hydrocodone bitartrate and acetaminophen tablets, usp   cii 

hydrocodone bitartrate and acetaminophen tablets, usp   cii 
SPL v105
SPL
SPL Set ID c9f7f4c1-c4e2-4f9b-bb02-72fb35eb4325
Route
oral
Published
Effective Date 2025-03-20
Document Type 34391-3 HUMAN PRESCRIPTION DRUG LABEL

Drug Facts

Composition & Product

Active Ingredients
hydrocodone (5 mg) acetaminophen (325 mg)
Inactive Ingredients
croscarmellose sodium magnesium stearate microcrystalline cellulose silicon dioxide stearic acid

Identifiers & Packaging

Pill Appearance
Imprint: G;035 Shape: capsule Color: white Size: 16 mm Score: 2
Marketing Status
anda active Since 2014-10-06

Indications and Usage

Hydrocodone Bitartrate and Acetaminophen Tablets are indicated for the management of pain severe enough to require opioid analgesic and for which alternative treatments are inadequate. Limitations of Use Because of the risks of addiction, abuse, and misuse with opioids, which can occur at any dosage or duration [see  WARNINGS ] , reserve Hydrocodone Bitartrate and Acetaminophen Tablets for use in patients for whom alternative treatment options (e.g., non-opioid analgesics): Have not been tolerated, or are not expected to be tolerated, Have not provided adequate analgesia, or are not expected to provide adequate analgesia Hydrocodone Bitartrate and Acetaminophen Tablets should not be used for an extended period of time unless the pain remains severe enough to require an opioid analgesic and for which alternative treatment options continue to be inadequate.

Dosage and Administration

Important Dosage and Administration Instructions Hydrocodone Bitartrate and Acetaminophen Tablets should be prescribed only by healthcare professionals who are knowledgeable about the use of opioids and how to mitigate the associated risks. Use the lowest effective dosage for the shortest duration of time consistent with individual patient treatment goals [see WARNINGS ]. Because the risk of overdose increases as opioid doses increase, reserve titration to higher doses of Hydrocodone Bitartrate and Acetaminophen Tablets for patients in whom lower doses are insufficiently effective and in whom the expected benefits of using a higher dose opioid clearly outweigh the substantial risks. Many acute pain conditions (e.g., the pain that occurs with a number of surgical procedures or acute musculoskeletal injuries) require no more than a few days of an opioid analgesic. Clinical guidelines on opioid prescribing for some acute pain conditions are available. There is variability in the opioid analgesic dose and duration needed to adequately manage pain due both to the cause of pain and to individual patient factors. Initiate the dosing regimen for each patient individually, taking into account the patient’s underlying cause and severity of pain, prior analgesic treatment and response, and risk factors for addiction, abuse, and misuse [see WARNINGS ]. Respiratory depression can occur at any time during opioid therapy, especially when initiating and following dosage increases with Hydrocodone Bitartrate and Acetaminophen Tablets. Consider this risk when selecting an initial dose and when making dose adjustments [see WARNINGS ]. Patient Access to Naloxone for the Emergency Treatment of Opioid Overdose Discuss the availability of naloxone for the emergency treatment of opioid overdose with the patient and caregiver and assess the potential need for access to naloxone, both when initiating and renewing treatment with Hydrocodone Bitartrate and Acetaminophen Tablets [see WARNINGS, Life-Threatening Respiratory Depression ; PRECAUTIONS, Information for Patients/Caregivers ]. Inform patients and caregivers about the various ways to obtain naloxone as permitted by individual state naloxone dispensing and prescribing regulations (e.g., by prescription, directly from a pharmacist, or as part of a community-based program). Consider prescribing naloxone, based on the patient’s risk factors for overdose, such as concomitant use of CNS depressants, a history of opioid use disorder, or prior opioid overdose. The presence of risk factors for overdose should not prevent the proper management of pain in any given patient [see WARNINGS, Addiction, Abuse, and Misuse , Life-Threatening Respiratory Depression , Risks from Concomitant Use with Benzodiazepines or Other CNS Depressants ]. Consider prescribing naloxone when the patient has household members (including children) or other close contacts at risk for accidental ingestion or overdose. Initial Dosage Use of Hydrocodone Bitartrate and Acetaminophen Tablets as the First Opioid Analgesic 5 mg/325 mg Initiate treatment with Hydrocodone Bitartrate and Acetaminophen Tablets in a dosing range of 1 to 2 tablets every 4 to 6 hours as needed for pain, at the lowest dose necessary to achieve adequate analgesia. Titrate the dose based upon the individual patient’s response to their initial dose of Hydrocodone Bitartrate and Acetaminophen Tablets. The total daily dosage should not exceed 8 tablets. 7.5 mg/325 mg 10 mg/325 mg Initiate treatment with Hydrocodone Bitartrate and Acetaminophen Tablets with 1 tablet every 4 to 6 hours as needed for pain, at the lowest dose necessary to achieve adequate analgesia. Titrate the dose based upon the individual patient’s response to their initial dose of Hydrocodone Bitartrate and Acetaminophen Tablets. The total daily dosage should not exceed 6 tablets. Conversion from Other Opioids to Hydrocodone Bitartrate and Acetaminophen Tablets There is inter-patient variability in the potency of opioid drugs and opioid formulations. Therefore, a conservative approach is advised when determining the total daily dosage of Hydrocodone Bitartrate and Acetaminophen Tablets. It is safer to underestimate a patient’s 24-hour Hydrocodone Bitartrate and Acetaminophen Tablets dosage than to overestimate the 24-hour Hydrocodone Bitartrate and Acetaminophen Tablets dosage and manage an adverse reaction due to overdose. Conversion from Hydrocodone Bitartrate and Acetaminophen Tablets to Extended-Release Hydrocodone The relative bioavailability of Hydrocodone Bitartrate and Acetaminophen Tablets compared to extended-release hydrocodone is unknown, so conversion to extended-release hydrocodone may lead to increased risk of excessive sedation and respiratory depression. Titration and Maintenance of Therapy Individually titrate Hydrocodone Bitartrate and Acetaminophen Tablets to a dose that provides adequate analgesia and minimizes adverse reactions. Continually reevaluate patients receiving Hydrocodone Bitartrate and Acetaminophen Tablets to assess the maintenance of pain control, signs and symptoms of opioid withdrawal, and other adverse reactions, as well as to reassess for the development of addiction, abuse, or misuse [see WARNINGS ] . Frequent communication is important among the prescriber, other members of the healthcare team, the patient, and the caregiver/family during periods of changing analgesic requirements, including initial titration. If the level of pain increases after dosage stabilization, attempt to identify the source of increased pain before increasing the Hydrocodone Bitartrate and Acetaminophen Tablets dosage. If after increasing the dosage, unacceptable opioid-related adverse reactions are observed (including an increase in pain after dosage increase), consider reducing the dosage  [see WARNINGS ] . Adjust the dosage to obtain an appropriate balance between management of pain and opioid-related adverse reactions. Safe Reduction or Discontinuation of Hydrocodone Bitartrate and Acetaminophen Tablets Do not abruptly discontinue Hydrocodone Bitartrate and Acetaminophen Tablets in patients who may be physically dependent on opioids. Rapid discontinuation of opioid analgesics in patients who are physically dependent on opioids has resulted in serious withdrawal symptoms, uncontrolled pain, and suicide. Rapid discontinuation has also been associated with attempts to find other sources of opioid analgesics, which may be confused with drug-seeking for abuse. Patients may also attempt to treat their pain or withdrawal symptoms with illicit opioids, such as heroin, and other substances. When a decision has been made to decrease the dose or discontinue therapy in an opioid-dependent patient taking Hydrocodone Bitartrate and Acetaminophen Tablets, there are a variety of factors that should be considered, including the total daily dose of opioid (including Hydrocodone Bitartrate and Acetaminophen Tablets) the patient has been taking, the duration of treatment, the type of pain being treated, and the physical and psychological attributes of the patient. It is important to ensure ongoing care of the patient and to agree on an appropriate tapering schedule and follow-up plan so that patient and provider goals and expectations are clear and realistic. When opioid analgesics are being discontinued due to a suspected substance use disorder, evaluate and treat the patient, or refer for evaluation and treatment of the substance use disorder. Treatment should include evidence-based approaches, such as medication assisted treatment of opioid use disorder. Complex patients with co-morbid pain and substance use disorders may benefit from referral to a specialist. There are no standard opioid tapering schedules that are suitable for all patients. Good clinical practice dictates a patient-specific plan to taper the dose of the opioid gradually. For patients on Hydrocodone Bitartrate and Acetaminophen Tablets who are physically opioid-dependent, initiate the taper by a small enough increment (e.g., no greater than 10% to 25% of the total daily dose) to avoid withdrawal symptoms, and proceed with dose-lowering at an interval of every 2 to 4 weeks. Patients who have been taking opioids for briefer periods of time may tolerate a more rapid taper. It may be necessary to provide the patient with lower dosage strengths to accomplish a successful taper. Reassess the patient frequently to manage pain and withdrawal symptoms, should they emerge. Common withdrawal symptoms include restlessness, lacrimation, rhinorrhea, yawning, perspiration, chills, myalgia, and mydriasis. Other signs and symptoms also may develop, including irritability, anxiety, backache, joint pain, weakness, abdominal cramps, insomnia, nausea, anorexia, vomiting, diarrhea, or increased blood pressure, respiratory rate, or heart rate. If withdrawal symptoms arise, it may be necessary to pause the taper for a period of time or raise the dose of the opioid analgesic to the previous dose, and then proceed with a slower taper. In addition, evaluate patients for any changes in mood, emergence of suicidal thoughts, or use of other substances. When managing patients taking opioid analgesics, particularly those who have been treated for an extended period of time and/or with high doses for chronic pain, ensure that a multimodal approach to pain management, including mental health support (if needed), is in place prior to initiating an opioid analgesic taper. A multimodal approach to pain management may optimize the treatment of chronic pain, as well as assist with the successful tapering of the opioid analgesic [see WARNINGS; Withdrawal , DRUG ABUSE AND DEPENDENCE ].

Contraindications

Hydrocodone Bitartrate and Acetaminophen Tablets are contraindicated in patients with: Significant respiratory depression [see WARNINGS ] Acute or severe bronchial asthma in an unmonitored setting or in the absence of resuscitative equipment [see WARNINGS ] Known or suspected gastrointestinal obstruction, including paralytic ileus [see WARNINGS ] Hypersensitivity to hydrocodone or acetaminophen (e.g., anaphylaxis) [see WARNINGS , ADVERSE REACTIONS ]

Adverse Reactions

The following adverse reactions have been identified during post approval use of Hydrocodone and Acetaminophen Tablets. Because these reactions are reported voluntarily from a population of uncertain size, it is not always possible to reliably estimate their frequency or establish a causal relationship to drug exposure. The most frequently reported adverse reactions are light-headedness, dizziness, sedation, nausea and vomiting. Other adverse reactions include: Central Nervous System Drowsiness, mental clouding, lethargy, impairment of mental and physical performance, anxiety, fear, dysphoria, psychological dependence, mood changes. Gastrointestinal System Constipation. Genitourinary System Ureteral spasm, spasm of vesical sphincters, and urinary retention. Special Senses Cases of hearing impairment or permanent loss have been reported predominantly in patients with chronic overdose. Dermatological Skin rash, pruritus, Stevens-Johnson syndrome, toxic epidermal necrolysis, allergic reactions. Hematological Thrombocytopenia, agranulocytosis. Serotonin syndrome : Cases of serotonin syndrome, a potentially life-threatening condition, have been reported during concomitant use of opioids with serotonergic drugs. Adrenal insufficiency : Cases of adrenal insufficiency have been reported with opioid use, more often following greater than one month of use. Anaphylaxis : Anaphylaxis has been reported with ingredients contained in Hydrocodone Bitartrate and Acetaminophen Tablets. Androgen deficiency : Cases of androgen deficiency have occurred with use of opioids for an extended period of time.  [see CLINICAL PHARMACOLOGY ]. Hyperalgesia and Allodynia : Cases of hyperalgesia and allodynia have been reported with opioid therapy of any duration  [see WARNINGS ]. Hypoglycemia : Cases of hypoglycemia have been reported in patients taking opioids. Most reports were in patients with at least one predisposing risk factor (e.g., diabetes). To report SUSPECTED ADVERSE REACTIONS, contact Tris Pharma, Inc., at (732) 940-0358 or FDA at 1-800-FDA-1088 or www.fda.gov/medwatch

Drug Interactions

Inhibitors of CYP3A4 and CYP2D6 The concomitant use of Hydrocodone Bitartrate and Acetaminophen Tablets and CYP3A4 inhibitors, such as macrolide antibiotics (e.g., erythromycin), azole-antifungal agents (e.g. ketoconazole), and protease inhibitors (e.g., ritonavir), can increase the plasma concentration of the hydrocodone from Hydrocodone Bitartrate and Acetaminophen Tablets, resulting in increased or prolonged opioid effects. These effects could be more pronounced with concomitant use of Hydrocodone Bitartrate and Acetaminophen Tablets and both CYP3A4 and CYP2D6 inhibitors, particularly when an inhibitor is added after a stable dose of Hydrocodone Bitartrate and Acetaminophen Tablets are achieved [see WARNINGS ]. After stopping a CYP3A4 inhibitor, as the effects of the inhibitor decline, the hydrocodone plasma concentration will decrease [see CLINICAL PHARMACOLOGY ] , resulting in decreased opioid efficacy or a withdrawal syndrome in patients who had developed physical dependence to Hydrocodone Bitartrate and Acetaminophen Tablets. If concomitant use is necessary, consider dosage reduction of Hydrocodone Bitartrate and Acetaminophen Tablets until stable drug effects are achieved. Evaluate patients at frequent intervals for respiratory depression and sedation. If a CYP3A4 inhibitor is discontinued, consider increasing the Hydrocodone Bitartrate and Acetaminophen Tablets dosage until stable drug effects are achieved. Evaluate for signs of opioid withdrawal. Inducers of CYP3A4 The concomitant use of Hydrocodone Bitartrate and Acetaminophen Tablets and CYP3A4 inducers, such as rifampin, carbamazepine, and phenytoin, can decrease the plasma concentration of hydrocodone [see CLINICAL PHARMACOLOGY ] , resulting in decreased efficacy or onset of a withdrawal syndrome in patients who have developed physical dependence to hydrocodone [see WARNINGS ]. After stopping a CYP3A4 inducer, as the effects of the inducer decline, the hydrocodone plasma concentration will increase [see CLINICAL PHARMACOLOGY ] , which could increase or prolong both the therapeutic effects and adverse reactions, and may cause serious respiratory depression. If concomitant use is necessary, consider increasing the Hydrocodone Bitartrate and Acetaminophen Tablets dosage until stable drug effects are achieved.  Evaluate the patient for signs and symptoms of opioid withdrawal. If a CYP3A4 inducer is discontinued, consider Hydrocodone Bitartrate and Acetaminophen Tablets dosage reduction and evaluate patients at frequent intervals for signs of respiratory depression and sedation. Benzodiazepines and Other Central Nervous System (CNS) Depressants Due to additive pharmacologic effect, the concomitant use of benzodiazepines and other CNS depressants, such as benzodiazepines and other sedative hypnotics, anxiolytics, and tranquilizers, muscle relaxants, general anesthetics, antipsychotics, and other opioids, including alcohol, can increase the risk of hypotension, respiratory depression, profound sedation, coma, and death. Reserve concomitant prescribing of these drugs for use in patients for whom alternative treatment options are inadequate. Limit dosages and durations to the minimum required. Inform patients and caregivers of this potential interaction, educate them on the signs and symptoms of respiratory depression (including sedation). If concomitant use is warranted, consider prescribing naloxone for the emergency treatment of opioid overdose [see WARNINGS ]. Serotonergic Drugs The concomitant use of opioids with other drugs that affect the serotonergic neurotransmitter system, such as selective serotonin reuptake inhibitors (SSRIs), serotonin and norepinephrine reuptake inhibitors (SNRIs), tricyclic antidepressants (TCAs), triptans, 5-HT3 receptor antagonists, drugs that affect the serotonin neurotransmitter system (e.g., mirtazapine, trazodone, tramadol), certain muscle relaxants (i.e., cyclobenzaprine, metaxalone), monoamine oxidase (MAO) inhibitors (those intended to treat psychiatric disorders and also others, such as linezolid and intravenous methylene blue), has resulted in serotonin syndrome [see PRECAUTIONS; Information for Patients ]. If concomitant use is warranted, frequently evaluate the patient, particularly during treatment initiation and dose adjustment. Discontinue Hydrocodone Bitartrate and Acetaminophen Tablets immediately if serotonin syndrome is suspected. Monoamine Oxidase Inhibitors (MAOIs) The concomitant use of opioids and MAOIs, such as phenelzine, tranylcypromine, or linezolid, may manifest as serotonin syndrome, or opioid toxicity (e.g., respiratory depression, coma) [see WARNINGS ]. The use of Hydrocodone Bitartrate and Acetaminophen Tablets are not recommended for patients taking MAOIs or within 14 days of stopping such treatment. If urgent use of an opioid is necessary, use test doses and frequent titration of small doses to treat pain while closely monitoring blood pressure and signs and symptoms of CNS and respiratory depression. Mixed Agonist/Antagonist and Partial Agonist Opioid Analgesics The concomitant use of opioids with other opioid analgesics, such as butorphanol, nalbuphine, pentazocine, may reduce the analgesic effect of Hydrocodone Bitartrate and Acetaminophen Tablets and/or precipitate withdrawal symptoms. Advise patient to avoid concomitant use of these drugs. Muscle Relaxants Hydrocodone Bitartrate and Acetaminophen Tablets may enhance the neuromuscular blocking action of skeletal muscle relaxants and produce an increased degree of respiratory depression. Because respiratory depression may be greater than otherwise expected and decrease the dosage of Hydrocodone Bitartrate and Acetaminophen Tablets and/or the muscle relaxant as necessary. Due to the risk of respiratory depression with concomitant use of muscle relaxants and opioids, consider prescribing naloxone for the emergency treatment of opioid overdose [see WARNINGS ]. Diuretics Opioids can reduce the efficacy of diuretics by inducing the release of antidiuretic hormone. Evaluate patients for signs of diminished diuresis and/or effects on blood pressure and increase the dosage of the diuretic as needed. Anticholinergic Drugs The concomitant use of anticholinergic drugs may increase risk of urinary retention and/or severe constipation, which may lead to paralytic ileus. Evaluate patients for signs of urinary retention or reduced gastric motility when Hydrocodone Bitartrate and Acetaminophen Tablets are used concomitantly with anticholinergic drugs.

How Supplied

Each tablet contains 5 mg of hydrocodone bitartrate and 325 mg of acetaminophen. They are available as white capsule-shaped tablets, bisected on one side and debossed on the other side with G 035. NDC 63629-2293-1 Bottles of 500 Store at 25°C (77°F); excursions permitted to 15° to 30°C (59° to 86°F) [See USP Controlled Room Temperature]. STORE Hydrocodone Bitartrate and Acetaminophen Tablets securely and dispose of properly [see PRECAUTIONS/INFORMATION FOR PATIENTS]. PHARMACIST: Dispense in a tight, light-resistant container as defined in the USP with a child-resistant closure. Contains a Schedule II controlled drug substance. Repackaged/Relabeled by: Bryant Ranch Prepack, Inc. Burbank, CA 91504

Description

WARNING: SERIOUS AND LIFE-THREATENING RISKS FROM USE OF HYDROCODONE BITARTRATE AND ACETAMINOPHEN TABLETS Addiction, Abuse, and Misuse Because the use of Hydrocodone Bitartrate and Acetaminophen Tablets exposes patients and other users to the risks of opioid addiction, abuse, and misuse, which can lead to overdose and death, assess each patient’s risk prior to prescribing and reassess all patients regularly for the development of these behaviors and conditions [see WARNINGS ]. Life-Threatening Respiratory Depression Serious, life-threatening, or fatal respiratory depression may occur with use of Hydrocodone Bitartrate and Acetaminophen Tablets, especially during initiation or following a dose increase. To reduce the risk of respiratory depression, proper dosing and titration of Hydrocodone Bitartrate and Acetaminophen Tablets are essential [see WARNINGS ] . Accidental Ingestion Accidental ingestion of even one dose of Hydrocodone Bitartrate and Acetaminophen Tablets, especially by children, can result in a fatal overdose of hydrocodone [see WARNINGS ]. Risks From Concomitant Use With Benzodiazepines Or Other CNS Depressants Concomitant use of opioids with benzodiazepines or other central nervous system (CNS) depressants, including alcohol, may result in profound sedation, respiratory depression, coma, and death. Reserve concomitant prescribing of Hydrocodone Bitartrate and Acetaminophen Tablets and benzodiazepines or other CNS depressants for use in patients for whom alternative treatment options are inadequate [see WARNINGS , PRECAUTIONS; Drug Interactions ]. Neonatal Opioid Withdrawal Syndrome  (NOWS) If opioid use is required for an extended period of time in a pregnant woman, advise the patient of the risk of NOWS, which may be life-threatening if not recognized and treated. Ensure that management by neonatology experts will be available at delivery [see WARNINGS ]. Opioid Analgesic Risk Evaluation and Mitigation Strategy (REMS) Healthcare providers are strongly encouraged to complete a REMS-compliant education program and to counsel patients and caregivers on serious risks, safe use, and the importance of reading the Medication Guide with each prescription [see WARNINGS ]. Cytochrome P450 3A4 Interaction The concomitant use of Hydrocodone Bitartrate and Acetaminophen Tablets with all Cytochrome P450 3A4 inhibitors may result in an increase in hydrocodone plasma concentrations, which could increase or prolong adverse reactions and may cause potentially fatal respiratory depression. In addition, discontinuation of a concomitantly used Cytochrome P450 3A4 inducer may result in an increase in hydrocodone plasma concentrations. Monitor patients receiving Hydrocodone Bitartrate and Acetaminophen Tablets and any Cytochrome P450 3A4 inhibitor or inducer for signs of respiratory depression or sedation [see CLINICAL PHARMACOLOGY , WARNINGS , PRECAUTIONS; Drug Interactions ]. Hepatotoxicity Acetaminophen has been associated with cases of acute liver failure, at times resulting in liver transplant and death. Most of the cases of liver injury are associated with the use of acetaminophen at doses that exceed 4,000 milligrams per day, and often involve more than one acetaminophen-containing product [see WARNINGS ,  OVERDOSAGE ].


Medication Information

Recent Major Changes

WARNING: SERIOUS AND LIFE-THREATENING RISKS FROM USE OF HYDROCODONE BITARTRATE AND ACETAMINOPHEN TABLETS

Addiction, Abuse, and Misuse

Because the use of Hydrocodone Bitartrate and Acetaminophen Tablets exposes patients and other users to the risks of opioid addiction, abuse, and misuse, which can lead to overdose and death, assess each patient’s risk prior to prescribing and reassess all patients regularly for the development of these behaviors and conditions [see WARNINGS ].

Life-Threatening Respiratory Depression

Serious, life-threatening, or fatal respiratory depression may occur with use of Hydrocodone Bitartrate and Acetaminophen Tablets, especially during initiation or following a dose increase. To reduce the risk of respiratory depression, proper dosing and titration of Hydrocodone Bitartrate and Acetaminophen Tablets are essential [see WARNINGS ] .

Accidental Ingestion

Accidental ingestion of even one dose of Hydrocodone Bitartrate and Acetaminophen Tablets, especially by children, can result in a fatal overdose of hydrocodone [see WARNINGS ].

Risks From Concomitant Use With Benzodiazepines Or Other CNS Depressants

Concomitant use of opioids with benzodiazepines or other central nervous system (CNS) depressants, including alcohol, may result in profound sedation, respiratory depression, coma, and death. Reserve concomitant prescribing of Hydrocodone Bitartrate and Acetaminophen Tablets and benzodiazepines or other CNS depressants for use in patients for whom alternative treatment options are inadequate [see WARNINGS , PRECAUTIONS; Drug Interactions ].

Neonatal Opioid Withdrawal Syndrome  (NOWS)

If opioid use is required for an extended period of time in a pregnant woman, advise the patient of the risk of NOWS, which may be life-threatening if not recognized and treated. Ensure that management by neonatology experts will be available at delivery [see WARNINGS ].

Opioid Analgesic Risk Evaluation and Mitigation Strategy (REMS)

Healthcare providers are strongly encouraged to complete a REMS-compliant education program and to counsel patients and caregivers on serious risks, safe use, and the importance of reading the Medication Guide with each prescription [see WARNINGS].

Cytochrome P450 3A4 Interaction

The concomitant use of Hydrocodone Bitartrate and Acetaminophen Tablets with all Cytochrome P450 3A4 inhibitors may result in an increase in hydrocodone plasma concentrations, which could increase or prolong adverse reactions and may cause potentially fatal respiratory depression. In addition, discontinuation of a concomitantly used Cytochrome P450 3A4 inducer may result in an increase in hydrocodone plasma concentrations. Monitor patients receiving Hydrocodone Bitartrate and Acetaminophen Tablets and any Cytochrome P450 3A4 inhibitor or inducer for signs of respiratory depression or sedation [see CLINICAL PHARMACOLOGY , WARNINGS , PRECAUTIONS; Drug Interactions ].

Hepatotoxicity

Acetaminophen has been associated with cases of acute liver failure, at times resulting in liver transplant and death. Most of the cases of liver injury are associated with the use of acetaminophen at doses that exceed 4,000 milligrams per day, and often involve more than one acetaminophen-containing product [see WARNINGS OVERDOSAGE ].
Indications and Usage

Hydrocodone Bitartrate and Acetaminophen Tablets are indicated for the management of pain severe enough to require opioid analgesic and for which alternative treatments are inadequate.

Limitations of Use

Because of the risks of addiction, abuse, and misuse with opioids, which can occur at any dosage or duration [see  WARNINGS ], reserve Hydrocodone Bitartrate and Acetaminophen Tablets for use in patients for whom alternative treatment options (e.g., non-opioid analgesics):

  • Have not been tolerated, or are not expected to be tolerated,
  • Have not provided adequate analgesia, or are not expected to provide adequate analgesia

Hydrocodone Bitartrate and Acetaminophen Tablets should not be used for an extended period of time unless the pain remains severe enough to require an opioid analgesic and for which alternative treatment options continue to be inadequate.

Dosage and Administration

Important Dosage and Administration Instructions

Hydrocodone Bitartrate and Acetaminophen Tablets should be prescribed only by healthcare professionals who are knowledgeable about the use of opioids and how to mitigate the associated risks.

Use the lowest effective dosage for the shortest duration of time consistent with individual patient treatment goals [see WARNINGS ]. Because the risk of overdose increases as opioid doses increase, reserve titration to higher doses of Hydrocodone Bitartrate and Acetaminophen Tablets for patients in whom lower doses are insufficiently effective and in whom the expected benefits of using a higher dose opioid clearly outweigh the substantial risks.

Many acute pain conditions (e.g., the pain that occurs with a number of surgical procedures or acute musculoskeletal injuries) require no more than a few days of an opioid analgesic. Clinical guidelines on opioid prescribing for some acute pain conditions are available.

There is variability in the opioid analgesic dose and duration needed to adequately manage pain due both to the cause of pain and to individual patient factors. Initiate the dosing regimen for each patient individually, taking into account the patient’s underlying cause and severity of pain, prior analgesic treatment and response, and risk factors for addiction, abuse, and misuse [see WARNINGS ].

Respiratory depression can occur at any time during opioid therapy, especially when initiating and following dosage increases with Hydrocodone Bitartrate and Acetaminophen Tablets. Consider this risk when selecting an initial dose and when making dose adjustments [see WARNINGS ].

Patient Access to Naloxone for the Emergency Treatment of Opioid Overdose

Discuss the availability of naloxone for the emergency treatment of opioid overdose with the patient and caregiver and assess the potential need for access to naloxone, both when initiating and renewing treatment with Hydrocodone Bitartrate and Acetaminophen Tablets [see WARNINGS, Life-Threatening Respiratory Depression ; PRECAUTIONS, Information for Patients/Caregivers ].

Inform patients and caregivers about the various ways to obtain naloxone as permitted by individual state naloxone dispensing and prescribing regulations (e.g., by prescription, directly from a pharmacist, or as part of a community-based program).

Consider prescribing naloxone, based on the patient’s risk factors for overdose, such as concomitant use of CNS depressants, a history of opioid use disorder, or prior opioid overdose. The presence of risk factors for overdose should not prevent the proper management of pain in any given patient [see WARNINGS, Addiction, Abuse, and Misuse , Life-Threatening Respiratory Depression , Risks from Concomitant Use with Benzodiazepines or Other CNS Depressants ].

Consider prescribing naloxone when the patient has household members (including children) or other close contacts at risk for accidental ingestion or overdose.

Initial Dosage

Use of Hydrocodone Bitartrate and Acetaminophen Tablets as the First Opioid Analgesic

5 mg/325 mg

Initiate treatment with Hydrocodone Bitartrate and Acetaminophen Tablets in a dosing range of 1 to 2 tablets every 4 to 6 hours as needed for pain, at the lowest dose necessary to achieve adequate analgesia. Titrate the dose based upon the individual patient’s response to their initial dose of Hydrocodone Bitartrate and Acetaminophen Tablets. The total daily dosage should not exceed 8 tablets.

7.5 mg/325 mg

10 mg/325 mg

Initiate treatment with Hydrocodone Bitartrate and Acetaminophen Tablets with 1 tablet every 4 to 6 hours as needed for pain, at the lowest dose necessary to achieve adequate analgesia. Titrate the dose based upon the individual patient’s response to their initial dose of Hydrocodone Bitartrate and Acetaminophen Tablets. The total daily dosage should not exceed 6 tablets.

Conversion from Other Opioids to Hydrocodone Bitartrate and Acetaminophen Tablets

There is inter-patient variability in the potency of opioid drugs and opioid formulations. Therefore, a conservative approach is advised when determining the total daily dosage of Hydrocodone Bitartrate and Acetaminophen Tablets. It is safer to underestimate a patient’s 24-hour Hydrocodone Bitartrate and Acetaminophen Tablets dosage than to overestimate the 24-hour Hydrocodone Bitartrate and Acetaminophen Tablets dosage and manage an adverse reaction due to overdose.

Conversion from Hydrocodone Bitartrate and Acetaminophen Tablets to Extended-Release Hydrocodone

The relative bioavailability of Hydrocodone Bitartrate and Acetaminophen Tablets compared to extended-release hydrocodone is unknown, so conversion to extended-release hydrocodone may lead to increased risk of excessive sedation and respiratory depression.

Titration and Maintenance of Therapy

Individually titrate Hydrocodone Bitartrate and Acetaminophen Tablets to a dose that provides adequate analgesia and minimizes adverse reactions. Continually reevaluate patients receiving Hydrocodone Bitartrate and Acetaminophen Tablets to assess the maintenance of pain control, signs and symptoms of opioid withdrawal, and other adverse reactions, as well as to reassess for the development of addiction, abuse, or misuse [see WARNINGS ]. Frequent communication is important among the prescriber, other members of the healthcare team, the patient, and the caregiver/family during periods of changing analgesic requirements, including initial titration.

If the level of pain increases after dosage stabilization, attempt to identify the source of increased pain before increasing the Hydrocodone Bitartrate and Acetaminophen Tablets dosage. If after increasing the dosage, unacceptable opioid-related adverse reactions are observed (including an increase in pain after dosage increase), consider reducing the dosage [see WARNINGS ]. Adjust the dosage to obtain an appropriate balance between management of pain and opioid-related adverse reactions.

Safe Reduction or Discontinuation of Hydrocodone Bitartrate and Acetaminophen Tablets

Do not abruptly discontinue Hydrocodone Bitartrate and Acetaminophen Tablets in patients who may be physically dependent on opioids. Rapid discontinuation of opioid analgesics in patients who are physically dependent on opioids has resulted in serious withdrawal symptoms, uncontrolled pain, and suicide. Rapid discontinuation has also been associated with attempts to find other sources of opioid analgesics, which may be confused with drug-seeking for abuse. Patients may also attempt to treat their pain or withdrawal symptoms with illicit opioids, such as heroin, and other substances.

When a decision has been made to decrease the dose or discontinue therapy in an opioid-dependent patient taking Hydrocodone Bitartrate and Acetaminophen Tablets, there are a variety of factors that should be considered, including the total daily dose of opioid (including Hydrocodone Bitartrate and Acetaminophen Tablets) the patient has been taking, the duration of treatment, the type of pain being treated, and the physical and psychological attributes of the patient. It is important to ensure ongoing care of the patient and to agree on an appropriate tapering schedule and follow-up plan so that patient and provider goals and expectations are clear and realistic. When opioid analgesics are being discontinued due to a suspected substance use disorder, evaluate and treat the patient, or refer for evaluation and treatment of the substance use disorder. Treatment should include evidence-based approaches, such as medication assisted treatment of opioid use disorder. Complex patients with co-morbid pain and substance use disorders may benefit from referral to a specialist.

There are no standard opioid tapering schedules that are suitable for all patients. Good clinical practice dictates a patient-specific plan to taper the dose of the opioid gradually. For patients on Hydrocodone Bitartrate and Acetaminophen Tablets who are physically opioid-dependent, initiate the taper by a small enough increment (e.g., no greater than 10% to 25% of the total daily dose) to avoid withdrawal symptoms, and proceed with dose-lowering at an interval of every 2 to 4 weeks. Patients who have been taking opioids for briefer periods of time may tolerate a more rapid taper.

It may be necessary to provide the patient with lower dosage strengths to accomplish a successful taper. Reassess the patient frequently to manage pain and withdrawal symptoms, should they emerge. Common withdrawal symptoms include restlessness, lacrimation, rhinorrhea, yawning, perspiration, chills, myalgia, and mydriasis. Other signs and symptoms also may develop, including irritability, anxiety, backache, joint pain, weakness, abdominal cramps, insomnia, nausea, anorexia, vomiting, diarrhea, or increased blood pressure, respiratory rate, or heart rate. If withdrawal symptoms arise, it may be necessary to pause the taper for a period of time or raise the dose of the opioid analgesic to the previous dose, and then proceed with a slower taper. In addition, evaluate patients for any changes in mood, emergence of suicidal thoughts, or use of other substances.

When managing patients taking opioid analgesics, particularly those who have been treated for an extended period of time and/or with high doses for chronic pain, ensure that a multimodal approach to pain management, including mental health support (if needed), is in place prior to initiating an opioid analgesic taper. A multimodal approach to pain management may optimize the treatment of chronic pain, as well as assist with the successful tapering of the opioid analgesic [see WARNINGS; Withdrawal , DRUG ABUSE AND DEPENDENCE ].

Contraindications

Hydrocodone Bitartrate and Acetaminophen Tablets are contraindicated in patients with:

  • Significant respiratory depression [see WARNINGS ]

  • Acute or severe bronchial asthma in an unmonitored setting or in the absence of resuscitative equipment [see WARNINGS ]

  • Known or suspected gastrointestinal obstruction, including paralytic ileus [see WARNINGS ]

  • Hypersensitivity to hydrocodone or acetaminophen (e.g., anaphylaxis) [see WARNINGS , ADVERSE REACTIONS ]

Adverse Reactions

The following adverse reactions have been identified during post approval use of Hydrocodone and Acetaminophen Tablets. Because these reactions are reported voluntarily from a population of uncertain size, it is not always possible to reliably estimate their frequency or establish a causal relationship to drug exposure.

The most frequently reported adverse reactions are light-headedness, dizziness, sedation, nausea and vomiting.

Other adverse reactions include:

Central Nervous System

Drowsiness, mental clouding, lethargy, impairment of mental and physical performance, anxiety, fear, dysphoria, psychological dependence, mood changes.

Gastrointestinal System

Constipation.

Genitourinary System

Ureteral spasm, spasm of vesical sphincters, and urinary retention.

Special Senses

Cases of hearing impairment or permanent loss have been reported predominantly in patients with chronic overdose.

Dermatological

Skin rash, pruritus, Stevens-Johnson syndrome, toxic epidermal necrolysis, allergic reactions.

Hematological

Thrombocytopenia, agranulocytosis.

  • Serotonin syndrome: Cases of serotonin syndrome, a potentially life-threatening condition, have been reported during concomitant use of opioids with serotonergic drugs.
  • Adrenal insufficiency: Cases of adrenal insufficiency have been reported with opioid use, more often following greater than one month of use.
  • Anaphylaxis: Anaphylaxis has been reported with ingredients contained in Hydrocodone Bitartrate and Acetaminophen Tablets.
  • Androgen deficiency: Cases of androgen deficiency have occurred with use of opioids for an extended period of time. [see CLINICAL PHARMACOLOGY ].
  • Hyperalgesia and Allodynia: Cases of hyperalgesia and allodynia have been reported with opioid therapy of any duration [see WARNINGS ].
  • Hypoglycemia: Cases of hypoglycemia have been reported in patients taking opioids. Most reports were in patients with at least one predisposing risk factor (e.g., diabetes).

To report SUSPECTED ADVERSE REACTIONS, contact Tris Pharma, Inc., at (732) 940-0358 or FDA at 1-800-FDA-1088 or www.fda.gov/medwatch

Drug Interactions

Inhibitors of CYP3A4 and CYP2D6

The concomitant use of Hydrocodone Bitartrate and Acetaminophen Tablets and CYP3A4 inhibitors, such as macrolide antibiotics (e.g., erythromycin), azole-antifungal agents (e.g. ketoconazole), and protease inhibitors (e.g., ritonavir), can increase the plasma concentration of the hydrocodone from Hydrocodone Bitartrate and Acetaminophen Tablets, resulting in increased or prolonged opioid effects. These effects could be more pronounced with concomitant use of Hydrocodone Bitartrate and Acetaminophen Tablets and both CYP3A4 and CYP2D6 inhibitors, particularly when an inhibitor is added after a stable dose of Hydrocodone Bitartrate and Acetaminophen Tablets are achieved [see WARNINGS ].

After stopping a CYP3A4 inhibitor, as the effects of the inhibitor decline, the hydrocodone plasma concentration will decrease [see CLINICAL PHARMACOLOGY ], resulting in decreased opioid efficacy or a withdrawal syndrome in patients who had developed physical dependence to Hydrocodone Bitartrate and Acetaminophen Tablets.

If concomitant use is necessary, consider dosage reduction of Hydrocodone Bitartrate and Acetaminophen Tablets until stable drug effects are achieved. Evaluate patients at frequent intervals for respiratory depression and sedation. If a CYP3A4 inhibitor is discontinued, consider increasing the Hydrocodone Bitartrate and Acetaminophen Tablets dosage until stable drug effects are achieved. Evaluate for signs of opioid withdrawal.

Inducers of CYP3A4

The concomitant use of Hydrocodone Bitartrate and Acetaminophen Tablets and CYP3A4 inducers, such as rifampin, carbamazepine, and phenytoin, can decrease the plasma concentration of hydrocodone [see CLINICAL PHARMACOLOGY ], resulting in decreased efficacy or onset of a withdrawal syndrome in patients who have developed physical dependence to hydrocodone [see WARNINGS ].

After stopping a CYP3A4 inducer, as the effects of the inducer decline, the hydrocodone plasma concentration will increase [see CLINICAL PHARMACOLOGY ], which could increase or prolong both the therapeutic effects and adverse reactions, and may cause serious respiratory depression.

If concomitant use is necessary, consider increasing the Hydrocodone Bitartrate and Acetaminophen Tablets dosage until stable drug effects are achieved.  Evaluate the patient for signs and symptoms of opioid withdrawal. If a CYP3A4 inducer is discontinued, consider Hydrocodone Bitartrate and Acetaminophen Tablets dosage reduction and evaluate patients at frequent intervals for signs of respiratory depression and sedation.

Benzodiazepines and Other Central Nervous System (CNS) Depressants

Due to additive pharmacologic effect, the concomitant use of benzodiazepines and other CNS depressants, such as benzodiazepines and other sedative hypnotics, anxiolytics, and tranquilizers, muscle relaxants, general anesthetics, antipsychotics, and other opioids, including alcohol, can increase the risk of hypotension, respiratory depression, profound sedation, coma, and death.

Reserve concomitant prescribing of these drugs for use in patients for whom alternative treatment options are inadequate. Limit dosages and durations to the minimum required. Inform patients and caregivers of this potential interaction, educate them on the signs and symptoms of respiratory depression (including sedation). If concomitant use is warranted, consider prescribing naloxone for the emergency treatment of opioid overdose [see WARNINGS ].

Serotonergic Drugs

The concomitant use of opioids with other drugs that affect the serotonergic neurotransmitter system, such as selective serotonin reuptake inhibitors (SSRIs), serotonin and norepinephrine reuptake inhibitors (SNRIs), tricyclic antidepressants (TCAs), triptans, 5-HT3 receptor antagonists, drugs that affect the serotonin neurotransmitter system (e.g., mirtazapine, trazodone, tramadol), certain muscle relaxants (i.e., cyclobenzaprine, metaxalone), monoamine oxidase (MAO) inhibitors (those intended to treat psychiatric disorders and also others, such as linezolid and intravenous methylene blue), has resulted in serotonin syndrome [see PRECAUTIONS; Information for Patients ].

If concomitant use is warranted, frequently evaluate the patient, particularly during treatment initiation and dose adjustment. Discontinue Hydrocodone Bitartrate and Acetaminophen Tablets immediately if serotonin syndrome is suspected.

Monoamine Oxidase Inhibitors (MAOIs)

The concomitant use of opioids and MAOIs, such as phenelzine, tranylcypromine, or linezolid, may manifest as serotonin syndrome, or opioid toxicity (e.g., respiratory depression, coma) [see WARNINGS ].

The use of Hydrocodone Bitartrate and Acetaminophen Tablets are not recommended for patients taking MAOIs or within 14 days of stopping such treatment.

If urgent use of an opioid is necessary, use test doses and frequent titration of small doses to treat pain while closely monitoring blood pressure and signs and symptoms of CNS and respiratory depression.

Mixed Agonist/Antagonist and Partial Agonist Opioid Analgesics

The concomitant use of opioids with other opioid analgesics, such as butorphanol, nalbuphine, pentazocine, may reduce the analgesic effect of Hydrocodone Bitartrate and Acetaminophen Tablets and/or precipitate withdrawal symptoms.

Advise patient to avoid concomitant use of these drugs.

Muscle Relaxants

Hydrocodone Bitartrate and Acetaminophen Tablets may enhance the neuromuscular blocking action of skeletal muscle relaxants and produce an increased degree of respiratory depression.

Because respiratory depression may be greater than otherwise expected and decrease the dosage of Hydrocodone Bitartrate and Acetaminophen Tablets and/or the muscle relaxant as necessary. Due to the risk of respiratory depression with concomitant use of muscle relaxants and opioids, consider prescribing naloxone for the emergency treatment of opioid overdose [see WARNINGS ].

Diuretics

Opioids can reduce the efficacy of diuretics by inducing the release of antidiuretic hormone.

Evaluate patients for signs of diminished diuresis and/or effects on blood pressure and increase the dosage of the diuretic as needed.

Anticholinergic Drugs

The concomitant use of anticholinergic drugs may increase risk of urinary retention and/or severe constipation, which may lead to paralytic ileus.

Evaluate patients for signs of urinary retention or reduced gastric motility when Hydrocodone Bitartrate and Acetaminophen Tablets are used concomitantly with anticholinergic drugs.

How Supplied

Each tablet contains 5 mg of hydrocodone bitartrate and 325 mg of acetaminophen. They are available as white capsule-shaped tablets, bisected on one side and debossed on the other side with G 035.

  • NDC 63629-2293-1 Bottles of 500

Store at 25°C (77°F); excursions permitted to 15° to 30°C (59° to 86°F) [See USP Controlled Room Temperature].

STORE Hydrocodone Bitartrate and Acetaminophen Tablets securely and dispose of properly [see PRECAUTIONS/INFORMATION FOR PATIENTS].

PHARMACIST: Dispense in a tight, light-resistant container as defined in the USP with a child-resistant closure.

Contains a Schedule II controlled drug substance.

Repackaged/Relabeled by:

Bryant Ranch Prepack, Inc.

Burbank, CA 91504

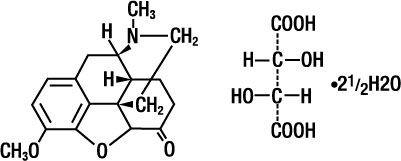
Description

Hydrocodone Bitartrate and Acetaminophen is available in tablet form for oral administration.

Hydrocodone bitartrate is an opioid analgesic and occurs as fine, white crystals or as a crystalline powder. It is affected by light. The chemical name is: 4,5α-epoxy-3-methoxy-17-methylmorphinan-6-one tartrate (1:1) hydrate (2:5). It has the following structural formula:

C18H21NO3•C4H6O6 •2 ½ H2O     M.W. = 494.49

Acetaminophen, 4'-hydroxyacetanilide, a slightly bitter, white, odorless, crystalline powder, is a non-opiate, non-salicylate analgesic and antipyretic. It has the following structural formula:

C8H9NO2   M.W. = 151.16

Hydrocodone Bitartrate and Acetaminophen Tablets, USP for oral administration are available in the following strengths:

Product Strength Hydrocodone Bitartrate Acetaminophen
5 mg/325 mg   5 mg  325 mg
 7.5 mg/325 mg  7.5 mg  325 mg
 10 mg/325 mg  10 mg  325 mg

In addition, each tablet contains the following inactive ingredients: croscarmellose sodium, magnesium stearate, microcrystalline cellulose, silicon dioxide, and stearic acid.

Meets USP Dissolution Test 2.

Section 51945-4

Hydrocodone Bitartrate and Acetaminophen Tablets 5 mg/325 mg (CII)

Lactation

Advise nursing mothers to carefully observe infants for increased sleepiness (more than usual), breathing difficulties, or limpness. Instruct nursing mothers to seek immediate medical care if they notice these signs [see PRECAUTIONS; Nursing Mothers ].

Infertility

Inform patients that use of opioids for an extended period of time may cause reduced fertility. It is not known whether these effects on fertility are reversible [see ADVERSE REACTIONS ].

Pregnancy

Teratogenic Effects

There are no adequate and well-controlled studies in pregnant women. Hydrocodone Bitartrate and Acetaminophen Tablets should be used during pregnancy only if the potential benefit justifies the potential risk to the fetus.

Nonteratogenic Effects

Fetal/Neonatal Adverse Reactions

Use of opioid for an extended period of time analgesics during pregnancy for medical or nonmedical purposes can result in physical dependence in the neonate and neonatal opioid withdrawal syndrome shortly after birth.

Neonatal opioid withdrawal syndrome presents as irritability, hyperactivity, abnormal sleep pattern, high pitched cry, tremor, vomiting, diarrhea and failure to gain weight. The onset, duration, and severity of neonatal opioid withdrawal syndrome vary based on the specific opioid used, duration of use, timing and amount of last maternal use, and rate of elimination of the drug by the newborn. Observe newborns for symptoms of neonatal opioid withdrawal syndrome and manage accordingly [see WARNINGS ].

Overdosage

Following an acute overdosage, toxicity may result from hydrocodone or acetaminophen.



Clinical Presentation



Acute overdosage with Hydrocodone Bitartrate and Acetaminophen Tablets can be manifested by respiratory depression, somnolence progressing to stupor or coma, skeletal muscle flaccidity, cold and clammy skin, constricted pupils, and, in some cases, pulmonary edema, bradycardia, hypotension, hypoglycemia, partial or complete airway obstruction, atypical snoring, and death. Marked mydriasis rather than miosis may be seen with hypoxia in overdose situations.



Acetaminophen



Dose-dependent, potentially fatal hepatic necrosis is the most serious adverse effect of acetaminophen overdosage. Renal tubular necrosis, hypoglycemic coma and coagulation defects may also occur.



Early symptoms following a potentially hepatotoxic overdose may include: nausea, vomiting, diaphoresis and general malaise. Clinical and laboratory evidence of hepatic toxicity may not be apparent until 48 to 72 hours post-ingestion.



Treatment of Overdose



Hydrocodone



In case of overdose, priorities are the re-establishment of a patent and protected airway and institution of assisted or controlled ventilation, if needed. Employ other supportive measures (including oxygen and vasopressors) in the management of circulatory shock and pulmonary edema as indicated. Cardiac arrest or arrhythmias will require advanced life-support measures.



Opioid antagonists, such as naloxone, are specific antidotes to respiratory depression resulting from opioid overdose. For clinically significant respiratory or circulatory depression secondary to Hydrocodone Bitartrate and Acetaminophen Tablets overdose, administer an opioid antagonist.



Because the duration of opioid reversal is expected to be less than the duration of action of hydrocodone in Hydrocodone Bitartrate and Acetaminophen Tablets, carefully monitor the patient until spontaneous respiration is reliably reestablished. If the response to an opioid antagonist is suboptimal or only brief in nature, administer additional antagonist as directed by the product’s prescribing information.



In an individual physically dependent on opioids, administration of the recommended usual dosage of the antagonist will precipitate an acute withdrawal syndrome. The severity of the withdrawal symptoms experienced will depend on the degree of physical dependence and the dose of the antagonist administered. If a decision is made to treat serious respiratory depression in the physically dependent patient, administration of the antagonist should be initiated with care and by titration with smaller than usual doses of the antagonist.



Acetaminophen



Gastric decontamination with activated charcoal should be administered just prior to N-acetylcysteine (NAC) to decrease systemic absorption if acetaminophen ingestion is known or suspected to have occurred within a few hours of presentation.  Serum acetaminophen levels should be obtained immediately if the patient presents 4 hours or more after ingestion to assess potential risk of hepatotoxicity; acetaminophen levels drawn less than 4 hours post-ingestion may be misleading. To obtain the best possible outcome, NAC should be administered as soon as possible where impending or evolving liver injury is suspected.  Intravenous NAC may be administered when circumstances preclude oral administration.

Vigorous supportive therapy is required in severe intoxication. Procedures to limit the continuing absorption of the drug must be readily performed since the hepatic injury is dose dependent and occurs early in the course of intoxication.

Withdrawal

Do not abruptly discontinue Hydrocodone Bitartrate and Acetaminophen Tablets in a patient physically dependent on opioids. When discontinuing Hydrocodone Bitartrate and Acetaminophen Tablets in a physically dependent patient, gradually taper the dosage. Rapid tapering of Hydrocodone Bitartrate and Acetaminophen Tablets in a patient physically dependent on opioids may lead to a withdrawal syndrome and return of pain [see DOSAGE AND ADMINISTRATION DRUG ABUSE AND DEPENDENCE ].

Additionally, avoid the use of mixed agonist/antagonist (e.g, pentazocine, nalbuphine, and butorphanol) or partial agonist (e.g., buprenorphine) analgesics in patients who are receiving a full opioid agonist analgesic, including Hydrocodone Bitartrate and Acetaminophen Tablets. In these patients, mixed agonist/antagonist and partial agonist analgesics may reduce the analgesic effect and/or precipitate withdrawal symptoms [see PRECAUTIONS; Drug Interactions ].

Geriatric Use

Elderly patients (aged 65 years or older) may have increased sensitivity to Hydrocodone Bitartrate and Acetaminophen Tablets. In general, use caution when selecting a dosage for an elderly patient, usually starting at the low end of the dosing range, reflecting the greater frequency of decreased hepatic, renal, or cardiac function and of concomitant disease or other drug therapy.

Respiratory depression is the chief risk for elderly patients treated with opioids, and has occurred after large initial doses were administered to patients who were not opioid-tolerant or when opioids were co-administered with other agents that depress respiration. Titrate the dosage of Hydrocodone Bitartrate and Acetaminophen Tablets slowly in geriatric patients and frequently reevaluate the patient for signs of central nervous system and respiratory depression [see WARNINGS ].

Hydrocodone and acetaminophen are known to be substantially excreted by the kidney, and the risk of adverse reactions to this drug may be greater in patients with impaired renal function. Because elderly patients are more likely to have decreased renal function, care should be taken in dose selection, and it may be useful to monitor renal function.

Pediatric Use

Safety and effectiveness of Hydrocodone Bitartrate and Acetaminophen Tablets in pediatric patients have not been established.

Hepatotoxicity

Acetaminophen has been associated with cases of acute liver failure, at times resulting in liver transplant and death. Most of the cases of liver injury are associated with the use of acetaminophen at doses that exceed 4,000 milligrams per day, and often involve more than one

acetaminophen-containing product. The excessive intake of acetaminophen may be intentional to cause self-harm or unintentional as patients attempt to obtain more pain relief or unknowingly take other acetaminophen-containing products.

The risk of acute liver failure is higher in individuals with underlying liver disease and in individuals who ingest alcohol while taking acetaminophen.

Instruct patients to look for acetaminophen or APAP on package labels and not to use more than one product that contains acetaminophen. Instruct patients to seek medical attention immediately upon ingestion of more than 4,000 milligrams of acetaminophen per day, even if they feel well.

Nursing Mothers

Hydrocodone is present in human milk.

The developmental and health benefits of breastfeeding should be considered along with the mother’s clinical need for Hydrocodone Bitartrate and Acetaminophen Tablets and any potential adverse effects on the breastfed infant from Hydrocodone Bitartrate and Acetaminophen Tablets or from the underlying maternal condition.

Infants exposed to Hydrocodone Bitartrate and Acetaminophen Tablets through breast milk should be monitored for excess sedation and respiratory depression. Withdrawal symptoms can occur in breastfed infants when maternal administration of an opioid analgesic is stopped, or when breast-feeding is stopped.

Laboratory Tests

In patients with severe hepatic or renal disease, effects of therapy should be followed with serial liver and/or renal function tests.

Medication Guide

HYDROCODONE BITARTRATE AND ACETAMINOPHEN TABLETS, USP  CII

(hye” droe koe’done bye tar’trate and a seet a min’oh fen)

            Hydrocodone Bitartrate and Acetaminophen Tablets are:

  • A strong prescription pain medicine that contains an opioid (narcotic) that is used to manage pain severe enough to require an opioid pain medicine, when other pain treatments such as non-opioid pain medicines do not treat your pain well enough or you cannot tolerate them.
  • An opioid pain medicine that can put you at risk for overdose and death. Even if you take your dose correctly as prescribed you are at risk for opioid addiction, abuse, and misuse that can lead to death.

    Important information about Hydrocodone Bitartrate and Acetaminophen Tablets:

  • Get emergency help or call 911 right away if you take too much Hydrocodone Bitartrate and Acetaminophen Tablets (overdose). When you first start taking Hydrocodone Bitartrate and Acetaminophen Tablets, when your dose is changed, or if you take too much (overdose), serious or life-threatening breathing problems that can lead to death may occur. Talk to your healthcare provider about naloxone, a medicine for the emergency treatment of an opioid overdose.
  • Taking Hydrocodone Bitartrate and Acetaminophen Tablets with other opioid medicines, benzodiazepines, alcohol, or other central nervous system depressants (including street drugs) can cause severe drowsiness, decreased awareness, breathing problems, coma, and death.
  • Never give anyone else your Hydrocodone Bitartrate and Acetaminophen Tablets. They could die from taking it. Selling or giving away Hydrocodone Bitartrate and Acetaminophen Tablets is against the law.
  • Store Hydrocodone Bitartrate and Acetaminophen Tablets securely, out of sight and reach of children, and in a location not accessible by others, including visitors to the home.

    Do not take Hydrocodone Bitartrate and Acetaminophen Tablets if you have:

  • severe asthma, trouble breathing, or other lung problems.
  • a bowel blockage or have narrowing of the stomach or intestines.
  • known hypersensitivity to hydrocodone or acetaminophen, or any ingredient in hydrocodone and acetaminophen tablets.

    Before taking Hydrocodone Bitartrate and Acetaminophen Tablets, tell your healthcare provider if you have a history of:

  • head injury, seizures ●liver, kidney, thyroid problems
  • problems urinating ●pancreas or gallbladder problems
  • abuse of street or prescription drugs, alcohol addiction, opioid overdose, or mental health problems.

    Tell your healthcare provider if you are:

  • pregnant or planning to become pregnant. Use of Hydrocodone Bitartrate and Acetaminophen Tablets for an extended period of time during pregnancy can cause withdrawal symptoms in your newborn baby that could be life-threatening if not recognized and treated.
  • noticing your pain getting worse. If your pain gets worse after you take Hydrocodone Bitartrate and Acetaminophen Tablets, do not take more of Hydrocodone Bitartrate and Acetaminophen Tablets without first talking to your healthcare provider. Talk to your healthcare provider if the pain that you have increases, if you feel more sensitive to pain, or if you have new pain after taking Hydrocodone Bitartrate and Acetaminophen Tablets.
  • breast feeding. Hydrocodone bitartrate and acetaminophen passes into breast milk and may harm your baby.
  • living in a household where there are small children or someone who has abused street or prescription drugs
  • taking prescription or over-the-counter medicines, vitamins, or herbal supplements. Taking Hydrocodone Bitartrate and Acetaminophen Tablets with certain other medicines can cause serious side effects that could lead to death.

    When taking Hydrocodone Bitartrate and Acetaminophen Tablets:

  • Do not change your dose. Take Hydrocodone Bitartrate and Acetaminophen Tablets exactly as prescribed by your healthcare provider. Use the lowest dose possible for the shortest time needed.
  • For acute (short-term) pain, you may only need to take Hydrocodone Bitartrate and Acetaminophen Tablets for a few days. You may have some Hydrocodone Bitartrate and Acetaminophen Tablets left over that you did not use. See disposal information at the bottom of this section for directions on how to safely throw away (dispose of) your unused Hydrocodone Bitartrate and Acetaminophen Tablets.
  • Take your prescribed dose every four to six hours as needed for pain.
  • Do not take more than your prescribed dose. If you miss a dose, take your next dose at your usual time.
  • Call your healthcare provider if the dose you are taking does not control your pain.
  • If you have been taking Hydrocodone Bitartrate and Acetaminophen Tablets regularly, do not stop taking Hydrocodone Bitartrate and Acetaminophen Tablets without talking to your healthcare provider.
  • Dispose of expired, unwanted, or unused Hydrocodone Bitartrate and Acetaminophen Tablets by taking your drug to an authorized DEA-registered collector or drug take-back program. If one is not available, you can dispose of Hydrocodone Bitartrate and Acetaminophen Tablets by mixing the product with dirt, cat litter, or coffee grounds; placing the mixture in a sealed plastic bag, and throwing the bag in your trash.  Visit www.fda.gov/drugdisposal for additional information on disposal of unused medicines.

    While taking Hydrocodone Bitartrate and Acetaminophen Tablets DO NOT:

  • Drive or operate heavy machinery, until you know how Hydrocodone Bitartrate and Acetaminophen Tablets affects you. Hydrocodone Bitartrate and Acetaminophen Tablets can make you sleepy, dizzy, or lightheaded.
  • Drink alcohol or use prescription or over-the-counter medicines that contain alcohol. Using products containing alcohol during treatment with Hydrocodone Bitartrate and Acetaminophen Tablets may cause you to overdose and die.

    The possible side effects of Hydrocodone Bitartrate and Acetaminophen Tablets:

  • constipation, nausea, sleepiness, vomiting, tiredness, headache, dizziness, abdominal pain. Call your healthcare provider if you have any of these symptoms and they are severe.

    Get emergency medical help or call 911 right away if you have:

  • trouble breathing, shortness of breath, fast heartbeat, chest pain, swelling of your face, tongue, or throat, extreme drowsiness, light-headedness when changing positions, feeling faint, agitation, high body temperature, trouble walking, stiff muscles, or mental changes such as confusion.

These are not all the possible side effects of Hydrocodone Bitartrate and Acetaminophen Tablets. Call your healthcare provider  for medical advice about side effects. You may report side effects to FDA at 1-800-FDA-1088. For more information go to dailymed.nlm.nih.gov.

Manufactured for:

Tris Pharma, Inc.

Monmouth Junction, NJ 08852

www.trispharma.com

This Medication Guide has been approved by the U.S. Food and Drug Administration.

LB8450

Rev. 06

05/2024

Pharmacodynamics

Effects on the Central Nervous System

The principal therapeutic action of hydrocodone is analgesia. Hydrocodone produces respiratory depression by direct action on brain stem respiratory centers. The respiratory depression involves a reduction in the responsiveness of the brain stem respiratory centers to both increases in carbon dioxide tension and electrical stimulation.

Hydrocodone causes miosis, even in total darkness. Pinpoint pupils are a sign of opioid overdose but are not pathognomonic (e.g., pontine lesions of hemorrhagic or ischemic origins may produce similar findings). Marked mydriasis rather than miosis may be seen due to hypoxia in overdose situations.

Therapeutic doses of acetaminophen have negligible effects on the cardiovascular or respiratory systems; however, toxic doses may cause circulatory failure and rapid, shallow breathing.

Effects on the Gastrointestinal Tract and Other Smooth Muscle

Hydrocodone causes a reduction in motility associated with an increase in smooth muscle tone in the antrum of the stomach and duodenum. Digestion of food in the small intestine is delayed and propulsive contractions are decreased. Propulsive peristaltic waves in the colon are decreased, while tone may be increased to the point of spasm, resulting in constipation. Other opioid-induced effects may include a reduction in biliary and pancreatic secretions, spasm of sphincter of Oddi, and transient elevations in serum amylase.

Effects on the Cardiovascular System

Hydrocodone produces peripheral vasodilation which may result in orthostatic hypotension or syncope. Manifestations of histamine release and/or peripheral vasodilation may include pruritus, flushing, red eyes, sweating, and/or orthostatic hypotension.

Effects on the Endocrine System

Opioids inhibit the secretion of adrenocorticotropic hormone (ACTH), cortisol, and luteinizing hormone (LH) in humans [see ADVERSE REACTIONS ]. They also stimulate prolactin, growth hormone (GH) secretion, and pancreatic secretion of insulin and glucagon.

Use of opioids for an extended period of time may influence the hypothalamic-pituitary-gonadal axis, leading to androgen deficiency that may manifest as low libido, impotence, erectile dysfunction, amenorrhea, or infertility. The causal role of opioids in the syndrome of hypogonadism is unknown because the various medical, physical, lifestyle, and psychological stressors that may influence gonadal hormone levels have not been adequately controlled for in studies conducted to date [see ADVERSE REACTIONS ].

Effects on the Immune System

Opioids have been shown to have a variety of effects on components of the immune system. The clinical significance of these findings is unknown. Overall, the effects of opioids appear to be modestly immunosuppressive.

Concentration–Efficacy Relationships

The minimum effective analgesic concentration will vary widely among patients, especially among patients who have been previously treated with extended-release agonist opioids. The minimum effective analgesic concentration of hydrocodone for any individual patient may increase over time due to an increase in pain, the development of a new pain syndrome, and/or the development of analgesic tolerance [see DOSAGE AND ADMINISTRATION ].

Concentration–Adverse Reaction Relationships

There is a relationship between increasing hydrocodone plasma concentration and increasing frequency of dose-related opioid adverse reactions such as nausea, vomiting, CNS effects, and respiratory depression. In opioid-tolerant patients, the situation may be altered by the development of tolerance to opioid-related adverse reactions [see DOSAGE AND ADMINISTRATION ].

Pharmacokinetics

The behavior of the individual components is described below.

Hydrocodone

Following a 10 mg oral dose of hydrocodone administered to five adult male subjects, the mean peak concentration was 23.6 ± 5.2 ng/mL. Maximum serum levels were achieved at 1.3 ± 0.3 hours and the half-life was determined to be 3.8 ± 0.3 hours.

Hydrocodone exhibits a complex pattern of metabolism including O-demethylation, N-demethylation and 6-keto reduction to the corresponding 6-α- and 6-β-hydroxymetabolites. See OVERDOSAGE for toxicity information.

CYP3A4 mediated N-demethylation to norhydrocodone is the primary metabolic pathway of hydrocodone with a lower contribution from CYP2D6 mediated O-demethylation to hydromorphone. Hydromorphone is formed from the O-demethylation of hydrocodone and may contribute to the total analgesic effect of hydrocodone. Therefore, the formation of these and related metabolites can, in theory, be affected by other drugs [see PRECAUTIONS; Drug Interactions ]. N-demethylation of hydrocodone to form norhydrocodone via CYP3A4 while O-demethylation of hydrocodone to hydromorphone is predominantly catalyzed by CYP2D6 and to a lesser extent by an unknown low affinity CYP enzyme. Hydrocodone and its metabolites are eliminated primarily in the kidneys.

Acetaminophen

Acetaminophen is rapidly absorbed from the gastrointestinal tract and is distributed throughout most body tissues. A small fraction (10 to 25%) of acetaminophen is bound to plasma proteins. The plasma half-life is 1.25 to 3 hours, but may be increased by liver damage and following overdosage. Elimination of acetaminophen is principally by liver metabolism (conjugation) and subsequent renal excretion of metabolites. Acetaminophen is primarily metabolized in the liver by first-order kinetics and involves three principal separate pathways: conjugation with glucuronide; conjugation with sulfate; and oxidation via the cytochrome, P450-dependent, mixed-function oxidase enzyme pathway to form a reactive intermediate metabolite, which conjugates with glutathione and is then further metabolized to form cysteine and mercapturic acid conjugates. The principal cytochrome P450 isoenzyme involved appears to be CYP2E1, with CYP1A2 and CYP3A4 as additional pathways. Approximately 85% of an oral dose appears in the urine within 24 hours of administration, most as the glucuronide conjugate, with small amounts of other conjugates and unchanged drug.

See OVERDOSAGE for toxicity information.

Renal Impairment

Patients with renal impairment may have higher plasma hydrocodone concentrations than those with normal function. Use a low initial dose Hydrocodone Bitartrate and Acetaminophen Tablets in patients with renal impairment and follow closely for adverse events such as respiratory depression and sedation.

Labor Or Delivery

Opioids cross the placenta and may produce respiratory depression and psycho-physiologic effects in neonates. An opioid antagonist, such as naloxone, must be available for reversal of opioid-induced respiratory depression in the neonate. Hydrocodone Bitartrate and Acetaminophen Tablets are not recommended for use in pregnant women during or immediately prior to labor, when other analgesic techniques are more appropriate. Opioid analgesics, including Hydrocodone Bitartrate and Acetaminophen Tablets, can prolong labor through actions which temporarily reduce the strength, duration, and frequency of uterine contractions. However, this effect is not consistent and may be offset by an increased rate of cervical dilation, which tends to shorten labor. Monitor neonates exposed to opioid analgesics during labor for signs of excess sedation and respiratory depression.

Hepatic Impairment

Patients with hepatic impairment may have higher plasma hydrocodone concentrations than those with normal function. Use a low initial dose of Hydrocodone Bitartrate and Acetaminophen Tablets in patients with hepatic impairment and follow closely for adverse events such as respiratory depression and sedation.

Severe Hypotension

Hydrocodone Bitartrate and Acetaminophen Tablets may cause severe hypotension including orthostatic hypotension and syncope in ambulatory patients. There is increased risk in patients whose ability to maintain blood pressure has already been compromised by a reduced blood volume or concurrent administration of certain CNS depressant drugs (e.g., phenothiazines or general anesthetics) [see PRECAUTIONS; Drug Interactions ]. Regularly evaluate these patients for signs of hypotension after initiating or titrating the dosage of Hydrocodone Bitartrate and Acetaminophen Tablets. In patients with circulatory shock Hydrocodone Bitartrate and Acetaminophen Tablets may cause vasodilatation that can further reduce cardiac output and blood pressure. Avoid the use of Hydrocodone Bitartrate and Acetaminophen Tablets with circulatory shock.

Mechanism of Action

Hydrocodone is full opioid agonist with relative selectivity for the mu-opioid (μ) receptor, although it can interact with other opioid receptors at higher doses. The principal therapeutic action of hydrocodone is analgesia. Like all full opioid agonists, there is no ceiling effect for analgesia with hydrocodone. Clinically, dosage is titrated to provide adequate analgesia and may be limited by adverse reactions, including respiratory and CNS depression.

The precise mechanism of the analgesic action is unknown. However, specific CNS opioid receptors for endogenous compounds with opioid-like activity have been identified throughout the brain and spinal cord and are thought to play a role in the analgesic effects of this drug.

The precise mechanism of the analgesic properties of acetaminophen is not established but is thought to involve central actions.

Adrenal Insufficiency

Cases of adrenal insufficiency have been reported with opioid use, more often following greater than one month of use. Presentation of adrenal insufficiency may include non-specific symptoms and signs including nausea, vomiting, anorexia, fatigue, weakness, dizziness, and low blood pressure. If adrenal insufficiency is suspected, confirm the diagnosis with diagnostic testing as soon as possible. If adrenal insufficiency is diagnosed, treat with physiologic replacement doses of corticosteroids. Wean the patient off of the opioid to allow adrenal function to recover and continue corticosteroid treatment until adrenal function recovers. Other opioids may be tried as some cases reported use of a different opioid without recurrence of adrenal insufficiency. The information available does not identify any particular opioids particular opioids as being more likely to be associated with adrenal insufficiency.

Serious Skin Reactions

Rarely, acetaminophen may cause serious skin reactions such as acute generalized exanthematous pustulosis (AGEP), Stevens-Johnson Syndrome (SJS), and toxic epidermal necrolysis (TEN), which can be fatal. Patients should be informed about the signs of serious skin reactions, and use of the drug should be discontinued at the first appearance of skin rash or any other sign of hypersensitivity.

Drug Abuse and Dependence

Controlled Substance

Hydrocodone Bitartrate and Acetaminophen Tablets contain hydrocodone, a Schedule II controlled substance.

Abuse

Hydrocodone Bitartrate and Acetaminophen Tablets contain hydrocodone, a substance with high potential for misuse and abuse, which can lead to the development of substance use disorder, including addiction [see WARNINGS ].

Misuse is the intentional use, for therapeutic purposes, of a drug by an individual in a way other than prescribed by a healthcare provider or for whom it was not prescribed.

Abuse is the intentional, non-therapeutic use of a drug, even once, for its desirable psychological or physiological effects.

Drug addiction is a cluster of behavioral, cognitive, and physiological phenomena that may include a strong desire to take the drug, difficulties in controlling drug use (e.g., continuing drug use despite harmful consequences, giving a higher priority to drug use than other activities and obligations), and possible tolerance or physical dependence.

Misuse and abuse of Hydrocodone Bitartrate and Acetaminophen Tablets increases risk of overdose, which may lead to central nervous system and respiratory depression, hypotension, seizures, and death. The risk is increased with concurrent abuse of Hydrocodone Bitartrate and Acetaminophen Tablets with alcohol and other CNS depressants. Abuse of and addiction to opioids in some individuals may not be accompanied by concurrent tolerance and symptoms of physical dependence. In addition, abuse of opioids can occur in the absence of addiction.

All patients treated with opioids require careful and frequent reevaluation for signs of misuse, abuse, and addiction, because use of opioid analgesic products carries the risk of addiction even under appropriate medical use. Patients at high risk of Hydrocodone Bitartrate and Acetaminophen Tablets abuse include those with a history of prolonged use of any opioid, including products containing hydrocodone, those with a history of drug or alcohol abuse, or those who use Hydrocodone Bitartrate and Acetaminophen Tablets in combination with other abused drugs.

“Drug-seeking” behavior is very common in persons with substance use disorders. Drug-seeking tactics include emergency calls or visits near the end of office hours, refusal to undergo appropriate examination, testing, or referral, repeated “loss” of prescriptions, tampering with prescriptions, and reluctance to provide prior medical records or contact information for other treating healthcare provider(s). “Doctor shopping” (visiting multiple prescribers to obtain additional prescriptions) is common among people who abuse drugs and people with substance use disorder. Preoccupation with achieving adequate pain relief can be appropriate behavior in a patient with inadequate pain control.

Hydrocodone Bitartrate and Acetaminophen Tablets, like other opioids, can be diverted for non-medical use into illicit channels of distribution. Careful record-keeping of prescribing information, including quantity, frequency, and renewal requests, as required by state and federal law, is strongly advised.

Proper assessment of the patient, proper prescribing practices, periodic re-evaluation of therapy, and proper dispensing and storage are appropriate measures that help to limit abuse of opioid drugs.

Risks Specific to Abuse of Hydrocodone Bitartrate and Acetaminophen Tablets

Abuse of Hydrocodone Bitartrate and Acetaminophen Tablets poses a risk of overdose and death. The risk is increased with concurrent use of Hydrocodone Bitartrate and Acetaminophen Tablets with alcohol and/or other CNS depressants.

Parenteral drug abuse is commonly associated with transmission of infectious diseases such as hepatitis and HIV.

Dependence

Both tolerance and physical dependence can develop during use of opioid therapy.

Tolerance is a physiological state characterized by a reduced response to a drug after repeated administration (i.e., a higher dose of a drug is required to produce the same effect that was once obtained at a lower dose).

Physical dependence is a state that develops as a result of a physiological adaptation in response to repeated drug use, manifested by withdrawal signs and symptoms after abrupt discontinuation or a significant dose reduction of a drug.

Withdrawal may be precipitated through the administration of drugs with opioid antagonist activity (e.g., naloxone), mixed agonist/antagonist analgesics (e.g., pentazocine, butorphanol, nalbuphine), or partial agonists (e.g., buprenorphine). Physical dependence may not occur to a clinically significant degree until after several days to weeks of continued use.

Do not abruptly discontinue Hydrocodone Bitartrate and Acetaminophen Tablets in a patient physically dependent on opioids. Rapid tapering of Hydrocodone Bitartrate and Acetaminophen Tablets in a patient physically dependent on opioids may lead to serious withdrawal symptoms, uncontrolled pain, and suicide. Rapid discontinuation has also been associated with attempts to find other sources of opioid analgesics, which may be confused with drug-seeking for abuse.

When discontinuing Hydrocodone Bitartrate and Acetaminophen Tablets, gradually taper the dosage using a patient-specific plan that considers the following: the dose of Hydrocodone Bitartrate and Acetaminophen Tablets the patient has been taking, the duration of treatment, and the physical and psychological attributes of the patient. To improve the likelihood of a successful taper and minimize withdrawal symptoms, it is important that the opioid tapering schedule is agreed upon by the patient. In patients taking opioids for an extended period of time at high doses, ensure that a multimodal approach to pain management, including mental health support (if needed), is in place prior to initiating an opioid analgesic taper [see DOSAGE AND ADMINISTRATION, and WARNINGS ].

Infants born to mothers physically dependent on opioids will also be physically dependent and may exhibit respiratory difficulties and withdrawal signs [see  Pregnancy ].

Addiction, Abuse, and Misuse

Hydrocodone Bitartrate and Acetaminophen Tablets contains hydrocodone, a Schedule II controlled substance. As an opioid, Hydrocodone Bitartrate and Acetaminophen Tablets exposes users to the risks of addiction, abuse, and misuse [see  DRUG ABUSE AND DEPENDENCE ] .

Although the risk of addiction in any individual is unknown, it can occur in patients appropriately prescribed Hydrocodone Bitartrate and Acetaminophen Tablets.  Addiction can occur at recommended dosages and if the drug is misused or abused.

Assess each patient’s risk for opioid addiction, abuse, or misuse prior to prescribing Hydrocodone Bitartrate and Acetaminophen Tablets, and reassess all patients receiving Hydrocodone Bitartrate and Acetaminophen Tablets for the development of these behaviors and conditions. Risks are increased in patients with a personal or family history of substance abuse (including drug or alcohol abuse or addiction) or mental illness (e.g., major depression). The potential for these risks should not, however, prevent the proper management of pain in any given patient. Patients at increased risk may be prescribed opioids such as Hydrocodone Bitartrate and Acetaminophen Tablets, but use in such patients necessitates intensive counseling about the risks and proper use of Hydrocodone Bitartrate and Acetaminophen Tablets along with frequent reevaluation for signs of addiction, abuse, and misuse. Consider prescribing naloxone for the emergency treatment of opioid overdose [see  WARNINGS, Life-Threatening Respiratory Depression; DOSAGE AND ADMINISTRATION, Patient Access to Naloxone for the Emergency Treatment of Opioid Overdose ].

Opioids are sought for non-medical use and are subject to diversion from legitimate prescribed use. Consider these risks when prescribing or dispensing Hydrocodone Bitartrate and Acetaminophen Tablets. Strategies to reduce these risks include prescribing the drug in the smallest appropriate quantity and advising the patient on careful storage of the drug during the course of treatment and proper disposal of unused drug. Contact local state professional licensing board or state-controlled substances authority for information on how to prevent and detect abuse or diversion of this product.

Hypersensitivity/anaphylaxis

There have been post-marketing reports of hypersensitivity and anaphylaxis associated with use of acetaminophen. Clinical signs included swelling of the face, mouth, and throat, respiratory distress, urticaria, rash, pruritus, and vomiting. There were infrequent reports of life-threatening anaphylaxis requiring emergency medical attention. Instruct patients to discontinue Hydrocodone Bitartrate and Acetaminophen Tablets immediately and seek medical care if they experience these symptoms. Do not prescribe Hydrocodone Bitartrate and Acetaminophen Tablets for patients with acetaminophen allergy [see PRECAUTIONS; Information for Patients ].

Drug/laboratory Test Interactions

Acetaminophen may produce false-positive test results for urinary 5-hydroxyindoleacetic acid.

Information for Patients/caregivers

Storage and Disposal:

Because of the risks associated with accidental ingestion, misuse, and abuse, advise patients to store Hydrocodone Bitartrate and Acetaminophen Tablets securely, out of sight and reach of children, and in a location not accessible by others, including visitors to the home [see WARNINGS DRUG ABUSE AND DEPENDENCE ]. Inform patients that leaving Hydrocodone Bitartrate and Acetaminophen Tablets unsecured can pose a deadly risk to others in the home.

Advise patients and caregivers that when medicines are no longer needed, they should be disposed of promptly. Expired, unwanted, or unused Hydrocodone Bitartrate and Acetaminophen Tablets should be disposed of by flushing the unused medication down the toilet if a drug take-back option is not readily available. Inform patients that they can visit www.fda.gov/drugdisposal for a complete list of medicines recommended for disposal by flushing, as well as additional information on disposal of unused medicines.

Advise the patient to read the FDA-approved patient labeling (Medication Guide).

Addiction, Abuse, and Misuse

Inform patients that the use of Hydrocodone Bitartrate and Acetaminophen Tablets, even when taken as recommended, can result in addiction, abuse, and misuse, which can lead to overdose and death [see WARNINGS ]. Instruct patients not to share Hydrocodone Bitartrate and Acetaminophen Tablets with others and to take steps to protect Hydrocodone Bitartrate and Acetaminophen Tablets from theft or misuse.

Life-Threatening Respiratory Depression

Inform patients of the risk of life-threatening respiratory depression, including information that the risk is greatest when starting Hydrocodone Bitartrate and Acetaminophen Tablets or when the dosage is increased, and that it can occur even at recommended dosages.

Educate patients and caregivers on how to recognize respiratory depression and emphasize the importance of calling 911 or getting emergency medical help right away in the event of a known or suspected overdose [see WARNINGS, Life Threatening Respiratory Depression ].

Accidental Ingestion

Inform patients that accidental ingestion, especially by children, may result in respiratory depression or death [see WARNINGS ]. Instruct patients to take steps to Hydrocodone Bitartrate and Acetaminophen Tablets and to dispose of unused Hydrocodone Bitartrate and Acetaminophen Tablets by flushing down the toilet.

Interactions with Benzodiazepines and Other CNS Depressants

Inform patients and caregivers that potentially fatal additive effects may occur if Hydrocodone Bitartrate and Acetaminophen Tablets are used with benzodiazepines or other CNS depressants, including alcohol, and not to use these concomitantly unless supervised by a healthcare provider [see WARNINGS , PRECAUTIONS; Drug Interactions ].

Patient Access to Naloxone for the Emergency Treatment of Opioid Overdose

Discuss with the patient and caregiver the availability of naloxone for the emergency treatment of opioid overdose, both when initiating and renewing treatment with Hydrocodone Bitartrate and Acetaminophen Tablets. Inform patients and caregivers about the various ways to obtain naloxone as permitted by individual state naloxone dispensing and prescribing requirements or guidelines (e.g., by prescription, directly from a pharmacist, or as part of a community-based program) [see WARNINGS, Life-Threatening Respiratory Depression ; DOSAGE AND ADMINISTRATION ].

Educate patients and caregivers on how to recognize the signs and symptoms of an overdose.

Explain to patients and caregivers that naloxone’s effects are temporary, and that they must call 911 or get emergency medical help right away in all cases of known or suspected opioid overdose, even if naloxone is administered [see OVERDOSAGE ].

If naloxone is prescribed, also advise patients and caregivers:

  • How to treat with naloxone in the event of an opioid overdose
  • To tell family and friends about their naloxone and to keep it in a place where family and friends can access it in an emergency
  • To read the Patient Information (or other educational material) that will come with their naloxone.

Emphasize the importance of doing this before an opioid emergency happens, so the patient and caregiver will know what to do.

Hyperalgesia and Allodynia

Inform patients and caregivers not to increase opioid dosage without first consulting a clinician. Advise patients to seek medical attention if they experience symptoms of hyperalgesia, including worsening pain, increased sensitivity to pain, or new pain [see WARNINGS Adverse Reactions ].

Serotonin Syndrome

Inform patients that Hydrocodone Bitartrate and Acetaminophen Tablets could cause a rare but potentially life-threatening condition resulting from concomitant administration of serotonergic drugs. Warn patients of the symptoms of serotonin syndrome and to seek medical attention right away if symptoms develop. Instruct patients to inform their healthcare providers if they are taking, or plan to take serotonergic medications [see PRECAUTIONS; Drug Interactions ].

Monoamine Oxidase Inhibitor (MAOI) Interaction

Inform patients to avoid taking Hydrocodone and Acetaminophen Tablets while using any drugs that inhibit monoamine oxidase. Patients should not start MAOIs while taking Hydrocodone and Acetaminophen Tablets [see PRECAUTIONS; Drug Interactions ].

Important Administration Instructions

Instruct patients how to properly take Hydrocodone Bitartrate and Acetaminophen Tablets [see DOSAGE AND ADMINISTRATION , WARNINGS ].

Important Discontinuation Instructions

In order to avoid developing withdrawal symptoms, instruct patients not to discontinue Hydrocodone Bitartrate and Acetaminophen Tablets without first discussing a tapering plan with the prescriber [see DOSAGE AND ADMINISTRATION ].

Maximum Daily Dose of Acetaminophen

Inform patients not to take more than 4,000 milligrams of acetaminophen per day. Advise patients to call their prescriber if they take more than the recommended dose.

Driving or Operating Heavy Machinery

Inform patients that Hydrocodone Bitartrate and Acetaminophen Tablets may impair the ability to perform potentially hazardous activities such as driving a car or operating heavy machinery.

Advise patients not to perform such tasks until they know how they will react to the medication [see WARNINGS ].

Constipation

Advise patients of the potential for severe constipation, including management instructions and when to seek medical attention [see ADVERSE REACTIONS , CLINICAL PHARMACOLOGY ].

Adrenal Insufficiency

Inform patients that Hydrocodone Bitartrate and Acetaminophen Tablets opioids could cause adrenal insufficiency, a potentially life-threatening condition. Adrenal insufficiency may present with non-specific symptoms and signs such as nausea, vomiting, anorexia, fatigue, weakness, dizziness, and low blood pressure. Advise patients to seek medical attention if they experience a constellation of these symptoms [see WARNINGS ].

Hypotension

Inform patients that Hydrocodone Bitartrate and Acetaminophen Tablets may cause orthostatic hypotension and syncope. Instruct patients how to recognize symptoms of low blood pressure and how to reduce the risk of serious consequences should hypotension occur (e.g., sit or lie down, carefully rise from a sitting or lying position) [see WARNINGS ].

Anaphylaxis

Inform patients that anaphylaxis has been reported with ingredients contained in Hydrocodone Bitartrate and Acetaminophen Tablets. Advise patients how to recognize such a reaction and when to seek medical attention [see CONTRAINDICATIONS , ADVERSE REACTIONS ].

Pregnancy

Neonatal Opioid Withdrawal Syndrome

Inform female patients of reproductive potential that use of Hydrocodone Bitartrate and Acetaminophen Tablets for an extended period of time during pregnancy can result in neonatal opioid withdrawal syndrome, which may be life-threatening if not recognized and treated [see WARNINGS , PRECAUTIONS; Pregnancy ].

Embryo-Fetal Toxicity

Inform female patients of reproductive potential that Hydrocodone Bitartrate and Acetaminophen Tablets can cause fetal harm and to inform their healthcare provider of a known or suspected pregnancy [see PRECAUTIONS; Pregnancy ].

Neonatal Opioid Withdrawal Syndrome

Use of Hydrocodone Bitartrate and Acetaminophen Tablets for an extended period of time during pregnancy can result in withdrawal in the neonate. Neonatal opioid withdrawal syndrome, unlike opioid withdrawal syndrome in adults, may be life-threatening if not recognized and treated, and requires management according to protocols developed by neonatology experts. Observe newborns for signs of neonatal opioid withdrawal syndrome and manage accordingly. Advise pregnant women using opioids for an extended period of time of the risk of neonatal opioid withdrawal syndrome and ensure that appropriate treatment will be available [see PRECAUTIONS; Information for Patients , Pregnancy ].

Life Threatening Respiratory Depression

Serious, life-threatening, or fatal respiratory depression has been reported with the use of opioids, even when used as recommended. Respiratory depression, if not immediately recognized and treated, may lead to respiratory arrest and death. Management of respiratory depression may include close observation, supportive measures, and use of opioid antagonists, depending on the patient’s clinical status [see  OVERDOSAGE ] . Carbon dioxide (CO2) retention from opioid-induced respiratory depression can exacerbate the sedating effects of opioids.

While serious, life-threatening, or fatal respiratory depression can occur at any time during the use of Hydrocodone Bitartrate and Acetaminophen Tablets, the risk is greatest during the initiation of therapy or following a dosage increase.

To reduce the risk of respiratory depression, proper dosing and titration of Hydrocodone Bitartrate and Acetaminophen Tablets are essential [see DOSAGE AND ADMINISTRATION ] . Overestimating the Hydrocodone Bitartrate and Acetaminophen Tablets dosage when converting patients from another opioid product can result in a fatal overdose.

Accidental ingestion of even one dose of Hydrocodone Bitartrate and Acetaminophen Tablets, especially by children, can result in respiratory depression and death due to an overdose of Hydrocodone Bitartrate and Acetaminophen Tablets.

Educate patients and caregivers on how to recognize respiratory depression and emphasize the importance of calling 911 or getting emergency medical help right away in the event of a known or suspected overdose [see  PRECAUTIONS, Information for Patients/Caregivers ] .

Opioids can cause sleep-related breathing disorders including central sleep apnea (CSA) and sleep-related hypoxemia. Opioid use increases the risk of CSA in a dose-dependent fashion. In patients who present with CSA, consider decreasing the opioid dosage using best practices for opioid taper [see DOSAGE AND ADMINISTRATION ].

Patient Access to Naloxone for the Emergency Treatment of Opioid Overdose

Discuss the availability of naloxone for the emergency treatment of opioid overdose with the patient and caregiver and assess the potential need for access to naloxone, both when initiating and renewing treatment with Hydrocodone Bitartrate and Acetaminophen Tablets. Inform patients and caregivers about the various ways to obtain naloxone as permitted by individual state naloxone dispensing and prescribing requirements or guidelines (e.g., by prescription, directly from a pharmacist, or as part of a community-based program). Educate patients and caregivers on how to recognize respiratory depression and emphasize the importance of calling 911 or getting emergency medical help, even if naloxone is administered [see PRECAUTIONS, Information for Patients/Caregivers ].

Consider prescribing naloxone, based on the patient’s risk factors for overdose, such as concomitant use of other CNS depressants, a history of opioid use disorder, or prior opioid overdose. The presence of risk factors for overdose should not prevent the proper management of pain in any given patient. Also consider prescribing naloxone if the patient has household members (including children) or other close contacts at risk for accidental ingestion or overdose. If naloxone is prescribed, educate patients and caregivers on how to treat with naloxone [see  WARNINGS, Addiction, Abuse, and MisuseRisks from Concomitant Use with Benzodiazepines or Other CNS Depressants; PRECAUTIONS, Information for Patients/Caregivers ].

Risks of Driving and Operating Machinery

Hydrocodone Bitartrate and Acetaminophen Tablets may impair the mental or physical abilities needed to perform potentially hazardous activities such as driving a car or operating machinery. Warn patients not to drive or operate dangerous machinery unless they are tolerant to the effects of Hydrocodone Bitartrate and Acetaminophen Tablets and know how they will react to the medication [see PRECAUTIONS; Information for Patients /Caregivers ].

Opioid Induced Hyperalgesia and Allodynia

Opioid-Induced Hyperalgesia (OIH) occurs when an opioid analgesic paradoxically causes an increase in pain, or an increase in sensitivity to pain. This condition differs from tolerance, which is the need for increasing doses of opioids to maintain a defined effect [see Dependence ]. Symptoms of OIH include (but may not be limited to) increased levels of pain upon opioid dosage increase, decreased levels of pain upon opioid dosage decrease, or pain from ordinarily non-painful stimuli (allodynia). These symptoms may suggest OIH only if there is no evidence of underlying disease progression, opioid tolerance, opioid withdrawal, or addictive behavior.

Cases of OIH have been reported, both with short-term and longer-term use of opioid analgesics. Though the mechanism of OIH is not fully understood, multiple biochemical pathways have been implicated. Medical literature suggests a strong biologic plausibility between opioid analgesics and OIH and allodynia. If a patient is suspected to be experiencing OIH, carefully consider appropriately decreasing the dose of the current opioid analgesic or opioid rotation (safely switching the patient to a different opioid moiety) [see DOSAGE AND ADMINISTRATION , WARNINGS ].

Carcinogenesis, Mutagenesis, Impairment of Fertility

Carcinogenesis



Long-term studies to evaluate the carcinogenic potential of the combination of Hydrocodone Bitartrate and Acetaminophen Tablets have not been conducted.



Long-term studies in mice and rats have been completed by the National Toxicology Program to evaluate the carcinogenic potential of acetaminophen. In 2-year feeding studies, F344/N rats and B6C3F1 mice were fed a diet containing acetaminophen up to 6,000 ppm. Female rats demonstrated equivocal evidence of carcinogenic activity based on increased incidences of mononuclear cell leukemia at 0.8 times the maximum human daily dose (MHDD) of 4 grams/day, based on a body surface area comparison. In contrast, there was no evidence of carcinogenic activity in male rats that received up to 0.7 times or mice at up to 1.2 to 1.4 times the MHDD, based on a body surface area comparison.



Mutagenesis



In the published literature, acetaminophen has been reported to be clastogenic when administered at 1,500 mg/kg/day to the rat model (3.6-times the MHDD, based on a body surface area comparison). In contrast, no clastogenicity was noted at a dose of 750 mg/kg/day (1.8-times the MHDD, based on a body surface area comparison), suggesting a threshold effect.



Impairment of Fertility



In studies conducted by the National Toxicology Program, fertility assessments with acetaminophen have been completed in Swiss CD-1 mice via a continuous breeding study. There were no effects on fertility parameters in mice consuming up to 1.7 times the MHDD of acetaminophen, based on a body surface area comparison. Although there was no effect on sperm motility or sperm density in the epididymis, there was a significant increase in the percentage of abnormal sperm in mice consuming 1.78 times the MHDD (based on a body surface comparison) and there was a reduction in the number of mating pairs producing a fifth litter at this dose, suggesting the potential for cumulative toxicity with chronic administration of acetaminophen near the upper limit of daily dosing.



Published studies in rodents report that oral acetaminophen treatment of male animals at doses that are 1.2 times the MHDD and greater (based on a body surface comparison) result in decreased testicular weights, reduced spermatogenesis, reduced fertility, and reduced implantation sites in females given the same doses. These effects appear to increase with the duration of treatment. The clinical significance of these findings is not known.

Infertility



Use of opioids for an extended period of time may cause reduced fertility in females and males of reproductive potential. It is not known whether these effects on fertility are reversible [see ADVERSE REACTIONS ].

Risks of Use in Patients With Gastrointestinal Conditions

Hydrocodone Bitartrate and Acetaminophen Tablets are contraindicated in patients with gastrointestinal obstruction, including paralytic ileus.

The administration of Hydrocodone Bitartrate and Acetaminophen Tablets or other opioids may obscure the diagnosis or clinical course in patients with acute abdominal conditions.

Hydrocodone may cause spasm of the sphincter of Oddi. Opioids may cause increases in serum amylase.  Regularly evaluate patients with biliary tract disease, including acute pancreatitis, for worsening symptoms.

Increased Risk of Seizures in Patients With Seizure Disorders

The hydrocodone in Hydrocodone Bitartrate and Acetaminophen Tablets may increase the frequency of seizures in patients with seizure disorders, and may increase the risk of seizures occurring in other clinical settings associated with seizures. Regularly evaluate patients with a history of seizure disorders for worsened seizure control during hydrocodone bitartrate and acetaminophen tablet therapy.

Opioid Analgesic Risk Evaluation and Mitigation Strategy (rems)

To ensure that the benefits of opioid analgesics outweigh the risks of addiction, abuse, and misuse, the Food and Drug Administration (FDA) has required a Risk Evaluation and Mitigation Strategy (REMS) for these products. Under the requirements of the REMS, drug companies with approved opioid analgesic products must make REMS-compliant education programs available to healthcare providers. Healthcare providers are strongly encouraged to do all of the following:

  • Complete a REMS-compliant education program offered by an accredited provider of continuing education (CE) or another education program that includes all the elements of the FDA Education Blueprint for Health Care Providers Involved in the Management or Support of Patients with Pain.

  • Discuss the safe use, serious risks, and proper storage and disposal of opioid analgesics with patients and/or their caregivers every time these medicines are prescribed. The Patient Counseling Guide (PCG) can be obtained at this link: www.fda.gov/OpioidAnalgesicREMSPCG.

  • Emphasize to patients and their caregivers the importance of reading the Medication Guide that they will receive from their pharmacist every time an opioid analgesic is dispensed to them.

  • Consider using other tools to improve patient, household, and community safety, such as patient-prescriber agreements that reinforce patient-prescriber responsibilities.

To obtain further information on the opioid analgesic REMS and for a list of accredited REMS CME/CE, call 800-503-0784, or log on to www.opioidanalgesicrems.com. The FDA Blueprint can be found at www.fda.gov/OpioidAnalgesicREMSBlueprint .

Risks From Concomitant Use With Benzodiazepines Or Other Cns Depressants

Profound sedation, respiratory depression, coma, and death may result from the concomitant use of Hydrocodone Bitartrate and Acetaminophen Tablets with benzodiazepines and/or other CNS depressants, including alcohol (e.g., non-benzodiazepine sedatives/hypnotics, anxiolytics, tranquilizers, muscle relaxants, general anesthetics, antipsychotics, other opioids, alcohol). Because of these risks, reserve concomitant prescribing of these drugs for use in patients for whom alternative treatment options are inadequate.

Observational studies have demonstrated that concomitant use of opioid analgesics and benzodiazepines increases the risk of drug-related mortality compared to use of opioid analgesics alone. Because of similar pharmacological properties, it is reasonable to expect similar risk with the concomitant use of other CNS depressant drugs with opioid analgesics [see PRECAUTIONS; Drug Interactions ].

If the decision is made to prescribe a benzodiazepine or other CNS depressant concomitantly with an opioid analgesic, prescribe the lowest effective dosages and minimum durations of concomitant use. In patients already receiving an opioid analgesic, prescribe a lower initial dose of the benzodiazepine or other CNS depressant than indicated in the absence of an opioid, and titrate based on clinical response. If an opioid analgesic is initiated in a patient already taking a benzodiazepine or other CNS depressant, prescribe a lower initial dose of the opioid analgesic, and titrate based on clinical response. Inform patients and caregivers of this potential interaction, educate them on the signs and symptoms of respiratory depression (including sedation).

If concomitant use is warranted, consider prescribing naloxone for the emergency treatment of opioid overdose [see WARNINGS, Life-Threatening Respiratory Depression ; DOSAGE AND ADMINISTRATION, Patient Access to Naloxone for the Emergency Treatment of Opioid Overdose ].

Advise both patients and caregivers about the risks of respiratory depression and sedation when Hydrocodone Bitartrate and Acetaminophen Tablets are used with benzodiazepines or other CNS depressants (including alcohol and illicit drugs). Advise patients not to drive or operate heavy machinery until the effects of concomitant use of the benzodiazepine or other CNS depressant have been determined.

Screen patients for risk of substance use disorders, including opioid abuse and misuse, and warn them of the risk for overdose and death associated with the use of additional CNS depressants including alcohol and illicit drugs [see PRECAUTIONS: Drug Interactions , Information for Patients ].

Risks of Concomitant Use Or Discontinuation of Cytochrome P450 3a4 Inhibitors and Inducers

Concomitant use of Hydrocodone Bitartrate and Acetaminophen Tablets with a CYP3A4 inhibitor, such as macrolide antibiotics (e.g., erythromycin), azole-antifungal agents (e.g., ketoconazole), and protease inhibitors (e.g., ritonavir), may increase plasma concentrations of Hydrocodone Bitartrate and Acetaminophen Tablets and prolong opioid adverse reactions, which may cause potentially fatal respiratory depression [see WARNINGS ], particularly when an inhibitor is added after a stable dose of Hydrocodone Bitartrate and Acetaminophen Tablets are achieved.

Similarly, discontinuation of a CYP3A4 inducer, such as rifampin, carbamazepine, and phenytoin, in Hydrocodone Bitartrate and Acetaminophen Tablets-treated patients may increase hydrocodone plasma concentrations and prolong opioid adverse reactions. When adding CYP3A4 inhibitors or discontinuing CYP3A4 inducers in Hydrocodone Bitartrate and Acetaminophen Tablets-treated patients, evaluate patients at frequent intervals and consider dosage reduction of Hydrocodone Bitartrate and Acetaminophen Tablets until stable drug effects are achieved [see PRECAUTIONS; Drug Interactions ].

Concomitant use of Hydrocodone Bitartrate and Acetaminophen Tablets with CYP3A4 inducers or discontinuation of an CYP3A4 inhibitor could decrease hydrocodone plasma concentrations, decrease opioid efficacy or, possibly, lead to a withdrawal syndrome in a patient who had developed physical dependence to hydrocodone. When using Hydrocodone Bitartrate and Acetaminophen Tablets with CYP3A4 inducers or discontinuing CYP3A4 inhibitors, follow patients at frequent intervals and consider increasing the opioid dosage if needed to maintain adequate analgesia or if symptoms of opioid withdrawal occur [see PRECAUTIONS; Drug Interactions ].

Risks of Use in Patients With Increased Intracranial Pressure, Brain Tumors, Head Injury, Or Impaired Consciousness

In patients who may be susceptible to the intracranial effects of CO2 retention (e.g., those with evidence of increased intracranial pressure or brain tumors), Hydrocodone Bitartrate and Acetaminophen Tablets may reduce respiratory drive, and the resultant CO2 retention can further increase intracranial pressure. Follow such patients for signs of sedation and respiratory depression, particularly when initiating therapy with Hydrocodone Bitartrate and Acetaminophen Tablets.

Opioids may also obscure the clinical course in a patient with a head injury. Avoid the use of Hydrocodone Bitartrate and Acetaminophen Tablets in patients with impaired consciousness or coma.

Life Threatening Respiratory Depression in Patients With Chronic Pulmonary Disease Or in Elderly, Cachectic, Or Debilitated Patients

The use of Hydrocodone Bitartrate and Acetaminophen Tablets in patients with acute or severe bronchial asthma in an unmonitored setting or in the absence of resuscitative equipment is contraindicated.

Patients with Chronic Pulmonary Disease: Hydrocodone Bitartrate and Acetaminophen Tablet-treated patients with significant chronic obstructive pulmonary disease or cor pulmonale, and those with a substantially decreased respiratory reserve, hypoxia, hypercapnia, or pre-existing respiratory depression are at increased risk of decreased respiratory drive including apnea, even at recommended dosages of Hydrocodone Bitartrate and Acetaminophen Tablets [see WARNINGS; Life-Threatening Respiratory Depression ].

Elderly, Cachectic, or Debilitated Patients: Life-threatening respiratory depression is more likely to occur in elderly, cachectic, or debilitated patients because they may have altered pharmacokinetics or altered clearance compared to younger, healthier patients [see WARNINGS; Life-Threatening Respiratory Depression ].

Regularly evaluate, particularly when initiating and titrating Hydrocodone Bitartrate and Acetaminophen Tablets and when Hydrocodone Bitartrate and Acetaminophen Tablets are given concomitantly with other drugs that depress respiration [see WARNINGS; Life-Threatening Respiratory Depression ]. Alternatively, consider the use of non-opioid analgesics in these patients.


Structured Label Content

Recent Major Changes (34066-1)

WARNING: SERIOUS AND LIFE-THREATENING RISKS FROM USE OF HYDROCODONE BITARTRATE AND ACETAMINOPHEN TABLETS

Addiction, Abuse, and Misuse

Because the use of Hydrocodone Bitartrate and Acetaminophen Tablets exposes patients and other users to the risks of opioid addiction, abuse, and misuse, which can lead to overdose and death, assess each patient’s risk prior to prescribing and reassess all patients regularly for the development of these behaviors and conditions [see WARNINGS ].

Life-Threatening Respiratory Depression

Serious, life-threatening, or fatal respiratory depression may occur with use of Hydrocodone Bitartrate and Acetaminophen Tablets, especially during initiation or following a dose increase. To reduce the risk of respiratory depression, proper dosing and titration of Hydrocodone Bitartrate and Acetaminophen Tablets are essential [see WARNINGS ] .

Accidental Ingestion

Accidental ingestion of even one dose of Hydrocodone Bitartrate and Acetaminophen Tablets, especially by children, can result in a fatal overdose of hydrocodone [see WARNINGS ].

Risks From Concomitant Use With Benzodiazepines Or Other CNS Depressants

Concomitant use of opioids with benzodiazepines or other central nervous system (CNS) depressants, including alcohol, may result in profound sedation, respiratory depression, coma, and death. Reserve concomitant prescribing of Hydrocodone Bitartrate and Acetaminophen Tablets and benzodiazepines or other CNS depressants for use in patients for whom alternative treatment options are inadequate [see WARNINGS , PRECAUTIONS; Drug Interactions ].

Neonatal Opioid Withdrawal Syndrome  (NOWS)

If opioid use is required for an extended period of time in a pregnant woman, advise the patient of the risk of NOWS, which may be life-threatening if not recognized and treated. Ensure that management by neonatology experts will be available at delivery [see WARNINGS ].

Opioid Analgesic Risk Evaluation and Mitigation Strategy (REMS)

Healthcare providers are strongly encouraged to complete a REMS-compliant education program and to counsel patients and caregivers on serious risks, safe use, and the importance of reading the Medication Guide with each prescription [see WARNINGS].

Cytochrome P450 3A4 Interaction

The concomitant use of Hydrocodone Bitartrate and Acetaminophen Tablets with all Cytochrome P450 3A4 inhibitors may result in an increase in hydrocodone plasma concentrations, which could increase or prolong adverse reactions and may cause potentially fatal respiratory depression. In addition, discontinuation of a concomitantly used Cytochrome P450 3A4 inducer may result in an increase in hydrocodone plasma concentrations. Monitor patients receiving Hydrocodone Bitartrate and Acetaminophen Tablets and any Cytochrome P450 3A4 inhibitor or inducer for signs of respiratory depression or sedation [see CLINICAL PHARMACOLOGY , WARNINGS , PRECAUTIONS; Drug Interactions ].

Hepatotoxicity

Acetaminophen has been associated with cases of acute liver failure, at times resulting in liver transplant and death. Most of the cases of liver injury are associated with the use of acetaminophen at doses that exceed 4,000 milligrams per day, and often involve more than one acetaminophen-containing product [see WARNINGS OVERDOSAGE ].
Indications and Usage (INDICATIONS AND USAGE)

Hydrocodone Bitartrate and Acetaminophen Tablets are indicated for the management of pain severe enough to require opioid analgesic and for which alternative treatments are inadequate.

Limitations of Use

Because of the risks of addiction, abuse, and misuse with opioids, which can occur at any dosage or duration [see  WARNINGS ], reserve Hydrocodone Bitartrate and Acetaminophen Tablets for use in patients for whom alternative treatment options (e.g., non-opioid analgesics):

  • Have not been tolerated, or are not expected to be tolerated,
  • Have not provided adequate analgesia, or are not expected to provide adequate analgesia

Hydrocodone Bitartrate and Acetaminophen Tablets should not be used for an extended period of time unless the pain remains severe enough to require an opioid analgesic and for which alternative treatment options continue to be inadequate.

Dosage and Administration (DOSAGE AND ADMINISTRATION)

Important Dosage and Administration Instructions

Hydrocodone Bitartrate and Acetaminophen Tablets should be prescribed only by healthcare professionals who are knowledgeable about the use of opioids and how to mitigate the associated risks.

Use the lowest effective dosage for the shortest duration of time consistent with individual patient treatment goals [see WARNINGS ]. Because the risk of overdose increases as opioid doses increase, reserve titration to higher doses of Hydrocodone Bitartrate and Acetaminophen Tablets for patients in whom lower doses are insufficiently effective and in whom the expected benefits of using a higher dose opioid clearly outweigh the substantial risks.

Many acute pain conditions (e.g., the pain that occurs with a number of surgical procedures or acute musculoskeletal injuries) require no more than a few days of an opioid analgesic. Clinical guidelines on opioid prescribing for some acute pain conditions are available.

There is variability in the opioid analgesic dose and duration needed to adequately manage pain due both to the cause of pain and to individual patient factors. Initiate the dosing regimen for each patient individually, taking into account the patient’s underlying cause and severity of pain, prior analgesic treatment and response, and risk factors for addiction, abuse, and misuse [see WARNINGS ].

Respiratory depression can occur at any time during opioid therapy, especially when initiating and following dosage increases with Hydrocodone Bitartrate and Acetaminophen Tablets. Consider this risk when selecting an initial dose and when making dose adjustments [see WARNINGS ].

Patient Access to Naloxone for the Emergency Treatment of Opioid Overdose

Discuss the availability of naloxone for the emergency treatment of opioid overdose with the patient and caregiver and assess the potential need for access to naloxone, both when initiating and renewing treatment with Hydrocodone Bitartrate and Acetaminophen Tablets [see WARNINGS, Life-Threatening Respiratory Depression ; PRECAUTIONS, Information for Patients/Caregivers ].

Inform patients and caregivers about the various ways to obtain naloxone as permitted by individual state naloxone dispensing and prescribing regulations (e.g., by prescription, directly from a pharmacist, or as part of a community-based program).

Consider prescribing naloxone, based on the patient’s risk factors for overdose, such as concomitant use of CNS depressants, a history of opioid use disorder, or prior opioid overdose. The presence of risk factors for overdose should not prevent the proper management of pain in any given patient [see WARNINGS, Addiction, Abuse, and Misuse , Life-Threatening Respiratory Depression , Risks from Concomitant Use with Benzodiazepines or Other CNS Depressants ].

Consider prescribing naloxone when the patient has household members (including children) or other close contacts at risk for accidental ingestion or overdose.

Initial Dosage

Use of Hydrocodone Bitartrate and Acetaminophen Tablets as the First Opioid Analgesic

5 mg/325 mg

Initiate treatment with Hydrocodone Bitartrate and Acetaminophen Tablets in a dosing range of 1 to 2 tablets every 4 to 6 hours as needed for pain, at the lowest dose necessary to achieve adequate analgesia. Titrate the dose based upon the individual patient’s response to their initial dose of Hydrocodone Bitartrate and Acetaminophen Tablets. The total daily dosage should not exceed 8 tablets.

7.5 mg/325 mg

10 mg/325 mg

Initiate treatment with Hydrocodone Bitartrate and Acetaminophen Tablets with 1 tablet every 4 to 6 hours as needed for pain, at the lowest dose necessary to achieve adequate analgesia. Titrate the dose based upon the individual patient’s response to their initial dose of Hydrocodone Bitartrate and Acetaminophen Tablets. The total daily dosage should not exceed 6 tablets.

Conversion from Other Opioids to Hydrocodone Bitartrate and Acetaminophen Tablets

There is inter-patient variability in the potency of opioid drugs and opioid formulations. Therefore, a conservative approach is advised when determining the total daily dosage of Hydrocodone Bitartrate and Acetaminophen Tablets. It is safer to underestimate a patient’s 24-hour Hydrocodone Bitartrate and Acetaminophen Tablets dosage than to overestimate the 24-hour Hydrocodone Bitartrate and Acetaminophen Tablets dosage and manage an adverse reaction due to overdose.

Conversion from Hydrocodone Bitartrate and Acetaminophen Tablets to Extended-Release Hydrocodone

The relative bioavailability of Hydrocodone Bitartrate and Acetaminophen Tablets compared to extended-release hydrocodone is unknown, so conversion to extended-release hydrocodone may lead to increased risk of excessive sedation and respiratory depression.

Titration and Maintenance of Therapy

Individually titrate Hydrocodone Bitartrate and Acetaminophen Tablets to a dose that provides adequate analgesia and minimizes adverse reactions. Continually reevaluate patients receiving Hydrocodone Bitartrate and Acetaminophen Tablets to assess the maintenance of pain control, signs and symptoms of opioid withdrawal, and other adverse reactions, as well as to reassess for the development of addiction, abuse, or misuse [see WARNINGS ]. Frequent communication is important among the prescriber, other members of the healthcare team, the patient, and the caregiver/family during periods of changing analgesic requirements, including initial titration.

If the level of pain increases after dosage stabilization, attempt to identify the source of increased pain before increasing the Hydrocodone Bitartrate and Acetaminophen Tablets dosage. If after increasing the dosage, unacceptable opioid-related adverse reactions are observed (including an increase in pain after dosage increase), consider reducing the dosage [see WARNINGS ]. Adjust the dosage to obtain an appropriate balance between management of pain and opioid-related adverse reactions.

Safe Reduction or Discontinuation of Hydrocodone Bitartrate and Acetaminophen Tablets

Do not abruptly discontinue Hydrocodone Bitartrate and Acetaminophen Tablets in patients who may be physically dependent on opioids. Rapid discontinuation of opioid analgesics in patients who are physically dependent on opioids has resulted in serious withdrawal symptoms, uncontrolled pain, and suicide. Rapid discontinuation has also been associated with attempts to find other sources of opioid analgesics, which may be confused with drug-seeking for abuse. Patients may also attempt to treat their pain or withdrawal symptoms with illicit opioids, such as heroin, and other substances.

When a decision has been made to decrease the dose or discontinue therapy in an opioid-dependent patient taking Hydrocodone Bitartrate and Acetaminophen Tablets, there are a variety of factors that should be considered, including the total daily dose of opioid (including Hydrocodone Bitartrate and Acetaminophen Tablets) the patient has been taking, the duration of treatment, the type of pain being treated, and the physical and psychological attributes of the patient. It is important to ensure ongoing care of the patient and to agree on an appropriate tapering schedule and follow-up plan so that patient and provider goals and expectations are clear and realistic. When opioid analgesics are being discontinued due to a suspected substance use disorder, evaluate and treat the patient, or refer for evaluation and treatment of the substance use disorder. Treatment should include evidence-based approaches, such as medication assisted treatment of opioid use disorder. Complex patients with co-morbid pain and substance use disorders may benefit from referral to a specialist.

There are no standard opioid tapering schedules that are suitable for all patients. Good clinical practice dictates a patient-specific plan to taper the dose of the opioid gradually. For patients on Hydrocodone Bitartrate and Acetaminophen Tablets who are physically opioid-dependent, initiate the taper by a small enough increment (e.g., no greater than 10% to 25% of the total daily dose) to avoid withdrawal symptoms, and proceed with dose-lowering at an interval of every 2 to 4 weeks. Patients who have been taking opioids for briefer periods of time may tolerate a more rapid taper.

It may be necessary to provide the patient with lower dosage strengths to accomplish a successful taper. Reassess the patient frequently to manage pain and withdrawal symptoms, should they emerge. Common withdrawal symptoms include restlessness, lacrimation, rhinorrhea, yawning, perspiration, chills, myalgia, and mydriasis. Other signs and symptoms also may develop, including irritability, anxiety, backache, joint pain, weakness, abdominal cramps, insomnia, nausea, anorexia, vomiting, diarrhea, or increased blood pressure, respiratory rate, or heart rate. If withdrawal symptoms arise, it may be necessary to pause the taper for a period of time or raise the dose of the opioid analgesic to the previous dose, and then proceed with a slower taper. In addition, evaluate patients for any changes in mood, emergence of suicidal thoughts, or use of other substances.

When managing patients taking opioid analgesics, particularly those who have been treated for an extended period of time and/or with high doses for chronic pain, ensure that a multimodal approach to pain management, including mental health support (if needed), is in place prior to initiating an opioid analgesic taper. A multimodal approach to pain management may optimize the treatment of chronic pain, as well as assist with the successful tapering of the opioid analgesic [see WARNINGS; Withdrawal , DRUG ABUSE AND DEPENDENCE ].

Contraindications (CONTRAINDICATIONS)

Hydrocodone Bitartrate and Acetaminophen Tablets are contraindicated in patients with:

  • Significant respiratory depression [see WARNINGS ]

  • Acute or severe bronchial asthma in an unmonitored setting or in the absence of resuscitative equipment [see WARNINGS ]

  • Known or suspected gastrointestinal obstruction, including paralytic ileus [see WARNINGS ]

  • Hypersensitivity to hydrocodone or acetaminophen (e.g., anaphylaxis) [see WARNINGS , ADVERSE REACTIONS ]

Adverse Reactions (ADVERSE REACTIONS)

The following adverse reactions have been identified during post approval use of Hydrocodone and Acetaminophen Tablets. Because these reactions are reported voluntarily from a population of uncertain size, it is not always possible to reliably estimate their frequency or establish a causal relationship to drug exposure.

The most frequently reported adverse reactions are light-headedness, dizziness, sedation, nausea and vomiting.

Other adverse reactions include:

Central Nervous System

Drowsiness, mental clouding, lethargy, impairment of mental and physical performance, anxiety, fear, dysphoria, psychological dependence, mood changes.

Gastrointestinal System

Constipation.

Genitourinary System

Ureteral spasm, spasm of vesical sphincters, and urinary retention.

Special Senses

Cases of hearing impairment or permanent loss have been reported predominantly in patients with chronic overdose.

Dermatological

Skin rash, pruritus, Stevens-Johnson syndrome, toxic epidermal necrolysis, allergic reactions.

Hematological

Thrombocytopenia, agranulocytosis.

  • Serotonin syndrome: Cases of serotonin syndrome, a potentially life-threatening condition, have been reported during concomitant use of opioids with serotonergic drugs.
  • Adrenal insufficiency: Cases of adrenal insufficiency have been reported with opioid use, more often following greater than one month of use.
  • Anaphylaxis: Anaphylaxis has been reported with ingredients contained in Hydrocodone Bitartrate and Acetaminophen Tablets.
  • Androgen deficiency: Cases of androgen deficiency have occurred with use of opioids for an extended period of time. [see CLINICAL PHARMACOLOGY ].
  • Hyperalgesia and Allodynia: Cases of hyperalgesia and allodynia have been reported with opioid therapy of any duration [see WARNINGS ].
  • Hypoglycemia: Cases of hypoglycemia have been reported in patients taking opioids. Most reports were in patients with at least one predisposing risk factor (e.g., diabetes).

To report SUSPECTED ADVERSE REACTIONS, contact Tris Pharma, Inc., at (732) 940-0358 or FDA at 1-800-FDA-1088 or www.fda.gov/medwatch

Drug Interactions (DRUG INTERACTIONS)

Inhibitors of CYP3A4 and CYP2D6

The concomitant use of Hydrocodone Bitartrate and Acetaminophen Tablets and CYP3A4 inhibitors, such as macrolide antibiotics (e.g., erythromycin), azole-antifungal agents (e.g. ketoconazole), and protease inhibitors (e.g., ritonavir), can increase the plasma concentration of the hydrocodone from Hydrocodone Bitartrate and Acetaminophen Tablets, resulting in increased or prolonged opioid effects. These effects could be more pronounced with concomitant use of Hydrocodone Bitartrate and Acetaminophen Tablets and both CYP3A4 and CYP2D6 inhibitors, particularly when an inhibitor is added after a stable dose of Hydrocodone Bitartrate and Acetaminophen Tablets are achieved [see WARNINGS ].

After stopping a CYP3A4 inhibitor, as the effects of the inhibitor decline, the hydrocodone plasma concentration will decrease [see CLINICAL PHARMACOLOGY ], resulting in decreased opioid efficacy or a withdrawal syndrome in patients who had developed physical dependence to Hydrocodone Bitartrate and Acetaminophen Tablets.

If concomitant use is necessary, consider dosage reduction of Hydrocodone Bitartrate and Acetaminophen Tablets until stable drug effects are achieved. Evaluate patients at frequent intervals for respiratory depression and sedation. If a CYP3A4 inhibitor is discontinued, consider increasing the Hydrocodone Bitartrate and Acetaminophen Tablets dosage until stable drug effects are achieved. Evaluate for signs of opioid withdrawal.

Inducers of CYP3A4

The concomitant use of Hydrocodone Bitartrate and Acetaminophen Tablets and CYP3A4 inducers, such as rifampin, carbamazepine, and phenytoin, can decrease the plasma concentration of hydrocodone [see CLINICAL PHARMACOLOGY ], resulting in decreased efficacy or onset of a withdrawal syndrome in patients who have developed physical dependence to hydrocodone [see WARNINGS ].

After stopping a CYP3A4 inducer, as the effects of the inducer decline, the hydrocodone plasma concentration will increase [see CLINICAL PHARMACOLOGY ], which could increase or prolong both the therapeutic effects and adverse reactions, and may cause serious respiratory depression.

If concomitant use is necessary, consider increasing the Hydrocodone Bitartrate and Acetaminophen Tablets dosage until stable drug effects are achieved.  Evaluate the patient for signs and symptoms of opioid withdrawal. If a CYP3A4 inducer is discontinued, consider Hydrocodone Bitartrate and Acetaminophen Tablets dosage reduction and evaluate patients at frequent intervals for signs of respiratory depression and sedation.

Benzodiazepines and Other Central Nervous System (CNS) Depressants

Due to additive pharmacologic effect, the concomitant use of benzodiazepines and other CNS depressants, such as benzodiazepines and other sedative hypnotics, anxiolytics, and tranquilizers, muscle relaxants, general anesthetics, antipsychotics, and other opioids, including alcohol, can increase the risk of hypotension, respiratory depression, profound sedation, coma, and death.

Reserve concomitant prescribing of these drugs for use in patients for whom alternative treatment options are inadequate. Limit dosages and durations to the minimum required. Inform patients and caregivers of this potential interaction, educate them on the signs and symptoms of respiratory depression (including sedation). If concomitant use is warranted, consider prescribing naloxone for the emergency treatment of opioid overdose [see WARNINGS ].

Serotonergic Drugs

The concomitant use of opioids with other drugs that affect the serotonergic neurotransmitter system, such as selective serotonin reuptake inhibitors (SSRIs), serotonin and norepinephrine reuptake inhibitors (SNRIs), tricyclic antidepressants (TCAs), triptans, 5-HT3 receptor antagonists, drugs that affect the serotonin neurotransmitter system (e.g., mirtazapine, trazodone, tramadol), certain muscle relaxants (i.e., cyclobenzaprine, metaxalone), monoamine oxidase (MAO) inhibitors (those intended to treat psychiatric disorders and also others, such as linezolid and intravenous methylene blue), has resulted in serotonin syndrome [see PRECAUTIONS; Information for Patients ].

If concomitant use is warranted, frequently evaluate the patient, particularly during treatment initiation and dose adjustment. Discontinue Hydrocodone Bitartrate and Acetaminophen Tablets immediately if serotonin syndrome is suspected.

Monoamine Oxidase Inhibitors (MAOIs)

The concomitant use of opioids and MAOIs, such as phenelzine, tranylcypromine, or linezolid, may manifest as serotonin syndrome, or opioid toxicity (e.g., respiratory depression, coma) [see WARNINGS ].

The use of Hydrocodone Bitartrate and Acetaminophen Tablets are not recommended for patients taking MAOIs or within 14 days of stopping such treatment.

If urgent use of an opioid is necessary, use test doses and frequent titration of small doses to treat pain while closely monitoring blood pressure and signs and symptoms of CNS and respiratory depression.

Mixed Agonist/Antagonist and Partial Agonist Opioid Analgesics

The concomitant use of opioids with other opioid analgesics, such as butorphanol, nalbuphine, pentazocine, may reduce the analgesic effect of Hydrocodone Bitartrate and Acetaminophen Tablets and/or precipitate withdrawal symptoms.

Advise patient to avoid concomitant use of these drugs.

Muscle Relaxants

Hydrocodone Bitartrate and Acetaminophen Tablets may enhance the neuromuscular blocking action of skeletal muscle relaxants and produce an increased degree of respiratory depression.

Because respiratory depression may be greater than otherwise expected and decrease the dosage of Hydrocodone Bitartrate and Acetaminophen Tablets and/or the muscle relaxant as necessary. Due to the risk of respiratory depression with concomitant use of muscle relaxants and opioids, consider prescribing naloxone for the emergency treatment of opioid overdose [see WARNINGS ].

Diuretics

Opioids can reduce the efficacy of diuretics by inducing the release of antidiuretic hormone.

Evaluate patients for signs of diminished diuresis and/or effects on blood pressure and increase the dosage of the diuretic as needed.

Anticholinergic Drugs

The concomitant use of anticholinergic drugs may increase risk of urinary retention and/or severe constipation, which may lead to paralytic ileus.

Evaluate patients for signs of urinary retention or reduced gastric motility when Hydrocodone Bitartrate and Acetaminophen Tablets are used concomitantly with anticholinergic drugs.

How Supplied (HOW SUPPLIED)

Each tablet contains 5 mg of hydrocodone bitartrate and 325 mg of acetaminophen. They are available as white capsule-shaped tablets, bisected on one side and debossed on the other side with G 035.

  • NDC 63629-2293-1 Bottles of 500

Store at 25°C (77°F); excursions permitted to 15° to 30°C (59° to 86°F) [See USP Controlled Room Temperature].

STORE Hydrocodone Bitartrate and Acetaminophen Tablets securely and dispose of properly [see PRECAUTIONS/INFORMATION FOR PATIENTS].

PHARMACIST: Dispense in a tight, light-resistant container as defined in the USP with a child-resistant closure.

Contains a Schedule II controlled drug substance.

Repackaged/Relabeled by:

Bryant Ranch Prepack, Inc.

Burbank, CA 91504

Description (DESCRIPTION)

Hydrocodone Bitartrate and Acetaminophen is available in tablet form for oral administration.

Hydrocodone bitartrate is an opioid analgesic and occurs as fine, white crystals or as a crystalline powder. It is affected by light. The chemical name is: 4,5α-epoxy-3-methoxy-17-methylmorphinan-6-one tartrate (1:1) hydrate (2:5). It has the following structural formula:

C18H21NO3•C4H6O6 •2 ½ H2O     M.W. = 494.49

Acetaminophen, 4'-hydroxyacetanilide, a slightly bitter, white, odorless, crystalline powder, is a non-opiate, non-salicylate analgesic and antipyretic. It has the following structural formula:

C8H9NO2   M.W. = 151.16

Hydrocodone Bitartrate and Acetaminophen Tablets, USP for oral administration are available in the following strengths:

Product Strength Hydrocodone Bitartrate Acetaminophen
5 mg/325 mg   5 mg  325 mg
 7.5 mg/325 mg  7.5 mg  325 mg
 10 mg/325 mg  10 mg  325 mg

In addition, each tablet contains the following inactive ingredients: croscarmellose sodium, magnesium stearate, microcrystalline cellulose, silicon dioxide, and stearic acid.

Meets USP Dissolution Test 2.

Section 51945-4 (51945-4)

Hydrocodone Bitartrate and Acetaminophen Tablets 5 mg/325 mg (CII)

Lactation

Advise nursing mothers to carefully observe infants for increased sleepiness (more than usual), breathing difficulties, or limpness. Instruct nursing mothers to seek immediate medical care if they notice these signs [see PRECAUTIONS; Nursing Mothers ].

Infertility

Inform patients that use of opioids for an extended period of time may cause reduced fertility. It is not known whether these effects on fertility are reversible [see ADVERSE REACTIONS ].

Pregnancy

Teratogenic Effects

There are no adequate and well-controlled studies in pregnant women. Hydrocodone Bitartrate and Acetaminophen Tablets should be used during pregnancy only if the potential benefit justifies the potential risk to the fetus.

Nonteratogenic Effects

Fetal/Neonatal Adverse Reactions

Use of opioid for an extended period of time analgesics during pregnancy for medical or nonmedical purposes can result in physical dependence in the neonate and neonatal opioid withdrawal syndrome shortly after birth.

Neonatal opioid withdrawal syndrome presents as irritability, hyperactivity, abnormal sleep pattern, high pitched cry, tremor, vomiting, diarrhea and failure to gain weight. The onset, duration, and severity of neonatal opioid withdrawal syndrome vary based on the specific opioid used, duration of use, timing and amount of last maternal use, and rate of elimination of the drug by the newborn. Observe newborns for symptoms of neonatal opioid withdrawal syndrome and manage accordingly [see WARNINGS ].

Overdosage (OVERDOSAGE)

Following an acute overdosage, toxicity may result from hydrocodone or acetaminophen.



Clinical Presentation



Acute overdosage with Hydrocodone Bitartrate and Acetaminophen Tablets can be manifested by respiratory depression, somnolence progressing to stupor or coma, skeletal muscle flaccidity, cold and clammy skin, constricted pupils, and, in some cases, pulmonary edema, bradycardia, hypotension, hypoglycemia, partial or complete airway obstruction, atypical snoring, and death. Marked mydriasis rather than miosis may be seen with hypoxia in overdose situations.



Acetaminophen



Dose-dependent, potentially fatal hepatic necrosis is the most serious adverse effect of acetaminophen overdosage. Renal tubular necrosis, hypoglycemic coma and coagulation defects may also occur.



Early symptoms following a potentially hepatotoxic overdose may include: nausea, vomiting, diaphoresis and general malaise. Clinical and laboratory evidence of hepatic toxicity may not be apparent until 48 to 72 hours post-ingestion.



Treatment of Overdose



Hydrocodone



In case of overdose, priorities are the re-establishment of a patent and protected airway and institution of assisted or controlled ventilation, if needed. Employ other supportive measures (including oxygen and vasopressors) in the management of circulatory shock and pulmonary edema as indicated. Cardiac arrest or arrhythmias will require advanced life-support measures.



Opioid antagonists, such as naloxone, are specific antidotes to respiratory depression resulting from opioid overdose. For clinically significant respiratory or circulatory depression secondary to Hydrocodone Bitartrate and Acetaminophen Tablets overdose, administer an opioid antagonist.



Because the duration of opioid reversal is expected to be less than the duration of action of hydrocodone in Hydrocodone Bitartrate and Acetaminophen Tablets, carefully monitor the patient until spontaneous respiration is reliably reestablished. If the response to an opioid antagonist is suboptimal or only brief in nature, administer additional antagonist as directed by the product’s prescribing information.



In an individual physically dependent on opioids, administration of the recommended usual dosage of the antagonist will precipitate an acute withdrawal syndrome. The severity of the withdrawal symptoms experienced will depend on the degree of physical dependence and the dose of the antagonist administered. If a decision is made to treat serious respiratory depression in the physically dependent patient, administration of the antagonist should be initiated with care and by titration with smaller than usual doses of the antagonist.



Acetaminophen



Gastric decontamination with activated charcoal should be administered just prior to N-acetylcysteine (NAC) to decrease systemic absorption if acetaminophen ingestion is known or suspected to have occurred within a few hours of presentation.  Serum acetaminophen levels should be obtained immediately if the patient presents 4 hours or more after ingestion to assess potential risk of hepatotoxicity; acetaminophen levels drawn less than 4 hours post-ingestion may be misleading. To obtain the best possible outcome, NAC should be administered as soon as possible where impending or evolving liver injury is suspected.  Intravenous NAC may be administered when circumstances preclude oral administration.

Vigorous supportive therapy is required in severe intoxication. Procedures to limit the continuing absorption of the drug must be readily performed since the hepatic injury is dose dependent and occurs early in the course of intoxication.

Withdrawal

Do not abruptly discontinue Hydrocodone Bitartrate and Acetaminophen Tablets in a patient physically dependent on opioids. When discontinuing Hydrocodone Bitartrate and Acetaminophen Tablets in a physically dependent patient, gradually taper the dosage. Rapid tapering of Hydrocodone Bitartrate and Acetaminophen Tablets in a patient physically dependent on opioids may lead to a withdrawal syndrome and return of pain [see DOSAGE AND ADMINISTRATION DRUG ABUSE AND DEPENDENCE ].

Additionally, avoid the use of mixed agonist/antagonist (e.g, pentazocine, nalbuphine, and butorphanol) or partial agonist (e.g., buprenorphine) analgesics in patients who are receiving a full opioid agonist analgesic, including Hydrocodone Bitartrate and Acetaminophen Tablets. In these patients, mixed agonist/antagonist and partial agonist analgesics may reduce the analgesic effect and/or precipitate withdrawal symptoms [see PRECAUTIONS; Drug Interactions ].

Geriatric Use

Elderly patients (aged 65 years or older) may have increased sensitivity to Hydrocodone Bitartrate and Acetaminophen Tablets. In general, use caution when selecting a dosage for an elderly patient, usually starting at the low end of the dosing range, reflecting the greater frequency of decreased hepatic, renal, or cardiac function and of concomitant disease or other drug therapy.

Respiratory depression is the chief risk for elderly patients treated with opioids, and has occurred after large initial doses were administered to patients who were not opioid-tolerant or when opioids were co-administered with other agents that depress respiration. Titrate the dosage of Hydrocodone Bitartrate and Acetaminophen Tablets slowly in geriatric patients and frequently reevaluate the patient for signs of central nervous system and respiratory depression [see WARNINGS ].

Hydrocodone and acetaminophen are known to be substantially excreted by the kidney, and the risk of adverse reactions to this drug may be greater in patients with impaired renal function. Because elderly patients are more likely to have decreased renal function, care should be taken in dose selection, and it may be useful to monitor renal function.

Pediatric Use

Safety and effectiveness of Hydrocodone Bitartrate and Acetaminophen Tablets in pediatric patients have not been established.

Hepatotoxicity

Acetaminophen has been associated with cases of acute liver failure, at times resulting in liver transplant and death. Most of the cases of liver injury are associated with the use of acetaminophen at doses that exceed 4,000 milligrams per day, and often involve more than one

acetaminophen-containing product. The excessive intake of acetaminophen may be intentional to cause self-harm or unintentional as patients attempt to obtain more pain relief or unknowingly take other acetaminophen-containing products.

The risk of acute liver failure is higher in individuals with underlying liver disease and in individuals who ingest alcohol while taking acetaminophen.

Instruct patients to look for acetaminophen or APAP on package labels and not to use more than one product that contains acetaminophen. Instruct patients to seek medical attention immediately upon ingestion of more than 4,000 milligrams of acetaminophen per day, even if they feel well.

Nursing Mothers

Hydrocodone is present in human milk.

The developmental and health benefits of breastfeeding should be considered along with the mother’s clinical need for Hydrocodone Bitartrate and Acetaminophen Tablets and any potential adverse effects on the breastfed infant from Hydrocodone Bitartrate and Acetaminophen Tablets or from the underlying maternal condition.

Infants exposed to Hydrocodone Bitartrate and Acetaminophen Tablets through breast milk should be monitored for excess sedation and respiratory depression. Withdrawal symptoms can occur in breastfed infants when maternal administration of an opioid analgesic is stopped, or when breast-feeding is stopped.

Laboratory Tests

In patients with severe hepatic or renal disease, effects of therapy should be followed with serial liver and/or renal function tests.

Medication Guide (MEDICATION GUIDE)

HYDROCODONE BITARTRATE AND ACETAMINOPHEN TABLETS, USP  CII

(hye” droe koe’done bye tar’trate and a seet a min’oh fen)

            Hydrocodone Bitartrate and Acetaminophen Tablets are:

  • A strong prescription pain medicine that contains an opioid (narcotic) that is used to manage pain severe enough to require an opioid pain medicine, when other pain treatments such as non-opioid pain medicines do not treat your pain well enough or you cannot tolerate them.
  • An opioid pain medicine that can put you at risk for overdose and death. Even if you take your dose correctly as prescribed you are at risk for opioid addiction, abuse, and misuse that can lead to death.

    Important information about Hydrocodone Bitartrate and Acetaminophen Tablets:

  • Get emergency help or call 911 right away if you take too much Hydrocodone Bitartrate and Acetaminophen Tablets (overdose). When you first start taking Hydrocodone Bitartrate and Acetaminophen Tablets, when your dose is changed, or if you take too much (overdose), serious or life-threatening breathing problems that can lead to death may occur. Talk to your healthcare provider about naloxone, a medicine for the emergency treatment of an opioid overdose.
  • Taking Hydrocodone Bitartrate and Acetaminophen Tablets with other opioid medicines, benzodiazepines, alcohol, or other central nervous system depressants (including street drugs) can cause severe drowsiness, decreased awareness, breathing problems, coma, and death.
  • Never give anyone else your Hydrocodone Bitartrate and Acetaminophen Tablets. They could die from taking it. Selling or giving away Hydrocodone Bitartrate and Acetaminophen Tablets is against the law.
  • Store Hydrocodone Bitartrate and Acetaminophen Tablets securely, out of sight and reach of children, and in a location not accessible by others, including visitors to the home.

    Do not take Hydrocodone Bitartrate and Acetaminophen Tablets if you have:

  • severe asthma, trouble breathing, or other lung problems.
  • a bowel blockage or have narrowing of the stomach or intestines.
  • known hypersensitivity to hydrocodone or acetaminophen, or any ingredient in hydrocodone and acetaminophen tablets.

    Before taking Hydrocodone Bitartrate and Acetaminophen Tablets, tell your healthcare provider if you have a history of:

  • head injury, seizures ●liver, kidney, thyroid problems
  • problems urinating ●pancreas or gallbladder problems
  • abuse of street or prescription drugs, alcohol addiction, opioid overdose, or mental health problems.

    Tell your healthcare provider if you are:

  • pregnant or planning to become pregnant. Use of Hydrocodone Bitartrate and Acetaminophen Tablets for an extended period of time during pregnancy can cause withdrawal symptoms in your newborn baby that could be life-threatening if not recognized and treated.
  • noticing your pain getting worse. If your pain gets worse after you take Hydrocodone Bitartrate and Acetaminophen Tablets, do not take more of Hydrocodone Bitartrate and Acetaminophen Tablets without first talking to your healthcare provider. Talk to your healthcare provider if the pain that you have increases, if you feel more sensitive to pain, or if you have new pain after taking Hydrocodone Bitartrate and Acetaminophen Tablets.
  • breast feeding. Hydrocodone bitartrate and acetaminophen passes into breast milk and may harm your baby.
  • living in a household where there are small children or someone who has abused street or prescription drugs
  • taking prescription or over-the-counter medicines, vitamins, or herbal supplements. Taking Hydrocodone Bitartrate and Acetaminophen Tablets with certain other medicines can cause serious side effects that could lead to death.

    When taking Hydrocodone Bitartrate and Acetaminophen Tablets:

  • Do not change your dose. Take Hydrocodone Bitartrate and Acetaminophen Tablets exactly as prescribed by your healthcare provider. Use the lowest dose possible for the shortest time needed.
  • For acute (short-term) pain, you may only need to take Hydrocodone Bitartrate and Acetaminophen Tablets for a few days. You may have some Hydrocodone Bitartrate and Acetaminophen Tablets left over that you did not use. See disposal information at the bottom of this section for directions on how to safely throw away (dispose of) your unused Hydrocodone Bitartrate and Acetaminophen Tablets.
  • Take your prescribed dose every four to six hours as needed for pain.
  • Do not take more than your prescribed dose. If you miss a dose, take your next dose at your usual time.
  • Call your healthcare provider if the dose you are taking does not control your pain.
  • If you have been taking Hydrocodone Bitartrate and Acetaminophen Tablets regularly, do not stop taking Hydrocodone Bitartrate and Acetaminophen Tablets without talking to your healthcare provider.
  • Dispose of expired, unwanted, or unused Hydrocodone Bitartrate and Acetaminophen Tablets by taking your drug to an authorized DEA-registered collector or drug take-back program. If one is not available, you can dispose of Hydrocodone Bitartrate and Acetaminophen Tablets by mixing the product with dirt, cat litter, or coffee grounds; placing the mixture in a sealed plastic bag, and throwing the bag in your trash.  Visit www.fda.gov/drugdisposal for additional information on disposal of unused medicines.

    While taking Hydrocodone Bitartrate and Acetaminophen Tablets DO NOT:

  • Drive or operate heavy machinery, until you know how Hydrocodone Bitartrate and Acetaminophen Tablets affects you. Hydrocodone Bitartrate and Acetaminophen Tablets can make you sleepy, dizzy, or lightheaded.
  • Drink alcohol or use prescription or over-the-counter medicines that contain alcohol. Using products containing alcohol during treatment with Hydrocodone Bitartrate and Acetaminophen Tablets may cause you to overdose and die.

    The possible side effects of Hydrocodone Bitartrate and Acetaminophen Tablets:

  • constipation, nausea, sleepiness, vomiting, tiredness, headache, dizziness, abdominal pain. Call your healthcare provider if you have any of these symptoms and they are severe.

    Get emergency medical help or call 911 right away if you have:

  • trouble breathing, shortness of breath, fast heartbeat, chest pain, swelling of your face, tongue, or throat, extreme drowsiness, light-headedness when changing positions, feeling faint, agitation, high body temperature, trouble walking, stiff muscles, or mental changes such as confusion.

These are not all the possible side effects of Hydrocodone Bitartrate and Acetaminophen Tablets. Call your healthcare provider  for medical advice about side effects. You may report side effects to FDA at 1-800-FDA-1088. For more information go to dailymed.nlm.nih.gov.

Manufactured for:

Tris Pharma, Inc.

Monmouth Junction, NJ 08852

www.trispharma.com

This Medication Guide has been approved by the U.S. Food and Drug Administration.

LB8450

Rev. 06

05/2024

Pharmacodynamics

Effects on the Central Nervous System

The principal therapeutic action of hydrocodone is analgesia. Hydrocodone produces respiratory depression by direct action on brain stem respiratory centers. The respiratory depression involves a reduction in the responsiveness of the brain stem respiratory centers to both increases in carbon dioxide tension and electrical stimulation.

Hydrocodone causes miosis, even in total darkness. Pinpoint pupils are a sign of opioid overdose but are not pathognomonic (e.g., pontine lesions of hemorrhagic or ischemic origins may produce similar findings). Marked mydriasis rather than miosis may be seen due to hypoxia in overdose situations.

Therapeutic doses of acetaminophen have negligible effects on the cardiovascular or respiratory systems; however, toxic doses may cause circulatory failure and rapid, shallow breathing.

Effects on the Gastrointestinal Tract and Other Smooth Muscle

Hydrocodone causes a reduction in motility associated with an increase in smooth muscle tone in the antrum of the stomach and duodenum. Digestion of food in the small intestine is delayed and propulsive contractions are decreased. Propulsive peristaltic waves in the colon are decreased, while tone may be increased to the point of spasm, resulting in constipation. Other opioid-induced effects may include a reduction in biliary and pancreatic secretions, spasm of sphincter of Oddi, and transient elevations in serum amylase.

Effects on the Cardiovascular System

Hydrocodone produces peripheral vasodilation which may result in orthostatic hypotension or syncope. Manifestations of histamine release and/or peripheral vasodilation may include pruritus, flushing, red eyes, sweating, and/or orthostatic hypotension.

Effects on the Endocrine System

Opioids inhibit the secretion of adrenocorticotropic hormone (ACTH), cortisol, and luteinizing hormone (LH) in humans [see ADVERSE REACTIONS ]. They also stimulate prolactin, growth hormone (GH) secretion, and pancreatic secretion of insulin and glucagon.

Use of opioids for an extended period of time may influence the hypothalamic-pituitary-gonadal axis, leading to androgen deficiency that may manifest as low libido, impotence, erectile dysfunction, amenorrhea, or infertility. The causal role of opioids in the syndrome of hypogonadism is unknown because the various medical, physical, lifestyle, and psychological stressors that may influence gonadal hormone levels have not been adequately controlled for in studies conducted to date [see ADVERSE REACTIONS ].

Effects on the Immune System

Opioids have been shown to have a variety of effects on components of the immune system. The clinical significance of these findings is unknown. Overall, the effects of opioids appear to be modestly immunosuppressive.

Concentration–Efficacy Relationships

The minimum effective analgesic concentration will vary widely among patients, especially among patients who have been previously treated with extended-release agonist opioids. The minimum effective analgesic concentration of hydrocodone for any individual patient may increase over time due to an increase in pain, the development of a new pain syndrome, and/or the development of analgesic tolerance [see DOSAGE AND ADMINISTRATION ].

Concentration–Adverse Reaction Relationships

There is a relationship between increasing hydrocodone plasma concentration and increasing frequency of dose-related opioid adverse reactions such as nausea, vomiting, CNS effects, and respiratory depression. In opioid-tolerant patients, the situation may be altered by the development of tolerance to opioid-related adverse reactions [see DOSAGE AND ADMINISTRATION ].

Pharmacokinetics

The behavior of the individual components is described below.

Hydrocodone

Following a 10 mg oral dose of hydrocodone administered to five adult male subjects, the mean peak concentration was 23.6 ± 5.2 ng/mL. Maximum serum levels were achieved at 1.3 ± 0.3 hours and the half-life was determined to be 3.8 ± 0.3 hours.

Hydrocodone exhibits a complex pattern of metabolism including O-demethylation, N-demethylation and 6-keto reduction to the corresponding 6-α- and 6-β-hydroxymetabolites. See OVERDOSAGE for toxicity information.

CYP3A4 mediated N-demethylation to norhydrocodone is the primary metabolic pathway of hydrocodone with a lower contribution from CYP2D6 mediated O-demethylation to hydromorphone. Hydromorphone is formed from the O-demethylation of hydrocodone and may contribute to the total analgesic effect of hydrocodone. Therefore, the formation of these and related metabolites can, in theory, be affected by other drugs [see PRECAUTIONS; Drug Interactions ]. N-demethylation of hydrocodone to form norhydrocodone via CYP3A4 while O-demethylation of hydrocodone to hydromorphone is predominantly catalyzed by CYP2D6 and to a lesser extent by an unknown low affinity CYP enzyme. Hydrocodone and its metabolites are eliminated primarily in the kidneys.

Acetaminophen

Acetaminophen is rapidly absorbed from the gastrointestinal tract and is distributed throughout most body tissues. A small fraction (10 to 25%) of acetaminophen is bound to plasma proteins. The plasma half-life is 1.25 to 3 hours, but may be increased by liver damage and following overdosage. Elimination of acetaminophen is principally by liver metabolism (conjugation) and subsequent renal excretion of metabolites. Acetaminophen is primarily metabolized in the liver by first-order kinetics and involves three principal separate pathways: conjugation with glucuronide; conjugation with sulfate; and oxidation via the cytochrome, P450-dependent, mixed-function oxidase enzyme pathway to form a reactive intermediate metabolite, which conjugates with glutathione and is then further metabolized to form cysteine and mercapturic acid conjugates. The principal cytochrome P450 isoenzyme involved appears to be CYP2E1, with CYP1A2 and CYP3A4 as additional pathways. Approximately 85% of an oral dose appears in the urine within 24 hours of administration, most as the glucuronide conjugate, with small amounts of other conjugates and unchanged drug.

See OVERDOSAGE for toxicity information.

Renal Impairment

Patients with renal impairment may have higher plasma hydrocodone concentrations than those with normal function. Use a low initial dose Hydrocodone Bitartrate and Acetaminophen Tablets in patients with renal impairment and follow closely for adverse events such as respiratory depression and sedation.

Labor Or Delivery (Labor or Delivery)

Opioids cross the placenta and may produce respiratory depression and psycho-physiologic effects in neonates. An opioid antagonist, such as naloxone, must be available for reversal of opioid-induced respiratory depression in the neonate. Hydrocodone Bitartrate and Acetaminophen Tablets are not recommended for use in pregnant women during or immediately prior to labor, when other analgesic techniques are more appropriate. Opioid analgesics, including Hydrocodone Bitartrate and Acetaminophen Tablets, can prolong labor through actions which temporarily reduce the strength, duration, and frequency of uterine contractions. However, this effect is not consistent and may be offset by an increased rate of cervical dilation, which tends to shorten labor. Monitor neonates exposed to opioid analgesics during labor for signs of excess sedation and respiratory depression.

Hepatic Impairment

Patients with hepatic impairment may have higher plasma hydrocodone concentrations than those with normal function. Use a low initial dose of Hydrocodone Bitartrate and Acetaminophen Tablets in patients with hepatic impairment and follow closely for adverse events such as respiratory depression and sedation.

Severe Hypotension

Hydrocodone Bitartrate and Acetaminophen Tablets may cause severe hypotension including orthostatic hypotension and syncope in ambulatory patients. There is increased risk in patients whose ability to maintain blood pressure has already been compromised by a reduced blood volume or concurrent administration of certain CNS depressant drugs (e.g., phenothiazines or general anesthetics) [see PRECAUTIONS; Drug Interactions ]. Regularly evaluate these patients for signs of hypotension after initiating or titrating the dosage of Hydrocodone Bitartrate and Acetaminophen Tablets. In patients with circulatory shock Hydrocodone Bitartrate and Acetaminophen Tablets may cause vasodilatation that can further reduce cardiac output and blood pressure. Avoid the use of Hydrocodone Bitartrate and Acetaminophen Tablets with circulatory shock.

Mechanism of Action

Hydrocodone is full opioid agonist with relative selectivity for the mu-opioid (μ) receptor, although it can interact with other opioid receptors at higher doses. The principal therapeutic action of hydrocodone is analgesia. Like all full opioid agonists, there is no ceiling effect for analgesia with hydrocodone. Clinically, dosage is titrated to provide adequate analgesia and may be limited by adverse reactions, including respiratory and CNS depression.

The precise mechanism of the analgesic action is unknown. However, specific CNS opioid receptors for endogenous compounds with opioid-like activity have been identified throughout the brain and spinal cord and are thought to play a role in the analgesic effects of this drug.

The precise mechanism of the analgesic properties of acetaminophen is not established but is thought to involve central actions.

Adrenal Insufficiency

Cases of adrenal insufficiency have been reported with opioid use, more often following greater than one month of use. Presentation of adrenal insufficiency may include non-specific symptoms and signs including nausea, vomiting, anorexia, fatigue, weakness, dizziness, and low blood pressure. If adrenal insufficiency is suspected, confirm the diagnosis with diagnostic testing as soon as possible. If adrenal insufficiency is diagnosed, treat with physiologic replacement doses of corticosteroids. Wean the patient off of the opioid to allow adrenal function to recover and continue corticosteroid treatment until adrenal function recovers. Other opioids may be tried as some cases reported use of a different opioid without recurrence of adrenal insufficiency. The information available does not identify any particular opioids particular opioids as being more likely to be associated with adrenal insufficiency.

Serious Skin Reactions

Rarely, acetaminophen may cause serious skin reactions such as acute generalized exanthematous pustulosis (AGEP), Stevens-Johnson Syndrome (SJS), and toxic epidermal necrolysis (TEN), which can be fatal. Patients should be informed about the signs of serious skin reactions, and use of the drug should be discontinued at the first appearance of skin rash or any other sign of hypersensitivity.

Drug Abuse and Dependence (DRUG ABUSE AND DEPENDENCE)

Controlled Substance

Hydrocodone Bitartrate and Acetaminophen Tablets contain hydrocodone, a Schedule II controlled substance.

Abuse

Hydrocodone Bitartrate and Acetaminophen Tablets contain hydrocodone, a substance with high potential for misuse and abuse, which can lead to the development of substance use disorder, including addiction [see WARNINGS ].

Misuse is the intentional use, for therapeutic purposes, of a drug by an individual in a way other than prescribed by a healthcare provider or for whom it was not prescribed.

Abuse is the intentional, non-therapeutic use of a drug, even once, for its desirable psychological or physiological effects.

Drug addiction is a cluster of behavioral, cognitive, and physiological phenomena that may include a strong desire to take the drug, difficulties in controlling drug use (e.g., continuing drug use despite harmful consequences, giving a higher priority to drug use than other activities and obligations), and possible tolerance or physical dependence.

Misuse and abuse of Hydrocodone Bitartrate and Acetaminophen Tablets increases risk of overdose, which may lead to central nervous system and respiratory depression, hypotension, seizures, and death. The risk is increased with concurrent abuse of Hydrocodone Bitartrate and Acetaminophen Tablets with alcohol and other CNS depressants. Abuse of and addiction to opioids in some individuals may not be accompanied by concurrent tolerance and symptoms of physical dependence. In addition, abuse of opioids can occur in the absence of addiction.

All patients treated with opioids require careful and frequent reevaluation for signs of misuse, abuse, and addiction, because use of opioid analgesic products carries the risk of addiction even under appropriate medical use. Patients at high risk of Hydrocodone Bitartrate and Acetaminophen Tablets abuse include those with a history of prolonged use of any opioid, including products containing hydrocodone, those with a history of drug or alcohol abuse, or those who use Hydrocodone Bitartrate and Acetaminophen Tablets in combination with other abused drugs.

“Drug-seeking” behavior is very common in persons with substance use disorders. Drug-seeking tactics include emergency calls or visits near the end of office hours, refusal to undergo appropriate examination, testing, or referral, repeated “loss” of prescriptions, tampering with prescriptions, and reluctance to provide prior medical records or contact information for other treating healthcare provider(s). “Doctor shopping” (visiting multiple prescribers to obtain additional prescriptions) is common among people who abuse drugs and people with substance use disorder. Preoccupation with achieving adequate pain relief can be appropriate behavior in a patient with inadequate pain control.

Hydrocodone Bitartrate and Acetaminophen Tablets, like other opioids, can be diverted for non-medical use into illicit channels of distribution. Careful record-keeping of prescribing information, including quantity, frequency, and renewal requests, as required by state and federal law, is strongly advised.

Proper assessment of the patient, proper prescribing practices, periodic re-evaluation of therapy, and proper dispensing and storage are appropriate measures that help to limit abuse of opioid drugs.

Risks Specific to Abuse of Hydrocodone Bitartrate and Acetaminophen Tablets

Abuse of Hydrocodone Bitartrate and Acetaminophen Tablets poses a risk of overdose and death. The risk is increased with concurrent use of Hydrocodone Bitartrate and Acetaminophen Tablets with alcohol and/or other CNS depressants.

Parenteral drug abuse is commonly associated with transmission of infectious diseases such as hepatitis and HIV.

Dependence

Both tolerance and physical dependence can develop during use of opioid therapy.

Tolerance is a physiological state characterized by a reduced response to a drug after repeated administration (i.e., a higher dose of a drug is required to produce the same effect that was once obtained at a lower dose).

Physical dependence is a state that develops as a result of a physiological adaptation in response to repeated drug use, manifested by withdrawal signs and symptoms after abrupt discontinuation or a significant dose reduction of a drug.

Withdrawal may be precipitated through the administration of drugs with opioid antagonist activity (e.g., naloxone), mixed agonist/antagonist analgesics (e.g., pentazocine, butorphanol, nalbuphine), or partial agonists (e.g., buprenorphine). Physical dependence may not occur to a clinically significant degree until after several days to weeks of continued use.

Do not abruptly discontinue Hydrocodone Bitartrate and Acetaminophen Tablets in a patient physically dependent on opioids. Rapid tapering of Hydrocodone Bitartrate and Acetaminophen Tablets in a patient physically dependent on opioids may lead to serious withdrawal symptoms, uncontrolled pain, and suicide. Rapid discontinuation has also been associated with attempts to find other sources of opioid analgesics, which may be confused with drug-seeking for abuse.

When discontinuing Hydrocodone Bitartrate and Acetaminophen Tablets, gradually taper the dosage using a patient-specific plan that considers the following: the dose of Hydrocodone Bitartrate and Acetaminophen Tablets the patient has been taking, the duration of treatment, and the physical and psychological attributes of the patient. To improve the likelihood of a successful taper and minimize withdrawal symptoms, it is important that the opioid tapering schedule is agreed upon by the patient. In patients taking opioids for an extended period of time at high doses, ensure that a multimodal approach to pain management, including mental health support (if needed), is in place prior to initiating an opioid analgesic taper [see DOSAGE AND ADMINISTRATION, and WARNINGS ].

Infants born to mothers physically dependent on opioids will also be physically dependent and may exhibit respiratory difficulties and withdrawal signs [see  Pregnancy ].

Addiction, Abuse, and Misuse

Hydrocodone Bitartrate and Acetaminophen Tablets contains hydrocodone, a Schedule II controlled substance. As an opioid, Hydrocodone Bitartrate and Acetaminophen Tablets exposes users to the risks of addiction, abuse, and misuse [see  DRUG ABUSE AND DEPENDENCE ] .

Although the risk of addiction in any individual is unknown, it can occur in patients appropriately prescribed Hydrocodone Bitartrate and Acetaminophen Tablets.  Addiction can occur at recommended dosages and if the drug is misused or abused.

Assess each patient’s risk for opioid addiction, abuse, or misuse prior to prescribing Hydrocodone Bitartrate and Acetaminophen Tablets, and reassess all patients receiving Hydrocodone Bitartrate and Acetaminophen Tablets for the development of these behaviors and conditions. Risks are increased in patients with a personal or family history of substance abuse (including drug or alcohol abuse or addiction) or mental illness (e.g., major depression). The potential for these risks should not, however, prevent the proper management of pain in any given patient. Patients at increased risk may be prescribed opioids such as Hydrocodone Bitartrate and Acetaminophen Tablets, but use in such patients necessitates intensive counseling about the risks and proper use of Hydrocodone Bitartrate and Acetaminophen Tablets along with frequent reevaluation for signs of addiction, abuse, and misuse. Consider prescribing naloxone for the emergency treatment of opioid overdose [see  WARNINGS, Life-Threatening Respiratory Depression; DOSAGE AND ADMINISTRATION, Patient Access to Naloxone for the Emergency Treatment of Opioid Overdose ].

Opioids are sought for non-medical use and are subject to diversion from legitimate prescribed use. Consider these risks when prescribing or dispensing Hydrocodone Bitartrate and Acetaminophen Tablets. Strategies to reduce these risks include prescribing the drug in the smallest appropriate quantity and advising the patient on careful storage of the drug during the course of treatment and proper disposal of unused drug. Contact local state professional licensing board or state-controlled substances authority for information on how to prevent and detect abuse or diversion of this product.

Hypersensitivity/anaphylaxis (Hypersensitivity/Anaphylaxis)

There have been post-marketing reports of hypersensitivity and anaphylaxis associated with use of acetaminophen. Clinical signs included swelling of the face, mouth, and throat, respiratory distress, urticaria, rash, pruritus, and vomiting. There were infrequent reports of life-threatening anaphylaxis requiring emergency medical attention. Instruct patients to discontinue Hydrocodone Bitartrate and Acetaminophen Tablets immediately and seek medical care if they experience these symptoms. Do not prescribe Hydrocodone Bitartrate and Acetaminophen Tablets for patients with acetaminophen allergy [see PRECAUTIONS; Information for Patients ].

Drug/laboratory Test Interactions (Drug/Laboratory Test Interactions)

Acetaminophen may produce false-positive test results for urinary 5-hydroxyindoleacetic acid.

Information for Patients/caregivers (Information for Patients/Caregivers)

Storage and Disposal:

Because of the risks associated with accidental ingestion, misuse, and abuse, advise patients to store Hydrocodone Bitartrate and Acetaminophen Tablets securely, out of sight and reach of children, and in a location not accessible by others, including visitors to the home [see WARNINGS DRUG ABUSE AND DEPENDENCE ]. Inform patients that leaving Hydrocodone Bitartrate and Acetaminophen Tablets unsecured can pose a deadly risk to others in the home.

Advise patients and caregivers that when medicines are no longer needed, they should be disposed of promptly. Expired, unwanted, or unused Hydrocodone Bitartrate and Acetaminophen Tablets should be disposed of by flushing the unused medication down the toilet if a drug take-back option is not readily available. Inform patients that they can visit www.fda.gov/drugdisposal for a complete list of medicines recommended for disposal by flushing, as well as additional information on disposal of unused medicines.

Advise the patient to read the FDA-approved patient labeling (Medication Guide).

Addiction, Abuse, and Misuse

Inform patients that the use of Hydrocodone Bitartrate and Acetaminophen Tablets, even when taken as recommended, can result in addiction, abuse, and misuse, which can lead to overdose and death [see WARNINGS ]. Instruct patients not to share Hydrocodone Bitartrate and Acetaminophen Tablets with others and to take steps to protect Hydrocodone Bitartrate and Acetaminophen Tablets from theft or misuse.

Life-Threatening Respiratory Depression

Inform patients of the risk of life-threatening respiratory depression, including information that the risk is greatest when starting Hydrocodone Bitartrate and Acetaminophen Tablets or when the dosage is increased, and that it can occur even at recommended dosages.

Educate patients and caregivers on how to recognize respiratory depression and emphasize the importance of calling 911 or getting emergency medical help right away in the event of a known or suspected overdose [see WARNINGS, Life Threatening Respiratory Depression ].

Accidental Ingestion

Inform patients that accidental ingestion, especially by children, may result in respiratory depression or death [see WARNINGS ]. Instruct patients to take steps to Hydrocodone Bitartrate and Acetaminophen Tablets and to dispose of unused Hydrocodone Bitartrate and Acetaminophen Tablets by flushing down the toilet.

Interactions with Benzodiazepines and Other CNS Depressants

Inform patients and caregivers that potentially fatal additive effects may occur if Hydrocodone Bitartrate and Acetaminophen Tablets are used with benzodiazepines or other CNS depressants, including alcohol, and not to use these concomitantly unless supervised by a healthcare provider [see WARNINGS , PRECAUTIONS; Drug Interactions ].

Patient Access to Naloxone for the Emergency Treatment of Opioid Overdose

Discuss with the patient and caregiver the availability of naloxone for the emergency treatment of opioid overdose, both when initiating and renewing treatment with Hydrocodone Bitartrate and Acetaminophen Tablets. Inform patients and caregivers about the various ways to obtain naloxone as permitted by individual state naloxone dispensing and prescribing requirements or guidelines (e.g., by prescription, directly from a pharmacist, or as part of a community-based program) [see WARNINGS, Life-Threatening Respiratory Depression ; DOSAGE AND ADMINISTRATION ].

Educate patients and caregivers on how to recognize the signs and symptoms of an overdose.

Explain to patients and caregivers that naloxone’s effects are temporary, and that they must call 911 or get emergency medical help right away in all cases of known or suspected opioid overdose, even if naloxone is administered [see OVERDOSAGE ].

If naloxone is prescribed, also advise patients and caregivers:

  • How to treat with naloxone in the event of an opioid overdose
  • To tell family and friends about their naloxone and to keep it in a place where family and friends can access it in an emergency
  • To read the Patient Information (or other educational material) that will come with their naloxone.

Emphasize the importance of doing this before an opioid emergency happens, so the patient and caregiver will know what to do.

Hyperalgesia and Allodynia

Inform patients and caregivers not to increase opioid dosage without first consulting a clinician. Advise patients to seek medical attention if they experience symptoms of hyperalgesia, including worsening pain, increased sensitivity to pain, or new pain [see WARNINGS Adverse Reactions ].

Serotonin Syndrome

Inform patients that Hydrocodone Bitartrate and Acetaminophen Tablets could cause a rare but potentially life-threatening condition resulting from concomitant administration of serotonergic drugs. Warn patients of the symptoms of serotonin syndrome and to seek medical attention right away if symptoms develop. Instruct patients to inform their healthcare providers if they are taking, or plan to take serotonergic medications [see PRECAUTIONS; Drug Interactions ].

Monoamine Oxidase Inhibitor (MAOI) Interaction

Inform patients to avoid taking Hydrocodone and Acetaminophen Tablets while using any drugs that inhibit monoamine oxidase. Patients should not start MAOIs while taking Hydrocodone and Acetaminophen Tablets [see PRECAUTIONS; Drug Interactions ].

Important Administration Instructions

Instruct patients how to properly take Hydrocodone Bitartrate and Acetaminophen Tablets [see DOSAGE AND ADMINISTRATION , WARNINGS ].

Important Discontinuation Instructions

In order to avoid developing withdrawal symptoms, instruct patients not to discontinue Hydrocodone Bitartrate and Acetaminophen Tablets without first discussing a tapering plan with the prescriber [see DOSAGE AND ADMINISTRATION ].

Maximum Daily Dose of Acetaminophen

Inform patients not to take more than 4,000 milligrams of acetaminophen per day. Advise patients to call their prescriber if they take more than the recommended dose.

Driving or Operating Heavy Machinery

Inform patients that Hydrocodone Bitartrate and Acetaminophen Tablets may impair the ability to perform potentially hazardous activities such as driving a car or operating heavy machinery.

Advise patients not to perform such tasks until they know how they will react to the medication [see WARNINGS ].

Constipation

Advise patients of the potential for severe constipation, including management instructions and when to seek medical attention [see ADVERSE REACTIONS , CLINICAL PHARMACOLOGY ].

Adrenal Insufficiency

Inform patients that Hydrocodone Bitartrate and Acetaminophen Tablets opioids could cause adrenal insufficiency, a potentially life-threatening condition. Adrenal insufficiency may present with non-specific symptoms and signs such as nausea, vomiting, anorexia, fatigue, weakness, dizziness, and low blood pressure. Advise patients to seek medical attention if they experience a constellation of these symptoms [see WARNINGS ].

Hypotension

Inform patients that Hydrocodone Bitartrate and Acetaminophen Tablets may cause orthostatic hypotension and syncope. Instruct patients how to recognize symptoms of low blood pressure and how to reduce the risk of serious consequences should hypotension occur (e.g., sit or lie down, carefully rise from a sitting or lying position) [see WARNINGS ].

Anaphylaxis

Inform patients that anaphylaxis has been reported with ingredients contained in Hydrocodone Bitartrate and Acetaminophen Tablets. Advise patients how to recognize such a reaction and when to seek medical attention [see CONTRAINDICATIONS , ADVERSE REACTIONS ].

Pregnancy

Neonatal Opioid Withdrawal Syndrome

Inform female patients of reproductive potential that use of Hydrocodone Bitartrate and Acetaminophen Tablets for an extended period of time during pregnancy can result in neonatal opioid withdrawal syndrome, which may be life-threatening if not recognized and treated [see WARNINGS , PRECAUTIONS; Pregnancy ].

Embryo-Fetal Toxicity

Inform female patients of reproductive potential that Hydrocodone Bitartrate and Acetaminophen Tablets can cause fetal harm and to inform their healthcare provider of a known or suspected pregnancy [see PRECAUTIONS; Pregnancy ].

Neonatal Opioid Withdrawal Syndrome

Use of Hydrocodone Bitartrate and Acetaminophen Tablets for an extended period of time during pregnancy can result in withdrawal in the neonate. Neonatal opioid withdrawal syndrome, unlike opioid withdrawal syndrome in adults, may be life-threatening if not recognized and treated, and requires management according to protocols developed by neonatology experts. Observe newborns for signs of neonatal opioid withdrawal syndrome and manage accordingly. Advise pregnant women using opioids for an extended period of time of the risk of neonatal opioid withdrawal syndrome and ensure that appropriate treatment will be available [see PRECAUTIONS; Information for Patients , Pregnancy ].

Life Threatening Respiratory Depression (Life-Threatening Respiratory Depression)

Serious, life-threatening, or fatal respiratory depression has been reported with the use of opioids, even when used as recommended. Respiratory depression, if not immediately recognized and treated, may lead to respiratory arrest and death. Management of respiratory depression may include close observation, supportive measures, and use of opioid antagonists, depending on the patient’s clinical status [see  OVERDOSAGE ] . Carbon dioxide (CO2) retention from opioid-induced respiratory depression can exacerbate the sedating effects of opioids.

While serious, life-threatening, or fatal respiratory depression can occur at any time during the use of Hydrocodone Bitartrate and Acetaminophen Tablets, the risk is greatest during the initiation of therapy or following a dosage increase.

To reduce the risk of respiratory depression, proper dosing and titration of Hydrocodone Bitartrate and Acetaminophen Tablets are essential [see DOSAGE AND ADMINISTRATION ] . Overestimating the Hydrocodone Bitartrate and Acetaminophen Tablets dosage when converting patients from another opioid product can result in a fatal overdose.

Accidental ingestion of even one dose of Hydrocodone Bitartrate and Acetaminophen Tablets, especially by children, can result in respiratory depression and death due to an overdose of Hydrocodone Bitartrate and Acetaminophen Tablets.

Educate patients and caregivers on how to recognize respiratory depression and emphasize the importance of calling 911 or getting emergency medical help right away in the event of a known or suspected overdose [see  PRECAUTIONS, Information for Patients/Caregivers ] .

Opioids can cause sleep-related breathing disorders including central sleep apnea (CSA) and sleep-related hypoxemia. Opioid use increases the risk of CSA in a dose-dependent fashion. In patients who present with CSA, consider decreasing the opioid dosage using best practices for opioid taper [see DOSAGE AND ADMINISTRATION ].

Patient Access to Naloxone for the Emergency Treatment of Opioid Overdose

Discuss the availability of naloxone for the emergency treatment of opioid overdose with the patient and caregiver and assess the potential need for access to naloxone, both when initiating and renewing treatment with Hydrocodone Bitartrate and Acetaminophen Tablets. Inform patients and caregivers about the various ways to obtain naloxone as permitted by individual state naloxone dispensing and prescribing requirements or guidelines (e.g., by prescription, directly from a pharmacist, or as part of a community-based program). Educate patients and caregivers on how to recognize respiratory depression and emphasize the importance of calling 911 or getting emergency medical help, even if naloxone is administered [see PRECAUTIONS, Information for Patients/Caregivers ].

Consider prescribing naloxone, based on the patient’s risk factors for overdose, such as concomitant use of other CNS depressants, a history of opioid use disorder, or prior opioid overdose. The presence of risk factors for overdose should not prevent the proper management of pain in any given patient. Also consider prescribing naloxone if the patient has household members (including children) or other close contacts at risk for accidental ingestion or overdose. If naloxone is prescribed, educate patients and caregivers on how to treat with naloxone [see  WARNINGS, Addiction, Abuse, and MisuseRisks from Concomitant Use with Benzodiazepines or Other CNS Depressants; PRECAUTIONS, Information for Patients/Caregivers ].

Risks of Driving and Operating Machinery

Hydrocodone Bitartrate and Acetaminophen Tablets may impair the mental or physical abilities needed to perform potentially hazardous activities such as driving a car or operating machinery. Warn patients not to drive or operate dangerous machinery unless they are tolerant to the effects of Hydrocodone Bitartrate and Acetaminophen Tablets and know how they will react to the medication [see PRECAUTIONS; Information for Patients /Caregivers ].

Opioid Induced Hyperalgesia and Allodynia (Opioid-Induced Hyperalgesia and Allodynia)

Opioid-Induced Hyperalgesia (OIH) occurs when an opioid analgesic paradoxically causes an increase in pain, or an increase in sensitivity to pain. This condition differs from tolerance, which is the need for increasing doses of opioids to maintain a defined effect [see Dependence ]. Symptoms of OIH include (but may not be limited to) increased levels of pain upon opioid dosage increase, decreased levels of pain upon opioid dosage decrease, or pain from ordinarily non-painful stimuli (allodynia). These symptoms may suggest OIH only if there is no evidence of underlying disease progression, opioid tolerance, opioid withdrawal, or addictive behavior.

Cases of OIH have been reported, both with short-term and longer-term use of opioid analgesics. Though the mechanism of OIH is not fully understood, multiple biochemical pathways have been implicated. Medical literature suggests a strong biologic plausibility between opioid analgesics and OIH and allodynia. If a patient is suspected to be experiencing OIH, carefully consider appropriately decreasing the dose of the current opioid analgesic or opioid rotation (safely switching the patient to a different opioid moiety) [see DOSAGE AND ADMINISTRATION , WARNINGS ].

Carcinogenesis, Mutagenesis, Impairment of Fertility

Carcinogenesis



Long-term studies to evaluate the carcinogenic potential of the combination of Hydrocodone Bitartrate and Acetaminophen Tablets have not been conducted.



Long-term studies in mice and rats have been completed by the National Toxicology Program to evaluate the carcinogenic potential of acetaminophen. In 2-year feeding studies, F344/N rats and B6C3F1 mice were fed a diet containing acetaminophen up to 6,000 ppm. Female rats demonstrated equivocal evidence of carcinogenic activity based on increased incidences of mononuclear cell leukemia at 0.8 times the maximum human daily dose (MHDD) of 4 grams/day, based on a body surface area comparison. In contrast, there was no evidence of carcinogenic activity in male rats that received up to 0.7 times or mice at up to 1.2 to 1.4 times the MHDD, based on a body surface area comparison.



Mutagenesis



In the published literature, acetaminophen has been reported to be clastogenic when administered at 1,500 mg/kg/day to the rat model (3.6-times the MHDD, based on a body surface area comparison). In contrast, no clastogenicity was noted at a dose of 750 mg/kg/day (1.8-times the MHDD, based on a body surface area comparison), suggesting a threshold effect.



Impairment of Fertility



In studies conducted by the National Toxicology Program, fertility assessments with acetaminophen have been completed in Swiss CD-1 mice via a continuous breeding study. There were no effects on fertility parameters in mice consuming up to 1.7 times the MHDD of acetaminophen, based on a body surface area comparison. Although there was no effect on sperm motility or sperm density in the epididymis, there was a significant increase in the percentage of abnormal sperm in mice consuming 1.78 times the MHDD (based on a body surface comparison) and there was a reduction in the number of mating pairs producing a fifth litter at this dose, suggesting the potential for cumulative toxicity with chronic administration of acetaminophen near the upper limit of daily dosing.



Published studies in rodents report that oral acetaminophen treatment of male animals at doses that are 1.2 times the MHDD and greater (based on a body surface comparison) result in decreased testicular weights, reduced spermatogenesis, reduced fertility, and reduced implantation sites in females given the same doses. These effects appear to increase with the duration of treatment. The clinical significance of these findings is not known.

Infertility



Use of opioids for an extended period of time may cause reduced fertility in females and males of reproductive potential. It is not known whether these effects on fertility are reversible [see ADVERSE REACTIONS ].

Risks of Use in Patients With Gastrointestinal Conditions (Risks of Use in Patients with Gastrointestinal Conditions)

Hydrocodone Bitartrate and Acetaminophen Tablets are contraindicated in patients with gastrointestinal obstruction, including paralytic ileus.

The administration of Hydrocodone Bitartrate and Acetaminophen Tablets or other opioids may obscure the diagnosis or clinical course in patients with acute abdominal conditions.

Hydrocodone may cause spasm of the sphincter of Oddi. Opioids may cause increases in serum amylase.  Regularly evaluate patients with biliary tract disease, including acute pancreatitis, for worsening symptoms.

Increased Risk of Seizures in Patients With Seizure Disorders (Increased Risk of Seizures in Patients with Seizure Disorders)

The hydrocodone in Hydrocodone Bitartrate and Acetaminophen Tablets may increase the frequency of seizures in patients with seizure disorders, and may increase the risk of seizures occurring in other clinical settings associated with seizures. Regularly evaluate patients with a history of seizure disorders for worsened seizure control during hydrocodone bitartrate and acetaminophen tablet therapy.

Opioid Analgesic Risk Evaluation and Mitigation Strategy (rems) (Opioid Analgesic Risk Evaluation and Mitigation Strategy (REMS))

To ensure that the benefits of opioid analgesics outweigh the risks of addiction, abuse, and misuse, the Food and Drug Administration (FDA) has required a Risk Evaluation and Mitigation Strategy (REMS) for these products. Under the requirements of the REMS, drug companies with approved opioid analgesic products must make REMS-compliant education programs available to healthcare providers. Healthcare providers are strongly encouraged to do all of the following:

  • Complete a REMS-compliant education program offered by an accredited provider of continuing education (CE) or another education program that includes all the elements of the FDA Education Blueprint for Health Care Providers Involved in the Management or Support of Patients with Pain.

  • Discuss the safe use, serious risks, and proper storage and disposal of opioid analgesics with patients and/or their caregivers every time these medicines are prescribed. The Patient Counseling Guide (PCG) can be obtained at this link: www.fda.gov/OpioidAnalgesicREMSPCG.

  • Emphasize to patients and their caregivers the importance of reading the Medication Guide that they will receive from their pharmacist every time an opioid analgesic is dispensed to them.

  • Consider using other tools to improve patient, household, and community safety, such as patient-prescriber agreements that reinforce patient-prescriber responsibilities.

To obtain further information on the opioid analgesic REMS and for a list of accredited REMS CME/CE, call 800-503-0784, or log on to www.opioidanalgesicrems.com. The FDA Blueprint can be found at www.fda.gov/OpioidAnalgesicREMSBlueprint .

Risks From Concomitant Use With Benzodiazepines Or Other Cns Depressants (Risks from Concomitant Use with Benzodiazepines or Other CNS Depressants)

Profound sedation, respiratory depression, coma, and death may result from the concomitant use of Hydrocodone Bitartrate and Acetaminophen Tablets with benzodiazepines and/or other CNS depressants, including alcohol (e.g., non-benzodiazepine sedatives/hypnotics, anxiolytics, tranquilizers, muscle relaxants, general anesthetics, antipsychotics, other opioids, alcohol). Because of these risks, reserve concomitant prescribing of these drugs for use in patients for whom alternative treatment options are inadequate.

Observational studies have demonstrated that concomitant use of opioid analgesics and benzodiazepines increases the risk of drug-related mortality compared to use of opioid analgesics alone. Because of similar pharmacological properties, it is reasonable to expect similar risk with the concomitant use of other CNS depressant drugs with opioid analgesics [see PRECAUTIONS; Drug Interactions ].

If the decision is made to prescribe a benzodiazepine or other CNS depressant concomitantly with an opioid analgesic, prescribe the lowest effective dosages and minimum durations of concomitant use. In patients already receiving an opioid analgesic, prescribe a lower initial dose of the benzodiazepine or other CNS depressant than indicated in the absence of an opioid, and titrate based on clinical response. If an opioid analgesic is initiated in a patient already taking a benzodiazepine or other CNS depressant, prescribe a lower initial dose of the opioid analgesic, and titrate based on clinical response. Inform patients and caregivers of this potential interaction, educate them on the signs and symptoms of respiratory depression (including sedation).

If concomitant use is warranted, consider prescribing naloxone for the emergency treatment of opioid overdose [see WARNINGS, Life-Threatening Respiratory Depression ; DOSAGE AND ADMINISTRATION, Patient Access to Naloxone for the Emergency Treatment of Opioid Overdose ].

Advise both patients and caregivers about the risks of respiratory depression and sedation when Hydrocodone Bitartrate and Acetaminophen Tablets are used with benzodiazepines or other CNS depressants (including alcohol and illicit drugs). Advise patients not to drive or operate heavy machinery until the effects of concomitant use of the benzodiazepine or other CNS depressant have been determined.

Screen patients for risk of substance use disorders, including opioid abuse and misuse, and warn them of the risk for overdose and death associated with the use of additional CNS depressants including alcohol and illicit drugs [see PRECAUTIONS: Drug Interactions , Information for Patients ].

Risks of Concomitant Use Or Discontinuation of Cytochrome P450 3a4 Inhibitors and Inducers (Risks of Concomitant Use or Discontinuation of Cytochrome P450 3A4 Inhibitors and Inducers)

Concomitant use of Hydrocodone Bitartrate and Acetaminophen Tablets with a CYP3A4 inhibitor, such as macrolide antibiotics (e.g., erythromycin), azole-antifungal agents (e.g., ketoconazole), and protease inhibitors (e.g., ritonavir), may increase plasma concentrations of Hydrocodone Bitartrate and Acetaminophen Tablets and prolong opioid adverse reactions, which may cause potentially fatal respiratory depression [see WARNINGS ], particularly when an inhibitor is added after a stable dose of Hydrocodone Bitartrate and Acetaminophen Tablets are achieved.

Similarly, discontinuation of a CYP3A4 inducer, such as rifampin, carbamazepine, and phenytoin, in Hydrocodone Bitartrate and Acetaminophen Tablets-treated patients may increase hydrocodone plasma concentrations and prolong opioid adverse reactions. When adding CYP3A4 inhibitors or discontinuing CYP3A4 inducers in Hydrocodone Bitartrate and Acetaminophen Tablets-treated patients, evaluate patients at frequent intervals and consider dosage reduction of Hydrocodone Bitartrate and Acetaminophen Tablets until stable drug effects are achieved [see PRECAUTIONS; Drug Interactions ].

Concomitant use of Hydrocodone Bitartrate and Acetaminophen Tablets with CYP3A4 inducers or discontinuation of an CYP3A4 inhibitor could decrease hydrocodone plasma concentrations, decrease opioid efficacy or, possibly, lead to a withdrawal syndrome in a patient who had developed physical dependence to hydrocodone. When using Hydrocodone Bitartrate and Acetaminophen Tablets with CYP3A4 inducers or discontinuing CYP3A4 inhibitors, follow patients at frequent intervals and consider increasing the opioid dosage if needed to maintain adequate analgesia or if symptoms of opioid withdrawal occur [see PRECAUTIONS; Drug Interactions ].

Risks of Use in Patients With Increased Intracranial Pressure, Brain Tumors, Head Injury, Or Impaired Consciousness (Risks of Use in Patients with Increased Intracranial Pressure, Brain Tumors, Head Injury, or Impaired Consciousness)

In patients who may be susceptible to the intracranial effects of CO2 retention (e.g., those with evidence of increased intracranial pressure or brain tumors), Hydrocodone Bitartrate and Acetaminophen Tablets may reduce respiratory drive, and the resultant CO2 retention can further increase intracranial pressure. Follow such patients for signs of sedation and respiratory depression, particularly when initiating therapy with Hydrocodone Bitartrate and Acetaminophen Tablets.

Opioids may also obscure the clinical course in a patient with a head injury. Avoid the use of Hydrocodone Bitartrate and Acetaminophen Tablets in patients with impaired consciousness or coma.

Life Threatening Respiratory Depression in Patients With Chronic Pulmonary Disease Or in Elderly, Cachectic, Or Debilitated Patients (Life-Threatening Respiratory Depression in Patients with Chronic Pulmonary Disease or in Elderly, Cachectic, or Debilitated Patients)

The use of Hydrocodone Bitartrate and Acetaminophen Tablets in patients with acute or severe bronchial asthma in an unmonitored setting or in the absence of resuscitative equipment is contraindicated.

Patients with Chronic Pulmonary Disease: Hydrocodone Bitartrate and Acetaminophen Tablet-treated patients with significant chronic obstructive pulmonary disease or cor pulmonale, and those with a substantially decreased respiratory reserve, hypoxia, hypercapnia, or pre-existing respiratory depression are at increased risk of decreased respiratory drive including apnea, even at recommended dosages of Hydrocodone Bitartrate and Acetaminophen Tablets [see WARNINGS; Life-Threatening Respiratory Depression ].

Elderly, Cachectic, or Debilitated Patients: Life-threatening respiratory depression is more likely to occur in elderly, cachectic, or debilitated patients because they may have altered pharmacokinetics or altered clearance compared to younger, healthier patients [see WARNINGS; Life-Threatening Respiratory Depression ].

Regularly evaluate, particularly when initiating and titrating Hydrocodone Bitartrate and Acetaminophen Tablets and when Hydrocodone Bitartrate and Acetaminophen Tablets are given concomitantly with other drugs that depress respiration [see WARNINGS; Life-Threatening Respiratory Depression ]. Alternatively, consider the use of non-opioid analgesics in these patients.


Advanced Ingredient Data


Raw Label Data

All Sections (JSON)