters (Median (Range)) According to Age Group (Derived from Population PK Model)

0 to < 2 years

N= 35 a

2 to 6 years

N= 19 a

7 to 11 years

N= 19 a

12 to <18 years

N= 18 a

Adults

N= 9 a

AUC0-inf (µg∙h/mL)

395 [186 ;777]

465 [282; 764]

575 [370; 792]

638 [462; 1040]

572 [409; 695]

t1/2 (h)

1.51 [0.9 ;2.5]

1.75 [1.2; 2.5]

1.61 [1.3; 2.2]

1.78 [1.4; 5.0]

1.62 [1.2; 3.0]

C10 min (µg/mL)

223 [142 ;367]

280 [229; 374]

328 [281; 439]

407 [307; 499]

364 [241; 390]

C20 min (µg/mL)

162 [101 ;269]

195 [139; 250]

234 [180; 290]

256 [210; 302]

241 [191; 281]

CL (L/h/kg)

0.12 [0.06 ;0.25]

0.10 [0.07; 0.17]

0.08 [0.06; 0.13]

0.08 [0.05; 0.11]

0.08b [0.06; 0.13]

aAt the recommended dose

bIn 54 adults at a dose of 0.025 mmol/kg to 0.3 mmol/kg [0.5 times to 6 times the recommended dose]

Adults with Renal Impairment

The pharmacokinetic parameters (mean (%CV)) of gadopiclenol in patients with renal impairment are presented in Table 5.

Table 5. Effect of Renal Impairment on the Pharmacokinetic Parameters (Mean (%CV)) of Gadopiclenola,b

Normal (eGFR ≥ 90 mL/min)

Mild (eGFR 60 to < 90 mL/min)

Moderate (eGFR 30 to < 60 mL/min)

Severe (eGFR 15 to < 30 mL/min)

 AUCinf (µg·h/mL)

1113 (24%)

1711 (31%)

2759 (28%)

9671 (18%)

CLr (mL/min)

96 (10%)

76 (23%)

44 (25%)

14 (26%)

t1/2 (h)

1.9

3.3

3.8

11.7

a Following administration of a single gadopiclenol 0.1 mmol/kg dose (2 times the recommended dosage).

b eGFR: estimate of GFR based on an estimation equation and expressed in mL/min. To convert mL/min/1.73 m2 to mL/min, multiply by the individual’s BSA and divide by 1.73.

In patients with mild or moderate renal impairment, more than 90% of the administered ELUCIREM was recovered in urine within 48 hours. In patients with severely impaired renal function about 84% of the administered ELUCIREM was recovered in urine within 5 days.

In patients with eGFR < 15 mL/min, hemodialysis effectively removed gadopiclenol from plasma as the percentage of decrease in blood concentrations was 95 to 98% at the end of the first hemodialysis session and 100% after the third hemodialysis session [see Warnings and Precautions (5.2), Use in Specific Populations (8.6)].

13.2 Animal Toxicology

Local intolerance reactions, including slight to moderate erythema and edema, were observed after perivenous injection in rabbits suggesting the possibility of local irritation if the contrast medium leaks around the veins in a clinical setting [see Warnings and Precautions (5.6)].

2.1 Recommended Dosage

The recommended dose of ELUCIREM for adult and pediatric patients, including term neonates, is 0.05 mmol/kg actual body weight (equivalent to 0.1 mL/kg) administered intravenously at approximately 2 mL/sec.

1 Indications and Usage

ELUCIREM is indicated in adult and pediatric patients, including term neonates, for use with magnetic resonance imaging (MRI) to detect and visualize lesions with abnormal vascularity in:

  • the central nervous system (brain, spine, and associated tissues),
  • the body (head and neck, thorax, abdomen, pelvis, and musculoskeletal system).
5.5 Acute Kidney Injury

In patients with chronically reduced renal function, acute kidney injury requiring dialysis has occurred with the use of GBCAs. The risk of acute kidney injury may increase with increasing dose of the contrast agent. Do not exceed the recommended dose.

12.1 Mechanism of Action

Gadopiclenol is a paramagnetic molecule (macrocyclic non-ionic complex of gadolinium) that develops a magnetic moment when placed in a magnetic field. The magnetic moment alters the relaxation rates of water protons in its vicinity in the body, leading to an increase in signal intensity (brightness) of tissues.

5.4 Gadolinium Retention

Gadolinium is retained for months or years in several organs. The highest concentrations (nanomoles per gram of tissue) have been identified in the bone, followed by other organs (e.g. brain, skin, kidney, liver, and spleen). The duration of retention also varies by tissue and is longest in bone. Linear GBCAs cause more retention than macrocyclic GBCAs. At equivalent doses, gadolinium retention varies among the linear agents with gadodiamide causing greater retention than other linear agents such as gadoxetate disodium and gadobenate dimeglumine. Retention is lowest and similar among the macrocyclic GBCAs such as gadoterate meglumine, gadobutrol, gadoteridol, and gadopiclenol.

Consequences of gadolinium retention in the brain have not been established. Pathologic and clinical consequences of GBCA administration and retention in skin and other organs have been established in patients with impaired renal function [see Warnings and Precautions (5.2)]. There are rare reports of pathologic skin changes in patients with normal renal function. Adverse events involving multiple organ systems have been reported in patients with normal renal function without an established causal link to gadolinium [see Adverse Reactions (6.2)].

While clinical consequences of gadolinium retention have not been established in patients with normal renal function, certain patients might be at higher risk. These include patients requiring multiple lifetime doses, pregnant and pediatric patients, and patients with inflammatory conditions. Consider the retention characteristics of the agent when choosing a GBCA for these patients. Minimize repetitive GBCA imaging studies, particularly closely spaced studies, when possible.

5 Warnings and Precautions
  • Hypersensitivity Reactions: Serious hypersensitivity reactions have occurred with GBCAs. Monitor patients closely for need of emergency cardiorespiratory support. (5.3)
  • Gadolinium Retention: Gadolinium is retained for months or years in brain, bone, and other organs. (5.4)
2 Dosage and Administration
  • The recommended dose for adult and pediatric patients, including term neonates, is 0.05 mmol/kg actual body weight (equivalent to 0.1 mL/kg) administered intravenously at approximately 2 mL/sec. (2.1)
3 Dosage Forms and Strengths

Injection: 0.5 mmol/mL of gadopiclenol as a clear, colorless to yellow aqueous solution available as:

Strength

Packaging

  • 1.5 mmol/3 mL (0.5 mmol/mL)
  • 3.75 mmol/7.5 mL (0.5 mmol/mL)
  • 5 mmol/10 mL (0.5 mmol/mL)
  • 7.5 mmol/15 mL (0.5 mmol/mL)



Single-dose vials (glass)

  • 3.75 mmol/7.5 mL (0.5 mmol/mL)
  • 5 mmol/10 mL (0.5 mmol/mL)
  • 7.5 mmol/15 mL (0.5 mmol/mL)



Single-dose prefilled syringes (plastic)

  • 15 mmol/30 mL (0.5 mmol/mL)
  • 25 mmol/50 mL (0.5 mmol/mL)
  • 50 mmol/100 mL (0.5 mmol/mL)



Pharmacy bulk package (glass)

  • 15 mmol/30 mL (0.5 mmol/mL)
  • 25 mmol/50 mL (0.5 mmol/mL)
  • 50 mmol/100 mL (0.5 mmol/mL)



Imaging Bulk Package (glass)

6.2 Postmarketing Experience

The following additional adverse reactions have been identified during postmarketing use of ELUCIREM or other GBCAs. Because these reactions are reported voluntarily from a population of uncertain size, it is not always possible to reliably estimate their frequency or establish a causal relationship to drug exposure.

Gastrointestinal Disorders: Acute pancreatitis with onset within 48 hours after GBCA administration.

General Disorders and Administration Site Conditions: Fatigue, asthenia, pain syndromes, and heterogeneous clusters of symptoms in the neurological, cutaneous, and musculoskeletal systems with variable onset and duration after GBCA administration [see Warnings and Precautions (5.4)].

Respiratory, Thoracic and Mediastinal Disorders: Acute respiratory distress syndrome, pulmonary edema.

Skin Disorders: Gadolinium-associated plaques

8 Use in Specific Populations

Pregnancy: Use only if imaging is essential during pregnancy and cannot be delayed. (8.1)

5.3 Hypersensitivity Reactions

With GBCAs, serious hypersensitivity reactions have occurred. In most cases, initial symptoms occurred within minutes of GBCA administration and resolved with prompt emergency treatment.

  • Before ELUCIREM administration, assess all patients for any history of a reaction to contrast media, bronchial asthma and/or allergic disorders. These patients may have an increased risk for a hypersensitivity reaction to ELUCIREM.
  • ELUCIREM is contraindicated in patients with history of hypersensitivity reactions to ELUCIREM [see Contraindications (4)].
  • Administer ELUCIREM only in situations where trained personnel and therapies are promptly available for the treatment of hypersensitivity reactions, including personnel trained in resuscitation.
  • During and following ELUCIREM administration, observe patients for signs and symptoms of hypersensitivity reactions.
6.1 Clinical Trials Experience

Because clinical trials are conducted under widely varying conditions, adverse reaction rates observed in the clinical trials of a drug cannot be directly compared to rates in the clinical trials of another drug and may not reflect the rates observed in clinical practice.

The safety of ELUCIREM was evaluated in 1,083 patients who received ELUCIREM at doses ranging from 0.025 mmol/kg (one half the recommended dose) to 0.3 mmol/kg (six times the recommended dose). A total of 744 patients (including 116 pediatric patients) received the recommended dose of 0.05 mmol/kg. Among patients who received the recommended dose, the average age was 49 years (range from less than one month to 88 years) and 55% were female. The race distribution was 80% White, 10% Asian, 6% American Indian or Alaska native, 2% Black, and 2% patients of other or unspecified race groups.

Overall, approximately 4.6% of subjects receiving the labeled dose reported one or more adverse reactions.

Table 1 lists adverse reactions that occurred in > 0.2% of patients who received 0.05 mmol/kg ELUCIREM.

Table 1. Adverse Reactions Reported in > 0.2% of Patients Receiving ELUCIREM in Clinical Trials

Adverse Reaction

ELUCIREM 0.05 mmol/kg

(n=744)

(%)

Injection site pain

0.7

Headache

0.7

Nausea

0.4

Injection site warmth

0.4

Injection site coldness

0.3

Dizziness

0.3

Localized swelling

0.3

Erythema

0.3

Adverse reactions that occurred with a frequency ≤ 0.2% in patients who received 0.05 mmol/kg ELUCIREM included: maculopapular rash, vomiting, worsened renal impairment, feeling hot, pyrexia, oral paresthesia, dysgeusia, diarrhea, pruritus, allergic dermatitis, injection site paresthesia, Cystatin C increase, and blood creatinine increase.

Adverse Reactions in Pediatric Patients

The overall safety profile observed in pediatric patients was similar to the safety profile of adult patients [see Use in Specific Populations (8.4)].

14.1 Overview of Clinical Studies

The safety and effectiveness of ELUCIREM for lesion visualization were evaluated in two prospective, double blind, randomized, crossover clinical studies. Study 1 (NCT03996447) was performed in adults with known or highly suspected CNS lesions with focal areas of disruption of the blood-brain barrier. Study 2 (NCT03986138) was performed in adults with suspected enhancing abnormalities in at least one body region among the head and neck, thorax, abdomen, pelvis, and musculoskeletal system.

In each study, patients received both ELUCIREM 0.05 mmol/kg and gadobutrol 0.1 mmol/kg (as an active comparator) in random order separated by 2 days to 14 days. Magnetic resonance imaging was performed before and after administration of each contrast agent.

Pre-contrast and paired (consisting of both pre-contrast and post-contrast images for the same drug) image sets were independently evaluated by three central readers who were blinded to identity of the contrast agent. Readers scored up to three lesions per patient for border delineation, internal morphology, and contrast enhancement, each on a scale from 1 to 4. The total number of lesions was also reported. An additional independent central reader performed lesion tracking to allow matching of lesions between pre-contrast and paired images.

The analysis compared the patient-level average score for matching lesions for each visualization parameter between pre-contrast and paired image sets.

14.2 Visualization of Cns Lesions

Study 1 included 256 patients with known or highly suspected CNS lesion(s). Among the enrolled patients, 239 had assessable pre-contrast and paired images with at least one matching lesion for at least one reader. These patients had a mean age of 57 years (range: 18 years to 84 years), 52% were female, and 83% were White.

All three blinded readers’ evaluations of paired pre-contrast plus post-contrast images and pre-contrast images alone for all lesion visualization criteria, the pre-specified co-primary efficacy endpoints, are presented in Table 6.

Table 6. Patient-Level CNS Lesion Visualization Scores by Reader, Paired vs. Pre-contrast in Patients Receiving ELUCIREM 0.05 mmol/kg Intravenously

n

LS Mean (SE)

95% CI Difference

Paired

Pre-contrast

Difference*

Border delineation

Reader 1

227

3.90 (0.02)

2.08 (0.02)

1.82 (0.03)

(1.76, 1.88)

Reader 2

229

3.64 (0.04)

1.74 (0.04)

1.90 (0.05)

(1.81, 2.00)

Reader 3

202

3.97 (0.03)

2.61 (0.03)

1.36 (0.04)

(1.29, 1.44)

Internal morphology

Reader 1

227

3.92 (0.03)

1.66 (0.03)

2.26 (0.03)

(2.20, 2.33)

Reader 2

229

3.65 (0.03)

1.88 (0.03)

1.77 (0.04)

(1.69, 1.85)

Reader 3

202

3.97 (0.04)

2.01 (0.04)

1.96 (0.05)

(1.85, 2.06)

Degree of contrast enhancement

Reader 1

227

3.77 (0.03)

1.00 (0.03)

2.77 (0.04)

(2.69, 2.85)

Reader 2

229

3.58 (0.03)

1.00 (0.03)

2.58 (0.05)

(2.49, 2.67)

Reader 3

202

3.90 (0.02)

1.00 (0.02)

2.90 (0.03)

(2.84, 2.95)

LS: Least Squares; SE: Standard Error; CI: Confidence Interval.

Only matching lesions are considered. The mixed models based on the full analysis set (N=239) include lesion visualization factor as dependent variable, MRI modality (Precontrast and Paired MRI) as fixed factors, and patient as a random factor.

*p<0.0001 for all rows

Gadopiclenol lesion visualization scores and number of lesions identified per patient were similar to those for gadobutrol.

17 Patient Counseling Information

Advise the patient to read the FDA-approved patient labeling (Medication Guide).

Nephrogenic Systemic Fibrosis

Inform the patient that ELUCIREM may increase the risk for NSF among patients with impaired elimination of the drugs and that NSF may result in fatal or debilitating fibrosis affecting the skin, muscle and internal organs.

Instruct the patients to contact their physician if they develop signs or symptoms of NSF following ELUCIREM administration, such as burning, itching, swelling, scaling, hardening and tightening of the skin; red or dark patches on the skin; stiffness in joints with trouble moving, bending or straightening the arms, hands, legs or feet; pain in the hip bones or ribs; or muscle weakness [see Warnings and Precautions (5.2)].

Gadolinium Retention

Advise patients that gadolinium is retained for months or years in brain, bone, skin, and other organs following ELUCIREM administration even in patients with normal renal function. The clinical consequences of retention are unknown. Retention depends on multiple factors and is greater following administration of linear GBCAs than following administration of macrocyclic GBCAs [see Warnings and Precautions (5.4)].

Injection Site Reactions

Inform the patient that ELUCIREM may cause reactions along the venous injection site, such as mild and transient burning or pain or feeling of warmth or coldness at the injection site [see Warnings and Precautions (5.6)].

Pregnancy

Advise pregnant women of the potential risk of fetal exposure to ELUCIREM [see Use in Specific Populations (8.1)].



Vials and pre-filled syringes manufactured by

Liebel-Flarsheim Company LLC,

8800 Durant Road, Raleigh, North Carolina (NC) 27616-3104, USA

Vials manufactured by BIPSO GmbH

78224 Singen, Germany

Distributed by

Guerbet LLC

214 Carnegie Center, Suite 300, Princeton, NJ 08540, USA

5.2 Nephrogenic Systemic Fibrosis

GBCAs increase the risk for nephrogenic systemic fibrosis (NSF) among patients with impaired elimination of the drugs. Avoid use of ELUCIREM among these patients unless the diagnostic information is essential and not available with non-contrast MRI or other modalities. The GBCA-associated NSF risk appears highest for patients with chronic, severe kidney disease (GFR <30 mL/min/1.73 m2) as well as patients with acute kidney injury. The risk appears lower for patients with chronic, moderate kidney disease (GFR 30-59 mL/min/1.73 m2) and little, if any, for patients with chronic, mild kidney disease (GFR 60-89 mL/min/1.73 m2). NSF may result in fatal or debilitating fibrosis affecting the skin, muscle, and internal organs. Report any diagnosis of NSF following ELUCIREM administration to Guerbet LLC (1-877-729-6679) or FDA (1-800-FDA-1088 or www.fda.gov/medwatch).

Screen patients for acute kidney injury and other conditions that may reduce renal function. Features of acute kidney injury consist of rapid (over hours to days) and usually reversible decrease in kidney function, commonly in the setting of surgery, severe infection, injury or drug-induced kidney toxicity. Serum creatinine levels and estimated GFR may not reliably assess renal function in the setting of acute kidney injury. For patients at risk for chronically reduced renal function (e.g., age >60 years, diabetes mellitus or chronic hypertension), estimate the GFR through laboratory testing.

Among the factors that may increase the risk for NSF are repeated or higher than recommended doses of a GBCA and the degree of renal impairment at the time of exposure. Record the specific GBCA and the dose administered to a patient. For patients at highest risk for NSF, do not exceed the recommended ELUCIREM dose and allow a sufficient period of time for elimination of the drug prior to re-administration. For patients receiving hemodialysis, physicians may consider the prompt initiation of hemodialysis following the administration of a GBCA in order to enhance the contrast agent’s elimination  [see Use in Specific Populations (8.6) and Clinical Pharmacology (12.3)]. The usefulness of hemodialysis in the prevention of NSF is unknown.

14.3 Visualization of Body Lesions

Study 2 included 304 patients presenting with known or suspected enhancing abnormality(ies) and/or lesion(s) in at least one region among the head and neck, musculoskeletal system including extremities, and body including thorax, abdomen, and pelvis. Among the enrolled patients, 278 had assessable pre-contrast and paired images with at least one matching lesion for at least one reader. These patients had a mean age of 57 years (range: 21 years to 86 years), 59% were female, and 71% were White.

Three readers assessed images of the head and neck, three other readers assessed images of the musculoskeletal system, and another three readers assessed other areas collectively referred to as the body (thorax, abdomen, and pelvis). Lesion visualization scores by reader in each anatomic region at patient-level as supportive analyses are summarized in Table 7.

Table 7. Patient-Level Body Lesion Visualization Scores by Reader and Anatomic Region, Paired vs. Pre-contrast in Patients Receiving ELUCIREM 0.05 mmol/kg Intravenously

n

LS Mean (SE)

95% CI

difference

Paired

Pre-contrast

Difference

Head & Neck

Border delineation

Reader 1

15

3.71 (0.10)

2.13 (0.10)

1.58 (0.14)

(1.30, 1.86)

Reader 2

19

3.53 (0.18)

2.11 (0.18)

1.42 (0.18)

(1.06, 1.78)

Reader 3

13

3.92 (0.13)

2.85 (0.13)

1.08 (0.13)

(0.82, 1.33)

Internal morphology

Reader 1

15

3.80 (0.07)

1.87 (0.07)

1.93 (0.10)

(1.74, 2.12)

Reader 2

19

3.74 (0.14)

2.05 (0.14)

1.68 (0.16)

(1.37, 2.00)

Reader 3

13

3.92 (0.12)

2.54 (0.12)

1.38 (0.14)

(1.10, 1.67)

Degree of contrast enhancement

Reader 1

15

3.60 (0.11)

1.00 (0.11)

2.60 (0.16)

(2.29, 2.91)

Reader 2

19

3.68 (0.16)

1.00 (0.16)

2.68 (0.22)

(2.22, 3.15)

Reader 3

13

3.92 (0.11)

1.00 (0.11)

2.92 (0.15)

(2.61, 3.24)

Musculoskeletal system (including extremities)

Border delineation

Reader 1

17

3.00 (0.10)

2.06 (0.10)

0.94 (0.13)

(0.68, 1.20)

Reader 2

17

2.68 (0.20)

2.44 (0.20)

0.24 (0.19)

(-0.15, 0.62)

Reader 3

21

2.81 (0.10)

2.05 (0.10)

0.76 (0.10)

(0.56, 0.96)

Internal morphology

Reader 1

17

3.00 (0.07)

2.00 (0.07)

1.00 (0.09)

(0.82, 1.18)

Reader 2

17

3.94 (0.15)

2.35 (0.15)

1.59 (0.17)

(1.25, 1.92)

Reader 3

21

2.90 (0.09)

2.05 (0.09)

0.86 (0.11)

(0.64, 1.08)

Degree of contrast enhancement

Reader 1

17

2.82 (0.10)

1.00 (0.10)

1.82 (0.15)

(1.53, 2.12)

Reader 2

17

3.33 (0.17)

1.00 (0.17)

2.33 (0.24)

(1.847, 2.82)

Reader 3

21

3.06 (0.08)

1.00 (0.08)

2.06 (0.12)

(1.82, 2.31)

Body (thorax, abdomen, pelvis)

Border delineation

Reader 1

219

3.86 (0.03)

2.28 (0.03)

1.57 (0.04)

(1.50, 1.64)

Reader 2

194

3.54 (0.06)

3.15 (0.06)

0.40 (0.06)

(0.29, 0.51)

Reader 3

228

3.53 (0.03)

1.69 (0.03)

1.84 (0.03)

(1.78, 1.90)

Internal morphology

Reader 1

219

3.86 (0.02)

2.00 (0.02)

1.87 (0.03)

(1.82, 1.92)

Reader 2

194

3.74 (0.05)

3.41 (0.05)

0.33 (0.05)

(0.23, 0.43)

Reader 3

228

3.78 (0.03)

1.60 (0.03)

2.17 (0.03)

(2.11, 2.24)

Degree of contrast enhancement

Reader 1

219

3.71 (0.03)

1.00 (0.03)

2.71 (0.04)

(2.63, 2.79)

Reader 2

194

2.69 (0.05)

1.00 (0.05)

1.69 (0.07)

(1.54, 1.83)

Reader 3

228

3.33 (0.03)

1.00 (0.03)

2.33 (0.44)

(2.25, 2.40)

LS: Least Squares; SE: Standard Error; CI: Confidence Interval.

Only matching lesions are considered. The mixed models based on the full analysis set (N=278) include lesion visualization factor as a dependent variable, patient as a random factor, and MRI modality (Pre-contrast and Paired MRI), body regions, and MRI body regions as fixed factors.

Gadopiclenol lesion visualization scores and number of lesions identified per patient were similar to those for gadobutrol.

16 How Supplied/storage and Handling

HOW SUPPLIED

ELUCIREM (gadopiclenol) injection is a clear, colorless to yellow aqueous solution supplied in the following presentations:

Strength

Sale Unit

NDC

Single-Dose Vial (glass)

1.5 mmol/3 mL (0.5 mmol/mL)

Carton of 1

67684-4230-1

Carton of 10

67684-4230-2

3.75 mmol/7.5 mL (0.5 mmol/mL)

Carton of 1

67684-4231-1

Carton of 10

67684-4231-2

5 mmol/10 mL (0.5 mmol/mL)

Carton of 1

67684-4232-1

Carton of 10

67684-4232-2

7.5 mmol/15 mL (0.5 mmol/mL)

Carton of 1

67684-4233-1

Carton of 10

67684-4233-2

Single-Dose Prefilled Syringe (plastic) 

3.75 mmol/7.5 mL (0.5 mmol/mL)

Carton of 1

67684-4240-1

Carton of 10

67684-4240-2

5 mmol/10 mL (0.5 mmol/mL)

Carton of 1

67684-4241-1

Carton of 10

67684-4241-2

7.5 mmol/15 mL (0.5 mmol/mL)

Carton of 1

67684-4242-1

Carton of 10

67684-4242-2

Pharmacy Bulk Package (glass)

15 mmol/30 mL (0.5 mmol/mL)

Carton of 1

67684-4250-1

Carton of 25

67684-4250-2

25 mmol/50 mL (0.5 mmol/mL)

Carton of 1

67684-4250-3

Carton of 25

67684-4250-4

50 mmol/100 mL (0.5 mmol/mL)

Carton of 1

67684-4250-5

Carton of 6

67684-4250-6

Carton of 12

67684-4250-7

Imaging Bulk Package (glass)

15 mmol/30 mL (0.5 mmol/mL)

Carton of 1

67684-4251-1

Carton of 25

67684-4251-2

25 mmol/50 mL (0.5 mmol/mL)

Carton of 1

67684-4251-3

Carton of 25

67684-4251-4

50 mmol/100 mL (0.5 mmol/mL)

Carton of 1

67684-4251-5

Carton of 6

67684-4251-6

Carton of 12

67684-4251-7

Storage and Handling

Store at 25°C (77°F); excursions permitted from 15°C to 30°C (59°F to 86°F) [see USP, Controlled Room Temperature].

Do not freeze Pre-filled syringes.

5.1 Risk Associated With Intrathecal Use

Intrathecal administration of GBCAs can cause serious adverse reactions including death, coma, encephalopathy, and seizures. The safety and effectiveness of ELUCIREM have not been established with intrathecal use. ELUCIREM is not approved for intrathecal use [see Dosage and

Administration (2.1)].

2.2 Administration and Imaging Instructions
  • Administer ELUCIREM as an intravenous bolus injection, manually or by compatible power injector, at approximately 2 mL/sec followed by a flush of 0.9% sodium chloride injection. For pediatric patients, adjust the flow rate and flush volume based on age.
  • Use aseptic technique for all handling and administration of ELUCIREM.
  • Visually inspect ELUCIREM for particulate matter and discoloration prior to administration. Do not use the solution if any particulate matter is present or the solution is discolored.
  • Do not mix with other medications because of the potential for chemical incompatibility.
  • Prime intravenous line before use.
  • Contrast MRI can begin immediately following the injection of ELUCIREM.
2.5 Directions for Use of Imaging Bulk Package
  • ELUCIREM Imaging Bulk Package (IBP) is not for direct infusion.
  • The IBP is for use only with an automated contrast injection system, contrast management system, or contrast media transfer set approved or cleared for use with this contrast agent in this IBP. This allows for the administration of multiple single doses of ELUCIREM to multiple patients.
  • See drug and device labeling for information on devices indicated for use with this IBP and techniques to help assure safe use.
  • The ELUCIREM IBP is to be used only in a room designated for performing radiological procedures that involve administration of a contrast agent.
  • Utilize aseptic technique for penetrating the container closure of the IBP and transferring ELUCIREM.
  • Penetrate the container closure only one time with a suitable sterile component of the automated contrast injection system, contrast management system, or contrast media transfer set (e.g., transfer spike) approved or cleared for use with this IBP.
  • During the entire period of use, ensure that the contents of the ELUCIREM IBP container remain in continuous contact with the automated contrast injector system, contrast management system, or contrast media transfer set. To ensure the protection of the contrast media against any possible contamination, do not remove the dispensing set from the IBP container closure.
  • Once the ELUCIREM IBP container is punctured, do not remove it from the work area. Store the ELUCIREM IBP at 25° C (77° F); excursions permitted from 15°C to 30°C (59°F to 86°F) [see USP Controlled Room Temperature].
  • Maximum use time from puncture is 24 hours. Discard any unused ELUCIREM 24 hours after puncture of the IBP.
  • After the container closure is punctured, if the integrity of IBP and the delivery system cannot be assured through direct continuous supervision, the IBP and all associated disposables for the automated contrast injection system, contrast management system, or contrast media transfer set should be discarded.
  • If solidification occurs in the IBP due to cold exposure, bring the IBP of ELUCIREM to room temperature before use and inspect to ensure that the solution is clear and colorless to yellow without any particulate matter or discoloration.
5.6 Extravasation and Injection Site Reactions

Injection site reactions such as injection site pain have been reported in the clinical studies with ELUCIREM [see Adverse Reactions (6.1)]. Extravasation during ELUCIREM administration may result in tissue irritation [see Nonclinical Toxicology (13.2)]. Ensure catheter and venous patency before the injection of ELUCIREM.

2.4 Directions for Use of Pharmacy Bulk Package
  • ELUCIREM Pharmacy Bulk Package (PBP) is not for direct infusion.
  • Perform the transfer of ELUCIREM from the PBP in an aseptic work area, such as laminar flow hood, using aseptic technique and suitable transfer device for filling empty sterile syringes.
  • Penetrate the closure only one time. Once the container closure is punctured, do not remove the PBP from the aseptic work area.
  • Use each individual dose of ELUCIREM promptly following withdrawal from the PBP.
  • Use the contents of the PBP within 24 hours at room temperature after puncture.
  • If solidification occurs in the PBP due to cold exposure, bring the PBP of ELUCIREM to room temperature before use and inspect to ensure that the solution is clear and colorless to yellow without any particulate matter or discoloration.
13.1 Carcinogenesis, Mutagenesis, Impairment of Fertility

Carcinogenesis

No carcinogenicity studies of gadopiclenol were performed.

Mutagenesis

Gadopiclenol did not demonstrate mutagenic potential in in vitro bacterial reverse mutation assays (Ames test), in an in vitro chromosome aberration assay in Chinese hamster ovary cells nor in an in vivo rat micronucleus assay.

Impairment of Fertility

Gadopiclenol had no effect on fertility and general reproductive performance of male and female rats when given at dose up to 10 mmol/kg (corresponding to 62 times the recommended human dose).

2.3 Directions for Use of Single Dose Vial and Pre Filled Syringe

Vial

  • Pierce the rubber stopper only once.
  • Aseptically draw up ELUCIREM into a disposable syringe and use immediately.
  • If solidification occurs in the vial due to cold exposure, bring the vial of ELUCIREM to room temperature before use and inspect to ensure that the solution is clear and colorless to yellow without any particulate matter or discoloration.
  • Discard any unused portion.

Pre-filled syringe

  • Remove the tip cap of the syringe, screw the plunger rod and use immediately.
  • All luer connections should be gently hand tightened without over tightening, to ensure secure connections and to prevent damage to the device.
  • Pre-filled syringes must not be frozen. Frozen pre-filled syringes of ELUCIREM should be discarded.
  • Discard any unused portion.
5.7 Interference With Visualization of Lesions Visible With Non Contrast Mri

As with any GBCA, ELUCIREM may impair the visualization of lesions seen on non-contrast MRI. Therefore, caution should be exercised when Gadopiclenol MRI scans are interpreted without a companion non-contrast MRI scan.

Warning: Risk Associated With Intrathecal Use and Nephrogenic Systemic Fibrosis

Risk Associated with Intrathecal Use

Intrathecal administration of gadolinium-based contrast agents (GBCAs) can cause serious adverse reactions including death, coma, encephalopathy, and seizures.  ELUCIREM is not approved for intrathecal use [see Warnings and Precautions (5.1)].

Nephrogenic Systemic Fibrosis

GBCAs increase the risk for nephrogenic systemic fibrosis (NSF) among patients with impaired elimination of the drugs. Avoid use of ELUCIREM in these patients unless the diagnostic information is essential and not available with non-contrasted MRI or other modalities. NSF may result in fatal or debilitating fibrosis affecting the skin, muscle and internal organs.

The risk for NSF appears highest among patients with:

  • Chronic, severe kidney disease (GFR < 30 mL/min/1.73 m2), or
  • Acute kidney injury.

Screen patients for acute kidney injury and other conditions that may reduce renal function. For patients at risk for chronically reduced renal function (e.g. age > 60 years, hypertension, diabetes), estimate the glomerular filtration rate (GFR) through laboratory testing.

For patients at highest risk for NSF, do not exceed the recommended ELUCIREM dose and allow a sufficient period of time for elimination of the drug from the body prior to any re-administration [see Warnings and Precautions (5.2)].


Structured Label Content

Section 42229-5 (42229-5)

Section 42231-1 (42231-1)

MEDICATION GUIDE

ELUCIREMTM (ah LOOS er em)

(gadopiclenol)

injection, for intravenous use

What is the most important information I should know about ELUCIREM?

  • GBCAs like ELUCIREM may cause serious side effects including death, coma, encephalopathy, and seizures when it is given intrathecally (injection given into the spinal canal). It is not known if ELUCIREM is safe and effective with intrathecal use. ELUCIREM is not approved for this use.
  • ELUCIREM contains a metal called gadolinium. Small amounts of gadolinium can stay in your body including the brain, bones, skin and other parts of your body for a long time (several months to years).
  • It is not known how gadolinium may affect you, but so far, studies have not found harmful effects in patients with normal kidneys.
  • Rarely patients have reported pains, tiredness, and skin, muscle or bone ailments for a long time, but these symptoms have not been directly linked to gadolinium.
  • There are different GBCAs that can be used for your MRI exam. The amount of gadolinium that stays in the body is different for different gadolinium medicines. Gadolinium stays in the body more after gadodiamide than after gadoxetate disodium or gadobenate dimeglumine. Gadolinium stays in the body the least after, gadoterate meglumine, gadobutrol, gadoteridol, and gadopiclenol.
  • People who get many doses of gadolinium medicines, women who are pregnant and young children may be at increased risk from gadolinium staying in the body.
  • Some people with kidney problems who get gadolinium medicines can develop a condition with severe thickening of the skin, muscles and other organs in the body (nephrogenic systemic fibrosis). Your healthcare provider should screen you to see how well your kidneys are working before you receive ELUCIREM.

What is ELUCIREM?

  • ELUCIREM is a prescription medicine called a gadolinium-based contrast agent (GBCA). ELUCIREM, like other GBCAs, is injected into your vein and used with a magnetic resonance imaging (MRI) scanner.
  • An MRI exam with a GBCA, including ELUCIREM, helps your healthcare provider to see problems better than an MRI exam without a GBCA.
  • Your healthcare provider has reviewed your medical records and has determined that you would benefit from using a GBCA with your MRI exam.

Do not receive ELUCIREM if you have had a severe allergic reaction to ELUCIREM.

Before receiving ELUCIREM, tell your healthcare provider about all your medical conditions, including if you:

  • have had any MRI procedures in the past where you received a GBCA. Your healthcare provider may ask you for more information including the dates of these MRI procedures.
  • are pregnant or plan to become pregnant. It is not known if ELUCIREM can harm your unborn baby. Talk to your healthcare provider about the possible risks to an unborn baby if a GBCA such as ELUCIREM is received during pregnancy.
  • have kidney problems, diabetes, or high blood pressure.
  • have had an allergic reaction to dyes (contrast agents) including GBCAs.

What are possible side effects of ELUCIREM?

  • See “What is the most important information I should know about ELUCIREM?”
  • Allergic reactions. ELUCIREM can cause allergic reactions that can sometimes be serious. Your healthcare provider will monitor you closely for symptoms of an allergic reaction.

The most common side effects of ELUCIREM include: injection site pain, headache, nausea, injection site coldness, injection site warmth, dizziness, and localized swelling.

These are not all the possible side effects of ELUCIREM.

Call your doctor for medical advice about side effects. You may report side effects to FDA at 1-800-FDA-1088.

General information about the safe and effective uses of ELUCIREM.

Medicines are sometimes prescribed for purposes other than those listed in a Medication Guide. You can ask your healthcare provider for information about ELUCIREM that is written for health professionals.

What are the ingredients in ELUCIREM?

Active ingredient: gadopiclenol

Inactive ingredients: tetraxetan; trometamol; hydrochloric acid or sodium hydroxide for pH adjustment; and water for injection

Vials and pre-filled syringes manufactured by: Liebel-Flarsheim Company LLC, 8800 Durant Road, Raleigh, North Carolina (NC) 27616-3104, USA

Vials manufactured by BIPSO GmbH 78224 singen, Germany

Distributed by: Guerbet LLC, 214 Carnegie Center, Suite 300, Princeton, New Jersey 08540, USA

For more information, go to www.guerbet-us.com or call 1-877-729-6679.

This Medication Guide has been approved by the U.S. Food and Drug Administration.    Revised: 12/2025

Section 51945-4 (51945-4)

Single-Dose Vial (glass)

1.5 mmol/3 mL (0.5 mmol/mL)

3.75 mmol/7.5 mL (0.5 mmol/mL)

5 mmol/10 mL (0.5 mmol/mL)

7.5 mmol/15 mL (0.5 mmol/mL)

10 Overdosage (10 OVERDOSAGE)

Among subjects who received a single 0.3 mmol/kg intravenous dose of gadopiclenol (6 times the recommended dose of ELUCIREM), headache and nausea were the most frequently reported adverse reactions. Gadopiclenol can be removed from the body by hemodialysis [see Clinical Pharmacology (12.3)].

8.1 Pregnancy

Risk Summary

There are no available data on ELUCIREM use in pregnant women to evaluate for a drug-associated risk of major birth defects, miscarriage, or other adverse maternal or fetal outcomes. GBCAs cross the placenta and result in fetal exposure. In human placental imaging studies, contrast was visualized in the placenta and fetal tissues after maternal GBCA administration. Based on animal studies, use of GBCAs during pregnancy may result in fetal gadolinium retention.

Published epidemiological studies on the association between GBCAs and adverse fetal outcomes have reported inconsistent findings and have important methodological limitations (see Data). In animal reproduction studies, there were no adverse developmental effects observed in rats or rabbits with intravenous administration of ELUCIREM during organogenesis (see Data). Because of the potential risks of gadolinium to the fetus, use ELUCIREM only if imaging is essential during pregnancy and cannot be delayed.

The background risk of major birth defects and miscarriage for the indicated population(s) are unknown. All pregnancies have a background risk of birth defect, loss, or other adverse outcomes. In the U.S. general population, the estimated background risk of major birth defects and miscarriage in clinically recognized pregnancies is 2% to 4% and 15% to 20% respectively.

Data

Human Data

Available data regarding exposure to GBCAs during pregnancy from published epidemiological studies are not sufficient to assess the potential risk of adverse fetal and neonatal effects that may be associated with GBCAs. A retrospective cohort study of over 1.4 million pregnancies in Ontario, Canada, comparing pregnant women who had a GBCA MRI to pregnant women who did not have an MRI, reported a higher occurrence of stillbirths and neonatal deaths in the group receiving GBCA MRI. Limitations of this study include a lack of comparison with non-contrast MRI and lack of information about the maternal indication for MRI. Another retrospective cohort study of over 11 million pregnancies in the Medicaid database found no increased risk of fetal or neonatal death or Neonatal Intensive Care Unit admission when comparing pregnancies exposed to GBCA MRI versus non-contrast MRI. These two retrospective observational studies assessed a limited number of potential pregnancy outcomes and did not evaluate the full spectrum of potential fetal risk.

Animal Data

Gadolinium Retention

GBCAs administered to pregnant non-human primates (0.1 mmol/kg on gestational days 85 and 135) result in measurable gadolinium concentration in the offspring in bone, brain, skin, liver, kidney, and spleen for at least 7 months. GBCAs administered to pregnant mice (2 mmol/kg daily on gestational days 16 through 19) result in measurable gadolinium concentrations in the pups in bone, brain, kidney, liver, blood, muscle, and spleen at one-month postnatal age.

Reproductive Toxicology

Animal reproduction studies conducted with gadopiclenol showed some signs of maternal toxicity in rats at 10 mmol/kg and rabbits at 5 mmol/kg (corresponding to 52 times and 57 times the recommended human dose, respectively). This maternal toxicity was characterized in both species by swelling, decreased activity, and lower gestation weight gain and food consumption.

No effect on embryo-fetal development was observed in rats at 10 mmol/kg (corresponding to 52 times the recommended human dose). In rabbits, a lower mean fetal body weight was observed at 5 mmol/kg (corresponding to 57 times the recommended human dose) and this was attributed as a consequence of the lower gestation weight gain.

8.2 Lactation

Risk Summary

There are no data on the presence of gadopiclenol in human milk, the effects on the breastfed infant, or the effects on milk production. However, published lactation data on other GBCAs indicate that 0.01% to 0.04% of the maternal gadolinium dose is excreted in breast milk. Additionally, there is limited GBCA gastrointestinal absorption in the breast-fed infant. Gadopiclenol is present in rat milk. When a drug is present in animal milk, it is likely that the drug will be present in human milk (see Data). The developmental and health benefits of breastfeeding should be considered along with the mother’s clinical need for ELUCIREM and any potential adverse effects on the breastfed infant from ELUCIREM or from the underlying maternal condition.

Data

In lactating rats receiving single intravenous injection of [153Gd]-gadopiclenol, 0.3% and 0.2% of the total administered radioactivity was transferred to the pups via maternal milk at 6 hours and 24 hours after administration, respectively. Furthermore, in nursing rat pups, oral absorption of gadopiclenol was 3.6%.

11 Description (11 DESCRIPTION)

ELUCIREM (gadopiclenol) injection is a paramagnetic macrocyclic non-ionic gadolinium-based contrast agent for intravenous use.

The chemical name for gadopiclenol is rac-[(2R,2'Ξ,2''Ξ)-2,2',2''-(3,6,9-triaza-κ3N3,N6,N9-1(2,6)-pyridina-κN1-cyclodecaphane-3,6,9-triyl)tris(5-{[(2Ξ)-2,3-dihydroxypropyl]amino}-5-oxopentanoato-κ3O1,O1',O1'')(3−)]gadolinium with a molecular weight of 970.11 g/mol and a molecular formula of 970.11 g/mol and a molecular formula of C 35 H 54 GdN 7 O 15

ELUCIREM is a sterile, nonpyrogenic, clear, colorless to yellow aqueous solution.

Each mL contains 485.1 mg (0.5 mmol) of gadopiclenol (containing 0.5 mmol of gadolinium) and the following inactive ingredients: 0.404 mg tetraxetan, 1.211 mg trometamol, hydrochloric acid and/or sodium hydroxide (for pH adjustment, if needed), and water for injection.

The main physicochemical properties of ELUCIREM are provided in Table 2.

Table 2. Physicochemical properties of ELUCIREM

Parameter

Value

Density at 20°C

1.211 g/cm3

Mean viscosity at 20°C

12.6 mPa.s

Mean viscosity at 37°C

7.6 mPa.s

Osmolality at 37°C

850 mOsm/kg water

pH

7.0 – 7.8

8.4 Pediatric Use

The safety and effectiveness of ELUCIREM for use with MRI to detect and visualize lesions with abnormal vascularity in the CNS (brain, spine, and associated tissues), and the body (head and neck, thorax, abdomen, pelvis, and musculoskeletal system) have been established in pediatric patients including term neonates.

Use of ELUCIREM in this age group is supported by evidence from adequate and well-controlled studies in adults, with additional pharmacokinetic and safety data from two open-label, single-arm, multicenter, single-dose studies (i.e., Trials 1 and 2) of ELUCIREM (0.05 mmol/kg) in 116 pediatric patients who underwent CNS and body MRI. Trial 1 (NCT03749252) included 80 pediatric patients aged 2 to 17 years, and Trial 2 (NCT05590884) included 36 pediatric patients aged 25 days to less than 2 years [see Adverse Reactions (6.1), Clinical Pharmacology (12.3) and Clinical Studies (14.2, 14.3)].

The safety of ELUCIREM has not been established in preterm neonates.

8.5 Geriatric Use

Of the total number of ELUCIREM-treated patients in clinical studies, 270 (26%) patients were 65 years of age and over, while 62 (6%) patients were 75 years of age and over. No overall differences in safety or efficacy were observed between these subjects and younger subjects.

This drug is known to be substantially excreted by the kidney, and the risk of adverse reactions to this drug may be greater in patients with impaired renal function. Because elderly patients are more likely to have decreased renal function, it may be useful to monitor renal function.

14 Clinical Studies (14 CLINICAL STUDIES)

4 Contraindications (4 CONTRAINDICATIONS)

ELUCIREM is contraindicated in patients with history of hypersensitivity reactions to ELUCIREM.

6 Adverse Reactions (6 ADVERSE REACTIONS)

The following clinically significant adverse reactions are discussed elsewhere in labeling:

  • Nephrogenic Systemic Fibrosis [see Warnings and Precautions (5.2)]
  • Hypersensitivity Reactions [see Contraindications (4) and Warnings and Precautions (5.3)]
8.6 Renal Impairment (8.6 Renal impairment)

In patients with renal impairment, the exposure of gadopiclenol is increased compared to patients with normal renal function. This may increase the risk of adverse reactions such as nephrogenic systemic fibrosis (NSF). Avoid use of GBCAs among these patients unless the diagnostic information is essential and not available with non-contrast MRI or other modalities. No dose adjustment of ELUCIREM is recommended for patients with renal impairment. ELUCIREM can be removed from the body by hemodialysis [see Warnings and Precautions (5.2, 5.4, 5.5) and Clinical Pharmacology (12.3)].

Recent Major Changes (RECENT MAJOR CHANGES)

12.2 Pharmacodynamics

In MRI, visualization of normal and pathological tissue depends in part on variations in the radiofrequency signal intensity that occur with:

  • differences in proton density
  • differences of the spin-lattice or longitudinal relaxation times (T1)
  • differences in the spin-spin or transverse relaxation time (T2).

When placed in a magnetic field (patient in MRI machine), gadopiclenol shortens the T1 and T2 relaxation times in targeted tissues. The extent to which a contrast agent can affect the relaxation rate of tissue water (1/T1 or 1/T2) is termed relaxivity (r1 or r2).

The relaxivity of GBCAs is presented in Table 3.

Table 3. Relaxivity (r1) of GBCAs in Human Plasma/Serum at 1.5 T and 37°C

Gadolinium-Chelate

r1 (L.mmol-1.s-1)

Gadobenic acid

6.3

Gadobutrol

5.2

Gadodiamide

4.3

Gadopiclenol

12.8

Gadoteric acid

3.6

Gadoteridol

4.1

Gadoxetic acid

6.9

Cardiac Electrophysiology

At 6 times the recommended dosage in adult patients, gadopiclenol does not prolong the QT interval to any clinically relevant extent.

12.3 Pharmacokinetics

The Cmax and AUCinf of gadopiclenol increased proportionally over a dosage range from 0.025 mmol/kg to 0.3 mmol/kg (0.5 times to 6 times the recommended dosage). At the recommended dose, the mean (CV%) Cmax and AUCinf were 525 (13%) µg/mL and 569 (18%) µg·h/mL, respectively.

Distribution

After intravenous administration of ELUCIREM, gadopiclenol is distributed in the extracellular fluids.

The mean (CV%) volume of distribution of gadopiclenol at steady state is 13 (13%) L.

Protein binding of gadopiclenol is ≤ 1.8% at clinically relevant concentrations.

Following GBCA administration, gadolinium is present for months or years in brain, bone, skin, and other organs [see Warnings and Precautions (5.4)]. It is unknown whether the recommended dose of ELUCIREM results in similar or different levels of gadolinium retention relative to those of other approved macrocyclic GBCAs at their recommended doses.

Elimination

The mean (CV%) elimination half-life (t1/2) of gadopiclenol is 1.5 (14%) hour.

The mean (CV%) total body clearance (CL) and renal clearance (CLr) of gadopiclenol are 100 (9.5%) mL/min and 81 (35%) mL/min, respectively.

Metabolism

Gadopiclenol is not metabolized.

Excretion

Gadopiclenol is mainly eliminated through the kidneys by glomerular filtration. Approximately 98% of the dose was recovered in urine within 48 hours after administration.

Specific Populations

No clinically significant differences in the pharmacokinetics of gadopiclenol were observed based on sex.

Pediatric Patients

The pharmacokinetics of gadopiclenol in pediatric patients were within the range of those in adults (>18 years of age) [see Dosage and Administration (2.1)].

The pharmacokinetic parameters (median (range)) of gadopiclenol by age group are presented in Table 4.

Table 4. Pharmacokinetic Parameters (Median (Range)) According to Age Group (Derived from Population PK Model)

0 to < 2 years

N= 35 a

2 to 6 years

N= 19 a

7 to 11 years

N= 19 a

12 to <18 years

N= 18 a

Adults

N= 9 a

AUC0-inf (µg∙h/mL)

395 [186 ;777]

465 [282; 764]

575 [370; 792]

638 [462; 1040]

572 [409; 695]

t1/2 (h)

1.51 [0.9 ;2.5]

1.75 [1.2; 2.5]

1.61 [1.3; 2.2]

1.78 [1.4; 5.0]

1.62 [1.2; 3.0]

C10 min (µg/mL)

223 [142 ;367]

280 [229; 374]

328 [281; 439]

407 [307; 499]

364 [241; 390]

C20 min (µg/mL)

162 [101 ;269]

195 [139; 250]

234 [180; 290]

256 [210; 302]

241 [191; 281]

CL (L/h/kg)

0.12 [0.06 ;0.25]

0.10 [0.07; 0.17]

0.08 [0.06; 0.13]

0.08 [0.05; 0.11]

0.08b [0.06; 0.13]

aAt the recommended dose

bIn 54 adults at a dose of 0.025 mmol/kg to 0.3 mmol/kg [0.5 times to 6 times the recommended dose]

Adults with Renal Impairment

The pharmacokinetic parameters (mean (%CV)) of gadopiclenol in patients with renal impairment are presented in Table 5.

Table 5. Effect of Renal Impairment on the Pharmacokinetic Parameters (Mean (%CV)) of Gadopiclenola,b

Normal (eGFR ≥ 90 mL/min)

Mild (eGFR 60 to < 90 mL/min)

Moderate (eGFR 30 to < 60 mL/min)

Severe (eGFR 15 to < 30 mL/min)

 AUCinf (µg·h/mL)

1113 (24%)

1711 (31%)

2759 (28%)

9671 (18%)

CLr (mL/min)

96 (10%)

76 (23%)

44 (25%)

14 (26%)

t1/2 (h)

1.9

3.3

3.8

11.7

a Following administration of a single gadopiclenol 0.1 mmol/kg dose (2 times the recommended dosage).

b eGFR: estimate of GFR based on an estimation equation and expressed in mL/min. To convert mL/min/1.73 m2 to mL/min, multiply by the individual’s BSA and divide by 1.73.

In patients with mild or moderate renal impairment, more than 90% of the administered ELUCIREM was recovered in urine within 48 hours. In patients with severely impaired renal function about 84% of the administered ELUCIREM was recovered in urine within 5 days.

In patients with eGFR < 15 mL/min, hemodialysis effectively removed gadopiclenol from plasma as the percentage of decrease in blood concentrations was 95 to 98% at the end of the first hemodialysis session and 100% after the third hemodialysis session [see Warnings and Precautions (5.2), Use in Specific Populations (8.6)].

13.2 Animal Toxicology

Local intolerance reactions, including slight to moderate erythema and edema, were observed after perivenous injection in rabbits suggesting the possibility of local irritation if the contrast medium leaks around the veins in a clinical setting [see Warnings and Precautions (5.6)].

2.1 Recommended Dosage

The recommended dose of ELUCIREM for adult and pediatric patients, including term neonates, is 0.05 mmol/kg actual body weight (equivalent to 0.1 mL/kg) administered intravenously at approximately 2 mL/sec.

1 Indications and Usage (1 INDICATIONS AND USAGE)

ELUCIREM is indicated in adult and pediatric patients, including term neonates, for use with magnetic resonance imaging (MRI) to detect and visualize lesions with abnormal vascularity in:

  • the central nervous system (brain, spine, and associated tissues),
  • the body (head and neck, thorax, abdomen, pelvis, and musculoskeletal system).
5.5 Acute Kidney Injury

In patients with chronically reduced renal function, acute kidney injury requiring dialysis has occurred with the use of GBCAs. The risk of acute kidney injury may increase with increasing dose of the contrast agent. Do not exceed the recommended dose.

12.1 Mechanism of Action

Gadopiclenol is a paramagnetic molecule (macrocyclic non-ionic complex of gadolinium) that develops a magnetic moment when placed in a magnetic field. The magnetic moment alters the relaxation rates of water protons in its vicinity in the body, leading to an increase in signal intensity (brightness) of tissues.

5.4 Gadolinium Retention

Gadolinium is retained for months or years in several organs. The highest concentrations (nanomoles per gram of tissue) have been identified in the bone, followed by other organs (e.g. brain, skin, kidney, liver, and spleen). The duration of retention also varies by tissue and is longest in bone. Linear GBCAs cause more retention than macrocyclic GBCAs. At equivalent doses, gadolinium retention varies among the linear agents with gadodiamide causing greater retention than other linear agents such as gadoxetate disodium and gadobenate dimeglumine. Retention is lowest and similar among the macrocyclic GBCAs such as gadoterate meglumine, gadobutrol, gadoteridol, and gadopiclenol.

Consequences of gadolinium retention in the brain have not been established. Pathologic and clinical consequences of GBCA administration and retention in skin and other organs have been established in patients with impaired renal function [see Warnings and Precautions (5.2)]. There are rare reports of pathologic skin changes in patients with normal renal function. Adverse events involving multiple organ systems have been reported in patients with normal renal function without an established causal link to gadolinium [see Adverse Reactions (6.2)].

While clinical consequences of gadolinium retention have not been established in patients with normal renal function, certain patients might be at higher risk. These include patients requiring multiple lifetime doses, pregnant and pediatric patients, and patients with inflammatory conditions. Consider the retention characteristics of the agent when choosing a GBCA for these patients. Minimize repetitive GBCA imaging studies, particularly closely spaced studies, when possible.

5 Warnings and Precautions (5 WARNINGS AND PRECAUTIONS)
  • Hypersensitivity Reactions: Serious hypersensitivity reactions have occurred with GBCAs. Monitor patients closely for need of emergency cardiorespiratory support. (5.3)
  • Gadolinium Retention: Gadolinium is retained for months or years in brain, bone, and other organs. (5.4)
2 Dosage and Administration (2 DOSAGE AND ADMINISTRATION)
  • The recommended dose for adult and pediatric patients, including term neonates, is 0.05 mmol/kg actual body weight (equivalent to 0.1 mL/kg) administered intravenously at approximately 2 mL/sec. (2.1)
3 Dosage Forms and Strengths (3 DOSAGE FORMS AND STRENGTHS)

Injection: 0.5 mmol/mL of gadopiclenol as a clear, colorless to yellow aqueous solution available as:

Strength

Packaging

  • 1.5 mmol/3 mL (0.5 mmol/mL)
  • 3.75 mmol/7.5 mL (0.5 mmol/mL)
  • 5 mmol/10 mL (0.5 mmol/mL)
  • 7.5 mmol/15 mL (0.5 mmol/mL)



Single-dose vials (glass)

  • 3.75 mmol/7.5 mL (0.5 mmol/mL)
  • 5 mmol/10 mL (0.5 mmol/mL)
  • 7.5 mmol/15 mL (0.5 mmol/mL)



Single-dose prefilled syringes (plastic)

  • 15 mmol/30 mL (0.5 mmol/mL)
  • 25 mmol/50 mL (0.5 mmol/mL)
  • 50 mmol/100 mL (0.5 mmol/mL)



Pharmacy bulk package (glass)

  • 15 mmol/30 mL (0.5 mmol/mL)
  • 25 mmol/50 mL (0.5 mmol/mL)
  • 50 mmol/100 mL (0.5 mmol/mL)



Imaging Bulk Package (glass)

6.2 Postmarketing Experience

The following additional adverse reactions have been identified during postmarketing use of ELUCIREM or other GBCAs. Because these reactions are reported voluntarily from a population of uncertain size, it is not always possible to reliably estimate their frequency or establish a causal relationship to drug exposure.

Gastrointestinal Disorders: Acute pancreatitis with onset within 48 hours after GBCA administration.

General Disorders and Administration Site Conditions: Fatigue, asthenia, pain syndromes, and heterogeneous clusters of symptoms in the neurological, cutaneous, and musculoskeletal systems with variable onset and duration after GBCA administration [see Warnings and Precautions (5.4)].

Respiratory, Thoracic and Mediastinal Disorders: Acute respiratory distress syndrome, pulmonary edema.

Skin Disorders: Gadolinium-associated plaques

8 Use in Specific Populations (8 USE IN SPECIFIC POPULATIONS)

Pregnancy: Use only if imaging is essential during pregnancy and cannot be delayed. (8.1)

5.3 Hypersensitivity Reactions

With GBCAs, serious hypersensitivity reactions have occurred. In most cases, initial symptoms occurred within minutes of GBCA administration and resolved with prompt emergency treatment.

  • Before ELUCIREM administration, assess all patients for any history of a reaction to contrast media, bronchial asthma and/or allergic disorders. These patients may have an increased risk for a hypersensitivity reaction to ELUCIREM.
  • ELUCIREM is contraindicated in patients with history of hypersensitivity reactions to ELUCIREM [see Contraindications (4)].
  • Administer ELUCIREM only in situations where trained personnel and therapies are promptly available for the treatment of hypersensitivity reactions, including personnel trained in resuscitation.
  • During and following ELUCIREM administration, observe patients for signs and symptoms of hypersensitivity reactions.
6.1 Clinical Trials Experience

Because clinical trials are conducted under widely varying conditions, adverse reaction rates observed in the clinical trials of a drug cannot be directly compared to rates in the clinical trials of another drug and may not reflect the rates observed in clinical practice.

The safety of ELUCIREM was evaluated in 1,083 patients who received ELUCIREM at doses ranging from 0.025 mmol/kg (one half the recommended dose) to 0.3 mmol/kg (six times the recommended dose). A total of 744 patients (including 116 pediatric patients) received the recommended dose of 0.05 mmol/kg. Among patients who received the recommended dose, the average age was 49 years (range from less than one month to 88 years) and 55% were female. The race distribution was 80% White, 10% Asian, 6% American Indian or Alaska native, 2% Black, and 2% patients of other or unspecified race groups.

Overall, approximately 4.6% of subjects receiving the labeled dose reported one or more adverse reactions.

Table 1 lists adverse reactions that occurred in > 0.2% of patients who received 0.05 mmol/kg ELUCIREM.

Table 1. Adverse Reactions Reported in > 0.2% of Patients Receiving ELUCIREM in Clinical Trials

Adverse Reaction

ELUCIREM 0.05 mmol/kg

(n=744)

(%)

Injection site pain

0.7

Headache

0.7

Nausea

0.4

Injection site warmth

0.4

Injection site coldness

0.3

Dizziness

0.3

Localized swelling

0.3

Erythema

0.3

Adverse reactions that occurred with a frequency ≤ 0.2% in patients who received 0.05 mmol/kg ELUCIREM included: maculopapular rash, vomiting, worsened renal impairment, feeling hot, pyrexia, oral paresthesia, dysgeusia, diarrhea, pruritus, allergic dermatitis, injection site paresthesia, Cystatin C increase, and blood creatinine increase.

Adverse Reactions in Pediatric Patients

The overall safety profile observed in pediatric patients was similar to the safety profile of adult patients [see Use in Specific Populations (8.4)].

14.1 Overview of Clinical Studies

The safety and effectiveness of ELUCIREM for lesion visualization were evaluated in two prospective, double blind, randomized, crossover clinical studies. Study 1 (NCT03996447) was performed in adults with known or highly suspected CNS lesions with focal areas of disruption of the blood-brain barrier. Study 2 (NCT03986138) was performed in adults with suspected enhancing abnormalities in at least one body region among the head and neck, thorax, abdomen, pelvis, and musculoskeletal system.

In each study, patients received both ELUCIREM 0.05 mmol/kg and gadobutrol 0.1 mmol/kg (as an active comparator) in random order separated by 2 days to 14 days. Magnetic resonance imaging was performed before and after administration of each contrast agent.

Pre-contrast and paired (consisting of both pre-contrast and post-contrast images for the same drug) image sets were independently evaluated by three central readers who were blinded to identity of the contrast agent. Readers scored up to three lesions per patient for border delineation, internal morphology, and contrast enhancement, each on a scale from 1 to 4. The total number of lesions was also reported. An additional independent central reader performed lesion tracking to allow matching of lesions between pre-contrast and paired images.

The analysis compared the patient-level average score for matching lesions for each visualization parameter between pre-contrast and paired image sets.

14.2 Visualization of Cns Lesions (14.2 Visualization of CNS Lesions)

Study 1 included 256 patients with known or highly suspected CNS lesion(s). Among the enrolled patients, 239 had assessable pre-contrast and paired images with at least one matching lesion for at least one reader. These patients had a mean age of 57 years (range: 18 years to 84 years), 52% were female, and 83% were White.

All three blinded readers’ evaluations of paired pre-contrast plus post-contrast images and pre-contrast images alone for all lesion visualization criteria, the pre-specified co-primary efficacy endpoints, are presented in Table 6.

Table 6. Patient-Level CNS Lesion Visualization Scores by Reader, Paired vs. Pre-contrast in Patients Receiving ELUCIREM 0.05 mmol/kg Intravenously

n

LS Mean (SE)

95% CI Difference

Paired

Pre-contrast

Difference*

Border delineation

Reader 1

227

3.90 (0.02)

2.08 (0.02)

1.82 (0.03)

(1.76, 1.88)

Reader 2

229

3.64 (0.04)

1.74 (0.04)

1.90 (0.05)

(1.81, 2.00)

Reader 3

202

3.97 (0.03)

2.61 (0.03)

1.36 (0.04)

(1.29, 1.44)

Internal morphology

Reader 1

227

3.92 (0.03)

1.66 (0.03)

2.26 (0.03)

(2.20, 2.33)

Reader 2

229

3.65 (0.03)

1.88 (0.03)

1.77 (0.04)

(1.69, 1.85)

Reader 3

202

3.97 (0.04)

2.01 (0.04)

1.96 (0.05)

(1.85, 2.06)

Degree of contrast enhancement

Reader 1

227

3.77 (0.03)

1.00 (0.03)

2.77 (0.04)

(2.69, 2.85)

Reader 2

229

3.58 (0.03)

1.00 (0.03)

2.58 (0.05)

(2.49, 2.67)

Reader 3

202

3.90 (0.02)

1.00 (0.02)

2.90 (0.03)

(2.84, 2.95)

LS: Least Squares; SE: Standard Error; CI: Confidence Interval.

Only matching lesions are considered. The mixed models based on the full analysis set (N=239) include lesion visualization factor as dependent variable, MRI modality (Precontrast and Paired MRI) as fixed factors, and patient as a random factor.

*p<0.0001 for all rows

Gadopiclenol lesion visualization scores and number of lesions identified per patient were similar to those for gadobutrol.

17 Patient Counseling Information (17 PATIENT COUNSELING INFORMATION)

Advise the patient to read the FDA-approved patient labeling (Medication Guide).

Nephrogenic Systemic Fibrosis

Inform the patient that ELUCIREM may increase the risk for NSF among patients with impaired elimination of the drugs and that NSF may result in fatal or debilitating fibrosis affecting the skin, muscle and internal organs.

Instruct the patients to contact their physician if they develop signs or symptoms of NSF following ELUCIREM administration, such as burning, itching, swelling, scaling, hardening and tightening of the skin; red or dark patches on the skin; stiffness in joints with trouble moving, bending or straightening the arms, hands, legs or feet; pain in the hip bones or ribs; or muscle weakness [see Warnings and Precautions (5.2)].

Gadolinium Retention

Advise patients that gadolinium is retained for months or years in brain, bone, skin, and other organs following ELUCIREM administration even in patients with normal renal function. The clinical consequences of retention are unknown. Retention depends on multiple factors and is greater following administration of linear GBCAs than following administration of macrocyclic GBCAs [see Warnings and Precautions (5.4)].

Injection Site Reactions

Inform the patient that ELUCIREM may cause reactions along the venous injection site, such as mild and transient burning or pain or feeling of warmth or coldness at the injection site [see Warnings and Precautions (5.6)].

Pregnancy

Advise pregnant women of the potential risk of fetal exposure to ELUCIREM [see Use in Specific Populations (8.1)].



Vials and pre-filled syringes manufactured by

Liebel-Flarsheim Company LLC,

8800 Durant Road, Raleigh, North Carolina (NC) 27616-3104, USA

Vials manufactured by BIPSO GmbH

78224 Singen, Germany

Distributed by

Guerbet LLC

214 Carnegie Center, Suite 300, Princeton, NJ 08540, USA

5.2 Nephrogenic Systemic Fibrosis

GBCAs increase the risk for nephrogenic systemic fibrosis (NSF) among patients with impaired elimination of the drugs. Avoid use of ELUCIREM among these patients unless the diagnostic information is essential and not available with non-contrast MRI or other modalities. The GBCA-associated NSF risk appears highest for patients with chronic, severe kidney disease (GFR <30 mL/min/1.73 m2) as well as patients with acute kidney injury. The risk appears lower for patients with chronic, moderate kidney disease (GFR 30-59 mL/min/1.73 m2) and little, if any, for patients with chronic, mild kidney disease (GFR 60-89 mL/min/1.73 m2). NSF may result in fatal or debilitating fibrosis affecting the skin, muscle, and internal organs. Report any diagnosis of NSF following ELUCIREM administration to Guerbet LLC (1-877-729-6679) or FDA (1-800-FDA-1088 or www.fda.gov/medwatch).

Screen patients for acute kidney injury and other conditions that may reduce renal function. Features of acute kidney injury consist of rapid (over hours to days) and usually reversible decrease in kidney function, commonly in the setting of surgery, severe infection, injury or drug-induced kidney toxicity. Serum creatinine levels and estimated GFR may not reliably assess renal function in the setting of acute kidney injury. For patients at risk for chronically reduced renal function (e.g., age >60 years, diabetes mellitus or chronic hypertension), estimate the GFR through laboratory testing.

Among the factors that may increase the risk for NSF are repeated or higher than recommended doses of a GBCA and the degree of renal impairment at the time of exposure. Record the specific GBCA and the dose administered to a patient. For patients at highest risk for NSF, do not exceed the recommended ELUCIREM dose and allow a sufficient period of time for elimination of the drug prior to re-administration. For patients receiving hemodialysis, physicians may consider the prompt initiation of hemodialysis following the administration of a GBCA in order to enhance the contrast agent’s elimination  [see Use in Specific Populations (8.6) and Clinical Pharmacology (12.3)]. The usefulness of hemodialysis in the prevention of NSF is unknown.

14.3 Visualization of Body Lesions

Study 2 included 304 patients presenting with known or suspected enhancing abnormality(ies) and/or lesion(s) in at least one region among the head and neck, musculoskeletal system including extremities, and body including thorax, abdomen, and pelvis. Among the enrolled patients, 278 had assessable pre-contrast and paired images with at least one matching lesion for at least one reader. These patients had a mean age of 57 years (range: 21 years to 86 years), 59% were female, and 71% were White.

Three readers assessed images of the head and neck, three other readers assessed images of the musculoskeletal system, and another three readers assessed other areas collectively referred to as the body (thorax, abdomen, and pelvis). Lesion visualization scores by reader in each anatomic region at patient-level as supportive analyses are summarized in Table 7.

Table 7. Patient-Level Body Lesion Visualization Scores by Reader and Anatomic Region, Paired vs. Pre-contrast in Patients Receiving ELUCIREM 0.05 mmol/kg Intravenously

n

LS Mean (SE)

95% CI

difference

Paired

Pre-contrast

Difference

Head & Neck

Border delineation

Reader 1

15

3.71 (0.10)

2.13 (0.10)

1.58 (0.14)

(1.30, 1.86)

Reader 2

19

3.53 (0.18)

2.11 (0.18)

1.42 (0.18)

(1.06, 1.78)

Reader 3

13

3.92 (0.13)

2.85 (0.13)

1.08 (0.13)

(0.82, 1.33)

Internal morphology

Reader 1

15

3.80 (0.07)

1.87 (0.07)

1.93 (0.10)

(1.74, 2.12)

Reader 2

19

3.74 (0.14)

2.05 (0.14)

1.68 (0.16)

(1.37, 2.00)

Reader 3

13

3.92 (0.12)

2.54 (0.12)

1.38 (0.14)

(1.10, 1.67)

Degree of contrast enhancement

Reader 1

15

3.60 (0.11)

1.00 (0.11)

2.60 (0.16)

(2.29, 2.91)

Reader 2

19

3.68 (0.16)

1.00 (0.16)

2.68 (0.22)

(2.22, 3.15)

Reader 3

13

3.92 (0.11)

1.00 (0.11)

2.92 (0.15)

(2.61, 3.24)

Musculoskeletal system (including extremities)

Border delineation

Reader 1

17

3.00 (0.10)

2.06 (0.10)

0.94 (0.13)

(0.68, 1.20)

Reader 2

17

2.68 (0.20)

2.44 (0.20)

0.24 (0.19)

(-0.15, 0.62)

Reader 3

21

2.81 (0.10)

2.05 (0.10)

0.76 (0.10)

(0.56, 0.96)

Internal morphology

Reader 1

17

3.00 (0.07)

2.00 (0.07)

1.00 (0.09)

(0.82, 1.18)

Reader 2

17

3.94 (0.15)

2.35 (0.15)

1.59 (0.17)

(1.25, 1.92)

Reader 3

21

2.90 (0.09)

2.05 (0.09)

0.86 (0.11)

(0.64, 1.08)

Degree of contrast enhancement

Reader 1

17

2.82 (0.10)

1.00 (0.10)

1.82 (0.15)

(1.53, 2.12)

Reader 2

17

3.33 (0.17)

1.00 (0.17)

2.33 (0.24)

(1.847, 2.82)

Reader 3

21

3.06 (0.08)

1.00 (0.08)

2.06 (0.12)

(1.82, 2.31)

Body (thorax, abdomen, pelvis)

Border delineation

Reader 1

219

3.86 (0.03)

2.28 (0.03)

1.57 (0.04)

(1.50, 1.64)

Reader 2

194

3.54 (0.06)

3.15 (0.06)

0.40 (0.06)

(0.29, 0.51)

Reader 3

228

3.53 (0.03)

1.69 (0.03)

1.84 (0.03)

(1.78, 1.90)

Internal morphology

Reader 1

219

3.86 (0.02)

2.00 (0.02)

1.87 (0.03)

(1.82, 1.92)

Reader 2

194

3.74 (0.05)

3.41 (0.05)

0.33 (0.05)

(0.23, 0.43)

Reader 3

228

3.78 (0.03)

1.60 (0.03)

2.17 (0.03)

(2.11, 2.24)

Degree of contrast enhancement

Reader 1

219

3.71 (0.03)

1.00 (0.03)

2.71 (0.04)

(2.63, 2.79)

Reader 2

194

2.69 (0.05)

1.00 (0.05)

1.69 (0.07)

(1.54, 1.83)

Reader 3

228

3.33 (0.03)

1.00 (0.03)

2.33 (0.44)

(2.25, 2.40)

LS: Least Squares; SE: Standard Error; CI: Confidence Interval.

Only matching lesions are considered. The mixed models based on the full analysis set (N=278) include lesion visualization factor as a dependent variable, patient as a random factor, and MRI modality (Pre-contrast and Paired MRI), body regions, and MRI body regions as fixed factors.

Gadopiclenol lesion visualization scores and number of lesions identified per patient were similar to those for gadobutrol.

16 How Supplied/storage and Handling (16 HOW SUPPLIED/STORAGE AND HANDLING)

HOW SUPPLIED

ELUCIREM (gadopiclenol) injection is a clear, colorless to yellow aqueous solution supplied in the following presentations:

Strength

Sale Unit

NDC

Single-Dose Vial (glass)

1.5 mmol/3 mL (0.5 mmol/mL)

Carton of 1

67684-4230-1

Carton of 10

67684-4230-2

3.75 mmol/7.5 mL (0.5 mmol/mL)

Carton of 1

67684-4231-1

Carton of 10

67684-4231-2

5 mmol/10 mL (0.5 mmol/mL)

Carton of 1

67684-4232-1

Carton of 10

67684-4232-2

7.5 mmol/15 mL (0.5 mmol/mL)

Carton of 1

67684-4233-1

Carton of 10

67684-4233-2

Single-Dose Prefilled Syringe (plastic) 

3.75 mmol/7.5 mL (0.5 mmol/mL)

Carton of 1

67684-4240-1

Carton of 10

67684-4240-2

5 mmol/10 mL (0.5 mmol/mL)

Carton of 1

67684-4241-1

Carton of 10

67684-4241-2

7.5 mmol/15 mL (0.5 mmol/mL)

Carton of 1

67684-4242-1

Carton of 10

67684-4242-2

Pharmacy Bulk Package (glass)

15 mmol/30 mL (0.5 mmol/mL)

Carton of 1

67684-4250-1

Carton of 25

67684-4250-2

25 mmol/50 mL (0.5 mmol/mL)

Carton of 1

67684-4250-3

Carton of 25

67684-4250-4

50 mmol/100 mL (0.5 mmol/mL)

Carton of 1

67684-4250-5

Carton of 6

67684-4250-6

Carton of 12

67684-4250-7

Imaging Bulk Package (glass)

15 mmol/30 mL (0.5 mmol/mL)

Carton of 1

67684-4251-1

Carton of 25

67684-4251-2

25 mmol/50 mL (0.5 mmol/mL)

Carton of 1

67684-4251-3

Carton of 25

67684-4251-4

50 mmol/100 mL (0.5 mmol/mL)

Carton of 1

67684-4251-5

Carton of 6

67684-4251-6

Carton of 12

67684-4251-7

Storage and Handling

Store at 25°C (77°F); excursions permitted from 15°C to 30°C (59°F to 86°F) [see USP, Controlled Room Temperature].

Do not freeze Pre-filled syringes.

5.1 Risk Associated With Intrathecal Use (5.1 Risk Associated with Intrathecal Use)

Intrathecal administration of GBCAs can cause serious adverse reactions including death, coma, encephalopathy, and seizures. The safety and effectiveness of ELUCIREM have not been established with intrathecal use. ELUCIREM is not approved for intrathecal use [see Dosage and

Administration (2.1)].

2.2 Administration and Imaging Instructions
  • Administer ELUCIREM as an intravenous bolus injection, manually or by compatible power injector, at approximately 2 mL/sec followed by a flush of 0.9% sodium chloride injection. For pediatric patients, adjust the flow rate and flush volume based on age.
  • Use aseptic technique for all handling and administration of ELUCIREM.
  • Visually inspect ELUCIREM for particulate matter and discoloration prior to administration. Do not use the solution if any particulate matter is present or the solution is discolored.
  • Do not mix with other medications because of the potential for chemical incompatibility.
  • Prime intravenous line before use.
  • Contrast MRI can begin immediately following the injection of ELUCIREM.
2.5 Directions for Use of Imaging Bulk Package
  • ELUCIREM Imaging Bulk Package (IBP) is not for direct infusion.
  • The IBP is for use only with an automated contrast injection system, contrast management system, or contrast media transfer set approved or cleared for use with this contrast agent in this IBP. This allows for the administration of multiple single doses of ELUCIREM to multiple patients.
  • See drug and device labeling for information on devices indicated for use with this IBP and techniques to help assure safe use.
  • The ELUCIREM IBP is to be used only in a room designated for performing radiological procedures that involve administration of a contrast agent.
  • Utilize aseptic technique for penetrating the container closure of the IBP and transferring ELUCIREM.
  • Penetrate the container closure only one time with a suitable sterile component of the automated contrast injection system, contrast management system, or contrast media transfer set (e.g., transfer spike) approved or cleared for use with this IBP.
  • During the entire period of use, ensure that the contents of the ELUCIREM IBP container remain in continuous contact with the automated contrast injector system, contrast management system, or contrast media transfer set. To ensure the protection of the contrast media against any possible contamination, do not remove the dispensing set from the IBP container closure.
  • Once the ELUCIREM IBP container is punctured, do not remove it from the work area. Store the ELUCIREM IBP at 25° C (77° F); excursions permitted from 15°C to 30°C (59°F to 86°F) [see USP Controlled Room Temperature].
  • Maximum use time from puncture is 24 hours. Discard any unused ELUCIREM 24 hours after puncture of the IBP.
  • After the container closure is punctured, if the integrity of IBP and the delivery system cannot be assured through direct continuous supervision, the IBP and all associated disposables for the automated contrast injection system, contrast management system, or contrast media transfer set should be discarded.
  • If solidification occurs in the IBP due to cold exposure, bring the IBP of ELUCIREM to room temperature before use and inspect to ensure that the solution is clear and colorless to yellow without any particulate matter or discoloration.
5.6 Extravasation and Injection Site Reactions

Injection site reactions such as injection site pain have been reported in the clinical studies with ELUCIREM [see Adverse Reactions (6.1)]. Extravasation during ELUCIREM administration may result in tissue irritation [see Nonclinical Toxicology (13.2)]. Ensure catheter and venous patency before the injection of ELUCIREM.

2.4 Directions for Use of Pharmacy Bulk Package
  • ELUCIREM Pharmacy Bulk Package (PBP) is not for direct infusion.
  • Perform the transfer of ELUCIREM from the PBP in an aseptic work area, such as laminar flow hood, using aseptic technique and suitable transfer device for filling empty sterile syringes.
  • Penetrate the closure only one time. Once the container closure is punctured, do not remove the PBP from the aseptic work area.
  • Use each individual dose of ELUCIREM promptly following withdrawal from the PBP.
  • Use the contents of the PBP within 24 hours at room temperature after puncture.
  • If solidification occurs in the PBP due to cold exposure, bring the PBP of ELUCIREM to room temperature before use and inspect to ensure that the solution is clear and colorless to yellow without any particulate matter or discoloration.
13.1 Carcinogenesis, Mutagenesis, Impairment of Fertility

Carcinogenesis

No carcinogenicity studies of gadopiclenol were performed.

Mutagenesis

Gadopiclenol did not demonstrate mutagenic potential in in vitro bacterial reverse mutation assays (Ames test), in an in vitro chromosome aberration assay in Chinese hamster ovary cells nor in an in vivo rat micronucleus assay.

Impairment of Fertility

Gadopiclenol had no effect on fertility and general reproductive performance of male and female rats when given at dose up to 10 mmol/kg (corresponding to 62 times the recommended human dose).

2.3 Directions for Use of Single Dose Vial and Pre Filled Syringe (2.3 Directions for Use of Single-Dose Vial and Pre-filled Syringe)

Vial

  • Pierce the rubber stopper only once.
  • Aseptically draw up ELUCIREM into a disposable syringe and use immediately.
  • If solidification occurs in the vial due to cold exposure, bring the vial of ELUCIREM to room temperature before use and inspect to ensure that the solution is clear and colorless to yellow without any particulate matter or discoloration.
  • Discard any unused portion.

Pre-filled syringe

  • Remove the tip cap of the syringe, screw the plunger rod and use immediately.
  • All luer connections should be gently hand tightened without over tightening, to ensure secure connections and to prevent damage to the device.
  • Pre-filled syringes must not be frozen. Frozen pre-filled syringes of ELUCIREM should be discarded.
  • Discard any unused portion.
5.7 Interference With Visualization of Lesions Visible With Non Contrast Mri (5.7 Interference with Visualization of Lesions Visible with Non-Contrast MRI)

As with any GBCA, ELUCIREM may impair the visualization of lesions seen on non-contrast MRI. Therefore, caution should be exercised when Gadopiclenol MRI scans are interpreted without a companion non-contrast MRI scan.

Warning: Risk Associated With Intrathecal Use and Nephrogenic Systemic Fibrosis (WARNING: RISK ASSOCIATED WITH INTRATHECAL USE and NEPHROGENIC SYSTEMIC FIBROSIS)

Risk Associated with Intrathecal Use

Intrathecal administration of gadolinium-based contrast agents (GBCAs) can cause serious adverse reactions including death, coma, encephalopathy, and seizures.  ELUCIREM is not approved for intrathecal use [see Warnings and Precautions (5.1)].

Nephrogenic Systemic Fibrosis

GBCAs increase the risk for nephrogenic systemic fibrosis (NSF) among patients with impaired elimination of the drugs. Avoid use of ELUCIREM in these patients unless the diagnostic information is essential and not available with non-contrasted MRI or other modalities. NSF may result in fatal or debilitating fibrosis affecting the skin, muscle and internal organs.

The risk for NSF appears highest among patients with:

  • Chronic, severe kidney disease (GFR < 30 mL/min/1.73 m2), or
  • Acute kidney injury.

Screen patients for acute kidney injury and other conditions that may reduce renal function. For patients at risk for chronically reduced renal function (e.g. age > 60 years, hypertension, diabetes), estimate the glomerular filtration rate (GFR) through laboratory testing.

For patients at highest risk for NSF, do not exceed the recommended ELUCIREM dose and allow a sufficient period of time for elimination of the drug from the body prior to any re-administration [see Warnings and Precautions (5.2)].


Advanced Ingredient Data


Raw Label Data

All Sections (JSON)