These Highlights Do Not Include All The Information Needed To Use Celecoxib Capsules Safely And Effectively. See Full Prescribing Information For Celecoxib Capsules.

These Highlights Do Not Include All The Information Needed To Use Celecoxib Capsules Safely And Effectively. See Full Prescribing Information For Celecoxib Capsules.
SPL v3
SPL
SPL Set ID c91e5933-1798-4096-9f08-fb1200e154e1
Route
ORAL
Published
Effective Date 2021-01-01
Document Type 34391-3 HUMAN PRESCRIPTION DRUG LABEL

Drug Facts

Composition & Product

Active Ingredients
Celecoxib (100 mg)
Inactive Ingredients
Croscarmellose Sodium Lactose Monohydrate Magnesium Stearate Povidone, Unspecified Sodium Lauryl Sulfate Gelatin, Unspecified

Identifiers & Packaging

Pill Appearance
Imprint: Cipla;422;100 Shape: capsule Color: white Size: 18 mm Score: 1
Marketing Status
ANDA Active Since 2015-09-23

Description

WARNING: CARDIOVASCULAR AND GASTROINTESTINAL RISKS See full prescribing information for complete boxed warning Cardiovascular Risk • Celecoxib may cause an increased risk of serious cardiovascular thrombotic events, myocardial infarction, and stroke, which can be fatal. All NSAIDs may have a similar risk. This risk may increase with duration of use. Patients with cardiovascular disease or risk factors for cardiovascular disease may be at greater risk. ( 5.1 , 14.6 ) • Celecoxib is contraindicated for the treatment of peri-operative pain in the setting of coronary artery bypass graft (CABG) surgery. ( 4 , 5.1 ) Gastrointestinal Risk • NSAIDs, including Celecoxib, cause an increased risk of serious gastrointestinal adverse events including bleeding, ulceration, and perforation of the stomach or intestines, which can be fatal. These events can occur at any time during use and without warning symptoms. Elderly patients are at greater risk for serious gastrointestinal (GI) events. ( 5.4 )

Indications and Usage

Celecoxib Capsule is a non-steroidal anti-inflammatory drug indicated for: • Osteoarthritis (OA) ( 1.1 ) • Rheumatoid Arthritis (RA) ( 1.2 ) • Juvenile Rheumatoid Arthritis (JRA) in patients 2 years and older ( 1.3 ) • Ankylosing Spondylitis (AS) ( 1.4 ) • Acute Pain (AP) ( 1.5 ) • Primary Dysmenorrhea (PD) ( 1.6 )

Dosage and Administration

Use lowest effective dose for the shortest duration consistent with treatment goals for the individual patient. ( 1 , 5.1 , 5.4 ) • OA: 200 mg once daily or 100 mg twice daily ( 2.1 , 14.1 ) • RA: 100 to 200 mg twice daily ( 2.2 , 14.2 ) • JRA: 50 mg twice daily in patients 10-25 kg. 100 mg twice daily in patients more than 25 kg ( 2.3 , 14.3 ) • AS: 200 mg once daily single dose or 100 mg twice daily. If no effect is observed after 6 weeks, a trial of 400 mg (single or divided doses) may be of benefit ( 2.4 , 14.4 ) • AP and PD: 400 mg initially, followed by 200 mg dose if needed on first day. On subsequent days, 200 mg twice daily as needed ( 2.5 , 14.5 ) Reduce daily dose by 50% in patients with moderate hepatic impairment (Child-Pugh Class B). Consider a dose reduction by 50% (or alternative management for JRA) in patients who are known or suspected to be CYP2C9 poor metabolizers, ( 2.6 , 8.4 , 8.8 , 12.3 ).

Warnings and Precautions

• Serious and potentially fatal cardiovascular (CV) thrombotic events, myocardial infarction, and stroke. Patients with known CV disease/risk factors may be at greater risk ( 5.1 , 14.6 , 17.2 ). • Serious gastrointestinal (GI) adverse events, which can be fatal. The risk is greater in patients with a prior history of ulcer disease or GI bleeding, and in patients at high risk for GI events, especially the elderly. Celecoxib Capsules should be used with caution in these patients ( 5.4 , 8.5 , 14.6 , 17.3 ). • Elevated liver enzymes and, rarely, severe hepatic reactions. Discontinue use of Celecoxib Capsules immediately if abnormal liver enzymes persist or worsen ( 5.5 , 17.4 ). • New onset or worsening of hypertension. Blood pressure should be monitored closely during treatment with Celecoxib Capsules ( 5.2 , 7.4 , 17.2 ). • Fluid retention and edema. Celecoxib Capsules should be used with caution in patients with fluid retention or heart failure ( 5.3 , 17.6 ). • Renal papillary necrosis and other renal injury with long term use. Use Celecoxib Capsules with caution in the elderly, those with impaired renal function, heart failure, liver dysfunction, and those taking diuretics, ACE-inhibitors, or angiotensin II antagonists ( 5.6 , 7.4 , 8.7 , 17.6 ). • Anaphylactoid reactions. Do not use Celecoxib Capsules in patients with the aspirin triad ( 5.7 , 10 , 17.7 ). • Serious skin adverse events such as exfoliative dermatitis, Stevens-Johnson syndrome (SJS), and toxic epidermal necrolysis (TEN), which can be fatal and can occur without warning even without known prior sulfa allergy. Discontinue Celecoxib Capsules at first appearance of rash or skin reactions ( 5.8 , 17.5 ).

Contraindications

• Known hypersensitivity to celecoxib or sulfonamides ( 4 ) • History of asthma, urticaria, or other allergic-type reactions after taking aspirin or other NSAIDs ( 4 , 5.7 , 5.8 , 5.13 ) • Use during the perioperative period in the setting of coronary artery bypass graft (CABG) surgery ( 4 , 5.1 )

Adverse Reactions

Most common adverse reactions in arthritis trials (>2% and >placebo): abdominal pain, diarrhea, dyspepsia, flatulence, peripheral edema, accidental injury, dizziness, pharyngitis, rhinitis, sinusitis, upper respiratory tract infection, rash ( 6.1 ). To report SUSPECTED ADVERSE REACTIONS, contact Cipla Ltd, at 1-866-604-3268 or FDA at 1-800-FDA-1088 or www.fda.gov/medwatch

Drug Interactions

• Concomitant use of Celecoxib and warfarin may result in increased risk of bleeding complications. ( 7.1 ) • Concomitant use of Celecoxib increases lithium plasma levels. ( 7.2 ) • Concomitant use of Celecoxib may reduce the antihypertensive effect of ACE Inhibitors and angiotensin II antagonists. ( 7.4 ) • Use caution with drugs known to inhibit P450 2C9 or metabolized by 2D6 due to the potential for increased plasma levels ( 2.6 , 8.4 , 8.8 , 12.3 )

Storage and Handling

Celecoxib Capsules are available in the following strengths and configurations: Celecoxib Capsules 100 mg: White to off white colored granules filled in size 2 hard gelatin white capsule, axially printed with ‘Cipla’ on cap & ‘422’ over ‘100 mg’ on body in blue ink.   Bottle of 30 NDC 63187-301-30   Bottle of 60 NDC 63187-301-60   Bottle of 90 NDC 63187-301-90 Storage: Store at 25°C (77°F) [see USP Controlled Room Temperature]

How Supplied

Celecoxib Capsules are available in the following strengths and configurations: Celecoxib Capsules 100 mg: White to off white colored granules filled in size 2 hard gelatin white capsule, axially printed with ‘Cipla’ on cap & ‘422’ over ‘100 mg’ on body in blue ink.   Bottle of 30 NDC 63187-301-30   Bottle of 60 NDC 63187-301-60   Bottle of 90 NDC 63187-301-90 Storage: Store at 25°C (77°F) [see USP Controlled Room Temperature]


Medication Information

Recent Major Changes

WARNING: CARDIOVASCULAR AND GASTROINTESTINAL RISKS

See full prescribing information for complete boxed warning

Cardiovascular Risk

  • Celecoxib may cause an increased risk of serious cardiovascular thrombotic events, myocardial infarction, and stroke, which can be fatal. All NSAIDs may have a similar risk. This risk may increase with duration of use. Patients with cardiovascular disease or risk factors for cardiovascular disease may be at greater risk. (5.1,14.6)
  • Celecoxib is contraindicated for the treatment of peri-operative pain in the setting of coronary artery bypass graft (CABG) surgery. (4, 5.1)

Gastrointestinal Risk

  • NSAIDs, including Celecoxib, cause an increased risk of serious gastrointestinal adverse events including bleeding, ulceration, and perforation of the stomach or intestines, which can be fatal. These events can occur at any time during use and without warning symptoms. Elderly patients are at greater risk for serious gastrointestinal (GI) events. (5.4)
Warnings and Precautions

• Serious and potentially fatal cardiovascular (CV) thrombotic events, myocardial infarction, and stroke. Patients with known CV disease/risk factors may be at greater risk ( 5.1 , 14.6 , 17.2 ). • Serious gastrointestinal (GI) adverse events, which can be fatal. The risk is greater in patients with a prior history of ulcer disease or GI bleeding, and in patients at high risk for GI events, especially the elderly. Celecoxib Capsules should be used with caution in these patients ( 5.4 , 8.5 , 14.6 , 17.3 ). • Elevated liver enzymes and, rarely, severe hepatic reactions. Discontinue use of Celecoxib Capsules immediately if abnormal liver enzymes persist or worsen ( 5.5 , 17.4 ). • New onset or worsening of hypertension. Blood pressure should be monitored closely during treatment with Celecoxib Capsules ( 5.2 , 7.4 , 17.2 ). • Fluid retention and edema. Celecoxib Capsules should be used with caution in patients with fluid retention or heart failure ( 5.3 , 17.6 ). • Renal papillary necrosis and other renal injury with long term use. Use Celecoxib Capsules with caution in the elderly, those with impaired renal function, heart failure, liver dysfunction, and those taking diuretics, ACE-inhibitors, or angiotensin II antagonists ( 5.6 , 7.4 , 8.7 , 17.6 ). • Anaphylactoid reactions. Do not use Celecoxib Capsules in patients with the aspirin triad ( 5.7 , 10 , 17.7 ). • Serious skin adverse events such as exfoliative dermatitis, Stevens-Johnson syndrome (SJS), and toxic epidermal necrolysis (TEN), which can be fatal and can occur without warning even without known prior sulfa allergy. Discontinue Celecoxib Capsules at first appearance of rash or skin reactions ( 5.8 , 17.5 ).

Indications and Usage

Celecoxib Capsule is a non-steroidal anti-inflammatory drug indicated for: • Osteoarthritis (OA) ( 1.1 ) • Rheumatoid Arthritis (RA) ( 1.2 ) • Juvenile Rheumatoid Arthritis (JRA) in patients 2 years and older ( 1.3 ) • Ankylosing Spondylitis (AS) ( 1.4 ) • Acute Pain (AP) ( 1.5 ) • Primary Dysmenorrhea (PD) ( 1.6 )

Dosage and Administration

Use lowest effective dose for the shortest duration consistent with treatment goals for the individual patient. ( 1 , 5.1 , 5.4 ) • OA: 200 mg once daily or 100 mg twice daily ( 2.1 , 14.1 ) • RA: 100 to 200 mg twice daily ( 2.2 , 14.2 ) • JRA: 50 mg twice daily in patients 10-25 kg. 100 mg twice daily in patients more than 25 kg ( 2.3 , 14.3 ) • AS: 200 mg once daily single dose or 100 mg twice daily. If no effect is observed after 6 weeks, a trial of 400 mg (single or divided doses) may be of benefit ( 2.4 , 14.4 ) • AP and PD: 400 mg initially, followed by 200 mg dose if needed on first day. On subsequent days, 200 mg twice daily as needed ( 2.5 , 14.5 ) Reduce daily dose by 50% in patients with moderate hepatic impairment (Child-Pugh Class B). Consider a dose reduction by 50% (or alternative management for JRA) in patients who are known or suspected to be CYP2C9 poor metabolizers, ( 2.6 , 8.4 , 8.8 , 12.3 ).

Contraindications

• Known hypersensitivity to celecoxib or sulfonamides ( 4 ) • History of asthma, urticaria, or other allergic-type reactions after taking aspirin or other NSAIDs ( 4 , 5.7 , 5.8 , 5.13 ) • Use during the perioperative period in the setting of coronary artery bypass graft (CABG) surgery ( 4 , 5.1 )

Adverse Reactions

Most common adverse reactions in arthritis trials (>2% and >placebo): abdominal pain, diarrhea, dyspepsia, flatulence, peripheral edema, accidental injury, dizziness, pharyngitis, rhinitis, sinusitis, upper respiratory tract infection, rash ( 6.1 ). To report SUSPECTED ADVERSE REACTIONS, contact Cipla Ltd, at 1-866-604-3268 or FDA at 1-800-FDA-1088 or www.fda.gov/medwatch

Drug Interactions

• Concomitant use of Celecoxib and warfarin may result in increased risk of bleeding complications. ( 7.1 ) • Concomitant use of Celecoxib increases lithium plasma levels. ( 7.2 ) • Concomitant use of Celecoxib may reduce the antihypertensive effect of ACE Inhibitors and angiotensin II antagonists. ( 7.4 ) • Use caution with drugs known to inhibit P450 2C9 or metabolized by 2D6 due to the potential for increased plasma levels ( 2.6 , 8.4 , 8.8 , 12.3 )

Storage and Handling

Celecoxib Capsules are available in the following strengths and configurations: Celecoxib Capsules 100 mg: White to off white colored granules filled in size 2 hard gelatin white capsule, axially printed with ‘Cipla’ on cap & ‘422’ over ‘100 mg’ on body in blue ink.   Bottle of 30 NDC 63187-301-30   Bottle of 60 NDC 63187-301-60   Bottle of 90 NDC 63187-301-90 Storage: Store at 25°C (77°F) [see USP Controlled Room Temperature]

How Supplied

Celecoxib Capsules are available in the following strengths and configurations: Celecoxib Capsules 100 mg: White to off white colored granules filled in size 2 hard gelatin white capsule, axially printed with ‘Cipla’ on cap & ‘422’ over ‘100 mg’ on body in blue ink.   Bottle of 30 NDC 63187-301-30   Bottle of 60 NDC 63187-301-60   Bottle of 90 NDC 63187-301-90 Storage: Store at 25°C (77°F) [see USP Controlled Room Temperature]

Description

WARNING: CARDIOVASCULAR AND GASTROINTESTINAL RISKS See full prescribing information for complete boxed warning Cardiovascular Risk • Celecoxib may cause an increased risk of serious cardiovascular thrombotic events, myocardial infarction, and stroke, which can be fatal. All NSAIDs may have a similar risk. This risk may increase with duration of use. Patients with cardiovascular disease or risk factors for cardiovascular disease may be at greater risk. ( 5.1 , 14.6 ) • Celecoxib is contraindicated for the treatment of peri-operative pain in the setting of coronary artery bypass graft (CABG) surgery. ( 4 , 5.1 ) Gastrointestinal Risk • NSAIDs, including Celecoxib, cause an increased risk of serious gastrointestinal adverse events including bleeding, ulceration, and perforation of the stomach or intestines, which can be fatal. These events can occur at any time during use and without warning symptoms. Elderly patients are at greater risk for serious gastrointestinal (GI) events. ( 5.4 )

Section 42229-5

WARNING: CARDIOVASCULAR AND GASTROINTESTINAL RISKS

Cardiovascular Risk

  • Celecoxib may cause an increased risk of serious cardiovascular thrombotic events, myocardial infarction, and stroke, which can be fatal. All non-steroidal anti-inflammatory drugs (NSAIDs) may have a similar risk. This risk may increase with duration of use. Patients with cardiovascular disease or risk factors for cardiovascular disease may be at greater risk. (5.1,14.6)
  • Celecoxib is contraindicated for the treatment of peri-operative pain in the setting of coronary artery bypass graft (CABG) surgery. (4, 5.1)

Gastrointestinal Risk 

  • NSAIDs, including Celecoxib, cause an increased risk of serious gastrointestinal adverse events including bleeding, ulceration, and perforation of the stomach or intestines, which can be fatal. These events can occur at any time during use and without warning symptoms. Elderly patients are at greater risk for serious gastrointestinal events. (5.4)
Section 42231-1

Medication Guide for Non-Steroidal Anti-Inflammatory Drugs (NSAIDs)

(See the end of this Medication Guide for a list of prescription NSAID medicines.)

What is the most important information I should know about medicines called Non-Steroidal Anti-Inflammatory Drugs (NSAIDs)?

NSAID medicines may increase the chance of a heart attack or stroke that can lead to death.

This chance increases:

  • with increasing doses of NSAID medicines
  • with longer use of NSAID medicines
  • in people who have heart disease

NSAID medicines should never be used right before or after a heart surgery called a "coronary artery bypass graft (CABG)."

NSAID medicines can cause ulcers and bleeding in the stomach and intestines at any time during treatment. Ulcers and bleeding:

  • can happen without warning symptoms
  • may cause death

The chance of a person getting an ulcer or bleeding increases with:

  • increasing doses of NSAID medicines
  • taking medicines called "corticosteroids" and "anticoagulants"
  • longer use
  • smoking
  • drinking alcohol
  • older age
  • having poor health

NSAID medicines should only be used:

  • exactly as prescribed
  • at the lowest dose possible for your treatment
  • for the shortest time needed

What are Non-Steroidal Anti-Inflammatory Drugs (NSAIDs)?

NSAID medicines are used to treat pain and redness, swelling, and heat (inflammation) from medical conditions such as:

  • different types of arthritis
  • menstrual cramps and other types of short-term pain

Who should not take a Non-Steroidal Anti-Inflammatory Drug (NSAID)?

Do not take an NSAID medicine:

  • if you had an asthma attack, hives, or other allergic reaction with aspirin or any other NSAID medicine
  • for pain right before or after heart bypass surgery

Tell your healthcare provider:

  • about all of your medical conditions.
  • about all of the medicines you take. NSAIDs and some other medicines can interact with each other and cause serious side effects. Keep a list of your medicines to show to your healthcare provider and pharmacist.
  • if you are pregnant, NSAID medicines should not be used past 30 weeks of pregnancy.
  • if you are breastfeeding, talk to your doctor.

What are the possible side effects of Non-Steroidal Anti-Inflammatory Drugs (NSAIDs)?

Serious side effects include:

Other side effects include:

●   heart attack

●   stomach pain

●   heart attack

●   constipation

●   stroke

●   diarrhea

●   high blood pressure

●   gas

●   heart failure from body swelling (fluid retention)

●   heartburn

●   kidney problems including kidney failure

●   nausea 

●   bleeding and ulcers in the stomach and intestine

●   vomiting

●   low red blood cells (anemia)

●   dizziness

●   life-threatening skin reactions

●   life-threatening allergic reactions 

●   liver problems including liver failure 

●   asthma attacks in people who have asthma

Get emergency help right away if you have any of the following symptoms:

●    shortness of breath or trouble breathing  

●    slurred speech

●    chest pain

●    swelling of the face or throat

●    weakness in one part or side of your body

Stop your NSAID medicine and call your healthcare provider right away if you have any of the following symptoms:

●    nausea 

●    more tired or weaker than usual

●    vomit blood 

●    itching  

●    there is blood in your bowel movement or it is black and sticky like tar 

●    your skin or eyes look yellow  

●    unusual weight gain 

●    stomach pain   

●    skin rash or blisters with fever

●    flu-like symptoms

●    swelling of the arms and legs, hands and feet

These are not all the side effects with NSAID medicines. Talk to your healthcare provider or pharmacist for more information about NSAID medicines.

Call your doctor for medical advice about side effects. You may report side effects to FDA at 1-800-FDA-1088.

Other information about Non-Steroidal Anti-Inflammatory Drugs (NSAIDs)

  • Aspirin is an NSAID medicine but it does not increase the chance of a heart attack. Aspirin can cause bleeding in the brain, stomach, and intestines. Aspirin can also cause ulcers in the stomach and intestines.
  • Some of these NSAID medicines are sold in lower doses without a prescription (over -the -counter). Talk to your healthcare provider before using over -the -counter NSAIDs for more than 10 days.
NSAID medicines requiring a prescription

Generic Name

Tradename

Celecoxib

Celebrex



Diclofenac

Zorvolex, Cataflam, Cambia, Voltaren, Voltaren gel, Arthrotec 

(combined with misoprostol), Flector, Zipsor, Pennsaid 

Diflunisal

Dolobid

Etodolac

Lodine, Lodine XL

Fenoprofen

Nalfon, Nalfon 200

Flurbiprofen

Ansaid

Ibuprofen

Motrin, Tab-Profen, 

Vicoprofen contains the same dose of ibuprofen as over-the-counter (OTC) NSAIDs, and is usually used for less than 10 days to treat pain. The OTC NSAID label warns that long term continuous use may increase the risk of heart attack or stroke.
Vicoprofen (combined with hydrocodone), 

Combunox (combined with oxycodone), Duexis (combined with famotidine) 

Indomethacin

Tivorbex, Indocin, Indocin SR, Indo-Lemmon, Indomethagan

Ketoprofen

Oruvail, Nexcede 

Ketorolac

Toradol, Sprix 

Mefenamic Acid

Ponstel

Meloxicam

Mobic

Nabumetone

Relafen

Naproxen

Naprosyn, Anaprox, Anaprox DS, EC-Naprosyn, Naprelan, 

Naprapac (copackaged with lansoprazole), Treximet (combined 

with sumatriptan succinate) and Vimovo (combined with 

esomeprazole magnesium) 

Oxaprozin

Daypro

Piroxicam

Feldene

Sulindac

Clinoril

Tolmetin

Tolectin, Tolectin DS, Tolectin 600

This Medication Guide has been approved by the U.S. Food and Drug Administration

Disclaimer: Other Brands listed are the registered trademarks of their respective owners and are not trademarks of Cipla Limited.

Manufactured by: Cipla Ltd,

Kurkumbh, India

Manufactured for: Cipla USA, Inc.

9100 S. Dadeland Blvd., Suite 1500 Miami, FL 33156

Revised: 7/2015

Repackaged by:

Proficient Rx LP

Thousand Oaks, CA 91320

7.2 Lithium

In a study conducted in healthy subjects, mean steady-state lithium plasma levels increased approximately 17% in subjects receiving lithium 450 mg twice daily with Celecoxib Capsules 200 mg twice daily as compared to subjects receiving lithium alone. Patients on lithium treatment should be closely monitored when Celecoxib Capsules is introduced or withdrawn. 

7.3 Aspirin

Celecoxib can be used with low-dose aspirin. However, concomitant administration of aspirin with celecoxib increases the rate of GI ulceration or other complications, compared to use of celecoxib alone [see Warnings and Precautions (5.1, 5.4) and Clinical Studies (14.6)]. Because of its lack of platelet effects, celecoxib is not a substitute for aspirin for cardiovascular prophylaxis [see Clinical Pharmacology (12.2)].  

7.1 Warfarin

Anticoagulant activity should be monitored, particularly in the first few days, after initiating or changing Celecoxib therapy in patients receiving warfarin or similar agents, since these patients are at an increased risk of bleeding complications. The effect of Celecoxib on the anticoagulant effect of warfarin was studied in a group of healthy subjects receiving daily 2-5 mg doses of warfarin. In these subjects, Celecoxib did not alter the anticoagulant effect of warfarin as determined by prothrombin time. However, in postmarketing experience, serious bleeding events, some of which were fatal, have been reported, predominantly in the elderly, in association with increases in prothrombin time in patients receiving Celecoxib concurrently with warfarin. 

10 Overdosage

No overdoses of Celecoxib Capsules were reported during clinical trials. Doses up to 2400 mg/day for up to 10 days in 12 patients did not result in serious toxicity. Symptoms following acute NSAID overdoses are usually limited to lethargy, drowsiness, nausea, vomiting, and epigastric pain, which are generally reversible with supportive care. Gastrointestinal bleeding can occur. Hypertension, acute renal failure, respiratory depression and coma may occur, but are rare. Anaphylactoid reactions have been reported with therapeutic ingestion of NSAIDs, and may occur following an overdose. 

Patients should be managed by symptomatic and supportive care following an NSAID overdose. There are no specific antidotes. No information is available regarding the removal of celecoxib by hemodialysis, but based on its high degree of plasma protein binding (>97%) dialysis is unlikely to be useful in overdose. Emesis and/or activated charcoal (60 to 100 g in adults, 1 to 2 g/kg in children) and/or osmotic cathartic may be indicated in patients seen within 4 hours of ingestion with symptoms or following a large overdose. Forced diuresis, alkalinization of urine, hemodialysis, or hemoperfusion may not be useful due to high protein binding.

5.9 Pregnancy

In late pregnancy, starting at 30 weeks gestation, celecoxib should be avoided because it may cause premature closure of the ductus arteriosus [see Use in Specific Populations (8.1)]. 

8.1 Pregnancy

Pregnancy Category C. Pregnancy category D from 30 weeks of gestation onward

Teratogenic effects: Celecoxib at oral doses ≥150 mg/kg/day (approximately 2-fold human exposure at 200 mg twice daily as measured by AUC0-24), caused an increased incidence of ventricular septal defects, a rare event, and fetal alterations, such as ribs fused, sternebrae fused and sternebrae misshapen when rabbits were treated throughout organogenesis. A dose-dependent increase in diaphragmatic hernias was observed when rats were given celecoxib at oral doses  ≥30 mg/kg/day (approximately 6-fold human exposure based on the AUC0-24 at 200 mg twice daily) throughout organogenesis. There are no studies in pregnant women. Celecoxib should be used during pregnancy only if the potential benefit justifies the potential risk to the fetus.

Nonteratogenic effects: Celecoxib produced pre-implantation and post-implantation losses and reduced embryo/fetal survival in rats at oral dosages ≥50 mg/kg/day (approximately 6-fold human exposure based on the AUC0-24 at 200 mg twice daily). These changes are expected with inhibition of prostaglandin synthesis and are not the result of permanent alteration of female reproductive function, nor are they expected at clinical exposures. No studies have been conducted to evaluate the effect of celecoxib on the closure of the ductus arteriosus in humans. Therefore, use of celecoxib during the third trimester of pregnancy should be avoided. 

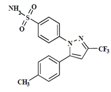
11 Description

Celecoxib is chemically designated as 4-[5-(4-methylphenyl) - 3-(trifluoromethyl)-1H-pyrazol-1-yl] benzenesulfonamide and is a diaryl-substituted pyrazole. The empirical formula is C17H14F3N3O2S, and the molecular weight is 381.38; the chemical structure is as follows:

Celecoxib oral capsules contain either 50 mg, 100 mg, 200 mg or 400 mg of celecoxib, together with inactive ingredients including: croscarmellose sodium, edible inks, gelatin, lactose monohydrate, magnesium stearate, povidone and sodium lauryl sulfate.

7.6 Furosemide

Clinical studies, as well as post-marketing observations, have shown that NSAIDs can reduce the natriuretic effect of furosemide and thiazides in some patients. This response has been attributed to inhibition of renal prostaglandin synthesis.

7.5 Fluconazole

Concomitant administration of fluconazole at 200 mg once daily resulted in a two-fold increase in celecoxib plasma concentration. This increase is due to the inhibition of celecoxib metabolism via P450 2C9 by fluconazole [see Clinical Pharmacology (12.3)]. Celecoxib should be introduced at the lowest recommended dose in patients receiving fluconazole. 

5.2 Hypertension

As with all NSAIDs, celecoxib can lead to the onset of new hypertension or worsening of preexisting hypertension, either of which may contribute to the increased incidence of CV events. Patients taking thiazides or loop diuretics may have impaired response to these therapies when taking NSAIDs. NSAIDs, including celecoxib, should be used with caution in patients with hypertension. Blood pressure should be monitored closely during the initiation of therapy with celecoxib and throughout the course of therapy. The rates of hypertension from the CLASS trial in the celecoxib, ibuprofen and diclofenac-treated patients were 2.4%, 4.2% and 2.5%, respectively [see Clinical Studies (14.6)].   

7.7 Methotrexate

In an interaction study of rheumatoid arthritis patients taking methotrexate, celecoxib did not have an effect on the pharmacokinetics of methotrexate [see Clinical Pharmacology (12.3)]. 

5.15 Inflammation

The pharmacological activity of celecoxib in reducing inflammation, and possibly fever, may diminish the utility of these diagnostic signs in detecting infectious complications of presumed noninfectious, painful conditions. 

5.6 Renal Effects

Long-term administration of NSAIDs has resulted in renal papillary necrosis and other renal injury. Renal toxicity has also been seen in patients in whom renal prostaglandins have a compensatory role in the maintenance of renal perfusion. In these patients, administration of an NSAID may cause a dose-dependent reduction in prostaglandin formation and, secondarily, in renal blood flow, which may precipitate overt renal decompensation. Patients at greatest risk of this reaction are those with impaired renal function, heart failure, liver dysfunction, those taking diuretics, ACE-inhibitors, angiotensin II receptor antagonists, and the elderly. Discontinuation of NSAID therapy is usually followed by recovery to the pretreatment state. Clinical trials with Celecoxib Capsules have shown renal effects similar to those observed with comparator NSAIDs.

No information is available from controlled clinical studies regarding the use of celecoxib in patients with advanced renal disease. Therefore, treatment with celecoxib is not recommended in these patients with advanced renal disease. If celecoxib therapy must be initiated, close monitoring of the patient's renal function is advisable. 

8.4 Pediatric Use

Celecoxib Capsules is approved for relief of the signs and symptoms of Juvenile Rheumatoid Arthritis in patients 2 years and older. Safety and efficacy have not been studied beyond six months in children. The long-term cardiovascular toxicity in children exposed to Celecoxib Capsules has not been evaluated and it is unknown if long-term risks may be similar to that seen in adults exposed to Celecoxib Capsules or other COX-2 selective and non-selective NSAIDs [(see Boxed Warning, Warnings and Precautions (5.12), and Clinical Studies (14.3)]. 

The use of Celecoxib Capsules in patients 2 years to 17 years of age with pauciarticular, polyarticular course JRA or in patients with systemic onset JRA was studied in a 12-week, double-blind, active controlled, pharmacokinetic, safety and efficacy study, with a 12-week open-label extension. Celecoxib Capsules has not been studied in patients under the age of 2 years, in patients with body weight less than 10 kg (22 lbs), and in patients with active systemic features. Patients with systemic onset JRA (without active systemic features) appear to be at risk for the development of abnormal coagulation laboratory tests. In some patients with systemic onset JRA, both celecoxib and naproxen were associated with mild prolongation of activated partial thromboplastin time (APTT) but not prothrombin time (PT).

NSAIDs including Celecoxib Capsules should be used only with caution in patients with systemic onset JRA, due to the risk of disseminated intravascular coagulation. Patients with systemic onset JRA should be monitored for the development of abnormal coagulation tests [see Dosage and Administration (2.3), Warnings and Precautions (5,.12), Adverse Reactions (6.3), Animal Toxicology (13.2), Clinical Studies (14.3)].

Alternative therapies for treatment of JRA should be considered in pediatric patients identified to be CYP2C9 poor metabolizers [see Poor Metabolizers of CYP2C9 substrates (8.8)].

8.5 Geriatric Use

Of the total number of patients who received Celecoxib Capsules in pre-approval clinical trials, more than 3,300 were 65-74 years of age, while approximately 1,300 additional patients were 75 years and over. No substantial differences in effectiveness were observed between these subjects and younger subjects. In clinical studies comparing renal function as measured by the GFR, BUN and creatinine, and platelet function as measured by bleeding time and platelet aggregation, the results were not different between elderly and young volunteers. However, as with other NSAIDs, including those that selectively inhibit COX-2, there have been more spontaneous post-marketing reports of fatal GI events and acute renal failure in the elderly than in younger patients [see Warnings and Precautions (5.4, 5.6)].

2.1 Osteoarthritis

For relief of the signs and symptoms of OA the recommended oral dose is 200 mg per day administered as a single dose or as 100 mg twice daily.

5.8 Skin Reactions

Celecoxib is a sulfonamide and can cause serious skin adverse events such as exfoliative dermatitis, Stevens-Johnson syndrome (SJS) and toxic epidermal necrolysis (TEN) which can be fatal. These serious events can occur without warning and in patients without prior known sulfa allergy. Patients should be informed about the signs and symptoms of serious skin manifestations and use of the drug should be discontinued at the first appearance of skin rash or any other sign of hypersensitivity.

1.5 Acute Pain (ap)

Celecoxib Capsules is indicated for the management of AP in adults [see Clinical Studies (14.5)]

14.1 Osteoarthritis

Celecoxib has demonstrated significant reduction in joint pain compared to placebo. Celecoxib was evaluated for treatment of the signs and the symptoms of OA of the knee and hip in placebo- and active-controlled clinical trials of up to 12 weeks duration. In patients with OA, treatment with Celecoxib Capsules 100 mg twice daily or 200 mg once daily resulted in improvement in WOMAC (Western Ontario and McMaster Universities) osteoarthritis index, a composite of pain, stiffness, and functional measures in OA. In three 12-week studies of pain accompanying OA flare, Celecoxib Capsules doses of 100 mg twice daily and 200 mg twice daily provided significant reduction of pain within 24-48 hours of initiation of dosing. At doses of 100 mg twice daily or 200 mg twice daily the effectiveness of celecoxib was shown to be similar to that of naproxen 500 mg twice daily. Doses of 200 mg twice daily provided no additional benefit above that seen with 100 mg twice daily. A total daily dose of 200 mg has been shown to be equally effective whether administered as 100 mg twice daily or 200 mg once daily. 

4 Contraindications
  • Known hypersensitivity to celecoxib or sulfonamides (4)
  • History of asthma, urticaria, or other allergic-type reactions after taking aspirin or other NSAIDs (4,5.7, 5.8, 5.13)
  • Use during the perioperative period in the setting of coronary artery bypass graft (CABG) surgery (4,5.1)
5.5 Hepatic Effects

Borderline elevations of one or more liver-associated enzymes may occur in up to 15% of patients taking NSAIDs, and notable elevations of ALT or AST (approximately 3 or more times the upper limit of normal) have been reported in approximately 1% of patients in clinical trials with NSAIDs. These laboratory abnormalities may progress, may remain unchanged, or may be transient with continuing therapy. Rare cases of severe hepatic reactions, including jaundice and fatal fulminant hepatitis, liver necrosis and hepatic failure (some with fatal outcome) have been reported with NSAIDs, including celecoxib [see Adverse Reactions (6.1)]. In controlled clinical trials of Celecoxib Capsules, the incidence of borderline elevations (greater than or equal to 1.2 times and less than 3 times the upper limit of normal) of liver associated enzymes was 6% for Celecoxib Capsules and 5% for placebo, and approximately 0.2% of patients taking Celecoxib Capsules and 0.3% of patients taking placebo had notable elevations of ALT and AST. A patient with symptoms and/or signs suggesting liver dysfunction, or in whom an abnormal liver test has occurred, should be monitored carefully for evidence of the development of a more severe hepatic reaction while on therapy with Celecoxib Capsules. If clinical signs and symptoms consistent with liver disease develop, or if systemic manifestations occur (e.g., eosinophilia, rash, etc.), Celecoxib Capsules should be discontinued.

6 Adverse Reactions

Most common adverse reactions in arthritis trials (>2% and >placebo): abdominal pain, diarrhea, dyspepsia, flatulence, peripheral edema, accidental injury, dizziness, pharyngitis, rhinitis, sinusitis, upper respiratory tract infection, rash (6.1).

To report SUSPECTED ADVERSE REACTIONS, contact Cipla Ltd, at 1-866-604-3268 or FDA at 1-800-FDA-1088 or www.fda.gov/medwatch

7 Drug Interactions
  • Concomitant use of Celecoxib and warfarin may result in increased risk of bleeding complications. (7.1)
  • Concomitant use of Celecoxib increases lithium plasma levels. (7.2)
  • Concomitant use of Celecoxib may reduce the antihypertensive effect of ACE Inhibitors and angiotensin II antagonists. (7.4)
  • Use caution with drugs known to inhibit P450 2C9 or metabolized by 2D6 due to the potential for increased plasma levels (2.6, 8.4, 8.8,12.3)
8.3 Nursing Mothers

Limited data from 3 published reports that included a total of 12 breastfeeding women showed low levels of Celecoxib in breast milk. The calculated average daily infant dose was 10-40 mcg/kg/day, less than 1% of the weight-based therapeutic dose for a two-year old-child. A report of two breastfed infants 17 and 22 months of age did not show any adverse events. Caution should be exercised when Celecoxib is administered to a nursing woman.  

14.6 Special Studies

Adenomatous Polyp Prevention Studies: 

Cardiovascular safety was evaluated in two randomized, double-blind, placebo-controlled, three year studies involving patients with Sporadic Adenomatous Polyps treated with Celecoxib Capsules: the APC trial (Adenoma Prevention with Celecoxib) and the PreSAP trial (Prevention of Spontaneous Adenomatous Polyps). In the APC trial, there was a dose-related increase in the composite endpoint (adjudicated) of cardiovascular death, myocardial infarction, or stroke with celecoxib compared to placebo over 3 years of treatment. The PreSAP trial did not demonstrate a statistically significant increased risk for the same composite endpoint (adjudicated):

  • In the APC trial, the hazard ratios compared to placebo for a composite endpoint (adjudicated) of cardiovascular death, myocardial infarction, or stroke were 3.4 (95% CI 1.4 - 8.5) with celecoxib 400 mg twice daily and 2.8 (95% CI 1.1 - 7.2) with celecoxib 200 mg twice daily. Cumulative rates for this composite endpoint over 3 years were 3.0% (20/671 subjects) and 2.5% (17/685 subjects), respectively, compared to 0.9% (6/679 subjects) with placebo treatment. The increases in both celecoxib dose groups versus placebo-treated patients were mainly due to an increased incidence of myocardial infarction.
  • In the PreSAP trial, the hazard ratio for this same composite endpoint (adjudicated) was 1.2 (95% CI 0.6 - 2.4) with celecoxib 400 mg once daily compared to placebo. Cumulative rates for this composite endpoint over 3 years were 2.3% (21/933 subjects) and 1.9% (12/628 subjects), respectively.

Clinical trials of other COX-2 selective and non-selective NSAIDs of up to three-years duration have shown an increased risk of serious cardiovascular thrombotic events, myocardial infarction, and stroke, which can be fatal. As a result, all NSAIDs are considered potentially associated with this risk.

Celecoxib Long-Term Arthritis Safety Study (CLASS):

This was a prospective, long-term, safety outcome study conducted post-marketing in approximately 5,800 OA patients and 2,200 RA patients. Patients received Celecoxib Capsules 400 mg twice daily (4-fold and 2-fold the recommended OA and RA doses, respectively), ibuprofen 800 mg three times daily or diclofenac 75 mg twice daily (common therapeutic doses). Median exposures for celecoxib (n = 3,987) and diclofenac (n = 1,996) were 9 months while ibuprofen (n = 1,985) was 6 months. The primary endpoint of this outcome study was the incidence of complicated ulcers (gastrointestinal bleeding, perforation or obstruction). Patients were allowed to take concomitant low-dose (£ 325 mg/day) aspirin (ASA) for cardiovascular prophylaxis (ASA subgroups: celecoxib, n = 882; diclofenac, n = 445; ibuprofen, n = 412). Differences in the incidence of complicated ulcers between celecoxib and the combined group of ibuprofen and diclofenac were not statistically significant.  

Patients on celecoxib and concomitant low-dose ASA (N=882) experienced 4-fold higher rates of complicated ulcers compared to those not on ASA (N=3105). The Kaplan-Meier rate for complicated ulcers at 9 months was 1.12% versus 0.32% for those on low dose ASA and those not on ASA, respectively [see Warnings and Precautions (5.4)]. 

The estimated cumulative rates at 9 months of complicated and symptomatic ulcers for patients treated with Celecoxib Capsules 400 mg twice daily are described in Table 4. Table 4 also displays results for patients less than or greater than 65 years of age. The difference in rates between celecoxib alone and celecoxib with ASA groups may be due to the higher risk for GI events in ASA users.

Table 4: Complicated and Symptomatic Ulcer Rates in Patients Taking Celecoxib Capsules 400 mg Twice Daily (Kaplan-Meier Rates at 9 months [%]) Based on Risk Factors

All Patients 

   Celecoxib alone (n=3105) 

0.78

   Celecoxib with ASA (n=882)

2.19

Patients <65 Years

   Celecoxib alone (n=2025) 

0.47

   Celecoxib with ASA (n=403)

1.26

Patients ≥65 Years

   Celecoxib alone (n=1080)

1.40

   Celecoxib with ASA (n=479)

3.06

In a small number of patients with a history of ulcer disease, the complicated and symptomatic ulcer rates in patients taking celecoxib alone or celecoxib with ASA were, respectively, 2.56% (n=243) and 6.85% (n=91) at 48 weeks. These results are to be expected in patients with a prior history of ulcer disease [see Warnings and Precautions (5.4) and Adverse Reactions (6.1)].

Cardiovascular safety outcomes were also evaluated in the CLASS trial. Kaplan-Meier cumulative rates for investigator-reported serious cardiovascular thromboembolic adverse events (including MI, pulmonary embolism, deep venous thrombosis, unstable angina, transient ischemic attacks, and ischemic cerebrovascular accidents) demonstrated no differences between the celecoxib, diclofenac, or ibuprofen treatment groups. The cumulative rates in all patients at nine months for celecoxib, diclofenac, and ibuprofen were 1.2%, 1.4%, and 1.1%, respectively. The cumulative rates in non-ASA users at nine months in each of the three treatment groups were less than 1%. The cumulative rates for myocardial infarction in non-ASA users at nine months in each of the three treatment groups were less than 0.2%. There was no placebo group in the CLASS trial, which limits the ability to determine whether the three drugs tested had no increased risk of CV events or if they all increased the risk to a similar degree. 

Endoscopic Studies:  The correlation between findings of short-term endoscopic studies with Celecoxib Capsules and the relative incidence of clinically significant serious upper GI events with long-term use has not been established. Serious clinically significant upper GI bleeding has been observed in patients receiving Celecoxib Capsules in controlled and open-labeled trials [see Warnings and Precautions (5.4) and Clinical Studies (14.6)] 

A randomized, double-blind study in 430 RA patients was conducted in which an endoscopic examination was performed at 6 months. The incidence of endoscopic ulcers in patients taking Celecoxib Capsules 200 mg twice daily was 4% vs. 15% for patients taking diclofenac SR 75 mg twice daily. However, Celecoxib was not statistically different than diclofenac for clinically relevant GI outcomes in the CLASS trial [see Clinical Studies (14.6)].  

The incidence of endoscopic ulcers was studied in two 12-week, placebo-controlled studies in 2157 OA and RA patients in whom baseline endoscopies revealed no ulcers. There was no dose relationship for the incidence of gastroduodenal ulcers and the dose of Celecoxib Capsules (50 mg to 400 mg twice daily). The incidence for naproxen 500 mg twice daily was 16.2 and 17.6% in the two studies, for placebo was 2.0 and 2.3%, and for all doses of Celecoxib Capsules the incidence ranged between 2.7%-5.9%. There have been no large, clinical outcome studies to compare clinically relevant GI outcomes with Celecoxib Capsules and naproxen.

In the endoscopic studies, approximately 11% of patients were taking aspirin (£ 325 mg/day). In the celecoxib groups, the endoscopic ulcer rate appeared to be higher in aspirin users than in non-users. However, the increased rate of ulcers in these aspirin users was less than the endoscopic ulcer rates observed in the active comparator groups, with or without aspirin. 

17.4 Hepatic Effects

Patients should be informed of the warning signs and symptoms of hepatotoxicity (e.g., nausea, fatigue, lethargy, pruritus, jaundice, right upper quadrant tenderness, and "flu-like" symptoms). Patients should be instructed that they should stop therapy and seek immediate medical therapy if these signs and symptoms occur [see Warnings and Precautions (5.5), Use in Specific Populations (8.6)].

12.2 Pharmacodynamics

Platelets: In clinical trials using normal volunteers, Celecoxib Capsules at single doses up to 800 mg and multiple doses of 600 mg twice daily for up to 7 days duration (higher than recommended therapeutic doses) had no effect on reduction of platelet aggregation or increase in bleeding time. Because of its lack of platelet effects, Celecoxib Capsules is not a substitute for aspirin for cardiovascular prophylaxis. It is not known if there are any effects of Celecoxib Capsules on platelets that may contribute to the increased risk of serious cardiovascular thrombotic adverse events associated with the use of Celecoxib Capsules.   

Fluid Retention: Inhibition of PGE2 synthesis may lead to sodium and water retention through increased reabsorption in the renal medullary thick ascending loop of Henle and perhaps other segments of the distal nephron. In the collecting ducts, PGE2 appears to inhibit water reabsorption by counteracting the action of antidiuretic hormone.

12.3 Pharmacokinetics

Absorption: Peak plasma levels of celecoxib occur approximately 3 hrs after an oral dose. Under fasting conditions, both peak plasma levels (Cmax) and area under the curve (AUC) are roughly dose-proportional up to 200 mg BID; at higher doses there are less than proportional increases in Cmax and AUC [see Food Effects]. Absolute bioavailability studies have not been conducted. With multiple dosing, steady-state conditions are reached on or before Day 5. The pharmacokinetic parameters of celecoxib in a group of healthy subjects are shown in Table 3.

Table 3: Summary of Single Dose (200 mg) Disposition Kinetics of Celecoxib in Healthy Subjects1
1Subjects under fasting conditions (n=36, 19-52 yrs.)

Mean (%CV) PK Parameter Values

Cmax, ng/mL

Tmax, hr

Effective t1/2, hr

Vss/F, L

CL/F, L/hr

705 (38)

2.8 (37)

11.2 (31)

429 (34)

27.7 (28)

Food Effects: When Celecoxib Capsules were taken with a high fat meal, peak plasma levels were delayed for about 1 to 2 hours with an increase in total absorption (AUC) of 10% to 20%. Under fasting conditions, at doses above 200 mg, there is less than a proportional increase in Cmax and AUC, which is thought to be due to the low solubility of the drug in aqueous media.   

Coadministration of celecoxib with an aluminum- and magnesium-containing antacids resulted in a reduction in plasma celecoxib concentrations with a decrease of 37% in Cmax and 10% in AUC. Celecoxib Capsules, at doses up to 200 mg twice daily, can be administered without regard to timing of meals. Higher doses (400 mg twice daily) should be administered with food to improve absorption.

In healthy adult volunteers, the overall systemic exposure (AUC) of celecoxib was equivalent when celecoxib was administered as intact capsule or capsule contents sprinkled on applesauce. There were no significant alterations in Cmax, Tmax or t1/2 after administration of capsule contents on applesauce [see Dosage and Administration (2)].

Distribution: In healthy subjects, celecoxib is highly protein bound (~97%) within the clinical dose range. In vitro studies indicate that celecoxib binds primarily to albumin and, to a lesser extent, a1-acid glycoprotein. The apparent volume of distribution at steady state (Vss/F) is approximately 400 L, suggesting extensive distribution into the tissues. Celecoxib is not preferentially bound to red blood cells.

Metabolism: Celecoxib metabolism is primarily mediated via CYP2C9. Three metabolites, a primary alcohol, the corresponding carboxylic acid and its glucuronide conjugate, have been identified in human plasma. These metabolites are inactive as COX-1 or COX-2 inhibitors.

Excretion: Celecoxib is eliminated predominantly by hepatic metabolism with little (<3%) unchanged drug recovered in the urine and feces. Following a single oral dose of radiolabeled drug, approximately 57% of the dose was excreted in the feces and 27% was excreted into the urine. The primary metabolite in both urine and feces was the carboxylic acid metabolite (73% of dose) with low amounts of the glucuronide also appearing in the urine. It appears that the low solubility of the drug prolongs the absorption process making terminal half-life (t1/2) determinations more variable. The effective half-life is approximately 11 hours under fasted conditions. The apparent plasma clearance (CL/F) is about 500 mL/min.

Geriatric: At steady state, elderly subjects (over 65 years old) had a 40% higher Cmax and a 50% higher AUC compared to the young subjects. In elderly females, celecoxib Cmax and AUC are higher than those for elderly males, but these increases are predominantly due to lower body weight in elderly females. Dose adjustment in the elderly is not generally necessary. However, for patients of less than 50 kg in body weight, initiate therapy at the lowest recommended dose [see Dosage and Administration (2.6) and Use in Specific Populations (8.5)].

Pediatric: The steady state pharmacokinetics of celecoxib administered as an investigational oral suspension was evaluated in 152 JRA patients 2 years to 17 years of age weighing ≥10 kg with pauciarticular or polyarticular course JRA and in patients with systemic onset JRA. Population pharmacokinetic analysis indicated that the oral clearance (unadjusted for body weight) of celecoxib increases less than proportionally to increasing weight, with 10 kg and 25 kg patients predicted to have 40% and 24% lower clearance, respectively, compared with a 70 kg adult RA patient. 

Twice-daily administration of 50 mg capsules to JRA patients weighing ≥12 to £25 kg and 100 mg capsules to JRA patients weighing >25 kg should achieve plasma concentrations similar to those observed in a clinical trial that demonstrated the non-inferiority of celecoxib to naproxen 7.5 mg/kg twice daily (see Dosage and Administration (2.3). Celecoxib has not been studied in JRA patients under the age of 2 years, in patients with body weight less than 10 kg (22 lbs), or beyond 24 weeks.

Race: Meta-analysis of pharmacokinetic studies has suggested an approximately 40% higher AUC of celecoxib in Blacks compared to Caucasians. The cause and clinical significance of this finding is unknown.

Hepatic Insufficiency: A pharmacokinetic study in subjects with mild (Child-Pugh Class A) and moderate (Child-Pugh Class B) hepatic impairment has shown that steady-state celecoxib AUC is increased about 40% and 180%, respectively, above that seen in healthy control subjects. Therefore, the daily recommended dose of Celecoxib Capsules should be reduced by approximately 50% in patients with moderate (Child-Pugh Class B) hepatic impairment. Patients with severe hepatic impairment (Child-Pugh Class C) have not been studied. The use of celecoxib in patients with severe hepatic impairment is not recommended [see Dosage and Administration (2.6) and Use in Specific Populations (8.6)].  

Renal Insufficiency: In a cross-study comparison, celecoxib AUC was approximately 40% lower in patients with chronic renal insufficiency (GFR 35-60 mL/min) than that seen in subjects with normal renal function. No significant relationship was found between GFR and celecoxib clearance. Patients with severe renal insufficiency have not been studied. Similar to other NSAIDs, celecoxib is not recommended in patients with severe renal insufficiency [see Warnings and Precautions (5.6)]. 

Drug interactions:

In vitro studies indicate that Celecoxib is not an inhibitor of cytochrome P450 2C9, 2C19 or 3A4.

In vivo studies have shown the following:

Lithium: In a study conducted in healthy subjects, mean steady-state lithium plasma levels increased approximately 17% in subjects receiving lithium 450 mg twice daily with Celecoxib Capsules 200 mg twice daily as compared to subjects receiving lithium alone [see Drug Interactions (7.2)]. 

Fluconazole: Concomitant administration of fluconazole at 200 mg once daily resulted in a two-fold increase in celecoxib plasma concentration. This increase is due to the inhibition of Celecoxib metabolism via P450 2C9 by fluconazole [see Drug Interactions (7.5)].

Other Drugs: The effects of celecoxib on the pharmacokinetics and/or pharmacodynamics of glyburide, ketoconazole, methotrexate [see Drug Interactions (7.7)], phenytoin, and tolbutamide have been studied in vivo and clinically important interactions have not been found.

12.4 Pharmacogenomics

CYP2C9 activity is reduced in individuals with genetic polymorphisms that lead to reduced enzyme activity, such as those homozygous for the CYP2C9*2 and CYP2C9*3 polymorphisms. Limited data from 4 published reports that included a total of 8 subjects with the homozygous CYP2C9*3/*3 genotype showed celecoxib systemic levels that were 3- to 7-fold higher in these subjects compared to subjects with CYP2C9*1/*1 or *I/*3 genotypes. The pharmacokinetics of celecoxib have not been evaluated in subjects with other CYP2C9 polymorphisms, such as *2, *5, *6, *9 and *11. It is estimated that the frequency of the homozygous *3/ *3 genotype is 0.3% to 1.0% in various ethnic groups. [see Dosage and Administration (2.6), Use in Specific Populations (8.8)].

17.1 Medication Guide

Patients should be informed of the availability of a Medication Guide for NSAIDs that accompanies each prescription dispensed, and should be instructed to read the Medication Guide prior to using Celecoxib Capsules.

5.14 Laboratory Tests

Because serious GI tract ulcerations and bleeding can occur without warning symptoms, physicians should monitor for signs or symptoms of GI bleeding. Patients on long-term treatment with NSAIDs should have a CBC and a chemistry profile checked periodically. If abnormal liver tests or renal tests persist or worsen, Celecoxib Capsules should be discontinued. In controlled clinical trials, elevated BUN occurred more frequently in patients receiving Celecoxib Capsules compared with patients on placebo. This laboratory abnormality was also seen in patients who received comparator NSAIDs in these studies. The clinical significance of this abnormality has not been established. 

13.2 Animal Toxicology

An increase in the incidence of background findings of spermatocele with or without secondary changes such as epididymal hypospermia as well as minimal to slight dilation of the seminiferous tubules was seen in the juvenile rat. These reproductive findings while apparently treatment-related did not increase in incidence or severity with dose and may indicate an exacerbation of a spontaneous condition. Similar reproductive findings were not observed in studies of juvenile or adult dogs or in adult rats treated with celecoxib. The clinical significance of this observation is unknown.

8.2 Labor and Delivery

Celecoxib produced no evidence of delayed labor or parturition at oral doses up to 100 mg/kg in rats (approximately 7-fold human exposure as measured by the AUC0-24 at 200 mg BID). The effects of Celecoxib on labor and delivery in pregnant women are unknown. 

1 Indications and Usage

Celecoxib Capsule is a non-steroidal anti-inflammatory drug indicated for:

  • Osteoarthritis (OA) (1.1)
  • Rheumatoid Arthritis (RA) (1.2)
  • Juvenile Rheumatoid Arthritis (JRA) in patients 2 years and older (1.3)
  • Ankylosing Spondylitis (AS) (1.4)
  • Acute Pain (AP) (1.5)
  • Primary Dysmenorrhea (PD) (1.6)
1.1 Osteoarthritis (oa)

Celecoxib Capsules is indicated for relief of the signs and symptoms of OA [see Clinical Studies (14.1)]

17.9 Preexisting Asthma

Patients should be instructed to tell their physicians if they have a history of asthma or aspirin-sensitive asthma because the use of NSAIDs in patients with aspirin-sensitive asthma has been associated with severe bronchospasm, which can be fatal. Patients with this form of aspirin sensitivity should be instructed not to take Celecoxib Capsules. Patients with preexisting asthma should be instructed to seek immediate medical attention if their asthma worsens after taking Celecoxib Capsules [see Warnings and Precautions (5.13)].

Manufactured by: Cipla Limited,

Kurkumbh, India

Manufactured for: Cipla USA, Inc.

9100 S. Dadeland Blvd., Suite 1500 Miami, FL 33156

Revised: 7/2015

Repackaged by:

Proficient Rx LP

Thousand Oaks, CA 91320

2.6 Special Populations

Hepatic insufficiency: The daily recommended dose of Celecoxib Capsules in patients with moderate hepatic impairment (Child-Pugh Class B) should be reduced by 50%. The use of Celecoxib Capsules in patients with severe hepatic impairment is not recommended [see Warnings and Precautions (5.5), Use in Specific Populations (8.6) and Clinical Pharmacology (12.3)].

Poor Metabolizers of CYP2C9 Substrates: Patients who are known or suspected to be poor CYP2C9 metabolizers based on genotype or previous history/experience with other CYP2C9 substrates (such as warfarin, phenytoin) should be administered celecoxib with caution. Consider starting treatment at half the lowest recommended dose in poor metabolizers (i.e. CYP2C9*3/*3). Consider using alternative management in JRA patients who are poor metabolizers. [see Use in Specific populations (8.8), and Clinical Pharmacology (12.5)].

5.13 Preexisting Asthma

Patients with asthma may have aspirin-sensitive asthma. The use of aspirin in patients with aspirin-sensitive asthma has been associated with severe bronchospasm, which can be fatal. Since cross reactivity, including bronchospasm, between aspirin and other nonsteroidal anti-inflammatory drugs has been reported in such aspirin-sensitive patients, Celecoxib Capsules should not be administered to patients with this form of aspirin sensitivity and should be used with caution in patients with preexisting asthma. 

8.7 Renal Insufficiency

Celecoxib Capsules is not recommended in patients with severe renal insufficiency [see Warnings and Precautions (5.6) and Clinical Pharmacology (12.3)]. 

12.1 Mechanism of Action

Celecoxib is a nonsteroidal anti-inflammatory drug that exhibits anti-inflammatory, analgesic, and antipyretic activities in animal models. The mechanism of action of Celecoxib is believed to be due to inhibition of prostaglandin synthesis, primarily via inhibition of cyclooxygenase-2 (COX-2), and at therapeutic concentrations in humans, Celecoxib does not inhibit the cyclooxygenase-1 (COX-1) isoenzyme. In animal colon tumor models, Celecoxib reduced the incidence and multiplicity of tumors.   

2.2 Rheumatoid Arthritis

For relief of the signs and symptoms of RA the recommended oral dose is 100 to 200 mg twice daily.

14.2 Rheumatoid Arthritis

Celecoxib Capsules has demonstrated significant reduction in joint tenderness/pain and joint swelling compared to placebo. Celecoxib Capsules was evaluated for treatment of the signs and symptoms of RA in placebo- and active-controlled clinical trials of up to 24 weeks in duration. Celecoxib was shown to be superior to placebo in these studies, using the ACR20 Responder Index, a composite of clinical, laboratory, and functional measures in RA. Celecoxib Capsules doses of 100 mg twice daily and 200 mg twice daily were similar in effectiveness and both were comparable to naproxen 500 mg twice daily.

Although Celecoxib Capsules 100 mg twice daily and 200 mg twice daily provided similar overall effectiveness, some patients derived additional benefit from the 200 mg twice daily dose. Doses of 400 mg twice daily provided no additional benefit above that seen with 100-200 mg twice daily. 

7.8 Concomitant Nsaid Use

The concomitant use of celecoxib with any dose of a non-aspirin NSAID should be avoided due to the potential for increased risk of adverse reactions. 

8.6 Hepatic Insufficiency

The daily recommended dose of Celecoxib Capsules in patients with moderate hepatic impairment (Child-Pugh Class B) should be reduced by 50%. The use of Celecoxib Capsules in patients with severe hepatic impairment is not recommended [see Dosage and Administration (2.6) and Clinical Pharmacology (12.3)].  

17.6 Weight Gain and Edema

Long-term administration of NSAIDs including celecoxib has resulted in renal injury. Patients at greatest risk are those taking diuretics, ACE-inhibitors, angiotensin II antagonists, or with renal or liver dysfunction, heart failure, and the elderly [see Warnings and Precautions (5.3, 5.6), Use in Specific Populations (8)]. 

Patients should be instructed to promptly report to their physicians signs or symptoms of unexplained weight gain or edema following treatment with Celecoxib Capsules [see Warnings and Precautions (5.3)].

2.4 Ankylosing Spondylitis

For the management of the signs and symptoms of AS, the recommended dose of Celecoxib Capsules is 200 mg daily in single (once per day) or divided (twice per day) doses. If no effect is observed after 6 weeks, a trial of 400 mg daily may be worthwhile. If no effect is observed after 6 weeks on 400 mg daily, a response is not likely and consideration should be given to alternate treatment options. 

5 Warnings and Precautions
  • Serious and potentially fatal cardiovascular (CV) thrombotic events, myocardial infarction, and stroke. Patients with known CV disease/risk factors may be at greater risk (5.1,14.6, 17.2).
  • Serious gastrointestinal (GI) adverse events, which can be fatal. The risk is greater in patients with a prior history of ulcer disease or GI bleeding, and in patients at high risk for GI events, especially the elderly. Celecoxib Capsules should be used with caution in these patients (5.4, 8.5,14.6, 17.3).
  • Elevated liver enzymes and, rarely, severe hepatic reactions. Discontinue use of Celecoxib Capsules immediately if abnormal liver enzymes persist or worsen (5.5,17.4).
  • New onset or worsening of hypertension. Blood pressure should be monitored closely during treatment with Celecoxib Capsules (5.2, 7.4, 17.2).
  • Fluid retention and edema. Celecoxib Capsules should be used with caution in patients with fluid retention or heart failure (5.3, 17.6).
  • Renal papillary necrosis and other renal injury with long term use. Use Celecoxib Capsules with caution in the elderly, those with impaired renal function, heart failure, liver dysfunction, and those taking diuretics, ACE-inhibitors, or angiotensin II antagonists (5.6, 7.4, 8.7,17.6).
  • Anaphylactoid reactions. Do not use Celecoxib Capsules in patients with the aspirin triad (5.7,10, 17.7).
  • Serious skin adverse events such as exfoliative dermatitis, Stevens-Johnson syndrome (SJS), and toxic epidermal necrolysis (TEN), which can be fatal and can occur without warning even without known prior sulfa allergy. Discontinue Celecoxib Capsules at first appearance of rash or skin reactions (5.8,17.5).
5.11 Hematological Effects

Anemia is sometimes seen in patients receiving celecoxib. In controlled clinical trials the incidence of anemia was 0.6% with Celecoxib Capsules and 0.4% with placebo. Patients on long-term treatment with Celecoxib Capsules should have their hemoglobin or hematocrit checked if they exhibit any signs or symptoms of anemia or blood loss. Celecoxib does not generally affect platelet counts, prothrombin time (PT), or partial thromboplastin time (PTT), and does not inhibit platelet aggregation at indicated dosages [see Clinical Pharmacology (12.2)].  

5.16 Concomitant Nsaid Use

The concomitant use of celecoxib with any dose of a non-aspirin NSAID should be avoided due to the potential for increased risk of adverse reactions.

14.4 Ankylosing Spondylitis

Celecoxib Capsules was evaluated in AS patients in two placebo- and active-controlled clinical trials of 6 and 12 weeks duration.  

Celecoxib Capsules at doses of 100 mg twice daily, 200 mg once daily and 400 mg once daily was shown to be statistically superior to placebo in these studies for all three co-primary efficacy measures assessing global pain intensity (Visual Analogue Scale), global disease activity (Visual Analogue Scale) and functional impairment (Bath Ankylosing Spondylitis Functional Index). In the 12-week study, there was no difference in the extent of improvement between the 200 mg and 400 mg Celecoxib Capsules doses in a comparison of mean change from baseline, but there was a greater percentage of patients who responded to Celecoxib Capsules 400 mg, 53%, than to Celecoxib Capsules 200 mg, 44%, using the Assessment in Ankylosing Spondylitis response criteria (ASAS 20). The ASAS 20 defines a responder as improvement from baseline of at least 20% and an absolute improvement of at least 10 mm, on a 0 to 100 mm scale, in at least three of the four following domains: patient global pain, Bath Ankylosing Spondylitis Functional Index, and inflammation. The responder analysis also demonstrated no change in the responder rates beyond 6 weeks. 

17.2 Cardiovascular Effects

Patients should be informed that Celecoxib Capsules may cause serious CV side effects such as MI or stroke, which may result in hospitalization and even death. Patients should be informed of the signs and symptoms of chest pain, shortness of breath, weakness, slurring of speech, and to seek immediate medical advice if they observe any of these signs or symptoms. [see Warnings and Precautions (5.1)]. 

Patients should be informed that Celecoxib Capsules can lead to the onset of new hypertension or worsening of preexisting hypertension, and that Celecoxib Capsules may impair the response of some antihypertensive agents. Patients should be instructed on the proper follow up for monitoring of blood pressure. [see Warnings and Precautions (5.2) and Drug Interactions (7.4)].

17.5 Adverse Skin Reactions

Patients should be informed that celecoxib is a sulfonamide and can cause serious skin side effects such as exfoliative dermatitis, SJS, and TEN, which may result in hospitalizations and even death. Although serious skin reactions may occur without warning, patients should be informed of the signs and symptoms of skin rash and blisters, fever, or other signs of hypersensitivity such as itching, and seek immediate medical advice when observing any indicative signs or symptoms.

Patients should be advised to stop Celecoxib Capsules immediately if they develop any type of rash and contact their physician as soon as possible.

Patients with prior history of sulfa allergy should not take Celecoxib Capsules [see Warnings and Precautions (5.8)]. 

2 Dosage and Administration

Use lowest effective dose for the shortest duration consistent with treatment goals for the individual patient. (1, 5.1, 5.4)

  • OA: 200 mg once daily or 100 mg twice daily (2.1, 14.1)
  • RA: 100 to 200 mg twice daily (2.2,14.2)
  • JRA: 50 mg twice daily in patients 10-25 kg. 100 mg twice daily in patients more than 25 kg (2.3,14.3)
  • AS: 200 mg once daily single dose or 100 mg twice daily. If no effect is observed after 6 weeks, a trial of 400 mg (single or divided doses) may be of benefit (2.4,14.4)
  • AP and PD: 400 mg initially, followed by 200 mg dose if needed on first day. On subsequent days, 200 mg twice daily as needed (2.5, 14.5)

Reduce daily dose by 50% in patients with moderate hepatic impairment (Child-Pugh Class B).

Consider a dose reduction by 50% (or alternative management for JRA) in patients who are known or suspected to be CYP2C9 poor metabolizers, (2.6, 8.4, 8.8, 12.3).

5.7 Anaphylactoid Reactions

As with NSAIDs in general, anaphylactoid reactions have occurred in patients without known prior exposure to Celecoxib Capsules. In post-marketing experience, rare cases of anaphylactic reactions and angioedema have been reported in patients receiving Celecoxib Capsules. Celecoxib Capsules should not be given to patients with the aspirin triad. This symptom complex typically occurs in asthmatic patients who experience rhinitis with or without nasal polyps, or who exhibit severe, potentially fatal bronchospasm after taking aspirin or other NSAIDs [see Contraindications (4), Warnings and Precautions (5.7)]. Emergency help should be sought in cases where an anaphylactoid reaction occurs.

17.7 Anaphylactoid Reactions

Patients should be informed of the signs and symptoms of an anaphylactoid reaction (e.g., difficulty breathing, swelling of the face or throat). Patients should be instructed to seek immediate emergency assistance if they develop any of these signs and symptoms [see Warnings and Precautions (5.7)]. 

3 Dosage Forms and Strengths

Capsules: 50 mg, 100 mg, 200 mg and 400 mg (3)

1.2 Rheumatoid Arthritis (ra)

Celecoxib Capsules is indicated for relief of the signs and symptoms of RA [see Clinical Studies (14.2)]

1.6 Primary Dysmenorrhea (pd)

Celecoxib Capsules is indicated for the treatment of PD [see Clinical Studies (14.5)]

17.3 Gastrointestinal Effects

Patients should be informed that Celecoxib Capsules can cause gastrointestinal discomfort and more serious side effects, such as ulcers and bleeding, which may result in hospitalization and even death. Patients should be informed of the signs and symptoms of ulcerations and bleeding, and to seek immediate medical advice if they observe any signs or symptoms that are indicative of these disorders, including epigastric pain, dyspepsia, melena, and hematemesis. [see Warnings and Precautions (5.4)].  

17.8 Effects During Pregnancy

Patients should be informed that in late pregnancy Celecoxib Capsules should be avoided because it may cause premature closure of the ductus arteriosus [see Warnings and Precautions (5.9), Use in Specific Populations (8.1)]. 

5.10 Corticosteroid Treatment

Celecoxib cannot be expected to substitute for corticosteroids or to treat corticosteroid insufficiency. Abrupt discontinuation of corticosteroids may lead to exacerbation of corticosteroid-responsive illness. Patients on prolonged corticosteroid therapy should have their therapy tapered slowly if a decision is made to discontinue corticosteroids.

6.5 the Apc and Presap Trials

Adverse reactions from long-term, placebo-controlled polyp prevention studies: Exposure to Celecoxib Capsules in the APC and PreSAP trials was 400 to 800 mg daily for up to 3 years [see Special Studies Adenomatous Polyp Prevention Studies (14.6)].   

Some adverse reactions occurred in higher percentages of patients than in the arthritis pre-marketing trials (treatment durations up to 12 weeks; see Adverse events from celecoxib pre-marketing controlled arthritis trials, above). The adverse reactions for which these differences in patients treated with celecoxib were greater as compared to the arthritis pre-marketing trials were as follows:

Celecoxib Capsules

(400 to 800 mg daily)

N = 2285

Placebo

N=1303

Diarrhea

10.5%

7.0%

Gastroesophageal reflux disease

4.7%

3.1%

Nausea

6.8%

5.3%

Vomiting

3.2%

2.1%

Dyspnea

2.8%

1.6%

Hypertension

12.5%

9.8%

The following additional adverse reactions occurred in ≥0.1% and <1% of patients taking Celecoxib Capsules, at an incidence greater than placebo in the long-term polyp prevention studies and were either not reported during the controlled arthritis pre-marketing trials or occurred with greater frequency in the long-term, placebo-controlled polyp prevention studies:

Nervous system disorders:

Cerebral infarction

Eye disorders:

Vitreous floaters, conjunctival hemorrhage

Ear and labyrinth:

Labyrinthitis

Cardiac disorders:

Angina unstable, aortic valve incompetence, coronary artery atherosclerosis, sinus 

bradycardia, ventricular hypertrophy

Vascular disorders:

Deep vein thrombosis

Reproductive system and breast disorders:

Ovarian cyst

Investigations:

Blood potassium increased, blood sodium increased, blood testosterone decreased

Injury, poisoning and procedural complications:

Epicondylitis, tendon rupture 

8 Use in Specific Populations
  • Pregnancy Category C prior to 30 weeks gestation; Category D starting at 30 weeks gestation (5.9,8.1, 17.8)
6.4 Other Pre Approval Studies

Adverse Events from Ankylosing Spondylitis Studies: A total of 378 patients were treated with Celecoxib Capsules in placebo- and active controlled AS studies. Doses up to 400 mg once daily were studied. The types of adverse events reported in the AS studies were similar to those reported in the OA/RA studies. 

Adverse Events from Analgesia and Dysmenorrhea Studies: Approximately 1,700 patients were treated with Celecoxib Capsules in analgesia and dysmenorrhea studies. All patients in post-oral surgery pain studies received a single dose of study medication. Doses up to 600 mg/day of Celecoxib Capsules were studied in primary dysmenorrhea and post-orthopedic surgery pain studies. The types of adverse events in the analgesia and dysmenorrhea studies were similar to those reported in arthritis studies. The only additional adverse event reported was post-dental extraction alveolar osteitis (dry socket) in the post-oral surgery pain studies.  

1.4 Ankylosing Spondylitis (as)

Celecoxib Capsules is indicated for the relief of signs and symptoms of AS [see Clinical Studies (14.4)]

17 Patient Counseling Information

Patients should be informed of the following information before initiating therapy with Celecoxib Capsules and periodically during the course of ongoing therapy.

2.3 Juvenile Rheumatoid Arthritis

For the relief of the signs and symptoms of JRA the recommended oral dose for pediatric patients (age 2 years and older) is based on weight. For patients ≥10 kg to £25 kg the recommended dose is 50 mg twice daily. For patients >25 kg the recommended dose is 100 mg twice daily.

For patients who have difficulty swallowing capsules, the contents of a Celecoxib Capsule can be added to applesauce. The entire capsule contents are carefully emptied onto a level teaspoon of cool or room temperature applesauce and ingested immediately with water. The sprinkled capsule contents on applesauce are stable for up to 6 hours under refrigerated conditions (2-8° C/ 35-45° F). 

5.4 Gastrointestinal (gi) Effects

Risk of GI Ulceration, Bleeding, and Perforation 

NSAIDs, including celecoxib, can cause serious gastrointestinal events including bleeding, ulceration, and perforation of the stomach, small intestine or large intestine, which can be fatal. These serious adverse events can occur at any time, with or without warning symptoms, in patients treated with NSAIDs. Only one in five patients who develop a serious upper GI adverse event on NSAID therapy is symptomatic. Complicated and symptomatic ulcer rates were 0.78% at nine months for all patients in the CLASS trial, and 2.19% for the subgroup on low-dose ASA. Patients 65 years of age and older had an incidence of 1.40% at nine months, 3.06% when also taking ASA [see Clinical Studies (14.6)]. With longer duration of use of NSAIDs, there is a trend for increasing the likelihood of developing a serious GI event at some time during the course of therapy. However, even short-term therapy is not without risk.

NSAIDs should be prescribed with extreme caution in patients with a prior history of ulcer disease or gastrointestinal bleeding. Patients with a prior history of peptic ulcer disease and/or gastrointestinal bleeding who use NSAIDs have a greater than 10-fold increased risk for developing a GI bleed compared to patients with neither of these risk factors. Other factors that increase the risk of GI bleeding in patients treated with NSAIDs include concomitant use of oral corticosteroids or anticoagulants, longer duration of NSAID therapy, smoking, use of alcohol, older age, and poor general health status. Most spontaneous reports of fatal GI events are in elderly or debilitated patients and therefore special care should be taken in treating this population.

To minimize the potential risk for an adverse GI event, the lowest effective dose should be used for the shortest duration consistent with individual patient treatment goals. Physicians and patients should remain alert for signs and symptoms of GI ulceration and bleeding during celecoxib therapy and promptly initiate additional evaluation and treatment if a serious GI adverse event is suspected. For high-risk patients, alternate therapies that do not involve NSAIDs should be considered.

14.3 Juvenile Rheumatoid Arthritis

In a 12-week, randomized, double-blind active-controlled, parallel-group, multicenter, non-inferiority study, patients from 2 years to 17 years of age with pauciarticular, polyarticular course JRA or systemic onset JRA (with currently inactive systemic features), received one of the following treatments: celecoxib 3 mg/kg (to a maximum of 150 mg) twice daily; celecoxib 6 mg/kg (to a maximum of 300 mg) twice daily; or naproxen 7.5 mg/kg (to a maximum of 500 mg) twice daily. The response rates were based upon the JRA Definition of Improvement greater than or equal to 30% (JRA DOI 30) criterion, which is a composite of clinical, laboratory, and functional measures of JRA. The JRA DOI 30 response rates at week 12 were 69%, 80% and 67% in the celecoxib 3 mg/kg BID, celecoxib 6 mg/kg BID, and naproxen 7.5 mg/kg BID treatment groups, respectively.

The efficacy and safety of celecoxib for JRA have not been studied beyond six months. The long-term cardiovascular toxicity in children exposed to celecoxib has not been evaluated and it is unknown if the long-term risk may be similar to that seen in adults exposed to celecoxib or other COX-2 selective and non-selective NSAIDs [(see Boxed Warning, Warnings and Precautions (5.12)].

16 How Supplied/storage and Handling

Celecoxib Capsules are available in the following strengths and configurations:

Celecoxib Capsules 100 mg: White to off white colored granules filled in size 2 hard gelatin white capsule,

axially printed with ‘Cipla’ on cap & ‘422’ over ‘100 mg’ on body in blue ink.

  •  
    Bottle of 30 NDC 63187-301-30
  •  
    Bottle of 60 NDC 63187-301-60
  •  
    Bottle of 90 NDC 63187-301-90

Storage: Store at 25°C (77°F) [see USP Controlled Room Temperature]

5.1 Cardiovascular Thrombotic Events

Chronic use of Celecoxib Capsules may cause an increased risk of serious adverse cardiovascular thrombotic events, myocardial infarction, and stroke, which can be fatal. In the APC (Adenoma Prevention with Celecoxib) trial, the hazard ratio for the composite endpoint of cardiovascular death, MI, or stroke was 3.4 (95% CI 1.4 - 8.5) for Celecoxib Capsules 400 mg twice daily and 2.8 (95% CI 1.1 - 7.2) with Celecoxib Capsules 200 mg twice daily compared to placebo. Cumulative rates for this composite endpoint over 3 years were 3.0% (20/671 subjects) and 2.5% (17/685 subjects), respectively, compared to 0.9% (6/679 subjects) with placebo treatment. The increases in both celecoxib dose groups versus placebo-treated patients were mainly due to an increased incidence of myocardial infarction [see Clinical Studies (14.6)].

All NSAIDs, both COX-2 selective and non-selective, may have a similar risk. Patients with known CV disease or risk factors for CV disease may be at greater risk. To minimize the potential risk for an adverse CV event in patients treated with Celecoxib Capsules, the lowest effective dose should be used for the shortest duration consistent with individual patient treatment goals. Physicians and patients should remain alert for the development of such events, even in the absence of previous CV symptoms. Patients should be informed about the signs and/or symptoms of serious CV toxicity and the steps to take if they occur.

There is no consistent evidence that concurrent use of aspirin mitigates the increased risk of serious CV thrombotic events associated with NSAID use. The concurrent use of aspirin and Celecoxib Capsules does increase the risk of serious GI events [see Warnings and Precautions (5.4)]. 

Two large, controlled, clinical trials of a different COX-2 selective NSAID for the treatment of pain in the first 10-14 days following CABG surgery found an increased incidence of myocardial infarction and stroke [see Contraindications (4)].

Package Label.principal Display Panel

100 mg Bottle Label

Rx only

NDC 63187-301-60

Celecoxib Capsules

100 mg

PHARMACIST: Dispense the accompanying Medication Guide to each patient

60 Capsules

5.3 Congestive Heart Failure and Edema

Fluid retention and edema have been observed in some patients taking NSAIDs, including celecoxib [see Adverse Reactions (6.1)]. In the CLASS study [see Clinical Studies (14.6)], the Kaplan-Meier cumulative rates at 9 months of peripheral edema in patients on Celecoxib Capsules 400 mg twice daily (4-fold and 2-fold the recommended OA and RA doses, respectively), ibuprofen 800 mg three times daily and diclofenac 75 mg twice daily were 4.5%, 6.9% and 4.7%, respectively. Celecoxib should be used with caution in patients with fluid retention or heart failure. 

1.3 Juvenile Rheumatoid Arthritis (jra)

Celecoxib Capsules is indicated for relief of the signs and symptoms of JRA in patients 2 years and older [see Clinical Studies (14.3)]

6.3 Juvenile Rheumatoid Arthritis Study

In a 12-week, double-blind, active-controlled study, 242 JRA patients 2 years to 17 years of age were treated with Celecoxib or naproxen; 77 JRA patients were treated with Celecoxib 3 mg/kg BID, 82 patients were treated with Celecoxib 6 mg/kg BID, and 83 patients were treated with naproxen 7.5 mg/kg BID. The most commonly occurring (≥5%) adverse events in Celecoxib treated patients were headache, fever (pyrexia), upper abdominal pain, cough, nasopharyngitis, abdominal pain, nausea, arthralgia, diarrhea and vomiting. The most commonly occurring (≥5%) adverse experiences for naproxen-treated patients were headache, nausea, vomiting, fever, upper abdominal pain, diarrhea, cough, abdominal pain, and dizziness (Table 2). Compared with naproxen, Celecoxib at doses of 3 and 6 mg/kg BID had no observable deleterious effect on growth and development during the course of the 12-week double-blind study. There was no substantial difference in the number of clinical exacerbations of uveitis or systemic features of JRA among treatment groups.

In a 12-week, open-label extension of the double-blind study described above, 202 JRA patients were treated with Celecoxib 6 mg/kg BID. The incidence of adverse events was similar to that observed during the double-blind study; no unexpected adverse events of clinical importance emerged.

Table 2: Adverse Events Occurring in ≥5% of JRA Patients in Any Treatment Group, by System Organ Class (% of patients with events)
*Abnormal laboratory tests, which include: Prolonged activated partial thromboplastin time, Bacteriuria NOS present, Blood creatine phosphokinase increased, Blood culture positive, Blood glucose increased, Blood pressure increased, Blood uric acid increased, Hematocrit decreased, Hematuria present, Hemoglobin decreased, Liver function tests NOS abnormal, Proteinuria present, Transaminase NOS increased, Urine analysis abnormal NOS

All Doses Twice Daily

System Organ Class 

Preferred Term

Celecoxib

3 mg/kg

N=77

Celecoxib

6 mg/kg

N=82

Naproxen

7.5 mg/kg

N=83

Any Event

64

70

72

Eye Disorders

5

5

5

Gastrointestinal

26

24

36

   Abdominal pain NOS

4

7

7

   Abdominal pain upper

8

6

10

   Vomiting NOS

3

6

11

   Diarrhea NOS

5

4

8

   Nausea

7

4

11

General

13

11

18

   Pyrexia

8

9

11

Infections

25

20

27

   Nasopharyngitis

5

6

5

Injury and Poisoning

4

6

5

Investigations*

3

11

7

Musculoskeletal

8

10

17

   Arthralgia

3

7

4

Nervous System

17

11

21

   Headache NOS

13

10

16

   Dizziness (excl vertigo)

1

1

7

Respiratory

8

15

15

   Cough

7

7

8

Skin & Subcutaneous

10

7

18

8.8 Poor Metabolizers of Cyp2c9 Substrates

Patients who are known or suspected to be poor CYP2C9 metabolizers based on genotype or previous history/experience with other CYP2C9 substrates (such as warfarin, phenytoin) should be administered celecoxib with caution. Consider starting treatment at half the lowest recommended dose in poor metabolizers (i.e., CYP2C9*3/*3). Alternative management should be considered in JRA patients identified to be CYP2C9 poor metabolizers. [see Dosage and Administration (2.6) and Clinical Pharmacology (12.5)].

6.1 Pre Marketing Controlled Arthritis Trials

Table 1 lists all adverse events, regardless of causality, occurring in ≥2% of patients receiving Celecoxib Capsules from 12 controlled studies conducted in patients with OA or RA that included a placebo and/or a positive control group. Since these 12 trials were of different durations, and patients in the trials may not have been exposed for the same duration of time, these percentages do not capture cumulative rates of occurrence. 

Table 1: Adverse Events Occurring in ≥2% of Celecoxib Patients from Pre-marketing Controlled Arthritis Trials
Celecoxib = Celecoxib Capsules 100 - 200 mg twice daily or 200 mg once daily;

NAP = Naproxen 500 mg twice daily;

DCF = Diclofenac 75 mg twice daily;

IBU = Ibuprofen 800 mg three times daily.

Celecoxib (N=4146)

Placebo (N=1864)

NAP (N=1366)

DCF (N=387)

IBU (N=345)

Gastrointestinal

   Abdominal Pain

4.1%

2.8%

7.7%

9.0%

9.0%

   Diarrhea

5.6%

3.8%

5.3%

9.3%

5.8%

   Dyspepsia

8.8%

6.2%

12.2%

10.9%

12.8%

   Flatulence

2.2%

1.0%

3.6%

4.1%

3.5%

   Nausea

3.5%

4.2%

6.0%

3.4%

6.7%

Body as whole

   Back Pain

2.8%

3.6%

2.2%

2.6%

0.9%

   Peripheral Edema

2.1%

1.1%

2.1%

1.0%

3.5%

   Injury-Accidental

2.9%

2.3%

3.0%

2.6%

3.2%

Central, Peripheral Nervous System

   Dizziness

2.0%

1.7%

2.6%

1.3%

2.3%

   Headache

15.8%

20.2%

14.5%

15.5%

15.4%

Psychatric

   Insomnia

2.3%

2.3%

2.9%

1.3%

1.4%

Respiratory

   Pharyngitis

2.3%

1.1%

1.7%

1.6%

2.6%

   Rhinitis

2.0%

1.3%

2.4%

2.3%

0.6%

   Sinusitis

5.0%

4.3%

4.0%

5.4%

5.8%

   Upper Respiratory Infection

8.1%

6.7%

9.9%

9.8%

9.9%

Skin

   Rash

2.2%

2.1%

2.1%

1.3%

1.2%

The following adverse reactions occurred in 0.1 - 1.9% of patients treated with Celecoxib Capsules (100 - 200 mg twice daily or 200 mg once daily):

Gastrointestinal:

Constipation, diverticulitis, dysphagia, eructation, esophagitis, gastritis, gastroenteritis, gastroesophageal reflux, hemorrhoids, hiatal hernia, melena, dry mouth, stomatitis, tenesmus, vomiting

Cardiovascular:

Aggravated hypertension, angina pectoris, coronary artery disorder, myocardial infarction Allergy

General:

aggravated, allergic reaction, chest pain, cyst NOS, edema generalized, face edema, fatigue, fever, hot flushes, influenza-like symptoms, pain, peripheral pain

Central, peripheral nervous system:

Leg cramps, hypertonia, hypoesthesia, migraine, paresthesia, vertigo

Hearing and vestibular:

Deafness, tinnitus

Heart rate and rhythm:

Palpitation, tachycardia

Liver and biliary:

Hepatic function abnormal, SGOT increased, SGPT increased

Metabolic and nutritional:

BUN increased, CPK increased, hypercholesterolemia, hyperglycemia, hypokalemia, NPN increased, creatinine increased, alkaline phosphatase increased, weight increased

Musculoskeletal:

Arthralgia, arthrosis, myalgia, synovitis, tendinitis

Platelets (bleeding or clotting):

Ecchymosis, epistaxis, thrombocythemia

Psychiatric:

Anorexia, anxiety, appetite increased, depression, nervousness, somnolence

Hemic:

Anemia

Respiratory:

Bronchitis, bronchospasm, bronchospasm aggravated, coughing, dyspnea, laryngitis, pneumonia

Skin and appendages:

Alopecia, dermatitis, photosensitivity reaction, pruritus, rash erythematous, rash maculopapular, skin disorder, skin dry, sweating increased, urticaria 

Application site disorders:

Cellulitis, dermatitis contact

Urinary:

Albuminuria, cystitis, dysuria, hematuria, micturition frequency, renal calculus

The following serious adverse events (causality not evaluated) occurred in <0.1% of patients (cases reported only in postmarketing experience are indicated in italics):

Cardiovascular:

Syncope, congestive heart failure, ventricular fibrillation, pulmonary embolism, cerebrovascular accident,

 peripheral gangrene, thrombophlebitis, vasculitis, deep venous thrombosis

Gastrointestinal:

Intestinal obstruction, intestinal perforation, gastrointestinal bleeding, colitis with bleeding, esophageal 

perforation, pancreatitis, ileus

Liver and biliary:

Cholelithiasis, hepatitis, jaundice, liver failure

Hemic and lymphatic:

Thrombocytopenia, agranulocytosis, aplastic anemia, pancytopenia, leucopenia

Metabolic:

Hypoglycemia, hyponatremia

Nervous:

Ataxia, suicide, aseptic meningitis, ageusia, anosmia, fatal intracranial hemorrhage [see Drug Interactions 

(7.1)]

Renal:

Acute renal failure, interstitial nephritis

Skin:

Erythema multiforme, exfoliative dermatitis, Stevens-Johnson syndrome, toxic epidermal necrolysis 

General:

Sepsis, sudden death, anaphylactoid reaction, angioedema

14.5 Analgesia, Including Primary Dysmenorrhea

In acute analgesic models of post-oral surgery pain, post-orthopedic surgical pain, and primary dysmenorrhea, Celecoxib relieved pain that was rated by patients as moderate to severe. Single doses [see Dosage and Administration (2.5)] of Celecoxib provided pain relief within 60 minutes.

5.12 Disseminated Intravascular Coagulation (dic)

Celecoxib Capsules should be used only with caution in pediatric patients with systemic onset JRA due to the risk of disseminated intravascular coagulation.

7.4 Ace Inhibitors and Angiotensin Ii Antagonists

Reports suggest that NSAIDs may diminish the antihypertensive effect of Angiotensin Converting Enzyme (ACE) inhibitors and angiotensin II antagonists. This interaction should be given consideration in patients taking celecoxib concomitantly with ACE inhibitors and angiotensin II antagonists [see Clinical Pharmacology (12.2].

6.2 the Celecoxib Long Term Arthritis Safety Study

[see Special Studies (14.6)]

Hematological Events: The incidence of clinically significant decreases in hemoglobin (>2 g/dL) was lower in patients on Celecoxib 400 mg twice daily (0.5%) compared to patients on either diclofenac 75 mg twice daily (1.3%) or ibuprofen 800 mg three times daily 1.9%. The lower incidence of events with Celecoxib was maintained with or without ASA use [see Clinical Pharmacology (12.2)]. 

Withdrawals/Serious Adverse Events: Kaplan-Meier cumulative rates at 9 months for withdrawals due to adverse events for Celecoxib, diclofenac and ibuprofen were 24%, 29%, and 26%, respectively. Rates for serious adverse events (i.e., causing hospitalization or felt to be life-threatening or otherwise medically significant), regardless of causality, were not different across treatment groups (8%, 7%, and 8%, respectively). 

13.1 Carcinogenesis, Mutagenesis, Impairment of Fertility

Celecoxib was not carcinogenic in rats given oral doses up to 200 mg/kg for males and 10 mg/kg for females (approximately 2-to 4-fold the human exposure as measured by the AUC0-24 at 200 mg twice daily) or in mice given oral doses up to 25 mg/kg for males and 50 mg/kg for females (approximately equal to human exposure as measured by the AUC0-24 at 200 mg twice daily) for two years. Celecoxib was not mutagenic in an Ames test and a mutation assay in Chinese hamster ovary (CHO) cells, nor clastogenic in a chromosome aberration assay in CHO cells and an in vivo micronucleus test in rat bone marrow.

Celecoxib did not impair male and female fertility in rats at oral doses up to 600 mg/kg/day (approximately 11-fold human exposure at 200 mg twice daily based on the AUC0-24).

2.5 Management of Acute Pain and Treatment of Primary Dysmenorrhea

The recommended dose of Celecoxib Capsules is 400 mg initially, followed by an additional 200 mg dose if needed on the first day. On subsequent days, the recommended dose is 200 mg twice daily as needed. 


Structured Label Content

Recent Major Changes (34066-1)

WARNING: CARDIOVASCULAR AND GASTROINTESTINAL RISKS

See full prescribing information for complete boxed warning

Cardiovascular Risk

  • Celecoxib may cause an increased risk of serious cardiovascular thrombotic events, myocardial infarction, and stroke, which can be fatal. All NSAIDs may have a similar risk. This risk may increase with duration of use. Patients with cardiovascular disease or risk factors for cardiovascular disease may be at greater risk. (5.1,14.6)
  • Celecoxib is contraindicated for the treatment of peri-operative pain in the setting of coronary artery bypass graft (CABG) surgery. (4, 5.1)

Gastrointestinal Risk

  • NSAIDs, including Celecoxib, cause an increased risk of serious gastrointestinal adverse events including bleeding, ulceration, and perforation of the stomach or intestines, which can be fatal. These events can occur at any time during use and without warning symptoms. Elderly patients are at greater risk for serious gastrointestinal (GI) events. (5.4)
Section 42229-5 (42229-5)

WARNING: CARDIOVASCULAR AND GASTROINTESTINAL RISKS

Cardiovascular Risk

  • Celecoxib may cause an increased risk of serious cardiovascular thrombotic events, myocardial infarction, and stroke, which can be fatal. All non-steroidal anti-inflammatory drugs (NSAIDs) may have a similar risk. This risk may increase with duration of use. Patients with cardiovascular disease or risk factors for cardiovascular disease may be at greater risk. (5.1,14.6)
  • Celecoxib is contraindicated for the treatment of peri-operative pain in the setting of coronary artery bypass graft (CABG) surgery. (4, 5.1)

Gastrointestinal Risk 

  • NSAIDs, including Celecoxib, cause an increased risk of serious gastrointestinal adverse events including bleeding, ulceration, and perforation of the stomach or intestines, which can be fatal. These events can occur at any time during use and without warning symptoms. Elderly patients are at greater risk for serious gastrointestinal events. (5.4)
Section 42231-1 (42231-1)

Medication Guide for Non-Steroidal Anti-Inflammatory Drugs (NSAIDs)

(See the end of this Medication Guide for a list of prescription NSAID medicines.)

What is the most important information I should know about medicines called Non-Steroidal Anti-Inflammatory Drugs (NSAIDs)?

NSAID medicines may increase the chance of a heart attack or stroke that can lead to death.

This chance increases:

  • with increasing doses of NSAID medicines
  • with longer use of NSAID medicines
  • in people who have heart disease

NSAID medicines should never be used right before or after a heart surgery called a "coronary artery bypass graft (CABG)."

NSAID medicines can cause ulcers and bleeding in the stomach and intestines at any time during treatment. Ulcers and bleeding:

  • can happen without warning symptoms
  • may cause death

The chance of a person getting an ulcer or bleeding increases with:

  • increasing doses of NSAID medicines
  • taking medicines called "corticosteroids" and "anticoagulants"
  • longer use
  • smoking
  • drinking alcohol
  • older age
  • having poor health

NSAID medicines should only be used:

  • exactly as prescribed
  • at the lowest dose possible for your treatment
  • for the shortest time needed

What are Non-Steroidal Anti-Inflammatory Drugs (NSAIDs)?

NSAID medicines are used to treat pain and redness, swelling, and heat (inflammation) from medical conditions such as:

  • different types of arthritis
  • menstrual cramps and other types of short-term pain

Who should not take a Non-Steroidal Anti-Inflammatory Drug (NSAID)?

Do not take an NSAID medicine:

  • if you had an asthma attack, hives, or other allergic reaction with aspirin or any other NSAID medicine
  • for pain right before or after heart bypass surgery

Tell your healthcare provider:

  • about all of your medical conditions.
  • about all of the medicines you take. NSAIDs and some other medicines can interact with each other and cause serious side effects. Keep a list of your medicines to show to your healthcare provider and pharmacist.
  • if you are pregnant, NSAID medicines should not be used past 30 weeks of pregnancy.
  • if you are breastfeeding, talk to your doctor.

What are the possible side effects of Non-Steroidal Anti-Inflammatory Drugs (NSAIDs)?

Serious side effects include:

Other side effects include:

●   heart attack

●   stomach pain

●   heart attack

●   constipation

●   stroke

●   diarrhea

●   high blood pressure

●   gas

●   heart failure from body swelling (fluid retention)

●   heartburn

●   kidney problems including kidney failure

●   nausea 

●   bleeding and ulcers in the stomach and intestine

●   vomiting

●   low red blood cells (anemia)

●   dizziness

●   life-threatening skin reactions

●   life-threatening allergic reactions 

●   liver problems including liver failure 

●   asthma attacks in people who have asthma

Get emergency help right away if you have any of the following symptoms:

●    shortness of breath or trouble breathing  

●    slurred speech

●    chest pain

●    swelling of the face or throat

●    weakness in one part or side of your body

Stop your NSAID medicine and call your healthcare provider right away if you have any of the following symptoms:

●    nausea 

●    more tired or weaker than usual

●    vomit blood 

●    itching  

●    there is blood in your bowel movement or it is black and sticky like tar 

●    your skin or eyes look yellow  

●    unusual weight gain 

●    stomach pain   

●    skin rash or blisters with fever

●    flu-like symptoms

●    swelling of the arms and legs, hands and feet

These are not all the side effects with NSAID medicines. Talk to your healthcare provider or pharmacist for more information about NSAID medicines.

Call your doctor for medical advice about side effects. You may report side effects to FDA at 1-800-FDA-1088.

Other information about Non-Steroidal Anti-Inflammatory Drugs (NSAIDs)

  • Aspirin is an NSAID medicine but it does not increase the chance of a heart attack. Aspirin can cause bleeding in the brain, stomach, and intestines. Aspirin can also cause ulcers in the stomach and intestines.
  • Some of these NSAID medicines are sold in lower doses without a prescription (over -the -counter). Talk to your healthcare provider before using over -the -counter NSAIDs for more than 10 days.
NSAID medicines requiring a prescription

Generic Name

Tradename

Celecoxib

Celebrex



Diclofenac

Zorvolex, Cataflam, Cambia, Voltaren, Voltaren gel, Arthrotec 

(combined with misoprostol), Flector, Zipsor, Pennsaid 

Diflunisal

Dolobid

Etodolac

Lodine, Lodine XL

Fenoprofen

Nalfon, Nalfon 200

Flurbiprofen

Ansaid

Ibuprofen

Motrin, Tab-Profen, 

Vicoprofen contains the same dose of ibuprofen as over-the-counter (OTC) NSAIDs, and is usually used for less than 10 days to treat pain. The OTC NSAID label warns that long term continuous use may increase the risk of heart attack or stroke.
Vicoprofen (combined with hydrocodone), 

Combunox (combined with oxycodone), Duexis (combined with famotidine) 

Indomethacin

Tivorbex, Indocin, Indocin SR, Indo-Lemmon, Indomethagan

Ketoprofen

Oruvail, Nexcede 

Ketorolac

Toradol, Sprix 

Mefenamic Acid

Ponstel

Meloxicam

Mobic

Nabumetone

Relafen

Naproxen

Naprosyn, Anaprox, Anaprox DS, EC-Naprosyn, Naprelan, 

Naprapac (copackaged with lansoprazole), Treximet (combined 

with sumatriptan succinate) and Vimovo (combined with 

esomeprazole magnesium) 

Oxaprozin

Daypro

Piroxicam

Feldene

Sulindac

Clinoril

Tolmetin

Tolectin, Tolectin DS, Tolectin 600

This Medication Guide has been approved by the U.S. Food and Drug Administration

Disclaimer: Other Brands listed are the registered trademarks of their respective owners and are not trademarks of Cipla Limited.

Manufactured by: Cipla Ltd,

Kurkumbh, India

Manufactured for: Cipla USA, Inc.

9100 S. Dadeland Blvd., Suite 1500 Miami, FL 33156

Revised: 7/2015

Repackaged by:

Proficient Rx LP

Thousand Oaks, CA 91320

7.2 Lithium

In a study conducted in healthy subjects, mean steady-state lithium plasma levels increased approximately 17% in subjects receiving lithium 450 mg twice daily with Celecoxib Capsules 200 mg twice daily as compared to subjects receiving lithium alone. Patients on lithium treatment should be closely monitored when Celecoxib Capsules is introduced or withdrawn. 

7.3 Aspirin

Celecoxib can be used with low-dose aspirin. However, concomitant administration of aspirin with celecoxib increases the rate of GI ulceration or other complications, compared to use of celecoxib alone [see Warnings and Precautions (5.1, 5.4) and Clinical Studies (14.6)]. Because of its lack of platelet effects, celecoxib is not a substitute for aspirin for cardiovascular prophylaxis [see Clinical Pharmacology (12.2)].  

7.1 Warfarin

Anticoagulant activity should be monitored, particularly in the first few days, after initiating or changing Celecoxib therapy in patients receiving warfarin or similar agents, since these patients are at an increased risk of bleeding complications. The effect of Celecoxib on the anticoagulant effect of warfarin was studied in a group of healthy subjects receiving daily 2-5 mg doses of warfarin. In these subjects, Celecoxib did not alter the anticoagulant effect of warfarin as determined by prothrombin time. However, in postmarketing experience, serious bleeding events, some of which were fatal, have been reported, predominantly in the elderly, in association with increases in prothrombin time in patients receiving Celecoxib concurrently with warfarin. 

10 Overdosage (10 OVERDOSAGE)

No overdoses of Celecoxib Capsules were reported during clinical trials. Doses up to 2400 mg/day for up to 10 days in 12 patients did not result in serious toxicity. Symptoms following acute NSAID overdoses are usually limited to lethargy, drowsiness, nausea, vomiting, and epigastric pain, which are generally reversible with supportive care. Gastrointestinal bleeding can occur. Hypertension, acute renal failure, respiratory depression and coma may occur, but are rare. Anaphylactoid reactions have been reported with therapeutic ingestion of NSAIDs, and may occur following an overdose. 

Patients should be managed by symptomatic and supportive care following an NSAID overdose. There are no specific antidotes. No information is available regarding the removal of celecoxib by hemodialysis, but based on its high degree of plasma protein binding (>97%) dialysis is unlikely to be useful in overdose. Emesis and/or activated charcoal (60 to 100 g in adults, 1 to 2 g/kg in children) and/or osmotic cathartic may be indicated in patients seen within 4 hours of ingestion with symptoms or following a large overdose. Forced diuresis, alkalinization of urine, hemodialysis, or hemoperfusion may not be useful due to high protein binding.

5.9 Pregnancy

In late pregnancy, starting at 30 weeks gestation, celecoxib should be avoided because it may cause premature closure of the ductus arteriosus [see Use in Specific Populations (8.1)]. 

8.1 Pregnancy

Pregnancy Category C. Pregnancy category D from 30 weeks of gestation onward

Teratogenic effects: Celecoxib at oral doses ≥150 mg/kg/day (approximately 2-fold human exposure at 200 mg twice daily as measured by AUC0-24), caused an increased incidence of ventricular septal defects, a rare event, and fetal alterations, such as ribs fused, sternebrae fused and sternebrae misshapen when rabbits were treated throughout organogenesis. A dose-dependent increase in diaphragmatic hernias was observed when rats were given celecoxib at oral doses  ≥30 mg/kg/day (approximately 6-fold human exposure based on the AUC0-24 at 200 mg twice daily) throughout organogenesis. There are no studies in pregnant women. Celecoxib should be used during pregnancy only if the potential benefit justifies the potential risk to the fetus.

Nonteratogenic effects: Celecoxib produced pre-implantation and post-implantation losses and reduced embryo/fetal survival in rats at oral dosages ≥50 mg/kg/day (approximately 6-fold human exposure based on the AUC0-24 at 200 mg twice daily). These changes are expected with inhibition of prostaglandin synthesis and are not the result of permanent alteration of female reproductive function, nor are they expected at clinical exposures. No studies have been conducted to evaluate the effect of celecoxib on the closure of the ductus arteriosus in humans. Therefore, use of celecoxib during the third trimester of pregnancy should be avoided. 

11 Description (11 DESCRIPTION)

Celecoxib is chemically designated as 4-[5-(4-methylphenyl) - 3-(trifluoromethyl)-1H-pyrazol-1-yl] benzenesulfonamide and is a diaryl-substituted pyrazole. The empirical formula is C17H14F3N3O2S, and the molecular weight is 381.38; the chemical structure is as follows:

Celecoxib oral capsules contain either 50 mg, 100 mg, 200 mg or 400 mg of celecoxib, together with inactive ingredients including: croscarmellose sodium, edible inks, gelatin, lactose monohydrate, magnesium stearate, povidone and sodium lauryl sulfate.

7.6 Furosemide

Clinical studies, as well as post-marketing observations, have shown that NSAIDs can reduce the natriuretic effect of furosemide and thiazides in some patients. This response has been attributed to inhibition of renal prostaglandin synthesis.

7.5 Fluconazole

Concomitant administration of fluconazole at 200 mg once daily resulted in a two-fold increase in celecoxib plasma concentration. This increase is due to the inhibition of celecoxib metabolism via P450 2C9 by fluconazole [see Clinical Pharmacology (12.3)]. Celecoxib should be introduced at the lowest recommended dose in patients receiving fluconazole. 

5.2 Hypertension

As with all NSAIDs, celecoxib can lead to the onset of new hypertension or worsening of preexisting hypertension, either of which may contribute to the increased incidence of CV events. Patients taking thiazides or loop diuretics may have impaired response to these therapies when taking NSAIDs. NSAIDs, including celecoxib, should be used with caution in patients with hypertension. Blood pressure should be monitored closely during the initiation of therapy with celecoxib and throughout the course of therapy. The rates of hypertension from the CLASS trial in the celecoxib, ibuprofen and diclofenac-treated patients were 2.4%, 4.2% and 2.5%, respectively [see Clinical Studies (14.6)].   

7.7 Methotrexate

In an interaction study of rheumatoid arthritis patients taking methotrexate, celecoxib did not have an effect on the pharmacokinetics of methotrexate [see Clinical Pharmacology (12.3)]. 

5.15 Inflammation

The pharmacological activity of celecoxib in reducing inflammation, and possibly fever, may diminish the utility of these diagnostic signs in detecting infectious complications of presumed noninfectious, painful conditions. 

5.6 Renal Effects

Long-term administration of NSAIDs has resulted in renal papillary necrosis and other renal injury. Renal toxicity has also been seen in patients in whom renal prostaglandins have a compensatory role in the maintenance of renal perfusion. In these patients, administration of an NSAID may cause a dose-dependent reduction in prostaglandin formation and, secondarily, in renal blood flow, which may precipitate overt renal decompensation. Patients at greatest risk of this reaction are those with impaired renal function, heart failure, liver dysfunction, those taking diuretics, ACE-inhibitors, angiotensin II receptor antagonists, and the elderly. Discontinuation of NSAID therapy is usually followed by recovery to the pretreatment state. Clinical trials with Celecoxib Capsules have shown renal effects similar to those observed with comparator NSAIDs.

No information is available from controlled clinical studies regarding the use of celecoxib in patients with advanced renal disease. Therefore, treatment with celecoxib is not recommended in these patients with advanced renal disease. If celecoxib therapy must be initiated, close monitoring of the patient's renal function is advisable. 

8.4 Pediatric Use

Celecoxib Capsules is approved for relief of the signs and symptoms of Juvenile Rheumatoid Arthritis in patients 2 years and older. Safety and efficacy have not been studied beyond six months in children. The long-term cardiovascular toxicity in children exposed to Celecoxib Capsules has not been evaluated and it is unknown if long-term risks may be similar to that seen in adults exposed to Celecoxib Capsules or other COX-2 selective and non-selective NSAIDs [(see Boxed Warning, Warnings and Precautions (5.12), and Clinical Studies (14.3)]. 

The use of Celecoxib Capsules in patients 2 years to 17 years of age with pauciarticular, polyarticular course JRA or in patients with systemic onset JRA was studied in a 12-week, double-blind, active controlled, pharmacokinetic, safety and efficacy study, with a 12-week open-label extension. Celecoxib Capsules has not been studied in patients under the age of 2 years, in patients with body weight less than 10 kg (22 lbs), and in patients with active systemic features. Patients with systemic onset JRA (without active systemic features) appear to be at risk for the development of abnormal coagulation laboratory tests. In some patients with systemic onset JRA, both celecoxib and naproxen were associated with mild prolongation of activated partial thromboplastin time (APTT) but not prothrombin time (PT).

NSAIDs including Celecoxib Capsules should be used only with caution in patients with systemic onset JRA, due to the risk of disseminated intravascular coagulation. Patients with systemic onset JRA should be monitored for the development of abnormal coagulation tests [see Dosage and Administration (2.3), Warnings and Precautions (5,.12), Adverse Reactions (6.3), Animal Toxicology (13.2), Clinical Studies (14.3)].

Alternative therapies for treatment of JRA should be considered in pediatric patients identified to be CYP2C9 poor metabolizers [see Poor Metabolizers of CYP2C9 substrates (8.8)].

8.5 Geriatric Use

Of the total number of patients who received Celecoxib Capsules in pre-approval clinical trials, more than 3,300 were 65-74 years of age, while approximately 1,300 additional patients were 75 years and over. No substantial differences in effectiveness were observed between these subjects and younger subjects. In clinical studies comparing renal function as measured by the GFR, BUN and creatinine, and platelet function as measured by bleeding time and platelet aggregation, the results were not different between elderly and young volunteers. However, as with other NSAIDs, including those that selectively inhibit COX-2, there have been more spontaneous post-marketing reports of fatal GI events and acute renal failure in the elderly than in younger patients [see Warnings and Precautions (5.4, 5.6)].

2.1 Osteoarthritis

For relief of the signs and symptoms of OA the recommended oral dose is 200 mg per day administered as a single dose or as 100 mg twice daily.

5.8 Skin Reactions

Celecoxib is a sulfonamide and can cause serious skin adverse events such as exfoliative dermatitis, Stevens-Johnson syndrome (SJS) and toxic epidermal necrolysis (TEN) which can be fatal. These serious events can occur without warning and in patients without prior known sulfa allergy. Patients should be informed about the signs and symptoms of serious skin manifestations and use of the drug should be discontinued at the first appearance of skin rash or any other sign of hypersensitivity.

1.5 Acute Pain (ap) (1.5 Acute Pain (AP))

Celecoxib Capsules is indicated for the management of AP in adults [see Clinical Studies (14.5)]

14.1 Osteoarthritis

Celecoxib has demonstrated significant reduction in joint pain compared to placebo. Celecoxib was evaluated for treatment of the signs and the symptoms of OA of the knee and hip in placebo- and active-controlled clinical trials of up to 12 weeks duration. In patients with OA, treatment with Celecoxib Capsules 100 mg twice daily or 200 mg once daily resulted in improvement in WOMAC (Western Ontario and McMaster Universities) osteoarthritis index, a composite of pain, stiffness, and functional measures in OA. In three 12-week studies of pain accompanying OA flare, Celecoxib Capsules doses of 100 mg twice daily and 200 mg twice daily provided significant reduction of pain within 24-48 hours of initiation of dosing. At doses of 100 mg twice daily or 200 mg twice daily the effectiveness of celecoxib was shown to be similar to that of naproxen 500 mg twice daily. Doses of 200 mg twice daily provided no additional benefit above that seen with 100 mg twice daily. A total daily dose of 200 mg has been shown to be equally effective whether administered as 100 mg twice daily or 200 mg once daily. 

4 Contraindications (4 CONTRAINDICATIONS)
  • Known hypersensitivity to celecoxib or sulfonamides (4)
  • History of asthma, urticaria, or other allergic-type reactions after taking aspirin or other NSAIDs (4,5.7, 5.8, 5.13)
  • Use during the perioperative period in the setting of coronary artery bypass graft (CABG) surgery (4,5.1)
5.5 Hepatic Effects

Borderline elevations of one or more liver-associated enzymes may occur in up to 15% of patients taking NSAIDs, and notable elevations of ALT or AST (approximately 3 or more times the upper limit of normal) have been reported in approximately 1% of patients in clinical trials with NSAIDs. These laboratory abnormalities may progress, may remain unchanged, or may be transient with continuing therapy. Rare cases of severe hepatic reactions, including jaundice and fatal fulminant hepatitis, liver necrosis and hepatic failure (some with fatal outcome) have been reported with NSAIDs, including celecoxib [see Adverse Reactions (6.1)]. In controlled clinical trials of Celecoxib Capsules, the incidence of borderline elevations (greater than or equal to 1.2 times and less than 3 times the upper limit of normal) of liver associated enzymes was 6% for Celecoxib Capsules and 5% for placebo, and approximately 0.2% of patients taking Celecoxib Capsules and 0.3% of patients taking placebo had notable elevations of ALT and AST. A patient with symptoms and/or signs suggesting liver dysfunction, or in whom an abnormal liver test has occurred, should be monitored carefully for evidence of the development of a more severe hepatic reaction while on therapy with Celecoxib Capsules. If clinical signs and symptoms consistent with liver disease develop, or if systemic manifestations occur (e.g., eosinophilia, rash, etc.), Celecoxib Capsules should be discontinued.

6 Adverse Reactions (6 ADVERSE REACTIONS)

Most common adverse reactions in arthritis trials (>2% and >placebo): abdominal pain, diarrhea, dyspepsia, flatulence, peripheral edema, accidental injury, dizziness, pharyngitis, rhinitis, sinusitis, upper respiratory tract infection, rash (6.1).

To report SUSPECTED ADVERSE REACTIONS, contact Cipla Ltd, at 1-866-604-3268 or FDA at 1-800-FDA-1088 or www.fda.gov/medwatch

7 Drug Interactions (7 DRUG INTERACTIONS)
  • Concomitant use of Celecoxib and warfarin may result in increased risk of bleeding complications. (7.1)
  • Concomitant use of Celecoxib increases lithium plasma levels. (7.2)
  • Concomitant use of Celecoxib may reduce the antihypertensive effect of ACE Inhibitors and angiotensin II antagonists. (7.4)
  • Use caution with drugs known to inhibit P450 2C9 or metabolized by 2D6 due to the potential for increased plasma levels (2.6, 8.4, 8.8,12.3)
8.3 Nursing Mothers

Limited data from 3 published reports that included a total of 12 breastfeeding women showed low levels of Celecoxib in breast milk. The calculated average daily infant dose was 10-40 mcg/kg/day, less than 1% of the weight-based therapeutic dose for a two-year old-child. A report of two breastfed infants 17 and 22 months of age did not show any adverse events. Caution should be exercised when Celecoxib is administered to a nursing woman.  

14.6 Special Studies

Adenomatous Polyp Prevention Studies: 

Cardiovascular safety was evaluated in two randomized, double-blind, placebo-controlled, three year studies involving patients with Sporadic Adenomatous Polyps treated with Celecoxib Capsules: the APC trial (Adenoma Prevention with Celecoxib) and the PreSAP trial (Prevention of Spontaneous Adenomatous Polyps). In the APC trial, there was a dose-related increase in the composite endpoint (adjudicated) of cardiovascular death, myocardial infarction, or stroke with celecoxib compared to placebo over 3 years of treatment. The PreSAP trial did not demonstrate a statistically significant increased risk for the same composite endpoint (adjudicated):

  • In the APC trial, the hazard ratios compared to placebo for a composite endpoint (adjudicated) of cardiovascular death, myocardial infarction, or stroke were 3.4 (95% CI 1.4 - 8.5) with celecoxib 400 mg twice daily and 2.8 (95% CI 1.1 - 7.2) with celecoxib 200 mg twice daily. Cumulative rates for this composite endpoint over 3 years were 3.0% (20/671 subjects) and 2.5% (17/685 subjects), respectively, compared to 0.9% (6/679 subjects) with placebo treatment. The increases in both celecoxib dose groups versus placebo-treated patients were mainly due to an increased incidence of myocardial infarction.
  • In the PreSAP trial, the hazard ratio for this same composite endpoint (adjudicated) was 1.2 (95% CI 0.6 - 2.4) with celecoxib 400 mg once daily compared to placebo. Cumulative rates for this composite endpoint over 3 years were 2.3% (21/933 subjects) and 1.9% (12/628 subjects), respectively.

Clinical trials of other COX-2 selective and non-selective NSAIDs of up to three-years duration have shown an increased risk of serious cardiovascular thrombotic events, myocardial infarction, and stroke, which can be fatal. As a result, all NSAIDs are considered potentially associated with this risk.

Celecoxib Long-Term Arthritis Safety Study (CLASS):

This was a prospective, long-term, safety outcome study conducted post-marketing in approximately 5,800 OA patients and 2,200 RA patients. Patients received Celecoxib Capsules 400 mg twice daily (4-fold and 2-fold the recommended OA and RA doses, respectively), ibuprofen 800 mg three times daily or diclofenac 75 mg twice daily (common therapeutic doses). Median exposures for celecoxib (n = 3,987) and diclofenac (n = 1,996) were 9 months while ibuprofen (n = 1,985) was 6 months. The primary endpoint of this outcome study was the incidence of complicated ulcers (gastrointestinal bleeding, perforation or obstruction). Patients were allowed to take concomitant low-dose (£ 325 mg/day) aspirin (ASA) for cardiovascular prophylaxis (ASA subgroups: celecoxib, n = 882; diclofenac, n = 445; ibuprofen, n = 412). Differences in the incidence of complicated ulcers between celecoxib and the combined group of ibuprofen and diclofenac were not statistically significant.  

Patients on celecoxib and concomitant low-dose ASA (N=882) experienced 4-fold higher rates of complicated ulcers compared to those not on ASA (N=3105). The Kaplan-Meier rate for complicated ulcers at 9 months was 1.12% versus 0.32% for those on low dose ASA and those not on ASA, respectively [see Warnings and Precautions (5.4)]. 

The estimated cumulative rates at 9 months of complicated and symptomatic ulcers for patients treated with Celecoxib Capsules 400 mg twice daily are described in Table 4. Table 4 also displays results for patients less than or greater than 65 years of age. The difference in rates between celecoxib alone and celecoxib with ASA groups may be due to the higher risk for GI events in ASA users.

Table 4: Complicated and Symptomatic Ulcer Rates in Patients Taking Celecoxib Capsules 400 mg Twice Daily (Kaplan-Meier Rates at 9 months [%]) Based on Risk Factors

All Patients 

   Celecoxib alone (n=3105) 

0.78

   Celecoxib with ASA (n=882)

2.19

Patients <65 Years

   Celecoxib alone (n=2025) 

0.47

   Celecoxib with ASA (n=403)

1.26

Patients ≥65 Years

   Celecoxib alone (n=1080)

1.40

   Celecoxib with ASA (n=479)

3.06

In a small number of patients with a history of ulcer disease, the complicated and symptomatic ulcer rates in patients taking celecoxib alone or celecoxib with ASA were, respectively, 2.56% (n=243) and 6.85% (n=91) at 48 weeks. These results are to be expected in patients with a prior history of ulcer disease [see Warnings and Precautions (5.4) and Adverse Reactions (6.1)].

Cardiovascular safety outcomes were also evaluated in the CLASS trial. Kaplan-Meier cumulative rates for investigator-reported serious cardiovascular thromboembolic adverse events (including MI, pulmonary embolism, deep venous thrombosis, unstable angina, transient ischemic attacks, and ischemic cerebrovascular accidents) demonstrated no differences between the celecoxib, diclofenac, or ibuprofen treatment groups. The cumulative rates in all patients at nine months for celecoxib, diclofenac, and ibuprofen were 1.2%, 1.4%, and 1.1%, respectively. The cumulative rates in non-ASA users at nine months in each of the three treatment groups were less than 1%. The cumulative rates for myocardial infarction in non-ASA users at nine months in each of the three treatment groups were less than 0.2%. There was no placebo group in the CLASS trial, which limits the ability to determine whether the three drugs tested had no increased risk of CV events or if they all increased the risk to a similar degree. 

Endoscopic Studies:  The correlation between findings of short-term endoscopic studies with Celecoxib Capsules and the relative incidence of clinically significant serious upper GI events with long-term use has not been established. Serious clinically significant upper GI bleeding has been observed in patients receiving Celecoxib Capsules in controlled and open-labeled trials [see Warnings and Precautions (5.4) and Clinical Studies (14.6)] 

A randomized, double-blind study in 430 RA patients was conducted in which an endoscopic examination was performed at 6 months. The incidence of endoscopic ulcers in patients taking Celecoxib Capsules 200 mg twice daily was 4% vs. 15% for patients taking diclofenac SR 75 mg twice daily. However, Celecoxib was not statistically different than diclofenac for clinically relevant GI outcomes in the CLASS trial [see Clinical Studies (14.6)].  

The incidence of endoscopic ulcers was studied in two 12-week, placebo-controlled studies in 2157 OA and RA patients in whom baseline endoscopies revealed no ulcers. There was no dose relationship for the incidence of gastroduodenal ulcers and the dose of Celecoxib Capsules (50 mg to 400 mg twice daily). The incidence for naproxen 500 mg twice daily was 16.2 and 17.6% in the two studies, for placebo was 2.0 and 2.3%, and for all doses of Celecoxib Capsules the incidence ranged between 2.7%-5.9%. There have been no large, clinical outcome studies to compare clinically relevant GI outcomes with Celecoxib Capsules and naproxen.

In the endoscopic studies, approximately 11% of patients were taking aspirin (£ 325 mg/day). In the celecoxib groups, the endoscopic ulcer rate appeared to be higher in aspirin users than in non-users. However, the increased rate of ulcers in these aspirin users was less than the endoscopic ulcer rates observed in the active comparator groups, with or without aspirin. 

17.4 Hepatic Effects

Patients should be informed of the warning signs and symptoms of hepatotoxicity (e.g., nausea, fatigue, lethargy, pruritus, jaundice, right upper quadrant tenderness, and "flu-like" symptoms). Patients should be instructed that they should stop therapy and seek immediate medical therapy if these signs and symptoms occur [see Warnings and Precautions (5.5), Use in Specific Populations (8.6)].

12.2 Pharmacodynamics

Platelets: In clinical trials using normal volunteers, Celecoxib Capsules at single doses up to 800 mg and multiple doses of 600 mg twice daily for up to 7 days duration (higher than recommended therapeutic doses) had no effect on reduction of platelet aggregation or increase in bleeding time. Because of its lack of platelet effects, Celecoxib Capsules is not a substitute for aspirin for cardiovascular prophylaxis. It is not known if there are any effects of Celecoxib Capsules on platelets that may contribute to the increased risk of serious cardiovascular thrombotic adverse events associated with the use of Celecoxib Capsules.   

Fluid Retention: Inhibition of PGE2 synthesis may lead to sodium and water retention through increased reabsorption in the renal medullary thick ascending loop of Henle and perhaps other segments of the distal nephron. In the collecting ducts, PGE2 appears to inhibit water reabsorption by counteracting the action of antidiuretic hormone.

12.3 Pharmacokinetics

Absorption: Peak plasma levels of celecoxib occur approximately 3 hrs after an oral dose. Under fasting conditions, both peak plasma levels (Cmax) and area under the curve (AUC) are roughly dose-proportional up to 200 mg BID; at higher doses there are less than proportional increases in Cmax and AUC [see Food Effects]. Absolute bioavailability studies have not been conducted. With multiple dosing, steady-state conditions are reached on or before Day 5. The pharmacokinetic parameters of celecoxib in a group of healthy subjects are shown in Table 3.

Table 3: Summary of Single Dose (200 mg) Disposition Kinetics of Celecoxib in Healthy Subjects1
1Subjects under fasting conditions (n=36, 19-52 yrs.)

Mean (%CV) PK Parameter Values

Cmax, ng/mL

Tmax, hr

Effective t1/2, hr

Vss/F, L

CL/F, L/hr

705 (38)

2.8 (37)

11.2 (31)

429 (34)

27.7 (28)

Food Effects: When Celecoxib Capsules were taken with a high fat meal, peak plasma levels were delayed for about 1 to 2 hours with an increase in total absorption (AUC) of 10% to 20%. Under fasting conditions, at doses above 200 mg, there is less than a proportional increase in Cmax and AUC, which is thought to be due to the low solubility of the drug in aqueous media.   

Coadministration of celecoxib with an aluminum- and magnesium-containing antacids resulted in a reduction in plasma celecoxib concentrations with a decrease of 37% in Cmax and 10% in AUC. Celecoxib Capsules, at doses up to 200 mg twice daily, can be administered without regard to timing of meals. Higher doses (400 mg twice daily) should be administered with food to improve absorption.

In healthy adult volunteers, the overall systemic exposure (AUC) of celecoxib was equivalent when celecoxib was administered as intact capsule or capsule contents sprinkled on applesauce. There were no significant alterations in Cmax, Tmax or t1/2 after administration of capsule contents on applesauce [see Dosage and Administration (2)].

Distribution: In healthy subjects, celecoxib is highly protein bound (~97%) within the clinical dose range. In vitro studies indicate that celecoxib binds primarily to albumin and, to a lesser extent, a1-acid glycoprotein. The apparent volume of distribution at steady state (Vss/F) is approximately 400 L, suggesting extensive distribution into the tissues. Celecoxib is not preferentially bound to red blood cells.

Metabolism: Celecoxib metabolism is primarily mediated via CYP2C9. Three metabolites, a primary alcohol, the corresponding carboxylic acid and its glucuronide conjugate, have been identified in human plasma. These metabolites are inactive as COX-1 or COX-2 inhibitors.

Excretion: Celecoxib is eliminated predominantly by hepatic metabolism with little (<3%) unchanged drug recovered in the urine and feces. Following a single oral dose of radiolabeled drug, approximately 57% of the dose was excreted in the feces and 27% was excreted into the urine. The primary metabolite in both urine and feces was the carboxylic acid metabolite (73% of dose) with low amounts of the glucuronide also appearing in the urine. It appears that the low solubility of the drug prolongs the absorption process making terminal half-life (t1/2) determinations more variable. The effective half-life is approximately 11 hours under fasted conditions. The apparent plasma clearance (CL/F) is about 500 mL/min.

Geriatric: At steady state, elderly subjects (over 65 years old) had a 40% higher Cmax and a 50% higher AUC compared to the young subjects. In elderly females, celecoxib Cmax and AUC are higher than those for elderly males, but these increases are predominantly due to lower body weight in elderly females. Dose adjustment in the elderly is not generally necessary. However, for patients of less than 50 kg in body weight, initiate therapy at the lowest recommended dose [see Dosage and Administration (2.6) and Use in Specific Populations (8.5)].

Pediatric: The steady state pharmacokinetics of celecoxib administered as an investigational oral suspension was evaluated in 152 JRA patients 2 years to 17 years of age weighing ≥10 kg with pauciarticular or polyarticular course JRA and in patients with systemic onset JRA. Population pharmacokinetic analysis indicated that the oral clearance (unadjusted for body weight) of celecoxib increases less than proportionally to increasing weight, with 10 kg and 25 kg patients predicted to have 40% and 24% lower clearance, respectively, compared with a 70 kg adult RA patient. 

Twice-daily administration of 50 mg capsules to JRA patients weighing ≥12 to £25 kg and 100 mg capsules to JRA patients weighing >25 kg should achieve plasma concentrations similar to those observed in a clinical trial that demonstrated the non-inferiority of celecoxib to naproxen 7.5 mg/kg twice daily (see Dosage and Administration (2.3). Celecoxib has not been studied in JRA patients under the age of 2 years, in patients with body weight less than 10 kg (22 lbs), or beyond 24 weeks.

Race: Meta-analysis of pharmacokinetic studies has suggested an approximately 40% higher AUC of celecoxib in Blacks compared to Caucasians. The cause and clinical significance of this finding is unknown.

Hepatic Insufficiency: A pharmacokinetic study in subjects with mild (Child-Pugh Class A) and moderate (Child-Pugh Class B) hepatic impairment has shown that steady-state celecoxib AUC is increased about 40% and 180%, respectively, above that seen in healthy control subjects. Therefore, the daily recommended dose of Celecoxib Capsules should be reduced by approximately 50% in patients with moderate (Child-Pugh Class B) hepatic impairment. Patients with severe hepatic impairment (Child-Pugh Class C) have not been studied. The use of celecoxib in patients with severe hepatic impairment is not recommended [see Dosage and Administration (2.6) and Use in Specific Populations (8.6)].  

Renal Insufficiency: In a cross-study comparison, celecoxib AUC was approximately 40% lower in patients with chronic renal insufficiency (GFR 35-60 mL/min) than that seen in subjects with normal renal function. No significant relationship was found between GFR and celecoxib clearance. Patients with severe renal insufficiency have not been studied. Similar to other NSAIDs, celecoxib is not recommended in patients with severe renal insufficiency [see Warnings and Precautions (5.6)]. 

Drug interactions:

In vitro studies indicate that Celecoxib is not an inhibitor of cytochrome P450 2C9, 2C19 or 3A4.

In vivo studies have shown the following:

Lithium: In a study conducted in healthy subjects, mean steady-state lithium plasma levels increased approximately 17% in subjects receiving lithium 450 mg twice daily with Celecoxib Capsules 200 mg twice daily as compared to subjects receiving lithium alone [see Drug Interactions (7.2)]. 

Fluconazole: Concomitant administration of fluconazole at 200 mg once daily resulted in a two-fold increase in celecoxib plasma concentration. This increase is due to the inhibition of Celecoxib metabolism via P450 2C9 by fluconazole [see Drug Interactions (7.5)].

Other Drugs: The effects of celecoxib on the pharmacokinetics and/or pharmacodynamics of glyburide, ketoconazole, methotrexate [see Drug Interactions (7.7)], phenytoin, and tolbutamide have been studied in vivo and clinically important interactions have not been found.

12.4 Pharmacogenomics

CYP2C9 activity is reduced in individuals with genetic polymorphisms that lead to reduced enzyme activity, such as those homozygous for the CYP2C9*2 and CYP2C9*3 polymorphisms. Limited data from 4 published reports that included a total of 8 subjects with the homozygous CYP2C9*3/*3 genotype showed celecoxib systemic levels that were 3- to 7-fold higher in these subjects compared to subjects with CYP2C9*1/*1 or *I/*3 genotypes. The pharmacokinetics of celecoxib have not been evaluated in subjects with other CYP2C9 polymorphisms, such as *2, *5, *6, *9 and *11. It is estimated that the frequency of the homozygous *3/ *3 genotype is 0.3% to 1.0% in various ethnic groups. [see Dosage and Administration (2.6), Use in Specific Populations (8.8)].

17.1 Medication Guide

Patients should be informed of the availability of a Medication Guide for NSAIDs that accompanies each prescription dispensed, and should be instructed to read the Medication Guide prior to using Celecoxib Capsules.

5.14 Laboratory Tests

Because serious GI tract ulcerations and bleeding can occur without warning symptoms, physicians should monitor for signs or symptoms of GI bleeding. Patients on long-term treatment with NSAIDs should have a CBC and a chemistry profile checked periodically. If abnormal liver tests or renal tests persist or worsen, Celecoxib Capsules should be discontinued. In controlled clinical trials, elevated BUN occurred more frequently in patients receiving Celecoxib Capsules compared with patients on placebo. This laboratory abnormality was also seen in patients who received comparator NSAIDs in these studies. The clinical significance of this abnormality has not been established. 

13.2 Animal Toxicology

An increase in the incidence of background findings of spermatocele with or without secondary changes such as epididymal hypospermia as well as minimal to slight dilation of the seminiferous tubules was seen in the juvenile rat. These reproductive findings while apparently treatment-related did not increase in incidence or severity with dose and may indicate an exacerbation of a spontaneous condition. Similar reproductive findings were not observed in studies of juvenile or adult dogs or in adult rats treated with celecoxib. The clinical significance of this observation is unknown.

8.2 Labor and Delivery

Celecoxib produced no evidence of delayed labor or parturition at oral doses up to 100 mg/kg in rats (approximately 7-fold human exposure as measured by the AUC0-24 at 200 mg BID). The effects of Celecoxib on labor and delivery in pregnant women are unknown. 

1 Indications and Usage (1 INDICATIONS AND USAGE)

Celecoxib Capsule is a non-steroidal anti-inflammatory drug indicated for:

  • Osteoarthritis (OA) (1.1)
  • Rheumatoid Arthritis (RA) (1.2)
  • Juvenile Rheumatoid Arthritis (JRA) in patients 2 years and older (1.3)
  • Ankylosing Spondylitis (AS) (1.4)
  • Acute Pain (AP) (1.5)
  • Primary Dysmenorrhea (PD) (1.6)
1.1 Osteoarthritis (oa) (1.1 Osteoarthritis (OA))

Celecoxib Capsules is indicated for relief of the signs and symptoms of OA [see Clinical Studies (14.1)]

17.9 Preexisting Asthma

Patients should be instructed to tell their physicians if they have a history of asthma or aspirin-sensitive asthma because the use of NSAIDs in patients with aspirin-sensitive asthma has been associated with severe bronchospasm, which can be fatal. Patients with this form of aspirin sensitivity should be instructed not to take Celecoxib Capsules. Patients with preexisting asthma should be instructed to seek immediate medical attention if their asthma worsens after taking Celecoxib Capsules [see Warnings and Precautions (5.13)].

Manufactured by: Cipla Limited,

Kurkumbh, India

Manufactured for: Cipla USA, Inc.

9100 S. Dadeland Blvd., Suite 1500 Miami, FL 33156

Revised: 7/2015

Repackaged by:

Proficient Rx LP

Thousand Oaks, CA 91320

2.6 Special Populations

Hepatic insufficiency: The daily recommended dose of Celecoxib Capsules in patients with moderate hepatic impairment (Child-Pugh Class B) should be reduced by 50%. The use of Celecoxib Capsules in patients with severe hepatic impairment is not recommended [see Warnings and Precautions (5.5), Use in Specific Populations (8.6) and Clinical Pharmacology (12.3)].

Poor Metabolizers of CYP2C9 Substrates: Patients who are known or suspected to be poor CYP2C9 metabolizers based on genotype or previous history/experience with other CYP2C9 substrates (such as warfarin, phenytoin) should be administered celecoxib with caution. Consider starting treatment at half the lowest recommended dose in poor metabolizers (i.e. CYP2C9*3/*3). Consider using alternative management in JRA patients who are poor metabolizers. [see Use in Specific populations (8.8), and Clinical Pharmacology (12.5)].

5.13 Preexisting Asthma

Patients with asthma may have aspirin-sensitive asthma. The use of aspirin in patients with aspirin-sensitive asthma has been associated with severe bronchospasm, which can be fatal. Since cross reactivity, including bronchospasm, between aspirin and other nonsteroidal anti-inflammatory drugs has been reported in such aspirin-sensitive patients, Celecoxib Capsules should not be administered to patients with this form of aspirin sensitivity and should be used with caution in patients with preexisting asthma. 

8.7 Renal Insufficiency

Celecoxib Capsules is not recommended in patients with severe renal insufficiency [see Warnings and Precautions (5.6) and Clinical Pharmacology (12.3)]. 

12.1 Mechanism of Action

Celecoxib is a nonsteroidal anti-inflammatory drug that exhibits anti-inflammatory, analgesic, and antipyretic activities in animal models. The mechanism of action of Celecoxib is believed to be due to inhibition of prostaglandin synthesis, primarily via inhibition of cyclooxygenase-2 (COX-2), and at therapeutic concentrations in humans, Celecoxib does not inhibit the cyclooxygenase-1 (COX-1) isoenzyme. In animal colon tumor models, Celecoxib reduced the incidence and multiplicity of tumors.   

2.2 Rheumatoid Arthritis

For relief of the signs and symptoms of RA the recommended oral dose is 100 to 200 mg twice daily.

14.2 Rheumatoid Arthritis

Celecoxib Capsules has demonstrated significant reduction in joint tenderness/pain and joint swelling compared to placebo. Celecoxib Capsules was evaluated for treatment of the signs and symptoms of RA in placebo- and active-controlled clinical trials of up to 24 weeks in duration. Celecoxib was shown to be superior to placebo in these studies, using the ACR20 Responder Index, a composite of clinical, laboratory, and functional measures in RA. Celecoxib Capsules doses of 100 mg twice daily and 200 mg twice daily were similar in effectiveness and both were comparable to naproxen 500 mg twice daily.

Although Celecoxib Capsules 100 mg twice daily and 200 mg twice daily provided similar overall effectiveness, some patients derived additional benefit from the 200 mg twice daily dose. Doses of 400 mg twice daily provided no additional benefit above that seen with 100-200 mg twice daily. 

7.8 Concomitant Nsaid Use (7.8 Concomitant NSAID Use)

The concomitant use of celecoxib with any dose of a non-aspirin NSAID should be avoided due to the potential for increased risk of adverse reactions. 

8.6 Hepatic Insufficiency

The daily recommended dose of Celecoxib Capsules in patients with moderate hepatic impairment (Child-Pugh Class B) should be reduced by 50%. The use of Celecoxib Capsules in patients with severe hepatic impairment is not recommended [see Dosage and Administration (2.6) and Clinical Pharmacology (12.3)].  

17.6 Weight Gain and Edema

Long-term administration of NSAIDs including celecoxib has resulted in renal injury. Patients at greatest risk are those taking diuretics, ACE-inhibitors, angiotensin II antagonists, or with renal or liver dysfunction, heart failure, and the elderly [see Warnings and Precautions (5.3, 5.6), Use in Specific Populations (8)]. 

Patients should be instructed to promptly report to their physicians signs or symptoms of unexplained weight gain or edema following treatment with Celecoxib Capsules [see Warnings and Precautions (5.3)].

2.4 Ankylosing Spondylitis

For the management of the signs and symptoms of AS, the recommended dose of Celecoxib Capsules is 200 mg daily in single (once per day) or divided (twice per day) doses. If no effect is observed after 6 weeks, a trial of 400 mg daily may be worthwhile. If no effect is observed after 6 weeks on 400 mg daily, a response is not likely and consideration should be given to alternate treatment options. 

5 Warnings and Precautions (5 WARNINGS AND PRECAUTIONS)
  • Serious and potentially fatal cardiovascular (CV) thrombotic events, myocardial infarction, and stroke. Patients with known CV disease/risk factors may be at greater risk (5.1,14.6, 17.2).
  • Serious gastrointestinal (GI) adverse events, which can be fatal. The risk is greater in patients with a prior history of ulcer disease or GI bleeding, and in patients at high risk for GI events, especially the elderly. Celecoxib Capsules should be used with caution in these patients (5.4, 8.5,14.6, 17.3).
  • Elevated liver enzymes and, rarely, severe hepatic reactions. Discontinue use of Celecoxib Capsules immediately if abnormal liver enzymes persist or worsen (5.5,17.4).
  • New onset or worsening of hypertension. Blood pressure should be monitored closely during treatment with Celecoxib Capsules (5.2, 7.4, 17.2).
  • Fluid retention and edema. Celecoxib Capsules should be used with caution in patients with fluid retention or heart failure (5.3, 17.6).
  • Renal papillary necrosis and other renal injury with long term use. Use Celecoxib Capsules with caution in the elderly, those with impaired renal function, heart failure, liver dysfunction, and those taking diuretics, ACE-inhibitors, or angiotensin II antagonists (5.6, 7.4, 8.7,17.6).
  • Anaphylactoid reactions. Do not use Celecoxib Capsules in patients with the aspirin triad (5.7,10, 17.7).
  • Serious skin adverse events such as exfoliative dermatitis, Stevens-Johnson syndrome (SJS), and toxic epidermal necrolysis (TEN), which can be fatal and can occur without warning even without known prior sulfa allergy. Discontinue Celecoxib Capsules at first appearance of rash or skin reactions (5.8,17.5).
5.11 Hematological Effects

Anemia is sometimes seen in patients receiving celecoxib. In controlled clinical trials the incidence of anemia was 0.6% with Celecoxib Capsules and 0.4% with placebo. Patients on long-term treatment with Celecoxib Capsules should have their hemoglobin or hematocrit checked if they exhibit any signs or symptoms of anemia or blood loss. Celecoxib does not generally affect platelet counts, prothrombin time (PT), or partial thromboplastin time (PTT), and does not inhibit platelet aggregation at indicated dosages [see Clinical Pharmacology (12.2)].  

5.16 Concomitant Nsaid Use (5.16 Concomitant NSAID Use)

The concomitant use of celecoxib with any dose of a non-aspirin NSAID should be avoided due to the potential for increased risk of adverse reactions.

14.4 Ankylosing Spondylitis

Celecoxib Capsules was evaluated in AS patients in two placebo- and active-controlled clinical trials of 6 and 12 weeks duration.  

Celecoxib Capsules at doses of 100 mg twice daily, 200 mg once daily and 400 mg once daily was shown to be statistically superior to placebo in these studies for all three co-primary efficacy measures assessing global pain intensity (Visual Analogue Scale), global disease activity (Visual Analogue Scale) and functional impairment (Bath Ankylosing Spondylitis Functional Index). In the 12-week study, there was no difference in the extent of improvement between the 200 mg and 400 mg Celecoxib Capsules doses in a comparison of mean change from baseline, but there was a greater percentage of patients who responded to Celecoxib Capsules 400 mg, 53%, than to Celecoxib Capsules 200 mg, 44%, using the Assessment in Ankylosing Spondylitis response criteria (ASAS 20). The ASAS 20 defines a responder as improvement from baseline of at least 20% and an absolute improvement of at least 10 mm, on a 0 to 100 mm scale, in at least three of the four following domains: patient global pain, Bath Ankylosing Spondylitis Functional Index, and inflammation. The responder analysis also demonstrated no change in the responder rates beyond 6 weeks. 

17.2 Cardiovascular Effects

Patients should be informed that Celecoxib Capsules may cause serious CV side effects such as MI or stroke, which may result in hospitalization and even death. Patients should be informed of the signs and symptoms of chest pain, shortness of breath, weakness, slurring of speech, and to seek immediate medical advice if they observe any of these signs or symptoms. [see Warnings and Precautions (5.1)]. 

Patients should be informed that Celecoxib Capsules can lead to the onset of new hypertension or worsening of preexisting hypertension, and that Celecoxib Capsules may impair the response of some antihypertensive agents. Patients should be instructed on the proper follow up for monitoring of blood pressure. [see Warnings and Precautions (5.2) and Drug Interactions (7.4)].

17.5 Adverse Skin Reactions

Patients should be informed that celecoxib is a sulfonamide and can cause serious skin side effects such as exfoliative dermatitis, SJS, and TEN, which may result in hospitalizations and even death. Although serious skin reactions may occur without warning, patients should be informed of the signs and symptoms of skin rash and blisters, fever, or other signs of hypersensitivity such as itching, and seek immediate medical advice when observing any indicative signs or symptoms.

Patients should be advised to stop Celecoxib Capsules immediately if they develop any type of rash and contact their physician as soon as possible.

Patients with prior history of sulfa allergy should not take Celecoxib Capsules [see Warnings and Precautions (5.8)]. 

2 Dosage and Administration (2 DOSAGE AND ADMINISTRATION)

Use lowest effective dose for the shortest duration consistent with treatment goals for the individual patient. (1, 5.1, 5.4)

  • OA: 200 mg once daily or 100 mg twice daily (2.1, 14.1)
  • RA: 100 to 200 mg twice daily (2.2,14.2)
  • JRA: 50 mg twice daily in patients 10-25 kg. 100 mg twice daily in patients more than 25 kg (2.3,14.3)
  • AS: 200 mg once daily single dose or 100 mg twice daily. If no effect is observed after 6 weeks, a trial of 400 mg (single or divided doses) may be of benefit (2.4,14.4)
  • AP and PD: 400 mg initially, followed by 200 mg dose if needed on first day. On subsequent days, 200 mg twice daily as needed (2.5, 14.5)

Reduce daily dose by 50% in patients with moderate hepatic impairment (Child-Pugh Class B).

Consider a dose reduction by 50% (or alternative management for JRA) in patients who are known or suspected to be CYP2C9 poor metabolizers, (2.6, 8.4, 8.8, 12.3).

5.7 Anaphylactoid Reactions

As with NSAIDs in general, anaphylactoid reactions have occurred in patients without known prior exposure to Celecoxib Capsules. In post-marketing experience, rare cases of anaphylactic reactions and angioedema have been reported in patients receiving Celecoxib Capsules. Celecoxib Capsules should not be given to patients with the aspirin triad. This symptom complex typically occurs in asthmatic patients who experience rhinitis with or without nasal polyps, or who exhibit severe, potentially fatal bronchospasm after taking aspirin or other NSAIDs [see Contraindications (4), Warnings and Precautions (5.7)]. Emergency help should be sought in cases where an anaphylactoid reaction occurs.

17.7 Anaphylactoid Reactions

Patients should be informed of the signs and symptoms of an anaphylactoid reaction (e.g., difficulty breathing, swelling of the face or throat). Patients should be instructed to seek immediate emergency assistance if they develop any of these signs and symptoms [see Warnings and Precautions (5.7)]. 

3 Dosage Forms and Strengths (3 DOSAGE FORMS AND STRENGTHS)

Capsules: 50 mg, 100 mg, 200 mg and 400 mg (3)

1.2 Rheumatoid Arthritis (ra) (1.2 Rheumatoid Arthritis (RA))

Celecoxib Capsules is indicated for relief of the signs and symptoms of RA [see Clinical Studies (14.2)]

1.6 Primary Dysmenorrhea (pd) (1.6 Primary Dysmenorrhea (PD))

Celecoxib Capsules is indicated for the treatment of PD [see Clinical Studies (14.5)]

17.3 Gastrointestinal Effects

Patients should be informed that Celecoxib Capsules can cause gastrointestinal discomfort and more serious side effects, such as ulcers and bleeding, which may result in hospitalization and even death. Patients should be informed of the signs and symptoms of ulcerations and bleeding, and to seek immediate medical advice if they observe any signs or symptoms that are indicative of these disorders, including epigastric pain, dyspepsia, melena, and hematemesis. [see Warnings and Precautions (5.4)].  

17.8 Effects During Pregnancy

Patients should be informed that in late pregnancy Celecoxib Capsules should be avoided because it may cause premature closure of the ductus arteriosus [see Warnings and Precautions (5.9), Use in Specific Populations (8.1)]. 

5.10 Corticosteroid Treatment

Celecoxib cannot be expected to substitute for corticosteroids or to treat corticosteroid insufficiency. Abrupt discontinuation of corticosteroids may lead to exacerbation of corticosteroid-responsive illness. Patients on prolonged corticosteroid therapy should have their therapy tapered slowly if a decision is made to discontinue corticosteroids.

6.5 the Apc and Presap Trials (6.5 The APC and PreSAP Trials)

Adverse reactions from long-term, placebo-controlled polyp prevention studies: Exposure to Celecoxib Capsules in the APC and PreSAP trials was 400 to 800 mg daily for up to 3 years [see Special Studies Adenomatous Polyp Prevention Studies (14.6)].   

Some adverse reactions occurred in higher percentages of patients than in the arthritis pre-marketing trials (treatment durations up to 12 weeks; see Adverse events from celecoxib pre-marketing controlled arthritis trials, above). The adverse reactions for which these differences in patients treated with celecoxib were greater as compared to the arthritis pre-marketing trials were as follows:

Celecoxib Capsules

(400 to 800 mg daily)

N = 2285

Placebo

N=1303

Diarrhea

10.5%

7.0%

Gastroesophageal reflux disease

4.7%

3.1%

Nausea

6.8%

5.3%

Vomiting

3.2%

2.1%

Dyspnea

2.8%

1.6%

Hypertension

12.5%

9.8%

The following additional adverse reactions occurred in ≥0.1% and <1% of patients taking Celecoxib Capsules, at an incidence greater than placebo in the long-term polyp prevention studies and were either not reported during the controlled arthritis pre-marketing trials or occurred with greater frequency in the long-term, placebo-controlled polyp prevention studies:

Nervous system disorders:

Cerebral infarction

Eye disorders:

Vitreous floaters, conjunctival hemorrhage

Ear and labyrinth:

Labyrinthitis

Cardiac disorders:

Angina unstable, aortic valve incompetence, coronary artery atherosclerosis, sinus 

bradycardia, ventricular hypertrophy

Vascular disorders:

Deep vein thrombosis

Reproductive system and breast disorders:

Ovarian cyst

Investigations:

Blood potassium increased, blood sodium increased, blood testosterone decreased

Injury, poisoning and procedural complications:

Epicondylitis, tendon rupture 

8 Use in Specific Populations (8 USE IN SPECIFIC POPULATIONS)
  • Pregnancy Category C prior to 30 weeks gestation; Category D starting at 30 weeks gestation (5.9,8.1, 17.8)
6.4 Other Pre Approval Studies (6.4 Other Pre-Approval Studies)

Adverse Events from Ankylosing Spondylitis Studies: A total of 378 patients were treated with Celecoxib Capsules in placebo- and active controlled AS studies. Doses up to 400 mg once daily were studied. The types of adverse events reported in the AS studies were similar to those reported in the OA/RA studies. 

Adverse Events from Analgesia and Dysmenorrhea Studies: Approximately 1,700 patients were treated with Celecoxib Capsules in analgesia and dysmenorrhea studies. All patients in post-oral surgery pain studies received a single dose of study medication. Doses up to 600 mg/day of Celecoxib Capsules were studied in primary dysmenorrhea and post-orthopedic surgery pain studies. The types of adverse events in the analgesia and dysmenorrhea studies were similar to those reported in arthritis studies. The only additional adverse event reported was post-dental extraction alveolar osteitis (dry socket) in the post-oral surgery pain studies.  

1.4 Ankylosing Spondylitis (as) (1.4 Ankylosing Spondylitis (AS))

Celecoxib Capsules is indicated for the relief of signs and symptoms of AS [see Clinical Studies (14.4)]

17 Patient Counseling Information (17 PATIENT COUNSELING INFORMATION)

Patients should be informed of the following information before initiating therapy with Celecoxib Capsules and periodically during the course of ongoing therapy.

2.3 Juvenile Rheumatoid Arthritis

For the relief of the signs and symptoms of JRA the recommended oral dose for pediatric patients (age 2 years and older) is based on weight. For patients ≥10 kg to £25 kg the recommended dose is 50 mg twice daily. For patients >25 kg the recommended dose is 100 mg twice daily.

For patients who have difficulty swallowing capsules, the contents of a Celecoxib Capsule can be added to applesauce. The entire capsule contents are carefully emptied onto a level teaspoon of cool or room temperature applesauce and ingested immediately with water. The sprinkled capsule contents on applesauce are stable for up to 6 hours under refrigerated conditions (2-8° C/ 35-45° F). 

5.4 Gastrointestinal (gi) Effects (5.4 Gastrointestinal (GI) Effects)

Risk of GI Ulceration, Bleeding, and Perforation 

NSAIDs, including celecoxib, can cause serious gastrointestinal events including bleeding, ulceration, and perforation of the stomach, small intestine or large intestine, which can be fatal. These serious adverse events can occur at any time, with or without warning symptoms, in patients treated with NSAIDs. Only one in five patients who develop a serious upper GI adverse event on NSAID therapy is symptomatic. Complicated and symptomatic ulcer rates were 0.78% at nine months for all patients in the CLASS trial, and 2.19% for the subgroup on low-dose ASA. Patients 65 years of age and older had an incidence of 1.40% at nine months, 3.06% when also taking ASA [see Clinical Studies (14.6)]. With longer duration of use of NSAIDs, there is a trend for increasing the likelihood of developing a serious GI event at some time during the course of therapy. However, even short-term therapy is not without risk.

NSAIDs should be prescribed with extreme caution in patients with a prior history of ulcer disease or gastrointestinal bleeding. Patients with a prior history of peptic ulcer disease and/or gastrointestinal bleeding who use NSAIDs have a greater than 10-fold increased risk for developing a GI bleed compared to patients with neither of these risk factors. Other factors that increase the risk of GI bleeding in patients treated with NSAIDs include concomitant use of oral corticosteroids or anticoagulants, longer duration of NSAID therapy, smoking, use of alcohol, older age, and poor general health status. Most spontaneous reports of fatal GI events are in elderly or debilitated patients and therefore special care should be taken in treating this population.

To minimize the potential risk for an adverse GI event, the lowest effective dose should be used for the shortest duration consistent with individual patient treatment goals. Physicians and patients should remain alert for signs and symptoms of GI ulceration and bleeding during celecoxib therapy and promptly initiate additional evaluation and treatment if a serious GI adverse event is suspected. For high-risk patients, alternate therapies that do not involve NSAIDs should be considered.

14.3 Juvenile Rheumatoid Arthritis

In a 12-week, randomized, double-blind active-controlled, parallel-group, multicenter, non-inferiority study, patients from 2 years to 17 years of age with pauciarticular, polyarticular course JRA or systemic onset JRA (with currently inactive systemic features), received one of the following treatments: celecoxib 3 mg/kg (to a maximum of 150 mg) twice daily; celecoxib 6 mg/kg (to a maximum of 300 mg) twice daily; or naproxen 7.5 mg/kg (to a maximum of 500 mg) twice daily. The response rates were based upon the JRA Definition of Improvement greater than or equal to 30% (JRA DOI 30) criterion, which is a composite of clinical, laboratory, and functional measures of JRA. The JRA DOI 30 response rates at week 12 were 69%, 80% and 67% in the celecoxib 3 mg/kg BID, celecoxib 6 mg/kg BID, and naproxen 7.5 mg/kg BID treatment groups, respectively.

The efficacy and safety of celecoxib for JRA have not been studied beyond six months. The long-term cardiovascular toxicity in children exposed to celecoxib has not been evaluated and it is unknown if the long-term risk may be similar to that seen in adults exposed to celecoxib or other COX-2 selective and non-selective NSAIDs [(see Boxed Warning, Warnings and Precautions (5.12)].

16 How Supplied/storage and Handling (16 HOW SUPPLIED/STORAGE AND HANDLING)

Celecoxib Capsules are available in the following strengths and configurations:

Celecoxib Capsules 100 mg: White to off white colored granules filled in size 2 hard gelatin white capsule,

axially printed with ‘Cipla’ on cap & ‘422’ over ‘100 mg’ on body in blue ink.

  •  
    Bottle of 30 NDC 63187-301-30
  •  
    Bottle of 60 NDC 63187-301-60
  •  
    Bottle of 90 NDC 63187-301-90

Storage: Store at 25°C (77°F) [see USP Controlled Room Temperature]

5.1 Cardiovascular Thrombotic Events

Chronic use of Celecoxib Capsules may cause an increased risk of serious adverse cardiovascular thrombotic events, myocardial infarction, and stroke, which can be fatal. In the APC (Adenoma Prevention with Celecoxib) trial, the hazard ratio for the composite endpoint of cardiovascular death, MI, or stroke was 3.4 (95% CI 1.4 - 8.5) for Celecoxib Capsules 400 mg twice daily and 2.8 (95% CI 1.1 - 7.2) with Celecoxib Capsules 200 mg twice daily compared to placebo. Cumulative rates for this composite endpoint over 3 years were 3.0% (20/671 subjects) and 2.5% (17/685 subjects), respectively, compared to 0.9% (6/679 subjects) with placebo treatment. The increases in both celecoxib dose groups versus placebo-treated patients were mainly due to an increased incidence of myocardial infarction [see Clinical Studies (14.6)].

All NSAIDs, both COX-2 selective and non-selective, may have a similar risk. Patients with known CV disease or risk factors for CV disease may be at greater risk. To minimize the potential risk for an adverse CV event in patients treated with Celecoxib Capsules, the lowest effective dose should be used for the shortest duration consistent with individual patient treatment goals. Physicians and patients should remain alert for the development of such events, even in the absence of previous CV symptoms. Patients should be informed about the signs and/or symptoms of serious CV toxicity and the steps to take if they occur.

There is no consistent evidence that concurrent use of aspirin mitigates the increased risk of serious CV thrombotic events associated with NSAID use. The concurrent use of aspirin and Celecoxib Capsules does increase the risk of serious GI events [see Warnings and Precautions (5.4)]. 

Two large, controlled, clinical trials of a different COX-2 selective NSAID for the treatment of pain in the first 10-14 days following CABG surgery found an increased incidence of myocardial infarction and stroke [see Contraindications (4)].

Package Label.principal Display Panel (PACKAGE LABEL.PRINCIPAL DISPLAY PANEL)

100 mg Bottle Label

Rx only

NDC 63187-301-60

Celecoxib Capsules

100 mg

PHARMACIST: Dispense the accompanying Medication Guide to each patient

60 Capsules

5.3 Congestive Heart Failure and Edema

Fluid retention and edema have been observed in some patients taking NSAIDs, including celecoxib [see Adverse Reactions (6.1)]. In the CLASS study [see Clinical Studies (14.6)], the Kaplan-Meier cumulative rates at 9 months of peripheral edema in patients on Celecoxib Capsules 400 mg twice daily (4-fold and 2-fold the recommended OA and RA doses, respectively), ibuprofen 800 mg three times daily and diclofenac 75 mg twice daily were 4.5%, 6.9% and 4.7%, respectively. Celecoxib should be used with caution in patients with fluid retention or heart failure. 

1.3 Juvenile Rheumatoid Arthritis (jra) (1.3 Juvenile Rheumatoid Arthritis (JRA))

Celecoxib Capsules is indicated for relief of the signs and symptoms of JRA in patients 2 years and older [see Clinical Studies (14.3)]

6.3 Juvenile Rheumatoid Arthritis Study

In a 12-week, double-blind, active-controlled study, 242 JRA patients 2 years to 17 years of age were treated with Celecoxib or naproxen; 77 JRA patients were treated with Celecoxib 3 mg/kg BID, 82 patients were treated with Celecoxib 6 mg/kg BID, and 83 patients were treated with naproxen 7.5 mg/kg BID. The most commonly occurring (≥5%) adverse events in Celecoxib treated patients were headache, fever (pyrexia), upper abdominal pain, cough, nasopharyngitis, abdominal pain, nausea, arthralgia, diarrhea and vomiting. The most commonly occurring (≥5%) adverse experiences for naproxen-treated patients were headache, nausea, vomiting, fever, upper abdominal pain, diarrhea, cough, abdominal pain, and dizziness (Table 2). Compared with naproxen, Celecoxib at doses of 3 and 6 mg/kg BID had no observable deleterious effect on growth and development during the course of the 12-week double-blind study. There was no substantial difference in the number of clinical exacerbations of uveitis or systemic features of JRA among treatment groups.

In a 12-week, open-label extension of the double-blind study described above, 202 JRA patients were treated with Celecoxib 6 mg/kg BID. The incidence of adverse events was similar to that observed during the double-blind study; no unexpected adverse events of clinical importance emerged.

Table 2: Adverse Events Occurring in ≥5% of JRA Patients in Any Treatment Group, by System Organ Class (% of patients with events)
*Abnormal laboratory tests, which include: Prolonged activated partial thromboplastin time, Bacteriuria NOS present, Blood creatine phosphokinase increased, Blood culture positive, Blood glucose increased, Blood pressure increased, Blood uric acid increased, Hematocrit decreased, Hematuria present, Hemoglobin decreased, Liver function tests NOS abnormal, Proteinuria present, Transaminase NOS increased, Urine analysis abnormal NOS

All Doses Twice Daily

System Organ Class 

Preferred Term

Celecoxib

3 mg/kg

N=77

Celecoxib

6 mg/kg

N=82

Naproxen

7.5 mg/kg

N=83

Any Event

64

70

72

Eye Disorders

5

5

5

Gastrointestinal

26

24

36

   Abdominal pain NOS

4

7

7

   Abdominal pain upper

8

6

10

   Vomiting NOS

3

6

11

   Diarrhea NOS

5

4

8

   Nausea

7

4

11

General

13

11

18

   Pyrexia

8

9

11

Infections

25

20

27

   Nasopharyngitis

5

6

5

Injury and Poisoning

4

6

5

Investigations*

3

11

7

Musculoskeletal

8

10

17

   Arthralgia

3

7

4

Nervous System

17

11

21

   Headache NOS

13

10

16

   Dizziness (excl vertigo)

1

1

7

Respiratory

8

15

15

   Cough

7

7

8

Skin & Subcutaneous

10

7

18

8.8 Poor Metabolizers of Cyp2c9 Substrates (8.8 Poor Metabolizers of CYP2C9 Substrates)

Patients who are known or suspected to be poor CYP2C9 metabolizers based on genotype or previous history/experience with other CYP2C9 substrates (such as warfarin, phenytoin) should be administered celecoxib with caution. Consider starting treatment at half the lowest recommended dose in poor metabolizers (i.e., CYP2C9*3/*3). Alternative management should be considered in JRA patients identified to be CYP2C9 poor metabolizers. [see Dosage and Administration (2.6) and Clinical Pharmacology (12.5)].

6.1 Pre Marketing Controlled Arthritis Trials (6.1 Pre-marketing Controlled Arthritis Trials)

Table 1 lists all adverse events, regardless of causality, occurring in ≥2% of patients receiving Celecoxib Capsules from 12 controlled studies conducted in patients with OA or RA that included a placebo and/or a positive control group. Since these 12 trials were of different durations, and patients in the trials may not have been exposed for the same duration of time, these percentages do not capture cumulative rates of occurrence. 

Table 1: Adverse Events Occurring in ≥2% of Celecoxib Patients from Pre-marketing Controlled Arthritis Trials
Celecoxib = Celecoxib Capsules 100 - 200 mg twice daily or 200 mg once daily;

NAP = Naproxen 500 mg twice daily;

DCF = Diclofenac 75 mg twice daily;

IBU = Ibuprofen 800 mg three times daily.

Celecoxib (N=4146)

Placebo (N=1864)

NAP (N=1366)

DCF (N=387)

IBU (N=345)

Gastrointestinal

   Abdominal Pain

4.1%

2.8%

7.7%

9.0%

9.0%

   Diarrhea

5.6%

3.8%

5.3%

9.3%

5.8%

   Dyspepsia

8.8%

6.2%

12.2%

10.9%

12.8%

   Flatulence

2.2%

1.0%

3.6%

4.1%

3.5%

   Nausea

3.5%

4.2%

6.0%

3.4%

6.7%

Body as whole

   Back Pain

2.8%

3.6%

2.2%

2.6%

0.9%

   Peripheral Edema

2.1%

1.1%

2.1%

1.0%

3.5%

   Injury-Accidental

2.9%

2.3%

3.0%

2.6%

3.2%

Central, Peripheral Nervous System

   Dizziness

2.0%

1.7%

2.6%

1.3%

2.3%

   Headache

15.8%

20.2%

14.5%

15.5%

15.4%

Psychatric

   Insomnia

2.3%

2.3%

2.9%

1.3%

1.4%

Respiratory

   Pharyngitis

2.3%

1.1%

1.7%

1.6%

2.6%

   Rhinitis

2.0%

1.3%

2.4%

2.3%

0.6%

   Sinusitis

5.0%

4.3%

4.0%

5.4%

5.8%

   Upper Respiratory Infection

8.1%

6.7%

9.9%

9.8%

9.9%

Skin

   Rash

2.2%

2.1%

2.1%

1.3%

1.2%

The following adverse reactions occurred in 0.1 - 1.9% of patients treated with Celecoxib Capsules (100 - 200 mg twice daily or 200 mg once daily):

Gastrointestinal:

Constipation, diverticulitis, dysphagia, eructation, esophagitis, gastritis, gastroenteritis, gastroesophageal reflux, hemorrhoids, hiatal hernia, melena, dry mouth, stomatitis, tenesmus, vomiting

Cardiovascular:

Aggravated hypertension, angina pectoris, coronary artery disorder, myocardial infarction Allergy

General:

aggravated, allergic reaction, chest pain, cyst NOS, edema generalized, face edema, fatigue, fever, hot flushes, influenza-like symptoms, pain, peripheral pain

Central, peripheral nervous system:

Leg cramps, hypertonia, hypoesthesia, migraine, paresthesia, vertigo

Hearing and vestibular:

Deafness, tinnitus

Heart rate and rhythm:

Palpitation, tachycardia

Liver and biliary:

Hepatic function abnormal, SGOT increased, SGPT increased

Metabolic and nutritional:

BUN increased, CPK increased, hypercholesterolemia, hyperglycemia, hypokalemia, NPN increased, creatinine increased, alkaline phosphatase increased, weight increased

Musculoskeletal:

Arthralgia, arthrosis, myalgia, synovitis, tendinitis

Platelets (bleeding or clotting):

Ecchymosis, epistaxis, thrombocythemia

Psychiatric:

Anorexia, anxiety, appetite increased, depression, nervousness, somnolence

Hemic:

Anemia

Respiratory:

Bronchitis, bronchospasm, bronchospasm aggravated, coughing, dyspnea, laryngitis, pneumonia

Skin and appendages:

Alopecia, dermatitis, photosensitivity reaction, pruritus, rash erythematous, rash maculopapular, skin disorder, skin dry, sweating increased, urticaria 

Application site disorders:

Cellulitis, dermatitis contact

Urinary:

Albuminuria, cystitis, dysuria, hematuria, micturition frequency, renal calculus

The following serious adverse events (causality not evaluated) occurred in <0.1% of patients (cases reported only in postmarketing experience are indicated in italics):

Cardiovascular:

Syncope, congestive heart failure, ventricular fibrillation, pulmonary embolism, cerebrovascular accident,

 peripheral gangrene, thrombophlebitis, vasculitis, deep venous thrombosis

Gastrointestinal:

Intestinal obstruction, intestinal perforation, gastrointestinal bleeding, colitis with bleeding, esophageal 

perforation, pancreatitis, ileus

Liver and biliary:

Cholelithiasis, hepatitis, jaundice, liver failure

Hemic and lymphatic:

Thrombocytopenia, agranulocytosis, aplastic anemia, pancytopenia, leucopenia

Metabolic:

Hypoglycemia, hyponatremia

Nervous:

Ataxia, suicide, aseptic meningitis, ageusia, anosmia, fatal intracranial hemorrhage [see Drug Interactions 

(7.1)]

Renal:

Acute renal failure, interstitial nephritis

Skin:

Erythema multiforme, exfoliative dermatitis, Stevens-Johnson syndrome, toxic epidermal necrolysis 

General:

Sepsis, sudden death, anaphylactoid reaction, angioedema

14.5 Analgesia, Including Primary Dysmenorrhea (14.5 Analgesia, including Primary Dysmenorrhea)

In acute analgesic models of post-oral surgery pain, post-orthopedic surgical pain, and primary dysmenorrhea, Celecoxib relieved pain that was rated by patients as moderate to severe. Single doses [see Dosage and Administration (2.5)] of Celecoxib provided pain relief within 60 minutes.

5.12 Disseminated Intravascular Coagulation (dic) (5.12 Disseminated Intravascular Coagulation (DIC))

Celecoxib Capsules should be used only with caution in pediatric patients with systemic onset JRA due to the risk of disseminated intravascular coagulation.

7.4 Ace Inhibitors and Angiotensin Ii Antagonists (7.4 ACE-inhibitors and Angiotensin II Antagonists)

Reports suggest that NSAIDs may diminish the antihypertensive effect of Angiotensin Converting Enzyme (ACE) inhibitors and angiotensin II antagonists. This interaction should be given consideration in patients taking celecoxib concomitantly with ACE inhibitors and angiotensin II antagonists [see Clinical Pharmacology (12.2].

6.2 the Celecoxib Long Term Arthritis Safety Study (6.2 The Celecoxib Long-Term Arthritis Safety Study)

[see Special Studies (14.6)]

Hematological Events: The incidence of clinically significant decreases in hemoglobin (>2 g/dL) was lower in patients on Celecoxib 400 mg twice daily (0.5%) compared to patients on either diclofenac 75 mg twice daily (1.3%) or ibuprofen 800 mg three times daily 1.9%. The lower incidence of events with Celecoxib was maintained with or without ASA use [see Clinical Pharmacology (12.2)]. 

Withdrawals/Serious Adverse Events: Kaplan-Meier cumulative rates at 9 months for withdrawals due to adverse events for Celecoxib, diclofenac and ibuprofen were 24%, 29%, and 26%, respectively. Rates for serious adverse events (i.e., causing hospitalization or felt to be life-threatening or otherwise medically significant), regardless of causality, were not different across treatment groups (8%, 7%, and 8%, respectively). 

13.1 Carcinogenesis, Mutagenesis, Impairment of Fertility

Celecoxib was not carcinogenic in rats given oral doses up to 200 mg/kg for males and 10 mg/kg for females (approximately 2-to 4-fold the human exposure as measured by the AUC0-24 at 200 mg twice daily) or in mice given oral doses up to 25 mg/kg for males and 50 mg/kg for females (approximately equal to human exposure as measured by the AUC0-24 at 200 mg twice daily) for two years. Celecoxib was not mutagenic in an Ames test and a mutation assay in Chinese hamster ovary (CHO) cells, nor clastogenic in a chromosome aberration assay in CHO cells and an in vivo micronucleus test in rat bone marrow.

Celecoxib did not impair male and female fertility in rats at oral doses up to 600 mg/kg/day (approximately 11-fold human exposure at 200 mg twice daily based on the AUC0-24).

2.5 Management of Acute Pain and Treatment of Primary Dysmenorrhea

The recommended dose of Celecoxib Capsules is 400 mg initially, followed by an additional 200 mg dose if needed on the first day. On subsequent days, the recommended dose is 200 mg twice daily as needed. 


Advanced Ingredient Data


Raw Label Data

All Sections (JSON)