These Highlights Do Not Include All The Information Needed To Use Ranolazine Extended-release Tablets Safely And Effectively. See Full Prescribing Information For Ranolazine Extended-release Tablets.

These Highlights Do Not Include All The Information Needed To Use Ranolazine Extended-release Tablets Safely And Effectively. See Full Prescribing Information For Ranolazine Extended-release Tablets.
SPL v1
SPL
SPL Set ID c7ed8234-e6bd-4f19-a1ce-40f272a79036
Route
ORAL
Published
Effective Date 2024-07-01
Document Type 34391-3 HUMAN PRESCRIPTION DRUG LABEL

Drug Facts

Composition & Product

Active Ingredients
Ranolazine (500 mg)
Inactive Ingredients
Microcrystalline Cellulose Methacrylic Acid And Ethyl Acrylate Copolymer Sodium Lauryl Sulfate Polysorbate 80 Hypromellose, Unspecified Sodium Hydroxide Magnesium Stearate Hypromellose 2910 (15 Mpa.s) Titanium Dioxide Lactose Monohydrate Polyethylene Glycol, Unspecified Triacetin Ferric Oxide Red Ferric Oxide Yellow

Identifiers & Packaging

Pill Appearance
Imprint: SG;423 Shape: oval Color: orange Size: 17 mm Score: 1
Marketing Status
ANDA Active Since 2021-08-24

Description

Ranolazine extended-release tablets are indicated for the treatment of chronic angina. Ranolazine extended-release tablets may be used with beta-blockers, nitrates, calcium channel blockers, anti-platelet therapy, lipid-lowering therapy, ACE inhibitors, and angiotensin receptor blockers.

Indications and Usage

Ranolazine extended-release tablets are indicated for the treatment of chronic angina. Ranolazine extended-release tablets may be used with beta-blockers, nitrates, calcium channel blockers, anti-platelet therapy, lipid-lowering therapy, ACE inhibitors, and angiotensin receptor blockers.

Dosage and Administration

500 mg twice daily and increase to 1000 mg twice daily, based on clinical symptoms ( 2.1 )

Warnings and Precautions

• QT interval prolongation: Can occur with ranolazine. Little data available on high doses, long exposure, use with QT interval- prolonging drugs, potassium channel variants causing prolonged QT interval, in patients with a family history of (or congenital) long QT syndrome, or in patients with known acquired QT interval prolongation ( 5.1 ) • Renal failure: Monitor renal function after initiation and periodically in patients with moderate to severe renal impairment (CrCL<60 mL/min). If acute renal failure develops, discontinue Ranolazine extended-release tablets. ( 5.2 )

Contraindications

Ranolazine extended-release tablets are contraindicated in patients: • Taking strong inhibitors of CYP3A [see Drug Interactions (7.1) ] • Taking inducers of CYP3A [see Drug Interactions (7.1) ] • With liver cirrhosis [see Use in Specific Populations (8.6) ]

Adverse Reactions

Most common adverse reactions (>4% and more common than with placebo) are dizziness, headache, constipation, nausea. ( 6.1 ) To report SUSPECTED ADVERSE REACTIONS, contact Westminster Pharmaceuticals, LLC at 1-844-221-7294 or FDA at 1-800-FDA-1088 or www.fda.gov/medwatch.

Drug Interactions

• Moderate CYP3A inhibitors (e.g., diltiazem, verapamil, erythromycin): Limit Ranolazine extended-release tablets to 500 mg twice daily. ( 7.1 ) • P-gp inhibitors (e.g., cyclosporine): Ranolazine exposure increased. Titrate Ranolazine extended-release tablets based on clinical response. ( 7.1 ) • CYP3A substrates: Limit simvastatin to 20 mg when used with Ranolazine extended-release tablets. Doses of other sensitive CYP3A substrates (e.g., lovastatin) and CYP3A substrates with narrow therapeutic range (e.g., cyclosporine, tacrolimus, sirolimus) may need to be reduced with Ranolazine extended-release tablets. ( 7.2 ) • OCT2 substrates: Limit the dose of metformin to 1700 mg daily when used with Ranolazine extended-release tablets 1000 mg twice daily. Doses of other OCT2 substrates may require adjusted doses. ( 7.2 ) • Drugs transported by P-gp (e.g., digoxin), or drugs metabolized by CYP2D6 (e.g., tricyclic antidepressants) may need reduced doses when used with Ranolazine extended-release tablets. ( 7.2 )

Storage and Handling

Ranolazine extended-release tablets are supplied as film-coated, oblong-shaped, extended-release tablets in the following strength: • 500 mg tablets are peach, with "423" on one side and "SG" on the other side Ranolazine extended-release tablets 500 mg are available in: Bottle of 60 Tablets: NDC 82804-118-60

How Supplied

Ranolazine extended-release tablets are supplied as film-coated, oblong-shaped, extended-release tablets in the following strength: • 500 mg tablets are peach, with "423" on one side and "SG" on the other side Ranolazine extended-release tablets 500 mg are available in: Bottle of 60 Tablets: NDC 82804-118-60

Patient Information

Read this Patient Information before you start taking Ranolazine extended-release tablets and each time you get a refill. There may be new information. This information does not take the place of talking with your doctor about your medical condition or treatment. What are Ranolazine extended-release tablets? Ranolazine extended-release tablets are prescription medicine used to treat angina that keeps coming back (chronic angina). Ranolazine extended-release tablets may be used with other medicines that are used for heart problems and blood pressure control. It is not known if Ranolazine extended-release tablets are safe and effective in children. Who should not take Ranolazine extended-release tablets? Do not take Ranolazine extended-release tablets if: • you take any of the following medicines: o for fungus infection: ketoconazole (Nizoral ® ), itraconazole (Sporanox ® , Onmel™) o for infection: clarithromycin (Biaxin ® ) o for depression: nefazodone o for HIV: nelfinavir (Viracept ® ), ritonavir (Norvir ® ), lopinavir and ritonavir (Kaletra ® ), indinavir (Crixivan ® ), saquinavir (Invirase ® ) o for tuberculosis (TB): rifampin (Rifadin ® ), rifabutin (Mycobutin ® ), rifapentine (Priftin ® ) o for seizures: phenobarbital, phenytoin (Phenytek ® , Dilantin ® , Dilantin125 ® ), carbamazepine (Tegretol ® ) o St. John's wort (Hypericum perforatum) • you have scarring (cirrhosis) of your liver What should I tell my doctor before taking Ranolazine extended-release tablets? Before you take Ranolazine extended-release tablets, tell your doctor if you: • have or have a family history of a heart problem, called 'QT prolongation' or 'long QT syndrome'. • have liver problems • have kidney problems • are pregnant or plan to become pregnant. It is not known if Ranolazine extended-release tablets will harm your unborn baby. • are breast-feeding or plan to breast-feed. It is not known if Ranolazine passes into your breast milk. You and your doctor should decide if you will breast-feed. Tell your doctor about all the medicines you take, including all prescription and nonprescription medicines, vitamins, and herbal supplements. Ranolazine extended-release tablets may affect the way other medicines work and other medicines may affect how Ranolazine extended-release tablets works. Tell your doctor if you take medicines: • for your heart • for cholesterol • for diabetes • for infection • for fungus • for transplant • for nausea and vomiting because of cancer treatments • for mental problems Know the medicines you take. Keep a list of them to show your doctor or pharmacist when you get a new medicine. How should I take Ranolazine extended-release tablets? • Take Ranolazine extended-release tablets exactly as your doctor tells you. • Your doctor will tell you how much Ranolazine extended-release tablets to take and when to take it. • Do not change your dose unless your doctor tells you to. • Tell your doctor if you still have symptoms of angina after starting Ranolazine extended-release tablets. • Take Ranolazine extended-release tablets by mouth, with or without food. • Swallow the Ranolazine extended-release tablets whole. Do not crush, break, or chew Ranolazine extended-release tablets before swallowing. • If you miss a dose of Ranolazine extended-release tablets, wait to take the next dose of Ranolazine extended-release tablets at your regular time. Do not make up for the missed dose. Do not take more than 1 dose at a time. • If you take too much Ranolazine extended-release tablets, call your doctor, or go to the nearest emergency room right away. What should I avoid while taking Ranolazine extended-release tablets? • Grapefruit and grapefruit juice. Limit products that have grapefruit in them. They can cause your blood levels of Ranolazine extended-release tablets to increase. • Ranolazine extended-release tablets can cause dizziness, lightheadedness, or fainting. If you have these symptoms, do not drive a car, use machinery, or do anything that needs you to be alert. What are the possible side effects of Ranolazine extended-release tablets? Ranolazine extended-release tablets may cause serious side effects, including: • changes in the electrical activity of your heart called QT prolongation. Your doctor may check the electrical activity of your heart with an ECG. Tell your doctor right away if you feel faint, lightheaded, or feel your heart beating irregularly or fast while taking Ranolazine extended-release tablets. These may be symptoms related to QT prolongation. • kidney failure in people who already have severe kidney problems. Your doctor may need to do tests to check how your kidneys are working. The most common side effects of Ranolazine extended-release tablets include: • dizziness • headache • constipation • nausea Tell your doctor if you have any side effect that bothers you or does not go away. These are not all the possible side effects of Ranolazine extended-release tablets. For more information, ask your doctor or pharmacist. Call your doctor for medical advice about side effects. You may report side effects to FDA at 1-800-FDA-1088. How should I store Ranolazine extended-release tablets? Store Ranolazine extended-release tablets at room temperature between 59° to 86°F (15° to 30°C). Keep Ranolazine extended-release tablets and all medicines out of the reach of children. General information about Ranolazine extended-release tablets. Medicines are sometimes prescribed for purposes other than those listed in the Patient Information. Do not use Ranolazine extended-release tablets for a condition for which it was not prescribed. Do not give Ranolazine extended-release tablets to other people, even if they have the same condition you have. It may harm them. The Patient Information summarizes the most important information about Ranolazine extended-release tablets. If you would like more information, talk with your doctor. You can ask your pharmacist or doctor for information about Ranolazine extended-release tablets that is written for health professionals. For more information call contact Westminster Pharmaceuticals, LLC at 1-844-221-7294. What is chronic angina? Chronic angina means pain or discomfort in the chest, jaw, shoulder, back, or arm that keeps coming back. There are other possible signs and symptoms of angina including shortness of breath. Angina usually comes on when you are active or under stress. Chronic angina is a symptom of a heart problem called coronary heart disease (CHD), also known as coronary artery disease (CAD). When you have CHD, the blood vessels in your heart become stiff and narrow. Oxygen-rich blood cannot reach your heart muscle easily. Angina comes on when too little oxygen reaches your heart muscle. What are the ingredients in Ranolazine extended-release tablets? Active ingredient: Ranolazine Inactive ingredients: 500 mg tablet: microcrystalline cellulose, methacrylic acid and ethyl acrylate copolymer, sodium lauryl sulfate, polysorbate 80, hypromellose, sodium hydroxide, magnesium stearate, hydroxypropyl methyl cellulose, titanium dioxide, lactose monohydrate, polyethylene glycol, triacetin, Iron oxide red, Iron oxide yellow. This Patient Information has been approved by the U.S. Food and Drug Administration. Manufactured by: ScieGen Pharmaceuticals Inc Hauppauge, NY 11788 USA Manufactured for: Westminster Pharmaceuticals, LLC Nashville, TN 37217 Relabeled by: Proficient Rx LP Thousand Oaks, CA 91320 Rev. 5/2021 All trademarks are the property of their respective owners.


Medication Information

Warnings and Precautions

• QT interval prolongation: Can occur with ranolazine. Little data available on high doses, long exposure, use with QT interval- prolonging drugs, potassium channel variants causing prolonged QT interval, in patients with a family history of (or congenital) long QT syndrome, or in patients with known acquired QT interval prolongation ( 5.1 ) • Renal failure: Monitor renal function after initiation and periodically in patients with moderate to severe renal impairment (CrCL<60 mL/min). If acute renal failure develops, discontinue Ranolazine extended-release tablets. ( 5.2 )

Indications and Usage

Ranolazine extended-release tablets are indicated for the treatment of chronic angina. Ranolazine extended-release tablets may be used with beta-blockers, nitrates, calcium channel blockers, anti-platelet therapy, lipid-lowering therapy, ACE inhibitors, and angiotensin receptor blockers.

Dosage and Administration

500 mg twice daily and increase to 1000 mg twice daily, based on clinical symptoms ( 2.1 )

Contraindications

Ranolazine extended-release tablets are contraindicated in patients: • Taking strong inhibitors of CYP3A [see Drug Interactions (7.1) ] • Taking inducers of CYP3A [see Drug Interactions (7.1) ] • With liver cirrhosis [see Use in Specific Populations (8.6) ]

Adverse Reactions

Most common adverse reactions (>4% and more common than with placebo) are dizziness, headache, constipation, nausea. ( 6.1 ) To report SUSPECTED ADVERSE REACTIONS, contact Westminster Pharmaceuticals, LLC at 1-844-221-7294 or FDA at 1-800-FDA-1088 or www.fda.gov/medwatch.

Drug Interactions

• Moderate CYP3A inhibitors (e.g., diltiazem, verapamil, erythromycin): Limit Ranolazine extended-release tablets to 500 mg twice daily. ( 7.1 ) • P-gp inhibitors (e.g., cyclosporine): Ranolazine exposure increased. Titrate Ranolazine extended-release tablets based on clinical response. ( 7.1 ) • CYP3A substrates: Limit simvastatin to 20 mg when used with Ranolazine extended-release tablets. Doses of other sensitive CYP3A substrates (e.g., lovastatin) and CYP3A substrates with narrow therapeutic range (e.g., cyclosporine, tacrolimus, sirolimus) may need to be reduced with Ranolazine extended-release tablets. ( 7.2 ) • OCT2 substrates: Limit the dose of metformin to 1700 mg daily when used with Ranolazine extended-release tablets 1000 mg twice daily. Doses of other OCT2 substrates may require adjusted doses. ( 7.2 ) • Drugs transported by P-gp (e.g., digoxin), or drugs metabolized by CYP2D6 (e.g., tricyclic antidepressants) may need reduced doses when used with Ranolazine extended-release tablets. ( 7.2 )

Storage and Handling

Ranolazine extended-release tablets are supplied as film-coated, oblong-shaped, extended-release tablets in the following strength: • 500 mg tablets are peach, with "423" on one side and "SG" on the other side Ranolazine extended-release tablets 500 mg are available in: Bottle of 60 Tablets: NDC 82804-118-60

How Supplied

Ranolazine extended-release tablets are supplied as film-coated, oblong-shaped, extended-release tablets in the following strength: • 500 mg tablets are peach, with "423" on one side and "SG" on the other side Ranolazine extended-release tablets 500 mg are available in: Bottle of 60 Tablets: NDC 82804-118-60

Patient Information

Read this Patient Information before you start taking Ranolazine extended-release tablets and each time you get a refill. There may be new information. This information does not take the place of talking with your doctor about your medical condition or treatment.

What are Ranolazine extended-release tablets?

Ranolazine extended-release tablets are prescription medicine used to treat angina that keeps coming back (chronic angina).

Ranolazine extended-release tablets may be used with other medicines that are used for heart problems and blood pressure control.

It is not known if Ranolazine extended-release tablets are safe and effective in children.

Who should not take Ranolazine extended-release tablets?

Do not take Ranolazine extended-release tablets if:

  • you take any of the following medicines:
    • o
      for fungus infection: ketoconazole (Nizoral®), itraconazole (Sporanox®, Onmel™)
    • o
      for infection: clarithromycin (Biaxin®)
    • o
      for depression: nefazodone
    • o
      for HIV: nelfinavir (Viracept®), ritonavir (Norvir®), lopinavir and ritonavir (Kaletra®), indinavir (Crixivan®), saquinavir (Invirase®)
    • o
      for tuberculosis (TB): rifampin (Rifadin®), rifabutin (Mycobutin®), rifapentine (Priftin®)
    • o
      for seizures: phenobarbital, phenytoin (Phenytek®, Dilantin®, Dilantin125®), carbamazepine (Tegretol®)
    • o
      St. John's wort (Hypericum perforatum)
  • you have scarring (cirrhosis) of your liver

What should I tell my doctor before taking Ranolazine extended-release tablets?

Before you take Ranolazine extended-release tablets, tell your doctor if you:

  • have or have a family history of a heart problem, called 'QT prolongation' or 'long QT syndrome'.
  • have liver problems
  • have kidney problems
  • are pregnant or plan to become pregnant. It is not known if Ranolazine extended-release tablets will harm your unborn baby.
  • are breast-feeding or plan to breast-feed. It is not known if Ranolazine passes into your breast milk. You and your doctor should decide if you will breast-feed.

Tell your doctor about all the medicines you take, including all prescription and nonprescription medicines, vitamins, and herbal supplements. Ranolazine extended-release tablets may affect the way other medicines work and other medicines may affect how Ranolazine extended-release tablets works.

Tell your doctor if you take medicines:

  • for your heart
  • for cholesterol
  • for diabetes
  • for infection
  • for fungus
  • for transplant
  • for nausea and vomiting because of cancer treatments
  • for mental problems

Know the medicines you take. Keep a list of them to show your doctor or pharmacist when you get a new medicine.

How should I take Ranolazine extended-release tablets?

  • Take Ranolazine extended-release tablets exactly as your doctor tells you.
  • Your doctor will tell you how much Ranolazine extended-release tablets to take and when to take it.
  • Do not change your dose unless your doctor tells you to.
  • Tell your doctor if you still have symptoms of angina after starting Ranolazine extended-release tablets.
  • Take Ranolazine extended-release tablets by mouth, with or without food.
  • Swallow the Ranolazine extended-release tablets whole. Do not crush, break, or chew Ranolazine extended-release tablets before swallowing.
  • If you miss a dose of Ranolazine extended-release tablets, wait to take the next dose of Ranolazine extended-release tablets at your regular time. Do not make up for the missed dose. Do not take more than 1 dose at a time.
  • If you take too much Ranolazine extended-release tablets, call your doctor, or go to the nearest emergency room right away.

What should I avoid while taking Ranolazine extended-release tablets?

  • Grapefruit and grapefruit juice. Limit products that have grapefruit in them.

    They can cause your blood levels of Ranolazine extended-release tablets to increase.
  • Ranolazine extended-release tablets can cause dizziness, lightheadedness, or fainting. If you have these symptoms, do not drive a car, use machinery, or do anything that needs you to be alert.

What are the possible side effects of Ranolazine extended-release tablets?

Ranolazine extended-release tablets may cause serious side effects, including:

  • changes in the electrical activity of your heart called QT prolongation. Your doctor may check the electrical activity of your heart with an ECG. Tell your doctor right away if you feel faint, lightheaded, or feel your heart beating irregularly or fast while taking Ranolazine extended-release tablets. These may be symptoms related to QT prolongation.
  • kidney failure in people who already have severe kidney problems. Your doctor may need to do tests to check how your kidneys are working.

The most common side effects of Ranolazine extended-release tablets include:

  • dizziness
  • headache
  • constipation
  • nausea

Tell your doctor if you have any side effect that bothers you or does not go away.

These are not all the possible side effects of Ranolazine extended-release tablets. For more information, ask your doctor or pharmacist.

Call your doctor for medical advice about side effects. You may report side effects to FDA at 1-800-FDA-1088.

How should I store Ranolazine extended-release tablets?

Store Ranolazine extended-release tablets at room temperature between 59° to 86°F (15° to 30°C).

Keep Ranolazine extended-release tablets and all medicines out of the reach of children.

General information about Ranolazine extended-release tablets.

Medicines are sometimes prescribed for purposes other than those listed in the Patient Information. Do not use Ranolazine extended-release tablets for a condition for which it was not prescribed. Do not give Ranolazine extended-release tablets to other people, even if they have the same condition you have. It may harm them.

The Patient Information summarizes the most important information about Ranolazine extended-release tablets. If you would like more information, talk with your doctor. You can ask your pharmacist or doctor for information about Ranolazine extended-release tablets that is written for health professionals.

For more information call contact Westminster Pharmaceuticals, LLC at 1-844-221-7294.

What is chronic angina?

Chronic angina means pain or discomfort in the chest, jaw, shoulder, back, or arm that keeps coming back. There are other possible signs and symptoms of angina including shortness of breath. Angina usually comes on when you are active or under stress. Chronic angina is a symptom of a heart problem called coronary heart disease (CHD), also known as coronary artery disease (CAD). When you have CHD, the blood vessels in your heart become stiff and narrow. Oxygen-rich blood cannot reach your heart muscle easily. Angina comes on when too little oxygen reaches your heart muscle.

What are the ingredients in Ranolazine extended-release tablets?

Active ingredient: Ranolazine

Inactive ingredients:

500 mg tablet: microcrystalline cellulose, methacrylic acid and ethyl acrylate copolymer, sodium lauryl sulfate, polysorbate 80, hypromellose, sodium hydroxide, magnesium stearate, hydroxypropyl methyl cellulose, titanium dioxide, lactose monohydrate, polyethylene glycol, triacetin, Iron oxide red, Iron oxide yellow.

This Patient Information has been approved by the U.S. Food and Drug Administration.

Manufactured by:

ScieGen Pharmaceuticals Inc

Hauppauge, NY 11788 USA

Manufactured for:

Westminster Pharmaceuticals, LLC

Nashville, TN 37217

Relabeled by:

Proficient Rx LP

Thousand Oaks, CA 91320

Rev. 5/2021

All trademarks are the property of their respective owners.

Description

Ranolazine extended-release tablets are indicated for the treatment of chronic angina. Ranolazine extended-release tablets may be used with beta-blockers, nitrates, calcium channel blockers, anti-platelet therapy, lipid-lowering therapy, ACE inhibitors, and angiotensin receptor blockers.

Section 42229-5

Laboratory Abnormalities:

Ranolazine extended-release tablets produces elevations of serum creatinine by 0.1 mg/dL, regardless of previous renal function, likely because of inhibition of creatinine's tubular secretion. In general, the elevation has a rapid onset, shows no signs of progression during long-term therapy, is reversible after discontinuation of Ranolazine extended-release tablets, and is not accompanied by changes in BUN. In healthy volunteers, Ranolazine extended-release tablets 1000 mg twice daily had no effect upon the glomerular filtration rate. More marked and progressive increases in serum creatinine, associated with increases in BUN or potassium, indicating acute renal failure, have been reported after initiation of Ranolazine extended-release tablets in patients with severe renal impairment [see Warnings and Precautions (5.2), Use in Specific Populations (8.7)].

Section 44425-7

Store at 25°C (77°F); with excursions permitted to 15°C to 30°C (59°F to 86°F). [See USP Controlled Room Temperature.]

10 Overdosage

Hypotension, QT prolongation, bradycardia, myoclonic activity, severe tremor, unsteady gait/incoordination, dizziness, nausea, vomiting, dysphasia, and hallucinations have been seen in cases of oral overdose of Ranolazine extended-release tablets. In cases of extreme overdose of Ranolazine extended-release tablets fatal outcomes have been reported. In clinical studies, high intravenous exposure resulted in diplopia, paresthesia, confusion, and syncope.

In addition to general supportive measures, continuous ECG monitoring may be warranted in the event of overdose.

Since Ranolazine is about 62% bound to plasma proteins, hemodialysis is unlikely to be effective in clearing Ranolazine.

15 References

M.A. Suckow et al. The anti-ischemia agent ranolazine promotes the development of intestinal tumors in APC (min/+) mice. Cancer Letters 209(2004):165–9.

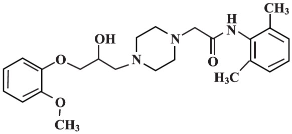
11 Description

Ranolazine is available as a film-coated, non-scored, extended-release tablet for oral administration.

Ranolazine is a racemic mixture, chemically described as 1-piperazineacetamide, N-(2,6-dimethylphenyl)-4-[2-hydroxy-3-(2-methoxyphenoxy)propyl]-, (±)-. It has an empirical formula of C24H33N3O4, a molecular weight of 427.54 g/mole, and the following structural formula:

Ranolazine is a white to off-white crystalline powder. Ranolazine is soluble in dichloromethane and methanol.

Ranolazine extended-release tablets contain 500 mg or 1000 mg of ranolazine and the following inactive ingredients: microcrystalline cellulose, methacrylic acid and ethyl acrylate copolymer, sodium lauryl sulfate, polysorbate 80, hypromellose, sodium hydroxide and magnesium stearate. Additional inactive ingredients for the 500 mg tablet include hydroxypropyl methyl cellulose, titanium dioxide, lactose monohydrate, polyethylene glycol, triacetin, Iron Oxide Yellow, and Iron Oxide Red; additional inactive ingredients for the 1000 mg tablet include hydroxypropyl methyl cellulose, titanium dioxide, lactose monohydrate, polyethylene glycol, triacetin and Iron Oxide Yellow.

5.2 Renal Failure

Acute renal failure has been observed in some patients with severe renal impairment (creatinine clearance [CrCL] <30 mL/min) while taking Ranolazine extended-release tablets. If acute renal failure develops (e.g., marked increase in serum creatinine associated with an increase in blood urea nitrogen [BUN]), discontinue Ranolazine extended-release tablets and treat appropriately [see Use in Specific Populations (8.7)].

Monitor renal function after initiation and periodically in patients with moderate to severe renal impairment (CrCL <60 mL/min) for increases in serum creatinine accompanied by an increase in BUN.

8.4 Pediatric Use

Safety and effectiveness have not been established in pediatric patients.

8.5 Geriatric Use

Of the chronic angina patients treated with Ranolazine extended-release tablets in controlled studies, 496 (48%) were ≥65 years of age, and 114 (11%) were ≥75 years of age. No overall differences in efficacy were observed between older and younger patients. There were no differences in safety for patients ≥65 years compared to younger patients, but patients ≥75 years of age on Ranolazine extended-release tablets, compared to placebo, had a higher incidence of adverse events, serious adverse events, and drug discontinuations due to adverse events. In general, dose selection for an elderly patient should usually start at the low end of the dosing range, reflecting the greater frequency of decreased hepatic, renal, or cardiac function, and of concomitant disease, or other drug therapy.

4 Contraindications

Ranolazine extended-release tablets are contraindicated in patients:

6 Adverse Reactions

Most common adverse reactions (>4% and more common than with placebo) are dizziness, headache, constipation, nausea. (6.1)

To report SUSPECTED ADVERSE REACTIONS, contact Westminster Pharmaceuticals, LLC at 1-844-221-7294 or FDA at 1-800-FDA-1088 or www.fda.gov/medwatch.

7 Drug Interactions
  • Moderate CYP3A inhibitors (e.g., diltiazem, verapamil, erythromycin): Limit Ranolazine extended-release tablets to 500 mg twice daily. (7.1)
  • P-gp inhibitors (e.g., cyclosporine): Ranolazine exposure increased. Titrate Ranolazine extended-release tablets based on clinical response. (7.1)
  • CYP3A substrates: Limit simvastatin to 20 mg when used with Ranolazine extended-release tablets. Doses of other sensitive CYP3A substrates (e.g., lovastatin) and CYP3A substrates with narrow therapeutic range (e.g., cyclosporine, tacrolimus, sirolimus) may need to be reduced with Ranolazine extended-release tablets. (7.2)
  • OCT2 substrates: Limit the dose of metformin to 1700 mg daily when used with Ranolazine extended-release tablets 1000 mg twice daily. Doses of other OCT2 substrates may require adjusted doses. (7.2)
  • Drugs transported by P-gp (e.g., digoxin), or drugs metabolized by CYP2D6 (e.g., tricyclic antidepressants) may need reduced doses when used with Ranolazine extended-release tablets. (7.2)
12.3 Pharmacokinetics

Ranolazine is extensively metabolized in the gut and liver and its absorption is highly variable. For example, at a dose of 1000 mg twice daily, the mean steady-state Cmax was 2600 ng/mL with 95% confidence limits of 400 and 6100 ng/mL. The pharmacokinetics of the (+) R-and (-) S-enantiomers of ranolazine are similar in healthy volunteers. The apparent terminal half-life of ranolazine is 7 hours. Steady state is generally achieved within 3 days of twice-daily dosing with Ranolazine extended-release tablets. At steady state over the dose range of 500 to 1000 mg twice daily, Cmax and AUC0-T increase slightly more than proportionally to dose, 2.2-and 2.4-fold, respectively. With twice-daily dosing, the trough:peak ratio of the ranolazine plasma concentration is 0.3 to 0.6. The pharmacokinetics of ranolazine is unaffected by age, gender, or food.

2.2 Dose Modification

Dose adjustments may be needed when Ranolazine extended-release tablets are taken in combination with certain other drugs [see Drug Interactions (7.1)]. Limit the maximum dose of Ranolazine extended-release tablets to 500 mg twice daily in patients on moderate CYP3A inhibitors such as diltiazem, verapamil, and erythromycin. Use of Ranolazine extended-release tablets with strong CYP3A inhibitors is contraindicated [see Contraindications (4), Drug Interactions (7.1)]. Use of P-gp inhibitors, such as cyclosporine, may increase exposure to Ranolazine extended-release tablets. Titrate Ranolazine extended-release tablets based on clinical response [see Drug Interactions (7.1)].

2.1 Dosing Information

Initiate Ranolazine extended-release tablets dosing at 500 mg twice daily and increase to 1000 mg twice daily, as needed, based on clinical symptoms. Take Ranolazine extended-release tablets with or without meals. Swallow Ranolazine extended-release tablets whole; do not crush, break, or chew.

The maximum recommended daily dose of Ranolazine extended-release tablets is 1000 mg twice daily.

If a dose of Ranolazine extended-release tablets is missed, take the prescribed dose at the next scheduled time; do not double the next dose.

1 Indications and Usage

Ranolazine extended-release tablets are indicated for the treatment of chronic angina.

Ranolazine extended-release tablets may be used with beta-blockers, nitrates, calcium channel blockers, anti-platelet therapy, lipid-lowering therapy, ACE inhibitors, and angiotensin receptor blockers.

12.1 Mechanism of Action

The mechanism of action of ranolazine's antianginal effects has not been determined. Ranolazine has anti-ischemic and antianginal effects that do not depend upon reductions in heart rate or blood pressure. It does not affect the rate-pressure product, a measure of myocardial work, at maximal exercise. Ranolazine at therapeutic levels can inhibit the cardiac late sodium current (INa). However, the relationship of this inhibition to angina symptoms is uncertain.

The QT prolongation effect of ranolazine on the surface electrocardiogram is the result of inhibition of IKr, which prolongs the ventricular action potential.

14.1 Chronic Stable Angina

CARISA (Combination Assessment of Ranolazine In Stable Angina) was a study in 823 chronic angina patients randomized to receive 12 weeks of treatment with twice-daily Ranolazine extended-release tablets 750 mg, 1000 mg, or placebo, who also continued on daily doses of atenolol 50 mg, amlodipine 5 mg, or diltiazem CD 180 mg. Sublingual nitrates were used in this study as needed.

In this trial, statistically significant (p <0.05) increases in modified Bruce treadmill exercise duration and time to angina were observed for each Ranolazine extended-release tablets dose versus placebo, at both trough (12 hours after dosing) and peak (4 hours after dosing) plasma levels, with minimal effects on blood pressure and heart rate. The changes versus placebo in exercise parameters are presented in Table 1. Exercise treadmill results showed no increase in effect on exercise at the 1000 mg dose compared to the 750 mg dose.

Table 1 Exercise Treadmill Results (CARISA)
Mean Difference from Placebo (sec)
Study CARISA (N=791)
Ranolazine extended-release tablets Twice-daily Dose 750 mg 1000 mg

Exercise Duration

  Trough

24

p-value ≤ 0.05

24

  Peak

34

p-value ≤ 0.005

26

Time to Angina

  Trough

30

26

  Peak

38

38

Time to 1 mm ST-Segment Depression

  Trough

20

21

  Peak

41

35

The effects of Ranolazine extended-release tablets on angina frequency and nitroglycerin use are shown in Table 2.

Table 2 Angina Frequency and Nitroglycerin Use (CARISA)
Placebo Ranolazine extended-release tablets 750 mg
Twice daily
Ranolazine extended-release tablets 1000 mg

Angina Frequency

(attacks/week)

N

258

272

261

Mean

3.3

2.5

2.1

P-value vs Placebo

0.006

< 0.001

Nitroglycerin Use

(doses/week)

N

252

262

244

Mean

3.1

2.1

1.8

P-value vs placebo

0.016

< 0.001

Tolerance to Ranolazine extended-release tablets did not develop after 12 weeks of therapy. Rebound increases in angina, as measured by exercise duration, have not been observed following abrupt discontinuation of Ranolazine extended-release tablets.

Ranolazine extended-release tablets has been evaluated in patients with chronic angina who remained symptomatic despite treatment with the maximum dose of an antianginal agent. In the ERICA (Efficacy of Ranolazine In Chronic Angina) trial, 565 patients were randomized to receive an initial dose of Ranolazine extended-release tablets 500 mg twice daily or placebo for 1 week, followed by 6 weeks of treatment with Ranolazine extended-release tablets 1000 mg twice daily or placebo, in addition to concomitant treatment with amlodipine 10 mg once daily. In addition, 45% of the study population also received long-acting nitrates. Sublingual nitrates were used as needed to treat angina episodes. Results are shown in Table 3. Statistically significant decreases in angina attack frequency (p=0.028) and nitroglycerin use (p=0.014) were observed with Ranolazine extended-release tablets compared to placebo. These treatment effects appeared consistent across age and use of long-acting nitrates.

Table 3 Angina Frequency and Nitroglycerin Use (ERICA)
Placebo Ranolazine extended-release tablets
1000 mg twice daily

Angina Frequency

(attacks/week)

N

281

277

Mean

4.3

3.3

Median

2.4

2.2

Nitroglycerin Use

(doses/week)

N

281

277

Mean

3.6

2.7

Median

1.7

1.3

5 Warnings and Precautions
  • QT interval prolongation: Can occur with ranolazine. Little data available on high doses, long exposure, use with QT interval- prolonging drugs, potassium channel variants causing prolonged QT interval, in patients with a family history of (or congenital) long QT syndrome, or in patients with known acquired QT interval prolongation (5.1)
  • Renal failure: Monitor renal function after initiation and periodically in patients with moderate to severe renal impairment (CrCL<60 mL/min). If acute renal failure develops, discontinue Ranolazine extended-release tablets. (5.2)
2 Dosage and Administration

500 mg twice daily and increase to 1000 mg twice daily, based on clinical symptoms (2.1)

3 Dosage Forms and Strengths

Ranolazine extended-release tablets are in the following strength:

  • Peach, oblong shaped, film-coated, extended release tablet debossed with "423" on one side and "SG" on the other side.
5.1 Qt Interval Prolongation

Ranolazine blocks IKr and prolongs the QTc interval in a dose-related manner.

Clinical experience in an acute coronary syndrome population did not show an increased risk of proarrhythmia or sudden death [see Clinical Studies (14.2)]. However, there is little experience with high doses (>1000 mg twice daily) or exposure, other QT-prolonging drugs, potassium channel variants resulting in a long QT interval, in patients with a family history of (or congenital) long QT syndrome, or in patients with known acquired QT interval prolongation.

6.2 Postmarketing Experience

The following adverse reactions have been identified during postapproval use of Ranolazine extended-release tablets. Because these reactions are reported voluntarily from a population of uncertain size, it is not always possible to reliably estimate their frequency or establish a causal relationship to drug exposure:

Nervous System Disorders – Abnormal coordination, myoclonus, paresthesia, tremor, and other serious neurologic adverse events have been reported to occur, sometimes concurrently, in patients taking ranolazine. The onset of events was often associated with an increase in ranolazine dose or exposure. Many patients reported symptom resolution following drug discontinuation or dose decrease.

Metabolism and Nutrition Disorders – Cases of hypoglycemia have been reported in diabetic patients on antidiabetic medication.

Psychiatric Disorders – hallucination

Renal and Urinary Disorders – dysuria, urinary retention

Skin and Subcutaneous Tissue Disorders – angioedema, pruritus, rash

6.1 Clinical Trial Experience

Because clinical trials are conducted under widely varying conditions, adverse reaction rates observed in the clinical trials of a drug cannot be directly compared to rates in the clinical trials of another drug and may not reflect the rates observed in practice.

A total of 2018 patients with chronic angina were treated with ranolazine in controlled clinical trials. Of the patients treated with Ranolazine extended-release tablets, 1026 were enrolled in three double-blind, placebo-controlled, randomized studies (CARISA, ERICA, MARISA) of up to 12 weeks' duration. In addition, upon study completion, 1251 patients received treatment with Ranolazine extended-release tablets in open-label, long-term studies; 1227 patients were exposed to Ranolazine extended-release tablets for more than 1 year, 613 patients for more than 2 years, 531 patients for more than 3 years, and 326 patients for more than 4 years.

At recommended doses, about 6% of patients discontinued treatment with Ranolazine extended-release tablets because of an adverse event in controlled studies in angina patients compared to about 3% on placebo. The most common adverse events that led to discontinuation more frequently on Ranolazine extended-release tablets than placebo were dizziness (1.3% versus 0.1%), nausea (1% versus 0%), asthenia, constipation, and headache (each about 0.5% versus 0%). Doses above 1000 mg twice daily are poorly tolerated.

In controlled clinical trials of angina patients, the most frequently reported treatment-emergent adverse reactions (>4% and more common on Ranolazine extended-release tablets than on placebo) were dizziness (6.2%), headache (5.5%), constipation (4.5%), and nausea (4.4%). Dizziness may be dose-related. In open-label, long-term treatment studies, a similar adverse reaction profile was observed.

The following additional adverse reactions occurred at an incidence of 0.5 to 4.0% in patients treated with Ranolazine extended-release tablets and were more frequent than the incidence observed in placebo-treated patients:

Cardiac Disorders – bradycardia, palpitations

Ear and Labyrinth Disorders – tinnitus, vertigo

Eye Disorders – blurred vision

Gastrointestinal Disorders – abdominal pain, dry mouth, vomiting, dyspepsia

General Disorders and Administrative Site Adverse Events – asthenia, peripheral edema

Metabolism and Nutrition Disorders – anorexia

Nervous System Disorders – syncope (vasovagal)

Psychiatric Disorders – confusional state

Renal and Urinary Disorders – hematuria

Respiratory, Thoracic, and Mediastinal Disorders – dyspnea

Skin and Subcutaneous Tissue Disorders – hyperhidrosis

Vascular Disorders – hypotension, orthostatic hypotension

Other (<0.5%) but potentially medically important adverse reactions observed more frequently with Ranolazine extended-release tablets than placebo treatment in all controlled studies included: angioedema, renal failure, eosinophilia, chromaturia, blood urea increased, hypoesthesia, paresthesia, tremor, pulmonary fibrosis, thrombocytopenia, leukopenia, and pancytopenia.

A large clinical trial in acute coronary syndrome patients was unsuccessful in demonstrating a benefit for Ranolazine extended-release tablets, but there was no apparent proarrhythmic effect in these high-risk patients [see Clinical Studies (14.2)].

17 Patient Counseling Information

Advise the patient to read the FDA-approved patient labeling (Patient Information).

Inform patients that Ranolazine extended-release tablets will not abate an acute angina episode.

16 How Supplied/storage and Handling

Ranolazine extended-release tablets are supplied as film-coated, oblong-shaped, extended-release tablets in the following strength:

  • 500 mg tablets are peach, with "423" on one side and "SG" on the other side

Ranolazine extended-release tablets 500 mg are available in:

Bottle of 60 Tablets:

NDC 82804-118-60

8.8 Use in Patients With Heart Failure

Heart failure (NYHA Class I to IV) had no significant effect on ranolazine pharmacokinetics. Ranolazine extended-release tablets had minimal effects on heart rate and blood pressure in patients with angina and heart failure NYHA Class I to IV. No dose adjustment of Ranolazine extended-release tablets is required in patients with heart failure.

8.7 Use in Patients With Renal Impairment

A pharmacokinetic study of Ranolazine extended-release tablets in subjects with severe renal impairment (CrCL <30 mL/min) was stopped when 2 of 4 subjects developed acute renal failure after receiving Ranolazine extended-release tablets 500 mg twice daily for 5 days (lead-in phase) followed by 1000 mg twice a day (1 dose in one subject and 11 doses in the other). Increases in creatinine, BUN, and potassium were observed in 3 subjects during the 500 mg lead-in phase. One subject required hemodialysis, while the other 2 subjects improved upon drug discontinuation [see Warnings and Precautions (5.2)]. Monitor renal function periodically in patients with moderate to severe renal impairment. Discontinue Ranolazine extended-release tablets if acute renal failure develops.

In a separate study, Cmax was increased between 40% and 50% in patients with mild, moderate, or severe renal impairment compared to patients with no renal impairment, suggesting a similar increase in exposure in patients with renal failure independent of the degree of impairment. The pharmacokinetics of ranolazine has not been assessed in patients on dialysis.

8.9 Use in Patients With Diabetes Mellitus

A population pharmacokinetic evaluation of data from angina patients and healthy subjects showed no effect of diabetes on ranolazine pharmacokinetics. No dose adjustment is required in patients with diabetes.

Ranolazine extended-release tablets produces small reductions in HbA1c in patients with diabetes, the clinical significance of which is unknown. Ranolazine extended-release tablets should not be considered a treatment for diabetes.

8.6 Use in Patients With Hepatic Impairment

Ranolazine extended-release tablets are contraindicated in patients with liver cirrhosis. In a study of cirrhotic patients, the Cmax of ranolazine was increased 30% in cirrhotic patients with mild (Child-Pugh Class A) hepatic impairment, but increased 80% in cirrhotic patients with moderate (Child-Pugh Class B) hepatic impairment compared to patients without hepatic impairment. This increase was not enough to account for the 3-fold increase in QT prolongation seen in cirrhotic patients with mild to moderate hepatic impairment [see Clinical Pharmacology (12.2)].

14.2 Lack of Benefit in Acute Coronary Syndrome

In a large (n=6560) placebo-controlled trial (MERLIN-TIMI 36) in patients with acute coronary syndrome, there was no benefit shown on outcome measures. However, the study is somewhat reassuring regarding proarrhythmic risks, as ventricular arrhythmias were less common on ranolazine [see Clinical Pharmacology (12.2)], and there was no difference between Ranolazine extended-release tablets and placebo in the risk of all-cause mortality (relative risk ranolazine: placebo 0.99 with an upper 95% confidence limit of 1.22).

Principal Display Panel 500 Mg Tablet Bottle Label

NDC 82804-118-60

Rx Only

Ranolazine

Extended-Release

Tablets

500 mg

Swallow Ranolazine Extended-Release

tablets whole; do not crush, break, or chew.

60 Tablets

13.1 Carcinogenesis, Mutagenesis, Impairment of Fertility

Ranolazine tested negative for genotoxic potential in the following assays: Ames bacterial mutation assay, Saccharomyces assay for mitotic gene conversion, chromosomal aberrations assay in Chinese hamster ovary (CHO) cells, mammalian CHO/HGPRT gene mutation assay, and mouse and rat bone marrow micronucleus assays.

There was no evidence of carcinogenic potential in mice or rats. The highest oral doses used in the carcinogenicity studies were 150 mg/kg/day for 21 months in rats (900 mg/m2/day) and 50 mg/kg/day for 24 months in mice (150 mg/m2/day). These maximally tolerated doses are 0.8 and 0.1 times, respectively, the daily maximum recommended human dose (MRHD) of 2000 mg on a surface area basis. A published study reported that ranolazine promoted tumor formation and progression to malignancy when given to transgenic APC (min/+) mice at a dose of 30 mg/kg twice daily [see References (15)]. The clinical significance of this finding is unclear.

In male and female rats, oral administration of ranolazine that produced exposures (AUC) approximately 3-fold or 5-fold higher, respectively, than the MRHD had no effect on fertility.


Structured Label Content

Section 42229-5 (42229-5)

Laboratory Abnormalities:

Ranolazine extended-release tablets produces elevations of serum creatinine by 0.1 mg/dL, regardless of previous renal function, likely because of inhibition of creatinine's tubular secretion. In general, the elevation has a rapid onset, shows no signs of progression during long-term therapy, is reversible after discontinuation of Ranolazine extended-release tablets, and is not accompanied by changes in BUN. In healthy volunteers, Ranolazine extended-release tablets 1000 mg twice daily had no effect upon the glomerular filtration rate. More marked and progressive increases in serum creatinine, associated with increases in BUN or potassium, indicating acute renal failure, have been reported after initiation of Ranolazine extended-release tablets in patients with severe renal impairment [see Warnings and Precautions (5.2), Use in Specific Populations (8.7)].

Section 44425-7 (44425-7)

Store at 25°C (77°F); with excursions permitted to 15°C to 30°C (59°F to 86°F). [See USP Controlled Room Temperature.]

10 Overdosage (10 OVERDOSAGE)

Hypotension, QT prolongation, bradycardia, myoclonic activity, severe tremor, unsteady gait/incoordination, dizziness, nausea, vomiting, dysphasia, and hallucinations have been seen in cases of oral overdose of Ranolazine extended-release tablets. In cases of extreme overdose of Ranolazine extended-release tablets fatal outcomes have been reported. In clinical studies, high intravenous exposure resulted in diplopia, paresthesia, confusion, and syncope.

In addition to general supportive measures, continuous ECG monitoring may be warranted in the event of overdose.

Since Ranolazine is about 62% bound to plasma proteins, hemodialysis is unlikely to be effective in clearing Ranolazine.

15 References (15 REFERENCES)

M.A. Suckow et al. The anti-ischemia agent ranolazine promotes the development of intestinal tumors in APC (min/+) mice. Cancer Letters 209(2004):165–9.

11 Description (11 DESCRIPTION)

Ranolazine is available as a film-coated, non-scored, extended-release tablet for oral administration.

Ranolazine is a racemic mixture, chemically described as 1-piperazineacetamide, N-(2,6-dimethylphenyl)-4-[2-hydroxy-3-(2-methoxyphenoxy)propyl]-, (±)-. It has an empirical formula of C24H33N3O4, a molecular weight of 427.54 g/mole, and the following structural formula:

Ranolazine is a white to off-white crystalline powder. Ranolazine is soluble in dichloromethane and methanol.

Ranolazine extended-release tablets contain 500 mg or 1000 mg of ranolazine and the following inactive ingredients: microcrystalline cellulose, methacrylic acid and ethyl acrylate copolymer, sodium lauryl sulfate, polysorbate 80, hypromellose, sodium hydroxide and magnesium stearate. Additional inactive ingredients for the 500 mg tablet include hydroxypropyl methyl cellulose, titanium dioxide, lactose monohydrate, polyethylene glycol, triacetin, Iron Oxide Yellow, and Iron Oxide Red; additional inactive ingredients for the 1000 mg tablet include hydroxypropyl methyl cellulose, titanium dioxide, lactose monohydrate, polyethylene glycol, triacetin and Iron Oxide Yellow.

5.2 Renal Failure

Acute renal failure has been observed in some patients with severe renal impairment (creatinine clearance [CrCL] <30 mL/min) while taking Ranolazine extended-release tablets. If acute renal failure develops (e.g., marked increase in serum creatinine associated with an increase in blood urea nitrogen [BUN]), discontinue Ranolazine extended-release tablets and treat appropriately [see Use in Specific Populations (8.7)].

Monitor renal function after initiation and periodically in patients with moderate to severe renal impairment (CrCL <60 mL/min) for increases in serum creatinine accompanied by an increase in BUN.

8.4 Pediatric Use

Safety and effectiveness have not been established in pediatric patients.

8.5 Geriatric Use

Of the chronic angina patients treated with Ranolazine extended-release tablets in controlled studies, 496 (48%) were ≥65 years of age, and 114 (11%) were ≥75 years of age. No overall differences in efficacy were observed between older and younger patients. There were no differences in safety for patients ≥65 years compared to younger patients, but patients ≥75 years of age on Ranolazine extended-release tablets, compared to placebo, had a higher incidence of adverse events, serious adverse events, and drug discontinuations due to adverse events. In general, dose selection for an elderly patient should usually start at the low end of the dosing range, reflecting the greater frequency of decreased hepatic, renal, or cardiac function, and of concomitant disease, or other drug therapy.

4 Contraindications (4 CONTRAINDICATIONS)

Ranolazine extended-release tablets are contraindicated in patients:

6 Adverse Reactions (6 ADVERSE REACTIONS)

Most common adverse reactions (>4% and more common than with placebo) are dizziness, headache, constipation, nausea. (6.1)

To report SUSPECTED ADVERSE REACTIONS, contact Westminster Pharmaceuticals, LLC at 1-844-221-7294 or FDA at 1-800-FDA-1088 or www.fda.gov/medwatch.

7 Drug Interactions (7 DRUG INTERACTIONS)
  • Moderate CYP3A inhibitors (e.g., diltiazem, verapamil, erythromycin): Limit Ranolazine extended-release tablets to 500 mg twice daily. (7.1)
  • P-gp inhibitors (e.g., cyclosporine): Ranolazine exposure increased. Titrate Ranolazine extended-release tablets based on clinical response. (7.1)
  • CYP3A substrates: Limit simvastatin to 20 mg when used with Ranolazine extended-release tablets. Doses of other sensitive CYP3A substrates (e.g., lovastatin) and CYP3A substrates with narrow therapeutic range (e.g., cyclosporine, tacrolimus, sirolimus) may need to be reduced with Ranolazine extended-release tablets. (7.2)
  • OCT2 substrates: Limit the dose of metformin to 1700 mg daily when used with Ranolazine extended-release tablets 1000 mg twice daily. Doses of other OCT2 substrates may require adjusted doses. (7.2)
  • Drugs transported by P-gp (e.g., digoxin), or drugs metabolized by CYP2D6 (e.g., tricyclic antidepressants) may need reduced doses when used with Ranolazine extended-release tablets. (7.2)
Patient Information

Read this Patient Information before you start taking Ranolazine extended-release tablets and each time you get a refill. There may be new information. This information does not take the place of talking with your doctor about your medical condition or treatment.

What are Ranolazine extended-release tablets?

Ranolazine extended-release tablets are prescription medicine used to treat angina that keeps coming back (chronic angina).

Ranolazine extended-release tablets may be used with other medicines that are used for heart problems and blood pressure control.

It is not known if Ranolazine extended-release tablets are safe and effective in children.

Who should not take Ranolazine extended-release tablets?

Do not take Ranolazine extended-release tablets if:

  • you take any of the following medicines:
    • o
      for fungus infection: ketoconazole (Nizoral®), itraconazole (Sporanox®, Onmel™)
    • o
      for infection: clarithromycin (Biaxin®)
    • o
      for depression: nefazodone
    • o
      for HIV: nelfinavir (Viracept®), ritonavir (Norvir®), lopinavir and ritonavir (Kaletra®), indinavir (Crixivan®), saquinavir (Invirase®)
    • o
      for tuberculosis (TB): rifampin (Rifadin®), rifabutin (Mycobutin®), rifapentine (Priftin®)
    • o
      for seizures: phenobarbital, phenytoin (Phenytek®, Dilantin®, Dilantin125®), carbamazepine (Tegretol®)
    • o
      St. John's wort (Hypericum perforatum)
  • you have scarring (cirrhosis) of your liver

What should I tell my doctor before taking Ranolazine extended-release tablets?

Before you take Ranolazine extended-release tablets, tell your doctor if you:

  • have or have a family history of a heart problem, called 'QT prolongation' or 'long QT syndrome'.
  • have liver problems
  • have kidney problems
  • are pregnant or plan to become pregnant. It is not known if Ranolazine extended-release tablets will harm your unborn baby.
  • are breast-feeding or plan to breast-feed. It is not known if Ranolazine passes into your breast milk. You and your doctor should decide if you will breast-feed.

Tell your doctor about all the medicines you take, including all prescription and nonprescription medicines, vitamins, and herbal supplements. Ranolazine extended-release tablets may affect the way other medicines work and other medicines may affect how Ranolazine extended-release tablets works.

Tell your doctor if you take medicines:

  • for your heart
  • for cholesterol
  • for diabetes
  • for infection
  • for fungus
  • for transplant
  • for nausea and vomiting because of cancer treatments
  • for mental problems

Know the medicines you take. Keep a list of them to show your doctor or pharmacist when you get a new medicine.

How should I take Ranolazine extended-release tablets?

  • Take Ranolazine extended-release tablets exactly as your doctor tells you.
  • Your doctor will tell you how much Ranolazine extended-release tablets to take and when to take it.
  • Do not change your dose unless your doctor tells you to.
  • Tell your doctor if you still have symptoms of angina after starting Ranolazine extended-release tablets.
  • Take Ranolazine extended-release tablets by mouth, with or without food.
  • Swallow the Ranolazine extended-release tablets whole. Do not crush, break, or chew Ranolazine extended-release tablets before swallowing.
  • If you miss a dose of Ranolazine extended-release tablets, wait to take the next dose of Ranolazine extended-release tablets at your regular time. Do not make up for the missed dose. Do not take more than 1 dose at a time.
  • If you take too much Ranolazine extended-release tablets, call your doctor, or go to the nearest emergency room right away.

What should I avoid while taking Ranolazine extended-release tablets?

  • Grapefruit and grapefruit juice. Limit products that have grapefruit in them.

    They can cause your blood levels of Ranolazine extended-release tablets to increase.
  • Ranolazine extended-release tablets can cause dizziness, lightheadedness, or fainting. If you have these symptoms, do not drive a car, use machinery, or do anything that needs you to be alert.

What are the possible side effects of Ranolazine extended-release tablets?

Ranolazine extended-release tablets may cause serious side effects, including:

  • changes in the electrical activity of your heart called QT prolongation. Your doctor may check the electrical activity of your heart with an ECG. Tell your doctor right away if you feel faint, lightheaded, or feel your heart beating irregularly or fast while taking Ranolazine extended-release tablets. These may be symptoms related to QT prolongation.
  • kidney failure in people who already have severe kidney problems. Your doctor may need to do tests to check how your kidneys are working.

The most common side effects of Ranolazine extended-release tablets include:

  • dizziness
  • headache
  • constipation
  • nausea

Tell your doctor if you have any side effect that bothers you or does not go away.

These are not all the possible side effects of Ranolazine extended-release tablets. For more information, ask your doctor or pharmacist.

Call your doctor for medical advice about side effects. You may report side effects to FDA at 1-800-FDA-1088.

How should I store Ranolazine extended-release tablets?

Store Ranolazine extended-release tablets at room temperature between 59° to 86°F (15° to 30°C).

Keep Ranolazine extended-release tablets and all medicines out of the reach of children.

General information about Ranolazine extended-release tablets.

Medicines are sometimes prescribed for purposes other than those listed in the Patient Information. Do not use Ranolazine extended-release tablets for a condition for which it was not prescribed. Do not give Ranolazine extended-release tablets to other people, even if they have the same condition you have. It may harm them.

The Patient Information summarizes the most important information about Ranolazine extended-release tablets. If you would like more information, talk with your doctor. You can ask your pharmacist or doctor for information about Ranolazine extended-release tablets that is written for health professionals.

For more information call contact Westminster Pharmaceuticals, LLC at 1-844-221-7294.

What is chronic angina?

Chronic angina means pain or discomfort in the chest, jaw, shoulder, back, or arm that keeps coming back. There are other possible signs and symptoms of angina including shortness of breath. Angina usually comes on when you are active or under stress. Chronic angina is a symptom of a heart problem called coronary heart disease (CHD), also known as coronary artery disease (CAD). When you have CHD, the blood vessels in your heart become stiff and narrow. Oxygen-rich blood cannot reach your heart muscle easily. Angina comes on when too little oxygen reaches your heart muscle.

What are the ingredients in Ranolazine extended-release tablets?

Active ingredient: Ranolazine

Inactive ingredients:

500 mg tablet: microcrystalline cellulose, methacrylic acid and ethyl acrylate copolymer, sodium lauryl sulfate, polysorbate 80, hypromellose, sodium hydroxide, magnesium stearate, hydroxypropyl methyl cellulose, titanium dioxide, lactose monohydrate, polyethylene glycol, triacetin, Iron oxide red, Iron oxide yellow.

This Patient Information has been approved by the U.S. Food and Drug Administration.

Manufactured by:

ScieGen Pharmaceuticals Inc

Hauppauge, NY 11788 USA

Manufactured for:

Westminster Pharmaceuticals, LLC

Nashville, TN 37217

Relabeled by:

Proficient Rx LP

Thousand Oaks, CA 91320

Rev. 5/2021

All trademarks are the property of their respective owners.

12.3 Pharmacokinetics

Ranolazine is extensively metabolized in the gut and liver and its absorption is highly variable. For example, at a dose of 1000 mg twice daily, the mean steady-state Cmax was 2600 ng/mL with 95% confidence limits of 400 and 6100 ng/mL. The pharmacokinetics of the (+) R-and (-) S-enantiomers of ranolazine are similar in healthy volunteers. The apparent terminal half-life of ranolazine is 7 hours. Steady state is generally achieved within 3 days of twice-daily dosing with Ranolazine extended-release tablets. At steady state over the dose range of 500 to 1000 mg twice daily, Cmax and AUC0-T increase slightly more than proportionally to dose, 2.2-and 2.4-fold, respectively. With twice-daily dosing, the trough:peak ratio of the ranolazine plasma concentration is 0.3 to 0.6. The pharmacokinetics of ranolazine is unaffected by age, gender, or food.

2.2 Dose Modification

Dose adjustments may be needed when Ranolazine extended-release tablets are taken in combination with certain other drugs [see Drug Interactions (7.1)]. Limit the maximum dose of Ranolazine extended-release tablets to 500 mg twice daily in patients on moderate CYP3A inhibitors such as diltiazem, verapamil, and erythromycin. Use of Ranolazine extended-release tablets with strong CYP3A inhibitors is contraindicated [see Contraindications (4), Drug Interactions (7.1)]. Use of P-gp inhibitors, such as cyclosporine, may increase exposure to Ranolazine extended-release tablets. Titrate Ranolazine extended-release tablets based on clinical response [see Drug Interactions (7.1)].

2.1 Dosing Information

Initiate Ranolazine extended-release tablets dosing at 500 mg twice daily and increase to 1000 mg twice daily, as needed, based on clinical symptoms. Take Ranolazine extended-release tablets with or without meals. Swallow Ranolazine extended-release tablets whole; do not crush, break, or chew.

The maximum recommended daily dose of Ranolazine extended-release tablets is 1000 mg twice daily.

If a dose of Ranolazine extended-release tablets is missed, take the prescribed dose at the next scheduled time; do not double the next dose.

1 Indications and Usage (1 INDICATIONS AND USAGE)

Ranolazine extended-release tablets are indicated for the treatment of chronic angina.

Ranolazine extended-release tablets may be used with beta-blockers, nitrates, calcium channel blockers, anti-platelet therapy, lipid-lowering therapy, ACE inhibitors, and angiotensin receptor blockers.

12.1 Mechanism of Action

The mechanism of action of ranolazine's antianginal effects has not been determined. Ranolazine has anti-ischemic and antianginal effects that do not depend upon reductions in heart rate or blood pressure. It does not affect the rate-pressure product, a measure of myocardial work, at maximal exercise. Ranolazine at therapeutic levels can inhibit the cardiac late sodium current (INa). However, the relationship of this inhibition to angina symptoms is uncertain.

The QT prolongation effect of ranolazine on the surface electrocardiogram is the result of inhibition of IKr, which prolongs the ventricular action potential.

14.1 Chronic Stable Angina

CARISA (Combination Assessment of Ranolazine In Stable Angina) was a study in 823 chronic angina patients randomized to receive 12 weeks of treatment with twice-daily Ranolazine extended-release tablets 750 mg, 1000 mg, or placebo, who also continued on daily doses of atenolol 50 mg, amlodipine 5 mg, or diltiazem CD 180 mg. Sublingual nitrates were used in this study as needed.

In this trial, statistically significant (p <0.05) increases in modified Bruce treadmill exercise duration and time to angina were observed for each Ranolazine extended-release tablets dose versus placebo, at both trough (12 hours after dosing) and peak (4 hours after dosing) plasma levels, with minimal effects on blood pressure and heart rate. The changes versus placebo in exercise parameters are presented in Table 1. Exercise treadmill results showed no increase in effect on exercise at the 1000 mg dose compared to the 750 mg dose.

Table 1 Exercise Treadmill Results (CARISA)
Mean Difference from Placebo (sec)
Study CARISA (N=791)
Ranolazine extended-release tablets Twice-daily Dose 750 mg 1000 mg

Exercise Duration

  Trough

24

p-value ≤ 0.05

24

  Peak

34

p-value ≤ 0.005

26

Time to Angina

  Trough

30

26

  Peak

38

38

Time to 1 mm ST-Segment Depression

  Trough

20

21

  Peak

41

35

The effects of Ranolazine extended-release tablets on angina frequency and nitroglycerin use are shown in Table 2.

Table 2 Angina Frequency and Nitroglycerin Use (CARISA)
Placebo Ranolazine extended-release tablets 750 mg
Twice daily
Ranolazine extended-release tablets 1000 mg

Angina Frequency

(attacks/week)

N

258

272

261

Mean

3.3

2.5

2.1

P-value vs Placebo

0.006

< 0.001

Nitroglycerin Use

(doses/week)

N

252

262

244

Mean

3.1

2.1

1.8

P-value vs placebo

0.016

< 0.001

Tolerance to Ranolazine extended-release tablets did not develop after 12 weeks of therapy. Rebound increases in angina, as measured by exercise duration, have not been observed following abrupt discontinuation of Ranolazine extended-release tablets.

Ranolazine extended-release tablets has been evaluated in patients with chronic angina who remained symptomatic despite treatment with the maximum dose of an antianginal agent. In the ERICA (Efficacy of Ranolazine In Chronic Angina) trial, 565 patients were randomized to receive an initial dose of Ranolazine extended-release tablets 500 mg twice daily or placebo for 1 week, followed by 6 weeks of treatment with Ranolazine extended-release tablets 1000 mg twice daily or placebo, in addition to concomitant treatment with amlodipine 10 mg once daily. In addition, 45% of the study population also received long-acting nitrates. Sublingual nitrates were used as needed to treat angina episodes. Results are shown in Table 3. Statistically significant decreases in angina attack frequency (p=0.028) and nitroglycerin use (p=0.014) were observed with Ranolazine extended-release tablets compared to placebo. These treatment effects appeared consistent across age and use of long-acting nitrates.

Table 3 Angina Frequency and Nitroglycerin Use (ERICA)
Placebo Ranolazine extended-release tablets
1000 mg twice daily

Angina Frequency

(attacks/week)

N

281

277

Mean

4.3

3.3

Median

2.4

2.2

Nitroglycerin Use

(doses/week)

N

281

277

Mean

3.6

2.7

Median

1.7

1.3

5 Warnings and Precautions (5 WARNINGS AND PRECAUTIONS)
  • QT interval prolongation: Can occur with ranolazine. Little data available on high doses, long exposure, use with QT interval- prolonging drugs, potassium channel variants causing prolonged QT interval, in patients with a family history of (or congenital) long QT syndrome, or in patients with known acquired QT interval prolongation (5.1)
  • Renal failure: Monitor renal function after initiation and periodically in patients with moderate to severe renal impairment (CrCL<60 mL/min). If acute renal failure develops, discontinue Ranolazine extended-release tablets. (5.2)
2 Dosage and Administration (2 DOSAGE AND ADMINISTRATION)

500 mg twice daily and increase to 1000 mg twice daily, based on clinical symptoms (2.1)

3 Dosage Forms and Strengths (3 DOSAGE FORMS AND STRENGTHS)

Ranolazine extended-release tablets are in the following strength:

  • Peach, oblong shaped, film-coated, extended release tablet debossed with "423" on one side and "SG" on the other side.
5.1 Qt Interval Prolongation (5.1 QT Interval Prolongation)

Ranolazine blocks IKr and prolongs the QTc interval in a dose-related manner.

Clinical experience in an acute coronary syndrome population did not show an increased risk of proarrhythmia or sudden death [see Clinical Studies (14.2)]. However, there is little experience with high doses (>1000 mg twice daily) or exposure, other QT-prolonging drugs, potassium channel variants resulting in a long QT interval, in patients with a family history of (or congenital) long QT syndrome, or in patients with known acquired QT interval prolongation.

6.2 Postmarketing Experience

The following adverse reactions have been identified during postapproval use of Ranolazine extended-release tablets. Because these reactions are reported voluntarily from a population of uncertain size, it is not always possible to reliably estimate their frequency or establish a causal relationship to drug exposure:

Nervous System Disorders – Abnormal coordination, myoclonus, paresthesia, tremor, and other serious neurologic adverse events have been reported to occur, sometimes concurrently, in patients taking ranolazine. The onset of events was often associated with an increase in ranolazine dose or exposure. Many patients reported symptom resolution following drug discontinuation or dose decrease.

Metabolism and Nutrition Disorders – Cases of hypoglycemia have been reported in diabetic patients on antidiabetic medication.

Psychiatric Disorders – hallucination

Renal and Urinary Disorders – dysuria, urinary retention

Skin and Subcutaneous Tissue Disorders – angioedema, pruritus, rash

6.1 Clinical Trial Experience

Because clinical trials are conducted under widely varying conditions, adverse reaction rates observed in the clinical trials of a drug cannot be directly compared to rates in the clinical trials of another drug and may not reflect the rates observed in practice.

A total of 2018 patients with chronic angina were treated with ranolazine in controlled clinical trials. Of the patients treated with Ranolazine extended-release tablets, 1026 were enrolled in three double-blind, placebo-controlled, randomized studies (CARISA, ERICA, MARISA) of up to 12 weeks' duration. In addition, upon study completion, 1251 patients received treatment with Ranolazine extended-release tablets in open-label, long-term studies; 1227 patients were exposed to Ranolazine extended-release tablets for more than 1 year, 613 patients for more than 2 years, 531 patients for more than 3 years, and 326 patients for more than 4 years.

At recommended doses, about 6% of patients discontinued treatment with Ranolazine extended-release tablets because of an adverse event in controlled studies in angina patients compared to about 3% on placebo. The most common adverse events that led to discontinuation more frequently on Ranolazine extended-release tablets than placebo were dizziness (1.3% versus 0.1%), nausea (1% versus 0%), asthenia, constipation, and headache (each about 0.5% versus 0%). Doses above 1000 mg twice daily are poorly tolerated.

In controlled clinical trials of angina patients, the most frequently reported treatment-emergent adverse reactions (>4% and more common on Ranolazine extended-release tablets than on placebo) were dizziness (6.2%), headache (5.5%), constipation (4.5%), and nausea (4.4%). Dizziness may be dose-related. In open-label, long-term treatment studies, a similar adverse reaction profile was observed.

The following additional adverse reactions occurred at an incidence of 0.5 to 4.0% in patients treated with Ranolazine extended-release tablets and were more frequent than the incidence observed in placebo-treated patients:

Cardiac Disorders – bradycardia, palpitations

Ear and Labyrinth Disorders – tinnitus, vertigo

Eye Disorders – blurred vision

Gastrointestinal Disorders – abdominal pain, dry mouth, vomiting, dyspepsia

General Disorders and Administrative Site Adverse Events – asthenia, peripheral edema

Metabolism and Nutrition Disorders – anorexia

Nervous System Disorders – syncope (vasovagal)

Psychiatric Disorders – confusional state

Renal and Urinary Disorders – hematuria

Respiratory, Thoracic, and Mediastinal Disorders – dyspnea

Skin and Subcutaneous Tissue Disorders – hyperhidrosis

Vascular Disorders – hypotension, orthostatic hypotension

Other (<0.5%) but potentially medically important adverse reactions observed more frequently with Ranolazine extended-release tablets than placebo treatment in all controlled studies included: angioedema, renal failure, eosinophilia, chromaturia, blood urea increased, hypoesthesia, paresthesia, tremor, pulmonary fibrosis, thrombocytopenia, leukopenia, and pancytopenia.

A large clinical trial in acute coronary syndrome patients was unsuccessful in demonstrating a benefit for Ranolazine extended-release tablets, but there was no apparent proarrhythmic effect in these high-risk patients [see Clinical Studies (14.2)].

17 Patient Counseling Information (17 PATIENT COUNSELING INFORMATION)

Advise the patient to read the FDA-approved patient labeling (Patient Information).

Inform patients that Ranolazine extended-release tablets will not abate an acute angina episode.

16 How Supplied/storage and Handling (16 HOW SUPPLIED/STORAGE AND HANDLING)

Ranolazine extended-release tablets are supplied as film-coated, oblong-shaped, extended-release tablets in the following strength:

  • 500 mg tablets are peach, with "423" on one side and "SG" on the other side

Ranolazine extended-release tablets 500 mg are available in:

Bottle of 60 Tablets:

NDC 82804-118-60

8.8 Use in Patients With Heart Failure (8.8 Use in Patients with Heart Failure)

Heart failure (NYHA Class I to IV) had no significant effect on ranolazine pharmacokinetics. Ranolazine extended-release tablets had minimal effects on heart rate and blood pressure in patients with angina and heart failure NYHA Class I to IV. No dose adjustment of Ranolazine extended-release tablets is required in patients with heart failure.

8.7 Use in Patients With Renal Impairment (8.7 Use in Patients with Renal Impairment)

A pharmacokinetic study of Ranolazine extended-release tablets in subjects with severe renal impairment (CrCL <30 mL/min) was stopped when 2 of 4 subjects developed acute renal failure after receiving Ranolazine extended-release tablets 500 mg twice daily for 5 days (lead-in phase) followed by 1000 mg twice a day (1 dose in one subject and 11 doses in the other). Increases in creatinine, BUN, and potassium were observed in 3 subjects during the 500 mg lead-in phase. One subject required hemodialysis, while the other 2 subjects improved upon drug discontinuation [see Warnings and Precautions (5.2)]. Monitor renal function periodically in patients with moderate to severe renal impairment. Discontinue Ranolazine extended-release tablets if acute renal failure develops.

In a separate study, Cmax was increased between 40% and 50% in patients with mild, moderate, or severe renal impairment compared to patients with no renal impairment, suggesting a similar increase in exposure in patients with renal failure independent of the degree of impairment. The pharmacokinetics of ranolazine has not been assessed in patients on dialysis.

8.9 Use in Patients With Diabetes Mellitus (8.9 Use in Patients with Diabetes Mellitus)

A population pharmacokinetic evaluation of data from angina patients and healthy subjects showed no effect of diabetes on ranolazine pharmacokinetics. No dose adjustment is required in patients with diabetes.

Ranolazine extended-release tablets produces small reductions in HbA1c in patients with diabetes, the clinical significance of which is unknown. Ranolazine extended-release tablets should not be considered a treatment for diabetes.

8.6 Use in Patients With Hepatic Impairment (8.6 Use in Patients with Hepatic Impairment)

Ranolazine extended-release tablets are contraindicated in patients with liver cirrhosis. In a study of cirrhotic patients, the Cmax of ranolazine was increased 30% in cirrhotic patients with mild (Child-Pugh Class A) hepatic impairment, but increased 80% in cirrhotic patients with moderate (Child-Pugh Class B) hepatic impairment compared to patients without hepatic impairment. This increase was not enough to account for the 3-fold increase in QT prolongation seen in cirrhotic patients with mild to moderate hepatic impairment [see Clinical Pharmacology (12.2)].

14.2 Lack of Benefit in Acute Coronary Syndrome

In a large (n=6560) placebo-controlled trial (MERLIN-TIMI 36) in patients with acute coronary syndrome, there was no benefit shown on outcome measures. However, the study is somewhat reassuring regarding proarrhythmic risks, as ventricular arrhythmias were less common on ranolazine [see Clinical Pharmacology (12.2)], and there was no difference between Ranolazine extended-release tablets and placebo in the risk of all-cause mortality (relative risk ranolazine: placebo 0.99 with an upper 95% confidence limit of 1.22).

Principal Display Panel 500 Mg Tablet Bottle Label (PRINCIPAL DISPLAY PANEL - 500 mg Tablet Bottle Label)

NDC 82804-118-60

Rx Only

Ranolazine

Extended-Release

Tablets

500 mg

Swallow Ranolazine Extended-Release

tablets whole; do not crush, break, or chew.

60 Tablets

13.1 Carcinogenesis, Mutagenesis, Impairment of Fertility

Ranolazine tested negative for genotoxic potential in the following assays: Ames bacterial mutation assay, Saccharomyces assay for mitotic gene conversion, chromosomal aberrations assay in Chinese hamster ovary (CHO) cells, mammalian CHO/HGPRT gene mutation assay, and mouse and rat bone marrow micronucleus assays.

There was no evidence of carcinogenic potential in mice or rats. The highest oral doses used in the carcinogenicity studies were 150 mg/kg/day for 21 months in rats (900 mg/m2/day) and 50 mg/kg/day for 24 months in mice (150 mg/m2/day). These maximally tolerated doses are 0.8 and 0.1 times, respectively, the daily maximum recommended human dose (MRHD) of 2000 mg on a surface area basis. A published study reported that ranolazine promoted tumor formation and progression to malignancy when given to transgenic APC (min/+) mice at a dose of 30 mg/kg twice daily [see References (15)]. The clinical significance of this finding is unclear.

In male and female rats, oral administration of ranolazine that produced exposures (AUC) approximately 3-fold or 5-fold higher, respectively, than the MRHD had no effect on fertility.


Advanced Ingredient Data


Raw Label Data

All Sections (JSON)