These Highlights Do Not Include All The Information Needed To Use Epinephrine Injection Safely And Effectively. See Full Prescribing Information For Epinephrine Injection.

These Highlights Do Not Include All The Information Needed To Use Epinephrine Injection Safely And Effectively. See Full Prescribing Information For Epinephrine Injection.
SPL v12
SPL
SPL Set ID c66de0d3-3b0f-4e52-a712-60357a107676
Route
SUBCUTANEOUS
Published
Effective Date 2021-06-28
Document Type 34391-3 HUMAN PRESCRIPTION DRUG LABEL

Drug Facts

Composition & Product

Active Ingredients
Epinephrine (0.3 mg)
Inactive Ingredients
Chlorobutanol Sodium Bisulfite Hydrochloric Acid Sodium Hydroxide Sodium Chloride

Identifiers & Packaging

Marketing Status
NDA AUTHORIZED GENERIC Active Since 2019-04-29

Description

Epinephrine injection is indicated in the emergency treatment of allergic reactions (Type I) including anaphylaxis to stinging insects (e.g., order Hymenoptera, which includes bees, wasps, hornets, yellow jackets and fire ants), and biting insects (e.g., triatoma, mosquitoes), allergen immunotherapy, foods, drugs, diagnostic testing substances (e.g., radiocontrast media), and other allergens, as well as idiopathic anaphylaxis or exercise-induced anaphylaxis. Epinephrine injection is intended for immediate administration in patients who are determined to be at increased risk for anaphylaxis, including individuals with a history of anaphylactic reactions. Anaphylactic reactions may occur within minutes after exposure and consist of flushing, apprehension, syncope, tachycardia, thready or unobtainable pulse associated with a fall in blood pressure, convulsions, vomiting, diarrhea and abdominal cramps, involuntary voiding, wheezing, dyspnea due to laryngeal spasm, pruritus, rashes, urticaria, or angioedema. Epinephrine injection is intended for immediate administration as emergency supportive therapy only and is not a replacement or substitute for immediate medical care.

Indications and Usage

Epinephrine injection is indicated in the emergency treatment of allergic reactions (Type I) including anaphylaxis to stinging insects (e.g., order Hymenoptera, which includes bees, wasps, hornets, yellow jackets and fire ants), and biting insects (e.g., triatoma, mosquitoes), allergen immunotherapy, foods, drugs, diagnostic testing substances (e.g., radiocontrast media), and other allergens, as well as idiopathic anaphylaxis or exercise-induced anaphylaxis. Epinephrine injection is intended for immediate administration in patients who are determined to be at increased risk for anaphylaxis, including individuals with a history of anaphylactic reactions. Anaphylactic reactions may occur within minutes after exposure and consist of flushing, apprehension, syncope, tachycardia, thready or unobtainable pulse associated with a fall in blood pressure, convulsions, vomiting, diarrhea and abdominal cramps, involuntary voiding, wheezing, dyspnea due to laryngeal spasm, pruritus, rashes, urticaria, or angioedema. Epinephrine injection is intended for immediate administration as emergency supportive therapy only and is not a replacement or substitute for immediate medical care.

Dosage and Administration

Patients greater than or equal to 30 kg (66 lbs): 0.3 mg (2) Patients 15 to 30 kg (33 lbs-66 lbs): 0.15 mg (2) Inject intramuscularly or subcutaneously into the anterolateral aspect of the thigh, through clothing if necessary. Each device is a single-dose injection. (2)

Warnings and Precautions

In conjunction with use, seek immediate medical or hospital care. ( 5.1 ) Do not inject intravenously, into buttock, or into digits, hands, or feet. ( 5.2 ) To minimize the risk of injection related injury, hold the child’s leg firmly in place and limit movement prior to and during injection when administering to young children. ( 5.2 ) Rare cases of serious skin and soft tissue infections have been reported following epinephrine injection. Advise patients to seek medical care if they develop signs or symptoms of infection. ( 5.3 ) The presence of a sulfite in this product should not deter use. ( 5.4 ) Administer with caution in patients with heart disease; may aggravate angina pectoris or produce ventricular arrhythmias. ( 5.5 )

Contraindications

None.

Adverse Reactions

Due to the lack of randomized, controlled clinical trials of epinephrine for the treatment of anaphylaxis, the true incidence of adverse reactions associated with the systemic use of epinephrine is difficult to determine. Adverse reactions reported in observational trials, case reports, and studies are listed below. Common adverse reactions to systemically administered epinephrine include anxiety; apprehensiveness; restlessness; tremor; weakness; dizziness; sweating; palpitations; pallor; nausea and vomiting; headache; and/or respiratory difficulties. These symptoms occur in some persons receiving therapeutic doses of epinephrine, but are more likely to occur in patients with hypertension or hyperthyroidism [see Warnings and Precautions (5.5)] . Cardiovascular Reactions Arrhythmias, including fatal ventricular fibrillation, have been reported, particularly in patients with underlying cardiac disease or those receiving certain drugs [see Warnings and Precautions (5.5) and Drug Interactions (7)] . Rapid rises in blood pressure have produced cerebral hemorrhage, particularly in elderly patients with cardiovascular disease [see Warnings and Precautions (5.5)] . Angina may occur in patients with coronary artery disease [see Warnings and Precautions (5.5)] . Rare cases of stress cardiomyopathy have been reported in patients treated with epinephrine. Reactions from Accidental Injection and/or Improper Technique Accidental injection into the digits, hands or feet may result in loss of blood flow to the affected area [see Warnings and Precautions (5.2)] . Adverse reactions experienced as a result of accidental injections may include increased heart rate, local reactions including injection site pallor, coldness and hypoesthesia or injury at the injection site resulting in bruising, bleeding, discoloration, erythema or skeletal injury. Lacerations, bent needles, and embedded needles have been reported when epinephrine injection has been injected into the thigh of young children who are uncooperative and kick or move during an injection [see Warnings and Precautions (5.2)] . Injection into the buttock has resulted in cases of gas gangrene [see Warnings and Precautions (5.2)] . Skin and Soft Tissue Infections Rare cases of serious skin and soft tissue infections, including necrotizing fasciitis and myonecrosis caused by Clostridia (gas gangrene), have been reported following epinephrine injection in the thigh [see Warnings and Precautions (5.3)] .

Drug Interactions

Cardiac Glycosides, Diuretics, and Anti-arrhythmics Patients who receive epinephrine while concomitantly taking cardiac glycosides, diuretics, or anti-arrhythmics should be observed carefully for the development of cardiac arrhythmias [see Warnings and Precautions (5.5)] . Antidepressants, Monoamine Oxidase Inhibitors, Levothyroxine, and Antihistamines The effects of epinephrine may be potentiated by tricyclic antidepressants, monoamine oxidase inhibitors, levothyroxine sodium, and certain antihistamines, notably chlorpheniramine, tripelennamine, and diphenhydramine. Beta-Adrenergic Blockers The cardiostimulating and bronchodilating effects of epinephrine are antagonized by beta- adrenergic blocking drugs, such as propranolol. Alpha-Adrenergic Blockers The vasoconstricting and hypertensive effects of epinephrine are antagonized by alpha-adrenergic blocking drugs, such as phentolamine. Ergot Alkaloids Ergot alkaloids may also reverse the pressor effects of epinephrine.

Storage and Handling

Carton containing two epinephrine injection, USP 0.3 mg single-dose pre-filled auto-injectors: NDC: 70518-2048-00 PACKAGING: 2 in 1 CARTON, 1 in 1 CASE, 0.3 mL in 1 SYRINGE GLASS, TYPE 0 Storage and Handling Protect from light. Epinephrine is light sensitive and should be stored in the carrying-case provided to protect it from light. Store at room temperature (20°C to 25°C (68°F to 77°F)); excursions permitted to 15°C to 30°C (59°F to 86°F) [See USP Controlled Room Temperature]. Do not refrigerate. Before using, check to make sure the solution in the auto-injector is clear and colorless. Replace the auto-injector if the solution is discolored (pinkish or brown color), cloudy, or contains particles. Properly dispose of all used, unwanted, or expired epinephrine injection, USP. Repackaged and Distributed By: Remedy Repack, Inc. 625 Kolter Dr. Suite #4 Indiana, PA 1-724-465-8762

How Supplied

Carton containing two epinephrine injection, USP 0.3 mg single-dose pre-filled auto-injectors: NDC: 70518-2048-00 PACKAGING: 2 in 1 CARTON, 1 in 1 CASE, 0.3 mL in 1 SYRINGE GLASS, TYPE 0 Storage and Handling Protect from light. Epinephrine is light sensitive and should be stored in the carrying-case provided to protect it from light. Store at room temperature (20°C to 25°C (68°F to 77°F)); excursions permitted to 15°C to 30°C (59°F to 86°F) [See USP Controlled Room Temperature]. Do not refrigerate. Before using, check to make sure the solution in the auto-injector is clear and colorless. Replace the auto-injector if the solution is discolored (pinkish or brown color), cloudy, or contains particles. Properly dispose of all used, unwanted, or expired epinephrine injection, USP. Repackaged and Distributed By: Remedy Repack, Inc. 625 Kolter Dr. Suite #4 Indiana, PA 1-724-465-8762

Patient Information

EPINEPHRINE injection (ep-in-eph-rine), for intramuscular or subcutaneous use For allergic emergencies (anaphylaxis) Read this Patient Information leaflet carefully before you use epinephrine injection, and each time you get a refill. There may be new information. You, your parent, caregiver, or others who may be in a position to administer epinephrine injection should know how to use it before you have an allergic emergency. This information does not take the place of talking with your healthcare provider about your medical condition or your treatment. What is the most important information I should know about epinephrine injection? 1. Epinephrine injection contains epinephrine, a medicine used to treat allergic emergencies (anaphylaxis). Anaphylaxis can be life-threatening, can happen within minutes, and can be caused by stinging and biting insects, allergy injections, foods, medicines, exercise, or other unknown causes. Symptoms of an anaphylaxis may include: trouble breathing wheezing hoarseness (changes in the way your voice sounds) hives (raised reddened rash that may itch) severe itching swelling of your face, lips, mouth, or tongue skin rash, redness, or swelling fast heartbeat weak pulse feeling very anxious confusion stomach pain losing control of urine or bowel movements (incontinence) diarrhea or stomach cramps dizziness, fainting, or “passing out” (unconsciousness) 2. Always carry your epinephrine injection with you because you may not know when anaphylaxis may happen. Talk to your healthcare provider if you need additional units to keep at work, school, or other locations. Tell your family members, caregivers, and others where you keep your epinephrine injection and how to use it before you need it. You may be unable to speak in an allergic emergency. 3. When you have an allergic emergency (anaphylaxis) Use epinephrine injection right away. Get emergency medical help right away. You may need further medical attention. You may need to use a second epinephrine injection if symptoms continue or recur. Only a healthcare provider should give additional doses of epinephrine if you need more than 2 injections for a single anaphylaxis episode. What is epinephrine injection? Epinephrine injection is a disposable, prefilled automatic injection device (auto-injector) used to treat life-threatening, allergic emergencies including anaphylaxis in people who are at risk for or have a history of serious allergic emergencies. Each device contains a single dose of epinephrine. Epinephrine injection is for immediate self (or caregiver) administration and does not take the place of emergency medical care. You should get emergency medical help right away after using epinephrine injection. Epinephrine injection is for people who have been prescribed this medicine by their healthcare provider. The epinephrine injection 0.3 mg auto-injector is for patients who weigh 66 pounds or more (30 kilograms or more). The epinephrine injection 0.15 mg auto-injector is for patients who weigh about 33 to 66 pounds (15 to 30 kilograms). It is not known if epinephrine injection is safe and effective in children who weigh less than 33 pounds (15 kilograms). Before using epinephrine injection, tell your healthcare provider about all your medical conditions, especially if you: have heart problems or high blood pressure have diabetes have thyroid problems have asthma have a history of depression have Parkinson's disease have any other medical conditions are pregnant or plan to become pregnant. It is not known if epinephrine will harm your unborn baby. are breastfeeding or plan to breastfeed. It is not known if epinephrine passes into your breast milk. Tell your healthcare provider about all the medicines you take, including prescription and over-the-counter medicines, vitamins and herbal supplements. Tell your healthcare provider of all known allergies. Especially tell your healthcare provider if you take certain asthma medicines. Epinephrine injection and other medicines may affect each other, causing side effects. Epinephrine injection may affect the way other medicines work, and other medicines may affect how epinephrine injection works. Know the medicines you take. Keep a list of them to show your healthcare provider and pharmacist when you get a new medicine. Use your epinephrine injection for treatment of anaphylaxis as prescribed by your healthcare provider, regardless of your medical conditions or the medicine you take. How should I use epinephrine injection? Each epinephrine injection contains only 1 dose of medicine. Epinephrine injection should only be injected into the middle of the outer thigh (upper leg). It can be injected through clothing, if needed. Read the Instructions for Use at the end of this Patient Information Leaflet for information about the right way to use epinephrine injection. Your healthcare provider will show you how to safely use epinephrine injection. Use epinephrine injection exactly as your healthcare provider tells you to use it. You may need to use a second epinephrine injection if symptoms continue or recur. Only a healthcare provider should give additional doses of epinephrine if you need more than 2 injections for a single anaphylaxis episode. Caution: Never put your thumb, fingers, or hand over the red tip. Never press or push the red tip with your thumb, fingers, or hand. The needle comes out of the red tip. Accidental injection into finger, hands, or feet may cause a loss of blood flow to those areas. If this happens, go immediately to the nearest emergency room. Tell the healthcare provider where on your body you received the accidental injection. Your epinephrine injection comes packaged in a carton containing 1 or 2 epinephrine injection. You may request a separate Trainer, that comes packaged with instructions. Additional video instructions on the use of epinephrine injection are available from www.epinephrineautoinject.com . The epinephrine injection, USP auto-injector Trainer has a beige color. The beige epinephrine injection Trainer contains no medicine and no needle. Practice with your epinephrine injection Trainer before an allergic emergency happens to make sure you are able to safely use the real epinephrine injection in an emergency. Always carry your real epinephrine injection with you in case of an allergic emergency. Do not drop the carrying case or epinephrine injection. If the carrying case or epinephrine injection is dropped, check for damage and leakage. Throw away (dispose of) epinephrine injection and the carrying case, and replace if damage or leakage is noticed or suspected. What are the possible side effects of epinephrine injection? Epinephrine injection may cause serious side effects. Epinephrine injection should only be injected into the middle of your outer thigh (upper leg). Do not inject epinephrine injection into your: veins buttocks fingers, toes, hands or feet. If you accidentally inject epinephrine injection into any other part of your body, go to the nearest emergency room right away. Tell the healthcare provider where on your body you received the accidental injection. Rarely, people who use epinephrine injection may develop infections at the injection site within a few days of an injection. Some of these infections can be serious. Call your healthcare provider right away if you have any of the following at an injection site: redness that does not go away swelling tenderness the area feels warm to the touch Cuts on the skin, bent needles, and needles that remain in the skin after the injection, have happened in young children who do not cooperate and kick or move during an injection. If you inject a young child with epinephrine injection, hold their leg firmly in place before and during the injection to prevent injuries. Ask your healthcare provider to show you how to properly hold the leg of a young child during an injection. If you have certain medical conditions, or take certain medicines, your condition may get worse or you may have more or longer lasting side effects when you use epinephrine injection. Talk to your healthcare provider about all your medical conditions. Common side effects of epinephrine injection include: faster, irregular or “pounding” heartbeat sweating headache weakness shakiness paleness feelings of over excitement, nervousness, or anxiety dizziness nausea or vomiting breathing problems These side effects may go away with rest. Tell your healthcare provider if you have any side effect that bothers you or that does not go away. These are not all the possible side effects of epinephrine injection. For more information, ask your healthcare provider or pharmacist. Call your doctor for medical advice about side effects. You may report side effects to FDA at 1-800-FDA-1088. How should I store epinephrine injection? Store epinephrine injection at room temperature between 68°F to 77° F (20°C to 25° C). Protect from light. Do not expose to extreme heat or cold. For example, do not store in your vehicle’s glove box and do not store in the refrigerator or freezer. Examine the contents in the clear viewing window of your epinephrine injection periodically. The solution should be clear. If the solution is discolored (pinkish or brown), cloudy or contains solid particles, replace the unit. Always keep your epinephrine injection in the carrying case to protect it from damage. The carrying case is not waterproof. The two blue end caps help to prevent accidental injection. Do not remove the blue end caps until you are ready to use epinephrine injection. Your epinephrine injection has an expiration date. Replace it before the expiration date. Throw away (dispose of) expired, unwanted, or unused epinephrine injections in an FDA-cleared sharps disposal container. Do not throw away epinephrine injection in your household trash. If you do not have an FDA-cleared sharps disposal container, you may use a household container that is: Made of heavy-duty plastic, Can be closed with a tight-fitting, puncture-resistant lid, without sharps being able to come out, Upright and stable during use, Leak-resistant, and Properly labeled to warn of hazardous waste inside the container. When your sharps disposal container is almost full, you will need to follow your community guidelines for the right way to dispose of your sharps disposal container. There may be state or local laws about how you should throw away used needles and syringes. For more information about safe sharps disposal, and for specific information about sharps disposal in the state that you live in, go to the FDA’s website at: http://www.fda.gov/safesharpsdisposalVisit the FDA’s website (https://www.fda.gov/drugs/safe-disposal-medicines/disposal- unused-medicines-what-you-should-know) for more information about how to throw away (dispose of) unused, unwanted or expired medicines. Keep epinephrine injection and all medicines out of the reach of children. General information about the safe and effective use of epinephrine injection: Medicines are sometimes prescribed for purposes other than those listed in a Patient Information leaflet. Do not use epinephrine injection for a condition for which it was not prescribed. Do not give epinephrine injection to other people. This Patient Information Leaflet summarizes the most important information about epinephrine injection. If you would like more information, talk to your healthcare provider. You can ask your pharmacist or healthcare provider for information about epinephrine injection that is written for health professionals. What are the ingredients in epinephrine injection? Active Ingredient: epinephrine Inactive Ingredients: sodium chloride, chlorobutanol, sodium bisulfite, hydrochloric acid and sodium hydroxide, and water. For more information and video instructions on the use of epinephrine injection go to www.epinephrineautoinject.com or call 1-877-835-5472. Important Information The epinephrine injection 0.3 mg has a yellow colored label. The epinephrine injection 0.15 mg has an orange colored label. The epinephrine injection Trainer has a beige color, and contains no medicine and no needle. Your epinephrine injection is designed to work through clothing. The two blue end caps on epinephrine injection help to prevent accidental injection of the device. Do not remove the blue end caps until you are ready to use it. Only inject into the middle of the outer thigh (upper leg). Never inject into any other part of the body. Never put your thumb, fingers, or your hand over the red tip. The needle comes out of the red tip. If an accidental injection happens, get medical help right away. Do not place patient information or any other foreign objects in carrier with the epinephrine injection, as this may prevent you from removing the auto-injector for use. This Patient Information has been approved by the U.S. Food and Drug Administration                                                          Rev. 02-2021-03


Medication Information

Warnings and Precautions

In conjunction with use, seek immediate medical or hospital care. ( 5.1 ) Do not inject intravenously, into buttock, or into digits, hands, or feet. ( 5.2 ) To minimize the risk of injection related injury, hold the child’s leg firmly in place and limit movement prior to and during injection when administering to young children. ( 5.2 ) Rare cases of serious skin and soft tissue infections have been reported following epinephrine injection. Advise patients to seek medical care if they develop signs or symptoms of infection. ( 5.3 ) The presence of a sulfite in this product should not deter use. ( 5.4 ) Administer with caution in patients with heart disease; may aggravate angina pectoris or produce ventricular arrhythmias. ( 5.5 )

Indications and Usage

Epinephrine injection is indicated in the emergency treatment of allergic reactions (Type I) including anaphylaxis to stinging insects (e.g., order Hymenoptera, which includes bees, wasps, hornets, yellow jackets and fire ants), and biting insects (e.g., triatoma, mosquitoes), allergen immunotherapy, foods, drugs, diagnostic testing substances (e.g., radiocontrast media), and other allergens, as well as idiopathic anaphylaxis or exercise-induced anaphylaxis. Epinephrine injection is intended for immediate administration in patients who are determined to be at increased risk for anaphylaxis, including individuals with a history of anaphylactic reactions. Anaphylactic reactions may occur within minutes after exposure and consist of flushing, apprehension, syncope, tachycardia, thready or unobtainable pulse associated with a fall in blood pressure, convulsions, vomiting, diarrhea and abdominal cramps, involuntary voiding, wheezing, dyspnea due to laryngeal spasm, pruritus, rashes, urticaria, or angioedema. Epinephrine injection is intended for immediate administration as emergency supportive therapy only and is not a replacement or substitute for immediate medical care.

Dosage and Administration

Patients greater than or equal to 30 kg (66 lbs): 0.3 mg (2) Patients 15 to 30 kg (33 lbs-66 lbs): 0.15 mg (2) Inject intramuscularly or subcutaneously into the anterolateral aspect of the thigh, through clothing if necessary. Each device is a single-dose injection. (2)

Contraindications

None.

Adverse Reactions

Due to the lack of randomized, controlled clinical trials of epinephrine for the treatment of anaphylaxis, the true incidence of adverse reactions associated with the systemic use of epinephrine is difficult to determine. Adverse reactions reported in observational trials, case reports, and studies are listed below. Common adverse reactions to systemically administered epinephrine include anxiety; apprehensiveness; restlessness; tremor; weakness; dizziness; sweating; palpitations; pallor; nausea and vomiting; headache; and/or respiratory difficulties. These symptoms occur in some persons receiving therapeutic doses of epinephrine, but are more likely to occur in patients with hypertension or hyperthyroidism [see Warnings and Precautions (5.5)] . Cardiovascular Reactions Arrhythmias, including fatal ventricular fibrillation, have been reported, particularly in patients with underlying cardiac disease or those receiving certain drugs [see Warnings and Precautions (5.5) and Drug Interactions (7)] . Rapid rises in blood pressure have produced cerebral hemorrhage, particularly in elderly patients with cardiovascular disease [see Warnings and Precautions (5.5)] . Angina may occur in patients with coronary artery disease [see Warnings and Precautions (5.5)] . Rare cases of stress cardiomyopathy have been reported in patients treated with epinephrine. Reactions from Accidental Injection and/or Improper Technique Accidental injection into the digits, hands or feet may result in loss of blood flow to the affected area [see Warnings and Precautions (5.2)] . Adverse reactions experienced as a result of accidental injections may include increased heart rate, local reactions including injection site pallor, coldness and hypoesthesia or injury at the injection site resulting in bruising, bleeding, discoloration, erythema or skeletal injury. Lacerations, bent needles, and embedded needles have been reported when epinephrine injection has been injected into the thigh of young children who are uncooperative and kick or move during an injection [see Warnings and Precautions (5.2)] . Injection into the buttock has resulted in cases of gas gangrene [see Warnings and Precautions (5.2)] . Skin and Soft Tissue Infections Rare cases of serious skin and soft tissue infections, including necrotizing fasciitis and myonecrosis caused by Clostridia (gas gangrene), have been reported following epinephrine injection in the thigh [see Warnings and Precautions (5.3)] .

Drug Interactions

Cardiac Glycosides, Diuretics, and Anti-arrhythmics Patients who receive epinephrine while concomitantly taking cardiac glycosides, diuretics, or anti-arrhythmics should be observed carefully for the development of cardiac arrhythmias [see Warnings and Precautions (5.5)] . Antidepressants, Monoamine Oxidase Inhibitors, Levothyroxine, and Antihistamines The effects of epinephrine may be potentiated by tricyclic antidepressants, monoamine oxidase inhibitors, levothyroxine sodium, and certain antihistamines, notably chlorpheniramine, tripelennamine, and diphenhydramine. Beta-Adrenergic Blockers The cardiostimulating and bronchodilating effects of epinephrine are antagonized by beta- adrenergic blocking drugs, such as propranolol. Alpha-Adrenergic Blockers The vasoconstricting and hypertensive effects of epinephrine are antagonized by alpha-adrenergic blocking drugs, such as phentolamine. Ergot Alkaloids Ergot alkaloids may also reverse the pressor effects of epinephrine.

Storage and Handling

Carton containing two epinephrine injection, USP 0.3 mg single-dose pre-filled auto-injectors: NDC: 70518-2048-00 PACKAGING: 2 in 1 CARTON, 1 in 1 CASE, 0.3 mL in 1 SYRINGE GLASS, TYPE 0 Storage and Handling Protect from light. Epinephrine is light sensitive and should be stored in the carrying-case provided to protect it from light. Store at room temperature (20°C to 25°C (68°F to 77°F)); excursions permitted to 15°C to 30°C (59°F to 86°F) [See USP Controlled Room Temperature]. Do not refrigerate. Before using, check to make sure the solution in the auto-injector is clear and colorless. Replace the auto-injector if the solution is discolored (pinkish or brown color), cloudy, or contains particles. Properly dispose of all used, unwanted, or expired epinephrine injection, USP. Repackaged and Distributed By: Remedy Repack, Inc. 625 Kolter Dr. Suite #4 Indiana, PA 1-724-465-8762

How Supplied

Carton containing two epinephrine injection, USP 0.3 mg single-dose pre-filled auto-injectors: NDC: 70518-2048-00 PACKAGING: 2 in 1 CARTON, 1 in 1 CASE, 0.3 mL in 1 SYRINGE GLASS, TYPE 0 Storage and Handling Protect from light. Epinephrine is light sensitive and should be stored in the carrying-case provided to protect it from light. Store at room temperature (20°C to 25°C (68°F to 77°F)); excursions permitted to 15°C to 30°C (59°F to 86°F) [See USP Controlled Room Temperature]. Do not refrigerate. Before using, check to make sure the solution in the auto-injector is clear and colorless. Replace the auto-injector if the solution is discolored (pinkish or brown color), cloudy, or contains particles. Properly dispose of all used, unwanted, or expired epinephrine injection, USP. Repackaged and Distributed By: Remedy Repack, Inc. 625 Kolter Dr. Suite #4 Indiana, PA 1-724-465-8762

Patient Information

EPINEPHRINE injection (ep-in-eph-rine),

for intramuscular or subcutaneous use

For allergic emergencies (anaphylaxis)

Read this Patient Information leaflet carefully before you use epinephrine injection, and each time you get a refill. There may be new information. You, your parent, caregiver, or others who may be in a position to administer epinephrine injection should know how to use it before you have an allergic emergency.

This information does not take the place of talking with your healthcare provider about your medical condition or your treatment.

What is the most important information I should know about epinephrine injection?

1. Epinephrine injection contains epinephrine, a medicine used to treat allergic emergencies (anaphylaxis). Anaphylaxis can be life-threatening, can happen within minutes, and can be caused by stinging and biting insects, allergy injections, foods, medicines, exercise, or other unknown causes. Symptoms of an anaphylaxis may include:

  • trouble breathing
  • wheezing
  • hoarseness (changes in the way your voice sounds)
  • hives (raised reddened rash that may itch)
  • severe itching
  • swelling of your face, lips, mouth, or tongue
  • skin rash, redness, or swelling
  • fast heartbeat
  • weak pulse
  • feeling very anxious
  • confusion
  • stomach pain
  • losing control of urine or bowel movements (incontinence)
  • diarrhea or stomach cramps
  • dizziness, fainting, or “passing out” (unconsciousness)

2. Always carry your epinephrine injection with you because you may not know when anaphylaxis may happen. Talk to your healthcare provider if you need additional units to keep at work, school, or other locations. Tell your family members, caregivers, and others where you keep your epinephrine injection and how to use it before you need it. You may be unable to speak in an allergic emergency.

3. When you have an allergic emergency (anaphylaxis)

  • Use epinephrine injection right away.
  • Get emergency medical help right away. You may need further medical attention. You may need to use a second epinephrine injection if symptoms continue or recur. Only a healthcare provider should give additional doses of epinephrine if you need more than 2 injections for a single anaphylaxis episode.

What is epinephrine injection?

  • Epinephrine injection is a disposable, prefilled automatic injection device (auto-injector) used to treat life-threatening, allergic emergencies including anaphylaxis in people who are at risk for or have a history of serious allergic emergencies. Each device contains a single dose of epinephrine.
  • Epinephrine injection is for immediate self (or caregiver) administration and does not take the place of emergency medical care. You should get emergency medical help right away after using epinephrine injection.
  • Epinephrine injection is for people who have been prescribed this medicine by their healthcare provider.
  • The epinephrine injection 0.3 mg auto-injector is for patients who weigh 66 pounds or more (30 kilograms or more).
  • The epinephrine injection 0.15 mg auto-injector is for patients who weigh about 33 to 66 pounds (15 to 30 kilograms).
  • It is not known if epinephrine injection is safe and effective in children who weigh less than 33 pounds (15 kilograms).

Before using epinephrine injection, tell your healthcare provider about all your medical conditions, especially if you:

  • have heart problems or high blood pressure
  • have diabetes
  • have thyroid problems
  • have asthma
  • have a history of depression
  • have Parkinson's disease
  • have any other medical conditions
  • are pregnant or plan to become pregnant. It is not known if epinephrine will harm your unborn baby.
  • are breastfeeding or plan to breastfeed. It is not known if epinephrine passes into your breast milk.

Tell your healthcare provider about all the medicines you take, including prescription and over-the-counter medicines, vitamins and herbal supplements. Tell your healthcare provider of all known allergies.

Especially tell your healthcare provider if you take certain asthma medicines.

Epinephrine injection and other medicines may affect each other, causing side effects. Epinephrine injection may affect the way other medicines work, and other medicines may affect how epinephrine injection works.

Know the medicines you take. Keep a list of them to show your healthcare provider and pharmacist when you get a new medicine.

Use your epinephrine injection for treatment of anaphylaxis as prescribed by your healthcare provider, regardless of your medical conditions or the medicine you take.

How should I use epinephrine injection?

  • Each epinephrine injection contains only 1 dose of medicine.
  • Epinephrine injection should only be injected into the middle of the outer thigh (upper leg). It can be injected through clothing, if needed.
  • Read the Instructions for Use at the end of this Patient Information Leaflet for information about the right way to use epinephrine injection.
  • Your healthcare provider will show you how to safely use epinephrine injection.
  • Use epinephrine injection exactly as your healthcare provider tells you to use it. You may need to use a second epinephrine injection if symptoms continue or recur. Only a healthcare provider should give additional doses of epinephrine if you need more than 2 injections for a single anaphylaxis episode.
  • Caution: Never put your thumb, fingers, or hand over the red tip. Never press or push the red tip with your thumb, fingers, or hand. The needle comes out of the red tip. Accidental injection into finger, hands, or feet may cause a loss of blood flow to those areas. If this happens, go immediately to the nearest emergency room. Tell the healthcare provider where on your body you received the accidental injection.
  • Your epinephrine injection comes packaged in a carton containing 1 or 2 epinephrine injection.
  • You may request a separate Trainer, that comes packaged with instructions. Additional video instructions on the use of epinephrine injection are available from www.epinephrineautoinject.com. The epinephrine injection, USP auto-injector Trainer has a beige color. The beige epinephrine injection Trainer contains no medicine and no needle. Practice with your epinephrine injection Trainer before an allergic emergency happens to make sure you are able to safely use the real epinephrine injection in an emergency. Always carry your real epinephrine injection with you in case of an allergic emergency.
  • Do not drop the carrying case or epinephrine injection. If the carrying case or epinephrine injection is dropped, check for damage and leakage. Throw away (dispose of) epinephrine injection and the carrying case, and replace if damage or leakage is noticed or suspected.

What are the possible side effects of epinephrine injection?

Epinephrine injection may cause serious side effects.

  • Epinephrine injection should only be injected into the middle of your outer thigh (upper leg). Do not inject epinephrine injection into your:
    • veins
    • buttocks
    • fingers, toes, hands or feet.

If you accidentally inject epinephrine injection into any other part of your body, go to the nearest emergency room right away. Tell the healthcare provider where on your body you received the accidental injection.

  • Rarely, people who use epinephrine injection may develop infections at the injection site within a few days of an injection. Some of these infections can be serious. Call your healthcare provider right away if you have any of the following at an injection site:

    • redness that does not go away
    • swelling
    • tenderness
    • the area feels warm to the touch
  • Cuts on the skin, bent needles, and needles that remain in the skin after the injection, have happened in young children who do not cooperate and kick or move during an injection. If you inject a young child with epinephrine injection, hold their leg firmly in place before and during the injection to prevent injuries. Ask your healthcare provider to show you how to properly hold the leg of a young child during an injection.



  • If you have certain medical conditions, or take certain medicines, your condition may get worse or you may have more or longer lasting side effects when you use epinephrine injection. Talk to your healthcare provider about all your medical conditions.

Common side effects of epinephrine injection include:

  • faster, irregular or “pounding” heartbeat
  • sweating
  • headache
  • weakness
  • shakiness
  • paleness
  • feelings of over excitement, nervousness, or anxiety
  • dizziness
  • nausea or vomiting
  • breathing problems

These side effects may go away with rest. Tell your healthcare provider if you have any side effect that bothers you or that does not go away.

These are not all the possible side effects of epinephrine injection. For more information, ask your healthcare provider or pharmacist.

Call your doctor for medical advice about side effects. You may report side effects to FDA at 1-800-FDA-1088.

How should I store epinephrine injection?

  • Store epinephrine injection at room temperature between 68°F to 77° F (20°C to 25° C).
  • Protect from light.
  • Do not expose to extreme heat or cold. For example, do not store in your vehicle’s glove box and do not store in the refrigerator or freezer.
  • Examine the contents in the clear viewing window of your epinephrine injection periodically. The solution should be clear. If the solution is discolored (pinkish or brown), cloudy or contains solid particles, replace the unit.
  • Always keep your epinephrine injection in the carrying case to protect it from damage. The carrying case is not waterproof.
  • The two blue end caps help to prevent accidental injection. Do not remove the blue end caps until you are ready to use epinephrine injection.
  • Your epinephrine injection has an expiration date. Replace it before the expiration date.
  • Throw away (dispose of) expired, unwanted, or unused epinephrine injections in an FDA-cleared sharps disposal container. Do not throw away epinephrine injection in your household trash. If you do not have an FDA-cleared sharps disposal container, you may use a household container that is:

    • Made of heavy-duty plastic,
    • Can be closed with a tight-fitting, puncture-resistant lid, without sharps being able to come out,
    • Upright and stable during use,
    • Leak-resistant, and
    • Properly labeled to warn of hazardous waste inside the container.

    When your sharps disposal container is almost full, you will need to follow your community guidelines for the right way to dispose of your sharps disposal container. There may be state or local laws about how you should throw away used needles and syringes. For more information about safe sharps disposal, and for specific information about sharps disposal in the state that you live in, go to the FDA’s website at: http://www.fda.gov/safesharpsdisposalVisit the FDA’s website (https://www.fda.gov/drugs/safe-disposal-medicines/disposal- unused-medicines-what-you-should-know) for more information about how to throw away (dispose of) unused, unwanted or expired medicines.

Keep epinephrine injection and all medicines out of the reach of children.

General information about the safe and effective use of epinephrine injection:

Medicines are sometimes prescribed for purposes other than those listed in a Patient Information leaflet. Do not use epinephrine injection for a condition for which it was not prescribed. Do not give epinephrine injection to other people.

This Patient Information Leaflet summarizes the most important information about epinephrine injection. If you would like more information, talk to your healthcare provider. You can ask your pharmacist or healthcare provider for information about epinephrine injection that is written for health professionals.

What are the ingredients in epinephrine injection?

Active Ingredient: epinephrine

Inactive Ingredients: sodium chloride, chlorobutanol, sodium bisulfite, hydrochloric acid and sodium hydroxide, and water.

For more information and video instructions on the use of epinephrine injection go to www.epinephrineautoinject.com or call 1-877-835-5472.

Important Information

  • The epinephrine injection 0.3 mg has a yellow colored label.
  • The epinephrine injection 0.15 mg has an orange colored label.
  • The epinephrine injection Trainer has a beige color, and contains no medicine and no needle.
  • Your epinephrine injection is designed to work through clothing.
  • The two blue end caps on epinephrine injection help to prevent accidental injection of the device. Do not remove the blue end caps until you are ready to use it.
  • Only inject into the middle of the outer thigh (upper leg). Never inject into any other part of the body.
  • Never put your thumb, fingers, or your hand over the red tip. The needle comes out of the red tip.
  • If an accidental injection happens, get medical help right away.
  • Do not place patient information or any other foreign objects in carrier with the epinephrine injection, as this may prevent you from removing the auto-injector for use.

This Patient Information has been approved by the U.S. Food and Drug Administration                                                          Rev. 02-2021-03

Description

Epinephrine injection is indicated in the emergency treatment of allergic reactions (Type I) including anaphylaxis to stinging insects (e.g., order Hymenoptera, which includes bees, wasps, hornets, yellow jackets and fire ants), and biting insects (e.g., triatoma, mosquitoes), allergen immunotherapy, foods, drugs, diagnostic testing substances (e.g., radiocontrast media), and other allergens, as well as idiopathic anaphylaxis or exercise-induced anaphylaxis. Epinephrine injection is intended for immediate administration in patients who are determined to be at increased risk for anaphylaxis, including individuals with a history of anaphylactic reactions. Anaphylactic reactions may occur within minutes after exposure and consist of flushing, apprehension, syncope, tachycardia, thready or unobtainable pulse associated with a fall in blood pressure, convulsions, vomiting, diarrhea and abdominal cramps, involuntary voiding, wheezing, dyspnea due to laryngeal spasm, pruritus, rashes, urticaria, or angioedema. Epinephrine injection is intended for immediate administration as emergency supportive therapy only and is not a replacement or substitute for immediate medical care.

10 Overdosage

Overdosage of epinephrine may produce extremely elevated arterial pressure, which may result in cerebrovascular hemorrhage, particularly in elderly patients. Overdosage may also result in pulmonary edema because of peripheral vascular constriction together with cardiac stimulation. Treatment consists of a rapidly acting vasodilators or alpha-adrenergic blocking drugs and/or respiratory support.

Epinephrine overdosage can also cause transient bradycardia followed by tachycardia, and these may be accompanied by potentially fatal cardiac arrhythmias. Premature ventricular contractions may appear within one minute after injection and may be followed by multifocal ventricular tachycardia (prefibrillation rhythm). Subsidence of the ventricular effects may be followed by atrial tachycardia and occasionally by atrioventricular block. Treatment of arrhythmias consists of administration of a beta-adrenergic blocking drug such as propranolol.

Overdosage sometimes results in extreme pallor and coldness of the skin, metabolic acidosis, and kidney failure. Suitable corrective measures must be taken in such situations.

8.1 Pregnancy

Risk Summary

There are no available human data on the use of epinephrine injection in pregnant women to inform a drug-associated risk of adverse developmental outcomes. In animal reproduction studies, epinephrine administered by the subcutaneous route to rabbits, mice, and hamsters during the period of organogenesis was teratogenic at doses 7 times and higher than the maximum recommended daily subcutaneous or intramuscular dose on a mg/m 2 basis ( see Data). Epinephrine is the first-line medication of choice for the treatment of anaphylaxis during pregnancy in humans. Epinephrine should be used for treatment of anaphylaxis during pregnancy in the same manner as it is used in non-pregnant patients.

In the U.S. general population, the estimated background risk of major birth defects and miscarriage in clinically recognized pregnancies is 2 to 4% and 15 to 20%, respectively.

Clinical Considerations

Disease-associated maternal and embryo/fetal risk:

During pregnancy, anaphylaxis can be catastrophic and can lead to hypoxic-ischemic encephalopathy and permanent central nervous system damage or death in the mother and, more commonly, in the fetus or neonate.  The prevalence of anaphylaxis occurring during pregnancy is reported to be approximately 3 cases per 100,000 deliveries.

Management of anaphylaxis during pregnancy is similar to management in the general population.  Epinephrine is the first line-medication of choice for treatment of anaphylaxis; it should be used in the same manner in pregnant and non-pregnant patients.  In conjunction with the administration of epinephrine, the patient should seek immediate medical or hospital care.

Data

Animal Data

In an embryofetal development study with rabbits dosed during the period of organogenesis, epinephrine was shown to be teratogenic (including gastroschisis and embryonic lethality) at doses approximately 40 times the maximum recommended intramuscular or subcutaneous dose (on a mg/m 2 basis at a maternal subcutaneous dose of 1.2 mg/kg/day for two to three days).

In an embryofetal development study with mice dosed during the period of organogenesis, epinephrine was shown to be teratogenic (including embryonic lethality) at doses approximately 8 times the maximum recommended intramuscular or subcutaneous dose (on a mg/m 2 basis at maternal subcutaneous dose of 1 mg/kg/day for 10 days). These effects were not seen in mice at approximately 4 times the maximum recommended daily intramuscular or subcutaneous dose (on a mg/m 2 basis at a subcutaneous maternal dose of 0.5 mg/kg/day for 10 days).

In an embryofetal development study with hamsters dosed during the period of organogenesis from gestation days 7 to 10, epinephrine was shown to be teratogenic at doses approximately 7 times the maximum recommended intramuscular or subcutaneous dose (on a mg/m 2 basis at a maternal subcutaneous dose of 0.5 mg/kg/day).

8.2 Lactation

Risk Summary

There are no data on the presence of epinephrine in human milk, or the effects of epinephrine on the breastfed infant or on milk production. Epinephrine is the first line-medication of choice for treatment of anaphylaxis; it should be used in the same manner in breastfeeding and no-breastfeeding patients.

11 Description

Epinephrine injection, USP 0.3 mg and 0.15 mg is an auto-injector and a combination product containing drug and device components.

Each epinephrine injection, USP 0.3 mg delivers a single dose of 0.3 mg epinephrine from epinephrine injection, USP (0.3 mL) in a sterile solution.

Each epinephrine injection, USP 0.15 mg delivers a single dose of 0.15 mg epinephrine from epinephrine injection, USP (0.15 mL) in a sterile solution.

Epinephrine injection, USP 0.3 mg and epinephrine injection, USP 0.15 mg each contain 1.1 mL of epinephrine solution. 0.3 mL and 0.15 mL epinephrine solution are dispensed for epinephrine injection, USP 0.3 mg and epinephrine injection, USP 0.15 mg, respectively, when activated. The solution remaining after activation is not available for future use and should be discarded.

Each 0.3 mL in epinephrine injection, USP 0.3 mg contains 0.3 mg epinephrine, 2.6 mg sodium chloride, not more than 1.5 mg chlorobutanol, 0.45 mg sodium bisulfite, hydrochloric acid and sodium hydroxide to adjust pH, and water for injection. The pH range is 2.2-5.0.

Each 0.15 mL in epinephrine injection, USP 0.15 mg contains 0.15 mg epinephrine, 1.3 mg sodium chloride, not more than 0.75 mg chlorobutanol, 0.225 sodium bisulfite, hydrochloric acid and sodium hydroxide to adjust pH, and water for injection. The pH range is 2.2-5.0.

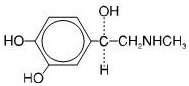
Epinephrine is a sympathomimetic catecholamine. Chemically, epinephrine is (-)-3,4-Dihydroxy-α-[(methylamino)methyl]benzyl alcohol with the following structure:

Epinephrine solution deteriorates rapidly on exposure to air or light, turning pink from oxidation to adrenochrome and brown from the formation of melanin. Replace epinephrine injection, USP if the epinephrine solution appears discolored (pinkish or brown color), cloudy, or contains particles.

Thoroughly review the patient instructions and operation of epinephrine injection, USP with patients and caregivers prior to use [see Patient Counseling Information ( 17) ].

8.4 Pediatric Use

Epinephrine injection may be administered to pediatric patients at a dosage appropriate to body weight [see Dosage and Administration (2.1)]. Clinical experience with the use of epinephrine suggests that the adverse reactions seen in children are similar in nature and extent to those both expected and reported in adults. Since the dose of epinephrine delivered from epinephrine injection is fixed, consider using other forms of injectable epinephrine if doses lower than 0.15 mg are deemed necessary.

8.5 Geriatric Use

Clinical studies for the treatment of anaphylaxis have not been performed in subjects aged 65 and over to determine whether they respond differently from younger subjects. However, other reported clinical experience with use of epinephrine for the treatment of anaphylaxis has identified that geriatric patients may be particularly sensitive to the effects of epinephrine. Therefore, epinephrine injection should be administered with caution in elderly individuals, who may be at greater risk for developing adverse reactions after epinephrine administration [see Warnings and Precautions (5.5) and Overdosage (10)].

4 Contraindications

None.

6 Adverse Reactions

Due to the lack of randomized, controlled clinical trials of epinephrine for the treatment of anaphylaxis, the true incidence of adverse reactions associated with the systemic use of epinephrine is difficult to determine. Adverse reactions reported in observational trials, case reports, and studies are listed below.

Common adverse reactions to systemically administered epinephrine include anxiety; apprehensiveness; restlessness; tremor; weakness; dizziness; sweating; palpitations; pallor; nausea and vomiting; headache; and/or respiratory difficulties. These symptoms occur in some persons receiving therapeutic doses of epinephrine, but are more likely to occur in patients with hypertension or hyperthyroidism [see Warnings and Precautions (5.5)].

Cardiovascular Reactions

  • Arrhythmias, including fatal ventricular fibrillation, have been reported, particularly in patients with underlying cardiac disease or those receiving certain drugs [see Warnings and Precautions (5.5) and Drug Interactions (7)].
  • Rapid rises in blood pressure have produced cerebral hemorrhage, particularly in elderly patients with cardiovascular disease [see Warnings and Precautions (5.5)].
  • Angina may occur in patients with coronary artery disease [see Warnings and Precautions (5.5)].
  • Rare cases of stress cardiomyopathy have been reported in patients treated with epinephrine.

Reactions from Accidental Injection and/or Improper Technique

  • Accidental injection into the digits, hands or feet may result in loss of blood flow to the affected area [see Warnings and Precautions (5.2)].
  • Adverse reactions experienced as a result of accidental injections may include increased heart rate, local reactions including injection site pallor, coldness and hypoesthesia or injury at the injection site resulting in bruising, bleeding, discoloration, erythema or skeletal injury.
  • Lacerations, bent needles, and embedded needles have been reported when epinephrine injection has been injected into the thigh of young children who are uncooperative and kick or move during an injection [see Warnings and Precautions (5.2)].
  • Injection into the buttock has resulted in cases of gas gangrene [see Warnings and Precautions (5.2)].

Skin and Soft Tissue Infections

  • Rare cases of serious skin and soft tissue infections, including necrotizing fasciitis and myonecrosis caused by Clostridia (gas gangrene), have been reported following epinephrine injection in the thigh [see Warnings and Precautions (5.3)].
7 Drug Interactions

Cardiac Glycosides, Diuretics, and Anti-arrhythmics

Patients who receive epinephrine while concomitantly taking cardiac glycosides, diuretics, or anti-arrhythmics should be observed carefully for the development of cardiac arrhythmias [see Warnings and Precautions (5.5)].

Antidepressants, Monoamine Oxidase Inhibitors, Levothyroxine, and Antihistamines

The effects of epinephrine may be potentiated by tricyclic antidepressants, monoamine oxidase inhibitors, levothyroxine sodium, and certain antihistamines, notably chlorpheniramine, tripelennamine, and diphenhydramine.

Beta-Adrenergic Blockers

The cardiostimulating and bronchodilating effects of epinephrine are antagonized by beta- adrenergic blocking drugs, such as propranolol.

Alpha-Adrenergic Blockers

The vasoconstricting and hypertensive effects of epinephrine are antagonized by alpha-adrenergic blocking drugs, such as phentolamine.

Ergot Alkaloids

Ergot alkaloids may also reverse the pressor effects of epinephrine.

Instructions for Use

EPINEPHRINE injection (ep-in-eph-rine)

for intramuscular or subcutaneous use

For allergic emergencies (anaphylaxis)

Read this Instructions for Use carefully before you useepinephrine injection and each time you get a refill. There may be new information. Before you need to use your epinephrine injection, make sure your healthcare provider shows you the right way to use it. Parents, caregivers, and others who may be in a position to administer epinephrine injection should also understand how to use it well. This information does not take the place of talking to your healthcare provider about your medical condition or your treatment. If you have any questions, ask your healthcare provider.

Your epinephrine injection

Step 1. Prepare epinephrine injection for injection

  • Remove epinephrine injection from its protective carrying case.
  • Pull off blue end caps. You will now see a red tip. Grasp the epinephrine injection in your fist with the red tip pointing downward. See Figure A.

Note:

  • The needle comes out of the red tip.
  • To avoid an accidental injection, never put your thumb, fingers, or hand over the red tip. If an accidental injection happens, get medical help right away.

S tep 2. Administer epinephrine injection

  • If you are administering epinephrine injection to a young child, hold the leg firmly in place and limit movement prior to and while administering an injection.
  • Put the red tip against the middle of the outer thigh (upper leg) at a 90° angle (perpendicular) to the thigh.
  • Press down hard and hold firmly against the thigh for approximately 10 seconds to deliver the medicine. See Figure B.

  • Only inject into the middle of the outer thigh. Do not inject into any other part of the body.
  • Remove epinephrine injection from the thigh.
  • Massage the area for 10 seconds.
  • Check the red tip. The injection is complete and you have received the correct dose of the medicine if you see the needle sticking out of the red tip. If you do not see the needle repeat Step 2.

S tep 3. Get emergency medical help right away. You may need further medical attention. You may need to use a second epinephrine injection if symptoms continue or recur.

S tep 4. After use Disposal

Carefully cover the needle with the carrying case.

  • Lay the labeled half of the carrying case cover down on a flat surface. Use one hand to carefully slide the end of the epinephrine injection needle first, into the labeled carrying case cover. See Figure C.

  • After the needle is inside the labeled cover, push the unlabeled half of the carrying case cover firmly over the non-needle end of the epinephrine injection . See Figure D.

  • Take your used epinephrine injection with you when you go to see a healthcare provider.
  • Tell the healthcare provider that you have received an injection of epinephrine. Show the healthcare provider where you received the injection.
  • Give your used epinephrine injection to the healthcare provider for inspection and proper disposal.
  • Ask for a refill, if needed.

Note:

  • Epinephrine injection is a single-use injectable device that delivers a fixed dose of epinephrine. Epinephrine injection cannot be reused. Do not attempt to reuse epinephrine injection after the device has been activated. It is normal for most of the medicine to remain in the auto-injector after the dose is injected. The correct dose has been administered if you see the needle sticking out of the red tip.
  • A separate epinephrine injection Trainer is available. The epinephrine injection Trainer has a beige color. The beige epinephrine injection Trainer contains no medicine and no needle. Practice with your epinephrine injection Trainer, but always carry your real epinephrine injection in case of an allergic emergency.
  • If you will be administering epinephrine injection to a young child, ask your healthcare provider to show you how to properly hold the leg in place while administering a dose.
  • Do not try to take epinephrine injection.

For more information and video instructions on the use of epinephrine injection, go to www.epinephrineautoinject.com or call 1-877-835-5472.

This Patient Information and Instructions for Use has been approved by the U.S. Food and Drug Administration.

Repackaged and Distributed By:

Remedy Repack, Inc.

625 Kolter Dr. Suite #4 Indiana, PA 1-724-465-8762

12.2 Pharmacodynamics

Through its action on alpha-adrenergic receptors, epinephrine lessens the vasodilation and increased vascular permeability that occurs during anaphylaxis, which can lead to loss of intravascular fluid volume and hypotension.

Through its action on beta-adrenergic receptors, epinephrine causes bronchial smooth muscle relaxation and helps alleviate bronchospasm, wheezing, and dyspnea that may occur during anaphylaxis.

Epinephrine also alleviates pruritus, urticaria, and angioedema, and may relieve gastrointestinal and genitourinary symptoms associated with anaphylaxis because of its relaxer effects on the smooth muscle of the stomach, intestine, uterus and urinary bladder.

When given intramuscularly or subcutaneously, epinephrine has a rapid onset and short duration of action.

1 Indications and Usage

Epinephrine injection is indicated in the emergency treatment of allergic reactions (Type I) including anaphylaxis to stinging insects (e.g., order Hymenoptera, which includes bees, wasps, hornets, yellow jackets and fire ants), and biting insects (e.g., triatoma, mosquitoes), allergen immunotherapy, foods, drugs, diagnostic testing substances (e.g., radiocontrast media), and other allergens, as well as idiopathic anaphylaxis or exercise-induced anaphylaxis.

Epinephrine injection is intended for immediate administration in patients who are determined to be at increased risk for anaphylaxis, including individuals with a history of anaphylactic reactions.

Anaphylactic reactions may occur within minutes after exposure and consist of flushing, apprehension, syncope, tachycardia, thready or unobtainable pulse associated with a fall in blood pressure, convulsions, vomiting, diarrhea and abdominal cramps, involuntary voiding, wheezing, dyspnea due to laryngeal spasm, pruritus, rashes, urticaria, or angioedema.

Epinephrine injection is intended for immediate administration as emergency supportive therapy only and is not a replacement or substitute for immediate medical care.

5.1 Emergency Treatment

Epinephrine injection is intended for immediate administration as emergency supportive therapy and is not intended as a substitute for immediate medical care. In conjunction with the administration of epinephrine, the patient should seek immediate medical or hospital care. More than two sequential doses of epinephrine should only be administered under direct medical supervision [see Indications and Usage (1), Dosage and Administration (2) and Patient Counseling Information (17)].

Principal Display Panel

DRUG: epinephrine

GENERIC: epinephrine

DOSAGE: INJECTION

ADMINSTRATION: SUBCUTANEOUS

NDC: 70518-2048-0

PACKAGING: 2 in 1 CARTON

PACKAGING: 1 in 1 CASE

PACKAGING: 0.3 mL in 1 SYRINGE, GLASS

ACTIVE INGREDIENT(S):

  • EPINEPHRINE 0.3mg in 0.3mL

INACTIVE INGREDIENT(S):

  • SODIUM CHLORIDE
  • CHLOROBUTANOL
  • SODIUM BISULFITE
  • HYDROCHLORIC ACID
  • SODIUM HYDROXIDE

12.1 Mechanism of Action

Epinephrine acts on both alpha- and beta-adrenergic receptors.

5.5 Disease Interactions

Some patients may be at greater risk for developing adverse reactions after epinephrine administration. Despite these concerns, it should be recognized that the presence of these conditions is not a contraindication to epinephrine administration in an acute, life-threatening situation. Therefore, patients with these conditions, and/or any other person who might be in a position to administer epinephrine injection to a patient experiencing anaphylaxis should be carefully instructed in regard to the circumstances under which epinephrine should be used.

Patients with Heart Disease

Epinephrine should be administered with caution to patients who have heart disease, including patients with cardiac arrhythmias, coronary artery or organic heart disease, or hypertension. In such patients, or in patients who are on drugs that may sensitize the heart to arrhythmias, epinephrine may precipitate or aggravate angina pectoris as well as produce ventricular arrhythmias [see Drug Interactions (7) and Adverse Reactions (6)].

Other Patients and Diseases

Epinephrine should be administered with caution to patients with hyperthyroidism, diabetes, elderly individuals, and pregnant women. Patients with Parkinson’s disease may notice a temporary worsening of symptoms.

5 Warnings and Precautions
  • In conjunction with use, seek immediate medical or hospital care. ( 5.1)
  • Do not inject intravenously, into buttock, or into digits, hands, or feet. ( 5.2)
  • To minimize the risk of injection related injury, hold the child’s leg firmly in place and limit movement prior to and during injection when administering to young children. ( 5.2)
  • Rare cases of serious skin and soft tissue infections have been reported following epinephrine injection. Advise patients to seek medical care if they develop signs or symptoms of infection. ( 5.3)
  • The presence of a sulfite in this product should not deter use. ( 5.4)
  • Administer with caution in patients with heart disease; may aggravate angina pectoris or produce ventricular arrhythmias. ( 5.5)
2 Dosage and Administration
  • Patients greater than or equal to 30 kg (66 lbs): 0.3 mg (2)
  • Patients 15 to 30 kg (33 lbs-66 lbs): 0.15 mg (2)

Inject intramuscularly or subcutaneously into the anterolateral aspect of the thigh, through clothing if necessary. Each device is a single-dose injection. (2)

3 Dosage Forms and Strengths
  • Injection: 0.3 mg (0.3 mg/0.3 mL) of clear and colorless solution in single-dose pre-filled auto-injector
8 Use in Specific Populations
  • Elderly patients may be at greater risk of developing adverse reactions. ( 5.5, 8.5)
2.2 Administration Instructions
  • Inject the single-dose epinephrine injection intramuscularly or subcutaneously into the anterolateral aspect of the thigh, through clothing if necessary. Do not inject intravenously, and do not inject into buttocks, into digits, hands or feet [see Warnings and Precautions (5.2)].
  • Instruct caregivers of young children who are prescribed an epinephrine injection and who may be uncooperative and kick or move during an injection to hold the leg firmly in place and limit movement prior to and during an injection [see Warnings and Precautions (5.2)].

  • Each epinephrine injection is a single-dose of epinephrine injection for single use. Since the doses of epinephrine delivered from epinephrine injection are fixed, consider using other forms of injectable epinephrine if doses lower than 0.15 mg are deemed necessary.
  • With severe persistent anaphylaxis, repeat injections with an additional epinephrine injection may be necessary. More than two sequential doses of epinephrine should only be administered under direct medical supervision [see Warnings and Precautions (5.1)].
  • The epinephrine solution in the viewing window of epinephrine injection should be inspected visually for particulate matter and discoloration.
17 Patient Counseling Information

See FDA-Approved Patient Labeling (Patient Information and Instructions for Use)

A healthcare provider should review the patient instructions and operation of epinephrine injection, in detail, with the patient or caregiver.

Epinephrine is essential for the treatment of anaphylaxis. Carefully instruct patients who are at risk of or with a history of severe allergic reactions (anaphylaxis) to insect stings or bites, foods, drugs, and other allergens, as well as idiopathic and exercise-induced anaphylaxis, about the circumstances under which epinephrine should be used.

Administration

Instruct patients and/or caregivers in the appropriate use of epinephrine injection. Epinephrine injection should be injected into the middle of the outer thigh (through clothing if necessary).

Instruct caregivers to hold the leg of young children firmly in place and limit movement prior to and during injection. Lacerations, bent needles, and embedded needles have been reported when epinephrine injection has been injected into the thigh of young children who are uncooperative and kick during an injection [see Warnings and Precautions (5.2)].

Advise patients to seek immediate medical care in conjunction with administration of epinephrine injection.

Complete patient information, including dosage, directions for proper administration and precautions can be found inside each epinephrine injection carton. A printed label on the surface of epinephrine injection shows instructions for use and a diagram depicting the injection process.

Training

Instruct patients and/or caregivers to use the Trainer to familiarize themselves with the use of epinephrine injection in an allergic emergency. The Trainer may be used multiple times.

Adverse Reactions

Epinephrine may produce symptoms and signs that include an increase in heart rate, the sensation of a more forceful heartbeat, palpitations, sweating, nausea and vomiting, difficulty breathing, pallor, dizziness, weakness or shakiness, headache, apprehension, nervousness, or anxiety. These signs and symptoms usually subside rapidly, especially with rest, quiet, and recumbency. Patients with hypertension or hyperthyroidism may develop more severe or persistent effects, and patients with coronary artery disease could experience angina. Patients with diabetes may develop increased blood glucose levels following epinephrine administration. Patients with Parkinson’s disease may notice a temporary worsening of symptoms [see Warnings and Precautions (5.5)].

Accidental Injection

Advise patients to seek immediate medical care in the case of accidental injection. Since epinephrine is a strong vasoconstrictor when injected into the digits, hands or feet, treatment should be directed at vasodilation if there is such an accidental injection to these areas [see Warnings and Precautions (5.2)].

Serious Infections at the Injection Site

Rare cases of skin and soft tissue infections, including necrotizing fasciitis and myonecrosis caused by Clostridia (gas gangrene), have been reported at the injection site following epinephrine injection for anaphylaxis. Advise patients to seek medical care if they develop signs or symptoms of infection, such as persistent redness, warmth, swelling, or tenderness, at the epinephrine injection site [see Warnings and Precautions (5.3)].

Pregnancy and Breastfeeding

Inform patients that epinephrine injection has not been studied in pregnant women or breastfeeding mothers so the effects of epinephrine injection on pregnant women or breastfed infants are not known. Instruct patients to tell their healthcare provider if they are pregnant, become pregnant, or are thinking about becoming pregnant. Instruct patients to tell their healthcare provider if they plan to breastfeed their infant [see Use in Specific Populations (8.1, 8.2)].

Storage and Handling

Instruct patients to inspect the epinephrine solution visually through the viewing window periodically. Replace epinephrine injection, USP auto-injector if the epinephrine solution appears discolored (pinkish or brown), cloudy, or contains particles. Epinephrine is light sensitive, store in the outer case provided to protect it from light. Instruct patients that epinephrine injection, USP auto-injector must be properly disposed of once the blue caps have been removed or after use [see How Supplied/Storage and Handling (16)].

Complete patient information, including dosage, directions for proper administration and precautions are provided inside each epinephrine injection carton.

Repackaged By / Distributed By: RemedyRepack Inc.

625 Kolter Drive, Indiana, PA 15701

(724) 465-8762

5.2 Injection Related Complications

Epinephrine injection should only be injected into the anterolateral aspect of the thigh [see Dosage and Administration (2) and Patient Counseling Information (17)].

Do not inject intravenously

Large doses or accidental intravenous injection of epinephrine may result in cerebral hemorrhage due to a sharp rise in blood pressure. Rapidly acting vasodilators can counteract the marked pressor effects of epinephrine if there is such inadvertent administration.

Do not inject into buttock

Injection into the buttock may not provide effective treatment of anaphylaxis. Advise the patient to go immediately to the nearest emergency room for further treatment of anaphylaxis. Additionally, injection into the buttock has been associated with the development of Clostridial infections (gas gangrene). Cleansing with alcohol does not kill bacterial spores, and therefore, does not lower the risk.

Do not inject into digits, hands or feet

Since epinephrine is a strong vasoconstrictor, accidental injection into the digits, hands or feet may result in loss of blood flow to the affected area. Advise the patient to go immediately to the nearest emergency room and to inform the healthcare provider in the emergency room of the location of the accidental injection. Treatment of such inadvertent administration should consist of vasodilation, in addition to further appropriate treatment of anaphylaxis [see Adverse Reactions (6)].

Hold leg firmly during injection

Lacerations, bent needles, and embedded needles have been reported when epinephrine has been injected into the thigh of young children who are uncooperative and kick or move during an injection. To minimize the risk of injection related injury when administering, hold the child’s leg firmly in place and limit movement prior to and during injection.

16 How Supplied/storage and Handling

Carton containing two epinephrine injection, USP 0.3 mg single-dose pre-filled auto-injectors:

NDC: 70518-2048-00

PACKAGING: 2 in 1 CARTON, 1 in 1 CASE, 0.3 mL in 1 SYRINGE GLASS, TYPE 0

Storage and Handling

Protect from light. Epinephrine is light sensitive and should be stored in the carrying-case provided to protect it from light. Store at room temperature (20°C to 25°C (68°F to 77°F)); excursions permitted to 15°C to 30°C (59°F to 86°F) [See USP Controlled Room Temperature]. Do not refrigerate. Before using, check to make sure the solution in the auto-injector is clear and colorless. Replace the auto-injector if the solution is discolored (pinkish or brown color), cloudy, or contains particles.

Properly dispose of all used, unwanted, or expired epinephrine injection, USP.

Repackaged and Distributed By:

Remedy Repack, Inc.

625 Kolter Dr. Suite #4 Indiana, PA 1-724-465-8762

5.3 Serious Infections At the Injection Site

Rare cases of serious skin and soft tissue infections, including necrotizing fasciitis and myonecrosis caused by Clostridia (gas gangrene), have been reported at the injection site following epinephrine injection for anaphylaxis. Clostridium spores can be present on the skin and introduced into the deep tissue with subcutaneous or intramuscular injection. While cleansing with alcohol may reduce presence of bacteria on the skin, alcohol cleansing does not kill Clostridium spores. To decrease the risk of Clostridium infection, do not inject epinephrine injection into the buttock [see Warnings and Precautions (5.2)]. Advise patients to seek medical care if they develop signs or symptoms of infection, such as persistent redness, warmth, swelling, or tenderness, at the epinephrine injection site.

5.4 Allergic Reactions Associated With Sulfite

The presence of a sulfite in this product should not deter administration of the drug for treatment of serious allergic or other emergency situations even if the patient is sulfite-sensitive.

Epinephrine is the preferred treatment for serious allergic reactions or other emergency situations even though this product contains sodium bisulfite, a sulfite that may, in other products, cause allergic-type reactions including anaphylactic symptoms or life-threatening or less severe asthmatic episodes in certain susceptible persons.

The alternatives to using epinephrine in a life-threatening situation may not be satisfactory.

2.1 Recommended Dosage According to Patient Body Weight
  • Patients greater than or equal to 30 kg (approximately 66 pounds or more): 0.3 mg
  • Patients 15 kg to 30 kg (33 pounds to 66 pounds): 0.15 mg
13.1 Carcinogenesis, Mutagenesis, Impairment of Fertility

Long-term studies to evaluate the carcinogenic potential of epinephrine have not been conducted.

Epinephrine and other catecholamines have been shown to have mutagenic potential in vitro. Epinephrine was positive in the Salmonella bacterial reverse mutation assay, positive in the mouse lymphoma assay, and negative in the in vivo micronucleus assay. Epinephrine is an oxidative mutagen based on the E. coli WP2 Mutoxitest bacterial reverse mutation assay. This should not prevent the use of epinephrine where indicated under the conditions noted under [see Indications and Usage (1)].

The potential for epinephrine to impair reproductive performance has not been evaluated, but epinephrine has been shown to decrease implantation in female rabbits dosed subcutaneously with 1.2 mg/kg/day (40-fold the highest human intramuscular or subcutaneous daily dose) during gestation days 3 to 9.


Structured Label Content

10 Overdosage (10 OVERDOSAGE)

Overdosage of epinephrine may produce extremely elevated arterial pressure, which may result in cerebrovascular hemorrhage, particularly in elderly patients. Overdosage may also result in pulmonary edema because of peripheral vascular constriction together with cardiac stimulation. Treatment consists of a rapidly acting vasodilators or alpha-adrenergic blocking drugs and/or respiratory support.

Epinephrine overdosage can also cause transient bradycardia followed by tachycardia, and these may be accompanied by potentially fatal cardiac arrhythmias. Premature ventricular contractions may appear within one minute after injection and may be followed by multifocal ventricular tachycardia (prefibrillation rhythm). Subsidence of the ventricular effects may be followed by atrial tachycardia and occasionally by atrioventricular block. Treatment of arrhythmias consists of administration of a beta-adrenergic blocking drug such as propranolol.

Overdosage sometimes results in extreme pallor and coldness of the skin, metabolic acidosis, and kidney failure. Suitable corrective measures must be taken in such situations.

8.1 Pregnancy

Risk Summary

There are no available human data on the use of epinephrine injection in pregnant women to inform a drug-associated risk of adverse developmental outcomes. In animal reproduction studies, epinephrine administered by the subcutaneous route to rabbits, mice, and hamsters during the period of organogenesis was teratogenic at doses 7 times and higher than the maximum recommended daily subcutaneous or intramuscular dose on a mg/m 2 basis ( see Data). Epinephrine is the first-line medication of choice for the treatment of anaphylaxis during pregnancy in humans. Epinephrine should be used for treatment of anaphylaxis during pregnancy in the same manner as it is used in non-pregnant patients.

In the U.S. general population, the estimated background risk of major birth defects and miscarriage in clinically recognized pregnancies is 2 to 4% and 15 to 20%, respectively.

Clinical Considerations

Disease-associated maternal and embryo/fetal risk:

During pregnancy, anaphylaxis can be catastrophic and can lead to hypoxic-ischemic encephalopathy and permanent central nervous system damage or death in the mother and, more commonly, in the fetus or neonate.  The prevalence of anaphylaxis occurring during pregnancy is reported to be approximately 3 cases per 100,000 deliveries.

Management of anaphylaxis during pregnancy is similar to management in the general population.  Epinephrine is the first line-medication of choice for treatment of anaphylaxis; it should be used in the same manner in pregnant and non-pregnant patients.  In conjunction with the administration of epinephrine, the patient should seek immediate medical or hospital care.

Data

Animal Data

In an embryofetal development study with rabbits dosed during the period of organogenesis, epinephrine was shown to be teratogenic (including gastroschisis and embryonic lethality) at doses approximately 40 times the maximum recommended intramuscular or subcutaneous dose (on a mg/m 2 basis at a maternal subcutaneous dose of 1.2 mg/kg/day for two to three days).

In an embryofetal development study with mice dosed during the period of organogenesis, epinephrine was shown to be teratogenic (including embryonic lethality) at doses approximately 8 times the maximum recommended intramuscular or subcutaneous dose (on a mg/m 2 basis at maternal subcutaneous dose of 1 mg/kg/day for 10 days). These effects were not seen in mice at approximately 4 times the maximum recommended daily intramuscular or subcutaneous dose (on a mg/m 2 basis at a subcutaneous maternal dose of 0.5 mg/kg/day for 10 days).

In an embryofetal development study with hamsters dosed during the period of organogenesis from gestation days 7 to 10, epinephrine was shown to be teratogenic at doses approximately 7 times the maximum recommended intramuscular or subcutaneous dose (on a mg/m 2 basis at a maternal subcutaneous dose of 0.5 mg/kg/day).

8.2 Lactation

Risk Summary

There are no data on the presence of epinephrine in human milk, or the effects of epinephrine on the breastfed infant or on milk production. Epinephrine is the first line-medication of choice for treatment of anaphylaxis; it should be used in the same manner in breastfeeding and no-breastfeeding patients.

11 Description (11 DESCRIPTION)

Epinephrine injection, USP 0.3 mg and 0.15 mg is an auto-injector and a combination product containing drug and device components.

Each epinephrine injection, USP 0.3 mg delivers a single dose of 0.3 mg epinephrine from epinephrine injection, USP (0.3 mL) in a sterile solution.

Each epinephrine injection, USP 0.15 mg delivers a single dose of 0.15 mg epinephrine from epinephrine injection, USP (0.15 mL) in a sterile solution.

Epinephrine injection, USP 0.3 mg and epinephrine injection, USP 0.15 mg each contain 1.1 mL of epinephrine solution. 0.3 mL and 0.15 mL epinephrine solution are dispensed for epinephrine injection, USP 0.3 mg and epinephrine injection, USP 0.15 mg, respectively, when activated. The solution remaining after activation is not available for future use and should be discarded.

Each 0.3 mL in epinephrine injection, USP 0.3 mg contains 0.3 mg epinephrine, 2.6 mg sodium chloride, not more than 1.5 mg chlorobutanol, 0.45 mg sodium bisulfite, hydrochloric acid and sodium hydroxide to adjust pH, and water for injection. The pH range is 2.2-5.0.

Each 0.15 mL in epinephrine injection, USP 0.15 mg contains 0.15 mg epinephrine, 1.3 mg sodium chloride, not more than 0.75 mg chlorobutanol, 0.225 sodium bisulfite, hydrochloric acid and sodium hydroxide to adjust pH, and water for injection. The pH range is 2.2-5.0.

Epinephrine is a sympathomimetic catecholamine. Chemically, epinephrine is (-)-3,4-Dihydroxy-α-[(methylamino)methyl]benzyl alcohol with the following structure:

Epinephrine solution deteriorates rapidly on exposure to air or light, turning pink from oxidation to adrenochrome and brown from the formation of melanin. Replace epinephrine injection, USP if the epinephrine solution appears discolored (pinkish or brown color), cloudy, or contains particles.

Thoroughly review the patient instructions and operation of epinephrine injection, USP with patients and caregivers prior to use [see Patient Counseling Information ( 17) ].

8.4 Pediatric Use

Epinephrine injection may be administered to pediatric patients at a dosage appropriate to body weight [see Dosage and Administration (2.1)]. Clinical experience with the use of epinephrine suggests that the adverse reactions seen in children are similar in nature and extent to those both expected and reported in adults. Since the dose of epinephrine delivered from epinephrine injection is fixed, consider using other forms of injectable epinephrine if doses lower than 0.15 mg are deemed necessary.

8.5 Geriatric Use

Clinical studies for the treatment of anaphylaxis have not been performed in subjects aged 65 and over to determine whether they respond differently from younger subjects. However, other reported clinical experience with use of epinephrine for the treatment of anaphylaxis has identified that geriatric patients may be particularly sensitive to the effects of epinephrine. Therefore, epinephrine injection should be administered with caution in elderly individuals, who may be at greater risk for developing adverse reactions after epinephrine administration [see Warnings and Precautions (5.5) and Overdosage (10)].

4 Contraindications (4 CONTRAINDICATIONS)

None.

6 Adverse Reactions (6 ADVERSE REACTIONS)

Due to the lack of randomized, controlled clinical trials of epinephrine for the treatment of anaphylaxis, the true incidence of adverse reactions associated with the systemic use of epinephrine is difficult to determine. Adverse reactions reported in observational trials, case reports, and studies are listed below.

Common adverse reactions to systemically administered epinephrine include anxiety; apprehensiveness; restlessness; tremor; weakness; dizziness; sweating; palpitations; pallor; nausea and vomiting; headache; and/or respiratory difficulties. These symptoms occur in some persons receiving therapeutic doses of epinephrine, but are more likely to occur in patients with hypertension or hyperthyroidism [see Warnings and Precautions (5.5)].

Cardiovascular Reactions

  • Arrhythmias, including fatal ventricular fibrillation, have been reported, particularly in patients with underlying cardiac disease or those receiving certain drugs [see Warnings and Precautions (5.5) and Drug Interactions (7)].
  • Rapid rises in blood pressure have produced cerebral hemorrhage, particularly in elderly patients with cardiovascular disease [see Warnings and Precautions (5.5)].
  • Angina may occur in patients with coronary artery disease [see Warnings and Precautions (5.5)].
  • Rare cases of stress cardiomyopathy have been reported in patients treated with epinephrine.

Reactions from Accidental Injection and/or Improper Technique

  • Accidental injection into the digits, hands or feet may result in loss of blood flow to the affected area [see Warnings and Precautions (5.2)].
  • Adverse reactions experienced as a result of accidental injections may include increased heart rate, local reactions including injection site pallor, coldness and hypoesthesia or injury at the injection site resulting in bruising, bleeding, discoloration, erythema or skeletal injury.
  • Lacerations, bent needles, and embedded needles have been reported when epinephrine injection has been injected into the thigh of young children who are uncooperative and kick or move during an injection [see Warnings and Precautions (5.2)].
  • Injection into the buttock has resulted in cases of gas gangrene [see Warnings and Precautions (5.2)].

Skin and Soft Tissue Infections

  • Rare cases of serious skin and soft tissue infections, including necrotizing fasciitis and myonecrosis caused by Clostridia (gas gangrene), have been reported following epinephrine injection in the thigh [see Warnings and Precautions (5.3)].
7 Drug Interactions (7 DRUG INTERACTIONS)

Cardiac Glycosides, Diuretics, and Anti-arrhythmics

Patients who receive epinephrine while concomitantly taking cardiac glycosides, diuretics, or anti-arrhythmics should be observed carefully for the development of cardiac arrhythmias [see Warnings and Precautions (5.5)].

Antidepressants, Monoamine Oxidase Inhibitors, Levothyroxine, and Antihistamines

The effects of epinephrine may be potentiated by tricyclic antidepressants, monoamine oxidase inhibitors, levothyroxine sodium, and certain antihistamines, notably chlorpheniramine, tripelennamine, and diphenhydramine.

Beta-Adrenergic Blockers

The cardiostimulating and bronchodilating effects of epinephrine are antagonized by beta- adrenergic blocking drugs, such as propranolol.

Alpha-Adrenergic Blockers

The vasoconstricting and hypertensive effects of epinephrine are antagonized by alpha-adrenergic blocking drugs, such as phentolamine.

Ergot Alkaloids

Ergot alkaloids may also reverse the pressor effects of epinephrine.

Patient Information

EPINEPHRINE injection (ep-in-eph-rine),

for intramuscular or subcutaneous use

For allergic emergencies (anaphylaxis)

Read this Patient Information leaflet carefully before you use epinephrine injection, and each time you get a refill. There may be new information. You, your parent, caregiver, or others who may be in a position to administer epinephrine injection should know how to use it before you have an allergic emergency.

This information does not take the place of talking with your healthcare provider about your medical condition or your treatment.

What is the most important information I should know about epinephrine injection?

1. Epinephrine injection contains epinephrine, a medicine used to treat allergic emergencies (anaphylaxis). Anaphylaxis can be life-threatening, can happen within minutes, and can be caused by stinging and biting insects, allergy injections, foods, medicines, exercise, or other unknown causes. Symptoms of an anaphylaxis may include:

  • trouble breathing
  • wheezing
  • hoarseness (changes in the way your voice sounds)
  • hives (raised reddened rash that may itch)
  • severe itching
  • swelling of your face, lips, mouth, or tongue
  • skin rash, redness, or swelling
  • fast heartbeat
  • weak pulse
  • feeling very anxious
  • confusion
  • stomach pain
  • losing control of urine or bowel movements (incontinence)
  • diarrhea or stomach cramps
  • dizziness, fainting, or “passing out” (unconsciousness)

2. Always carry your epinephrine injection with you because you may not know when anaphylaxis may happen. Talk to your healthcare provider if you need additional units to keep at work, school, or other locations. Tell your family members, caregivers, and others where you keep your epinephrine injection and how to use it before you need it. You may be unable to speak in an allergic emergency.

3. When you have an allergic emergency (anaphylaxis)

  • Use epinephrine injection right away.
  • Get emergency medical help right away. You may need further medical attention. You may need to use a second epinephrine injection if symptoms continue or recur. Only a healthcare provider should give additional doses of epinephrine if you need more than 2 injections for a single anaphylaxis episode.

What is epinephrine injection?

  • Epinephrine injection is a disposable, prefilled automatic injection device (auto-injector) used to treat life-threatening, allergic emergencies including anaphylaxis in people who are at risk for or have a history of serious allergic emergencies. Each device contains a single dose of epinephrine.
  • Epinephrine injection is for immediate self (or caregiver) administration and does not take the place of emergency medical care. You should get emergency medical help right away after using epinephrine injection.
  • Epinephrine injection is for people who have been prescribed this medicine by their healthcare provider.
  • The epinephrine injection 0.3 mg auto-injector is for patients who weigh 66 pounds or more (30 kilograms or more).
  • The epinephrine injection 0.15 mg auto-injector is for patients who weigh about 33 to 66 pounds (15 to 30 kilograms).
  • It is not known if epinephrine injection is safe and effective in children who weigh less than 33 pounds (15 kilograms).

Before using epinephrine injection, tell your healthcare provider about all your medical conditions, especially if you:

  • have heart problems or high blood pressure
  • have diabetes
  • have thyroid problems
  • have asthma
  • have a history of depression
  • have Parkinson's disease
  • have any other medical conditions
  • are pregnant or plan to become pregnant. It is not known if epinephrine will harm your unborn baby.
  • are breastfeeding or plan to breastfeed. It is not known if epinephrine passes into your breast milk.

Tell your healthcare provider about all the medicines you take, including prescription and over-the-counter medicines, vitamins and herbal supplements. Tell your healthcare provider of all known allergies.

Especially tell your healthcare provider if you take certain asthma medicines.

Epinephrine injection and other medicines may affect each other, causing side effects. Epinephrine injection may affect the way other medicines work, and other medicines may affect how epinephrine injection works.

Know the medicines you take. Keep a list of them to show your healthcare provider and pharmacist when you get a new medicine.

Use your epinephrine injection for treatment of anaphylaxis as prescribed by your healthcare provider, regardless of your medical conditions or the medicine you take.

How should I use epinephrine injection?

  • Each epinephrine injection contains only 1 dose of medicine.
  • Epinephrine injection should only be injected into the middle of the outer thigh (upper leg). It can be injected through clothing, if needed.
  • Read the Instructions for Use at the end of this Patient Information Leaflet for information about the right way to use epinephrine injection.
  • Your healthcare provider will show you how to safely use epinephrine injection.
  • Use epinephrine injection exactly as your healthcare provider tells you to use it. You may need to use a second epinephrine injection if symptoms continue or recur. Only a healthcare provider should give additional doses of epinephrine if you need more than 2 injections for a single anaphylaxis episode.
  • Caution: Never put your thumb, fingers, or hand over the red tip. Never press or push the red tip with your thumb, fingers, or hand. The needle comes out of the red tip. Accidental injection into finger, hands, or feet may cause a loss of blood flow to those areas. If this happens, go immediately to the nearest emergency room. Tell the healthcare provider where on your body you received the accidental injection.
  • Your epinephrine injection comes packaged in a carton containing 1 or 2 epinephrine injection.
  • You may request a separate Trainer, that comes packaged with instructions. Additional video instructions on the use of epinephrine injection are available from www.epinephrineautoinject.com. The epinephrine injection, USP auto-injector Trainer has a beige color. The beige epinephrine injection Trainer contains no medicine and no needle. Practice with your epinephrine injection Trainer before an allergic emergency happens to make sure you are able to safely use the real epinephrine injection in an emergency. Always carry your real epinephrine injection with you in case of an allergic emergency.
  • Do not drop the carrying case or epinephrine injection. If the carrying case or epinephrine injection is dropped, check for damage and leakage. Throw away (dispose of) epinephrine injection and the carrying case, and replace if damage or leakage is noticed or suspected.

What are the possible side effects of epinephrine injection?

Epinephrine injection may cause serious side effects.

  • Epinephrine injection should only be injected into the middle of your outer thigh (upper leg). Do not inject epinephrine injection into your:
    • veins
    • buttocks
    • fingers, toes, hands or feet.

If you accidentally inject epinephrine injection into any other part of your body, go to the nearest emergency room right away. Tell the healthcare provider where on your body you received the accidental injection.

  • Rarely, people who use epinephrine injection may develop infections at the injection site within a few days of an injection. Some of these infections can be serious. Call your healthcare provider right away if you have any of the following at an injection site:

    • redness that does not go away
    • swelling
    • tenderness
    • the area feels warm to the touch
  • Cuts on the skin, bent needles, and needles that remain in the skin after the injection, have happened in young children who do not cooperate and kick or move during an injection. If you inject a young child with epinephrine injection, hold their leg firmly in place before and during the injection to prevent injuries. Ask your healthcare provider to show you how to properly hold the leg of a young child during an injection.



  • If you have certain medical conditions, or take certain medicines, your condition may get worse or you may have more or longer lasting side effects when you use epinephrine injection. Talk to your healthcare provider about all your medical conditions.

Common side effects of epinephrine injection include:

  • faster, irregular or “pounding” heartbeat
  • sweating
  • headache
  • weakness
  • shakiness
  • paleness
  • feelings of over excitement, nervousness, or anxiety
  • dizziness
  • nausea or vomiting
  • breathing problems

These side effects may go away with rest. Tell your healthcare provider if you have any side effect that bothers you or that does not go away.

These are not all the possible side effects of epinephrine injection. For more information, ask your healthcare provider or pharmacist.

Call your doctor for medical advice about side effects. You may report side effects to FDA at 1-800-FDA-1088.

How should I store epinephrine injection?

  • Store epinephrine injection at room temperature between 68°F to 77° F (20°C to 25° C).
  • Protect from light.
  • Do not expose to extreme heat or cold. For example, do not store in your vehicle’s glove box and do not store in the refrigerator or freezer.
  • Examine the contents in the clear viewing window of your epinephrine injection periodically. The solution should be clear. If the solution is discolored (pinkish or brown), cloudy or contains solid particles, replace the unit.
  • Always keep your epinephrine injection in the carrying case to protect it from damage. The carrying case is not waterproof.
  • The two blue end caps help to prevent accidental injection. Do not remove the blue end caps until you are ready to use epinephrine injection.
  • Your epinephrine injection has an expiration date. Replace it before the expiration date.
  • Throw away (dispose of) expired, unwanted, or unused epinephrine injections in an FDA-cleared sharps disposal container. Do not throw away epinephrine injection in your household trash. If you do not have an FDA-cleared sharps disposal container, you may use a household container that is:

    • Made of heavy-duty plastic,
    • Can be closed with a tight-fitting, puncture-resistant lid, without sharps being able to come out,
    • Upright and stable during use,
    • Leak-resistant, and
    • Properly labeled to warn of hazardous waste inside the container.

    When your sharps disposal container is almost full, you will need to follow your community guidelines for the right way to dispose of your sharps disposal container. There may be state or local laws about how you should throw away used needles and syringes. For more information about safe sharps disposal, and for specific information about sharps disposal in the state that you live in, go to the FDA’s website at: http://www.fda.gov/safesharpsdisposalVisit the FDA’s website (https://www.fda.gov/drugs/safe-disposal-medicines/disposal- unused-medicines-what-you-should-know) for more information about how to throw away (dispose of) unused, unwanted or expired medicines.

Keep epinephrine injection and all medicines out of the reach of children.

General information about the safe and effective use of epinephrine injection:

Medicines are sometimes prescribed for purposes other than those listed in a Patient Information leaflet. Do not use epinephrine injection for a condition for which it was not prescribed. Do not give epinephrine injection to other people.

This Patient Information Leaflet summarizes the most important information about epinephrine injection. If you would like more information, talk to your healthcare provider. You can ask your pharmacist or healthcare provider for information about epinephrine injection that is written for health professionals.

What are the ingredients in epinephrine injection?

Active Ingredient: epinephrine

Inactive Ingredients: sodium chloride, chlorobutanol, sodium bisulfite, hydrochloric acid and sodium hydroxide, and water.

For more information and video instructions on the use of epinephrine injection go to www.epinephrineautoinject.com or call 1-877-835-5472.

Important Information

  • The epinephrine injection 0.3 mg has a yellow colored label.
  • The epinephrine injection 0.15 mg has an orange colored label.
  • The epinephrine injection Trainer has a beige color, and contains no medicine and no needle.
  • Your epinephrine injection is designed to work through clothing.
  • The two blue end caps on epinephrine injection help to prevent accidental injection of the device. Do not remove the blue end caps until you are ready to use it.
  • Only inject into the middle of the outer thigh (upper leg). Never inject into any other part of the body.
  • Never put your thumb, fingers, or your hand over the red tip. The needle comes out of the red tip.
  • If an accidental injection happens, get medical help right away.
  • Do not place patient information or any other foreign objects in carrier with the epinephrine injection, as this may prevent you from removing the auto-injector for use.

This Patient Information has been approved by the U.S. Food and Drug Administration                                                          Rev. 02-2021-03

Instructions for Use

EPINEPHRINE injection (ep-in-eph-rine)

for intramuscular or subcutaneous use

For allergic emergencies (anaphylaxis)

Read this Instructions for Use carefully before you useepinephrine injection and each time you get a refill. There may be new information. Before you need to use your epinephrine injection, make sure your healthcare provider shows you the right way to use it. Parents, caregivers, and others who may be in a position to administer epinephrine injection should also understand how to use it well. This information does not take the place of talking to your healthcare provider about your medical condition or your treatment. If you have any questions, ask your healthcare provider.

Your epinephrine injection

Step 1. Prepare epinephrine injection for injection

  • Remove epinephrine injection from its protective carrying case.
  • Pull off blue end caps. You will now see a red tip. Grasp the epinephrine injection in your fist with the red tip pointing downward. See Figure A.

Note:

  • The needle comes out of the red tip.
  • To avoid an accidental injection, never put your thumb, fingers, or hand over the red tip. If an accidental injection happens, get medical help right away.

S tep 2. Administer epinephrine injection

  • If you are administering epinephrine injection to a young child, hold the leg firmly in place and limit movement prior to and while administering an injection.
  • Put the red tip against the middle of the outer thigh (upper leg) at a 90° angle (perpendicular) to the thigh.
  • Press down hard and hold firmly against the thigh for approximately 10 seconds to deliver the medicine. See Figure B.

  • Only inject into the middle of the outer thigh. Do not inject into any other part of the body.
  • Remove epinephrine injection from the thigh.
  • Massage the area for 10 seconds.
  • Check the red tip. The injection is complete and you have received the correct dose of the medicine if you see the needle sticking out of the red tip. If you do not see the needle repeat Step 2.

S tep 3. Get emergency medical help right away. You may need further medical attention. You may need to use a second epinephrine injection if symptoms continue or recur.

S tep 4. After use Disposal

Carefully cover the needle with the carrying case.

  • Lay the labeled half of the carrying case cover down on a flat surface. Use one hand to carefully slide the end of the epinephrine injection needle first, into the labeled carrying case cover. See Figure C.

  • After the needle is inside the labeled cover, push the unlabeled half of the carrying case cover firmly over the non-needle end of the epinephrine injection . See Figure D.

  • Take your used epinephrine injection with you when you go to see a healthcare provider.
  • Tell the healthcare provider that you have received an injection of epinephrine. Show the healthcare provider where you received the injection.
  • Give your used epinephrine injection to the healthcare provider for inspection and proper disposal.
  • Ask for a refill, if needed.

Note:

  • Epinephrine injection is a single-use injectable device that delivers a fixed dose of epinephrine. Epinephrine injection cannot be reused. Do not attempt to reuse epinephrine injection after the device has been activated. It is normal for most of the medicine to remain in the auto-injector after the dose is injected. The correct dose has been administered if you see the needle sticking out of the red tip.
  • A separate epinephrine injection Trainer is available. The epinephrine injection Trainer has a beige color. The beige epinephrine injection Trainer contains no medicine and no needle. Practice with your epinephrine injection Trainer, but always carry your real epinephrine injection in case of an allergic emergency.
  • If you will be administering epinephrine injection to a young child, ask your healthcare provider to show you how to properly hold the leg in place while administering a dose.
  • Do not try to take epinephrine injection.

For more information and video instructions on the use of epinephrine injection, go to www.epinephrineautoinject.com or call 1-877-835-5472.

This Patient Information and Instructions for Use has been approved by the U.S. Food and Drug Administration.

Repackaged and Distributed By:

Remedy Repack, Inc.

625 Kolter Dr. Suite #4 Indiana, PA 1-724-465-8762

12.2 Pharmacodynamics

Through its action on alpha-adrenergic receptors, epinephrine lessens the vasodilation and increased vascular permeability that occurs during anaphylaxis, which can lead to loss of intravascular fluid volume and hypotension.

Through its action on beta-adrenergic receptors, epinephrine causes bronchial smooth muscle relaxation and helps alleviate bronchospasm, wheezing, and dyspnea that may occur during anaphylaxis.

Epinephrine also alleviates pruritus, urticaria, and angioedema, and may relieve gastrointestinal and genitourinary symptoms associated with anaphylaxis because of its relaxer effects on the smooth muscle of the stomach, intestine, uterus and urinary bladder.

When given intramuscularly or subcutaneously, epinephrine has a rapid onset and short duration of action.

1 Indications and Usage (1 INDICATIONS AND USAGE)

Epinephrine injection is indicated in the emergency treatment of allergic reactions (Type I) including anaphylaxis to stinging insects (e.g., order Hymenoptera, which includes bees, wasps, hornets, yellow jackets and fire ants), and biting insects (e.g., triatoma, mosquitoes), allergen immunotherapy, foods, drugs, diagnostic testing substances (e.g., radiocontrast media), and other allergens, as well as idiopathic anaphylaxis or exercise-induced anaphylaxis.

Epinephrine injection is intended for immediate administration in patients who are determined to be at increased risk for anaphylaxis, including individuals with a history of anaphylactic reactions.

Anaphylactic reactions may occur within minutes after exposure and consist of flushing, apprehension, syncope, tachycardia, thready or unobtainable pulse associated with a fall in blood pressure, convulsions, vomiting, diarrhea and abdominal cramps, involuntary voiding, wheezing, dyspnea due to laryngeal spasm, pruritus, rashes, urticaria, or angioedema.

Epinephrine injection is intended for immediate administration as emergency supportive therapy only and is not a replacement or substitute for immediate medical care.

5.1 Emergency Treatment

Epinephrine injection is intended for immediate administration as emergency supportive therapy and is not intended as a substitute for immediate medical care. In conjunction with the administration of epinephrine, the patient should seek immediate medical or hospital care. More than two sequential doses of epinephrine should only be administered under direct medical supervision [see Indications and Usage (1), Dosage and Administration (2) and Patient Counseling Information (17)].

Principal Display Panel (PRINCIPAL DISPLAY PANEL)

DRUG: epinephrine

GENERIC: epinephrine

DOSAGE: INJECTION

ADMINSTRATION: SUBCUTANEOUS

NDC: 70518-2048-0

PACKAGING: 2 in 1 CARTON

PACKAGING: 1 in 1 CASE

PACKAGING: 0.3 mL in 1 SYRINGE, GLASS

ACTIVE INGREDIENT(S):

  • EPINEPHRINE 0.3mg in 0.3mL

INACTIVE INGREDIENT(S):

  • SODIUM CHLORIDE
  • CHLOROBUTANOL
  • SODIUM BISULFITE
  • HYDROCHLORIC ACID
  • SODIUM HYDROXIDE

12.1 Mechanism of Action

Epinephrine acts on both alpha- and beta-adrenergic receptors.

5.5 Disease Interactions

Some patients may be at greater risk for developing adverse reactions after epinephrine administration. Despite these concerns, it should be recognized that the presence of these conditions is not a contraindication to epinephrine administration in an acute, life-threatening situation. Therefore, patients with these conditions, and/or any other person who might be in a position to administer epinephrine injection to a patient experiencing anaphylaxis should be carefully instructed in regard to the circumstances under which epinephrine should be used.

Patients with Heart Disease

Epinephrine should be administered with caution to patients who have heart disease, including patients with cardiac arrhythmias, coronary artery or organic heart disease, or hypertension. In such patients, or in patients who are on drugs that may sensitize the heart to arrhythmias, epinephrine may precipitate or aggravate angina pectoris as well as produce ventricular arrhythmias [see Drug Interactions (7) and Adverse Reactions (6)].

Other Patients and Diseases

Epinephrine should be administered with caution to patients with hyperthyroidism, diabetes, elderly individuals, and pregnant women. Patients with Parkinson’s disease may notice a temporary worsening of symptoms.

5 Warnings and Precautions (5 WARNINGS AND PRECAUTIONS)
  • In conjunction with use, seek immediate medical or hospital care. ( 5.1)
  • Do not inject intravenously, into buttock, or into digits, hands, or feet. ( 5.2)
  • To minimize the risk of injection related injury, hold the child’s leg firmly in place and limit movement prior to and during injection when administering to young children. ( 5.2)
  • Rare cases of serious skin and soft tissue infections have been reported following epinephrine injection. Advise patients to seek medical care if they develop signs or symptoms of infection. ( 5.3)
  • The presence of a sulfite in this product should not deter use. ( 5.4)
  • Administer with caution in patients with heart disease; may aggravate angina pectoris or produce ventricular arrhythmias. ( 5.5)
2 Dosage and Administration (2 DOSAGE AND ADMINISTRATION)
  • Patients greater than or equal to 30 kg (66 lbs): 0.3 mg (2)
  • Patients 15 to 30 kg (33 lbs-66 lbs): 0.15 mg (2)

Inject intramuscularly or subcutaneously into the anterolateral aspect of the thigh, through clothing if necessary. Each device is a single-dose injection. (2)

3 Dosage Forms and Strengths (3 DOSAGE FORMS AND STRENGTHS)
  • Injection: 0.3 mg (0.3 mg/0.3 mL) of clear and colorless solution in single-dose pre-filled auto-injector
8 Use in Specific Populations (8 USE IN SPECIFIC POPULATIONS)
  • Elderly patients may be at greater risk of developing adverse reactions. ( 5.5, 8.5)
2.2 Administration Instructions
  • Inject the single-dose epinephrine injection intramuscularly or subcutaneously into the anterolateral aspect of the thigh, through clothing if necessary. Do not inject intravenously, and do not inject into buttocks, into digits, hands or feet [see Warnings and Precautions (5.2)].
  • Instruct caregivers of young children who are prescribed an epinephrine injection and who may be uncooperative and kick or move during an injection to hold the leg firmly in place and limit movement prior to and during an injection [see Warnings and Precautions (5.2)].

  • Each epinephrine injection is a single-dose of epinephrine injection for single use. Since the doses of epinephrine delivered from epinephrine injection are fixed, consider using other forms of injectable epinephrine if doses lower than 0.15 mg are deemed necessary.
  • With severe persistent anaphylaxis, repeat injections with an additional epinephrine injection may be necessary. More than two sequential doses of epinephrine should only be administered under direct medical supervision [see Warnings and Precautions (5.1)].
  • The epinephrine solution in the viewing window of epinephrine injection should be inspected visually for particulate matter and discoloration.
17 Patient Counseling Information (17 PATIENT COUNSELING INFORMATION)

See FDA-Approved Patient Labeling (Patient Information and Instructions for Use)

A healthcare provider should review the patient instructions and operation of epinephrine injection, in detail, with the patient or caregiver.

Epinephrine is essential for the treatment of anaphylaxis. Carefully instruct patients who are at risk of or with a history of severe allergic reactions (anaphylaxis) to insect stings or bites, foods, drugs, and other allergens, as well as idiopathic and exercise-induced anaphylaxis, about the circumstances under which epinephrine should be used.

Administration

Instruct patients and/or caregivers in the appropriate use of epinephrine injection. Epinephrine injection should be injected into the middle of the outer thigh (through clothing if necessary).

Instruct caregivers to hold the leg of young children firmly in place and limit movement prior to and during injection. Lacerations, bent needles, and embedded needles have been reported when epinephrine injection has been injected into the thigh of young children who are uncooperative and kick during an injection [see Warnings and Precautions (5.2)].

Advise patients to seek immediate medical care in conjunction with administration of epinephrine injection.

Complete patient information, including dosage, directions for proper administration and precautions can be found inside each epinephrine injection carton. A printed label on the surface of epinephrine injection shows instructions for use and a diagram depicting the injection process.

Training

Instruct patients and/or caregivers to use the Trainer to familiarize themselves with the use of epinephrine injection in an allergic emergency. The Trainer may be used multiple times.

Adverse Reactions

Epinephrine may produce symptoms and signs that include an increase in heart rate, the sensation of a more forceful heartbeat, palpitations, sweating, nausea and vomiting, difficulty breathing, pallor, dizziness, weakness or shakiness, headache, apprehension, nervousness, or anxiety. These signs and symptoms usually subside rapidly, especially with rest, quiet, and recumbency. Patients with hypertension or hyperthyroidism may develop more severe or persistent effects, and patients with coronary artery disease could experience angina. Patients with diabetes may develop increased blood glucose levels following epinephrine administration. Patients with Parkinson’s disease may notice a temporary worsening of symptoms [see Warnings and Precautions (5.5)].

Accidental Injection

Advise patients to seek immediate medical care in the case of accidental injection. Since epinephrine is a strong vasoconstrictor when injected into the digits, hands or feet, treatment should be directed at vasodilation if there is such an accidental injection to these areas [see Warnings and Precautions (5.2)].

Serious Infections at the Injection Site

Rare cases of skin and soft tissue infections, including necrotizing fasciitis and myonecrosis caused by Clostridia (gas gangrene), have been reported at the injection site following epinephrine injection for anaphylaxis. Advise patients to seek medical care if they develop signs or symptoms of infection, such as persistent redness, warmth, swelling, or tenderness, at the epinephrine injection site [see Warnings and Precautions (5.3)].

Pregnancy and Breastfeeding

Inform patients that epinephrine injection has not been studied in pregnant women or breastfeeding mothers so the effects of epinephrine injection on pregnant women or breastfed infants are not known. Instruct patients to tell their healthcare provider if they are pregnant, become pregnant, or are thinking about becoming pregnant. Instruct patients to tell their healthcare provider if they plan to breastfeed their infant [see Use in Specific Populations (8.1, 8.2)].

Storage and Handling

Instruct patients to inspect the epinephrine solution visually through the viewing window periodically. Replace epinephrine injection, USP auto-injector if the epinephrine solution appears discolored (pinkish or brown), cloudy, or contains particles. Epinephrine is light sensitive, store in the outer case provided to protect it from light. Instruct patients that epinephrine injection, USP auto-injector must be properly disposed of once the blue caps have been removed or after use [see How Supplied/Storage and Handling (16)].

Complete patient information, including dosage, directions for proper administration and precautions are provided inside each epinephrine injection carton.

Repackaged By / Distributed By: RemedyRepack Inc.

625 Kolter Drive, Indiana, PA 15701

(724) 465-8762

5.2 Injection Related Complications (5.2 Injection-Related Complications)

Epinephrine injection should only be injected into the anterolateral aspect of the thigh [see Dosage and Administration (2) and Patient Counseling Information (17)].

Do not inject intravenously

Large doses or accidental intravenous injection of epinephrine may result in cerebral hemorrhage due to a sharp rise in blood pressure. Rapidly acting vasodilators can counteract the marked pressor effects of epinephrine if there is such inadvertent administration.

Do not inject into buttock

Injection into the buttock may not provide effective treatment of anaphylaxis. Advise the patient to go immediately to the nearest emergency room for further treatment of anaphylaxis. Additionally, injection into the buttock has been associated with the development of Clostridial infections (gas gangrene). Cleansing with alcohol does not kill bacterial spores, and therefore, does not lower the risk.

Do not inject into digits, hands or feet

Since epinephrine is a strong vasoconstrictor, accidental injection into the digits, hands or feet may result in loss of blood flow to the affected area. Advise the patient to go immediately to the nearest emergency room and to inform the healthcare provider in the emergency room of the location of the accidental injection. Treatment of such inadvertent administration should consist of vasodilation, in addition to further appropriate treatment of anaphylaxis [see Adverse Reactions (6)].

Hold leg firmly during injection

Lacerations, bent needles, and embedded needles have been reported when epinephrine has been injected into the thigh of young children who are uncooperative and kick or move during an injection. To minimize the risk of injection related injury when administering, hold the child’s leg firmly in place and limit movement prior to and during injection.

16 How Supplied/storage and Handling (16 HOW SUPPLIED/STORAGE AND HANDLING)

Carton containing two epinephrine injection, USP 0.3 mg single-dose pre-filled auto-injectors:

NDC: 70518-2048-00

PACKAGING: 2 in 1 CARTON, 1 in 1 CASE, 0.3 mL in 1 SYRINGE GLASS, TYPE 0

Storage and Handling

Protect from light. Epinephrine is light sensitive and should be stored in the carrying-case provided to protect it from light. Store at room temperature (20°C to 25°C (68°F to 77°F)); excursions permitted to 15°C to 30°C (59°F to 86°F) [See USP Controlled Room Temperature]. Do not refrigerate. Before using, check to make sure the solution in the auto-injector is clear and colorless. Replace the auto-injector if the solution is discolored (pinkish or brown color), cloudy, or contains particles.

Properly dispose of all used, unwanted, or expired epinephrine injection, USP.

Repackaged and Distributed By:

Remedy Repack, Inc.

625 Kolter Dr. Suite #4 Indiana, PA 1-724-465-8762

5.3 Serious Infections At the Injection Site (5.3 Serious Infections at the Injection Site)

Rare cases of serious skin and soft tissue infections, including necrotizing fasciitis and myonecrosis caused by Clostridia (gas gangrene), have been reported at the injection site following epinephrine injection for anaphylaxis. Clostridium spores can be present on the skin and introduced into the deep tissue with subcutaneous or intramuscular injection. While cleansing with alcohol may reduce presence of bacteria on the skin, alcohol cleansing does not kill Clostridium spores. To decrease the risk of Clostridium infection, do not inject epinephrine injection into the buttock [see Warnings and Precautions (5.2)]. Advise patients to seek medical care if they develop signs or symptoms of infection, such as persistent redness, warmth, swelling, or tenderness, at the epinephrine injection site.

5.4 Allergic Reactions Associated With Sulfite (5.4 Allergic Reactions Associated with Sulfite)

The presence of a sulfite in this product should not deter administration of the drug for treatment of serious allergic or other emergency situations even if the patient is sulfite-sensitive.

Epinephrine is the preferred treatment for serious allergic reactions or other emergency situations even though this product contains sodium bisulfite, a sulfite that may, in other products, cause allergic-type reactions including anaphylactic symptoms or life-threatening or less severe asthmatic episodes in certain susceptible persons.

The alternatives to using epinephrine in a life-threatening situation may not be satisfactory.

2.1 Recommended Dosage According to Patient Body Weight
  • Patients greater than or equal to 30 kg (approximately 66 pounds or more): 0.3 mg
  • Patients 15 kg to 30 kg (33 pounds to 66 pounds): 0.15 mg
13.1 Carcinogenesis, Mutagenesis, Impairment of Fertility

Long-term studies to evaluate the carcinogenic potential of epinephrine have not been conducted.

Epinephrine and other catecholamines have been shown to have mutagenic potential in vitro. Epinephrine was positive in the Salmonella bacterial reverse mutation assay, positive in the mouse lymphoma assay, and negative in the in vivo micronucleus assay. Epinephrine is an oxidative mutagen based on the E. coli WP2 Mutoxitest bacterial reverse mutation assay. This should not prevent the use of epinephrine where indicated under the conditions noted under [see Indications and Usage (1)].

The potential for epinephrine to impair reproductive performance has not been evaluated, but epinephrine has been shown to decrease implantation in female rabbits dosed subcutaneously with 1.2 mg/kg/day (40-fold the highest human intramuscular or subcutaneous daily dose) during gestation days 3 to 9.


Advanced Ingredient Data


Raw Label Data

All Sections (JSON)