These Highlights Do Not Include All The Information Needed To Use Fentanyl Citrate Injection Safely And Effectively. See Full Prescribing Information For Fentanyl Citrate Injection.

These Highlights Do Not Include All The Information Needed To Use Fentanyl Citrate Injection Safely And Effectively. See Full Prescribing Information For Fentanyl Citrate Injection.
SPL v3
SPL
SPL Set ID c5fcdcbd-1dd1-4ebf-aa0d-edfe845414b7
Routes
INTRAMUSCULAR INTRAVENOUS
Published
Effective Date 2025-12-19
Document Type 34391-3 HUMAN PRESCRIPTION DRUG LABEL

Drug Facts

Composition & Product

Active Ingredients
Fentanyl (50 ug)
Inactive Ingredients
Water Sodium Hydroxide Hydrochloric Acid

Identifiers & Packaging

Marketing Status
NDA Active Since 2025-08-29

Description

Addiction, Abuse, and Misuse Because the use of Fentanyl Citrate Injection exposes patients and other users to the risks of opioid addiction, abuse and misuse, which can lead to overdose and death, assess each patient’s risk prior to prescribing and reassess all patients regularly for the development of these behaviors and conditions [see Warnings and Precautions (5.1) ] . Life-Threatening Respiratory Depression Serious, life-threatening, or fatal respiratory depression may occur with use of Fentanyl Citrate Injection, especially during initiation or following a dosage increase. To reduce the risk of respiratory depression, proper dosing and titration of Fentanyl Citrate Injection are essential [see Warnings and Precautions (5.2) ] . Risks From Concomitant Use With Benzodiazepines Or Other CNS Depressants Concomitant use of opioids with benzodiazepines or other central nervous system (CNS) depressants, including alcohol, may result in profound sedation, respiratory depression, coma, and death. Reserve concomitant prescribing of Fentanyl Citrate Injection and benzodiazepines or other CNS depressants for use in patients for whom alternative treatment options are inadequate [see Warnings and Precautions (5.4) , Drug Interactions (7) ] . Cytochrome P450 3A4 Interaction The concomitant use of Fentanyl Citrate Injection with all cytochrome P450 3A4 inhibitors may result in an increase in fentanyl plasma concentrations, which could increase or prolong adverse reactions and may cause potentially fatal respiratory depression. In addition, discontinuation of a concomitantly used cytochrome P450 3A4 inducer may result in an increase in fentanyl plasma concentration. Monitor patients receiving Fentanyl Citrate Injection and any CYP3A4 inhibitor or inducer [see Warnings and Precautions (5.3) , Drug Interactions (7) , Clinical Pharmacology (12.3) ]

Indications and Usage

Fentanyl Citrate Injection is indicated for: analgesic action of short duration during the anesthetic periods, premedication, induction and maintenance, and in the immediate postoperative period (recovery room) as the need arises. use as a narcotic analgesic supplement in general or regional anesthesia. administration with a neuroleptic as an anesthetic premedication, for the induction of anesthesia and as an adjunct in the maintenance of general and regional anesthesia. use as an anesthetic agent with oxygen in selected high-risk patients, such as those undergoing open heart surgery or certain complicated neurological or orthopedic procedures.

Dosage and Administration

Fentanyl Citrate Injection should be administered only by persons specifically trained in the use of intravenous anesthetics and management of the respiratory effects of potent opioids. Ensure that an opioid overdose reversal agent, resuscitative and intubation equipment, and oxygen are readily available ( 2.1 ). Individualize dosing based on the factors such as age, body weight, physical status, underlying pathological condition, use of other drugs, type of anesthesia to be used, and the surgical procedure involved. ( 2.1 ) Initiate treatment in adults with 50 mcg to 100 mcg. ( 2.2 ) Initiate treatment in children 2 to 12 years of age, with a reduced dose as low as 2 mcg/kg to 3 mcg/kg. ( 2.2 )

Warnings and Precautions

Risks of Skeletal Muscle Rigidity and Skeletal Muscle Movement: Manage with neuromuscular blocking agent. See full prescribing information for more detail on managing these risks. ( 5.5 ) Severe Cardiovascular Depression: Monitor during dosage initiation and titration. ( 5.6 ) Opioid-Induced Hyperalgesia and Allodynia: Opioid-Induced Hyperalgesia (OIH) occurs when an opioid analgesic paradoxically causes an increase in pain, or an increase in sensitivity to pain. If OIH is suspected, carefully consider appropriately decreasing the dose of the current opioid analgesic, or opioid rotation. ( 5.7 ) Serotonin Syndrome: Potentially life-threatening condition could result from concomitant serotonergic drug administration. Discontinue Fentanyl Citrate Injection if serotonin syndrome is suspected. ( 5.8 ) Adrenal Insufficiency: If diagnosed, treat with physiologic replacement of corticosteroids, and wean patient off of the opioid. ( 5.9 ) Risks of Use in Patients with Increased Intracranial Pressure, Brain Tumors, or Head Injury: Monitor for sedation and respiratory depression. ( 5.10 )

Contraindications

Fentanyl Citrate Injection is contraindicated in patients with: Hypersensitivity to fentanyl (e.g., anaphylaxis) [See Adverse Reactions (6) ]

Adverse Reactions

The following serious adverse reactions are described, or described in greater detail, in other sections: Addiction, Abuse, and Misuse [see Warnings and Precautions (5.1 )] Life-Threatening Respiratory Depression [see Warnings and Precautions (5.2) ] Interactions with Benzodiazepines and Other CNS Depressants [see Warnings and Precautions (5.4) ] Severe Cardiovascular Depression [see Warnings and Precautions (5.6 )] Opioid-Induced Hyperalgesia and Allodynia [see Warnings and Precautions (5.7) ] Serotonin Syndrome [see Warnings and Precautions (5.8) ] Gastrointestinal Adverse Reactions [see Warnings and Precautions (5.11 )] Seizures [see Warnings and Precautions (5.12) ]  The following adverse reactions associated with the use of fentanyl were identified in clinical studies or postmarketing reports. Because some of these reactions were reported voluntarily from a population of uncertain size, it is not always possible to reliably estimate their frequency or establish a causal relationship to drug exposure. As with other opioid agonists, the most common serious adverse reactions reported to occur with fentanyl are respiratory depression, apnea, rigidity and bradycardia; if these remain untreated, respiratory arrest, circulatory depression or cardiac arrest could occur. Other adverse reactions that have been reported are hypertension, hypotension, dizziness, blurred vision, nausea, emesis, laryngospasm, diaphoresis, serotonin syndrome, adrenal insufficiency, and anaphylaxis. It has been reported that secondary rebound respiratory depression may occasionally occur postoperatively. When a tranquilizer is used with Fentanyl Citrate Injection, the following adverse reactions can occur: chills and/or shivering, restlessness and postoperative hallucinatory episodes (sometimes associated with transient periods of mental depression); extrapyramidal symptoms (dystonia, akathisia and oculogyric crisis) have been observed up to 24 hours postoperatively. When they occur, extrapyramidal symptoms can usually be controlled with anti-parkinson agents. Postoperative drowsiness is also frequently reported following the use of neuroleptics with fentanyl citrate. Cases of cardiac dysrhythmias, cardiac arrest, and death have been reported following the use of fentanyl citrate with a neuroleptic agent. Serotonin syndrome: Cases of serotonin syndrome, a potentially life-threatening condition, have been reported during concomitant use of opioids with serotonergic drugs. Adrenal insufficiency: Cases of adrenal insufficiency have been reported with opioid use, more often following greater than one month of use. Anaphylaxis: Anaphylaxis has been reported with ingredients contained in Fentanyl Citrate Injection Androgen deficiency: Cases of androgen deficiency have occurred with use of opioids for an extended period of time [see Clinical Pharmacology (12.2) ] . Hyperalgesia and Allodynia: Cases of hyperalgesia and allodynia have been reported with opioid therapy of any duration [see Warnings and Precautions (5.7) ] . Hypoglycemia: Causes of hypoglycemia have been reported in patients taking opioids. Most reports were in patients with at least one predisposing risk factor (e.g., diabetes). Opioid-induced esophageal dysfunction (OIED): Cases of OIED have been reported in patients taking opioids and may occur more frequently in patients taking higher doses of opioids, and/or in patients taking opioids longer term [see Warnings and Precautions (5.11) ] .

Drug Interactions

Table 2 includes clinically significant drug interactions with Fentanyl Citrate Injection. Table 2: Clinically Significant Drug Interactions with Fentanyl Citrate Injection Inhibitors of CYP3A4 Clinical Impact : The concomitant use of Fentanyl Citrate Injection and CYP3A4 inhibitors can increase the plasma concentration of fentanyl, resulting in increased or prolonged opioid effects, particularly when an inhibitor is added after a stable dose of Fentanyl Citrate Injection is achieved [see Warnings and Precautions (5.3) ] . After stopping a CYP3A4 inhibitor, as the effects of the inhibitor decline, the fentanyl plasma concentration will decrease [see Clinical Pharmacology (12.3 )] , resulting in decreased opioid efficacy or a withdrawal syndrome in patients who had developed physical dependence to fentanyl. Intervention: If concomitant use is necessary, consider dosage reduction of Fentanyl Citrate Injection until stable drug effects are achieved [see Dosage and Administration (2.1) ] . Monitor patients at frequent intervals for respiratory depression and sedation. If a CYP3A4 inhibitor is discontinued, consider increasing the Fentanyl Citrate Injection dosage until stable drug effects are achieved. Monitor for signs of opioid withdrawal. Examples: Macrolide antibiotics (e.g., erythromycin), azole-antifungal agents (e.g., ketoconazole), protease inhibitors (e.g., ritonavir), grapefruit juice CYP3A4 Inducers Clinical Impact: The concomitant use of Fentanyl Citrate Injection and CYP3A4 inducers can decrease the plasma concentration of fentanyl [see Clinical Pharmacology (12.3) ] , resulting in decreased efficacy or onset of a withdrawal syndrome in patients who have developed physical dependence to fentanyl [see Warnings and Precautions (5.3) ] . After stopping a CYP3A4 inducer, as the effects of the inducer decline, the fentanyl plasma concentration will increase [see Clinical Pharmacology (12.3) ] , which could increase or prolong both the therapeutic effects and adverse reactions and may cause serious respiratory depression. Intervention: If concomitant use is necessary, consider increasing the Fentanyl Citrate Injection dosage until stable drug effects are achieved. Monitor for signs of opioid withdrawal. If a CYP3A4 inducer is discontinued, consider Fentanyl Citrate Injection dosage reduction and monitor for signs of respiratory depression. Examples: Rifampin, carbamazepine, phenytoin Benzodiazepines and Other Central Nervous System (CNS) Depressants Clinical Impact: The concomitant use of Fentanyl Citrate Injection with CNS depressants may result in decreased pulmonary artery pressure and may cause hypotension. Even small dosages of diazepam may cause cardiovascular depression when added to high dose or anesthetic dosages of Fentanyl Citrate Injection. As postoperative analgesia, concomitant use of Fentanyl Citrate Injection can increase the risk of hypotension, respiratory depression, profound sedation, coma, and death. Intervention: As postoperative analgesia, start with a lower dose of Fentanyl Citrate Injection and monitor patients for signs of respiratory depression, sedation, and hypotension. Fluids or other measures to counter hypotension should be available [see Warnings and Precautions (5.4) ] . Examples: Benzodiazepines and other sedatives/hypnotics, anxiolytics, barbiturates, tranquilizers, muscle relaxants, general anesthetics, antipsychotics, other opioids, alcohol. Serotonergic Drugs Clinical Impact: The concomitant use of opioids with other drugs that affect the serotonergic neurotransmitter system has resulted in serotonin syndrome [see Warnings and Precautions (5.8) ] . Intervention: If concomitant use is warranted, carefully observe the patient, particularly during treatment initiation and dose adjustment. Discontinue Fentanyl Citrate Injection if serotonin syndrome is suspected. Examples: Selective serotonin reuptake inhibitors (SSRIs), serotonin and norepinephrine reuptake inhibitors (SNRIs), tricyclic antidepressants (TCAs), triptans, 5-HT3 receptor antagonists, drugs that effect the serotonin neurotransmitter system (e.g., mirtazapine, trazodone, tramadol), certain muscle relaxants (i.e., cyclobenzaprine, metaxalone), monoamine oxidase (MAO) inhibitors (those intended to treat psychiatric disorders and also others, such as linezolid and intravenous methylene blue). Monoamine Oxidase Inhibitors Clinical Impact: MAOI interactions with opioids may manifest as serotonin syndrome [see Warnings and Precautions (5.8) ] or opioid toxicity (e.g., respiratory depression, coma) [see Warnings and Precautions (5.2) ] . Intervention: The use of Fentanyl Citrate Injection is not recommended for patients taking MAOIs or within 14 days of stopping such treatment. Examples: Phenelzine, tranylcypromine, linezolid Mixed Agonist/Antagonist and Partial Agonist Opioid Analgesics Clinical Impact: May reduce the analgesic effect of Fentanyl Citrate Injection and/or precipitate withdrawal symptoms. Intervention : Avoid concomitant use. Examples: Butorphanol, nalbuphine, pentazocine, buprenorphine. Muscle Relaxants Clinical Impact: Fentanyl may enhance the neuromuscular blocking action of skeletal muscle relaxants and produce an increased degree of respiratory depression. Intervention: Monitor patients for signs of respiratory depression that may be greater than otherwise expected and decrease the dosage of Fentanyl Citrate Injection and/or the muscle relaxant as necessary.   Examples:  Cyclobenzaprine, metaxalone Diuretics Clinical Impact: Opioids can reduce the efficacy of diuretics by inducing the release of antidiuretic hormone. Intervention: Monitor patients for signs of diminished diuresis and/or effects on blood pressure and increase the dosage of the diuretic as needed. Anticholinergic Drugs Clinical Impact: The concomitant use of anticholinergic drugs may increase risk of urinary retention and/or severe constipation, which may lead to paralytic ileus. Intervention : Monitor patients for signs of urinary retention or reduced gastric motility when Fentanyl Citrate Injection is used concomitantly with anticholinergic drugs. Neuroleptics Clinical Impact: Elevated blood pressure, with and without pre-existing hypertension, has been reported following administration of Fentanyl Citrate Injection combined with a neuroleptic [see Warnings and Precautions (5.14) ] . Intervention: ECG monitoring is indicated when a neuroleptic agent is used in conjunction with Fentanyl Citrate Injection as an anesthetic premedication, for the induction of anesthesia, or as an adjunct in the maintenance of general or regional anesthesia. Nitrous oxide Clinical Impact: Nitrous oxide has been reported to produce cardiovascular depression when given with higher doses of Fentanyl Citrate Injection. Intervention: Monitor patients for signs of cardiovascular depression that may be greater than otherwise expected.

Storage and Handling

Fentanyl Citrate Injection, equivalent to 50 mcg fentanyl base per mL, is a preservative-free solution, supplied as follows: NDC 0641-6289-25            2 mL Single Dose vials packaged in 25s For Intravenous Use by Hospital Personnel Specifically Trained in the Use of Narcotic Analgesics: NDC 0641-6290-01            20 mL Single Dose vials packaged individually PROTECT FROM LIGHT. Keep covered in carton until time of use. Store at 20˚C to 25˚C (68˚F to 77˚F), excursions permitted to 15˚C to 30˚C (59˚F to 86˚F) [See USP Controlled Room Temperature]. Contains no preservative. DISCARD UNUSED PORTION. Parenteral drug products should be inspected visually for particulate matter and discoloration prior to administration, whenever solution and container permit. To report SUSPECTED ADVERSE REACTIONS, contact Hikma Pharmaceuticals USA Inc. at 1-877-845-0689, or the FDA at 1-800-FDA-1088 or www.fda.gov/medwatch. For Product Inquiry call 1-877-845-0689.

How Supplied

Fentanyl Citrate Injection, equivalent to 50 mcg fentanyl base per mL, is a preservative-free solution, supplied as follows: NDC 0641-6289-25            2 mL Single Dose vials packaged in 25s For Intravenous Use by Hospital Personnel Specifically Trained in the Use of Narcotic Analgesics: NDC 0641-6290-01            20 mL Single Dose vials packaged individually PROTECT FROM LIGHT. Keep covered in carton until time of use. Store at 20˚C to 25˚C (68˚F to 77˚F), excursions permitted to 15˚C to 30˚C (59˚F to 86˚F) [See USP Controlled Room Temperature]. Contains no preservative. DISCARD UNUSED PORTION. Parenteral drug products should be inspected visually for particulate matter and discoloration prior to administration, whenever solution and container permit. To report SUSPECTED ADVERSE REACTIONS, contact Hikma Pharmaceuticals USA Inc. at 1-877-845-0689, or the FDA at 1-800-FDA-1088 or www.fda.gov/medwatch. For Product Inquiry call 1-877-845-0689.


Medication Information

Recent Major Changes

Dosage and Administration (2.1)                        12/2025

Warnings and Precautions (5.2, 5.3, 5.11)         12/2025

Warnings and Precautions

Risks of Skeletal Muscle Rigidity and Skeletal Muscle Movement: Manage with neuromuscular blocking agent. See full prescribing information for more detail on managing these risks. ( 5.5 ) Severe Cardiovascular Depression: Monitor during dosage initiation and titration. ( 5.6 ) Opioid-Induced Hyperalgesia and Allodynia: Opioid-Induced Hyperalgesia (OIH) occurs when an opioid analgesic paradoxically causes an increase in pain, or an increase in sensitivity to pain. If OIH is suspected, carefully consider appropriately decreasing the dose of the current opioid analgesic, or opioid rotation. ( 5.7 ) Serotonin Syndrome: Potentially life-threatening condition could result from concomitant serotonergic drug administration. Discontinue Fentanyl Citrate Injection if serotonin syndrome is suspected. ( 5.8 ) Adrenal Insufficiency: If diagnosed, treat with physiologic replacement of corticosteroids, and wean patient off of the opioid. ( 5.9 ) Risks of Use in Patients with Increased Intracranial Pressure, Brain Tumors, or Head Injury: Monitor for sedation and respiratory depression. ( 5.10 )

Indications and Usage

Fentanyl Citrate Injection is indicated for: analgesic action of short duration during the anesthetic periods, premedication, induction and maintenance, and in the immediate postoperative period (recovery room) as the need arises. use as a narcotic analgesic supplement in general or regional anesthesia. administration with a neuroleptic as an anesthetic premedication, for the induction of anesthesia and as an adjunct in the maintenance of general and regional anesthesia. use as an anesthetic agent with oxygen in selected high-risk patients, such as those undergoing open heart surgery or certain complicated neurological or orthopedic procedures.

Dosage and Administration

Fentanyl Citrate Injection should be administered only by persons specifically trained in the use of intravenous anesthetics and management of the respiratory effects of potent opioids. Ensure that an opioid overdose reversal agent, resuscitative and intubation equipment, and oxygen are readily available ( 2.1 ). Individualize dosing based on the factors such as age, body weight, physical status, underlying pathological condition, use of other drugs, type of anesthesia to be used, and the surgical procedure involved. ( 2.1 ) Initiate treatment in adults with 50 mcg to 100 mcg. ( 2.2 ) Initiate treatment in children 2 to 12 years of age, with a reduced dose as low as 2 mcg/kg to 3 mcg/kg. ( 2.2 )

Contraindications

Fentanyl Citrate Injection is contraindicated in patients with: Hypersensitivity to fentanyl (e.g., anaphylaxis) [See Adverse Reactions (6) ]

Adverse Reactions

The following serious adverse reactions are described, or described in greater detail, in other sections: Addiction, Abuse, and Misuse [see Warnings and Precautions (5.1 )] Life-Threatening Respiratory Depression [see Warnings and Precautions (5.2) ] Interactions with Benzodiazepines and Other CNS Depressants [see Warnings and Precautions (5.4) ] Severe Cardiovascular Depression [see Warnings and Precautions (5.6 )] Opioid-Induced Hyperalgesia and Allodynia [see Warnings and Precautions (5.7) ] Serotonin Syndrome [see Warnings and Precautions (5.8) ] Gastrointestinal Adverse Reactions [see Warnings and Precautions (5.11 )] Seizures [see Warnings and Precautions (5.12) ]  The following adverse reactions associated with the use of fentanyl were identified in clinical studies or postmarketing reports. Because some of these reactions were reported voluntarily from a population of uncertain size, it is not always possible to reliably estimate their frequency or establish a causal relationship to drug exposure. As with other opioid agonists, the most common serious adverse reactions reported to occur with fentanyl are respiratory depression, apnea, rigidity and bradycardia; if these remain untreated, respiratory arrest, circulatory depression or cardiac arrest could occur. Other adverse reactions that have been reported are hypertension, hypotension, dizziness, blurred vision, nausea, emesis, laryngospasm, diaphoresis, serotonin syndrome, adrenal insufficiency, and anaphylaxis. It has been reported that secondary rebound respiratory depression may occasionally occur postoperatively. When a tranquilizer is used with Fentanyl Citrate Injection, the following adverse reactions can occur: chills and/or shivering, restlessness and postoperative hallucinatory episodes (sometimes associated with transient periods of mental depression); extrapyramidal symptoms (dystonia, akathisia and oculogyric crisis) have been observed up to 24 hours postoperatively. When they occur, extrapyramidal symptoms can usually be controlled with anti-parkinson agents. Postoperative drowsiness is also frequently reported following the use of neuroleptics with fentanyl citrate. Cases of cardiac dysrhythmias, cardiac arrest, and death have been reported following the use of fentanyl citrate with a neuroleptic agent. Serotonin syndrome: Cases of serotonin syndrome, a potentially life-threatening condition, have been reported during concomitant use of opioids with serotonergic drugs. Adrenal insufficiency: Cases of adrenal insufficiency have been reported with opioid use, more often following greater than one month of use. Anaphylaxis: Anaphylaxis has been reported with ingredients contained in Fentanyl Citrate Injection Androgen deficiency: Cases of androgen deficiency have occurred with use of opioids for an extended period of time [see Clinical Pharmacology (12.2) ] . Hyperalgesia and Allodynia: Cases of hyperalgesia and allodynia have been reported with opioid therapy of any duration [see Warnings and Precautions (5.7) ] . Hypoglycemia: Causes of hypoglycemia have been reported in patients taking opioids. Most reports were in patients with at least one predisposing risk factor (e.g., diabetes). Opioid-induced esophageal dysfunction (OIED): Cases of OIED have been reported in patients taking opioids and may occur more frequently in patients taking higher doses of opioids, and/or in patients taking opioids longer term [see Warnings and Precautions (5.11) ] .

Drug Interactions

Table 2 includes clinically significant drug interactions with Fentanyl Citrate Injection. Table 2: Clinically Significant Drug Interactions with Fentanyl Citrate Injection Inhibitors of CYP3A4 Clinical Impact : The concomitant use of Fentanyl Citrate Injection and CYP3A4 inhibitors can increase the plasma concentration of fentanyl, resulting in increased or prolonged opioid effects, particularly when an inhibitor is added after a stable dose of Fentanyl Citrate Injection is achieved [see Warnings and Precautions (5.3) ] . After stopping a CYP3A4 inhibitor, as the effects of the inhibitor decline, the fentanyl plasma concentration will decrease [see Clinical Pharmacology (12.3 )] , resulting in decreased opioid efficacy or a withdrawal syndrome in patients who had developed physical dependence to fentanyl. Intervention: If concomitant use is necessary, consider dosage reduction of Fentanyl Citrate Injection until stable drug effects are achieved [see Dosage and Administration (2.1) ] . Monitor patients at frequent intervals for respiratory depression and sedation. If a CYP3A4 inhibitor is discontinued, consider increasing the Fentanyl Citrate Injection dosage until stable drug effects are achieved. Monitor for signs of opioid withdrawal. Examples: Macrolide antibiotics (e.g., erythromycin), azole-antifungal agents (e.g., ketoconazole), protease inhibitors (e.g., ritonavir), grapefruit juice CYP3A4 Inducers Clinical Impact: The concomitant use of Fentanyl Citrate Injection and CYP3A4 inducers can decrease the plasma concentration of fentanyl [see Clinical Pharmacology (12.3) ] , resulting in decreased efficacy or onset of a withdrawal syndrome in patients who have developed physical dependence to fentanyl [see Warnings and Precautions (5.3) ] . After stopping a CYP3A4 inducer, as the effects of the inducer decline, the fentanyl plasma concentration will increase [see Clinical Pharmacology (12.3) ] , which could increase or prolong both the therapeutic effects and adverse reactions and may cause serious respiratory depression. Intervention: If concomitant use is necessary, consider increasing the Fentanyl Citrate Injection dosage until stable drug effects are achieved. Monitor for signs of opioid withdrawal. If a CYP3A4 inducer is discontinued, consider Fentanyl Citrate Injection dosage reduction and monitor for signs of respiratory depression. Examples: Rifampin, carbamazepine, phenytoin Benzodiazepines and Other Central Nervous System (CNS) Depressants Clinical Impact: The concomitant use of Fentanyl Citrate Injection with CNS depressants may result in decreased pulmonary artery pressure and may cause hypotension. Even small dosages of diazepam may cause cardiovascular depression when added to high dose or anesthetic dosages of Fentanyl Citrate Injection. As postoperative analgesia, concomitant use of Fentanyl Citrate Injection can increase the risk of hypotension, respiratory depression, profound sedation, coma, and death. Intervention: As postoperative analgesia, start with a lower dose of Fentanyl Citrate Injection and monitor patients for signs of respiratory depression, sedation, and hypotension. Fluids or other measures to counter hypotension should be available [see Warnings and Precautions (5.4) ] . Examples: Benzodiazepines and other sedatives/hypnotics, anxiolytics, barbiturates, tranquilizers, muscle relaxants, general anesthetics, antipsychotics, other opioids, alcohol. Serotonergic Drugs Clinical Impact: The concomitant use of opioids with other drugs that affect the serotonergic neurotransmitter system has resulted in serotonin syndrome [see Warnings and Precautions (5.8) ] . Intervention: If concomitant use is warranted, carefully observe the patient, particularly during treatment initiation and dose adjustment. Discontinue Fentanyl Citrate Injection if serotonin syndrome is suspected. Examples: Selective serotonin reuptake inhibitors (SSRIs), serotonin and norepinephrine reuptake inhibitors (SNRIs), tricyclic antidepressants (TCAs), triptans, 5-HT3 receptor antagonists, drugs that effect the serotonin neurotransmitter system (e.g., mirtazapine, trazodone, tramadol), certain muscle relaxants (i.e., cyclobenzaprine, metaxalone), monoamine oxidase (MAO) inhibitors (those intended to treat psychiatric disorders and also others, such as linezolid and intravenous methylene blue). Monoamine Oxidase Inhibitors Clinical Impact: MAOI interactions with opioids may manifest as serotonin syndrome [see Warnings and Precautions (5.8) ] or opioid toxicity (e.g., respiratory depression, coma) [see Warnings and Precautions (5.2) ] . Intervention: The use of Fentanyl Citrate Injection is not recommended for patients taking MAOIs or within 14 days of stopping such treatment. Examples: Phenelzine, tranylcypromine, linezolid Mixed Agonist/Antagonist and Partial Agonist Opioid Analgesics Clinical Impact: May reduce the analgesic effect of Fentanyl Citrate Injection and/or precipitate withdrawal symptoms. Intervention : Avoid concomitant use. Examples: Butorphanol, nalbuphine, pentazocine, buprenorphine. Muscle Relaxants Clinical Impact: Fentanyl may enhance the neuromuscular blocking action of skeletal muscle relaxants and produce an increased degree of respiratory depression. Intervention: Monitor patients for signs of respiratory depression that may be greater than otherwise expected and decrease the dosage of Fentanyl Citrate Injection and/or the muscle relaxant as necessary.   Examples:  Cyclobenzaprine, metaxalone Diuretics Clinical Impact: Opioids can reduce the efficacy of diuretics by inducing the release of antidiuretic hormone. Intervention: Monitor patients for signs of diminished diuresis and/or effects on blood pressure and increase the dosage of the diuretic as needed. Anticholinergic Drugs Clinical Impact: The concomitant use of anticholinergic drugs may increase risk of urinary retention and/or severe constipation, which may lead to paralytic ileus. Intervention : Monitor patients for signs of urinary retention or reduced gastric motility when Fentanyl Citrate Injection is used concomitantly with anticholinergic drugs. Neuroleptics Clinical Impact: Elevated blood pressure, with and without pre-existing hypertension, has been reported following administration of Fentanyl Citrate Injection combined with a neuroleptic [see Warnings and Precautions (5.14) ] . Intervention: ECG monitoring is indicated when a neuroleptic agent is used in conjunction with Fentanyl Citrate Injection as an anesthetic premedication, for the induction of anesthesia, or as an adjunct in the maintenance of general or regional anesthesia. Nitrous oxide Clinical Impact: Nitrous oxide has been reported to produce cardiovascular depression when given with higher doses of Fentanyl Citrate Injection. Intervention: Monitor patients for signs of cardiovascular depression that may be greater than otherwise expected.

Storage and Handling

Fentanyl Citrate Injection, equivalent to 50 mcg fentanyl base per mL, is a preservative-free solution, supplied as follows: NDC 0641-6289-25            2 mL Single Dose vials packaged in 25s For Intravenous Use by Hospital Personnel Specifically Trained in the Use of Narcotic Analgesics: NDC 0641-6290-01            20 mL Single Dose vials packaged individually PROTECT FROM LIGHT. Keep covered in carton until time of use. Store at 20˚C to 25˚C (68˚F to 77˚F), excursions permitted to 15˚C to 30˚C (59˚F to 86˚F) [See USP Controlled Room Temperature]. Contains no preservative. DISCARD UNUSED PORTION. Parenteral drug products should be inspected visually for particulate matter and discoloration prior to administration, whenever solution and container permit. To report SUSPECTED ADVERSE REACTIONS, contact Hikma Pharmaceuticals USA Inc. at 1-877-845-0689, or the FDA at 1-800-FDA-1088 or www.fda.gov/medwatch. For Product Inquiry call 1-877-845-0689.

How Supplied

Fentanyl Citrate Injection, equivalent to 50 mcg fentanyl base per mL, is a preservative-free solution, supplied as follows: NDC 0641-6289-25            2 mL Single Dose vials packaged in 25s For Intravenous Use by Hospital Personnel Specifically Trained in the Use of Narcotic Analgesics: NDC 0641-6290-01            20 mL Single Dose vials packaged individually PROTECT FROM LIGHT. Keep covered in carton until time of use. Store at 20˚C to 25˚C (68˚F to 77˚F), excursions permitted to 15˚C to 30˚C (59˚F to 86˚F) [See USP Controlled Room Temperature]. Contains no preservative. DISCARD UNUSED PORTION. Parenteral drug products should be inspected visually for particulate matter and discoloration prior to administration, whenever solution and container permit. To report SUSPECTED ADVERSE REACTIONS, contact Hikma Pharmaceuticals USA Inc. at 1-877-845-0689, or the FDA at 1-800-FDA-1088 or www.fda.gov/medwatch. For Product Inquiry call 1-877-845-0689.

Description

Addiction, Abuse, and Misuse Because the use of Fentanyl Citrate Injection exposes patients and other users to the risks of opioid addiction, abuse and misuse, which can lead to overdose and death, assess each patient’s risk prior to prescribing and reassess all patients regularly for the development of these behaviors and conditions [see Warnings and Precautions (5.1) ] . Life-Threatening Respiratory Depression Serious, life-threatening, or fatal respiratory depression may occur with use of Fentanyl Citrate Injection, especially during initiation or following a dosage increase. To reduce the risk of respiratory depression, proper dosing and titration of Fentanyl Citrate Injection are essential [see Warnings and Precautions (5.2) ] . Risks From Concomitant Use With Benzodiazepines Or Other CNS Depressants Concomitant use of opioids with benzodiazepines or other central nervous system (CNS) depressants, including alcohol, may result in profound sedation, respiratory depression, coma, and death. Reserve concomitant prescribing of Fentanyl Citrate Injection and benzodiazepines or other CNS depressants for use in patients for whom alternative treatment options are inadequate [see Warnings and Precautions (5.4) , Drug Interactions (7) ] . Cytochrome P450 3A4 Interaction The concomitant use of Fentanyl Citrate Injection with all cytochrome P450 3A4 inhibitors may result in an increase in fentanyl plasma concentrations, which could increase or prolong adverse reactions and may cause potentially fatal respiratory depression. In addition, discontinuation of a concomitantly used cytochrome P450 3A4 inducer may result in an increase in fentanyl plasma concentration. Monitor patients receiving Fentanyl Citrate Injection and any CYP3A4 inhibitor or inducer [see Warnings and Precautions (5.3) , Drug Interactions (7) , Clinical Pharmacology (12.3) ]

Section 42229-5

Manufactured by:

Hikma Pharmaceuticals USA Inc.

Berkeley Heights, NJ 07922

NOVAPLUS is a registered trademark of Vizient, Inc.

NOVAPLUS®

462-060-02

9.2 Abuse

Fentanyl Citrate Injection contains fentanyl, a substance with a high potential for misuse and abuse, which can lead to the development of substance use disorder, including addiction [see Warnings and Precautions (5.1)].

Misuse is the intentional use, for therapeutic purposes, of a drug by an individual in a way other than prescribed by healthcare provider or for whom it was not prescribed.

Abuse is the intentional, non-therapeutic use of a drug, even once, for its desirable psychological or physiological effects.

Drug addiction is a cluster of behavioral, cognitive, and physiological phenomena that may include a strong desire to take the drug, difficulties in controlling drug use (e.g., continuing drug use despite harmful consequences, giving a higher priority to drug use than other activities and obligations), and possible tolerance or physical dependence.

Misuse and abuse of Fentanyl Citrate Injection increases risk of overdose, which may lead to central nervous system and respiratory depression, hypotension, seizures, and death. The risk is increased with concurrent abuse of Fentanyl Citrate Injection with alcohol and/or other CNS depressants. Abuse of and addiction to opioids in some individuals may not be accompanied by concurrent tolerance and symptoms of physical dependence. In addition, abuse of opioids can occur in the absence of addiction.

All patients treated with opioids require careful and frequent reevaluation for signs of misuse, abuse, and addiction, because use of opioid analgesic products carries the risk of addiction even under appropriate medical use. Patients at high risk of Fentanyl Citrate Injection abuse include those with a history of prolonged use of any opioid, including products containing fentanyl, those with a history of drug or alcohol abuse, or those who use Fentanyl Citrate Injection in combination with other abused drugs.

“Drug-seeking” behavior is very common in persons with substance use disorders. Drug-seeking tactics include emergency calls or visits near the end of office hours, refusal to undergo appropriate examination, testing or referral, repeated “loss” of prescriptions, tampering with prescriptions, and reluctance to provide prior medical records or contact information for other treating healthcare providers(s). “Doctor shopping” (visiting multiple prescribers to obtain additional prescriptions) is common among people who abuse drugs and people with substance use disorder. Preoccupation with achieving adequate pain relief can be appropriate behavior in a patient with inadequate pain control.

Fentanyl Citrate Injection, like other opioids, can be diverted for nonmedical use into illicit channels of distribution. Careful record-keeping of prescribing information, including quantity, frequency, and renewal requests, as required by state and federal law, is strongly advised.

Proper assessment of the patient, proper prescribing practices, periodic reevaluation of therapy, and proper dispensing and storage are appropriate measures to limit abuse of opioid drugs.

Risks Specific to Abuse of Fentanyl Citrate Injection

Abuse of Fentanyl Citrate Injection poses a risk of overdose and death. The risk is increased with concurrent use of Fentanyl Citrate Injection with alcohol and/or other CNS depressants.

Parenteral drug abuse is commonly associated with transmission of infectious diseases such as hepatitis and HIV.

2.2 Dosage

Premedication in Adults

50 mcg to 100 mcg may be administered intramuscularly 30 to 60 minutes prior to surgery.

Adjunct to General Anesthesia

See Dosage Range Charts below.

Table 1: Dosage Range Chart

Total Dosage (expressed as fentanyl base)

Low Dose—2 mcg/kg

For use in minor, but painful, surgical procedures.

May also provide some pain relief in the immediate postoperative period.

Moderate Dose—2 mcg/kg to 20 mcg/kg

For use in more major surgical procedures, in addition to adequate analgesia, may abolish some of the stress response.

Expect respiratory depression requiring artificial ventilation during anesthesia and careful observation of ventilation postoperatively is essential.

High dose—20 mcg/kg to 50 mcg/kg

For open heart surgery and certain more complicated neurosurgical and orthopedic procedures where surgery is more prolonged, and the stress response to surgery would be detrimental to the well-being of the patient.

In conjunction with nitrous oxide/oxygen has been shown to attenuate the stress response as defined by increased levels of circulating growth hormone, catecholamine, ADH and prolactin.

Expect the need of postoperative ventilation and observation due to extended post-operative respiratory depression.

Maintenance Dose (expressed as fentanyl base)

Low Dose—2 mcg/kg Additional dosages infrequently needed in these minor procedures.

Moderate Dose—2 mcg/kg to 20 mcg/kg

25 mcg to 100 mcg

Administer intravenously or intramuscularly as needed when movement and/or changes in vital signs indicate surgical stress or lightening of analgesia.

High Dose—20 mcg/kg to 50 mcg/kg

Maintenance dosage [ranging from 25 mcg to one half the initial loading dose] as needed based on vital signs indicative of stress and lightening of analgesia.

Individualize the dosage especially if the anticipated remaining operative time is short.



Adjunct to Regional Anesthesia

50 mcg to 100 mcg may be administered intramuscularly or slowly intravenously, over one to two minutes, when additional analgesia is required.

Postoperatively (recovery room)

50 mcg to 100 mcg may be administered intramuscularly for the control of pain, tachypnea and emergence delirium. The dose may be repeated in one to two hours as needed.

For Induction and Maintenance in Children 2 to 12 Years of Age

A reduced dose as low as 2 mcg/kg to 3 mcg/kg is recommended.

As a General Anesthetic

As a technique to attenuate the responses to surgical stress without the use of additional anesthetic agents, doses of 50 mcg/kg to 100 mcg/kg may be administered with oxygen and a muscle relaxant. In certain cases, doses up to 150 mcg/kg may be necessary to produce this anesthetic effect. It has been used for open heart surgery and certain other

major surgical procedures in patients for whom protection of the myocardium from excess oxygen demand is particularly indicated, and for certain complicated neurological and orthopedic procedures.

10 Overdosage

Clinical Presentation

Acute overdose with fentanyl can be manifested by respiratory depression, somnolence progressing to stupor or coma, skeletal muscle flaccidity, cold and clammy skin, constricted pupils, and, in some cases, pulmonary edema, bradycardia, hypotension, hypoglycemia, partial or complete airway obstruction, atypical snoring, and death. Marked mydriasis rather than miosis may be seen with hypoxia in overdose situations [see Clinical Pharmacology (12.2)]. Toxic leukoencephalopathy has been reported after opioid overdose and can present hours, days, or weeks after apparent recovery from the initial intoxication.

Treatment of Overdose

In case of overdose, priorities are the reestablishment of a patent and protected airway and institution of assisted or controlled ventilation, if needed. Employ other supportive measures (including oxygen and vasopressors) in the management of circulatory shock and pulmonary edema as indicated. Cardiac arrest or arrhythmias will require advanced life-support measures.

For clinically significant respiratory or circulatory depression secondary to fentanyl overdose, administer an opioid overdose reversal agent such as naloxone of nalmefene.

Because the duration of opioid reversal is expected to be less than the duration of action of fentanyl in Fentanyl Citrate Injection, carefully monitor the patient until spontaneous respiration is reliably re-established. If the response to an opioid overdose reversal agent is suboptimal or only brief in nature, administer additional reversal agent as directed by the product’s prescribing information.

In an individual physically dependent on opioids, administration of the recommended usual dosage of the overdose reversal agent will precipitate an acute withdrawal syndrome. The severity of the withdrawal symptoms experienced will depend on the degree of physical dependence and the dose of the reversal agent administered. If a decision is made to treat serious respiratory depression in the physically dependent patient, administration of the reversal agent should be initiated with care and by titration with smaller than usual doses of the reversal agent.

8.1 Pregnancy

Risk Summary

Use of opioid analgesics for an extended period of time during pregnancy may cause neonatal opioid withdrawal syndrome. Available data with Fentanyl Citrate Injection in pregnant women are insufficient to inform a drug-associated risk for major birth defects and miscarriage or adverse maternal outcomes. There are adverse outcomes reported with fetal exposure to opioid analgesics (see Clinical Considerations). In animal reproduction\ studies, fentanyl administration to pregnant rats during organogenesis was embryocidal at doses within the range of the human recommended dosing. No evidence of malformations was noted in animal studies completed to date [see Data].

The background risk of major birth defects and miscarriage for the indicated population is unknown. All pregnancies have a background risk of birth defect, loss, or other adverse outcomes. In the U.S. general population, the estimated background risk of major birth defects and miscarriage in clinically recognized pregnancies is 2 to 4% and 15 to 20%, respectively.

Clinical Considerations

Fetal/Neonatal Adverse Reactions

Use of opioid analgesics for an extended period of time during pregnancy for medical or nonmedical purposes can result in physical dependence in the neonate and neonatal opioid withdrawal syndrome shortly after birth.

Neonatal opioid withdrawal syndrome presents as irritability, hyperactivity and abnormal sleep pattern, high pitched cry, tremor, vomiting, diarrhea and failure to gain weight. The onset, duration, and severity of neonatal opioid withdrawal syndrome vary based on the specific opioid used, duration of use, timing and amount of last maternal use, and rate of elimination of the drug by the newborn. Observe newborns for symptoms of neonatal opioid withdrawal syndrome and manage accordingly.

Labor or Delivery

There are insufficient data to support the use of fentanyl in labor or delivery. Therefore, such use is not recommended. Opioids cross the placenta and may produce respiratory depression and psycho-physiologic effects in neonates. An opioid antagonist, such as naloxone, must be available for reversal of opioid-induced respiratory depression in the neonate. Fentanyl Citrate Injection is not recommended for use in pregnant women during or immediately prior to labor, when other analgesic techniques are more appropriate. Opioid analgesics, including Fentanyl Citrate Injection, can prolong labor through actions which temporarily reduce the strength, duration, and frequency of uterine contractions. However, this effect is not consistent and may be offset by an increased rate of cervical dilation, which tends to shorten labor. Monitor neonates exposed to opioid analgesics during labor for signs of excess sedation and respiratory depression.

Data

Animal Data

Fentanyl has been shown to be embryocidal in pregnant rats at doses of 30 mcg/kg intravenously (0.05 times the human dose of 100 mcg/kg on a mg/m2 basis) and 160 mcg/kg subcutaneously (0.26 times the human dose of 100 mcg/kg on a mg/m2 basis). There was no evidence of teratogenicity reported. No evidence of malformations or adverse effects on the fetus was reported in a published study in which pregnant rats were administered fentanyl continuously via subcutaneously implanted osmotic minipumps at doses of 10, 100, or 500 mcg/kg/day starting 2-weeks prior to breeding and throughout pregnancy. The high dose was approximately 0.81 times the human dose of 100 mcg/kg on a mg/m2 basis.

8.2 Lactation

Risk Summary

Fentanyl is present in breast milk. One published lactation study reports a relative infant dose of fentanyl of 0.38%. However, there is insufficient information to determine the effects of fentanyl on the breastfed infant and the effects of fentanyl on milk production. The developmental and health benefits of breastfeeding should be considered along with the mother’s clinical need for Fentanyl Citrate Injection and any potential adverse effects on the breastfed infant from Fentanyl Citrate Injection or from the underlying maternal condition.

Clinical Considerations

Monitor infants exposed to fentanyl through breast milk for excess sedation and respiratory depression. Withdrawal symptoms can occur in breastfed infants when maternal administration of an opioid analgesic is stopped, or when breast-feeding is stopped.

11 Description

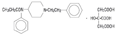
Fentanyl Citrate Injection is an opioid agonist, available as a sterile, non-pyrogenic solution containing fentanyl citrate as the active pharmaceutical ingredient, for intravenous or intramuscular administration. Fentanyl citrate is chemically identified as N-(1-Phenethyl-4-piperidyl)propionanilide citrate (1:1) with the following structural formula:

                                                                                      C22H28N2O • C6H8O                                      Molecular Weight is 528.59

Each mL contains fentanyl citrate equivalent to 50 mcg fentanyl base in Water for Injection. Sodium hydroxide and/or hydrochloric acid added, if needed, for pH adjustment. The pH range is 4.0 – 7.5. Contains no preservative.

9.3 Dependence

Both tolerance and physical dependence can develop during chronic opioid therapy.

Tolerance is a physiological state characterized by a reduced response to a drug after repeated administration (i.e., a higher dose of a drug is required to produce the same effect that was once obtained at a lower dose).

Physical dependence is a state that develops as a result of physiological adaptation in a response to repeated drug use, manifested by withdrawal signs and symptoms after abrupt discontinuation or a significant dosage reduction of a drug.

Withdrawal also may be precipitated through the administration of drugs with opioid antagonist activity (e.g., naloxone), mixed agonist/antagonist analgesics (e.g., pentazocine, butorphanol, nalbuphine), or partial agonists (e.g., buprenorphine). Physical dependence may not occur to a clinically significant degree until after several days to weeks of continued use.

Fentanyl Citrate Injection should not be abruptly discontinued in a physically-dependent patient. If Fentanyl Citrate Injection is abruptly discontinued in a physically-dependent patient, a withdrawal syndrome may occur, typically characterized by restlessness, lacrimation, rhinorrhea, perspiration, chills, myalgia, and mydriasis. Other signs and symptoms also may develop, including irritability, anxiety, backache, joint pain, weakness, abdominal cramps, insomnia, nausea, anorexia, vomiting, diarrhea, or increased blood pressure, respiratory rate, or heart rate.

Infants born to mothers physically dependent on opioids will also be physically dependent and may exhibit respiratory difficulties and withdrawal signs [see Use in Specific Populations (8.1)].

8.4 Pediatric Use

The safety and efficacy of Fentanyl Citrate Injection in pediatric patients under two years of age has not been established.

Rare cases of unexplained clinically significant methemoglobinemia have been reported in premature neonates undergoing emergency anesthesia and surgery which included combined use of fentanyl, pancuronium and atropine. A direct cause and effect relationship between the combined use of these drugs and the reported cases of methemoglobinemia has not been established.

8.5 Geriatric Use

Elderly patients (aged 65 years or older) may have increased sensitivity to fentanyl. In general, use caution when selecting a dosage for an elderly patient, usually starting at the low end of the dosing range, reflecting the greater frequency of decreased hepatic, renal, or cardiac function and of concomitant disease or other drug therapy.

Respiratory depression is the chief risk for elderly patients treated with opioids, and has occurred after large initial doses were administered to patients who were not opioid-tolerant or when opioids were co-administered with other agents that depress respiration. Titrate the dosage of Fentanyl Citrate Injection slowly in geriatric patients and monitor closely for signs of central nervous system and respiratory depression [see Warnings and Precautions (5.2)].

Fentanyl is known to be substantially excreted by the kidney, and the risk of adverse reactions to this drug may be greater in patients with impaired renal function. Because elderly patients are more likely to have decreased renal function, care should be taken in dose selection, and it may be useful to monitor renal function.

4 Contraindications

Fentanyl Citrate Injection is contraindicated in patients with:

6 Adverse Reactions

The following serious adverse reactions are described, or described in greater detail, in other sections:

The following adverse reactions associated with the use of fentanyl were identified in clinical studies or postmarketing reports. Because some of these reactions were reported voluntarily from a population of uncertain size, it is not always possible to reliably estimate their frequency or establish a causal relationship to drug exposure.

As with other opioid agonists, the most common serious adverse reactions reported to occur with fentanyl are respiratory depression, apnea, rigidity and bradycardia; if these remain untreated, respiratory arrest, circulatory depression or cardiac arrest could occur. Other adverse reactions that have been reported are hypertension, hypotension, dizziness, blurred vision, nausea, emesis, laryngospasm, diaphoresis, serotonin syndrome, adrenal insufficiency, and anaphylaxis.

It has been reported that secondary rebound respiratory depression may occasionally occur postoperatively. When a tranquilizer is used with Fentanyl Citrate Injection, the following adverse reactions can occur: chills and/or shivering, restlessness and postoperative hallucinatory episodes (sometimes associated with transient periods of mental depression); extrapyramidal symptoms (dystonia, akathisia and oculogyric crisis) have been observed up to 24 hours postoperatively. When they occur, extrapyramidal symptoms can usually be controlled with anti-parkinson agents. Postoperative drowsiness is also frequently reported following the use of neuroleptics with fentanyl citrate.

Cases of cardiac dysrhythmias, cardiac arrest, and death have been reported following the use of fentanyl citrate with a neuroleptic agent.

Serotonin syndrome: Cases of serotonin syndrome, a potentially life-threatening condition, have been reported during concomitant use of opioids with serotonergic drugs.

Adrenal insufficiency: Cases of adrenal insufficiency have been reported with opioid use, more often following greater than one month of use.

Anaphylaxis: Anaphylaxis has been reported with ingredients contained in Fentanyl Citrate Injection

Androgen deficiency: Cases of androgen deficiency have occurred with use of opioids for an extended period of time [see Clinical Pharmacology (12.2)].

Hyperalgesia and Allodynia: Cases of hyperalgesia and allodynia have been reported with opioid therapy of any duration [see Warnings and Precautions (5.7)].

Hypoglycemia: Causes of hypoglycemia have been reported in patients taking opioids. Most reports were in patients with at least one predisposing risk factor (e.g., diabetes).

Opioid-induced esophageal dysfunction (OIED): Cases of OIED have been reported in patients taking opioids and may occur more frequently in patients taking higher doses of opioids, and/or in patients taking opioids longer term [see Warnings and Precautions (5.11)].

7 Drug Interactions

Table 2 includes clinically significant drug interactions with Fentanyl Citrate Injection.

Table 2: Clinically Significant Drug Interactions with Fentanyl Citrate Injection

Inhibitors of CYP3A4
Clinical Impact:

The concomitant use of Fentanyl Citrate Injection and CYP3A4 inhibitors can increase the plasma concentration of fentanyl, resulting in increased or prolonged opioid effects, particularly when an inhibitor is added after a stable dose of Fentanyl Citrate Injection is achieved [see Warnings and Precautions (5.3)].

After stopping a CYP3A4 inhibitor, as the effects of the inhibitor decline, the fentanyl plasma concentration will decrease [see Clinical Pharmacology (12.3)], resulting in decreased opioid efficacy or a withdrawal syndrome in patients who had developed physical dependence to fentanyl.

Intervention:

If concomitant use is necessary, consider dosage reduction of Fentanyl Citrate Injection until stable drug effects are achieved [see Dosage and Administration (2.1)]. Monitor patients at frequent intervals for respiratory depression and sedation.

If a CYP3A4 inhibitor is discontinued, consider increasing the Fentanyl Citrate Injection dosage until stable drug effects are achieved. Monitor for signs of opioid withdrawal.

Examples: Macrolide antibiotics (e.g., erythromycin), azole-antifungal agents (e.g., ketoconazole), protease inhibitors (e.g., ritonavir), grapefruit juice
CYP3A4 Inducers
Clinical Impact:

The concomitant use of Fentanyl Citrate Injection and CYP3A4 inducers can decrease the plasma concentration of fentanyl [see Clinical Pharmacology (12.3)], resulting in decreased efficacy or onset of a withdrawal syndrome in patients who have developed physical dependence to fentanyl [see Warnings and Precautions (5.3)].

After stopping a CYP3A4 inducer, as the effects of the inducer decline, the fentanyl plasma concentration will increase [see Clinical Pharmacology (12.3)], which could increase or prolong both the therapeutic effects and adverse reactions and may cause serious respiratory depression.

Intervention: If concomitant use is necessary, consider increasing the Fentanyl Citrate Injection dosage until stable drug effects are achieved. Monitor for signs of opioid withdrawal. If a CYP3A4 inducer is discontinued, consider Fentanyl Citrate Injection dosage reduction and monitor for signs of respiratory depression.
Examples: Rifampin, carbamazepine, phenytoin
Benzodiazepines and Other Central Nervous System (CNS) Depressants
Clinical Impact: The concomitant use of Fentanyl Citrate Injection with CNS depressants may result in decreased pulmonary artery pressure and may cause hypotension. Even small dosages of diazepam may cause cardiovascular depression when added to high dose or anesthetic dosages of Fentanyl Citrate Injection. As postoperative analgesia, concomitant use of Fentanyl Citrate Injection can increase the risk of hypotension, respiratory depression, profound sedation, coma, and death.
Intervention:

As postoperative analgesia, start with a lower dose of Fentanyl Citrate Injection and monitor patients for signs of respiratory depression, sedation, and hypotension. Fluids or other measures to counter hypotension should be available [see Warnings and Precautions (5.4)].

Examples: Benzodiazepines and other sedatives/hypnotics, anxiolytics, barbiturates, tranquilizers, muscle relaxants, general anesthetics, antipsychotics, other opioids, alcohol.
Serotonergic Drugs
Clinical Impact: The concomitant use of opioids with other drugs that affect the serotonergic neurotransmitter system has resulted in serotonin syndrome [see Warnings and

Precautions (5.8) ]
.
Intervention: If concomitant use is warranted, carefully observe the patient, particularly during treatment initiation and dose adjustment. Discontinue Fentanyl Citrate Injection if serotonin syndrome is suspected.
Examples: Selective serotonin reuptake inhibitors (SSRIs), serotonin and norepinephrine reuptake inhibitors (SNRIs), tricyclic antidepressants (TCAs), triptans, 5-HT3 receptor antagonists, drugs that effect the serotonin neurotransmitter system (e.g., mirtazapine, trazodone, tramadol), certain muscle relaxants (i.e., cyclobenzaprine, metaxalone), monoamine oxidase (MAO) inhibitors (those intended to treat psychiatric disorders and also others, such as linezolid and intravenous methylene blue).
Monoamine Oxidase Inhibitors
Clinical Impact: MAOI interactions with opioids may manifest as serotonin syndrome [see Warnings and Precautions (5.8)] or opioid toxicity (e.g., respiratory depression, coma) [see Warnings and Precautions (5.2)].
Intervention: The use of Fentanyl Citrate Injection is not recommended for patients taking MAOIs or within 14 days of stopping such treatment.
Examples: Phenelzine, tranylcypromine, linezolid
Mixed Agonist/Antagonist and Partial Agonist Opioid Analgesics
Clinical Impact: May reduce the analgesic effect of Fentanyl Citrate Injection and/or precipitate withdrawal symptoms.
Intervention: Avoid concomitant use.
Examples: Butorphanol, nalbuphine, pentazocine, buprenorphine.
Muscle Relaxants
Clinical Impact: Fentanyl may enhance the neuromuscular blocking action of skeletal muscle relaxants and produce an increased degree of respiratory depression.
Intervention: Monitor patients for signs of respiratory depression that may be greater than otherwise expected and decrease the dosage of Fentanyl Citrate Injection and/or the muscle relaxant as necessary.
 Examples:  Cyclobenzaprine, metaxalone
Diuretics
Clinical Impact: Opioids can reduce the efficacy of diuretics by inducing the release of antidiuretic hormone.
Intervention: Monitor patients for signs of diminished diuresis and/or effects on blood pressure and increase the dosage of the diuretic as needed.
Anticholinergic Drugs
Clinical Impact: The concomitant use of anticholinergic drugs may increase risk of urinary retention and/or severe constipation, which may lead to paralytic ileus.
Intervention: Monitor patients for signs of urinary retention or reduced gastric motility when Fentanyl Citrate Injection is used concomitantly with anticholinergic drugs.
Neuroleptics
Clinical Impact: Elevated blood pressure, with and without pre-existing hypertension, has been reported following administration of Fentanyl Citrate Injection combined with a neuroleptic [see Warnings and Precautions (5.14)].
Intervention: ECG monitoring is indicated when a neuroleptic agent is used in conjunction with Fentanyl Citrate Injection as an anesthetic premedication, for the induction of anesthesia, or as an adjunct in the maintenance of general or regional anesthesia.
Nitrous oxide
Clinical Impact: Nitrous oxide has been reported to produce cardiovascular depression when given with higher doses of Fentanyl Citrate Injection.
Intervention: Monitor patients for signs of cardiovascular depression that may be greater than otherwise expected.


8.7 Renal Impairment

Fentanyl Citrate Injection should be administered with caution to patients with kidney dysfunction because of the renal excretion of Fentanyl Citrate Injection and its metabolites. Reduce the dosage as needed and monitor closely for signs of respiratory depression, sedation, and hypotension.

12.2 Pharmacodynamics

Effects on the Central Nervous System

Fentanyl produces respiratory depression by direct action on brain stem respiratory centers. The respiratory depression involves a reduction in the responsiveness of the brain stem respiratory centers to both increases in carbon dioxide tension and electrical stimulation. Fentanyl causes miosis, even in total darkness. Pinpoint pupils are a sign of opioid overdose but are not pathognomic (e.g., pontine lesions of hemorrhagic or ischemic origins may produce similar findings). Marked mydriasis rather than miosis may be seen due to hypoxia in overdose situations.

Effects on the Gastrointestinal Tract and Other Smooth Muscle

Fentanyl causes a reduction in motility associated with an increase in smooth muscle tone in the antrum of the stomach and duodenum. Digestion of food in the small intestine is delayed and propulsive contractions are decreased. Propulsive peristaltic waves in the colon are decreased, while tone may be increased to the point of spasm, resulting in constipation. Other opioid-induced effects may include a reduction in biliary and pancreatic secretions, spasm of sphincter of Oddi, and transient elevations in serum amylase and opioid-induced esophageal dysfunction (OIED).

Effects on the Cardiovascular System

Fentanyl produces peripheral vasodilation which may result in orthostatic hypotension or syncope. Manifestations of histamine release and/or peripheral vasodilation may include pruritis, flushing, red eyes, sweating, and/or orthostatic hypotension.

Effects on the Endocrine System

Opioids inhibit the secretion of adrenocorticotropic hormone (ACTH), cortisol, and lutenizing hormone (LH) in humans [see Adverse Reactions (6)]. They also stimulate prolactin, growth hormone (GH) secretion, and pancreatic secretion of insulin and glucagon.

Use of opioids for an extended period of time may influence the hypothalamic-pituitary-gonadal axis, leading to androgen deficiency that may manifest as low libido, impotence, erectile dysfunction, amenorrhea, or infertility. The causal role of opioids in the clinical syndrome of hypogonadism is unknown because the various medical, physical, lifestyle, and psychological stressors that may influence gonadal hormone levels have not been adequately controlled for in studies conducted to date [see Adverse Reactions (6)].

Effects on the Immune System

Opioids have been shown to have a variety of effects on components of the immune system in in vitro and animal models. The clinical significance of these findings is unknown. Overall, the effects of opioids appear to be modestly immunosuppressive.

Concentration – Efficacy Relationships

A dose of 100 mcg of Fentanyl Citrate Injection is approximately equivalent in analgesic activity to 10 mg of morphine or 75 mg of meperidine.

The minimum effective analgesic concentration will vary widely among patients, especially among patients who have been previously treated with opioid agonists. The minimum effective analgesic concentration of fentanyl for any individual patient may increase over time due to an increase in pain, the development of a new pain syndrome and/or the development of analgesic tolerance [see Dosage and Administration (2.1)].

The onset of action of fentanyl is almost immediate when the drug is given intravenously; however, the maximal analgesic effect may not be noted for several minutes. The usual duration of action of the analgesic effect is 30 to 60 minutes after a single intravenous dose of up to 100 mcg. Following intramuscular administration, the onset of action is from seven to eight minutes, and the duration of action is one to two hours.

Concentration – Adverse Reaction Relationships

There is a relationship between increasing fentanyl plasma concentration and increasing frequency of dose-related opioid adverse reactions such as nausea, vomiting, CNS effects, and respiratory depression. In opioid-tolerant patients, the situation may be altered by the development of tolerance to opioid-related adverse reactions [see Dosage and Administration (2.1)].

The onset of action of fentanyl is almost immediate when the drug is given intravenously; however, the maximal respiratory depressant effect may not be noted for several minutes. As with longer acting narcotic analgesics, the duration of the respiratory depressant effect of fentanyl may be longer than the analgesic effect. The following observations have been reported concerning altered respiratory response to CO2 stimulation following administration of fentanyl citrate:

  • Diminished sensitivity to CO2 stimulation may persist longer than depression of respiratory rate. (Altered sensitivity to CO2 stimulation has been demonstrated for up to four hours following a single dose of 600 mcg fentanyl to healthy volunteers.) Fentanyl frequently slows the respiratory rate, duration and degree of respiratory depression being dose related.
  • The peak respiratory depressant effect of a single intravenous dose of fentanyl citrate is noted 5 to 15 minutes following injection [see Warnings and Precautions (5.2)].
12.3 Pharmacokinetics

Fentanyl Citrate Injection is administered by the intravenous or intramuscular route. The pharmacokinetics of fentanyl can be described as a three-compartment model.

Distribution

Fentanyl plasma protein binding capacity increases with increasing ionization of the drug. Alterations in pH may affect its distribution between plasma and the central nervous system. It accumulates in skeletal muscle and fat and is released slowly into the blood. The volume of distribution for fentanyl is 4 L/kg. It has a distribution time of 1.7 minutes and redistribution time of 13 minutes.

Elimination

The terminal elimination half-life is 219 minutes.

Fentanyl, which is primarily transformed in the liver, demonstrates a high first pass clearance and releases approximately 75% of an intravenous dose in urine, mostly as metabolites with less than 10% representing the unchanged drug. Approximately 9% of the dose is recovered in the feces, primarily as metabolites.

8.6 Hepatic Impairment

Fentanyl Citrate Injection should be administered with caution to patients with liver dysfunction because of the extensive hepatic metabolism. Reduce the dosage as needed and monitor closely for signs of respiratory depression, sedation, and hypotension.

1 Indications and Usage

Fentanyl Citrate Injection is indicated for:

  • analgesic action of short duration during the anesthetic periods, premedication, induction and maintenance, and in the immediate postoperative period (recovery room) as the need arises.
  • use as a narcotic analgesic supplement in general or regional anesthesia.
  • administration with a neuroleptic as an anesthetic premedication, for the induction of anesthesia and as an adjunct in the maintenance of general and regional anesthesia.
  • use as an anesthetic agent with oxygen in selected high-risk patients, such as those undergoing open heart surgery or certain complicated neurological or orthopedic procedures.
Principal Display Panel

Rx only

2 mL Single Dose

NDC 0641-6289-01

Fentanyl Citrate Inj., USP    CII

100 mcg per 2 mL

(50 mcg/mL)

For IV

or IM use

Protect from light

Discard unused portion

Rx only

2 mL Single Dose

NDC 0641-6289-25

Fentanyl Citrate Inj., USP    CII

100 mcg per 2 mL

(50 mcg/mL)

For Intravenous or

Intramuscular use


Preservative-free

25 x 2 mL Single Dose Vials

12.1 Mechanism of Action

Fentanyl Citrate Injection is an opioid agonist, whose principal actions of therapeutic value are analgesia and sedation.

9.1 Controlled Substance

Fentanyl Citrate Injection contains fentanyl, a Schedule II controlled drug substance.

5.9 Adrenal Insufficiency

Cases of adrenal insufficiency have been reported with opioid use, more often following greater than one month of use. Presentation of adrenal insufficiency may include non-specific symptoms and signs including nausea, vomiting, anorexia, fatigue, weakness, dizziness, and low blood pressure. If adrenal insufficiency is suspected, confirm the

diagnosis with diagnostic testing as soon as possible. If adrenal insufficiency is diagnosed, treat with physiologic replacement doses of corticosteroids. Wean the patient off of the opioid to allow adrenal function to recover and continue corticosteroid treatment until adrenal function recovers. Other opioids may be tried as some cases reported use of a different opioid without recurrence of adrenal insufficiency. The information available does not identify any particular opioids as being more likely to be associated with adrenal insufficiency.

5 Warnings and Precautions
  • Risks of Skeletal Muscle Rigidity and Skeletal Muscle Movement: Manage with neuromuscular blocking agent. See full prescribing information for more detail on managing these risks. (5.5)
  • Severe Cardiovascular Depression: Monitor during dosage initiation and titration. (5.6)
  • Opioid-Induced Hyperalgesia and Allodynia: Opioid-Induced Hyperalgesia (OIH) occurs when an opioid analgesic paradoxically causes an increase in pain, or an increase in sensitivity to pain. If OIH is suspected, carefully consider appropriately decreasing the dose of the current opioid analgesic, or opioid rotation. (5.7)
  • Serotonin Syndrome: Potentially life-threatening condition could result from concomitant serotonergic drug administration. Discontinue Fentanyl Citrate Injection if serotonin syndrome is suspected. (5.8)
  • Adrenal Insufficiency: If diagnosed, treat with physiologic replacement of corticosteroids, and wean patient off of the opioid. (5.9)
  • Risks of Use in Patients with Increased Intracranial Pressure, Brain Tumors, or Head Injury: Monitor for sedation and respiratory depression. (5.10)
2 Dosage and Administration
  • Fentanyl Citrate Injection should be administered only by persons specifically trained in the use of intravenous anesthetics and management of the respiratory effects of potent opioids.
  • Ensure that an opioid overdose reversal agent, resuscitative and intubation equipment, and oxygen are readily available (2.1).
  • Individualize dosing based on the factors such as age, body weight, physical status, underlying pathological condition, use of other drugs, type of anesthesia to be used, and the surgical procedure involved. (2.1)
  • Initiate treatment in adults with 50 mcg to 100 mcg. (2.2)
  • Initiate treatment in children 2 to 12 years of age, with a reduced dose as low as 2 mcg/kg to 3 mcg/kg. (2.2)
3 Dosage Forms and Strengths

Single-Dose Vials:

Fentanyl Citrate Injection, USP, equivalent to 50 mcg fentanyl base per mL, is a preservative-free solution, available in a 2 mL and 20 mL single-dose glass vials.

8 Use in Specific Populations
  • Pregnancy: May cause fetal harm. (8.1)
  • Lactation: Infants exposed to Fentanyl Citrate Injection through breast milk should be monitored for excess sedation and respiratory depression. (8.2) 
  • Geriatric Patients: Titrate slowly and monitor for CNS and respiratory depression. (8.5)
5.1 Addiction, Abuse, and Misuse

Fentanyl Citrate Injection contains fentanyl, a Schedule II controlled substance. As an opioid, Fentanyl Citrate Injection exposes users to the risks of addiction, abuse, and misuse [see Drug Abuse and Dependence (9)].

Opioid are sought for nonmedical use and are subject to diversion from legitimate prescribed use. Consider these risks when handling Fentanyl Citrate Injection. Strategies to reduce these risks include proper product storage and control practices for a C-II drug. Contact local state professional licensing board or state-controlled substances authority for information on how to prevent and detect abuse or diversion of this product.

17 Patient Counseling Information

Addiction, Abuse, and Misuse

Inform patients that the use of Fentanyl Citrate Injection, even when taken as recommended, can result in addiction, abuse, and misuse, which can lead to overdose and death [see Warnings and Precautions (5.1)].

Life-Threatening Respiratory Depression

Inform patients of the risk of life-threatening respiratory depression, including information that the risk is greatest when starting Fentanyl Citrate Injection or when the dosage is increased, and that it can occur even at recommended dosages.

Hyperalgesia and Allodynia

Advise patients to inform their healthcare provider if they experience symptoms of hyperalgesia, including worsening pain, increased sensitivity to pain, or new pain [see Warnings and Precautions (5.7); Adverse Reactions (6)].

Serotonin Syndrome

Inform patients that opioids could cause a rare but potentially life-threatening condition called serotonin syndrome resulting from concomitant administration of serotonergic drugs. Warn patients of the symptoms of serotonin syndrome and to seek medical attention right away if symptoms develop after discharge from the hospital. Instruct patients to inform their healthcare provider if they are taking, or plan to take serotonergic medications [see Warnings and Precautions (5.8), Drug Interactions (7)].

Constipation

Advise patients of the potential for severe constipation, including management instructions and when to seek medical attention [see Clinical Pharmacology (12.2)].

16 How Supplied/storage and Handling

Fentanyl Citrate Injection, equivalent to 50 mcg fentanyl base per mL, is a preservative-free solution, supplied as follows:

NDC 0641-6289-25            2 mL Single Dose vials packaged in 25s

For Intravenous Use by Hospital Personnel Specifically Trained in the Use of Narcotic Analgesics:

NDC 0641-6290-01            20 mL Single Dose vials packaged individually

PROTECT FROM LIGHT. Keep covered in carton until time of use. Store at 20˚C to 25˚C (68˚F to 77˚F), excursions permitted to 15˚C to 30˚C (59˚F to 86˚F) [See USP Controlled Room Temperature]. Contains no preservative. DISCARD UNUSED PORTION.

Parenteral drug products should be inspected visually for particulate matter and discoloration prior to administration, whenever solution and container permit.

To report SUSPECTED ADVERSE REACTIONS, contact Hikma Pharmaceuticals USA Inc. at 1-877-845-0689, or the FDA at 1-800-FDA-1088 or www.fda.gov/medwatch.

For Product Inquiry call 1-877-845-0689.

5.6 Severe Cardiovascular Depression

Fentanyl Citrate Injection may cause severe bradycardia, severe hypotension including orthostatic hypotension, and syncope. There is increased risk in patients whose ability to maintain blood pressure has already been compromised by a reduced blood volume or concurrent administration of certain CNS depressant drugs (e.g., phenothiazines or general anesthetics) [see Drug Interactions (7)]. In patients with circulatory shock, Fentanyl Citrate Injection may cause vasodilation that can further reduce cardiac output and blood pressure. Monitor these patients for signs of hypotension after initiating or titrating the dosage of Fentanyl Citrate Injection.

5.2 Life Threatening Respiratory Depression

Serious, life-threatening, or fatal respiratory depression has been reported with the use of opioids, even when used as recommended. Respiratory depression, if not immediately recognized and treated, may lead to respiratory arrest and death. Adequate facilities should be available for postoperative monitoring and ventilation of patients administered anesthetic doses of Fentanyl Citrate Injection. It is essential that these facilities be fully equipped to handle all degrees of respiratory depression. Management of respiratory depression may include close observation, supportive measures, and use of opioid overdose reversal agents (e.g., naloxone, nalmefene), depending on the patient’s clinical status [see Overdosage (10)]. Carbon dioxide (CO2) retention from opioid-induced respiratory depression can exacerbate the sedating effects of opioids.

To reduce the risk of respiratory depression, proper dosing and titration of Fentanyl Citrate Injection are essential. As with other potent opioids, the respiratory depressant effect of Fentanyl Citrate Injection may persist longer than the measured analgesic effect. The total dose of all opioid agonists administered should be considered by the practitioner before ordering opioid analgesics during recovery from anesthesia.

Certain forms of conduction anesthesia, such as spinal anesthesia and some peridural anesthetics can alter respiration by blocking intercostal nerves. Through other mechanisms [see Clinical Pharmacology (12.2)] Fentanyl Citrate Injection can also alter respiration. Therefore, when Fentanyl Citrate Injection is used to supplement these forms of anesthesia, the anesthetist should be familiar with the physiological alterations involved and be prepared to manage them in the patients selected for these forms of anesthesia.

Patients with significant chronic obstructive pulmonary disease or cor pulmonale, and those with a substantially decreased respiratory reserve, hypoxia, hypercapnia, or pre-existing respiratory depression are at increased risk of decreased respiratory drive including apnea, even at recommended dosages of Fentanyl Citrate Injection. Elderly, cachectic, or debilitated patients may have altered pharmacokinetics or altered clearance compared to younger, healthier patients resulting in greater risk for respiratory depression.

Monitor such patients closely including vital signs, particularly when initiating and titrating Fentanyl Citrate Injection and when Fentanyl Citrate Injection is given concomitantly with other drugs that depress respiration. To reduce the risk of respiratory depression, proper dosing and titration of Fentanyl Citrate Injection are essential [see Dosage and Administration (2.1)].

Opioids can cause sleep-related breathing disorders including central sleep apnea (CSA) and sleep-related hypoxemia. Opioid use increases the risk of CSA in a dose-dependent fashion. In patients who present with CSA, consider decreasing the opioid dosage using best practices for opioid taper [see Dosage and Administration (2.1)].

5.13 Risk of Driving and Operating Machinery

Fentanyl Citrate Injection may impair the mental or physical abilities needed to perform potentially hazardous activities such as driving a car or operating machinery after Fentanyl Citrate Injection administration. Warn patients not to drive or operate dangerous machinery unless they are tolerant to the effects of Fentanyl Citrate Injection and know how they will react to the medication.

5.11 risks of Gastrointestinal Complications

Fentanyl may cause spasm of the sphincter of Oddi. Opioids may cause increases in serum amylase. Monitor patients with biliary tract disease, including acute pancreatitis, for worsening symptoms.

Cases of opioid-induced esophageal dysfunction (OIED) have been reported in patients taking opioids. The risk of OIED may increase as the dose and/or duration of opioids increases. Regularly evaluate patients for signs and symptoms of OIED (e.g., dysphagia, regurgitation, non-cardiac chest pain) and, if necessary, adjust opioid therapy as clinically appropriate [see Clinical Pharmacology (12.2)].

5.7 Opioid Induced Hyperalgesia and Allodynia

Opioid-Induced Hyperalgesia (OIH) occurs when an opioid analgesic paradoxically causes an increase in pain, or an increase in sensitivity to pain. This condition differs from tolerance, which is the need for increasing doses of opioids to maintain a defined effect [see Dependence (9.3)]. Symptoms of OIH include (but may not be limited to) increased levels of pain upon opioid dosage increase, decreased levels of pain upon opioid dosage decrease, or pain from ordinarily non-painful stimuli (allodynia). These symptoms may suggest OIH only if there is no evidence of underlying disease progression, opioid tolerance, opioid withdrawal, or addictive behavior.

Cases of OIH have been reported, both with short-term and longer-term use of opioid analgesics. Though the mechanism of OIH is not fully understood, multiple biochemical pathways have been implicated. Medical literature suggests a strong biological plausibility between opioid analgesics and OIH and allodynia. If a patient is suspected to be experiencing OIH, carefully consider appropriately decreasing the dose of the current opioid analgesic or opioid rotation (safely switching the patient to a different opioid moiety) [see Dosage and Administration (2)].

8.3 Females and Males of Reproductive Potential

Infertility

Use of opioids for an extended period of time may cause reduced fertility in females and males of reproductive potential. It is not known whether these effects on fertility are reversible [see Adverse Reactions (6), Clinical Pharmacology (12.2), Nonclinical Toxicology (13.1)].

2.1 Important Dosage and Administration Instructions

Fentanyl Citrate Injection should be administered only by persons specifically trained in the use of intravenous anesthetics and management of the respiratory effects of potent opioids.

  • Ensure that an opioid overdose reversal agent (e.g., naloxone, nalmefene), resuscitative and intubation equipment, and oxygen are readily available.
  • Individualize dosage based on factors such as age, body weight, physical status, underlying pathological condition, use of other drugs, type of anesthesia to be used, and the surgical procedure involved.
  • Monitor vital signs routinely.

As with other potent opioids, the respiratory depressant effect of fentanyl may persist longer than the measured analgesic effect. The total dose of all opioid agonists administered should be considered by the practitioner before ordering opioid analgesics during recovery from anesthesia.

If Fentanyl Citrate Injection is administered with a CNS depressant, become familiar with the properties of each drug, particularly each product’s duration of action. In addition, when such a combination is used, fluids and other countermeasures to manage hypotension should be available [see Warnings and Precautions (5.4)].



Inspect parenteral drug products visually for particulate matter and discoloration prior to administration, whenever solution and container permit.

5.14 Risks Due to Interaction With Neuroleptic Agents

Many neuroleptic agents have been associated with QT prolongation, torsades de pointes, and cardiac arrest. Administer neuroleptic agents with extreme caution in the presence of risk factors for development of prolonged QT syndrome and torsades de pointes, such as: 1) clinically significant bradycardia (less than 50 bpm), 2) any clinically significant cardiac disease, including baseline prolonged QT interval, 3) treatment with Class I and Class III antiarrhythmics, 4) treatment with monoamine oxidase inhibitors (MAOI’s), 5) concomitant treatment with other drug products known to prolong the QT interval and 6) electrolyte imbalance, in particular hypokalemia and hypomagnesemia, or concomitant treatment with drugs (e.g., diuretics) that may cause electrolyte imbalance.

Elevated blood pressure, with and without pre-existing hypertension, has been reported following administration of Fentanyl Citrate Injection combined with a neuroleptic. This might be due to unexplained alterations in sympathetic activity following large doses; however, it is also frequently attributed to anesthetic and surgical stimulation during light anesthesia.

ECG monitoring is indicated when a neuroleptic agent is used in conjunction with Fentanyl Citrate Injection as an anesthetic premedication, for the induction of anesthesia, or as an adjunct in the maintenance of general or regional anesthesia.



When Fentanyl Citrate Injection is used with a neuroleptic and an EEG is used for postoperative monitoring, the EEG pattern may return to normal slowly.

13.1 Carcinogenesis, Mutagenesis, Impairment of Fertility

Carcinogenesis

Long-term studies in animals to evaluate the carcinogenic potential of fentanyl citrate have not been conducted.

Mutagenesis

No formal studies to assess the mutagenic potential of fentanyl citrate have been conducted.

Impairment of Fertility

Decreased pregnancy rates occurred in a multigenerational study in which pregnant rats were treated subcutaneously during the first 21 days of pregnancy with 160 mcg/kg to 1250 mcg/kg fentanyl (0.26 times to 2.0 times a human dose of 100 mcg/kg based on body surface area).

Studies in animals to characterize the effect of fentanyl on male fertility have not been conducted.

5.5 Risks of Muscle Rigidity and Skeletal Muscle Movement

Fentanyl Citrate Injection may cause muscle rigidity, particularly involving the muscles of respiration. The incidence and severity of muscle rigidity is dose related. These effects are related to the dose and speed of injection. Skeletal muscle rigidity also has been reported to occur or recur infrequently in the extended postoperative period usually following high dose administration. In addition, skeletal muscle movements of various groups in the extremities, neck, and external eye have been reported during induction of anesthesia with Fentanyl Citrate Injection; these reported movements have, on rare occasions, been strong enough to pose patient management problems.

These effects are related to the dose and speed of injection and its incidence can be reduced by: 1) administration of up to 1/4 of the full paralyzing dose of a non-depolarizing neuromuscular blocking agent just prior to administration of Fentanyl Citrate Injection; 2) administration of a full paralyzing dose of a neuromuscular blocking agent following loss of eyelash reflex when Fentanyl Citrate Injection is used in anesthetic doses titrated by slow intravenous infusion; or, 3) simultaneous administration of Fentanyl Citrate Injection and a full paralyzing dose of a neuromuscular blocking agent when Fentanyl Citrate Injection is used in rapidly administered anesthetic dosages. The neuromuscular blocking agent used should be compatible with the patient’s cardiovascular status.

5.8 Serotonin Syndrome With Concomitant Use of Serotonergic Drugs

Cases of serotonin syndrome, a potentially life-threatening condition, have been reported during concomitant use of fentanyl with serotonergic drugs. Serotonergic drugs include selective serotonin reuptake inhibitors (SSRIs), serotonin and norepinephrine reuptake inhibitors (SNRIs), tricyclic antidepressants (TCAs), triptans, 5-HT3 receptor antagonists, drugs that affect the serotonergic neurotransmitter system (e.g., mirtazapine, trazadone, tramadol), certain muscle relaxants (i.e., cyclobenzaprine, metaxalone), and drugs that impair metabolism of serotonin (including MAO inhibitors, both those intended to treat psychiatric disorders and also others, such as linezolid and

intravenous methylene blue) [see Drug Interactions (7)]. This may occur within the recommended dosage range.

Serotonin syndrome symptoms may include mental status changes (e.g., agitation, hallucinations, coma), autonomic instability (e.g., tachycardia, labile blood pressure, hyperthermia), neuromuscular aberrations (e.g., hyperreflexia, incoordination, rigidity), and/or gastrointestinal symptoms (e.g., nausea, vomiting, diarrhea) and can be fatal. The onset of symptoms generally occurs within several hours to a few days of concomitant use but may occur later than that. Discontinue Fentanyl Citrate Injection if serotonin syndrome is suspected.

5.12 Increased Risks of Seizures in Patients With Seizure Disorders

Fentanyl may increase the frequency of seizures in patients with seizure disorders and may increase the risk of seizures occurring in other clinical setting associated with seizures. Monitor patients with a history of seizure disorders for worsened seizure control during Fentanyl Citrate Injection therapy.

5.3 Risks From Concomitant Use With Benzodiazepines Or Other Cns Depressants

When benzodiazepines or other CNS depressants are used with Fentanyl Citrate Injection, pulmonary arterial pressure may be decreased. This fact should be considered by those who conduct diagnostic and surgical procedures where interpretation of pulmonary arterial pressure measurements might determine final management of the patient. When high dose or anesthetic dosages of Fentanyl Citrate Injection are employed, even relatively small dosages of diazepam may cause cardiovascular depression.

When Fentanyl Citrate Injection is used with CNS depressants, hypotension can occur. If it occurs, consider the possibility of hypovolemia and manage with appropriate parenteral fluid therapy. When operative conditions permit, consider repositioning the patient to improve venous return to the heart. Exercise care in moving and repositioning of patients because of the possibility of orthostatic hypotension. If volume expansion with fluids plus other countermeasures do not correct hypotension, consider administration of pressor agents other than epinephrine. 

Epinephrine may paradoxically decrease blood pressure in patients treated with a neuroleptic that blocks alpha adrenergic activity.

Profound sedation, respiratory depression, coma, and death may result from the concomitant use of Fentanyl Citrate Injection with benzodiazepines and/or other CNS depressants, including alcohol (e.g., non-benzodiazepine sedatives/hypnotics, anxiolytics, tranquilizers, muscle relaxants, general anesthetics, antipsychotics, gabapentinoids [gabapentin or pregabalin], and other opioids).

Observational studies have demonstrated that concomitant use of opioid analgesics and benzodiazepines increases the risk of drug-related mortality compared to use of opioid analgesics alone. Because of similar pharmacological properties, it is reasonable to expect similar risk with the concomitant use of other CNS depressant drugs with opioid analgesics [see Drug Interactions (7)].

If the decision is made to manage postoperative pain with Fentanyl Citrate Injection concomitantly with a benzodiazepine or other CNS depressant, start dosing with the lowest effective dosage and titrate based on clinical response. Monitor patients closely for signs and symptoms of respiratory depression, sedation, and hypotension. Fluids or other measures to counter hypotension should be available [see Drug Interactions (7)].

Warning: Serious and Life Threatening Risks From Use of Fentanyl Citrate Injection

Addiction, Abuse, and Misuse

Because the use of Fentanyl Citrate Injection exposes patients and other users to the risks of opioid addiction, abuse and misuse, which can lead to overdose and death, assess each patient’s risk prior to prescribing and reassess all patients regularly for the development of these behaviors and conditions [see Warnings and Precautions (5.1)].



Life-Threatening Respiratory Depression

Serious, life-threatening, or fatal respiratory depression may occur with use of Fentanyl Citrate Injection, especially during initiation or following a dosage increase. To reduce the risk of respiratory depression, proper dosing and titration of Fentanyl Citrate Injection are essential [see Warnings and Precautions (5.2)].



Risks From Concomitant Use With Benzodiazepines Or Other CNS Depressants

Concomitant use of opioids with benzodiazepines or other central nervous system (CNS) depressants, including alcohol, may result in profound sedation, respiratory depression, coma, and death. Reserve concomitant prescribing of Fentanyl Citrate Injection and benzodiazepines or other CNS depressants for use in patients for whom alternative treatment options are inadequate [see Warnings and Precautions (5.4), Drug Interactions (7)].



Cytochrome P450 3A4 Interaction

The concomitant use of Fentanyl Citrate Injection with all cytochrome P450 3A4 inhibitors may result in an increase in fentanyl plasma concentrations, which could increase or prolong adverse reactions and may cause potentially fatal respiratory depression. In addition, discontinuation of a concomitantly used cytochrome P450 3A4 inducer may result in an increase in fentanyl plasma concentration. Monitor patients receiving Fentanyl Citrate Injection and any CYP3A4 inhibitor or inducer [see Warnings and Precautions (5.3), Drug Interactions (7), Clinical Pharmacology (12.3)]

5.4 Risks of Concomitant Use Or Discontinuation of Cytochrome P450 3a4 Inhibitors and Inducers

Concomitant use of Fentanyl Citrate Injection with a CYP3A4 inhibitor, such as macrolide antibiotics (e.g., erythromycin), azole-antifungal agents (e.g., ketoconazole), and protease inhibitors (e.g., ritonavir), may increase plasma concentrations of fentanyl and prolong opioid adverse reactions, which may exacerbate respiratory depression [see Warnings and Precautions (5.2)], particularly when an inhibitor is added after a stable dose of Fentanyl Citrate Injection is achieved. Similarly, discontinuation of a CYP3A4 inducer, such as rifampin, carbamazepine, and phenytoin, in Fentanyl Citrate Injection-treated patients may increase fentanyl plasma concentrations and prolong opioid adverse reactions. When using Fentanyl Citrate Injection with CYP3A4 inhibitors or discontinuing CYP3A4 inducers in Fentanyl Citrate Injection-treated patients, monitor patients closely at frequent intervals and consider dosage reduction of Fentanyl Citrate Injection [see Dosage and Administration (2.1), Drug Interactions (7)].

Concomitant use of Fentanyl Citrate Injection with CYP3A4 inducers or discontinuation of a CYP3A4 inhibitor, could result in lower than expected fentanyl plasma concentrations, decreased efficacy, or, possibly, lead to a withdrawal syndrome in a patient who had developed physical dependence to fentanyl. When using Fentanyl Citrate Injection with CYP3A4 inducers, or discontinuation of a CYP3A4 inhibitor, monitor patients closely at frequent intervals and consider increasing the Fentanyl Citrate Injection dosage [see Dosage and Administration (2.1), Drug Interactions (7)].

5.10 Risks of Use in Patients With Increased Intracranial Pressure, Brain Tumors, Or Head Injury

In patients who may be susceptible to the intracranial effects of CO2 retention (e.g., those with evidence of increased intracranial pressure or brain tumors), Fentanyl Citrate Injection may reduce respiratory drive, and the resultant CO2 retention can further increase intracranial pressure. Monitor such patients for signs of increasing intracranial pressure. Monitor such patients closely, particularly when initiating and titrating Fentanyl Citrate Injection and when Fentanyl Citrate Injection is given concomitantly with other drugs that depress respiration [see Warnings and Precautions (5.2), Drug Interactions (7)].

Opioids may also obscure the clinical course in a patient with a head injury. 


Structured Label Content

Section 42229-5 (42229-5)

Manufactured by:

Hikma Pharmaceuticals USA Inc.

Berkeley Heights, NJ 07922

NOVAPLUS is a registered trademark of Vizient, Inc.

NOVAPLUS®

462-060-02

9.2 Abuse

Fentanyl Citrate Injection contains fentanyl, a substance with a high potential for misuse and abuse, which can lead to the development of substance use disorder, including addiction [see Warnings and Precautions (5.1)].

Misuse is the intentional use, for therapeutic purposes, of a drug by an individual in a way other than prescribed by healthcare provider or for whom it was not prescribed.

Abuse is the intentional, non-therapeutic use of a drug, even once, for its desirable psychological or physiological effects.

Drug addiction is a cluster of behavioral, cognitive, and physiological phenomena that may include a strong desire to take the drug, difficulties in controlling drug use (e.g., continuing drug use despite harmful consequences, giving a higher priority to drug use than other activities and obligations), and possible tolerance or physical dependence.

Misuse and abuse of Fentanyl Citrate Injection increases risk of overdose, which may lead to central nervous system and respiratory depression, hypotension, seizures, and death. The risk is increased with concurrent abuse of Fentanyl Citrate Injection with alcohol and/or other CNS depressants. Abuse of and addiction to opioids in some individuals may not be accompanied by concurrent tolerance and symptoms of physical dependence. In addition, abuse of opioids can occur in the absence of addiction.

All patients treated with opioids require careful and frequent reevaluation for signs of misuse, abuse, and addiction, because use of opioid analgesic products carries the risk of addiction even under appropriate medical use. Patients at high risk of Fentanyl Citrate Injection abuse include those with a history of prolonged use of any opioid, including products containing fentanyl, those with a history of drug or alcohol abuse, or those who use Fentanyl Citrate Injection in combination with other abused drugs.

“Drug-seeking” behavior is very common in persons with substance use disorders. Drug-seeking tactics include emergency calls or visits near the end of office hours, refusal to undergo appropriate examination, testing or referral, repeated “loss” of prescriptions, tampering with prescriptions, and reluctance to provide prior medical records or contact information for other treating healthcare providers(s). “Doctor shopping” (visiting multiple prescribers to obtain additional prescriptions) is common among people who abuse drugs and people with substance use disorder. Preoccupation with achieving adequate pain relief can be appropriate behavior in a patient with inadequate pain control.

Fentanyl Citrate Injection, like other opioids, can be diverted for nonmedical use into illicit channels of distribution. Careful record-keeping of prescribing information, including quantity, frequency, and renewal requests, as required by state and federal law, is strongly advised.

Proper assessment of the patient, proper prescribing practices, periodic reevaluation of therapy, and proper dispensing and storage are appropriate measures to limit abuse of opioid drugs.

Risks Specific to Abuse of Fentanyl Citrate Injection

Abuse of Fentanyl Citrate Injection poses a risk of overdose and death. The risk is increased with concurrent use of Fentanyl Citrate Injection with alcohol and/or other CNS depressants.

Parenteral drug abuse is commonly associated with transmission of infectious diseases such as hepatitis and HIV.

2.2 Dosage

Premedication in Adults

50 mcg to 100 mcg may be administered intramuscularly 30 to 60 minutes prior to surgery.

Adjunct to General Anesthesia

See Dosage Range Charts below.

Table 1: Dosage Range Chart

Total Dosage (expressed as fentanyl base)

Low Dose—2 mcg/kg

For use in minor, but painful, surgical procedures.

May also provide some pain relief in the immediate postoperative period.

Moderate Dose—2 mcg/kg to 20 mcg/kg

For use in more major surgical procedures, in addition to adequate analgesia, may abolish some of the stress response.

Expect respiratory depression requiring artificial ventilation during anesthesia and careful observation of ventilation postoperatively is essential.

High dose—20 mcg/kg to 50 mcg/kg

For open heart surgery and certain more complicated neurosurgical and orthopedic procedures where surgery is more prolonged, and the stress response to surgery would be detrimental to the well-being of the patient.

In conjunction with nitrous oxide/oxygen has been shown to attenuate the stress response as defined by increased levels of circulating growth hormone, catecholamine, ADH and prolactin.

Expect the need of postoperative ventilation and observation due to extended post-operative respiratory depression.

Maintenance Dose (expressed as fentanyl base)

Low Dose—2 mcg/kg Additional dosages infrequently needed in these minor procedures.

Moderate Dose—2 mcg/kg to 20 mcg/kg

25 mcg to 100 mcg

Administer intravenously or intramuscularly as needed when movement and/or changes in vital signs indicate surgical stress or lightening of analgesia.

High Dose—20 mcg/kg to 50 mcg/kg

Maintenance dosage [ranging from 25 mcg to one half the initial loading dose] as needed based on vital signs indicative of stress and lightening of analgesia.

Individualize the dosage especially if the anticipated remaining operative time is short.



Adjunct to Regional Anesthesia

50 mcg to 100 mcg may be administered intramuscularly or slowly intravenously, over one to two minutes, when additional analgesia is required.

Postoperatively (recovery room)

50 mcg to 100 mcg may be administered intramuscularly for the control of pain, tachypnea and emergence delirium. The dose may be repeated in one to two hours as needed.

For Induction and Maintenance in Children 2 to 12 Years of Age

A reduced dose as low as 2 mcg/kg to 3 mcg/kg is recommended.

As a General Anesthetic

As a technique to attenuate the responses to surgical stress without the use of additional anesthetic agents, doses of 50 mcg/kg to 100 mcg/kg may be administered with oxygen and a muscle relaxant. In certain cases, doses up to 150 mcg/kg may be necessary to produce this anesthetic effect. It has been used for open heart surgery and certain other

major surgical procedures in patients for whom protection of the myocardium from excess oxygen demand is particularly indicated, and for certain complicated neurological and orthopedic procedures.

10 Overdosage (10 OVERDOSAGE)

Clinical Presentation

Acute overdose with fentanyl can be manifested by respiratory depression, somnolence progressing to stupor or coma, skeletal muscle flaccidity, cold and clammy skin, constricted pupils, and, in some cases, pulmonary edema, bradycardia, hypotension, hypoglycemia, partial or complete airway obstruction, atypical snoring, and death. Marked mydriasis rather than miosis may be seen with hypoxia in overdose situations [see Clinical Pharmacology (12.2)]. Toxic leukoencephalopathy has been reported after opioid overdose and can present hours, days, or weeks after apparent recovery from the initial intoxication.

Treatment of Overdose

In case of overdose, priorities are the reestablishment of a patent and protected airway and institution of assisted or controlled ventilation, if needed. Employ other supportive measures (including oxygen and vasopressors) in the management of circulatory shock and pulmonary edema as indicated. Cardiac arrest or arrhythmias will require advanced life-support measures.

For clinically significant respiratory or circulatory depression secondary to fentanyl overdose, administer an opioid overdose reversal agent such as naloxone of nalmefene.

Because the duration of opioid reversal is expected to be less than the duration of action of fentanyl in Fentanyl Citrate Injection, carefully monitor the patient until spontaneous respiration is reliably re-established. If the response to an opioid overdose reversal agent is suboptimal or only brief in nature, administer additional reversal agent as directed by the product’s prescribing information.

In an individual physically dependent on opioids, administration of the recommended usual dosage of the overdose reversal agent will precipitate an acute withdrawal syndrome. The severity of the withdrawal symptoms experienced will depend on the degree of physical dependence and the dose of the reversal agent administered. If a decision is made to treat serious respiratory depression in the physically dependent patient, administration of the reversal agent should be initiated with care and by titration with smaller than usual doses of the reversal agent.

8.1 Pregnancy

Risk Summary

Use of opioid analgesics for an extended period of time during pregnancy may cause neonatal opioid withdrawal syndrome. Available data with Fentanyl Citrate Injection in pregnant women are insufficient to inform a drug-associated risk for major birth defects and miscarriage or adverse maternal outcomes. There are adverse outcomes reported with fetal exposure to opioid analgesics (see Clinical Considerations). In animal reproduction\ studies, fentanyl administration to pregnant rats during organogenesis was embryocidal at doses within the range of the human recommended dosing. No evidence of malformations was noted in animal studies completed to date [see Data].

The background risk of major birth defects and miscarriage for the indicated population is unknown. All pregnancies have a background risk of birth defect, loss, or other adverse outcomes. In the U.S. general population, the estimated background risk of major birth defects and miscarriage in clinically recognized pregnancies is 2 to 4% and 15 to 20%, respectively.

Clinical Considerations

Fetal/Neonatal Adverse Reactions

Use of opioid analgesics for an extended period of time during pregnancy for medical or nonmedical purposes can result in physical dependence in the neonate and neonatal opioid withdrawal syndrome shortly after birth.

Neonatal opioid withdrawal syndrome presents as irritability, hyperactivity and abnormal sleep pattern, high pitched cry, tremor, vomiting, diarrhea and failure to gain weight. The onset, duration, and severity of neonatal opioid withdrawal syndrome vary based on the specific opioid used, duration of use, timing and amount of last maternal use, and rate of elimination of the drug by the newborn. Observe newborns for symptoms of neonatal opioid withdrawal syndrome and manage accordingly.

Labor or Delivery

There are insufficient data to support the use of fentanyl in labor or delivery. Therefore, such use is not recommended. Opioids cross the placenta and may produce respiratory depression and psycho-physiologic effects in neonates. An opioid antagonist, such as naloxone, must be available for reversal of opioid-induced respiratory depression in the neonate. Fentanyl Citrate Injection is not recommended for use in pregnant women during or immediately prior to labor, when other analgesic techniques are more appropriate. Opioid analgesics, including Fentanyl Citrate Injection, can prolong labor through actions which temporarily reduce the strength, duration, and frequency of uterine contractions. However, this effect is not consistent and may be offset by an increased rate of cervical dilation, which tends to shorten labor. Monitor neonates exposed to opioid analgesics during labor for signs of excess sedation and respiratory depression.

Data

Animal Data

Fentanyl has been shown to be embryocidal in pregnant rats at doses of 30 mcg/kg intravenously (0.05 times the human dose of 100 mcg/kg on a mg/m2 basis) and 160 mcg/kg subcutaneously (0.26 times the human dose of 100 mcg/kg on a mg/m2 basis). There was no evidence of teratogenicity reported. No evidence of malformations or adverse effects on the fetus was reported in a published study in which pregnant rats were administered fentanyl continuously via subcutaneously implanted osmotic minipumps at doses of 10, 100, or 500 mcg/kg/day starting 2-weeks prior to breeding and throughout pregnancy. The high dose was approximately 0.81 times the human dose of 100 mcg/kg on a mg/m2 basis.

8.2 Lactation

Risk Summary

Fentanyl is present in breast milk. One published lactation study reports a relative infant dose of fentanyl of 0.38%. However, there is insufficient information to determine the effects of fentanyl on the breastfed infant and the effects of fentanyl on milk production. The developmental and health benefits of breastfeeding should be considered along with the mother’s clinical need for Fentanyl Citrate Injection and any potential adverse effects on the breastfed infant from Fentanyl Citrate Injection or from the underlying maternal condition.

Clinical Considerations

Monitor infants exposed to fentanyl through breast milk for excess sedation and respiratory depression. Withdrawal symptoms can occur in breastfed infants when maternal administration of an opioid analgesic is stopped, or when breast-feeding is stopped.

11 Description (11 DESCRIPTION)

Fentanyl Citrate Injection is an opioid agonist, available as a sterile, non-pyrogenic solution containing fentanyl citrate as the active pharmaceutical ingredient, for intravenous or intramuscular administration. Fentanyl citrate is chemically identified as N-(1-Phenethyl-4-piperidyl)propionanilide citrate (1:1) with the following structural formula:

                                                                                      C22H28N2O • C6H8O                                      Molecular Weight is 528.59

Each mL contains fentanyl citrate equivalent to 50 mcg fentanyl base in Water for Injection. Sodium hydroxide and/or hydrochloric acid added, if needed, for pH adjustment. The pH range is 4.0 – 7.5. Contains no preservative.

9.3 Dependence

Both tolerance and physical dependence can develop during chronic opioid therapy.

Tolerance is a physiological state characterized by a reduced response to a drug after repeated administration (i.e., a higher dose of a drug is required to produce the same effect that was once obtained at a lower dose).

Physical dependence is a state that develops as a result of physiological adaptation in a response to repeated drug use, manifested by withdrawal signs and symptoms after abrupt discontinuation or a significant dosage reduction of a drug.

Withdrawal also may be precipitated through the administration of drugs with opioid antagonist activity (e.g., naloxone), mixed agonist/antagonist analgesics (e.g., pentazocine, butorphanol, nalbuphine), or partial agonists (e.g., buprenorphine). Physical dependence may not occur to a clinically significant degree until after several days to weeks of continued use.

Fentanyl Citrate Injection should not be abruptly discontinued in a physically-dependent patient. If Fentanyl Citrate Injection is abruptly discontinued in a physically-dependent patient, a withdrawal syndrome may occur, typically characterized by restlessness, lacrimation, rhinorrhea, perspiration, chills, myalgia, and mydriasis. Other signs and symptoms also may develop, including irritability, anxiety, backache, joint pain, weakness, abdominal cramps, insomnia, nausea, anorexia, vomiting, diarrhea, or increased blood pressure, respiratory rate, or heart rate.

Infants born to mothers physically dependent on opioids will also be physically dependent and may exhibit respiratory difficulties and withdrawal signs [see Use in Specific Populations (8.1)].

8.4 Pediatric Use

The safety and efficacy of Fentanyl Citrate Injection in pediatric patients under two years of age has not been established.

Rare cases of unexplained clinically significant methemoglobinemia have been reported in premature neonates undergoing emergency anesthesia and surgery which included combined use of fentanyl, pancuronium and atropine. A direct cause and effect relationship between the combined use of these drugs and the reported cases of methemoglobinemia has not been established.

8.5 Geriatric Use

Elderly patients (aged 65 years or older) may have increased sensitivity to fentanyl. In general, use caution when selecting a dosage for an elderly patient, usually starting at the low end of the dosing range, reflecting the greater frequency of decreased hepatic, renal, or cardiac function and of concomitant disease or other drug therapy.

Respiratory depression is the chief risk for elderly patients treated with opioids, and has occurred after large initial doses were administered to patients who were not opioid-tolerant or when opioids were co-administered with other agents that depress respiration. Titrate the dosage of Fentanyl Citrate Injection slowly in geriatric patients and monitor closely for signs of central nervous system and respiratory depression [see Warnings and Precautions (5.2)].

Fentanyl is known to be substantially excreted by the kidney, and the risk of adverse reactions to this drug may be greater in patients with impaired renal function. Because elderly patients are more likely to have decreased renal function, care should be taken in dose selection, and it may be useful to monitor renal function.

4 Contraindications (4 CONTRAINDICATIONS)

Fentanyl Citrate Injection is contraindicated in patients with:

6 Adverse Reactions (6 ADVERSE REACTIONS)

The following serious adverse reactions are described, or described in greater detail, in other sections:

The following adverse reactions associated with the use of fentanyl were identified in clinical studies or postmarketing reports. Because some of these reactions were reported voluntarily from a population of uncertain size, it is not always possible to reliably estimate their frequency or establish a causal relationship to drug exposure.

As with other opioid agonists, the most common serious adverse reactions reported to occur with fentanyl are respiratory depression, apnea, rigidity and bradycardia; if these remain untreated, respiratory arrest, circulatory depression or cardiac arrest could occur. Other adverse reactions that have been reported are hypertension, hypotension, dizziness, blurred vision, nausea, emesis, laryngospasm, diaphoresis, serotonin syndrome, adrenal insufficiency, and anaphylaxis.

It has been reported that secondary rebound respiratory depression may occasionally occur postoperatively. When a tranquilizer is used with Fentanyl Citrate Injection, the following adverse reactions can occur: chills and/or shivering, restlessness and postoperative hallucinatory episodes (sometimes associated with transient periods of mental depression); extrapyramidal symptoms (dystonia, akathisia and oculogyric crisis) have been observed up to 24 hours postoperatively. When they occur, extrapyramidal symptoms can usually be controlled with anti-parkinson agents. Postoperative drowsiness is also frequently reported following the use of neuroleptics with fentanyl citrate.

Cases of cardiac dysrhythmias, cardiac arrest, and death have been reported following the use of fentanyl citrate with a neuroleptic agent.

Serotonin syndrome: Cases of serotonin syndrome, a potentially life-threatening condition, have been reported during concomitant use of opioids with serotonergic drugs.

Adrenal insufficiency: Cases of adrenal insufficiency have been reported with opioid use, more often following greater than one month of use.

Anaphylaxis: Anaphylaxis has been reported with ingredients contained in Fentanyl Citrate Injection

Androgen deficiency: Cases of androgen deficiency have occurred with use of opioids for an extended period of time [see Clinical Pharmacology (12.2)].

Hyperalgesia and Allodynia: Cases of hyperalgesia and allodynia have been reported with opioid therapy of any duration [see Warnings and Precautions (5.7)].

Hypoglycemia: Causes of hypoglycemia have been reported in patients taking opioids. Most reports were in patients with at least one predisposing risk factor (e.g., diabetes).

Opioid-induced esophageal dysfunction (OIED): Cases of OIED have been reported in patients taking opioids and may occur more frequently in patients taking higher doses of opioids, and/or in patients taking opioids longer term [see Warnings and Precautions (5.11)].

7 Drug Interactions (7 DRUG INTERACTIONS)

Table 2 includes clinically significant drug interactions with Fentanyl Citrate Injection.

Table 2: Clinically Significant Drug Interactions with Fentanyl Citrate Injection

Inhibitors of CYP3A4
Clinical Impact:

The concomitant use of Fentanyl Citrate Injection and CYP3A4 inhibitors can increase the plasma concentration of fentanyl, resulting in increased or prolonged opioid effects, particularly when an inhibitor is added after a stable dose of Fentanyl Citrate Injection is achieved [see Warnings and Precautions (5.3)].

After stopping a CYP3A4 inhibitor, as the effects of the inhibitor decline, the fentanyl plasma concentration will decrease [see Clinical Pharmacology (12.3)], resulting in decreased opioid efficacy or a withdrawal syndrome in patients who had developed physical dependence to fentanyl.

Intervention:

If concomitant use is necessary, consider dosage reduction of Fentanyl Citrate Injection until stable drug effects are achieved [see Dosage and Administration (2.1)]. Monitor patients at frequent intervals for respiratory depression and sedation.

If a CYP3A4 inhibitor is discontinued, consider increasing the Fentanyl Citrate Injection dosage until stable drug effects are achieved. Monitor for signs of opioid withdrawal.

Examples: Macrolide antibiotics (e.g., erythromycin), azole-antifungal agents (e.g., ketoconazole), protease inhibitors (e.g., ritonavir), grapefruit juice
CYP3A4 Inducers
Clinical Impact:

The concomitant use of Fentanyl Citrate Injection and CYP3A4 inducers can decrease the plasma concentration of fentanyl [see Clinical Pharmacology (12.3)], resulting in decreased efficacy or onset of a withdrawal syndrome in patients who have developed physical dependence to fentanyl [see Warnings and Precautions (5.3)].

After stopping a CYP3A4 inducer, as the effects of the inducer decline, the fentanyl plasma concentration will increase [see Clinical Pharmacology (12.3)], which could increase or prolong both the therapeutic effects and adverse reactions and may cause serious respiratory depression.

Intervention: If concomitant use is necessary, consider increasing the Fentanyl Citrate Injection dosage until stable drug effects are achieved. Monitor for signs of opioid withdrawal. If a CYP3A4 inducer is discontinued, consider Fentanyl Citrate Injection dosage reduction and monitor for signs of respiratory depression.
Examples: Rifampin, carbamazepine, phenytoin
Benzodiazepines and Other Central Nervous System (CNS) Depressants
Clinical Impact: The concomitant use of Fentanyl Citrate Injection with CNS depressants may result in decreased pulmonary artery pressure and may cause hypotension. Even small dosages of diazepam may cause cardiovascular depression when added to high dose or anesthetic dosages of Fentanyl Citrate Injection. As postoperative analgesia, concomitant use of Fentanyl Citrate Injection can increase the risk of hypotension, respiratory depression, profound sedation, coma, and death.
Intervention:

As postoperative analgesia, start with a lower dose of Fentanyl Citrate Injection and monitor patients for signs of respiratory depression, sedation, and hypotension. Fluids or other measures to counter hypotension should be available [see Warnings and Precautions (5.4)].

Examples: Benzodiazepines and other sedatives/hypnotics, anxiolytics, barbiturates, tranquilizers, muscle relaxants, general anesthetics, antipsychotics, other opioids, alcohol.
Serotonergic Drugs
Clinical Impact: The concomitant use of opioids with other drugs that affect the serotonergic neurotransmitter system has resulted in serotonin syndrome [see Warnings and

Precautions (5.8) ]
.
Intervention: If concomitant use is warranted, carefully observe the patient, particularly during treatment initiation and dose adjustment. Discontinue Fentanyl Citrate Injection if serotonin syndrome is suspected.
Examples: Selective serotonin reuptake inhibitors (SSRIs), serotonin and norepinephrine reuptake inhibitors (SNRIs), tricyclic antidepressants (TCAs), triptans, 5-HT3 receptor antagonists, drugs that effect the serotonin neurotransmitter system (e.g., mirtazapine, trazodone, tramadol), certain muscle relaxants (i.e., cyclobenzaprine, metaxalone), monoamine oxidase (MAO) inhibitors (those intended to treat psychiatric disorders and also others, such as linezolid and intravenous methylene blue).
Monoamine Oxidase Inhibitors
Clinical Impact: MAOI interactions with opioids may manifest as serotonin syndrome [see Warnings and Precautions (5.8)] or opioid toxicity (e.g., respiratory depression, coma) [see Warnings and Precautions (5.2)].
Intervention: The use of Fentanyl Citrate Injection is not recommended for patients taking MAOIs or within 14 days of stopping such treatment.
Examples: Phenelzine, tranylcypromine, linezolid
Mixed Agonist/Antagonist and Partial Agonist Opioid Analgesics
Clinical Impact: May reduce the analgesic effect of Fentanyl Citrate Injection and/or precipitate withdrawal symptoms.
Intervention: Avoid concomitant use.
Examples: Butorphanol, nalbuphine, pentazocine, buprenorphine.
Muscle Relaxants
Clinical Impact: Fentanyl may enhance the neuromuscular blocking action of skeletal muscle relaxants and produce an increased degree of respiratory depression.
Intervention: Monitor patients for signs of respiratory depression that may be greater than otherwise expected and decrease the dosage of Fentanyl Citrate Injection and/or the muscle relaxant as necessary.
 Examples:  Cyclobenzaprine, metaxalone
Diuretics
Clinical Impact: Opioids can reduce the efficacy of diuretics by inducing the release of antidiuretic hormone.
Intervention: Monitor patients for signs of diminished diuresis and/or effects on blood pressure and increase the dosage of the diuretic as needed.
Anticholinergic Drugs
Clinical Impact: The concomitant use of anticholinergic drugs may increase risk of urinary retention and/or severe constipation, which may lead to paralytic ileus.
Intervention: Monitor patients for signs of urinary retention or reduced gastric motility when Fentanyl Citrate Injection is used concomitantly with anticholinergic drugs.
Neuroleptics
Clinical Impact: Elevated blood pressure, with and without pre-existing hypertension, has been reported following administration of Fentanyl Citrate Injection combined with a neuroleptic [see Warnings and Precautions (5.14)].
Intervention: ECG monitoring is indicated when a neuroleptic agent is used in conjunction with Fentanyl Citrate Injection as an anesthetic premedication, for the induction of anesthesia, or as an adjunct in the maintenance of general or regional anesthesia.
Nitrous oxide
Clinical Impact: Nitrous oxide has been reported to produce cardiovascular depression when given with higher doses of Fentanyl Citrate Injection.
Intervention: Monitor patients for signs of cardiovascular depression that may be greater than otherwise expected.


8.7 Renal Impairment

Fentanyl Citrate Injection should be administered with caution to patients with kidney dysfunction because of the renal excretion of Fentanyl Citrate Injection and its metabolites. Reduce the dosage as needed and monitor closely for signs of respiratory depression, sedation, and hypotension.

Recent Major Changes (RECENT MAJOR CHANGES)

Dosage and Administration (2.1)                        12/2025

Warnings and Precautions (5.2, 5.3, 5.11)         12/2025

12.2 Pharmacodynamics

Effects on the Central Nervous System

Fentanyl produces respiratory depression by direct action on brain stem respiratory centers. The respiratory depression involves a reduction in the responsiveness of the brain stem respiratory centers to both increases in carbon dioxide tension and electrical stimulation. Fentanyl causes miosis, even in total darkness. Pinpoint pupils are a sign of opioid overdose but are not pathognomic (e.g., pontine lesions of hemorrhagic or ischemic origins may produce similar findings). Marked mydriasis rather than miosis may be seen due to hypoxia in overdose situations.

Effects on the Gastrointestinal Tract and Other Smooth Muscle

Fentanyl causes a reduction in motility associated with an increase in smooth muscle tone in the antrum of the stomach and duodenum. Digestion of food in the small intestine is delayed and propulsive contractions are decreased. Propulsive peristaltic waves in the colon are decreased, while tone may be increased to the point of spasm, resulting in constipation. Other opioid-induced effects may include a reduction in biliary and pancreatic secretions, spasm of sphincter of Oddi, and transient elevations in serum amylase and opioid-induced esophageal dysfunction (OIED).

Effects on the Cardiovascular System

Fentanyl produces peripheral vasodilation which may result in orthostatic hypotension or syncope. Manifestations of histamine release and/or peripheral vasodilation may include pruritis, flushing, red eyes, sweating, and/or orthostatic hypotension.

Effects on the Endocrine System

Opioids inhibit the secretion of adrenocorticotropic hormone (ACTH), cortisol, and lutenizing hormone (LH) in humans [see Adverse Reactions (6)]. They also stimulate prolactin, growth hormone (GH) secretion, and pancreatic secretion of insulin and glucagon.

Use of opioids for an extended period of time may influence the hypothalamic-pituitary-gonadal axis, leading to androgen deficiency that may manifest as low libido, impotence, erectile dysfunction, amenorrhea, or infertility. The causal role of opioids in the clinical syndrome of hypogonadism is unknown because the various medical, physical, lifestyle, and psychological stressors that may influence gonadal hormone levels have not been adequately controlled for in studies conducted to date [see Adverse Reactions (6)].

Effects on the Immune System

Opioids have been shown to have a variety of effects on components of the immune system in in vitro and animal models. The clinical significance of these findings is unknown. Overall, the effects of opioids appear to be modestly immunosuppressive.

Concentration – Efficacy Relationships

A dose of 100 mcg of Fentanyl Citrate Injection is approximately equivalent in analgesic activity to 10 mg of morphine or 75 mg of meperidine.

The minimum effective analgesic concentration will vary widely among patients, especially among patients who have been previously treated with opioid agonists. The minimum effective analgesic concentration of fentanyl for any individual patient may increase over time due to an increase in pain, the development of a new pain syndrome and/or the development of analgesic tolerance [see Dosage and Administration (2.1)].

The onset of action of fentanyl is almost immediate when the drug is given intravenously; however, the maximal analgesic effect may not be noted for several minutes. The usual duration of action of the analgesic effect is 30 to 60 minutes after a single intravenous dose of up to 100 mcg. Following intramuscular administration, the onset of action is from seven to eight minutes, and the duration of action is one to two hours.

Concentration – Adverse Reaction Relationships

There is a relationship between increasing fentanyl plasma concentration and increasing frequency of dose-related opioid adverse reactions such as nausea, vomiting, CNS effects, and respiratory depression. In opioid-tolerant patients, the situation may be altered by the development of tolerance to opioid-related adverse reactions [see Dosage and Administration (2.1)].

The onset of action of fentanyl is almost immediate when the drug is given intravenously; however, the maximal respiratory depressant effect may not be noted for several minutes. As with longer acting narcotic analgesics, the duration of the respiratory depressant effect of fentanyl may be longer than the analgesic effect. The following observations have been reported concerning altered respiratory response to CO2 stimulation following administration of fentanyl citrate:

  • Diminished sensitivity to CO2 stimulation may persist longer than depression of respiratory rate. (Altered sensitivity to CO2 stimulation has been demonstrated for up to four hours following a single dose of 600 mcg fentanyl to healthy volunteers.) Fentanyl frequently slows the respiratory rate, duration and degree of respiratory depression being dose related.
  • The peak respiratory depressant effect of a single intravenous dose of fentanyl citrate is noted 5 to 15 minutes following injection [see Warnings and Precautions (5.2)].
12.3 Pharmacokinetics

Fentanyl Citrate Injection is administered by the intravenous or intramuscular route. The pharmacokinetics of fentanyl can be described as a three-compartment model.

Distribution

Fentanyl plasma protein binding capacity increases with increasing ionization of the drug. Alterations in pH may affect its distribution between plasma and the central nervous system. It accumulates in skeletal muscle and fat and is released slowly into the blood. The volume of distribution for fentanyl is 4 L/kg. It has a distribution time of 1.7 minutes and redistribution time of 13 minutes.

Elimination

The terminal elimination half-life is 219 minutes.

Fentanyl, which is primarily transformed in the liver, demonstrates a high first pass clearance and releases approximately 75% of an intravenous dose in urine, mostly as metabolites with less than 10% representing the unchanged drug. Approximately 9% of the dose is recovered in the feces, primarily as metabolites.

8.6 Hepatic Impairment

Fentanyl Citrate Injection should be administered with caution to patients with liver dysfunction because of the extensive hepatic metabolism. Reduce the dosage as needed and monitor closely for signs of respiratory depression, sedation, and hypotension.

1 Indications and Usage (1 INDICATIONS AND USAGE)

Fentanyl Citrate Injection is indicated for:

  • analgesic action of short duration during the anesthetic periods, premedication, induction and maintenance, and in the immediate postoperative period (recovery room) as the need arises.
  • use as a narcotic analgesic supplement in general or regional anesthesia.
  • administration with a neuroleptic as an anesthetic premedication, for the induction of anesthesia and as an adjunct in the maintenance of general and regional anesthesia.
  • use as an anesthetic agent with oxygen in selected high-risk patients, such as those undergoing open heart surgery or certain complicated neurological or orthopedic procedures.
Principal Display Panel (PRINCIPAL DISPLAY PANEL)

Rx only

2 mL Single Dose

NDC 0641-6289-01

Fentanyl Citrate Inj., USP    CII

100 mcg per 2 mL

(50 mcg/mL)

For IV

or IM use

Protect from light

Discard unused portion

Rx only

2 mL Single Dose

NDC 0641-6289-25

Fentanyl Citrate Inj., USP    CII

100 mcg per 2 mL

(50 mcg/mL)

For Intravenous or

Intramuscular use


Preservative-free

25 x 2 mL Single Dose Vials

12.1 Mechanism of Action

Fentanyl Citrate Injection is an opioid agonist, whose principal actions of therapeutic value are analgesia and sedation.

9.1 Controlled Substance

Fentanyl Citrate Injection contains fentanyl, a Schedule II controlled drug substance.

5.9 Adrenal Insufficiency

Cases of adrenal insufficiency have been reported with opioid use, more often following greater than one month of use. Presentation of adrenal insufficiency may include non-specific symptoms and signs including nausea, vomiting, anorexia, fatigue, weakness, dizziness, and low blood pressure. If adrenal insufficiency is suspected, confirm the

diagnosis with diagnostic testing as soon as possible. If adrenal insufficiency is diagnosed, treat with physiologic replacement doses of corticosteroids. Wean the patient off of the opioid to allow adrenal function to recover and continue corticosteroid treatment until adrenal function recovers. Other opioids may be tried as some cases reported use of a different opioid without recurrence of adrenal insufficiency. The information available does not identify any particular opioids as being more likely to be associated with adrenal insufficiency.

5 Warnings and Precautions (5 WARNINGS AND PRECAUTIONS)
  • Risks of Skeletal Muscle Rigidity and Skeletal Muscle Movement: Manage with neuromuscular blocking agent. See full prescribing information for more detail on managing these risks. (5.5)
  • Severe Cardiovascular Depression: Monitor during dosage initiation and titration. (5.6)
  • Opioid-Induced Hyperalgesia and Allodynia: Opioid-Induced Hyperalgesia (OIH) occurs when an opioid analgesic paradoxically causes an increase in pain, or an increase in sensitivity to pain. If OIH is suspected, carefully consider appropriately decreasing the dose of the current opioid analgesic, or opioid rotation. (5.7)
  • Serotonin Syndrome: Potentially life-threatening condition could result from concomitant serotonergic drug administration. Discontinue Fentanyl Citrate Injection if serotonin syndrome is suspected. (5.8)
  • Adrenal Insufficiency: If diagnosed, treat with physiologic replacement of corticosteroids, and wean patient off of the opioid. (5.9)
  • Risks of Use in Patients with Increased Intracranial Pressure, Brain Tumors, or Head Injury: Monitor for sedation and respiratory depression. (5.10)
2 Dosage and Administration (2 DOSAGE AND ADMINISTRATION)
  • Fentanyl Citrate Injection should be administered only by persons specifically trained in the use of intravenous anesthetics and management of the respiratory effects of potent opioids.
  • Ensure that an opioid overdose reversal agent, resuscitative and intubation equipment, and oxygen are readily available (2.1).
  • Individualize dosing based on the factors such as age, body weight, physical status, underlying pathological condition, use of other drugs, type of anesthesia to be used, and the surgical procedure involved. (2.1)
  • Initiate treatment in adults with 50 mcg to 100 mcg. (2.2)
  • Initiate treatment in children 2 to 12 years of age, with a reduced dose as low as 2 mcg/kg to 3 mcg/kg. (2.2)
3 Dosage Forms and Strengths (3 DOSAGE FORMS AND STRENGTHS)

Single-Dose Vials:

Fentanyl Citrate Injection, USP, equivalent to 50 mcg fentanyl base per mL, is a preservative-free solution, available in a 2 mL and 20 mL single-dose glass vials.

8 Use in Specific Populations (8 USE IN SPECIFIC POPULATIONS)
  • Pregnancy: May cause fetal harm. (8.1)
  • Lactation: Infants exposed to Fentanyl Citrate Injection through breast milk should be monitored for excess sedation and respiratory depression. (8.2) 
  • Geriatric Patients: Titrate slowly and monitor for CNS and respiratory depression. (8.5)
5.1 Addiction, Abuse, and Misuse

Fentanyl Citrate Injection contains fentanyl, a Schedule II controlled substance. As an opioid, Fentanyl Citrate Injection exposes users to the risks of addiction, abuse, and misuse [see Drug Abuse and Dependence (9)].

Opioid are sought for nonmedical use and are subject to diversion from legitimate prescribed use. Consider these risks when handling Fentanyl Citrate Injection. Strategies to reduce these risks include proper product storage and control practices for a C-II drug. Contact local state professional licensing board or state-controlled substances authority for information on how to prevent and detect abuse or diversion of this product.

17 Patient Counseling Information (17 PATIENT COUNSELING INFORMATION)

Addiction, Abuse, and Misuse

Inform patients that the use of Fentanyl Citrate Injection, even when taken as recommended, can result in addiction, abuse, and misuse, which can lead to overdose and death [see Warnings and Precautions (5.1)].

Life-Threatening Respiratory Depression

Inform patients of the risk of life-threatening respiratory depression, including information that the risk is greatest when starting Fentanyl Citrate Injection or when the dosage is increased, and that it can occur even at recommended dosages.

Hyperalgesia and Allodynia

Advise patients to inform their healthcare provider if they experience symptoms of hyperalgesia, including worsening pain, increased sensitivity to pain, or new pain [see Warnings and Precautions (5.7); Adverse Reactions (6)].

Serotonin Syndrome

Inform patients that opioids could cause a rare but potentially life-threatening condition called serotonin syndrome resulting from concomitant administration of serotonergic drugs. Warn patients of the symptoms of serotonin syndrome and to seek medical attention right away if symptoms develop after discharge from the hospital. Instruct patients to inform their healthcare provider if they are taking, or plan to take serotonergic medications [see Warnings and Precautions (5.8), Drug Interactions (7)].

Constipation

Advise patients of the potential for severe constipation, including management instructions and when to seek medical attention [see Clinical Pharmacology (12.2)].

16 How Supplied/storage and Handling (16 HOW SUPPLIED/STORAGE AND HANDLING)

Fentanyl Citrate Injection, equivalent to 50 mcg fentanyl base per mL, is a preservative-free solution, supplied as follows:

NDC 0641-6289-25            2 mL Single Dose vials packaged in 25s

For Intravenous Use by Hospital Personnel Specifically Trained in the Use of Narcotic Analgesics:

NDC 0641-6290-01            20 mL Single Dose vials packaged individually

PROTECT FROM LIGHT. Keep covered in carton until time of use. Store at 20˚C to 25˚C (68˚F to 77˚F), excursions permitted to 15˚C to 30˚C (59˚F to 86˚F) [See USP Controlled Room Temperature]. Contains no preservative. DISCARD UNUSED PORTION.

Parenteral drug products should be inspected visually for particulate matter and discoloration prior to administration, whenever solution and container permit.

To report SUSPECTED ADVERSE REACTIONS, contact Hikma Pharmaceuticals USA Inc. at 1-877-845-0689, or the FDA at 1-800-FDA-1088 or www.fda.gov/medwatch.

For Product Inquiry call 1-877-845-0689.

5.6 Severe Cardiovascular Depression

Fentanyl Citrate Injection may cause severe bradycardia, severe hypotension including orthostatic hypotension, and syncope. There is increased risk in patients whose ability to maintain blood pressure has already been compromised by a reduced blood volume or concurrent administration of certain CNS depressant drugs (e.g., phenothiazines or general anesthetics) [see Drug Interactions (7)]. In patients with circulatory shock, Fentanyl Citrate Injection may cause vasodilation that can further reduce cardiac output and blood pressure. Monitor these patients for signs of hypotension after initiating or titrating the dosage of Fentanyl Citrate Injection.

5.2 Life Threatening Respiratory Depression (5.2 Life-Threatening Respiratory Depression)

Serious, life-threatening, or fatal respiratory depression has been reported with the use of opioids, even when used as recommended. Respiratory depression, if not immediately recognized and treated, may lead to respiratory arrest and death. Adequate facilities should be available for postoperative monitoring and ventilation of patients administered anesthetic doses of Fentanyl Citrate Injection. It is essential that these facilities be fully equipped to handle all degrees of respiratory depression. Management of respiratory depression may include close observation, supportive measures, and use of opioid overdose reversal agents (e.g., naloxone, nalmefene), depending on the patient’s clinical status [see Overdosage (10)]. Carbon dioxide (CO2) retention from opioid-induced respiratory depression can exacerbate the sedating effects of opioids.

To reduce the risk of respiratory depression, proper dosing and titration of Fentanyl Citrate Injection are essential. As with other potent opioids, the respiratory depressant effect of Fentanyl Citrate Injection may persist longer than the measured analgesic effect. The total dose of all opioid agonists administered should be considered by the practitioner before ordering opioid analgesics during recovery from anesthesia.

Certain forms of conduction anesthesia, such as spinal anesthesia and some peridural anesthetics can alter respiration by blocking intercostal nerves. Through other mechanisms [see Clinical Pharmacology (12.2)] Fentanyl Citrate Injection can also alter respiration. Therefore, when Fentanyl Citrate Injection is used to supplement these forms of anesthesia, the anesthetist should be familiar with the physiological alterations involved and be prepared to manage them in the patients selected for these forms of anesthesia.

Patients with significant chronic obstructive pulmonary disease or cor pulmonale, and those with a substantially decreased respiratory reserve, hypoxia, hypercapnia, or pre-existing respiratory depression are at increased risk of decreased respiratory drive including apnea, even at recommended dosages of Fentanyl Citrate Injection. Elderly, cachectic, or debilitated patients may have altered pharmacokinetics or altered clearance compared to younger, healthier patients resulting in greater risk for respiratory depression.

Monitor such patients closely including vital signs, particularly when initiating and titrating Fentanyl Citrate Injection and when Fentanyl Citrate Injection is given concomitantly with other drugs that depress respiration. To reduce the risk of respiratory depression, proper dosing and titration of Fentanyl Citrate Injection are essential [see Dosage and Administration (2.1)].

Opioids can cause sleep-related breathing disorders including central sleep apnea (CSA) and sleep-related hypoxemia. Opioid use increases the risk of CSA in a dose-dependent fashion. In patients who present with CSA, consider decreasing the opioid dosage using best practices for opioid taper [see Dosage and Administration (2.1)].

5.13 Risk of Driving and Operating Machinery

Fentanyl Citrate Injection may impair the mental or physical abilities needed to perform potentially hazardous activities such as driving a car or operating machinery after Fentanyl Citrate Injection administration. Warn patients not to drive or operate dangerous machinery unless they are tolerant to the effects of Fentanyl Citrate Injection and know how they will react to the medication.

5.11 risks of Gastrointestinal Complications (5.11 Risks of Gastrointestinal Complications)

Fentanyl may cause spasm of the sphincter of Oddi. Opioids may cause increases in serum amylase. Monitor patients with biliary tract disease, including acute pancreatitis, for worsening symptoms.

Cases of opioid-induced esophageal dysfunction (OIED) have been reported in patients taking opioids. The risk of OIED may increase as the dose and/or duration of opioids increases. Regularly evaluate patients for signs and symptoms of OIED (e.g., dysphagia, regurgitation, non-cardiac chest pain) and, if necessary, adjust opioid therapy as clinically appropriate [see Clinical Pharmacology (12.2)].

5.7 Opioid Induced Hyperalgesia and Allodynia (5.7 Opioid-Induced Hyperalgesia and Allodynia)

Opioid-Induced Hyperalgesia (OIH) occurs when an opioid analgesic paradoxically causes an increase in pain, or an increase in sensitivity to pain. This condition differs from tolerance, which is the need for increasing doses of opioids to maintain a defined effect [see Dependence (9.3)]. Symptoms of OIH include (but may not be limited to) increased levels of pain upon opioid dosage increase, decreased levels of pain upon opioid dosage decrease, or pain from ordinarily non-painful stimuli (allodynia). These symptoms may suggest OIH only if there is no evidence of underlying disease progression, opioid tolerance, opioid withdrawal, or addictive behavior.

Cases of OIH have been reported, both with short-term and longer-term use of opioid analgesics. Though the mechanism of OIH is not fully understood, multiple biochemical pathways have been implicated. Medical literature suggests a strong biological plausibility between opioid analgesics and OIH and allodynia. If a patient is suspected to be experiencing OIH, carefully consider appropriately decreasing the dose of the current opioid analgesic or opioid rotation (safely switching the patient to a different opioid moiety) [see Dosage and Administration (2)].

8.3 Females and Males of Reproductive Potential

Infertility

Use of opioids for an extended period of time may cause reduced fertility in females and males of reproductive potential. It is not known whether these effects on fertility are reversible [see Adverse Reactions (6), Clinical Pharmacology (12.2), Nonclinical Toxicology (13.1)].

2.1 Important Dosage and Administration Instructions

Fentanyl Citrate Injection should be administered only by persons specifically trained in the use of intravenous anesthetics and management of the respiratory effects of potent opioids.

  • Ensure that an opioid overdose reversal agent (e.g., naloxone, nalmefene), resuscitative and intubation equipment, and oxygen are readily available.
  • Individualize dosage based on factors such as age, body weight, physical status, underlying pathological condition, use of other drugs, type of anesthesia to be used, and the surgical procedure involved.
  • Monitor vital signs routinely.

As with other potent opioids, the respiratory depressant effect of fentanyl may persist longer than the measured analgesic effect. The total dose of all opioid agonists administered should be considered by the practitioner before ordering opioid analgesics during recovery from anesthesia.

If Fentanyl Citrate Injection is administered with a CNS depressant, become familiar with the properties of each drug, particularly each product’s duration of action. In addition, when such a combination is used, fluids and other countermeasures to manage hypotension should be available [see Warnings and Precautions (5.4)].



Inspect parenteral drug products visually for particulate matter and discoloration prior to administration, whenever solution and container permit.

5.14 Risks Due to Interaction With Neuroleptic Agents (5.14 Risks due to Interaction with Neuroleptic Agents)

Many neuroleptic agents have been associated with QT prolongation, torsades de pointes, and cardiac arrest. Administer neuroleptic agents with extreme caution in the presence of risk factors for development of prolonged QT syndrome and torsades de pointes, such as: 1) clinically significant bradycardia (less than 50 bpm), 2) any clinically significant cardiac disease, including baseline prolonged QT interval, 3) treatment with Class I and Class III antiarrhythmics, 4) treatment with monoamine oxidase inhibitors (MAOI’s), 5) concomitant treatment with other drug products known to prolong the QT interval and 6) electrolyte imbalance, in particular hypokalemia and hypomagnesemia, or concomitant treatment with drugs (e.g., diuretics) that may cause electrolyte imbalance.

Elevated blood pressure, with and without pre-existing hypertension, has been reported following administration of Fentanyl Citrate Injection combined with a neuroleptic. This might be due to unexplained alterations in sympathetic activity following large doses; however, it is also frequently attributed to anesthetic and surgical stimulation during light anesthesia.

ECG monitoring is indicated when a neuroleptic agent is used in conjunction with Fentanyl Citrate Injection as an anesthetic premedication, for the induction of anesthesia, or as an adjunct in the maintenance of general or regional anesthesia.



When Fentanyl Citrate Injection is used with a neuroleptic and an EEG is used for postoperative monitoring, the EEG pattern may return to normal slowly.

13.1 Carcinogenesis, Mutagenesis, Impairment of Fertility

Carcinogenesis

Long-term studies in animals to evaluate the carcinogenic potential of fentanyl citrate have not been conducted.

Mutagenesis

No formal studies to assess the mutagenic potential of fentanyl citrate have been conducted.

Impairment of Fertility

Decreased pregnancy rates occurred in a multigenerational study in which pregnant rats were treated subcutaneously during the first 21 days of pregnancy with 160 mcg/kg to 1250 mcg/kg fentanyl (0.26 times to 2.0 times a human dose of 100 mcg/kg based on body surface area).

Studies in animals to characterize the effect of fentanyl on male fertility have not been conducted.

5.5 Risks of Muscle Rigidity and Skeletal Muscle Movement

Fentanyl Citrate Injection may cause muscle rigidity, particularly involving the muscles of respiration. The incidence and severity of muscle rigidity is dose related. These effects are related to the dose and speed of injection. Skeletal muscle rigidity also has been reported to occur or recur infrequently in the extended postoperative period usually following high dose administration. In addition, skeletal muscle movements of various groups in the extremities, neck, and external eye have been reported during induction of anesthesia with Fentanyl Citrate Injection; these reported movements have, on rare occasions, been strong enough to pose patient management problems.

These effects are related to the dose and speed of injection and its incidence can be reduced by: 1) administration of up to 1/4 of the full paralyzing dose of a non-depolarizing neuromuscular blocking agent just prior to administration of Fentanyl Citrate Injection; 2) administration of a full paralyzing dose of a neuromuscular blocking agent following loss of eyelash reflex when Fentanyl Citrate Injection is used in anesthetic doses titrated by slow intravenous infusion; or, 3) simultaneous administration of Fentanyl Citrate Injection and a full paralyzing dose of a neuromuscular blocking agent when Fentanyl Citrate Injection is used in rapidly administered anesthetic dosages. The neuromuscular blocking agent used should be compatible with the patient’s cardiovascular status.

5.8 Serotonin Syndrome With Concomitant Use of Serotonergic Drugs (5.8 Serotonin Syndrome with Concomitant Use of Serotonergic Drugs)

Cases of serotonin syndrome, a potentially life-threatening condition, have been reported during concomitant use of fentanyl with serotonergic drugs. Serotonergic drugs include selective serotonin reuptake inhibitors (SSRIs), serotonin and norepinephrine reuptake inhibitors (SNRIs), tricyclic antidepressants (TCAs), triptans, 5-HT3 receptor antagonists, drugs that affect the serotonergic neurotransmitter system (e.g., mirtazapine, trazadone, tramadol), certain muscle relaxants (i.e., cyclobenzaprine, metaxalone), and drugs that impair metabolism of serotonin (including MAO inhibitors, both those intended to treat psychiatric disorders and also others, such as linezolid and

intravenous methylene blue) [see Drug Interactions (7)]. This may occur within the recommended dosage range.

Serotonin syndrome symptoms may include mental status changes (e.g., agitation, hallucinations, coma), autonomic instability (e.g., tachycardia, labile blood pressure, hyperthermia), neuromuscular aberrations (e.g., hyperreflexia, incoordination, rigidity), and/or gastrointestinal symptoms (e.g., nausea, vomiting, diarrhea) and can be fatal. The onset of symptoms generally occurs within several hours to a few days of concomitant use but may occur later than that. Discontinue Fentanyl Citrate Injection if serotonin syndrome is suspected.

5.12 Increased Risks of Seizures in Patients With Seizure Disorders (5.12 Increased Risks of Seizures in Patients with Seizure Disorders)

Fentanyl may increase the frequency of seizures in patients with seizure disorders and may increase the risk of seizures occurring in other clinical setting associated with seizures. Monitor patients with a history of seizure disorders for worsened seizure control during Fentanyl Citrate Injection therapy.

5.3 Risks From Concomitant Use With Benzodiazepines Or Other Cns Depressants (5.3 Risks from Concomitant Use with Benzodiazepines or Other CNS Depressants)

When benzodiazepines or other CNS depressants are used with Fentanyl Citrate Injection, pulmonary arterial pressure may be decreased. This fact should be considered by those who conduct diagnostic and surgical procedures where interpretation of pulmonary arterial pressure measurements might determine final management of the patient. When high dose or anesthetic dosages of Fentanyl Citrate Injection are employed, even relatively small dosages of diazepam may cause cardiovascular depression.

When Fentanyl Citrate Injection is used with CNS depressants, hypotension can occur. If it occurs, consider the possibility of hypovolemia and manage with appropriate parenteral fluid therapy. When operative conditions permit, consider repositioning the patient to improve venous return to the heart. Exercise care in moving and repositioning of patients because of the possibility of orthostatic hypotension. If volume expansion with fluids plus other countermeasures do not correct hypotension, consider administration of pressor agents other than epinephrine. 

Epinephrine may paradoxically decrease blood pressure in patients treated with a neuroleptic that blocks alpha adrenergic activity.

Profound sedation, respiratory depression, coma, and death may result from the concomitant use of Fentanyl Citrate Injection with benzodiazepines and/or other CNS depressants, including alcohol (e.g., non-benzodiazepine sedatives/hypnotics, anxiolytics, tranquilizers, muscle relaxants, general anesthetics, antipsychotics, gabapentinoids [gabapentin or pregabalin], and other opioids).

Observational studies have demonstrated that concomitant use of opioid analgesics and benzodiazepines increases the risk of drug-related mortality compared to use of opioid analgesics alone. Because of similar pharmacological properties, it is reasonable to expect similar risk with the concomitant use of other CNS depressant drugs with opioid analgesics [see Drug Interactions (7)].

If the decision is made to manage postoperative pain with Fentanyl Citrate Injection concomitantly with a benzodiazepine or other CNS depressant, start dosing with the lowest effective dosage and titrate based on clinical response. Monitor patients closely for signs and symptoms of respiratory depression, sedation, and hypotension. Fluids or other measures to counter hypotension should be available [see Drug Interactions (7)].

Warning: Serious and Life Threatening Risks From Use of Fentanyl Citrate Injection (WARNING: SERIOUS AND LIFE-THREATENING RISKS FROM USE OF FENTANYL CITRATE INJECTION)

Addiction, Abuse, and Misuse

Because the use of Fentanyl Citrate Injection exposes patients and other users to the risks of opioid addiction, abuse and misuse, which can lead to overdose and death, assess each patient’s risk prior to prescribing and reassess all patients regularly for the development of these behaviors and conditions [see Warnings and Precautions (5.1)].



Life-Threatening Respiratory Depression

Serious, life-threatening, or fatal respiratory depression may occur with use of Fentanyl Citrate Injection, especially during initiation or following a dosage increase. To reduce the risk of respiratory depression, proper dosing and titration of Fentanyl Citrate Injection are essential [see Warnings and Precautions (5.2)].



Risks From Concomitant Use With Benzodiazepines Or Other CNS Depressants

Concomitant use of opioids with benzodiazepines or other central nervous system (CNS) depressants, including alcohol, may result in profound sedation, respiratory depression, coma, and death. Reserve concomitant prescribing of Fentanyl Citrate Injection and benzodiazepines or other CNS depressants for use in patients for whom alternative treatment options are inadequate [see Warnings and Precautions (5.4), Drug Interactions (7)].



Cytochrome P450 3A4 Interaction

The concomitant use of Fentanyl Citrate Injection with all cytochrome P450 3A4 inhibitors may result in an increase in fentanyl plasma concentrations, which could increase or prolong adverse reactions and may cause potentially fatal respiratory depression. In addition, discontinuation of a concomitantly used cytochrome P450 3A4 inducer may result in an increase in fentanyl plasma concentration. Monitor patients receiving Fentanyl Citrate Injection and any CYP3A4 inhibitor or inducer [see Warnings and Precautions (5.3), Drug Interactions (7), Clinical Pharmacology (12.3)]

5.4 Risks of Concomitant Use Or Discontinuation of Cytochrome P450 3a4 Inhibitors and Inducers (5.4 Risks of Concomitant Use or Discontinuation of Cytochrome P450 3A4 Inhibitors and Inducers)

Concomitant use of Fentanyl Citrate Injection with a CYP3A4 inhibitor, such as macrolide antibiotics (e.g., erythromycin), azole-antifungal agents (e.g., ketoconazole), and protease inhibitors (e.g., ritonavir), may increase plasma concentrations of fentanyl and prolong opioid adverse reactions, which may exacerbate respiratory depression [see Warnings and Precautions (5.2)], particularly when an inhibitor is added after a stable dose of Fentanyl Citrate Injection is achieved. Similarly, discontinuation of a CYP3A4 inducer, such as rifampin, carbamazepine, and phenytoin, in Fentanyl Citrate Injection-treated patients may increase fentanyl plasma concentrations and prolong opioid adverse reactions. When using Fentanyl Citrate Injection with CYP3A4 inhibitors or discontinuing CYP3A4 inducers in Fentanyl Citrate Injection-treated patients, monitor patients closely at frequent intervals and consider dosage reduction of Fentanyl Citrate Injection [see Dosage and Administration (2.1), Drug Interactions (7)].

Concomitant use of Fentanyl Citrate Injection with CYP3A4 inducers or discontinuation of a CYP3A4 inhibitor, could result in lower than expected fentanyl plasma concentrations, decreased efficacy, or, possibly, lead to a withdrawal syndrome in a patient who had developed physical dependence to fentanyl. When using Fentanyl Citrate Injection with CYP3A4 inducers, or discontinuation of a CYP3A4 inhibitor, monitor patients closely at frequent intervals and consider increasing the Fentanyl Citrate Injection dosage [see Dosage and Administration (2.1), Drug Interactions (7)].

5.10 Risks of Use in Patients With Increased Intracranial Pressure, Brain Tumors, Or Head Injury (5.10 Risks of Use in Patients with Increased Intracranial Pressure, Brain Tumors, or Head Injury)

In patients who may be susceptible to the intracranial effects of CO2 retention (e.g., those with evidence of increased intracranial pressure or brain tumors), Fentanyl Citrate Injection may reduce respiratory drive, and the resultant CO2 retention can further increase intracranial pressure. Monitor such patients for signs of increasing intracranial pressure. Monitor such patients closely, particularly when initiating and titrating Fentanyl Citrate Injection and when Fentanyl Citrate Injection is given concomitantly with other drugs that depress respiration [see Warnings and Precautions (5.2), Drug Interactions (7)].

Opioids may also obscure the clinical course in a patient with a head injury. 


Advanced Ingredient Data


Raw Label Data

All Sections (JSON)