Prednisone Tablets, Usp

Prednisone Tablets, Usp
SPL v4
SPL
SPL Set ID ca39fdfb-d110-6535-e053-2995a90a550a
Route
ORAL
Published
Effective Date 2026-01-01
Document Type 34391-3 HUMAN PRESCRIPTION DRUG LABEL

Drug Facts

Composition & Product

Active Ingredients
Prednisone (20 mg)
Inactive Ingredients
Lactose Monohydrate Magnesium Stearate Microcrystalline Cellulose Starch, Corn Sodium Starch Glycolate Type A Potato

Identifiers & Packaging

Pill Appearance
Imprint: 54;760 Shape: round Color: white Size: 9 mm Score: 2
Marketing Status
ANDA Active Since 2021-04-19

Description

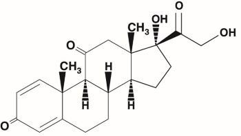
Prednisone is a glucocorticoid. Glucocorticoids are adrenocortical steroids, both naturally occurring and synthetic, which are readily absorbed from the gastrointestinal tract. Prednisone, USP is a white to partially white, crystalline powder. It is very slightly soluble in water; slightly soluble in alcohol, chloroform, dioxane, and methanol. The chemical name for prednisone is 17,21-dihydroxypregna-1,4-dienne-3,11,20-trione. The structural formula is represented below: C 21 H 26 O 5                          M.W. 358.44 Each tablet, for oral administration, contains 1, 2.5, 5, 10, 20, or 50 mg of prednisone. PredniSONE Oral Solution contains 5 mg prednisone per 5 mL, and PredniSONE Intensol TM Oral Solution (Concentrate) contains 5 mg prednisone per mL. Inactive Ingredients: PredniSONE Tablets, USP contain the following inactive ingredients: lactose monohydrate, magnesium stearate, microcrystalline cellulose, pregelatinized starch, sodium starch glycolate and stearic acid (1 mg, 2.5 mg, and 5 mg only). PredniSONE Oral Solution, USP contains alcohol 5% and the following inactive ingredients: anhydrous citric acid, edetate disodium, fructose, hydrochloric acid, maltol, peppermint oil, polysorbate 80, propylene glycol, saccharin sodium, sodium benzoate, vanilla flavor and purified water. PredniSONE Intensol™ Oral Solution (Concentrate) contains alcohol 30% and the following inactive ingredients: anhydrous citric acid, poloxamer 188, propylene glycol and purified water.

Dosage and Administration

The initial dosage of prednisone may vary from 5 mg to 60 mg of prednisone per day depending on the specific disease entity being treated. In situations of less severity lower doses will generally suffice while in selected patients higher initial doses may be required. The initial dosage should be maintained or adjusted until a satisfactory response is noted. If after a reasonable period of time there is a lack of satisfactory clinical response, prednisone should be discontinued and the patient transferred to other appropriate therapy. IT SHOULD BE EMPHASIZED THAT DOSAGE REQUIREMENTS ARE VARIABLE AND MUST BE INDIVIDUALIZED ON THE BASIS OF THE DISEASE UNDER TREATMENT AND THE RESPONSE OF THE PATIENT. After a favorable response is noted, the proper maintenance dosage should be determined by decreasing the initial drug dosage in small decrements at appropriate time intervals until the lowest dosage which will maintain an adequate clinical response is reached. It should be kept in mind that constant monitoring is needed in regard to drug dosage. Included in the situations which may make dosage adjustments necessary are changes in clinical status secondary to remissions or exacerbations in the disease process, the patient’s individual drug responsiveness, and the effect of patient exposure to stressful situations not directly related to the disease entity under treatment; in this latter situation it may be necessary to increase the dosage of prednisone for a period of time consistent with the patient’s condition. If after long-term therapy the drug is to be stopped, it is recommended that it be withdrawn gradually rather than abruptly.

Contraindications

Systemic fungal infections and known hypersensitivity to components.

How Supplied

PredniSONE Tablets, USP 20 mg – White to off-white, round, biconvex tablet; scored on one side and product identification “54 [above] 760” debossed on the other side. NDC 51655-701-53: Bottle of 10 Tablets NDC 51655-701-18: Bottle of 18 Tablets NDC 51655-701-20: Bottle of 20 Tablets Store at 20° to 25°C (68° to 77°F). [See USP Controlled Room Temperature.] Dispense in a tight, child-resistant container as defined in the USP/NF. PROTECT FROM MOISTURE. Distributed by: Hikma Pharmaceuticals USA Inc. Berkeley Heights, NJ 07922 C50000278/04 Revised February 2024


Medication Information

Dosage and Administration

The initial dosage of prednisone may vary from 5 mg to 60 mg of prednisone per day depending on the specific disease entity being treated. In situations of less severity lower doses will generally suffice while in selected patients higher initial doses may be required. The initial dosage should be maintained or adjusted until a satisfactory response is noted. If after a reasonable period of time there is a lack of satisfactory clinical response, prednisone should be discontinued and the patient transferred to other appropriate therapy. IT SHOULD BE EMPHASIZED THAT DOSAGE REQUIREMENTS ARE VARIABLE AND MUST BE INDIVIDUALIZED ON THE BASIS OF THE DISEASE UNDER TREATMENT AND THE RESPONSE OF THE PATIENT.After a favorable response is noted, the proper maintenance dosage should be determined by decreasing the initial drug dosage in small decrements at appropriate time intervals until the lowest dosage which will maintain an adequate clinical response is reached. It should be kept in mind that constant monitoring is needed in regard to drug dosage. Included in the situations which may make dosage adjustments necessary are changes in clinical status secondary to remissions or exacerbations in the disease process, the patient’s individual drug responsiveness, and the effect of patient exposure to stressful situations not directly related to the disease entity under treatment; in this latter situation it may be necessary to increase the dosage of prednisone for a period of time consistent with the patient’s condition. If after long-term therapy the drug is to be stopped, it is recommended that it be withdrawn gradually rather than abruptly.

Contraindications

Systemic fungal infections and known hypersensitivity to components.

How Supplied

PredniSONE Tablets, USP

20 mg – White to off-white, round, biconvex tablet; scored on one side and product identification “54 [above] 760” debossed on the other side.

NDC 51655-701-53: Bottle of 10 Tablets

NDC 51655-701-18: Bottle of 18 Tablets

NDC 51655-701-20: Bottle of 20 Tablets

Store at 20° to 25°C (68° to 77°F). [See USP Controlled Room Temperature.]

Dispense in a tight, child-resistant container as defined in the USP/NF.

PROTECT FROM MOISTURE.



Distributed by:

Hikma Pharmaceuticals USA Inc.

Berkeley Heights, NJ 07922



C50000278/04

Revised February 2024

Description

Prednisone is a glucocorticoid. Glucocorticoids are adrenocortical steroids, both naturally occurring and synthetic, which are readily absorbed from the gastrointestinal tract. Prednisone, USP is a white to partially white, crystalline powder. It is very slightly soluble in water; slightly soluble in alcohol, chloroform, dioxane, and methanol.

The chemical name for prednisone is 17,21-dihydroxypregna-1,4-dienne-3,11,20-trione. The structural formula is represented below:

  • C 21H 26O 5                         M.W. 358.44

Each tablet, for oral administration, contains 1, 2.5, 5, 10, 20, or 50 mg of prednisone. PredniSONE Oral Solution contains 5 mg prednisone per 5 mL, and PredniSONE Intensol TM Oral Solution (Concentrate) contains 5 mg prednisone per mL.

Inactive Ingredients:

PredniSONE Tablets, USP contain the following inactive ingredients: lactose monohydrate, magnesium stearate, microcrystalline cellulose, pregelatinized starch, sodium starch glycolate and stearic acid (1 mg, 2.5 mg, and 5 mg only).

PredniSONE Oral Solution, USP contains alcohol 5% and the following inactive ingredients: anhydrous citric acid, edetate disodium, fructose, hydrochloric acid, maltol, peppermint oil, polysorbate 80, propylene glycol, saccharin sodium, sodium benzoate, vanilla flavor and purified water.

PredniSONE Intensol™Oral Solution (Concentrate) contains alcohol 30% and the following inactive ingredients: anhydrous citric acid, poloxamer 188, propylene glycol and purified water.

Adt ®

ADT is a corticosteroid dosing regimen in which twice the usual daily dose of corticoid is administered every other morning. The purpose of this mode of therapy is to provide the patient requiring long-term pharmacologic dose treatment with the beneficial effects of corticoids while minimizing certain undesirable effects, including pituitary-adrenal suppression, the Cushingoid state, corticoid withdrawal symptoms, and growth suppression in children.

The rationale for this treatment schedule is based on two major premises: (a) the anti-inflammatory or therapeutic effect of corticoids persists longer than their physical presence and metabolic effects and (b) administration of the corticosteroid every other morning allows for re-establishment of more nearly normal hypothalamic-pituitary- adrenal (HPA) activity on the off-steroid day.

A brief review of the HPA physiology may be helpful in understanding this rationale. Acting primarily through the hypothalamus a fall in free cortisol stimulates the pituitary gland to produce increasing amounts of corticotropin (ACTH) while a rise in free cortisol inhibits ACTH secretion. Normally the HPA system is characterized by diurnal (circadian) rhythm. Serum levels of ACTH rise from a low point about 10 pm to a peak level about 6 am. Increasing levels of ACTH stimulate adrenocortical activity resulting in a rise in plasma cortisol with maximal levels occurring between 2 am and 8 am. This rise in cortisol dampens ACTH production and in turn adrenocortical activity. There is a gradual fall in plasma corticoids during the day with lowest levels occurring about midnight.

The diurnal rhythm of the HPA axis is lost in Cushing’s disease, a syndrome of adrenocortical hyperfunction characterized by obesity with centripetal fat distribution, thinning of the skin with easy bruisability, muscle wasting with weakness, hypertension, latent diabetes, osteoporosis, electrolyte imbalance, etc. The same clinical findings of hyperadrenocorticism may be noted during long-term pharmacologic dose corticoid therapy administered in conventional daily divided doses. It would appear, then, that a disturbance in the diurnal cycle with maintenance of elevated corticoid values during the night may play a significant role in the development of undesirable corticoid effects. Escape from these constantly elevated plasma levels for even short periods of time may be instrumental in protecting against undesirable pharmacologic effects.

During conventional pharmacologic dose corticosteroid therapy, ACTH production is inhibited with subsequent suppression of cortisol production by the adrenal cortex. Recovery time for normal HPA activity is variable depending upon the dose and duration of treatment. During this time the patient is vulnerable to any stressful situation. Although it has been shown that there is considerably less adrenal suppression following a single morning dose of prednisolone (10 mg) as opposed to a quarter of that dose administered every 6 hours, there is evidence that some suppressive effect on adrenal activity may be carried over into the following day when pharmacologic doses are used. Further, it has been shown that a single dose of certain corticosteroids will produce adrenocortical suppression for two or more days. Other corticoids, including methylprednisolone, hydrocortisone, prednisone, and prednisolone, are considered to be short acting (producing adrenocortical suppression for 1¼ to 1½ days following a single dose) and thus are recommended for alternate day therapy.

The following should be kept in mind when considering alternate day therapy:

  • Basic principles and indications for corticosteroid therapy should apply. The benefits of ADT should not encourage the indiscriminate use of steroids.
  • ADT is a therapeutic technique primarily designed for patients in whom long-term pharmacologic corticoid therapy is anticipated.
  • In less severe disease processes in which corticoid therapy is indicated, it may be possible to initiate treatment with ADT. More severe disease states usually will require daily divided high dose therapy for initial control of the disease process. The initial suppressive dose level should be continued until satisfactory clinical response is obtained, usually four to ten days in the case of many allergic and collagen diseases. It is important to keep the period of initial suppressive dose as brief as possible particularly when subsequent use of alternate day therapy is intended.
  • Once control has been established, two courses are available: (a) change to ADT and then gradually reduce the amount of corticoid given every other day or (b) following control of the disease process reduce the daily dose of corticoid to the lowest effective level as rapidly as possible and then change over to an alternate day schedule. Theoretically, course (a) may be preferable.
  • Because of the advantages of ADT, it may be desirable to try patients on this form of therapy who have been on daily corticoids for long periods of time (e.g., patients with rheumatoid arthritis). Since these patients may already have a suppressed HPA axis, establishing them on ADT may be difficult and not always successful. However, it is recommended that regular attempts be made to change them over. It may be helpful to triple or even quadruple the daily maintenance dose and administer this every other day rather than just doubling the daily dose if difficulty is encountered. Once the patient is again controlled, an attempt should be made to reduce this dose to a minimum.
  • As indicated above, certain corticosteroids, because of their prolonged suppressive effect on adrenal activity, are not recommended for alternate day therapy (e.g., dexamethasone and betamethasone).
  • The maximal activity of the adrenal cortex is between 2 am and 8 am, and it is minimal between 4 pm and midnight. Exogenous corticosteroids suppress adrenocortical activity the least, when given at the time of maximal activity (am).
  • In using ADT it is important, as in all therapeutic situations to individualize and tailor the therapy to each patient. Complete control of symptoms will not be possible in all patients. An explanation of the benefits of ADT will help the patient to understand and tolerate the possible flare-up in symptoms which may occur in the latter part of the off-steroid day. Other symptomatic therapy may be added or increased at this time if needed.
  • In the event of an acute flare-up of the disease process, it may be necessary to return to a full suppressive daily divided corticoid dose for control. Once control is again established alternate day therapy may be re-instituted.
  • Although many of the undesirable features of corticosteroid therapy can be minimized by ADT, as in any therapeutic situation, the physician must carefully weigh the benefit-risk ratio for each patient in whom corticoid therapy is being considered.
Actions

Naturally occurring glucocorticoids (hydrocortisone and cortisone), which also have salt-retaining properties, are used as replacement therapy in adrenocortical deficiency states. Their synthetic analogs are primarily used for their potent anti-inflammatory effects in disorders of many organ systems.

Glucocorticoids cause profound and varied metabolic effects. In addition, they modify the body's immune responses to diverse stimuli.

Warnings

In patients on corticosteroid therapy subjected to unusual stress, increased dosage of rapidly acting corticosteroids before, during, and after the stressful situation is indicated.

Immunosuppression and Increased Risk of Infection

Corticosteroids, including prednisone, suppress the immune system and increase the risk of infection with any pathogen, including viral, bacterial, fungal, protozoan, or helminthic pathogens. Corticosteroids can:

  • Reduce resistance to new infections
  • Exacerbate existing infections
  • Increase the risk of disseminated infections
  • Increase the risk of reactivation or exacerbation of latent infections
  • Mask some signs of infection

Corticosteroid-associated infections can be mild but can be severe and at times fatal. The rate of infectious complications increases with increasing corticosteroid dosages.

Monitor for the development of infection and consider prednisone withdrawal or dosage reduction as needed.

Tuberculosis

If prednisone is used to treat a condition in patients with latent tuberculosis or tuberculin reactivity, reactivation of tuberculosis may occur. Closely monitor such patients for reactivation. During prolonged prednisone therapy, patients with latent tuberculosis or tuberculin reactivity should receive chemoprophylaxis.

Varicella Zoster and Measles Viral Infections

Varicella and measles can have a serious or even fatal course in non-immune patients taking corticosteroids, including prednisone. In corticosteroid-treated patients who have not had these diseases or are non-immune, particular care should be taken to avoid exposure to varicella and measles:

  • If a prednisone-treated patient is exposed to varicella, prophylaxis with varicella zoster immune globulin may be indicated. If varicella develops, treatment with antiviral agents may be considered.
  • If a prednisone-treated patient is exposed to measles, prophylaxis with immunoglobulin may be indicated.

Hepatitis B Virus Reactivation

Hepatitis B virus reactivation can occur in patients who are hepatitis B carriers treated with immunosuppressive dosages of corticosteroids, including prednisone. Reactivation can also occur infrequently in corticosteroid-treated patients who appear to have resolved hepatitis B infection.

Screen patients for hepatitis B infection before initiating immunosuppressive (e.g., prolonged) treatment with prednisone. For patients who show evidence of hepatitis B infection, recommend consultation with physicians with expertise in managing hepatitis B regarding monitoring and consideration for hepatitis B antiviral therapy.

Fungal Infections

Corticosteroids, including prednisone, may exacerbate systemic fungal infections; therefore, avoid prednisone use in the presence of such infections unless prednisone is needed to control drug reactions. For patients on chronic prednisone therapy who develop systemic fungal infections, prednisone withdrawal or dosage reduction is recommended.

Amebiasis

Corticosteroids, including prednisone, may activate latent amebiasis. Therefore, it is recommended that latent amebiasis or active amebiasis be ruled out before initiating prednisone in patients who have spent time in the tropics or patients with unexplained diarrhea.

Strongyloides Infestation

Corticosteroids, including prednisone, should be used with great care in patients with known or suspected Strongyloides (threadworm) infestation. In such patients, corticosteroid-induced immunosuppression may lead to Strongyloides hyperinfection and dissemination with widespread larval migration, often accompanied by severe enterocolitis and potentially fatal gram-negative septicemia.

Cerebral Malaria

Avoid corticosteroids, including prednisone, in patients with cerebral malaria.

Kaposi’s Sarcoma

Kaposi’s sarcoma has been reported to occur in patients receiving corticosteroid therapy, most often for chronic conditions. Discontinuation of corticosteroids may result in clinical improvement of Kaposi’s sarcoma.

Usage in pregnancy

Since adequate human reproduction studies have not been done with corticosteroids, the use of these drugs in pregnancy, nursing mothers or women of child-bearing potential requires that the possible benefits of the drug be weighed against the potential hazards to the mother and embryo or fetus. Infants born of mothers who have received substantial doses of corticosteroids during pregnancy, should be carefully observed for signs of hypoadrenalism.

Average and large doses of hydrocortisone or cortisone can cause elevation of blood pressure, salt and water retention, and increased excretion of potassium. These effects are less likely to occur with the synthetic derivatives except when used in large doses. Dietary salt restriction and potassium supplementation may be necessary. All corticosteroids increase calcium excretion.

While on corticosteroid therapy patients should not be vaccinated against smallpox. Other immunization procedures should not be undertaken in patients who are on corticosteroids, especially on high dose, because of possible hazards of neurological complications and a lack of antibody response.

Prolonged use of corticosteroids may produce posterior subcapsular cataracts, glaucoma with possible damage to the optic nerves, and may enhance the establishment of secondary ocular infections due to fungi or viruses.

Endocrine

Menstrual irregularities

Development of Cushingoid state

Secondary adrenocortical and pituitary unresponsiveness, particularly in times of stress, as in trauma, surgery or illness

Suppression of growth in children

Decreased carbohydrate tolerance

Manifestations of latent diabetes mellitus

Increased requirements for insulin or oral hypoglycemic agents in diabetics

Metabolic

Negative nitrogen balance due to protein catabolism

Ophthalmic

Posterior subcapsular cataracts

Increased intraocular pressure

Glaucoma

Exophthalmos

Indications

Prednisone tablets and solutions are indicated in the following conditions:

Dermatologic

Impaired wound healing

Thin fragile skin

Petechiae and ecchymoses

Facial erythema

Increased sweating

May suppress reactions to skin tests

Neurological

Increased intracranial pressure with papilledema (pseudotumor cerebri) usually after treatment

Convulsions

Vertigo

Headache

Musculoskeletal

Muscle weakness

Steroid myopathy

Loss of muscle mass

Osteoporosis

Tendon rupture, particularly of the Achilles tendon

Vertebral compression fractures

Aseptic necrosis of femoral and humeral heads

Pathologic fracture of long bones

Gastrointestinal

Peptic ulcer with possible perforation and hemorrhage

Pancreatitis

Abdominal distention

Ulcerative esophagitis

13. Miscellaneous

Tuberculous meningitis with subarachnoid block or impending block when used concurrently with appropriate antituberculous chemotherapy

Trichinosis with neurologic or myocardial involvement

12. Nervous System

Acute exacerbations of multiple sclerosis

5. Allergic States

Control of severe or incapacitating allergic conditions intractable to adequate trials of conventional treatment:

Seasonal or perennial allergic rhinitis

Bronchial asthma

Contact dermatitis

Atopic dermatitis

Serum sickness

Drug hypersensitivity reactions

Multiple Sclerosis

In the treatment of acute exacerbations of multiple sclerosis daily doses of 200 mg of prednisolone for a week followed by 80 mg every other day for 1 month have been shown to be effective. (Dosage range is the same for prednisone and prednisolone.)

General Precautions

Drug-induced secondary adrenocortical insufficiency may be minimized by gradual reduction of dosage. This type of relative insufficiency may persist for months after discontinuation of therapy; therefore, in any situation of stress occurring during that period, hormone therapy should be reinstituted. Since mineralocorticoid secretion may be impaired, salt and/or a mineralocorticoid should be administered concurrently.

There is an enhanced effect of corticosteroids on patients with hypothyroidism and in those with cirrhosis.

Corticosteroids should be used cautiously in patients with ocular herpes simplex because of possible corneal perforation.

The lowest possible dose of corticosteroid should be used to control the condition under treatment, and when reduction in dosage is possible, the reduction should be gradual.

Psychic derangements may appear when corticosteroids are used, ranging from euphoria, insomnia, mood swings, personality changes, and severe depression, to frank psychotic manifestations. Also, existing emotional instability or psychotic tendencies may be aggravated by corticosteroids.

Aspirin should be used cautiously in conjunction with corticosteroids in hypoprothrombinemia.

Steroids should be used with caution in nonspecific ulcerative colitis, if there is a probability of impending perforation, abscess or other pyogenic infection; diverticulitis; fresh intestinal anastomoses; active or latent peptic ulcer; renal insufficiency; hypertension; osteoporosis; and myasthenia gravis.

Growth and development of infants and children on prolonged corticosteroid therapy should be carefully observed.

Although controlled clinical trials have shown corticosteroids to be effective in speeding the resolution of acute exacerbations of multiple sclerosis, they do not show that corticosteroids affect the ultimate outcome or natural history of the disease. The studies do show that relatively high doses of corticosteroids are necessary to demonstrate a significant effect (see DOSAGE AND ADMINISTRATION).

Since complications of treatment with glucocorticoids are dependent on the size of the dose and the duration of treatment, a risk/benefit decision must be made in each individual case as to dose and duration of treatment and as to whether daily or intermittent therapy should be used.

Convulsions have been reported with concurrent use of methylprednisolone and cyclosporin. Since concurrent use of these agents results in a mutual inhibition of metabolism, it is possible that adverse events associated with the individual use of either drug may be more apt to occur.

10. Edematous States

To induce a diuresis or remission of proteinuria in the nephrotic syndrome, without uremia, of the idiopathic type or that due to lupus erythematosus.

3. Collagen Diseases

During an exacerbation or as maintenance therapy in selected cases of:

Systemic lupus erythematosus

Systemic dermatomyositis (polymyositis)

Acute rheumatic carditis

Additional Reactions

Urticaria and other allergic, anaphylactic or hypersensitivity reactions

1. Endocrine Disorders

Primary or secondary adrenocortical insufficiency (hydrocortisone or cortisone is the first choice; synthetic analogs may be used in conjunction with mineralocorticoids where applicable; in infancy mineralocorticoid supplementation is of particular importance)

Congenital adrenal hyperplasia

Hypercalcemia associated with cancer

Nonsuppurative thyroiditis

2. Rheumatic Disorders

As adjunctive therapy for short-term administration (to tide the patient over an acute episode or exacerbation) in:

Psoriatic arthritis

Rheumatoid arthritis, including juvenile rheumatoid arthritis (selected cases may require low-dose maintenance therapy)

Ankylosing spondylitis

Acute and subacute bursitis

Acute nonspecific tenosynovitis

Acute gouty arthritis

Post-traumatic osteoarthritis

Synovitis of osteoarthritis

Epicondylitis

6. Ophthalmic Diseases

Severe acute and chronic allergic and inflammatory processes involving the eye and its adnexa such as:

Allergic corneal marginal ulcers

Herpes zoster ophthalmicus

Anterior segment inflammation

Diffuse posterior uveitis and choroiditis

Sympathetic ophthalmia

Allergic conjunctivitis

Keratitis

Chorioretinitis

Optic neuritis

Iritis and iridocyclitis

9. Neoplastic Diseases

For palliative management of:

Leukemias and lymphomas in adults

Acute leukemia of childhood

7. Respiratory Diseases

Symptomatic sarcoidosis

Loeffler’s syndrome not manageable by other means

Berylliosis

Fulminating or disseminated pulmonary tuberculosis when used concurrently with appropriate antituberculous chemotherapy

Aspiration pneumonitis

Principal Display Panel

NDC: 51655-701-53

4. Dermatologic Diseases

Pemphigus

Bullous dermatitis herpetiformis

Severe erythema multiforme (Stevens-Johnson syndrome)

Exfoliative dermatitis

Mycosis fungoides

Severe psoriasis

Severe seborrheic dermatitis

8. Hematologic Disorders

Idiopathic thrombocytopenic purpura in adults

Secondary thrombocytopenia in adults

Acquired (autoimmune) hemolytic anemia

Erythroblastopenia (RBC anemia)

Congenital (erythroid) hypoplastic anemia

11. Gastrointestinal Diseases

To tide the patient over a critical period of the disease in:

Ulcerative colitis

Regional enteritis

Fluid and Electrolyte Disturbances

Sodium retention

Fluid retention

Congestive heart failure in susceptible patients

Potassium loss

Hypokalemic alkalosis

Hypertension


Structured Label Content

Adt ® (ADT ®)

ADT is a corticosteroid dosing regimen in which twice the usual daily dose of corticoid is administered every other morning. The purpose of this mode of therapy is to provide the patient requiring long-term pharmacologic dose treatment with the beneficial effects of corticoids while minimizing certain undesirable effects, including pituitary-adrenal suppression, the Cushingoid state, corticoid withdrawal symptoms, and growth suppression in children.

The rationale for this treatment schedule is based on two major premises: (a) the anti-inflammatory or therapeutic effect of corticoids persists longer than their physical presence and metabolic effects and (b) administration of the corticosteroid every other morning allows for re-establishment of more nearly normal hypothalamic-pituitary- adrenal (HPA) activity on the off-steroid day.

A brief review of the HPA physiology may be helpful in understanding this rationale. Acting primarily through the hypothalamus a fall in free cortisol stimulates the pituitary gland to produce increasing amounts of corticotropin (ACTH) while a rise in free cortisol inhibits ACTH secretion. Normally the HPA system is characterized by diurnal (circadian) rhythm. Serum levels of ACTH rise from a low point about 10 pm to a peak level about 6 am. Increasing levels of ACTH stimulate adrenocortical activity resulting in a rise in plasma cortisol with maximal levels occurring between 2 am and 8 am. This rise in cortisol dampens ACTH production and in turn adrenocortical activity. There is a gradual fall in plasma corticoids during the day with lowest levels occurring about midnight.

The diurnal rhythm of the HPA axis is lost in Cushing’s disease, a syndrome of adrenocortical hyperfunction characterized by obesity with centripetal fat distribution, thinning of the skin with easy bruisability, muscle wasting with weakness, hypertension, latent diabetes, osteoporosis, electrolyte imbalance, etc. The same clinical findings of hyperadrenocorticism may be noted during long-term pharmacologic dose corticoid therapy administered in conventional daily divided doses. It would appear, then, that a disturbance in the diurnal cycle with maintenance of elevated corticoid values during the night may play a significant role in the development of undesirable corticoid effects. Escape from these constantly elevated plasma levels for even short periods of time may be instrumental in protecting against undesirable pharmacologic effects.

During conventional pharmacologic dose corticosteroid therapy, ACTH production is inhibited with subsequent suppression of cortisol production by the adrenal cortex. Recovery time for normal HPA activity is variable depending upon the dose and duration of treatment. During this time the patient is vulnerable to any stressful situation. Although it has been shown that there is considerably less adrenal suppression following a single morning dose of prednisolone (10 mg) as opposed to a quarter of that dose administered every 6 hours, there is evidence that some suppressive effect on adrenal activity may be carried over into the following day when pharmacologic doses are used. Further, it has been shown that a single dose of certain corticosteroids will produce adrenocortical suppression for two or more days. Other corticoids, including methylprednisolone, hydrocortisone, prednisone, and prednisolone, are considered to be short acting (producing adrenocortical suppression for 1¼ to 1½ days following a single dose) and thus are recommended for alternate day therapy.

The following should be kept in mind when considering alternate day therapy:

  • Basic principles and indications for corticosteroid therapy should apply. The benefits of ADT should not encourage the indiscriminate use of steroids.
  • ADT is a therapeutic technique primarily designed for patients in whom long-term pharmacologic corticoid therapy is anticipated.
  • In less severe disease processes in which corticoid therapy is indicated, it may be possible to initiate treatment with ADT. More severe disease states usually will require daily divided high dose therapy for initial control of the disease process. The initial suppressive dose level should be continued until satisfactory clinical response is obtained, usually four to ten days in the case of many allergic and collagen diseases. It is important to keep the period of initial suppressive dose as brief as possible particularly when subsequent use of alternate day therapy is intended.
  • Once control has been established, two courses are available: (a) change to ADT and then gradually reduce the amount of corticoid given every other day or (b) following control of the disease process reduce the daily dose of corticoid to the lowest effective level as rapidly as possible and then change over to an alternate day schedule. Theoretically, course (a) may be preferable.
  • Because of the advantages of ADT, it may be desirable to try patients on this form of therapy who have been on daily corticoids for long periods of time (e.g., patients with rheumatoid arthritis). Since these patients may already have a suppressed HPA axis, establishing them on ADT may be difficult and not always successful. However, it is recommended that regular attempts be made to change them over. It may be helpful to triple or even quadruple the daily maintenance dose and administer this every other day rather than just doubling the daily dose if difficulty is encountered. Once the patient is again controlled, an attempt should be made to reduce this dose to a minimum.
  • As indicated above, certain corticosteroids, because of their prolonged suppressive effect on adrenal activity, are not recommended for alternate day therapy (e.g., dexamethasone and betamethasone).
  • The maximal activity of the adrenal cortex is between 2 am and 8 am, and it is minimal between 4 pm and midnight. Exogenous corticosteroids suppress adrenocortical activity the least, when given at the time of maximal activity (am).
  • In using ADT it is important, as in all therapeutic situations to individualize and tailor the therapy to each patient. Complete control of symptoms will not be possible in all patients. An explanation of the benefits of ADT will help the patient to understand and tolerate the possible flare-up in symptoms which may occur in the latter part of the off-steroid day. Other symptomatic therapy may be added or increased at this time if needed.
  • In the event of an acute flare-up of the disease process, it may be necessary to return to a full suppressive daily divided corticoid dose for control. Once control is again established alternate day therapy may be re-instituted.
  • Although many of the undesirable features of corticosteroid therapy can be minimized by ADT, as in any therapeutic situation, the physician must carefully weigh the benefit-risk ratio for each patient in whom corticoid therapy is being considered.
Actions (ACTIONS)

Naturally occurring glucocorticoids (hydrocortisone and cortisone), which also have salt-retaining properties, are used as replacement therapy in adrenocortical deficiency states. Their synthetic analogs are primarily used for their potent anti-inflammatory effects in disorders of many organ systems.

Glucocorticoids cause profound and varied metabolic effects. In addition, they modify the body's immune responses to diverse stimuli.

Warnings (WARNINGS)

In patients on corticosteroid therapy subjected to unusual stress, increased dosage of rapidly acting corticosteroids before, during, and after the stressful situation is indicated.

Immunosuppression and Increased Risk of Infection

Corticosteroids, including prednisone, suppress the immune system and increase the risk of infection with any pathogen, including viral, bacterial, fungal, protozoan, or helminthic pathogens. Corticosteroids can:

  • Reduce resistance to new infections
  • Exacerbate existing infections
  • Increase the risk of disseminated infections
  • Increase the risk of reactivation or exacerbation of latent infections
  • Mask some signs of infection

Corticosteroid-associated infections can be mild but can be severe and at times fatal. The rate of infectious complications increases with increasing corticosteroid dosages.

Monitor for the development of infection and consider prednisone withdrawal or dosage reduction as needed.

Tuberculosis

If prednisone is used to treat a condition in patients with latent tuberculosis or tuberculin reactivity, reactivation of tuberculosis may occur. Closely monitor such patients for reactivation. During prolonged prednisone therapy, patients with latent tuberculosis or tuberculin reactivity should receive chemoprophylaxis.

Varicella Zoster and Measles Viral Infections

Varicella and measles can have a serious or even fatal course in non-immune patients taking corticosteroids, including prednisone. In corticosteroid-treated patients who have not had these diseases or are non-immune, particular care should be taken to avoid exposure to varicella and measles:

  • If a prednisone-treated patient is exposed to varicella, prophylaxis with varicella zoster immune globulin may be indicated. If varicella develops, treatment with antiviral agents may be considered.
  • If a prednisone-treated patient is exposed to measles, prophylaxis with immunoglobulin may be indicated.

Hepatitis B Virus Reactivation

Hepatitis B virus reactivation can occur in patients who are hepatitis B carriers treated with immunosuppressive dosages of corticosteroids, including prednisone. Reactivation can also occur infrequently in corticosteroid-treated patients who appear to have resolved hepatitis B infection.

Screen patients for hepatitis B infection before initiating immunosuppressive (e.g., prolonged) treatment with prednisone. For patients who show evidence of hepatitis B infection, recommend consultation with physicians with expertise in managing hepatitis B regarding monitoring and consideration for hepatitis B antiviral therapy.

Fungal Infections

Corticosteroids, including prednisone, may exacerbate systemic fungal infections; therefore, avoid prednisone use in the presence of such infections unless prednisone is needed to control drug reactions. For patients on chronic prednisone therapy who develop systemic fungal infections, prednisone withdrawal or dosage reduction is recommended.

Amebiasis

Corticosteroids, including prednisone, may activate latent amebiasis. Therefore, it is recommended that latent amebiasis or active amebiasis be ruled out before initiating prednisone in patients who have spent time in the tropics or patients with unexplained diarrhea.

Strongyloides Infestation

Corticosteroids, including prednisone, should be used with great care in patients with known or suspected Strongyloides (threadworm) infestation. In such patients, corticosteroid-induced immunosuppression may lead to Strongyloides hyperinfection and dissemination with widespread larval migration, often accompanied by severe enterocolitis and potentially fatal gram-negative septicemia.

Cerebral Malaria

Avoid corticosteroids, including prednisone, in patients with cerebral malaria.

Kaposi’s Sarcoma

Kaposi’s sarcoma has been reported to occur in patients receiving corticosteroid therapy, most often for chronic conditions. Discontinuation of corticosteroids may result in clinical improvement of Kaposi’s sarcoma.

Usage in pregnancy

Since adequate human reproduction studies have not been done with corticosteroids, the use of these drugs in pregnancy, nursing mothers or women of child-bearing potential requires that the possible benefits of the drug be weighed against the potential hazards to the mother and embryo or fetus. Infants born of mothers who have received substantial doses of corticosteroids during pregnancy, should be carefully observed for signs of hypoadrenalism.

Average and large doses of hydrocortisone or cortisone can cause elevation of blood pressure, salt and water retention, and increased excretion of potassium. These effects are less likely to occur with the synthetic derivatives except when used in large doses. Dietary salt restriction and potassium supplementation may be necessary. All corticosteroids increase calcium excretion.

While on corticosteroid therapy patients should not be vaccinated against smallpox. Other immunization procedures should not be undertaken in patients who are on corticosteroids, especially on high dose, because of possible hazards of neurological complications and a lack of antibody response.

Prolonged use of corticosteroids may produce posterior subcapsular cataracts, glaucoma with possible damage to the optic nerves, and may enhance the establishment of secondary ocular infections due to fungi or viruses.

Endocrine

Menstrual irregularities

Development of Cushingoid state

Secondary adrenocortical and pituitary unresponsiveness, particularly in times of stress, as in trauma, surgery or illness

Suppression of growth in children

Decreased carbohydrate tolerance

Manifestations of latent diabetes mellitus

Increased requirements for insulin or oral hypoglycemic agents in diabetics

Metabolic

Negative nitrogen balance due to protein catabolism

Ophthalmic

Posterior subcapsular cataracts

Increased intraocular pressure

Glaucoma

Exophthalmos

Description (DESCRIPTION)

Prednisone is a glucocorticoid. Glucocorticoids are adrenocortical steroids, both naturally occurring and synthetic, which are readily absorbed from the gastrointestinal tract. Prednisone, USP is a white to partially white, crystalline powder. It is very slightly soluble in water; slightly soluble in alcohol, chloroform, dioxane, and methanol.

The chemical name for prednisone is 17,21-dihydroxypregna-1,4-dienne-3,11,20-trione. The structural formula is represented below:

  • C 21H 26O 5                         M.W. 358.44

Each tablet, for oral administration, contains 1, 2.5, 5, 10, 20, or 50 mg of prednisone. PredniSONE Oral Solution contains 5 mg prednisone per 5 mL, and PredniSONE Intensol TM Oral Solution (Concentrate) contains 5 mg prednisone per mL.

Inactive Ingredients:

PredniSONE Tablets, USP contain the following inactive ingredients: lactose monohydrate, magnesium stearate, microcrystalline cellulose, pregelatinized starch, sodium starch glycolate and stearic acid (1 mg, 2.5 mg, and 5 mg only).

PredniSONE Oral Solution, USP contains alcohol 5% and the following inactive ingredients: anhydrous citric acid, edetate disodium, fructose, hydrochloric acid, maltol, peppermint oil, polysorbate 80, propylene glycol, saccharin sodium, sodium benzoate, vanilla flavor and purified water.

PredniSONE Intensol™Oral Solution (Concentrate) contains alcohol 30% and the following inactive ingredients: anhydrous citric acid, poloxamer 188, propylene glycol and purified water.

Indications (INDICATIONS)

Prednisone tablets and solutions are indicated in the following conditions:

Dermatologic

Impaired wound healing

Thin fragile skin

Petechiae and ecchymoses

Facial erythema

Increased sweating

May suppress reactions to skin tests

How Supplied (HOW SUPPLIED)

PredniSONE Tablets, USP

20 mg – White to off-white, round, biconvex tablet; scored on one side and product identification “54 [above] 760” debossed on the other side.

NDC 51655-701-53: Bottle of 10 Tablets

NDC 51655-701-18: Bottle of 18 Tablets

NDC 51655-701-20: Bottle of 20 Tablets

Store at 20° to 25°C (68° to 77°F). [See USP Controlled Room Temperature.]

Dispense in a tight, child-resistant container as defined in the USP/NF.

PROTECT FROM MOISTURE.



Distributed by:

Hikma Pharmaceuticals USA Inc.

Berkeley Heights, NJ 07922



C50000278/04

Revised February 2024

Neurological

Increased intracranial pressure with papilledema (pseudotumor cerebri) usually after treatment

Convulsions

Vertigo

Headache

Musculoskeletal

Muscle weakness

Steroid myopathy

Loss of muscle mass

Osteoporosis

Tendon rupture, particularly of the Achilles tendon

Vertebral compression fractures

Aseptic necrosis of femoral and humeral heads

Pathologic fracture of long bones

Gastrointestinal

Peptic ulcer with possible perforation and hemorrhage

Pancreatitis

Abdominal distention

Ulcerative esophagitis

13. Miscellaneous

Tuberculous meningitis with subarachnoid block or impending block when used concurrently with appropriate antituberculous chemotherapy

Trichinosis with neurologic or myocardial involvement

Contraindications (CONTRAINDICATIONS)

Systemic fungal infections and known hypersensitivity to components.

12. Nervous System

Acute exacerbations of multiple sclerosis

5. Allergic States

Control of severe or incapacitating allergic conditions intractable to adequate trials of conventional treatment:

Seasonal or perennial allergic rhinitis

Bronchial asthma

Contact dermatitis

Atopic dermatitis

Serum sickness

Drug hypersensitivity reactions

Multiple Sclerosis

In the treatment of acute exacerbations of multiple sclerosis daily doses of 200 mg of prednisolone for a week followed by 80 mg every other day for 1 month have been shown to be effective. (Dosage range is the same for prednisone and prednisolone.)

General Precautions

Drug-induced secondary adrenocortical insufficiency may be minimized by gradual reduction of dosage. This type of relative insufficiency may persist for months after discontinuation of therapy; therefore, in any situation of stress occurring during that period, hormone therapy should be reinstituted. Since mineralocorticoid secretion may be impaired, salt and/or a mineralocorticoid should be administered concurrently.

There is an enhanced effect of corticosteroids on patients with hypothyroidism and in those with cirrhosis.

Corticosteroids should be used cautiously in patients with ocular herpes simplex because of possible corneal perforation.

The lowest possible dose of corticosteroid should be used to control the condition under treatment, and when reduction in dosage is possible, the reduction should be gradual.

Psychic derangements may appear when corticosteroids are used, ranging from euphoria, insomnia, mood swings, personality changes, and severe depression, to frank psychotic manifestations. Also, existing emotional instability or psychotic tendencies may be aggravated by corticosteroids.

Aspirin should be used cautiously in conjunction with corticosteroids in hypoprothrombinemia.

Steroids should be used with caution in nonspecific ulcerative colitis, if there is a probability of impending perforation, abscess or other pyogenic infection; diverticulitis; fresh intestinal anastomoses; active or latent peptic ulcer; renal insufficiency; hypertension; osteoporosis; and myasthenia gravis.

Growth and development of infants and children on prolonged corticosteroid therapy should be carefully observed.

Although controlled clinical trials have shown corticosteroids to be effective in speeding the resolution of acute exacerbations of multiple sclerosis, they do not show that corticosteroids affect the ultimate outcome or natural history of the disease. The studies do show that relatively high doses of corticosteroids are necessary to demonstrate a significant effect (see DOSAGE AND ADMINISTRATION).

Since complications of treatment with glucocorticoids are dependent on the size of the dose and the duration of treatment, a risk/benefit decision must be made in each individual case as to dose and duration of treatment and as to whether daily or intermittent therapy should be used.

Convulsions have been reported with concurrent use of methylprednisolone and cyclosporin. Since concurrent use of these agents results in a mutual inhibition of metabolism, it is possible that adverse events associated with the individual use of either drug may be more apt to occur.

10. Edematous States

To induce a diuresis or remission of proteinuria in the nephrotic syndrome, without uremia, of the idiopathic type or that due to lupus erythematosus.

3. Collagen Diseases

During an exacerbation or as maintenance therapy in selected cases of:

Systemic lupus erythematosus

Systemic dermatomyositis (polymyositis)

Acute rheumatic carditis

Additional Reactions

Urticaria and other allergic, anaphylactic or hypersensitivity reactions

1. Endocrine Disorders

Primary or secondary adrenocortical insufficiency (hydrocortisone or cortisone is the first choice; synthetic analogs may be used in conjunction with mineralocorticoids where applicable; in infancy mineralocorticoid supplementation is of particular importance)

Congenital adrenal hyperplasia

Hypercalcemia associated with cancer

Nonsuppurative thyroiditis

2. Rheumatic Disorders

As adjunctive therapy for short-term administration (to tide the patient over an acute episode or exacerbation) in:

Psoriatic arthritis

Rheumatoid arthritis, including juvenile rheumatoid arthritis (selected cases may require low-dose maintenance therapy)

Ankylosing spondylitis

Acute and subacute bursitis

Acute nonspecific tenosynovitis

Acute gouty arthritis

Post-traumatic osteoarthritis

Synovitis of osteoarthritis

Epicondylitis

6. Ophthalmic Diseases

Severe acute and chronic allergic and inflammatory processes involving the eye and its adnexa such as:

Allergic corneal marginal ulcers

Herpes zoster ophthalmicus

Anterior segment inflammation

Diffuse posterior uveitis and choroiditis

Sympathetic ophthalmia

Allergic conjunctivitis

Keratitis

Chorioretinitis

Optic neuritis

Iritis and iridocyclitis

9. Neoplastic Diseases

For palliative management of:

Leukemias and lymphomas in adults

Acute leukemia of childhood

7. Respiratory Diseases

Symptomatic sarcoidosis

Loeffler’s syndrome not manageable by other means

Berylliosis

Fulminating or disseminated pulmonary tuberculosis when used concurrently with appropriate antituberculous chemotherapy

Aspiration pneumonitis

Principal Display Panel

NDC: 51655-701-53

4. Dermatologic Diseases

Pemphigus

Bullous dermatitis herpetiformis

Severe erythema multiforme (Stevens-Johnson syndrome)

Exfoliative dermatitis

Mycosis fungoides

Severe psoriasis

Severe seborrheic dermatitis

8. Hematologic Disorders

Idiopathic thrombocytopenic purpura in adults

Secondary thrombocytopenia in adults

Acquired (autoimmune) hemolytic anemia

Erythroblastopenia (RBC anemia)

Congenital (erythroid) hypoplastic anemia

Dosage and Administration (DOSAGE AND ADMINISTRATION)

The initial dosage of prednisone may vary from 5 mg to 60 mg of prednisone per day depending on the specific disease entity being treated. In situations of less severity lower doses will generally suffice while in selected patients higher initial doses may be required. The initial dosage should be maintained or adjusted until a satisfactory response is noted. If after a reasonable period of time there is a lack of satisfactory clinical response, prednisone should be discontinued and the patient transferred to other appropriate therapy. IT SHOULD BE EMPHASIZED THAT DOSAGE REQUIREMENTS ARE VARIABLE AND MUST BE INDIVIDUALIZED ON THE BASIS OF THE DISEASE UNDER TREATMENT AND THE RESPONSE OF THE PATIENT.After a favorable response is noted, the proper maintenance dosage should be determined by decreasing the initial drug dosage in small decrements at appropriate time intervals until the lowest dosage which will maintain an adequate clinical response is reached. It should be kept in mind that constant monitoring is needed in regard to drug dosage. Included in the situations which may make dosage adjustments necessary are changes in clinical status secondary to remissions or exacerbations in the disease process, the patient’s individual drug responsiveness, and the effect of patient exposure to stressful situations not directly related to the disease entity under treatment; in this latter situation it may be necessary to increase the dosage of prednisone for a period of time consistent with the patient’s condition. If after long-term therapy the drug is to be stopped, it is recommended that it be withdrawn gradually rather than abruptly.

11. Gastrointestinal Diseases

To tide the patient over a critical period of the disease in:

Ulcerative colitis

Regional enteritis

Fluid and Electrolyte Disturbances

Sodium retention

Fluid retention

Congestive heart failure in susceptible patients

Potassium loss

Hypokalemic alkalosis

Hypertension


Advanced Ingredient Data


Raw Label Data

All Sections (JSON)