desonide cream, 0.05%

desonide cream, 0.05%
SPL v102
SPL
SPL Set ID c70aabe7-c044-40cd-b17d-35c665160c9c
Route
topical
Published
Effective Date 2011-12-30
Document Type 34391-3 HUMAN PRESCRIPTION DRUG LABEL

Drug Facts

Composition & Product

Active Ingredients
desonide (0.5 mg)
Inactive Ingredients
aluminum sulfate calcium acetate cetostearyl alcohol glycerin icodextrin light mineral oil methylparaben petrolatum sodium lauryl sulfate water yellow wax

Identifiers & Packaging

Pill Appearance
Color: white
Marketing Status
anda active Since 2020-06-17

Indications and Usage

Desonide cream, 0.05% is a low potency corticosteroid indicated for the relief of the inflammatory and pruritic manifestations of corticosteroid responsive dermatoses. It should not be used for longer than two weeks unless directed by a physician.

Dosage and Administration

Desonide cream, 0.05% should be applied to the affected area as a thin film two to four times daily depending on the severity of the condition. As with other corticosteroids, therapy should be discontinued when control is achieved. If no improvement is seen within two weeks, reassessment of diagnosis may be necessary. Desonide cream, 0.05% should not be used with occlusive dressings.

Contraindications

Desonide cream, 0.05% is contraindicated in those patients with a history of hypersensitivity to any of the components of the preparation.

Adverse Reactions

In controlled clinical trials, the total incidence of adverse reactions associated with the use of desonide cream, 0.05% was approximately 1%. These adverse reactions were pruritus, pain, folliculitis, rash, peripheral edema, pustular rash, sweating, erythema, irritation, and burning. Laboratory abnormalities were found in 3% of the patients. These were hyperglycemia (2%) and liver function abnormality (1%). The following additional local adverse reactions have been reported infrequently with topical corticosteroids, and they may occur more frequently with the use of occlusive dressings and higher potency corticosteroids. These reactions are listed in approximate decreasing order of occurrence: dryness, folliculitis, acneiform eruptions, perioral dermatitis, allergic contact dermatitis, secondary infection, skin atrophy, striae, miliaria, burning and hypopigmentation. Call your doctor for medical advice about side effects. You may report side effects to FDA at 1-800-FDA-1088.

How Supplied

Desonide cream, 0.05% is white to off white cream and is available as follows: NDC: 63629-2506-1: in tube of 60 g Storage Store at 20° to 25°C (68° to 77°F) [see USP Controlled Room Temperature]. Call your doctor for medical advice about side effects. You may report side effects to Viona Pharmaceuticals Inc. at 1-888-304-5011 or FDA at 1-800-FDA-1088.

Description

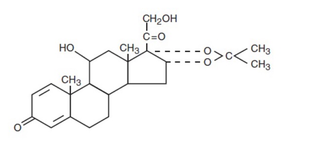
Desonide cream, 0.05% contains desonide (Pregna-1, 4-diene-3, 20-dione, 11, 21-dihydroxy-16, 17-[(1- methylethylidene)bis(oxy)]-,(11β,16α)) a synthetic corticosteroid for topical dermatologic use. The corticosteroids constitute a class of primary synthetic steroids used topically as anti-inflammatory and antipruritic agents. Chemically, desonide, the active ingredient in desonide cream, 0.05% is C 24 H 32 O 6 . It has the following structural formula: The molecular weight of desonide is 416.51. It is a white to almost white crystalline powder. It is insoluble in water, soluble in methylene chloride, sparingly soluble in ethanol (96%), slightly soluble in ethyl ether. Each gram of desonide cream, 0.05% contains 0.5 milligram of desonide micro dispersed in a base of aluminum sulfate, calcium acetate, cetostearyl alcohol, dextrin, glycerin, light mineral oil, purified water, sodium lauryl sulfate, synthetic beeswax, and white petrolatum. Desonide cream, 0.05% is preserved with methylparaben and buffered to pH 4.2 to 5.0.


Medication Information

Indications and Usage

Desonide cream, 0.05% is a low potency corticosteroid indicated for the relief of the inflammatory and pruritic manifestations of corticosteroid responsive dermatoses.

It should not be used for longer than two weeks unless directed by a physician.

Dosage and Administration

Desonide cream, 0.05% should be applied to the affected area as a thin film two to four times daily depending on the severity of the condition.

As with other corticosteroids, therapy should be discontinued when control is achieved. If no improvement is seen within two weeks, reassessment of diagnosis may be necessary.

Desonide cream, 0.05% should not be used with occlusive dressings.

Contraindications

Desonide cream, 0.05% is contraindicated in those patients with a history of hypersensitivity to any of the components of the preparation.

Adverse Reactions

In controlled clinical trials, the total incidence of adverse reactions associated with the use of desonide cream, 0.05% was approximately 1%. These adverse reactions were pruritus, pain, folliculitis, rash, peripheral edema, pustular rash, sweating, erythema, irritation, and burning. Laboratory abnormalities were found in 3% of the patients. These were hyperglycemia (2%) and liver function abnormality (1%).

The following additional local adverse reactions have been reported infrequently with topical corticosteroids, and they may occur more frequently with the use of occlusive dressings and higher potency corticosteroids. These reactions are listed in approximate decreasing order of occurrence: dryness, folliculitis, acneiform eruptions, perioral dermatitis, allergic contact dermatitis, secondary infection, skin atrophy, striae, miliaria, burning and hypopigmentation.

Call your doctor for medical advice about side effects. You may report side effects to FDA at 1-800-FDA-1088.

How Supplied

Desonide cream, 0.05% is white to off white cream and is available as follows:

NDC: 63629-2506-1: in tube of 60 g

Storage

Store at 20° to 25°C (68° to 77°F) [see USP Controlled Room Temperature].

Call your doctor for medical advice about side effects. You may report side effects to Viona Pharmaceuticals Inc. at 1-888-304-5011 or FDA at 1-800-FDA-1088.

Description

Desonide cream, 0.05% contains desonide (Pregna-1, 4-diene-3, 20-dione, 11, 21-dihydroxy-16, 17-[(1- methylethylidene)bis(oxy)]-,(11β,16α)) a synthetic corticosteroid for topical dermatologic use. The corticosteroids constitute a class of primary synthetic steroids used topically as anti-inflammatory and antipruritic agents.

Chemically, desonide, the active ingredient in desonide cream, 0.05% is C24H32O6. It has the following structural formula:

The molecular weight of desonide is 416.51. It is a white to almost white crystalline powder. It is insoluble in water, soluble in methylene chloride, sparingly soluble in ethanol (96%), slightly soluble in ethyl ether.

Each gram of desonide cream, 0.05% contains 0.5 milligram of desonide micro dispersed in a base of aluminum sulfate, calcium acetate, cetostearyl alcohol, dextrin, glycerin, light mineral oil, purified water, sodium lauryl sulfate, synthetic beeswax, and white petrolatum. Desonide cream, 0.05% is preserved with methylparaben and buffered to pH 4.2 to 5.0.

Section 42229-5

Manufactured by:

Cadila Healthcare Limited

Changodar, Ahmedabad, India.

Distributed by:

Viona Pharmaceuticals Inc.

Cranford, NJ 07016

Rev.: 12/19

Section 51945-4

Desonide Cream 0.05% 60 g

General

Systemic absorption of topical corticosteroids can produce reversible hypothalamic-pituitary-adrenal (HPA) axis suppression with the potential for glucocorticosteroid insufficiency after withdrawal of treatment. Manifestations of Cushing's syndrome, hyperglycemia, and glucosuria can also be produced in some patients by systemic absorption of topical corticosteroids while on treatment.

Patients applying a topical steroid to a large surface area or to areas under occlusion should be evaluated periodically for evidence of HPA axis suppression. This may be done by using the ACTH stimulation, A.M. plasma cortisol, and urinary free cortisol tests. Patients receiving superpotent corticosteroids should not be treated for more than two weeks at a time and only small areas should be treated at any one time due to the increased risk of HPA suppressions.

One of ten patients treated for one week under occlusion (30% of body surface) with desonide cream, 0.05% developed HPA axis suppression as determined by metapyrone testing.

If HPA axis suppression is noted, an attempt should be made to withdraw the drug, to reduce the frequency of application, or to substitute a less potent corticosteroid. Recovery of HPA axis function is generally prompt upon discontinuation of topical corticosteroids. Infrequently, signs and symptoms of glucocorticosteroid insufficiency may occur requiring supplemental systemic corticosteroids. For information on systemic supplementation, see prescribing information for those products.

Pediatric patients may be more susceptible to systemic toxicity from equivalent doses due to their larger skin surface to body mass ratios (see PRECAUTIONS - Pediatric Use ).

If irritation develops, desonide cream, 0.05% should be discontinued and appropriate therapy instituted. Allergic contact dermatitis with corticosteroids is usually diagnosed by observing a failure to heal rather than noting a clinical exacerbation as with most topical products not containing corticosteroids. Such an observation should be corroborated with appropriate diagnostic patch testing.

If concomitant skin infections are present or develop, an appropriate antifungal or antibacterial agent should be used. If a favorable response does not occur promptly, use of desonide cream, 0.05% should be discontinued until the infection has been adequately controlled.

Desonide cream, 0.05% should not be used in the presence of infection at the treatment site, hypersensitivity to corticosteroids, or pre-existing skin atrophy.

Desonide cream, 0.05% should not be used in the eyes.

FOR EXTERNAL USE ONLY.

Pregnancy

Teratogenic Effects

Pregnancy Category C

Corticosteroids have been shown to be teratogenic in laboratory animals when administered systemically at relatively low dosage levels. Some corticosteroids have been shown to be teratogenic after dermal application in laboratory animals. Animal reproductive studies have not been conducted with desonide cream, 0.05%. It is also not known whether desonide cream, 0.05% can cause fetal harm when administered to a pregnant woman or can affect reproduction capacity. There are no adequate and well-controlled studies in pregnant women. Desonide cream, 0.05% should be used during pregnancy only if the potential benefit justifies the potential risk to the fetus.

Overdosage

Topically applied desonide cream, 0.05% can be absorbed in sufficient amounts to produce systemic effects (see PRECAUTIONS ).

Pediatric Use

Safety and effectiveness in pediatric patients have not been established. Because of a higher ratio of skin surface area to body mass, pediatric patients are at a greater risk than adults of HPA axis suppression and Cushing's syndrome when they are treated with topical corticosteroids. They are therefore also at greater risk of adrenal insufficiency during or after withdrawal of treatment.

Adverse effects including striae have been reported with inappropriate use of topical corticosteroids in infants and children.

HPA axis suppression, Cushing's syndrome, linear growth retardation, delayed weight gain and intracranial hypertension have been reported in children receiving topical corticosteroids.

Manifestations of adrenal suppression in children include low plasma cortisol levels and absence of response to ACTH stimulation. Manifestations of intracranial hypertension include bulging fontanelles, headaches, and bilateral papilledema.

Nursing Mothers

Systemically administered corticosteroids appear in human milk and could suppress growth, interfere with endogenous corticosteroid production, or cause other untoward effects. It is not known whether topical administration of corticosteroids could result in sufficient systemic absorption to produce detectable quantities in human milk. Because many drugs are excreted in human milk, caution should be exercised when desonide cream, 0.05% is administered to a nursing woman.

Laboratory Tests

The following tests may be helpful in evaluating patients for HPA axis suppression:

ACTH stimulation test

A.M. plasma cortisol test

Urinary free cortisol test

Pharmacokinetics

The extent of percutaneous absorption of topical corticosteroids is determined by many factors, including the vehicle and the integrity of the epidermal barrier. Occlusive dressings with hydrocortisone for up to 24 hours have not been demonstrated to increase penetration; however, occlusion of hydrocortisone for 96 hours markedly enhances penetration. Topical corticosteroids can be absorbed from normal intact skin. Inflammation and/or other disease processes in the skin may increase percutaneous absorption.

Studies performed with desonide cream, 0.05% indicate that it is in the low range of potency as compared with other topical corticosteroids.

Clinical Pharmacology

Like other topical corticosteroids, desonide has anti-inflammatory, antipruritic, and vasoconstrictive properties. The mechanism of the anti-inflammatory activity of the topical steroids, in general, is unclear. However corticosteroids are thought to act by the induction of phospholipase A2 inhibitory proteins, collectively called lipocortins. It is postulated that these proteins control the biosynthesis of potent mediators of inflammation such as prostaglandins and leukotrienes by inhibiting the release of their common precursor arachidonic acid. Arachidonic acid is released from membrane phospholipids by phospholipase A2.

Information for Patients

Patients using topical corticosteroids should receive the following information and instructions:

  • This medication is to be used as directed by the physician. It is for external use only. Avoid contact with the eyes.
  • This medication should not be used for any disorder other than that for which it was prescribed.
  • The treated skin area should not be bandaged, otherwise covered or wrapped, so as to be occlusive unless directed by the physician.
  • Patients should report to their physician any signs of local adverse reactions.
Carcinogenesis, Mutagenesis, Impairment of Fertility

Long-term animal studies have not been performed to evaluate the carcinogenic, mutagenic, or fertility impairment potential of desonide cream, 0.05%.


Structured Label Content

Indications and Usage (INDICATIONS AND USAGE)

Desonide cream, 0.05% is a low potency corticosteroid indicated for the relief of the inflammatory and pruritic manifestations of corticosteroid responsive dermatoses.

It should not be used for longer than two weeks unless directed by a physician.

Dosage and Administration (DOSAGE AND ADMINISTRATION)

Desonide cream, 0.05% should be applied to the affected area as a thin film two to four times daily depending on the severity of the condition.

As with other corticosteroids, therapy should be discontinued when control is achieved. If no improvement is seen within two weeks, reassessment of diagnosis may be necessary.

Desonide cream, 0.05% should not be used with occlusive dressings.

Contraindications (CONTRAINDICATIONS)

Desonide cream, 0.05% is contraindicated in those patients with a history of hypersensitivity to any of the components of the preparation.

Adverse Reactions (ADVERSE REACTIONS)

In controlled clinical trials, the total incidence of adverse reactions associated with the use of desonide cream, 0.05% was approximately 1%. These adverse reactions were pruritus, pain, folliculitis, rash, peripheral edema, pustular rash, sweating, erythema, irritation, and burning. Laboratory abnormalities were found in 3% of the patients. These were hyperglycemia (2%) and liver function abnormality (1%).

The following additional local adverse reactions have been reported infrequently with topical corticosteroids, and they may occur more frequently with the use of occlusive dressings and higher potency corticosteroids. These reactions are listed in approximate decreasing order of occurrence: dryness, folliculitis, acneiform eruptions, perioral dermatitis, allergic contact dermatitis, secondary infection, skin atrophy, striae, miliaria, burning and hypopigmentation.

Call your doctor for medical advice about side effects. You may report side effects to FDA at 1-800-FDA-1088.

How Supplied (HOW SUPPLIED)

Desonide cream, 0.05% is white to off white cream and is available as follows:

NDC: 63629-2506-1: in tube of 60 g

Storage

Store at 20° to 25°C (68° to 77°F) [see USP Controlled Room Temperature].

Call your doctor for medical advice about side effects. You may report side effects to Viona Pharmaceuticals Inc. at 1-888-304-5011 or FDA at 1-800-FDA-1088.

Description (DESCRIPTION)

Desonide cream, 0.05% contains desonide (Pregna-1, 4-diene-3, 20-dione, 11, 21-dihydroxy-16, 17-[(1- methylethylidene)bis(oxy)]-,(11β,16α)) a synthetic corticosteroid for topical dermatologic use. The corticosteroids constitute a class of primary synthetic steroids used topically as anti-inflammatory and antipruritic agents.

Chemically, desonide, the active ingredient in desonide cream, 0.05% is C24H32O6. It has the following structural formula:

The molecular weight of desonide is 416.51. It is a white to almost white crystalline powder. It is insoluble in water, soluble in methylene chloride, sparingly soluble in ethanol (96%), slightly soluble in ethyl ether.

Each gram of desonide cream, 0.05% contains 0.5 milligram of desonide micro dispersed in a base of aluminum sulfate, calcium acetate, cetostearyl alcohol, dextrin, glycerin, light mineral oil, purified water, sodium lauryl sulfate, synthetic beeswax, and white petrolatum. Desonide cream, 0.05% is preserved with methylparaben and buffered to pH 4.2 to 5.0.

Section 42229-5 (42229-5)

Manufactured by:

Cadila Healthcare Limited

Changodar, Ahmedabad, India.

Distributed by:

Viona Pharmaceuticals Inc.

Cranford, NJ 07016

Rev.: 12/19

Section 51945-4 (51945-4)

Desonide Cream 0.05% 60 g

General

Systemic absorption of topical corticosteroids can produce reversible hypothalamic-pituitary-adrenal (HPA) axis suppression with the potential for glucocorticosteroid insufficiency after withdrawal of treatment. Manifestations of Cushing's syndrome, hyperglycemia, and glucosuria can also be produced in some patients by systemic absorption of topical corticosteroids while on treatment.

Patients applying a topical steroid to a large surface area or to areas under occlusion should be evaluated periodically for evidence of HPA axis suppression. This may be done by using the ACTH stimulation, A.M. plasma cortisol, and urinary free cortisol tests. Patients receiving superpotent corticosteroids should not be treated for more than two weeks at a time and only small areas should be treated at any one time due to the increased risk of HPA suppressions.

One of ten patients treated for one week under occlusion (30% of body surface) with desonide cream, 0.05% developed HPA axis suppression as determined by metapyrone testing.

If HPA axis suppression is noted, an attempt should be made to withdraw the drug, to reduce the frequency of application, or to substitute a less potent corticosteroid. Recovery of HPA axis function is generally prompt upon discontinuation of topical corticosteroids. Infrequently, signs and symptoms of glucocorticosteroid insufficiency may occur requiring supplemental systemic corticosteroids. For information on systemic supplementation, see prescribing information for those products.

Pediatric patients may be more susceptible to systemic toxicity from equivalent doses due to their larger skin surface to body mass ratios (see PRECAUTIONS - Pediatric Use ).

If irritation develops, desonide cream, 0.05% should be discontinued and appropriate therapy instituted. Allergic contact dermatitis with corticosteroids is usually diagnosed by observing a failure to heal rather than noting a clinical exacerbation as with most topical products not containing corticosteroids. Such an observation should be corroborated with appropriate diagnostic patch testing.

If concomitant skin infections are present or develop, an appropriate antifungal or antibacterial agent should be used. If a favorable response does not occur promptly, use of desonide cream, 0.05% should be discontinued until the infection has been adequately controlled.

Desonide cream, 0.05% should not be used in the presence of infection at the treatment site, hypersensitivity to corticosteroids, or pre-existing skin atrophy.

Desonide cream, 0.05% should not be used in the eyes.

FOR EXTERNAL USE ONLY.

Pregnancy

Teratogenic Effects

Pregnancy Category C

Corticosteroids have been shown to be teratogenic in laboratory animals when administered systemically at relatively low dosage levels. Some corticosteroids have been shown to be teratogenic after dermal application in laboratory animals. Animal reproductive studies have not been conducted with desonide cream, 0.05%. It is also not known whether desonide cream, 0.05% can cause fetal harm when administered to a pregnant woman or can affect reproduction capacity. There are no adequate and well-controlled studies in pregnant women. Desonide cream, 0.05% should be used during pregnancy only if the potential benefit justifies the potential risk to the fetus.

Overdosage (OVERDOSAGE)

Topically applied desonide cream, 0.05% can be absorbed in sufficient amounts to produce systemic effects (see PRECAUTIONS ).

Pediatric Use

Safety and effectiveness in pediatric patients have not been established. Because of a higher ratio of skin surface area to body mass, pediatric patients are at a greater risk than adults of HPA axis suppression and Cushing's syndrome when they are treated with topical corticosteroids. They are therefore also at greater risk of adrenal insufficiency during or after withdrawal of treatment.

Adverse effects including striae have been reported with inappropriate use of topical corticosteroids in infants and children.

HPA axis suppression, Cushing's syndrome, linear growth retardation, delayed weight gain and intracranial hypertension have been reported in children receiving topical corticosteroids.

Manifestations of adrenal suppression in children include low plasma cortisol levels and absence of response to ACTH stimulation. Manifestations of intracranial hypertension include bulging fontanelles, headaches, and bilateral papilledema.

Nursing Mothers

Systemically administered corticosteroids appear in human milk and could suppress growth, interfere with endogenous corticosteroid production, or cause other untoward effects. It is not known whether topical administration of corticosteroids could result in sufficient systemic absorption to produce detectable quantities in human milk. Because many drugs are excreted in human milk, caution should be exercised when desonide cream, 0.05% is administered to a nursing woman.

Laboratory Tests

The following tests may be helpful in evaluating patients for HPA axis suppression:

ACTH stimulation test

A.M. plasma cortisol test

Urinary free cortisol test

Pharmacokinetics

The extent of percutaneous absorption of topical corticosteroids is determined by many factors, including the vehicle and the integrity of the epidermal barrier. Occlusive dressings with hydrocortisone for up to 24 hours have not been demonstrated to increase penetration; however, occlusion of hydrocortisone for 96 hours markedly enhances penetration. Topical corticosteroids can be absorbed from normal intact skin. Inflammation and/or other disease processes in the skin may increase percutaneous absorption.

Studies performed with desonide cream, 0.05% indicate that it is in the low range of potency as compared with other topical corticosteroids.

Clinical Pharmacology (CLINICAL PHARMACOLOGY)

Like other topical corticosteroids, desonide has anti-inflammatory, antipruritic, and vasoconstrictive properties. The mechanism of the anti-inflammatory activity of the topical steroids, in general, is unclear. However corticosteroids are thought to act by the induction of phospholipase A2 inhibitory proteins, collectively called lipocortins. It is postulated that these proteins control the biosynthesis of potent mediators of inflammation such as prostaglandins and leukotrienes by inhibiting the release of their common precursor arachidonic acid. Arachidonic acid is released from membrane phospholipids by phospholipase A2.

Information for Patients

Patients using topical corticosteroids should receive the following information and instructions:

  • This medication is to be used as directed by the physician. It is for external use only. Avoid contact with the eyes.
  • This medication should not be used for any disorder other than that for which it was prescribed.
  • The treated skin area should not be bandaged, otherwise covered or wrapped, so as to be occlusive unless directed by the physician.
  • Patients should report to their physician any signs of local adverse reactions.
Carcinogenesis, Mutagenesis, Impairment of Fertility

Long-term animal studies have not been performed to evaluate the carcinogenic, mutagenic, or fertility impairment potential of desonide cream, 0.05%.


Advanced Ingredient Data


Raw Label Data

All Sections (JSON)