Clariscan

these highlights do not include all the information needed to use clariscan safely and effectively. see full prescribing information for clariscan.
SPL v11
SPL
SPL Set ID c9e273b3-481f-4899-8913-95aaddcc7662
Route
intravenous
Published
Effective Date 2025-03-01
Document Type 34391-3 HUMAN PRESCRIPTION DRUG LABEL

Drug Facts

Composition & Product

Active Ingredients
gadolinium cation (3+) (1 mL)
Inactive Ingredients
water tetraxetan

Identifiers & Packaging

Marketing Status
anda active Since 2019-11-01

Indications and Usage

Clariscan is a gadolinium-based contrast agent indicated for intravenous use with magnetic resonance imaging (MRI) in brain (intracranial), spine and associated tissues in adult and pediatric patients (including term neonates) to detect and visualize areas with disruption of the blood brain barrier (BBB) and/or abnormal vascularity.

Dosage and Administration

Adult and pediatric patients: The recommended dose of Clariscan is 0.2 mL/kg (0.1 mmol/kg) body weight administered as an intravenous bolus injection at a flow rate of approximately 2 mL/second for adults and 1 to 2 mL/second for pediatric patients (including term neonates). The dose is delivered by manual or power injection. ( 2 )

Contraindications

History of clinically important hypersensitivity reactions to Clariscan [see Warnings and Precautions (5.3) ].

Warnings and Precautions

Hypersensitivity Reactions: Anaphylactoid/anaphylactic reactions with cardiovascular, respiratory or cutaneous manifestations, ranging from mild to severe, including death, have uncommonly occurred. Monitor patients closely for need of emergency cardiorespiratory support. ( 5.3 ) Gadolinium Retention: Gadolinium is retained for months or years in brain, bone, and other organs. ( 5.4 )

Adverse Reactions

Inform patients that they may experience: Reactions along the venous injection site, such as mild and transient burning or pain or feeling of warmth or coldness at the injection site. Side effects of headache, nausea, abnormal taste and feeling hot.

Drug Interactions

Gadoterate does not interfere with serum and plasma calcium measurements determined by colorimetric assays. Specific drug interaction studies with gadoterate meglumine have not been conducted.

How Supplied

Clariscan Injection is a clear, colorless to yellow solution containing 0.5 mmol/mL of gadoterate meglumine. Clariscan Injection Pharmacy Bulk Package is supplied in 100 mL + Plus Pak™ (polymer bottle) containing 100 mL of solution. Each Pharmacy Bulk Package bottle is closed with a rubber stopper and a screw cap and the contents are sterile. Clariscan Pharmacy Bulk Package is packaged in a box of 10, in the following configuration: 50 mmol per 100 mL (0.5 mmol per mL) in + Plus Pak™ (polymer bottle)         (NDC 0407-2943-70)

Storage and Handling

Clariscan Injection is a clear, colorless to yellow solution containing 0.5 mmol/mL of gadoterate meglumine. Clariscan Injection Pharmacy Bulk Package is supplied in 100 mL + Plus Pak™ (polymer bottle) containing 100 mL of solution. Each Pharmacy Bulk Package bottle is closed with a rubber stopper and a screw cap and the contents are sterile. Clariscan Pharmacy Bulk Package is packaged in a box of 10, in the following configuration: 50 mmol per 100 mL (0.5 mmol per mL) in + Plus Pak™ (polymer bottle)         (NDC 0407-2943-70)

Description

WARNING: RISK ASSOCIATED WITH INTRATHECAL USE and NEPHROGENIC SYSTEMIC FIBROSIS See full prescribing information for complete boxed warning Intrathecal administration of gadolinium-based contrast agents (GBCAs) can cause serious adverse reactions including death, coma, encephalopathy, and seizures. Clariscan is not approved for intrathecal use. ( 5.1 ) GBCAs increase the risk for nephrogenic systemic fibrosis (NSF) among patients with impaired elimination of the drugs. Avoid use of Clariscan in these patients unless the diagnostic information is essential and not available with non-contrasted MRI or other modalities. The risk for NSF appears highest among patients with: Chronic, severe kidney disease (GFR < 30 mL/min/1.73 m 2 ), or Acute kidney injury. Screen patients for acute kidney injury and other conditions that may reduce renal function. For patients at risk for chronically reduced renal function (for example, age > 60 years, hypertension or diabetes), estimate the glomerular filtration rate (GFR) through laboratory testing ( 5.2 ).


Medication Information

Warnings and Precautions

Hypersensitivity Reactions: Anaphylactoid/anaphylactic reactions with cardiovascular, respiratory or cutaneous manifestations, ranging from mild to severe, including death, have uncommonly occurred. Monitor patients closely for need of emergency cardiorespiratory support. ( 5.3 ) Gadolinium Retention: Gadolinium is retained for months or years in brain, bone, and other organs. ( 5.4 )

Indications and Usage

Clariscan is a gadolinium-based contrast agent indicated for intravenous use with magnetic resonance imaging (MRI) in brain (intracranial), spine and associated tissues in adult and pediatric patients (including term neonates) to detect and visualize areas with disruption of the blood brain barrier (BBB) and/or abnormal vascularity.

Dosage and Administration

Adult and pediatric patients: The recommended dose of Clariscan is 0.2 mL/kg (0.1 mmol/kg) body weight administered as an intravenous bolus injection at a flow rate of approximately 2 mL/second for adults and 1 to 2 mL/second for pediatric patients (including term neonates). The dose is delivered by manual or power injection. ( 2 )

Contraindications

History of clinically important hypersensitivity reactions to Clariscan [see Warnings and Precautions (5.3) ].

Adverse Reactions

Inform patients that they may experience: Reactions along the venous injection site, such as mild and transient burning or pain or feeling of warmth or coldness at the injection site. Side effects of headache, nausea, abnormal taste and feeling hot.

Drug Interactions

Gadoterate does not interfere with serum and plasma calcium measurements determined by colorimetric assays. Specific drug interaction studies with gadoterate meglumine have not been conducted.

Storage and Handling

Clariscan Injection is a clear, colorless to yellow solution containing 0.5 mmol/mL of gadoterate meglumine. Clariscan Injection Pharmacy Bulk Package is supplied in 100 mL + Plus Pak™ (polymer bottle) containing 100 mL of solution. Each Pharmacy Bulk Package bottle is closed with a rubber stopper and a screw cap and the contents are sterile. Clariscan Pharmacy Bulk Package is packaged in a box of 10, in the following configuration: 50 mmol per 100 mL (0.5 mmol per mL) in + Plus Pak™ (polymer bottle)         (NDC 0407-2943-70)

How Supplied

Clariscan Injection is a clear, colorless to yellow solution containing 0.5 mmol/mL of gadoterate meglumine. Clariscan Injection Pharmacy Bulk Package is supplied in 100 mL + Plus Pak™ (polymer bottle) containing 100 mL of solution. Each Pharmacy Bulk Package bottle is closed with a rubber stopper and a screw cap and the contents are sterile. Clariscan Pharmacy Bulk Package is packaged in a box of 10, in the following configuration: 50 mmol per 100 mL (0.5 mmol per mL) in + Plus Pak™ (polymer bottle)         (NDC 0407-2943-70)

Description

WARNING: RISK ASSOCIATED WITH INTRATHECAL USE and NEPHROGENIC SYSTEMIC FIBROSIS See full prescribing information for complete boxed warning Intrathecal administration of gadolinium-based contrast agents (GBCAs) can cause serious adverse reactions including death, coma, encephalopathy, and seizures. Clariscan is not approved for intrathecal use. ( 5.1 ) GBCAs increase the risk for nephrogenic systemic fibrosis (NSF) among patients with impaired elimination of the drugs. Avoid use of Clariscan in these patients unless the diagnostic information is essential and not available with non-contrasted MRI or other modalities. The risk for NSF appears highest among patients with: Chronic, severe kidney disease (GFR < 30 mL/min/1.73 m 2 ), or Acute kidney injury. Screen patients for acute kidney injury and other conditions that may reduce renal function. For patients at risk for chronically reduced renal function (for example, age > 60 years, hypertension or diabetes), estimate the glomerular filtration rate (GFR) through laboratory testing ( 5.2 ).

Section 42229-5

Risk Associated with Intrathecal Use

Intrathecal administration of gadolinium-based contrast agents (GBCAs) can cause serious adverse reactions including death, coma, encephalopathy, and seizures. Clariscan is not approved for intrathecal use [see Warnings and Precautions (5.1)].

Section 42231-1
This Medication Guide has been approved by the U.S. Food and Drug Administration. Rev. 3/2025
MEDICATION GUIDE

CLARISCAN™ (kla-ri'-skan)

(gadoterate meglumine)

Injection, for intravenous use
What is the most important information I should know about Clariscan?
  • GBCAs like Clariscan may cause serious side effects including death, coma, encephalopathy, and seizures when it is given intrathecally (injection given into the spinal canal). It is not known if Clariscan is safe and effective with intrathecal use. Clariscan is not approved for this use.
  • Clariscan contains a metal called gadolinium. Small amounts of gadolinium can stay in your body including the brain, bones, skin and other parts of your body for a long time (several months to years).
  • It is not known how gadolinium may affect you, but so far, studies have not found harmful effects in patients with normal kidneys.
  • Rarely patients have reported pains, tiredness, and skin, muscle or bone ailments for a long time, but these symptoms have not been directly linked to gadolinium.
  • There are different GBCAs that can be used for your MRI exam. The amount of gadolinium that stays in the body is different for different gadolinium medicines. Gadolinium stays in the body more after Omniscan or Optimark than after Eovist, Magnevist or MultiHance. Gadolinium stays in the body the least after Clariscan, Dotarem, Gadavist or ProHance.
  • People who get many doses of gadolinium medicines, women who are pregnant and young children may be at increased risk from gadolinium staying in the body.
  • Some people with kidney problems who get gadolinium medicines can develop a condition with severe thickening of the skin, muscles and other organs in the body (nephrogenic systemic fibrosis). Your healthcare provider should screen you to see how well your kidneys are working before you receive Clariscan.
What is Clariscan?
  • Clariscan is a prescription medicine called a gadolinium-based contrast agent (GBCA). Clariscan, like other GBCAs, is injected into your vein and used with a magnetic resonance imaging (MRI) scanner.
  • An MRI exam with a GBCA, including Clariscan, helps your doctor to see problems better than an MRI exam without a GBCA.
  • Your doctor has reviewed your medical records and has determined that you would benefit from using a GBCA with your MRI exam.
Do not receive Clariscan if you have had a severe allergic reaction to Clariscan.
Before receiving Clariscan, tell your healthcare provider about all your medical conditions, including if you:
  • have had any MRI procedures in the past where you received a GBCA. Your healthcare provider may ask you for more information including the dates of these MRI procedures.
  • are pregnant or plan to become pregnant. It is not known if Clariscan can harm your unborn baby. Talk to your healthcare provider about the possible risks to an unborn baby if a GBCA such as Clariscan is received during pregnancy.
  • have kidney problems, diabetes, or high blood pressure.
  • have had an allergic reaction to dyes (contrast agents) including GBCAs.
What are possible side effects of Clariscan? The most common side effects of Clariscan include: nausea, headache, pain, or cold feeling at the injection site, and rash.

These are not all the possible side effects of Clariscan.

Call your doctor for medical advice about side effects. You may report side effects to FDA at 1-800-FDA-1088.
General information about the safe and effective uses of Clariscan.

Medicines are sometimes prescribed for purposes other than those listed in a Medication Guide. You can ask your healthcare provider for information about Clariscan that is written for health professionals.
What are the ingredients in Clariscan?

Active ingredient: gadoterate meglumine

Inactive ingredients: DOTA, water for injection


© 2025 GE HealthCare

Distributed by GE Healthcare Inc., Arlington Heights, IL 60004 U.S.A.

GE is a trademark of General Electric Company used under trademark license.

For more information, go to www.GEHealthCare.com or call 1-800-654-0118.
Section 44425-7

Storage

Store at 25°C (77°F); excursions permitted to 15°C to 30°C (59°F to 86°F) [see USP, Controlled Room Temperature].

Should solidification occur in the bottle because of exposure to the cold, bring Clariscan to room temperature before use. If allowed to stand at room temperature for a minimum of 90 minutes, Clariscan should return to a clear, colorless to yellow solution. Before use, examine the product to assure that all solids are dissolved and that the container and closure have not been damaged. Discard the bottle if solids persist.

10 Overdosage

Clariscan administered to healthy volunteers and to adult patients at cumulative doses up to 0.3 mmol/kg was tolerated in a manner similar to lower doses. Adverse reactions to overdosage with gadoterate meglumine have not been reported. Gadoterate can be removed from the body by hemodialysis [see Clinical Pharmacology (12.3)].

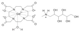
11 Description

Clariscan (gadoterate meglumine) is a paramagnetic macrocyclic ionic contrast agent administered for magnetic resonance imaging. The chemical name for gadoterate meglumine is D-glucitol, 1-deoxy-1-(methylamino)-, [1,4,7,10-tetraazacyclododecane-1,4,7,10-tetraaceto(4-)-.kappa.N1, .kappa.N4, .kappa.N7, .kappa.N10, .kappa.O1, .kappa.O4, .kappa.O7, .kappa.O10]gadolinate(1-)(1:1); it has a formula weight of 753.9 g/mol and empirical formula of C23H42O13N5Gd (anhydrous basis).

The structural formula of gadoterate meglumine in solution is as follows:

CAS Registry No. 92943-93-6

Clariscan Injection is a sterile, nonpyrogenic, clear, colorless to yellow, aqueous solution of 0.5 mmol/mL of gadoterate meglumine. Each +PlusPak™ polymer bottle contains 50 mmol per 100 mL. No preservative is added. Each mL of Clariscan contains 376.9 mg of gadoterate meglumine, 0.25 mg of DOTA and water for injection. Clariscan has a pH of 6.5 to 8.0.

The main physiochemical properties of Clariscan are provided below:

Table 4: Physicochemical Properties
Parameter Value
Density @ 20°C 1.1753 g/cm3
Viscosity @ 20°C 3.4 mPa∙s
Viscosity @ 37°C 2.4 mPa∙s
Osmolality 1350∙mOsm/kg water

The thermodynamic stability constants for gadoterate (log Ktherm and log Kcond at pH 7.4) are 25.6 and 19.3, respectively.

2.2 Drug Handling
  • Visually inspect Clariscan for particulate matter prior to administration. Do not use the solution if particulate matter is present or if the container appears damaged. Clariscan should be a clear, colorless to yellow solution.
  • Do not mix with other drugs or parenteral nutrition.
  • Discard any unused portions of the drug.
  • When Clariscan is to be injected using plastic disposable syringes, the contrast medium should be drawn into the syringe and used immediately.
8.4 Pediatric Use

The safety and efficacy of gadoterate meglumine at a single dose of 0.1 mmol/kg have been established in pediatric patients from birth (term neonates ≥ 37 weeks gestational age) to 17 years of age based on clinical data in 133 pediatric patients 2 years of age and older, and clinical data in 52 pediatric patients birth to less than 2 years of age that supported extrapolation from adult data [see Clinical Studies (14)]. Adverse reactions in pediatric patients were similar to those reported in adults [see Adverse Reactions (6.1)]. No dose adjustment according to age is necessary in pediatric patients [see Dosage and Administration (2.1), Pharmacokinetics (12.3)]. The safety of gadoterate meglumine has not been established in preterm neonates.

No cases of NSF associated with gadoterate meglumine or any other GBCA have been identified in pediatric patients age 6 years and younger [see Warnings and Precautions (5.2)]. Normal estimated GFR (eGFR) is approximately 30 mL/minute/1.73 m2 at birth and increases to adult values by 2 years of age.

8.5 Geriatric Use

In clinical studies of gadoterate meglumine, 900 patients were 65 years of age and over, and 304 patients were 75 years of age and over. No overall differences in safety or efficacy were observed between these subjects and younger subjects. In general, use of Clariscan in elderly patients should be cautious, reflecting the greater frequency of impaired renal function and concomitant disease or other drug therapy. No age-related dosage adjustment is necessary.

4 Contraindications

History of clinically important hypersensitivity reactions to Clariscan [see Warnings and Precautions (5.3)].

6 Adverse Reactions

The following clinically significant adverse reactions are described elsewhere in the labeling:

7 Drug Interactions

Gadoterate does not interfere with serum and plasma calcium measurements determined by colorimetric assays. Specific drug interaction studies with gadoterate meglumine have not been conducted.

8.6 Renal Impairment

No Clariscan dosage adjustment is recommended for patients with renal impairment. Gadoterate can be removed from the body by hemodialysis [see Warnings and Precautions (5.2) and Clinical Pharmacology (12.3)].

12.2 Pharmacodynamics

Gadoterate affects proton relaxation times and consequently the MR signal, and the contrast obtained is characterized by the relaxivity of the gadoterate molecule. The relaxivity values for gadoterate are similar across the spectrum of magnetic field strengths used in clinical MRI (0.2 to 1.5 T).

Disruption of the blood-brain barrier or abnormal vascularity allows distribution of gadoterate in lesions such as neoplasms, abscesses, and infarcts.

12.3 Pharmacokinetics

The pharmacokinetics of total gadolinium assessed up to 48 hours following an intravenously administered 0.1 mmol/kg dose of gadoterate meglumine in healthy adult subjects demonstrated a mean elimination half-life (reported as mean ± SD) of about 1.4 ± 0.2 hours and 2.0 ± 0.7 hours in female and male subjects, respectively. Similar pharmacokinetic profile and elimination half-life values were observed after intravenous injection of 0.1 mmol/kg of gadoterate meglumine followed 20 minutes later by a second injection of 0.2 mmol/kg (1.7 ± 0.3 hours and 1.9 ± 0.2 hours in female and male subjects, respectively).

2.1 Dosing Guidelines

For adult and pediatric patients (including term neonates), the recommended dose of Clariscan is 0.2 mL/kg (0.1 mmol/kg) body weight administered as an intravenous bolus injection, manually or by power injector, at a flow rate of approximately 2 mL/second for adults and 1 to 2 mL/second for pediatric patients. Table 1 provides weight-adjusted dose volumes.

Table 1: Volumes of Clariscan Injection by Body Weight
Body Weight Volume
Pounds (lb) Kilograms (kg) Milliliters (mL)
5.5 2.5 0.5
11 5 1
22 10 2
44 20 4
66 30 6
88 40 8
110 50 10
132 60 12
154 70 14
176 80 16
198 90 18
220 100 20
242 110 22
264 120 24
286 130 26
308 140 28
330 150 30

To ensure complete injection of Clariscan, the injection may be followed by normal saline flush. Contrast MRI can begin immediately following Clariscan injection.

1 Indications and Usage

Clariscan is a gadolinium-based contrast agent indicated for intravenous use with magnetic resonance imaging (MRI) in brain (intracranial), spine and associated tissues in adult and pediatric patients (including term neonates) to detect and visualize areas with disruption of the blood brain barrier (BBB) and/or abnormal vascularity.

5.5 Acute Kidney Injury

In patients with chronically reduced renal function, acute kidney injury requiring dialysis has occurred with the use of GBCAs. The risk of acute kidney injury may increase with increasing dose of the contrast agent; administer the lowest dose necessary for adequate imaging. Screen all patients for renal impairment by obtaining a history and/or laboratory tests. Consider follow-up renal function assessments for patients with a history of renal dysfunction.

12.1 Mechanism of Action

Gadoterate is a paramagnetic molecule that develops a magnetic moment when placed in a magnetic field. The magnetic moment enhances the relaxation rates of water protons in its vicinity, leading to an increase in signal intensity (brightness) of tissues.

In magnetic resonance imaging (MRI), visualization of normal and pathological tissue depends in part on variations in the radiofrequency signal intensity that occurs with:

  • 1)
    differences in proton density
  • 2)
    differences of the spin-lattice or longitudinal relaxation times (T1)
  • 3)
    differences in the spin-spin or transverse relaxation time (T2)

When placed in a magnetic field, gadoterate shortens the T1 and T2 relaxation times in target tissues. At recommended doses, the effect is observed with greatest sensitivity in the T1-weighted sequences.

17.3 General Precautions
  • Pregnancy: Advise pregnant women of the potential risk of fetal exposure to gadoterate [see Use in Specific Populations (8.1)].
  • Gadolinium Retention: Advise patients that gadolinium is retained for months or years in brain, bone, skin, and other organs in patients with normal renal function. The clinical consequences of retention are unknown. Retention depends on multiple factors and is greater following administration of linear GBCAs than following administration of macrocyclic GBCAs [see Warnings and Precautions (5.4)].
5.4 Gadolinium Retention

Gadolinium is retained for months or years in several organs. The highest concentrations (nanomoles per gram of tissue) have been identified in the bone, followed by other organs (e.g., brain, skin, kidney, liver and spleen). The duration of retention also varies by tissue and is longest in bone. Linear GBCAs cause more retention than macrocyclic GBCAs. At equivalent doses, gadolinium retention varies among the linear agents with Omniscan (gadodiamide) and Optimark (gadoversetamide) causing greater retention than other linear agents [Eovist (gadoxetate disodium), Magnevist (gadopentetate dimeglumine), MultiHance (gadobenate dimeglumine)]. Retention is lowest and similar among the macrocyclic GBCAs [Clariscan (gadoterate meglumine), Dotarem (gadoterate meglumine), Gadavist (gadobutrol), ProHance (gadoteridol)].

Consequences of gadolinium retention in the brain have not been established. Pathologic and clinical consequences of GBCA administration and retention in skin and other organs have been established in patients with impaired renal function [see Warnings and Precautions (5.2)]. There are rare reports of pathologic skin changes in patients with normal renal function. Adverse events involving multiple organ systems have been reported in patients with normal renal function without an established causal link to gadolinium retention [see Adverse Reactions (6.2)].

While clinical consequences of gadolinium retention have not been established in patients with normal renal function, certain patients might be at higher risk. These include patients requiring multiple lifetime doses, pregnant and pediatric patients, and patients with inflammatory conditions. Consider the retention characteristics of the agent when choosing a GBCA for these patients. Minimize repetitive GBCA imaging studies, particularly closely spaced studies when possible.

5 Warnings and Precautions
  • Hypersensitivity Reactions: Anaphylactoid/anaphylactic reactions with cardiovascular, respiratory or cutaneous manifestations, ranging from mild to severe, including death, have uncommonly occurred. Monitor patients closely for need of emergency cardiorespiratory support. (5.3)
  • Gadolinium Retention: Gadolinium is retained for months or years in brain, bone, and other organs. (5.4)
2 Dosage and Administration

Adult and pediatric patients: The recommended dose of Clariscan is 0.2 mL/kg (0.1 mmol/kg) body weight administered as an intravenous bolus injection at a flow rate of approximately 2 mL/second for adults and 1 to 2 mL/second for pediatric patients (including term neonates). The dose is delivered by manual or power injection. (2)

3 Dosage Forms and Strengths

Clariscan 0.5 mmol/mL is a sterile, clear, colorless to yellow, aqueous solution for intravenous injection containing 376.9 mg/mL gadoterate meglumine.

Clariscan Pharmacy Bulk Package is available in +PlusPak™ polymer bottles.

6.2 Postmarketing Experience

The following additional adverse reactions have been identified during postmarketing use of gadoterate meglumine or other GBCAs. Because these reactions are reported voluntarily from a population of uncertain size, it is not always possible to reliably estimate their frequency or establish a causal relationship to drug exposure.

Table 3: Adverse Reactions in the Postmarketing Experience
System Organ Class Adverse Reaction
Cardiac Disorders bradycardia, tachycardia, arrhythmia
Immune System Disorders hypersensitivity / anaphylactoid reactions including cardiac arrest, respiratory arrest, cyanosis, pharyngeal edema, laryngospasm, bronchospasm, angioedema, conjunctivitis, ocular hyperemia, eyelid edema, lacrimation increased, hyperhidrosis, urticaria
Nervous System Disorders coma, convulsion, syncope, presyncope, parosmia, tremor
Musculoskeletal and Connective Tissue Disorders muscle contracture, muscle weakness
Gastrointestinal Disorders diarrhea, salivary hypersecretion, acute pancreatitis with onset within 48 hours after GBCA administration
General Disorders and Administration Site Conditions malaise, fever

Adverse reactions with variable onset and duration have been reported after GBCA administration. These include fatigue, asthenia, pain syndromes, and heterogeneous clusters of symptoms in the neurological, cutaneous, and musculoskeletal systems.
Respiratory, Thoracic and Mediastinal Disorders Acute respiratory distress syndrome, pulmonary edema
Skin and Subcutaneous Tissue Disorders NSF, in patients whose reports were confounded by the receipt of other GBCAs or in situations where receipt of other GBCAs could not be ruled out.

No unconfounded cases of NSF have been reported with gadoterate meglumine.

Gadolinium-associated plaques.
Vascular Disorders superficial phlebitis
17.2 Common Adverse Reactions

Inform patients that they may experience:

  • Reactions along the venous injection site, such as mild and transient burning or pain or feeling of warmth or coldness at the injection site.
  • Side effects of headache, nausea, abnormal taste and feeling hot.
8 Use in Specific Populations

Pregnancy: Use only if imaging is essential during pregnancy and cannot be delayed. (8.1)

5.3 Hypersensitivity Reactions

Anaphylactic and anaphylactoid reactions have been reported with gadoterate meglumine, involving cardiovascular, respiratory, and/or cutaneous manifestations. Some patients experienced circulatory collapse and died. In most cases, initial symptoms occurred within minutes of gadoterate meglumine administration and resolved with prompt emergency treatment [see Adverse Reactions (6)].

  • Before Clariscan administration, assess all patients for any history of a reaction to contrast media, bronchial asthma and/or allergic disorders. These patients may have an increased risk for a hypersensitivity reaction to Clariscan.
  • Administer Clariscan only in situations where trained personnel and therapies are promptly available for the treatment of hypersensitivity reactions, including personnel trained in resuscitation.
  • During and following Clariscan administration, observe patients for signs and symptoms of hypersensitivity reactions.
6.1 Clinical Trials Experience

Because clinical trials are conducted under widely varying conditions, adverse reaction rates observed in the clinical trials of a drug cannot be directly compared to rates in the clinical trials of another drug and may not reflect the rates observed in clinical practice.

The data described below reflect gadoterate meglumine exposure in 2867 patients, representing 2682 adults and 185 pediatric patients. Overall, 55% of the patients were men. In clinical trials where ethnicity was recorded, the ethnic distribution was 81% Caucasian, 11% Asian, 4% Black, and 4% others. The average age was 53 years (range from < 1 week to 97 years).

Overall, 4% of patients reported at least one adverse reaction, primarily occurring immediately or within 24 hours following gadoterate meglumine administration. Most adverse reactions were mild or moderate in intensity and transient in nature.

Table 2 lists adverse reactions that occurred in ≥ 0.2% patients who received gadoterate meglumine.

Table 2: Adverse Reactions in Clinical Trials
Reaction Rate (%)

n= 2867
Nausea 0.6%
Headache 0.4%
Injection Site Pain 0.4%
Injection Site Coldness 0.2%
Rash 0.2%

Adverse reactions that occurred with a frequency < 0.2% in patients who received gadoterate meglumine include: feeling cold, feeling hot, burning sensation, somnolence, pain, dizziness, dysgeusia, blood creatinine increased, hypotension, hypertension, asthenia, fatigue, injection site reactions (inflammation, extravasation, pruritus, swelling, warmth), paresthesia, pruritus, laryngeal discomfort, pain in extremity, vomiting, anxiety and palpitations.

17 Patient Counseling Information
  • Advise the patient to read the FDA-approved patient labeling (Medication Guide)
5.2 Nephrogenic Systemic Fibrosis

GBCAs increase the risk for nephrogenic systemic fibrosis (NSF) among patients with impaired elimination of the drugs. Avoid use of Clariscan among these patients unless the diagnostic information is essential and not available with non-contrast MRI or other modalities. The GBCA-associated NSF risk appears highest for patients with chronic, severe kidney disease (GFR < 30 mL/min/1.73 m2) as well as patients with acute kidney injury. The risk appears lower for patients with chronic, moderate kidney disease (GFR 30 to 59 mL/min/1.73 m2) and little, if any, for patients with chronic, mild kidney disease (GFR 60 to 89 mL/min/1.73 m2). NSF may result in fatal or debilitating fibrosis affecting the skin, muscle, and internal organs. Report any diagnosis of NSF following Clariscan administration to GE HealthCare at (1-800-654-0118) or FDA at (1-800-FDA-1088 or www.fda.gov/medwatch).

Screen patients for acute kidney injury and other conditions that may reduce renal function. Features of acute kidney injury consist of rapid (over hours to days), and usually reversible, decrease in kidney function, commonly in the setting of surgery, severe infection, injury or drug-induced kidney toxicity. Serum creatinine levels and estimated GFR may not reliably assess renal function in the setting of acute kidney injury. For patients at risk for chronically reduced renal function (e.g., age > 60 years, diabetes mellitus or chronic hypertension), estimate the GFR through laboratory testing.

The factors that may increase the risk for NSF are repeated or higher than recommended doses of a GBCA, and the degree of renal impairment at the time of exposure. Record the specific GBCA and the dose administered to a patient. For patients at highest risk for NSF, do not exceed the recommended Clariscan dose and allow a sufficient period of time for elimination of the drug prior to re-administration. For patients receiving hemodialysis, physicians may consider the prompt initiation of hemodialysis following the administration of a GBCA in order to enhance the contrast agent's elimination. The usefulness of hemodialysis in the prevention of NSF is unknown [see Dosage and Administration (2) and Clinical Pharmacology (12)].

17.1 Nephrogenic Systemic Fibrosis

Instruct patients to inform their healthcare provider if they:

  • have a history of kidney disease, or
  • have recently received a GBCA.

GBCAs increase the risk for NSF among patients with impaired elimination of the drugs. To counsel patients at risk for NSF:

  • Describe the clinical manifestations of NSF.
  • Describe procedures to screen for the detection of renal impairment.

Instruct the patients to contact their physician if they develop signs or symptoms of NSF following Clariscan administration, such as burning, itching, swelling, scaling, hardening and tightening of the skin; red or dark patches on the skin; stiffness in joints with trouble moving, bending or straightening the arms, hands, legs or feet; pain in the hip bones or ribs; or muscle weakness.

16 How Supplied/storage and Handling

Clariscan Injection is a clear, colorless to yellow solution containing 0.5 mmol/mL of gadoterate meglumine.

  • Clariscan Injection Pharmacy Bulk Package is supplied in 100 mL +PlusPak™ (polymer bottle) containing 100 mL of solution.

Each Pharmacy Bulk Package bottle is closed with a rubber stopper and a screw cap and the contents are sterile. Clariscan Pharmacy Bulk Package is packaged in a box of 10, in the following configuration:

50 mmol per 100 mL (0.5 mmol per mL) in +PlusPak™ (polymer bottle)         (NDC 0407-2943-70)

5.1 Risk Associated With Intrathecal Use

Intrathecal administration of GBCAs can cause serious adverse reactions including death, coma, encephalopathy, and seizures. The safety and effectiveness of Clariscan have not been established with intrathecal use. Clariscan is not approved for intrathecal use [see Dosage and Administration (2.1)].

13.2 Animal Toxicology And/or Pharmacology

Local intolerance reactions, including moderate irritation associated with infiltration of inflammatory cells were observed after perivenous injection in rabbits suggesting the possibility of local irritation if the contrast medium leaks around the veins in a clinical setting [see Warnings and Precautions (5.5)].

Toxicity of gadoterate meglumine was evaluated in neonatal and juvenile (pre- and post-weaning) rats following a single or repeated intravenous administration at doses 1, 2, and 4 times the MHD based on BSA. Gadoterate meglumine was well tolerated at all dose levels tested and had no effect on growth, pre-weaning development, behavior and sexual maturation.

Principal Display Panel 100 Ml Box Label

NDC 0407-2943-70

Rx Only

Clariscan™

(gadoterate meglumine) Injection

50 mmol per 100 mL

(0.5 mmol per mL)

Sterile Solution

For Intravenous Administration

Withdraw Contents Within 24 Hours

10 x 100 mL Bottles

PHARMACY BULK PACKAGE

Not for Direct Infusion

Dispense the accompanying

Medication Guide to each patient

5.6 Extravasation and Injection Site Reactions

Ensure catheter and venous patency before the injection of Clariscan. Extravasation into tissues during Clariscan administration may result in tissue irritation [see Nonclinical Toxicology (13.2)].

13.1 Carcinogenesis, Mutagenesis, Impairment of Fertility

Long-term animal studies have not been performed to evaluate the carcinogenic potential of gadoterate meglumine.

Gadoterate meglumine did not demonstrate mutagenic potential in in vitro bacterial reverse mutation assays (Ames test) using Salmonella typhimurium, in an in vitro chromosome aberration assay in Chinese hamster ovary cells, in an in vitro gene mutation assay in Chinese hamster lung cells, nor in an in vivo mouse micronucleus assay.

No impairment of male or female fertility and reproductive performance was observed in rats after intravenous administration of gadoterate meglumine at the maximum tested dose of 10 mmol/kg/day (16 times the maximum human dose based on surface area), given during more than 9 weeks in males and more than 4 weeks in females. Sperm counts and sperm motility were not adversely affected by treatment with the drug.

Warning: Risk Associated With Intrathecal Use and Nephrogenic Systemic Fibrosis

WARNING: RISK ASSOCIATED WITH INTRATHECAL USE and NEPHROGENIC SYSTEMIC FIBROSIS

See full prescribing information for complete boxed warning

  • Intrathecal administration of gadolinium-based contrast agents (GBCAs) can cause serious adverse reactions including death, coma, encephalopathy, and seizures. Clariscan is not approved for intrathecal use. (5.1)
  • GBCAs increase the risk for nephrogenic systemic fibrosis (NSF) among patients with impaired elimination of the drugs. Avoid use of Clariscan in these patients unless the diagnostic information is essential and not available with non-contrasted MRI or other modalities.

    The risk for NSF appears highest among patients with:
    • Chronic, severe kidney disease (GFR < 30 mL/min/1.73 m2), or
    • Acute kidney injury.
    Screen patients for acute kidney injury and other conditions that may reduce renal function. For patients at risk for chronically reduced renal function (for example, age > 60 years, hypertension or diabetes), estimate the glomerular filtration rate (GFR) through laboratory testing (5.2).

Structured Label Content

Section 42229-5 (42229-5)

Risk Associated with Intrathecal Use

Intrathecal administration of gadolinium-based contrast agents (GBCAs) can cause serious adverse reactions including death, coma, encephalopathy, and seizures. Clariscan is not approved for intrathecal use [see Warnings and Precautions (5.1)].

Section 42231-1 (42231-1)
This Medication Guide has been approved by the U.S. Food and Drug Administration. Rev. 3/2025
MEDICATION GUIDE

CLARISCAN™ (kla-ri'-skan)

(gadoterate meglumine)

Injection, for intravenous use
What is the most important information I should know about Clariscan?
  • GBCAs like Clariscan may cause serious side effects including death, coma, encephalopathy, and seizures when it is given intrathecally (injection given into the spinal canal). It is not known if Clariscan is safe and effective with intrathecal use. Clariscan is not approved for this use.
  • Clariscan contains a metal called gadolinium. Small amounts of gadolinium can stay in your body including the brain, bones, skin and other parts of your body for a long time (several months to years).
  • It is not known how gadolinium may affect you, but so far, studies have not found harmful effects in patients with normal kidneys.
  • Rarely patients have reported pains, tiredness, and skin, muscle or bone ailments for a long time, but these symptoms have not been directly linked to gadolinium.
  • There are different GBCAs that can be used for your MRI exam. The amount of gadolinium that stays in the body is different for different gadolinium medicines. Gadolinium stays in the body more after Omniscan or Optimark than after Eovist, Magnevist or MultiHance. Gadolinium stays in the body the least after Clariscan, Dotarem, Gadavist or ProHance.
  • People who get many doses of gadolinium medicines, women who are pregnant and young children may be at increased risk from gadolinium staying in the body.
  • Some people with kidney problems who get gadolinium medicines can develop a condition with severe thickening of the skin, muscles and other organs in the body (nephrogenic systemic fibrosis). Your healthcare provider should screen you to see how well your kidneys are working before you receive Clariscan.
What is Clariscan?
  • Clariscan is a prescription medicine called a gadolinium-based contrast agent (GBCA). Clariscan, like other GBCAs, is injected into your vein and used with a magnetic resonance imaging (MRI) scanner.
  • An MRI exam with a GBCA, including Clariscan, helps your doctor to see problems better than an MRI exam without a GBCA.
  • Your doctor has reviewed your medical records and has determined that you would benefit from using a GBCA with your MRI exam.
Do not receive Clariscan if you have had a severe allergic reaction to Clariscan.
Before receiving Clariscan, tell your healthcare provider about all your medical conditions, including if you:
  • have had any MRI procedures in the past where you received a GBCA. Your healthcare provider may ask you for more information including the dates of these MRI procedures.
  • are pregnant or plan to become pregnant. It is not known if Clariscan can harm your unborn baby. Talk to your healthcare provider about the possible risks to an unborn baby if a GBCA such as Clariscan is received during pregnancy.
  • have kidney problems, diabetes, or high blood pressure.
  • have had an allergic reaction to dyes (contrast agents) including GBCAs.
What are possible side effects of Clariscan? The most common side effects of Clariscan include: nausea, headache, pain, or cold feeling at the injection site, and rash.

These are not all the possible side effects of Clariscan.

Call your doctor for medical advice about side effects. You may report side effects to FDA at 1-800-FDA-1088.
General information about the safe and effective uses of Clariscan.

Medicines are sometimes prescribed for purposes other than those listed in a Medication Guide. You can ask your healthcare provider for information about Clariscan that is written for health professionals.
What are the ingredients in Clariscan?

Active ingredient: gadoterate meglumine

Inactive ingredients: DOTA, water for injection


© 2025 GE HealthCare

Distributed by GE Healthcare Inc., Arlington Heights, IL 60004 U.S.A.

GE is a trademark of General Electric Company used under trademark license.

For more information, go to www.GEHealthCare.com or call 1-800-654-0118.
Section 44425-7 (44425-7)

Storage

Store at 25°C (77°F); excursions permitted to 15°C to 30°C (59°F to 86°F) [see USP, Controlled Room Temperature].

Should solidification occur in the bottle because of exposure to the cold, bring Clariscan to room temperature before use. If allowed to stand at room temperature for a minimum of 90 minutes, Clariscan should return to a clear, colorless to yellow solution. Before use, examine the product to assure that all solids are dissolved and that the container and closure have not been damaged. Discard the bottle if solids persist.

10 Overdosage (10 OVERDOSAGE)

Clariscan administered to healthy volunteers and to adult patients at cumulative doses up to 0.3 mmol/kg was tolerated in a manner similar to lower doses. Adverse reactions to overdosage with gadoterate meglumine have not been reported. Gadoterate can be removed from the body by hemodialysis [see Clinical Pharmacology (12.3)].

11 Description (11 DESCRIPTION)

Clariscan (gadoterate meglumine) is a paramagnetic macrocyclic ionic contrast agent administered for magnetic resonance imaging. The chemical name for gadoterate meglumine is D-glucitol, 1-deoxy-1-(methylamino)-, [1,4,7,10-tetraazacyclododecane-1,4,7,10-tetraaceto(4-)-.kappa.N1, .kappa.N4, .kappa.N7, .kappa.N10, .kappa.O1, .kappa.O4, .kappa.O7, .kappa.O10]gadolinate(1-)(1:1); it has a formula weight of 753.9 g/mol and empirical formula of C23H42O13N5Gd (anhydrous basis).

The structural formula of gadoterate meglumine in solution is as follows:

CAS Registry No. 92943-93-6

Clariscan Injection is a sterile, nonpyrogenic, clear, colorless to yellow, aqueous solution of 0.5 mmol/mL of gadoterate meglumine. Each +PlusPak™ polymer bottle contains 50 mmol per 100 mL. No preservative is added. Each mL of Clariscan contains 376.9 mg of gadoterate meglumine, 0.25 mg of DOTA and water for injection. Clariscan has a pH of 6.5 to 8.0.

The main physiochemical properties of Clariscan are provided below:

Table 4: Physicochemical Properties
Parameter Value
Density @ 20°C 1.1753 g/cm3
Viscosity @ 20°C 3.4 mPa∙s
Viscosity @ 37°C 2.4 mPa∙s
Osmolality 1350∙mOsm/kg water

The thermodynamic stability constants for gadoterate (log Ktherm and log Kcond at pH 7.4) are 25.6 and 19.3, respectively.

2.2 Drug Handling
  • Visually inspect Clariscan for particulate matter prior to administration. Do not use the solution if particulate matter is present or if the container appears damaged. Clariscan should be a clear, colorless to yellow solution.
  • Do not mix with other drugs or parenteral nutrition.
  • Discard any unused portions of the drug.
  • When Clariscan is to be injected using plastic disposable syringes, the contrast medium should be drawn into the syringe and used immediately.
8.4 Pediatric Use

The safety and efficacy of gadoterate meglumine at a single dose of 0.1 mmol/kg have been established in pediatric patients from birth (term neonates ≥ 37 weeks gestational age) to 17 years of age based on clinical data in 133 pediatric patients 2 years of age and older, and clinical data in 52 pediatric patients birth to less than 2 years of age that supported extrapolation from adult data [see Clinical Studies (14)]. Adverse reactions in pediatric patients were similar to those reported in adults [see Adverse Reactions (6.1)]. No dose adjustment according to age is necessary in pediatric patients [see Dosage and Administration (2.1), Pharmacokinetics (12.3)]. The safety of gadoterate meglumine has not been established in preterm neonates.

No cases of NSF associated with gadoterate meglumine or any other GBCA have been identified in pediatric patients age 6 years and younger [see Warnings and Precautions (5.2)]. Normal estimated GFR (eGFR) is approximately 30 mL/minute/1.73 m2 at birth and increases to adult values by 2 years of age.

8.5 Geriatric Use

In clinical studies of gadoterate meglumine, 900 patients were 65 years of age and over, and 304 patients were 75 years of age and over. No overall differences in safety or efficacy were observed between these subjects and younger subjects. In general, use of Clariscan in elderly patients should be cautious, reflecting the greater frequency of impaired renal function and concomitant disease or other drug therapy. No age-related dosage adjustment is necessary.

4 Contraindications (4 CONTRAINDICATIONS)

History of clinically important hypersensitivity reactions to Clariscan [see Warnings and Precautions (5.3)].

6 Adverse Reactions (6 ADVERSE REACTIONS)

The following clinically significant adverse reactions are described elsewhere in the labeling:

7 Drug Interactions (7 DRUG INTERACTIONS)

Gadoterate does not interfere with serum and plasma calcium measurements determined by colorimetric assays. Specific drug interaction studies with gadoterate meglumine have not been conducted.

8.6 Renal Impairment

No Clariscan dosage adjustment is recommended for patients with renal impairment. Gadoterate can be removed from the body by hemodialysis [see Warnings and Precautions (5.2) and Clinical Pharmacology (12.3)].

12.2 Pharmacodynamics

Gadoterate affects proton relaxation times and consequently the MR signal, and the contrast obtained is characterized by the relaxivity of the gadoterate molecule. The relaxivity values for gadoterate are similar across the spectrum of magnetic field strengths used in clinical MRI (0.2 to 1.5 T).

Disruption of the blood-brain barrier or abnormal vascularity allows distribution of gadoterate in lesions such as neoplasms, abscesses, and infarcts.

12.3 Pharmacokinetics

The pharmacokinetics of total gadolinium assessed up to 48 hours following an intravenously administered 0.1 mmol/kg dose of gadoterate meglumine in healthy adult subjects demonstrated a mean elimination half-life (reported as mean ± SD) of about 1.4 ± 0.2 hours and 2.0 ± 0.7 hours in female and male subjects, respectively. Similar pharmacokinetic profile and elimination half-life values were observed after intravenous injection of 0.1 mmol/kg of gadoterate meglumine followed 20 minutes later by a second injection of 0.2 mmol/kg (1.7 ± 0.3 hours and 1.9 ± 0.2 hours in female and male subjects, respectively).

2.1 Dosing Guidelines

For adult and pediatric patients (including term neonates), the recommended dose of Clariscan is 0.2 mL/kg (0.1 mmol/kg) body weight administered as an intravenous bolus injection, manually or by power injector, at a flow rate of approximately 2 mL/second for adults and 1 to 2 mL/second for pediatric patients. Table 1 provides weight-adjusted dose volumes.

Table 1: Volumes of Clariscan Injection by Body Weight
Body Weight Volume
Pounds (lb) Kilograms (kg) Milliliters (mL)
5.5 2.5 0.5
11 5 1
22 10 2
44 20 4
66 30 6
88 40 8
110 50 10
132 60 12
154 70 14
176 80 16
198 90 18
220 100 20
242 110 22
264 120 24
286 130 26
308 140 28
330 150 30

To ensure complete injection of Clariscan, the injection may be followed by normal saline flush. Contrast MRI can begin immediately following Clariscan injection.

1 Indications and Usage (1 INDICATIONS AND USAGE)

Clariscan is a gadolinium-based contrast agent indicated for intravenous use with magnetic resonance imaging (MRI) in brain (intracranial), spine and associated tissues in adult and pediatric patients (including term neonates) to detect and visualize areas with disruption of the blood brain barrier (BBB) and/or abnormal vascularity.

5.5 Acute Kidney Injury

In patients with chronically reduced renal function, acute kidney injury requiring dialysis has occurred with the use of GBCAs. The risk of acute kidney injury may increase with increasing dose of the contrast agent; administer the lowest dose necessary for adequate imaging. Screen all patients for renal impairment by obtaining a history and/or laboratory tests. Consider follow-up renal function assessments for patients with a history of renal dysfunction.

12.1 Mechanism of Action

Gadoterate is a paramagnetic molecule that develops a magnetic moment when placed in a magnetic field. The magnetic moment enhances the relaxation rates of water protons in its vicinity, leading to an increase in signal intensity (brightness) of tissues.

In magnetic resonance imaging (MRI), visualization of normal and pathological tissue depends in part on variations in the radiofrequency signal intensity that occurs with:

  • 1)
    differences in proton density
  • 2)
    differences of the spin-lattice or longitudinal relaxation times (T1)
  • 3)
    differences in the spin-spin or transverse relaxation time (T2)

When placed in a magnetic field, gadoterate shortens the T1 and T2 relaxation times in target tissues. At recommended doses, the effect is observed with greatest sensitivity in the T1-weighted sequences.

17.3 General Precautions
  • Pregnancy: Advise pregnant women of the potential risk of fetal exposure to gadoterate [see Use in Specific Populations (8.1)].
  • Gadolinium Retention: Advise patients that gadolinium is retained for months or years in brain, bone, skin, and other organs in patients with normal renal function. The clinical consequences of retention are unknown. Retention depends on multiple factors and is greater following administration of linear GBCAs than following administration of macrocyclic GBCAs [see Warnings and Precautions (5.4)].
5.4 Gadolinium Retention

Gadolinium is retained for months or years in several organs. The highest concentrations (nanomoles per gram of tissue) have been identified in the bone, followed by other organs (e.g., brain, skin, kidney, liver and spleen). The duration of retention also varies by tissue and is longest in bone. Linear GBCAs cause more retention than macrocyclic GBCAs. At equivalent doses, gadolinium retention varies among the linear agents with Omniscan (gadodiamide) and Optimark (gadoversetamide) causing greater retention than other linear agents [Eovist (gadoxetate disodium), Magnevist (gadopentetate dimeglumine), MultiHance (gadobenate dimeglumine)]. Retention is lowest and similar among the macrocyclic GBCAs [Clariscan (gadoterate meglumine), Dotarem (gadoterate meglumine), Gadavist (gadobutrol), ProHance (gadoteridol)].

Consequences of gadolinium retention in the brain have not been established. Pathologic and clinical consequences of GBCA administration and retention in skin and other organs have been established in patients with impaired renal function [see Warnings and Precautions (5.2)]. There are rare reports of pathologic skin changes in patients with normal renal function. Adverse events involving multiple organ systems have been reported in patients with normal renal function without an established causal link to gadolinium retention [see Adverse Reactions (6.2)].

While clinical consequences of gadolinium retention have not been established in patients with normal renal function, certain patients might be at higher risk. These include patients requiring multiple lifetime doses, pregnant and pediatric patients, and patients with inflammatory conditions. Consider the retention characteristics of the agent when choosing a GBCA for these patients. Minimize repetitive GBCA imaging studies, particularly closely spaced studies when possible.

5 Warnings and Precautions (5 WARNINGS AND PRECAUTIONS)
  • Hypersensitivity Reactions: Anaphylactoid/anaphylactic reactions with cardiovascular, respiratory or cutaneous manifestations, ranging from mild to severe, including death, have uncommonly occurred. Monitor patients closely for need of emergency cardiorespiratory support. (5.3)
  • Gadolinium Retention: Gadolinium is retained for months or years in brain, bone, and other organs. (5.4)
2 Dosage and Administration (2 DOSAGE AND ADMINISTRATION)

Adult and pediatric patients: The recommended dose of Clariscan is 0.2 mL/kg (0.1 mmol/kg) body weight administered as an intravenous bolus injection at a flow rate of approximately 2 mL/second for adults and 1 to 2 mL/second for pediatric patients (including term neonates). The dose is delivered by manual or power injection. (2)

3 Dosage Forms and Strengths (3 DOSAGE FORMS AND STRENGTHS)

Clariscan 0.5 mmol/mL is a sterile, clear, colorless to yellow, aqueous solution for intravenous injection containing 376.9 mg/mL gadoterate meglumine.

Clariscan Pharmacy Bulk Package is available in +PlusPak™ polymer bottles.

6.2 Postmarketing Experience

The following additional adverse reactions have been identified during postmarketing use of gadoterate meglumine or other GBCAs. Because these reactions are reported voluntarily from a population of uncertain size, it is not always possible to reliably estimate their frequency or establish a causal relationship to drug exposure.

Table 3: Adverse Reactions in the Postmarketing Experience
System Organ Class Adverse Reaction
Cardiac Disorders bradycardia, tachycardia, arrhythmia
Immune System Disorders hypersensitivity / anaphylactoid reactions including cardiac arrest, respiratory arrest, cyanosis, pharyngeal edema, laryngospasm, bronchospasm, angioedema, conjunctivitis, ocular hyperemia, eyelid edema, lacrimation increased, hyperhidrosis, urticaria
Nervous System Disorders coma, convulsion, syncope, presyncope, parosmia, tremor
Musculoskeletal and Connective Tissue Disorders muscle contracture, muscle weakness
Gastrointestinal Disorders diarrhea, salivary hypersecretion, acute pancreatitis with onset within 48 hours after GBCA administration
General Disorders and Administration Site Conditions malaise, fever

Adverse reactions with variable onset and duration have been reported after GBCA administration. These include fatigue, asthenia, pain syndromes, and heterogeneous clusters of symptoms in the neurological, cutaneous, and musculoskeletal systems.
Respiratory, Thoracic and Mediastinal Disorders Acute respiratory distress syndrome, pulmonary edema
Skin and Subcutaneous Tissue Disorders NSF, in patients whose reports were confounded by the receipt of other GBCAs or in situations where receipt of other GBCAs could not be ruled out.

No unconfounded cases of NSF have been reported with gadoterate meglumine.

Gadolinium-associated plaques.
Vascular Disorders superficial phlebitis
17.2 Common Adverse Reactions

Inform patients that they may experience:

  • Reactions along the venous injection site, such as mild and transient burning or pain or feeling of warmth or coldness at the injection site.
  • Side effects of headache, nausea, abnormal taste and feeling hot.
8 Use in Specific Populations (8 USE IN SPECIFIC POPULATIONS)

Pregnancy: Use only if imaging is essential during pregnancy and cannot be delayed. (8.1)

5.3 Hypersensitivity Reactions

Anaphylactic and anaphylactoid reactions have been reported with gadoterate meglumine, involving cardiovascular, respiratory, and/or cutaneous manifestations. Some patients experienced circulatory collapse and died. In most cases, initial symptoms occurred within minutes of gadoterate meglumine administration and resolved with prompt emergency treatment [see Adverse Reactions (6)].

  • Before Clariscan administration, assess all patients for any history of a reaction to contrast media, bronchial asthma and/or allergic disorders. These patients may have an increased risk for a hypersensitivity reaction to Clariscan.
  • Administer Clariscan only in situations where trained personnel and therapies are promptly available for the treatment of hypersensitivity reactions, including personnel trained in resuscitation.
  • During and following Clariscan administration, observe patients for signs and symptoms of hypersensitivity reactions.
6.1 Clinical Trials Experience

Because clinical trials are conducted under widely varying conditions, adverse reaction rates observed in the clinical trials of a drug cannot be directly compared to rates in the clinical trials of another drug and may not reflect the rates observed in clinical practice.

The data described below reflect gadoterate meglumine exposure in 2867 patients, representing 2682 adults and 185 pediatric patients. Overall, 55% of the patients were men. In clinical trials where ethnicity was recorded, the ethnic distribution was 81% Caucasian, 11% Asian, 4% Black, and 4% others. The average age was 53 years (range from < 1 week to 97 years).

Overall, 4% of patients reported at least one adverse reaction, primarily occurring immediately or within 24 hours following gadoterate meglumine administration. Most adverse reactions were mild or moderate in intensity and transient in nature.

Table 2 lists adverse reactions that occurred in ≥ 0.2% patients who received gadoterate meglumine.

Table 2: Adverse Reactions in Clinical Trials
Reaction Rate (%)

n= 2867
Nausea 0.6%
Headache 0.4%
Injection Site Pain 0.4%
Injection Site Coldness 0.2%
Rash 0.2%

Adverse reactions that occurred with a frequency < 0.2% in patients who received gadoterate meglumine include: feeling cold, feeling hot, burning sensation, somnolence, pain, dizziness, dysgeusia, blood creatinine increased, hypotension, hypertension, asthenia, fatigue, injection site reactions (inflammation, extravasation, pruritus, swelling, warmth), paresthesia, pruritus, laryngeal discomfort, pain in extremity, vomiting, anxiety and palpitations.

17 Patient Counseling Information (17 PATIENT COUNSELING INFORMATION)
  • Advise the patient to read the FDA-approved patient labeling (Medication Guide)
5.2 Nephrogenic Systemic Fibrosis

GBCAs increase the risk for nephrogenic systemic fibrosis (NSF) among patients with impaired elimination of the drugs. Avoid use of Clariscan among these patients unless the diagnostic information is essential and not available with non-contrast MRI or other modalities. The GBCA-associated NSF risk appears highest for patients with chronic, severe kidney disease (GFR < 30 mL/min/1.73 m2) as well as patients with acute kidney injury. The risk appears lower for patients with chronic, moderate kidney disease (GFR 30 to 59 mL/min/1.73 m2) and little, if any, for patients with chronic, mild kidney disease (GFR 60 to 89 mL/min/1.73 m2). NSF may result in fatal or debilitating fibrosis affecting the skin, muscle, and internal organs. Report any diagnosis of NSF following Clariscan administration to GE HealthCare at (1-800-654-0118) or FDA at (1-800-FDA-1088 or www.fda.gov/medwatch).

Screen patients for acute kidney injury and other conditions that may reduce renal function. Features of acute kidney injury consist of rapid (over hours to days), and usually reversible, decrease in kidney function, commonly in the setting of surgery, severe infection, injury or drug-induced kidney toxicity. Serum creatinine levels and estimated GFR may not reliably assess renal function in the setting of acute kidney injury. For patients at risk for chronically reduced renal function (e.g., age > 60 years, diabetes mellitus or chronic hypertension), estimate the GFR through laboratory testing.

The factors that may increase the risk for NSF are repeated or higher than recommended doses of a GBCA, and the degree of renal impairment at the time of exposure. Record the specific GBCA and the dose administered to a patient. For patients at highest risk for NSF, do not exceed the recommended Clariscan dose and allow a sufficient period of time for elimination of the drug prior to re-administration. For patients receiving hemodialysis, physicians may consider the prompt initiation of hemodialysis following the administration of a GBCA in order to enhance the contrast agent's elimination. The usefulness of hemodialysis in the prevention of NSF is unknown [see Dosage and Administration (2) and Clinical Pharmacology (12)].

17.1 Nephrogenic Systemic Fibrosis

Instruct patients to inform their healthcare provider if they:

  • have a history of kidney disease, or
  • have recently received a GBCA.

GBCAs increase the risk for NSF among patients with impaired elimination of the drugs. To counsel patients at risk for NSF:

  • Describe the clinical manifestations of NSF.
  • Describe procedures to screen for the detection of renal impairment.

Instruct the patients to contact their physician if they develop signs or symptoms of NSF following Clariscan administration, such as burning, itching, swelling, scaling, hardening and tightening of the skin; red or dark patches on the skin; stiffness in joints with trouble moving, bending or straightening the arms, hands, legs or feet; pain in the hip bones or ribs; or muscle weakness.

16 How Supplied/storage and Handling (16 HOW SUPPLIED/STORAGE AND HANDLING)

Clariscan Injection is a clear, colorless to yellow solution containing 0.5 mmol/mL of gadoterate meglumine.

  • Clariscan Injection Pharmacy Bulk Package is supplied in 100 mL +PlusPak™ (polymer bottle) containing 100 mL of solution.

Each Pharmacy Bulk Package bottle is closed with a rubber stopper and a screw cap and the contents are sterile. Clariscan Pharmacy Bulk Package is packaged in a box of 10, in the following configuration:

50 mmol per 100 mL (0.5 mmol per mL) in +PlusPak™ (polymer bottle)         (NDC 0407-2943-70)

5.1 Risk Associated With Intrathecal Use (5.1 Risk Associated with Intrathecal Use)

Intrathecal administration of GBCAs can cause serious adverse reactions including death, coma, encephalopathy, and seizures. The safety and effectiveness of Clariscan have not been established with intrathecal use. Clariscan is not approved for intrathecal use [see Dosage and Administration (2.1)].

13.2 Animal Toxicology And/or Pharmacology (13.2 Animal Toxicology and/or Pharmacology)

Local intolerance reactions, including moderate irritation associated with infiltration of inflammatory cells were observed after perivenous injection in rabbits suggesting the possibility of local irritation if the contrast medium leaks around the veins in a clinical setting [see Warnings and Precautions (5.5)].

Toxicity of gadoterate meglumine was evaluated in neonatal and juvenile (pre- and post-weaning) rats following a single or repeated intravenous administration at doses 1, 2, and 4 times the MHD based on BSA. Gadoterate meglumine was well tolerated at all dose levels tested and had no effect on growth, pre-weaning development, behavior and sexual maturation.

Principal Display Panel 100 Ml Box Label (PRINCIPAL DISPLAY PANEL - 100 mL Box Label)

NDC 0407-2943-70

Rx Only

Clariscan™

(gadoterate meglumine) Injection

50 mmol per 100 mL

(0.5 mmol per mL)

Sterile Solution

For Intravenous Administration

Withdraw Contents Within 24 Hours

10 x 100 mL Bottles

PHARMACY BULK PACKAGE

Not for Direct Infusion

Dispense the accompanying

Medication Guide to each patient

5.6 Extravasation and Injection Site Reactions

Ensure catheter and venous patency before the injection of Clariscan. Extravasation into tissues during Clariscan administration may result in tissue irritation [see Nonclinical Toxicology (13.2)].

13.1 Carcinogenesis, Mutagenesis, Impairment of Fertility

Long-term animal studies have not been performed to evaluate the carcinogenic potential of gadoterate meglumine.

Gadoterate meglumine did not demonstrate mutagenic potential in in vitro bacterial reverse mutation assays (Ames test) using Salmonella typhimurium, in an in vitro chromosome aberration assay in Chinese hamster ovary cells, in an in vitro gene mutation assay in Chinese hamster lung cells, nor in an in vivo mouse micronucleus assay.

No impairment of male or female fertility and reproductive performance was observed in rats after intravenous administration of gadoterate meglumine at the maximum tested dose of 10 mmol/kg/day (16 times the maximum human dose based on surface area), given during more than 9 weeks in males and more than 4 weeks in females. Sperm counts and sperm motility were not adversely affected by treatment with the drug.

Warning: Risk Associated With Intrathecal Use and Nephrogenic Systemic Fibrosis (WARNING: RISK ASSOCIATED WITH INTRATHECAL USE and NEPHROGENIC SYSTEMIC FIBROSIS)

WARNING: RISK ASSOCIATED WITH INTRATHECAL USE and NEPHROGENIC SYSTEMIC FIBROSIS

See full prescribing information for complete boxed warning

  • Intrathecal administration of gadolinium-based contrast agents (GBCAs) can cause serious adverse reactions including death, coma, encephalopathy, and seizures. Clariscan is not approved for intrathecal use. (5.1)
  • GBCAs increase the risk for nephrogenic systemic fibrosis (NSF) among patients with impaired elimination of the drugs. Avoid use of Clariscan in these patients unless the diagnostic information is essential and not available with non-contrasted MRI or other modalities.

    The risk for NSF appears highest among patients with:
    • Chronic, severe kidney disease (GFR < 30 mL/min/1.73 m2), or
    • Acute kidney injury.
    Screen patients for acute kidney injury and other conditions that may reduce renal function. For patients at risk for chronically reduced renal function (for example, age > 60 years, hypertension or diabetes), estimate the glomerular filtration rate (GFR) through laboratory testing (5.2).

Advanced Ingredient Data


Raw Label Data

All Sections (JSON)