Budesonide Capsules. These Highlights Do Not Include All The Information Needed To Use Budesonide Capsules (enteric Coated) Safely And Effectively. See Full Prescribing Information For Budesonide Capsules (enteric Coated).

Budesonide Capsules. These Highlights Do Not Include All The Information Needed To Use Budesonide Capsules (enteric Coated) Safely And Effectively. See Full Prescribing Information For Budesonide Capsules (enteric Coated).
SPL v4
SPL
SPL Set ID c5d97b04-e206-4325-e053-2a95a90ab610
Route
ORAL
Published
Effective Date 2019-10-15
Document Type 34391-3 HUMAN PRESCRIPTION DRUG LABEL

Drug Facts

Composition & Product

Active Ingredients
Budesonide (3 mg)
Inactive Ingredients
Acetyltributyl Citrate Ethylcellulose (10 Mpa.s) Hypromellose, Unspecified Methacrylic Acid And Ethyl Acrylate Copolymer Polyethylene Glycol, Unspecified Polysorbate 80 Sodium Lauryl Sulfate Sucrose Starch, Corn Talc Triethyl Citrate Gelatin, Unspecified D&c Red No. 28 D&c Red No. 33 Titanium Dioxide Ferrosoferric Oxide D&c Yellow No. 10 Fd&c Blue No. 1 Fd&c Blue No. 2 Fd&c Red No. 40 Propylene Glycol Shellac

Identifiers & Packaging

Pill Appearance
Imprint: m580 Shape: capsule Color: pink Color: white Size: 19 mm Score: 1
Marketing Status
ANDA Active Since 2016-04-08

Description

Budesonide capsules (enteric coated) are a corticosteroid indicated for: Treatment of mild to moderate active Crohn's disease involving the ileum and/or the ascending colon, in patients 8 years and older. ( 1.1 ) Maintenance of clinical remission of mild to moderate Crohn's disease involving the ileum and/or the ascending colon for up to 3 months in adults. ( 1.2 )

Indications and Usage

Budesonide capsules (enteric coated) are a corticosteroid indicated for: Treatment of mild to moderate active Crohn's disease involving the ileum and/or the ascending colon, in patients 8 years and older. ( 1.1 ) Maintenance of clinical remission of mild to moderate Crohn's disease involving the ileum and/or the ascending colon for up to 3 months in adults. ( 1.2 )

Dosage and Administration

Administration Instructions ( 2.1 ): Take once daily in the morning. Swallow whole. Do not chew or crush. Avoid consumption of grapefruit juice for the duration of therapy. Recommended Dosage: Mild to moderate active Crohn's disease ( 2.2 ): Adults: 9 mg once daily for up to 8 weeks; repeat 8 week treatment courses for recurring episodes of active disease. Pediatrics: 8 to 17 years who weigh more than 25 kg: 9 mg once daily for up to 8 weeks, followed by 6 mg once daily in the morning for 2 weeks. Maintenance of clinical remission of mild to moderate Crohn's disease ( 2.3 ): Adults: 6 mg once daily for up to 3 months; taper to complete cessation after 3 months. Continued treatment for more than 3 months has not been shown to provide substantial clinical benefit. When switching from oral prednisolone, begin tapering prednisolone concomitantly with initiating budesonide capsules (enteric coated). Hepatic Impairment: Consider reducing the dosage to 3 mg once daily in adult patients with moderate hepatic impairment (Child-Pugh Class B). ( 2.4 , 5.1 , 8.6 )

Warnings and Precautions

Hypercorticism and Adrenal Axis Suppression : Follow general warnings concerning corticosteroids; pediatrics and patients with hepatic impairment may be at increased risk ( 2.4 , 5.1 , 8.4 , 8.6 ) Symptoms of Steroid Withdrawal in Patients Transferred from Other Systemic Corticosteroids: Taper slowly from corticosteroids with high systemic effects; monitor for withdrawal symptoms and unmasking of allergies (rhinitis, eczema). ( 5.2 ) Increased Risk of Infection, including Serious and Fatal Chicken Pox and Measles:  Monitor patients with active or quiescent tuberculosis infection, untreated fungal, bacterial, systemic viral or parasitic infections, or ocular herpes simplex. ( 5.3 ) Other Corticosteroid Effects: Monitor patients with concomitant conditions where corticosteroids may have unwanted effects (e.g., hypertension, diabetes mellitus). ( 5.4 )

Contraindications

Budesonide capsules (enteric coated) are contraindicated in patients with hypersensitivity to budesonide or any of the ingredients of budesonide capsules (enteric coated). Serious hypersensitivity reactions, including anaphylaxis have occurred [see Adverse Reactions (6.2) ] .

Adverse Reactions

The following clinically significant adverse reactions are described elsewhere in labeling: Hypercorticism and adrenal axis suppression [see Warnings and Precautions (5.1) ] Symptoms of steroid withdrawal in those patients transferred from other systemic corticosteroids [see Warnings and Precautions (5.2) ] Increased risk of infection [see Warnings and Precautions (5.3) ] Other corticosteroid effects [see Warnings and Precautions (5.4) ]

Drug Interactions

CYP3A4 Inhibitors (e.g., ketoconazole, grapefruit juice) : Can increase systemic budesonide concentrations: avoid use. ( 2.1 , 7.1 )

Storage and Handling

Budesonide extended-release capsules (enteric coated) are size #1 hard gelatin capsules with a pink opaque cap and a white opaque body printed with "m580" on the cap in black ink containing 3 mg of budesonide, USP. Capsules are supplied as follows: NDC 51407-128-01 Bottles of 100

How Supplied

Budesonide extended-release capsules (enteric coated) are size #1 hard gelatin capsules with a pink opaque cap and a white opaque body printed with "m580" on the cap in black ink containing 3 mg of budesonide, USP. Capsules are supplied as follows: NDC 51407-128-01 Bottles of 100

Patient Information

Budesonide (bue-des-oh-nide) extended-release Capsules (Enteric Coated) Rx Only Read this Patient Information before you start taking budesonide capsules (enteric coated) and each time you get a refill. There may be new information. This information does not take the place of talking with your healthcare provider about your medical condition or your treatment. What are budesonide capsules (enteric coated)? Budesonide capsules (enteric coated) are a prescription corticosteroid medicine used to treat mild to moderate Crohn's disease that affects part of the small intestine (ileum) and part of the large intestine (ascending colon): in people 8 years of age and older with active Crohn's disease in adults to help keep symptoms from coming back for up to 3 months. It is not known if budesonide capsules (enteric coated) are safe and effective in children under 8 years of age, or in children 8 to 17 years of age who weigh 55 pounds (25 kg) or less, for the treatment of mild to moderate active Crohn's disease that affects part of the small intestine (ileum) and part of the large intestine (ascending colon). It is not known if budesonide capsules (enteric coated) is safe and effective in children to help keep symptoms of mild to moderate Crohn's disease that affects part of the small intestine (ileum) and part of the large intestine (ascending colon) from coming back. Who should not take budesonide capsules (enteric coated)? Do not take budesonide capsules (enteric coated) if: you are allergic to budesonide or any of the ingredients in budesonide capsules (enteric coated). See the end of this leaflet for a complete list of ingredients in budesonide capsules (enteric coated). What should I tell my healthcare provider before taking budesonide capsules (enteric coated)? Before you take budesonide capsules (enteric coated) tell your healthcare provider if you: have liver problems. are planning to have surgery. have chicken pox or measles or have recently been near anyone with chicken pox or measles. have an infection. have diabetes or glaucoma or have a family history of diabetes or glaucoma. have cataracts. have or had tuberculosis. have high blood pressure (hypertension). have decreased bone mineral density (osteoporosis). have stomach ulcers. have any other medical condition. are pregnant or plan to become pregnant. Budesonide capsules (enteric coated) may harm your unborn baby. Talk to your healthcare provider about the possible risk to your unborn baby if you take budesonide capsules (enteric coated) when you are pregnant. Tell your healthcare provider right away if you become pregnant or think you may be pregnant during your treatment with budesonide capsules (enteric coated). are breastfeeding or plan to breastfeed. It is not known if budesonide capsules (enteric coated) passes into your breast milk or if it will affect your baby. Talk to your healthcare provider about the best way to feed your baby if you take budesonide capsules (enteric coated). Tell your healthcare provider about all the medicines you take, including prescription and over-the-counter medicines, vitamins, and herbal supplements. Budesonide capsules (enteric coated) and other medicines may affect each other causing side effects. How should I take budesonide capsules (enteric coated)? Take budesonide capsules (enteric coated) exactly as your healthcare provider tells you. Your healthcare provider will tell you how many budesonide capsules (enteric coated) to take. Your healthcare provider may change your dose if needed. Take budesonide capsules (enteric coated) 1 time each day in the morning. Take budesonide capsules (enteric coated) whole. Do not chew or crush budesonide capsules (enteric coated) before swallowing. If you take too much budesonide capsules (enteric coated) call your healthcare provider right away or go to the nearest hospital emergency room. What should I avoid while taking budesonide capsules (enteric coated)? Do not drink grapefruit juice during your treatment with budesonide capsules (enteric coated). Drinking grapefruit juice can increase the level of budesonide capsules (enteric coated) in your blood. What are the possible side effects of budesonide capsules (enteric coated)? Budesonide capsules (enteric coated) may cause serious side effects, including: Effects of having too much corticosteroid medicine in your blood (hypercorticism). Long-time use of budesonide capsules (enteric coated) can cause you to have too much corticosteroid medicine in your blood. Tell your healthcare provider if you have any of the following signs and symptoms of hypercorticism: acne bruise easily rounding of your face (moon face) ankle swelling thicker or more hair on your body and face a fatty pad or hump between your shoulders (buffalo hump) pink or purple stretch marks on the skin of your abdomen, thighs, breasts and arms Adrenal suppression. When budesonide capsules (enteric coated) are taken for a long period of time (chronic use), adrenal suppression can happen. This is a condition in which the adrenal glands do not make enough steroid hormones. Symptoms of adrenal suppression include: tiredness, weakness, nausea and vomiting and low blood pressure. Tell your healthcare provider if you are under stress or have any symptoms of adrenal suppression during treatment with budesonide capsules (enteric coated). Worsening of allergies. If you take certain other corticosteroid medicines to treat allergies, switching to budesonide capsules (enteric coated) may cause your allergies to come back. These allergies may include a skin condition called eczema or inflammation inside your nose (rhinitis). Tell your healthcare provider if any of your allergies become worse while taking budesonide capsules (enteric coated). Increased risk of infection. Budesonide capsules (enteric coated) weakens your immune system. Taking medicines that weaken your immune system makes you more likely to get infections. Avoid contact with people who have contagious diseases such as chicken pox or measles, while taking budesonide capsules (enteric coated). Tell your healthcare provider right away if you come in contact with anyone who has chicken pox or measles. Tell your healthcare provider about any signs or symptoms of infection during treatment with budesonide capsules (enteric coated), including: fever pain aches chills feeling tired nausea and vomiting The most common side effects of budesonide capsules (enteric coated) in adults include: headache infection in your air passages (respiratory infection) nausea back pain indigestion dizziness stomach area (abdominal) pain gas vomiting tiredness pain The most common side effects of budesonide capsules (enteric coated) in children 8 to 17 years of age, who weigh more than 55 pounds (25 kg), are similar to the most common side effects in adults. Tell your healthcare provider if you have any side effect that bothers you or that does not go away. These are not all the possible side effects of budesonide capsules (enteric coated). For more information, ask your healthcare provider or pharmacist. Call your doctor for medical advice about side effects. You may report side effects to FDA at 1-800-FDA-1088 or www.fda.gov/medwatch. You may also report side effects to Mayne Pharma at 1-844-825-8500. How should I store budesonide capsules (enteric coated)? Store budesonide capsules (enteric coated) at room temperature between 68°F to 77°F (20°C to 25°C). Keep budesonide capsules (enteric coated) in a tightly closed container. Keep budesonide capsules (enteric coated) and all medicines out of the reach of children. General information about the safe and effective use of budesonide capsules (enteric coated). Medicines are sometimes prescribed for purposes other than those listed in a Patient Information leaflet. Do not use budesonide capsules (enteric coated) for a condition for which it was not prescribed. Do not give budesonide capsules (enteric coated) to other people, even if they have the same symptoms you have. It may harm them. You can ask your healthcare provider or pharmacist for information about budesonide capsules (enteric coated) that is written for health professionals. What are the ingredients in budesonide capsules (enteric coated)? Active ingredient: budesonide Inactive ingredients: acetyltributyl citrate, ethylcellulose, hypromellose, methacrylic acid copolymer (type C powder), polyethylene glycol, polysorbate 80, sodium lauryl sulfate, sugar spheres (sucrose and corn starch), talc, and triethyl citrate. The capsule shell has the following inactive ingredients gelatin, D&C red #28, D&C red #33, and titanium dioxide. In addition, the black ink S-1-8114/S-1-8115 contains, black iron oxide, D&C yellow #10 aluminum lake, FD&C blue#1 brilliant blue FCF aluminum lake, FD&C blue #2 indigo carmine aluminum lake, FD&C red #40 allura red AC aluminum lake, propylene glycol, and shellac. Distributed by: Mayne Pharma Greenville, NC 27834 For more information contact Mayne Pharma at 1-844-825-8500. This Patient Information has been approved by the U.S. Food and Drug Administration. Rev 10/2019 Marketed by: GSMS, Inc. Camarillo, CA 93012 USA


Medication Information

Warnings and Precautions

Hypercorticism and Adrenal Axis Suppression : Follow general warnings concerning corticosteroids; pediatrics and patients with hepatic impairment may be at increased risk ( 2.4 , 5.1 , 8.4 , 8.6 ) Symptoms of Steroid Withdrawal in Patients Transferred from Other Systemic Corticosteroids: Taper slowly from corticosteroids with high systemic effects; monitor for withdrawal symptoms and unmasking of allergies (rhinitis, eczema). ( 5.2 ) Increased Risk of Infection, including Serious and Fatal Chicken Pox and Measles:  Monitor patients with active or quiescent tuberculosis infection, untreated fungal, bacterial, systemic viral or parasitic infections, or ocular herpes simplex. ( 5.3 ) Other Corticosteroid Effects: Monitor patients with concomitant conditions where corticosteroids may have unwanted effects (e.g., hypertension, diabetes mellitus). ( 5.4 )

Indications and Usage

Budesonide capsules (enteric coated) are a corticosteroid indicated for: Treatment of mild to moderate active Crohn's disease involving the ileum and/or the ascending colon, in patients 8 years and older. ( 1.1 ) Maintenance of clinical remission of mild to moderate Crohn's disease involving the ileum and/or the ascending colon for up to 3 months in adults. ( 1.2 )

Dosage and Administration

Administration Instructions ( 2.1 ): Take once daily in the morning. Swallow whole. Do not chew or crush. Avoid consumption of grapefruit juice for the duration of therapy. Recommended Dosage: Mild to moderate active Crohn's disease ( 2.2 ): Adults: 9 mg once daily for up to 8 weeks; repeat 8 week treatment courses for recurring episodes of active disease. Pediatrics: 8 to 17 years who weigh more than 25 kg: 9 mg once daily for up to 8 weeks, followed by 6 mg once daily in the morning for 2 weeks. Maintenance of clinical remission of mild to moderate Crohn's disease ( 2.3 ): Adults: 6 mg once daily for up to 3 months; taper to complete cessation after 3 months. Continued treatment for more than 3 months has not been shown to provide substantial clinical benefit. When switching from oral prednisolone, begin tapering prednisolone concomitantly with initiating budesonide capsules (enteric coated). Hepatic Impairment: Consider reducing the dosage to 3 mg once daily in adult patients with moderate hepatic impairment (Child-Pugh Class B). ( 2.4 , 5.1 , 8.6 )

Contraindications

Budesonide capsules (enteric coated) are contraindicated in patients with hypersensitivity to budesonide or any of the ingredients of budesonide capsules (enteric coated). Serious hypersensitivity reactions, including anaphylaxis have occurred [see Adverse Reactions (6.2) ] .

Adverse Reactions

The following clinically significant adverse reactions are described elsewhere in labeling: Hypercorticism and adrenal axis suppression [see Warnings and Precautions (5.1) ] Symptoms of steroid withdrawal in those patients transferred from other systemic corticosteroids [see Warnings and Precautions (5.2) ] Increased risk of infection [see Warnings and Precautions (5.3) ] Other corticosteroid effects [see Warnings and Precautions (5.4) ]

Drug Interactions

CYP3A4 Inhibitors (e.g., ketoconazole, grapefruit juice) : Can increase systemic budesonide concentrations: avoid use. ( 2.1 , 7.1 )

Storage and Handling

Budesonide extended-release capsules (enteric coated) are size #1 hard gelatin capsules with a pink opaque cap and a white opaque body printed with "m580" on the cap in black ink containing 3 mg of budesonide, USP. Capsules are supplied as follows: NDC 51407-128-01 Bottles of 100

How Supplied

Budesonide extended-release capsules (enteric coated) are size #1 hard gelatin capsules with a pink opaque cap and a white opaque body printed with "m580" on the cap in black ink containing 3 mg of budesonide, USP. Capsules are supplied as follows: NDC 51407-128-01 Bottles of 100

Patient Information

Budesonide (bue-des-oh-nide) extended-release Capsules (Enteric Coated)

Rx Only

Read this Patient Information before you start taking budesonide capsules (enteric coated) and each time you get a refill. There may be new information. This information does not take the place of talking with your healthcare provider about your medical condition or your treatment.

What are budesonide capsules (enteric coated)?

Budesonide capsules (enteric coated) are a prescription corticosteroid medicine used to treat mild to moderate Crohn's disease that affects part of the small intestine (ileum) and part of the large intestine (ascending colon):

  • in people 8 years of age and older with active Crohn's disease
  • in adults to help keep symptoms from coming back for up to 3 months.

It is not known if budesonide capsules (enteric coated) are safe and effective in children under 8 years of age, or in children 8 to 17 years of age who weigh 55 pounds (25 kg) or less, for the treatment of mild to moderate active Crohn's disease that affects part of the small intestine (ileum) and part of the large intestine (ascending colon).

It is not known if budesonide capsules (enteric coated) is safe and effective in children to help keep symptoms of mild to moderate Crohn's disease that affects part of the small intestine (ileum) and part of the large intestine (ascending colon) from coming back.

Who should not take budesonide capsules (enteric coated)?

Do not take budesonide capsules (enteric coated) if:

  • you are allergic to budesonide or any of the ingredients in budesonide capsules (enteric coated).



    See the end of this leaflet for a complete list of ingredients in budesonide capsules (enteric coated).

What should I tell my healthcare provider before taking budesonide capsules (enteric coated)?

Before you take budesonide capsules (enteric coated) tell your healthcare provider if you:

  • have liver problems.
  • are planning to have surgery.
  • have chicken pox or measles or have recently been near anyone with chicken pox or measles.
  • have an infection.
  • have diabetes or glaucoma or have a family history of diabetes or glaucoma.
  • have cataracts.
  • have or had tuberculosis.
  • have high blood pressure (hypertension).
  • have decreased bone mineral density (osteoporosis).
  • have stomach ulcers.
  • have any other medical condition.
  • are pregnant or plan to become pregnant. Budesonide capsules (enteric coated) may harm your unborn baby. Talk to your healthcare provider about the possible risk to your unborn baby if you take budesonide capsules (enteric coated) when you are pregnant. Tell your healthcare provider right away if you become pregnant or think you may be pregnant during your treatment with budesonide capsules (enteric coated).
  • are breastfeeding or plan to breastfeed. It is not known if budesonide capsules (enteric coated) passes into your breast milk or if it will affect your baby. Talk to your healthcare provider about the best way to feed your baby if you take budesonide capsules (enteric coated).

Tell your healthcare provider about all the medicines you take, including prescription and over-the-counter medicines, vitamins, and herbal supplements. Budesonide capsules (enteric coated) and other medicines may affect each other causing side effects.

How should I take budesonide capsules (enteric coated)?

  • Take budesonide capsules (enteric coated) exactly as your healthcare provider tells you.
  • Your healthcare provider will tell you how many budesonide capsules (enteric coated) to take.



    Your healthcare provider may change your dose if needed.
  • Take budesonide capsules (enteric coated) 1 time each day in the morning.
  • Take budesonide capsules (enteric coated) whole. Do not chew or crush budesonide capsules (enteric coated) before swallowing.
  • If you take too much budesonide capsules (enteric coated) call your healthcare provider right away or go to the nearest hospital emergency room.

What should I avoid while taking budesonide capsules (enteric coated)?

  • Do not drink grapefruit juice during your treatment with budesonide capsules (enteric coated).



    Drinking grapefruit juice can increase the level of budesonide capsules (enteric coated) in your blood.

What are the possible side effects of budesonide capsules (enteric coated)?

Budesonide capsules (enteric coated) may cause serious side effects, including:

  • Effects of having too much corticosteroid medicine in your blood (hypercorticism). Long-time use of budesonide capsules (enteric coated) can cause you to have too much corticosteroid medicine in your blood. Tell your healthcare provider if you have any of the following signs and symptoms of hypercorticism:
    • acne
    • bruise easily
    • rounding of your face (moon face)
    • ankle swelling
    • thicker or more hair on your body and face
    • a fatty pad or hump between your shoulders (buffalo hump)
    • pink or purple stretch marks on the skin of your abdomen, thighs, breasts and arms
  • Adrenal suppression. When budesonide capsules (enteric coated) are taken for a long period of time (chronic use), adrenal suppression can happen. This is a condition in which the adrenal glands do not make enough steroid hormones. Symptoms of adrenal suppression include: tiredness, weakness, nausea and vomiting and low blood pressure. Tell your healthcare provider if you are under stress or have any symptoms of adrenal suppression during treatment with budesonide capsules (enteric coated).
  • Worsening of allergies. If you take certain other corticosteroid medicines to treat allergies, switching to budesonide capsules (enteric coated) may cause your allergies to come back. These allergies may include a skin condition called eczema or inflammation inside your nose (rhinitis). Tell your healthcare provider if any of your allergies become worse while taking budesonide capsules (enteric coated).
  • Increased risk of infection. Budesonide capsules (enteric coated) weakens your immune system. Taking medicines that weaken your immune system makes you more likely to get infections. Avoid contact with people who have contagious diseases such as chicken pox or measles, while taking budesonide capsules (enteric coated). Tell your healthcare provider right away if you come in contact with anyone who has chicken pox or measles.

Tell your healthcare provider about any signs or symptoms of infection during treatment with budesonide capsules (enteric coated), including:

  • fever
  • pain
  • aches
  • chills
  • feeling tired
  • nausea and vomiting
  • The most common side effects of budesonide capsules (enteric coated) in adults include:
  • headache
  • infection in your air passages (respiratory infection)
  • nausea
  • back pain
  • indigestion
  • dizziness
  • stomach area (abdominal) pain
  • gas
  • vomiting
  • tiredness
  • pain

The most common side effects of budesonide capsules (enteric coated) in children 8 to 17 years of age, who weigh more than 55 pounds (25 kg), are similar to the most common side effects in adults.

Tell your healthcare provider if you have any side effect that bothers you or that does not go away.

These are not all the possible side effects of budesonide capsules (enteric coated). For more information, ask your healthcare provider or pharmacist.

Call your doctor for medical advice about side effects. You may report side effects to FDA at 1-800-FDA-1088 or www.fda.gov/medwatch. You may also report side effects to Mayne Pharma at 1-844-825-8500.

How should I store budesonide capsules (enteric coated)?

  • Store budesonide capsules (enteric coated) at room temperature between 68°F to 77°F (20°C to 25°C).
  • Keep budesonide capsules (enteric coated) in a tightly closed container.

Keep budesonide capsules (enteric coated) and all medicines out of the reach of children.

General information about the safe and effective use of budesonide capsules (enteric coated).

Medicines are sometimes prescribed for purposes other than those listed in a Patient Information leaflet. Do not use budesonide capsules (enteric coated) for a condition for which it was not prescribed. Do not give budesonide capsules (enteric coated) to other people, even if they have the same symptoms you have. It may harm them. You can ask your healthcare provider or pharmacist for information about budesonide capsules (enteric coated) that is written for health professionals.

What are the ingredients in budesonide capsules (enteric coated)?

Active ingredient: budesonide

Inactive ingredients: acetyltributyl citrate, ethylcellulose, hypromellose, methacrylic acid copolymer (type C powder), polyethylene glycol, polysorbate 80, sodium lauryl sulfate, sugar spheres (sucrose and corn starch), talc, and triethyl citrate. The capsule shell has the following inactive ingredients gelatin, D&C red #28, D&C red #33, and titanium dioxide. In addition, the black ink S-1-8114/S-1-8115 contains, black iron oxide, D&C yellow #10 aluminum lake, FD&C blue#1 brilliant blue FCF aluminum lake, FD&C blue #2 indigo carmine aluminum lake, FD&C red #40 allura red AC aluminum lake, propylene glycol, and shellac.

Distributed by:



Mayne Pharma



Greenville, NC 27834

For more information contact Mayne Pharma at 1-844-825-8500.

This Patient Information has been approved by the U.S. Food and Drug Administration.



Rev 10/2019

Marketed by:

GSMS, Inc.

Camarillo, CA 93012 USA

Description

Budesonide capsules (enteric coated) are a corticosteroid indicated for: Treatment of mild to moderate active Crohn's disease involving the ileum and/or the ascending colon, in patients 8 years and older. ( 1.1 ) Maintenance of clinical remission of mild to moderate Crohn's disease involving the ileum and/or the ascending colon for up to 3 months in adults. ( 1.2 )

Section 42229-5

Adults: 9 mg orally once daily for up to 8 weeks. Repeated 8 week courses of budesonide capsules (enteric coated) can be given for recurring episodes of active disease.

Section 44425-7

Store at 25°C (77°F); excursions permitted to 15°C to 30°C (59°F to 86°F) [See USP Controlled Room Temperature]. Keep container tightly closed.

10 Overdosage

Reports of acute toxicity and/or death following overdosage of glucocorticoids are rare. Treatment consists of immediate gastric lavage or emesis followed by supportive and symptomatic therapy.

If corticosteroids are used at excessive doses for prolonged periods, systemic corticosteroid effects such as hypercorticism and adrenal axis suppression may occur. For chronic overdosage in the face of severe disease requiring continuous steroid therapy, the dosage may be reduced temporarily.

Single oral doses of 200 and 400 mg/kg were lethal in female and male mice, respectively. The signs of acute toxicity were decreased motor activity, piloerection and generalized edema.

15 References

1. Best WR, Becktel JM, Singleton JW, Kern F: Development of a Crohn's Disease Activity Index, National Cooperative Crohn's Disease Study. Gastroenterology 1976; 70(3): 439-444.

11 Description

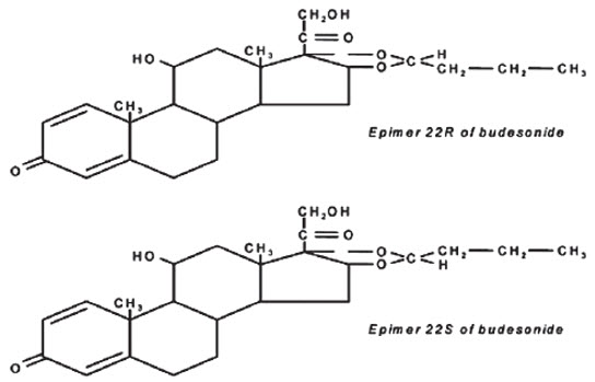
Budesonide, the active ingredient in budesonide extended-release capsules (enteric coated), is a synthetic corticosteroid. Budesonide is designated chemically as (RS)-11β, 16α, 17,21- tetrahydroxypregna-1,4-diene-3,20-dione cyclic 16,17-acetal with butyraldehyde. Budesonide is provided as a mixture of two epimers (22R and 22S). The empirical formula of budesonide is C 25H 34O 6 and its molecular weight is 430.5. Its structural formula is:

Budesonide is a white to off-white, tasteless, odorless powder that is practically insoluble in water and heptane, sparingly soluble in ethanol, and freely soluble in chloroform. Its partition coefficient between octanol and water at pH 5 is 1.6 × 10 3 ionic strength 0.01.

Budesonide capsules (enteric coated) is formulated as hard gelatin capsules filled with enteric-coated granules that dissolve at pH greater than 5.5. Each capsule for oral administration contains 3 mg of micronized budesonide with the following inactive ingredients: acetyltributyl citrate, ethylcellulose, hypromellose, methacrylic acid copolymer (type C powder), polyethylene glycol, polysorbate 80, sodium lauryl sulfate, sugar spheres (sucrose and corn starch), talc, and triethyl citrate. The capsule shells have the following inactive ingredients gelatin, D&C red #28, D&C red #33, and titanium dioxide. In addition, the black ink S-1-8114/S-1-8115 contains, black iron oxide, D&C yellow #10 aluminum lake, FD&C blue#1 brilliant blue FCF aluminum lake, FD&C blue #2 indigo carmine aluminum lake, FD&C red #40 allura red AC aluminum lake, propylene glycol, and shellac.

8.4 Pediatric Use

The safety and effectiveness of budesonide capsules (enteric coated) have been established in pediatric patients 8 to 17 years of age who weigh more than 25 kg for the treatment of mild to moderate active Crohn's disease involving the ileum and/or the ascending colon. Use of budesonide capsules (enteric coated) in this age group is supported by evidence from adequate and well controlled studies of budesonide capsules (enteric coated) in adults, with additional data from 2 clinical studies in 149 pediatric patients treated up to 8 weeks and one pharmacokinetic study in 8 pediatric patients [see Adverse Reactions (6.1), Clinical Pharmacology (12.3), and Clinical Studies (14.1)] .

The observed safety profile of budesonide capsules (enteric coated) in pediatric patients is consistent with its known safety profile in adults and no new safety concerns were identified [see Adverse Reactions (6.1)] .

Systemic corticosteroids, including budesonide capsules (enteric coated), may cause a reduction of growth velocity in pediatric patients. Pediatric patients with Crohn's disease have a 17% higher mean systemic exposure and cortisol suppression than adults with Crohn's disease [see Warning and Precautions (5.1) and Clinical Pharmacology (12.2)] .

The safety and effectiveness of budesonide capsules (enteric coated) have not been established in pediatric patients less than 8 years of age for the treatment of mild to moderate active Crohn's disease involving the ileum and/or the ascending colon.

The safety and effectiveness of budesonide capsules (enteric coated) have not been established in pediatric patients for the maintenance of clinical remission of mild to moderate Crohn's disease. An open-label study to evaluate the safety and tolerability of budesonide capsules (enteric coated) as maintenance treatment in pediatric patients aged 5 to 17 years was conducted, and did not establish the safety and efficacy of maintenance of clinical remission.

8.5 Geriatric Use

Clinical studies of budesonide capsules (enteric coated) did not include sufficient numbers of patients aged 65 and over to determine whether they respond differently from younger patients. Of the 651 patients treated with budesonide capsules (enteric coated) in clinical studies, 17 (3%) were greater than or equal to 65 years of age and none were greater than 74 years of age. Other reported clinical experience has not identified differences in responses between the elderly and younger patients. In general, dose selection for an elderly patient should be cautious, usually starting at the low end of the dosing range, reflecting the greater frequency of decreased hepatic, renal, or cardiac function, and of concomitant disease or other drug therapy.

4 Contraindications

Budesonide capsules (enteric coated) are contraindicated in patients with hypersensitivity to budesonide or any of the ingredients of budesonide capsules (enteric coated). Serious hypersensitivity reactions, including anaphylaxis have occurred [see Adverse Reactions (6.2)] .

6 Adverse Reactions

The following clinically significant adverse reactions are described elsewhere in labeling:

7 Drug Interactions

CYP3A4 Inhibitors (e.g., ketoconazole, grapefruit juice): Can increase systemic budesonide concentrations: avoid use. ( 2.1, 7.1)

12.2 Pharmacodynamics

Treatment with glucocorticoids, including budesonide capsules (enteric coated) is associated with a suppression of endogenous cortisol concentrations and an impairment of the hypothalamus-pituitary-adrenal (HPA) axis function. There was a positive correlation between the percent (%) reduction of AUC 0-24 of plasma cortisol and systemic exposure to budesonide both in pediatric and adult patients.

7.1 Cyp3a4 Inhibitors

Budesonide is a substrate for CYP3A4. Avoid use with CYP3A4 inhibitors. Concomitant oral administration of a strong CYP3A4 inhibitor (ketoconazole) caused an eight-fold increase of the systemic exposure to oral budesonide. Inhibitors of CYP3A4 (e.g. ketoconazole, itraconazole, ritonavir, indinavir, saquinavir, erythromycin, and cyclosporine) can increase systemic budesonide concentrations [see Clinical Pharmacology (12.3)] .

8.6 Hepatic Impairment

Patients with moderate to severe hepatic impairment (Child-Pugh Class B and C, respectively) could be at an increased risk of hypercorticism and adrenal axis suppression due to an increased systemic exposure to budesonide [see Warnings and Precautions (5.1) and Clinical Pharmacology (12.3)] . Avoid use in patients with severe hepatic impairment (Child-Pugh Class C). Monitor for increased signs and/or symptoms of hypercorticism and consider dosage reduction in patients with moderate hepatic impairment (Child-Pugh Class B) [see Dosage and Administration (2.4)] . No dosage adjustment is needed in patients with mild hepatic impairment (Child-Pugh Class A).

1 Indications and Usage

Budesonide capsules (enteric coated) are a corticosteroid indicated for:

  • Treatment of mild to moderate active Crohn's disease involving the ileum and/or the ascending colon, in patients 8 years and older. ( 1.1)
  • Maintenance of clinical remission of mild to moderate Crohn's disease involving the ileum and/or the ascending colon for up to 3 months in adults. ( 1.2)
12.1 Mechanism of Action

Budesonide is an anti-inflammatory corticosteroid and has a high glucocorticoid effect and a weak mineralocorticoid effect, and the affinity of budesonide to glucocorticoid receptors, which reflects the intrinsic potency of the drug, is about 200-fold that of cortisol and 15-fold that of prednisolone.

5 Warnings and Precautions
  • Hypercorticism and Adrenal Axis Suppression: Follow general warnings concerning corticosteroids; pediatrics and patients with hepatic impairment may be at increased risk ( 2.4, 5.1, 8.4, 8.6)
  • Symptoms of Steroid Withdrawal in Patients Transferred from Other Systemic Corticosteroids: Taper slowly from corticosteroids with high systemic effects; monitor for withdrawal symptoms and unmasking of allergies (rhinitis, eczema). ( 5.2)
  • Increased Risk of Infection, including Serious and Fatal Chicken Pox and Measles: Monitor patients with active or quiescent tuberculosis infection, untreated fungal, bacterial, systemic viral or parasitic infections, or ocular herpes simplex. ( 5.3)
  • Other Corticosteroid Effects: Monitor patients with concomitant conditions where corticosteroids may have unwanted effects (e.g., hypertension, diabetes mellitus). ( 5.4)
2 Dosage and Administration

Administration Instructions ( 2.1 ):

  • Take once daily in the morning.
  • Swallow whole. Do not chew or crush.
  • Avoid consumption of grapefruit juice for the duration of therapy.

Recommended Dosage:

Mild to moderate active Crohn's disease ( 2.2):

  • Adults: 9 mg once daily for up to 8 weeks; repeat 8 week treatment courses for recurring episodes of active disease.
  • Pediatrics: 8 to 17 years who weigh more than 25 kg: 9 mg once daily for up to 8 weeks, followed by 6 mg once daily in the morning for 2 weeks.

Maintenance of clinical remission of mild to moderate Crohn's disease ( 2.3):

  • Adults: 6 mg once daily for up to 3 months; taper to complete cessation after 3 months. Continued treatment for more than 3 months has not been shown to provide substantial clinical benefit.
  • When switching from oral prednisolone, begin tapering prednisolone concomitantly with initiating budesonide capsules (enteric coated).

Hepatic Impairment:

  • Consider reducing the dosage to 3 mg once daily in adult patients with moderate hepatic impairment (Child-Pugh Class B). ( 2.4, 5.1, 8.6)
3 Dosage Forms and Strengths

Budesonide extended-release capsules (enteric coated): 3 mg hard gelatin capsules with a pink opaque cap and white opaque body printed with "m580" on the cap in black ink.

6.2 Postmarketing Experience

The following adverse reactions have been reported during post-approval use of budesonide capsules (enteric coated). Because these reactions are reported voluntarily from a population of uncertain size, it is not always possible to reliably estimate their frequency or establish a causal relationship to drug exposure.

Immune System Disorders: Anaphylactic reactions

Nervous System Disorders: Benign intracranial hypertension

Psychiatric Disorders: Mood swings

8 Use in Specific Populations

Pregnancy: Based on animal data, may cause fetal harm. ( 8.1)

6.1 Clinical Trials Experience

Because clinical trials are conducted under widely varying conditions, adverse reaction rates observed in the clinical trials of a drug cannot be directly compared to rates in the clinical trials of another drug and may not reflect the rates observed in practice.

2.1 Administration Instructions
  • Take budesonide capsules (enteric coated) once daily in the morning.
  • Swallow budesonide extended-release capsules (enteric coated) whole. Do not chew or crush.
  • Avoid consumption of grapefruit juice for the duration of budesonide capsules (enteric coated) therapy [see Drug Interactions (7.1)].
5.3 Increased Risk of Infection

Patients who are on drugs that suppress the immune system are more susceptible to infection than healthy individuals. Chicken pox and measles, for example, can have a more serious or even fatal course in susceptible patients or patients on immunosuppressant doses of corticosteroids. In patients who have not had these diseases, particular care should be taken to avoid exposure.

How the dose, route and duration of corticosteroid administration affect the risk of developing a disseminated infection is not known. The contribution of the underlying disease and/or prior corticosteroid treatment to the risk is also not known. If exposed, therapy with varicella zoster immune globulin (VZIG) or pooled intravenous immunoglobulin (IVIG), as appropriate, may be indicated. If exposed to measles, prophylaxis with pooled intramuscular immunoglobulin (IG) may be indicated. (See prescribing information for VZIG and IG.) If chicken pox develops, treatment with antiviral agents may be considered.

Corticosteroids should be used with caution, if at all, in patients with active or quiescent tuberculosis infection, untreated fungal, bacterial, systemic viral or parasitic infections, or ocular herpes simplex.

5.4 Other Corticosteroid Effects

Monitor patients with hypertension, diabetes mellitus, osteoporosis, peptic ulcer, glaucoma or cataracts, or with a family history of diabetes or glaucoma, or with any other condition where corticosteroids may have unwanted effects.

17 Patient Counseling Information

Advise Patients to read the FDA-Approved patient labeling (Patient Information).

16 How Supplied/storage and Handling

Budesonide extended-release capsules (enteric coated) are size #1 hard gelatin capsules with a pink opaque cap and a white opaque body printed with "m580" on the cap in black ink containing 3 mg of budesonide, USP. Capsules are supplied as follows:

NDC 51407-128-01 Bottles of 100
5.1 Hypercorticism and Adrenal Axis Suppression

When corticosteroids are used chronically, systemic effects such as hypercorticism and adrenal axis suppression may occur. Corticosteroids can reduce the response of the hypothalamus-pituitary-adrenal (HPA) axis to stress. In situations where patients are subject to surgery or other stress situations, supplementation with a systemic corticosteroid is recommended. Since budesonide capsules (enteric coated) contain a corticosteroid, general warnings concerning corticosteroids should be followed. [see Warnings and Precautions (5.2), (5.3), (5.4)].

Pediatric patients with Crohn's disease have a slightly higher systemic exposure of budesonide and increased cortisol suppression than adults with Crohn's disease [see Use in Specific Populations (8.4), Clinical Pharmacology (12.2)] . Patients with moderate to severe hepatic impairment (Child-Pugh Class B and C respectively) could be at an increased risk of hypercorticism and adrenal axis suppression due to an increased systemic exposure of oral budesonide. Avoid use in patients with severe hepatic impairment (Child-Pugh Class C). Monitor for increased signs and/or symptoms of hypercorticism and consider reducing the dosage in patients with moderate hepatic impairment (Child-Pugh Class B) [see Dosage and Administration (2.4), Use in Specific Populations (8.6), Clinical Pharmacology (12.3)] .

Principal Display Panel 3 Mg Capsule Bottle Label

NDC 51407-128-01

Budesonide



Capsules



(Enteric Coated)

3 mg

PHARMACIST: Dispense the accompanying



Patient Information leaflet to each patient.

Rx Only



100 Capsules

1.1 Treatment of Mild to Moderate Active Crohn's Disease

Budesonide capsules (enteric coated) are indicated for the treatment of mild to moderate active Crohn's disease involving the ileum and/or the ascending colon in patients 8 years of age and older.

2.2 Treatment of Mild to Moderate Active Crohn's Disease

The recommended dosage of budesonide capsules (enteric coated) is:

13.1 Carcinogenesis, Mutagenesis, Impairment of Fertility

Carcinogenicity studies with budesonide were conducted in rats and mice. In a two-year study in Sprague-Dawley rats, budesonide caused a statistically significant increase in the incidence of gliomas in male rats at an oral dose of 50 mcg/kg (approximately 0.05 times the maximum recommended human dose on a body surface area basis). In addition, there were increased incidences of primary hepatocellular tumors in male rats at 25 mcg/kg (approximately 0.023 times the maximum recommended human dose on a body surface area basis) and above. No tumorigenicity was seen in female rats at oral doses up to 50 mcg/kg (approximately 0.05 times the maximum recommended human dose on a body surface area basis). In an additional two-year study in male Sprague-Dawley rats, budesonide caused no gliomas at an oral dose of 50 mcg/kg (approximately 0.05 times the maximum recommended human dose on a body surface area basis). However, it caused a statistically significant increase in the incidence of hepatocellular tumors at an oral dose of 50 mcg/kg (approximately 0.05 times the maximum recommended human dose on a body surface area basis). The concurrent reference corticosteroids (prednisolone and triamcinolone acetonide) showed similar findings. In a 91-week study in mice, budesonide caused no treatment-related carcinogenicity at oral doses up to 200 mcg/kg (approximately 0.1 times the maximum recommended human dose on a body surface area basis).

Budesonide was not genotoxic in the Ames test, the mouse lymphoma cell forward gene mutation (TK+/-) test, the human lymphocyte chromosome aberration test, the Drosophila melanogaster sex-linked recessive lethality test, the rat hepatocyte UDS test and the mouse micronucleus test.

In rats, budesonide had no effect on fertility at subcutaneous doses up to 80 mcg/kg (approximately 0.07 times the maximum recommended human dose on a body surface area basis). However, it caused a decrease in prenatal viability and viability in pups at birth and during lactation, along with a decrease in maternal body-weight gain, at subcutaneous doses of 20 mcg/kg (approximately 0.02 times the maximum recommended human dose on a body surface area basis) and above. No such effects were noted at 5 mcg/kg (approximately 0.005 times the maximum recommended human dose on a body surface area basis).

2.4 Dosage Adjustment in Adult Patients With Hepatic Impairment

Consider reducing the dosage of budesonide capsules (enteric coated) to 3 mg once daily for adult patients with moderate hepatic impairment (Child-Pugh Class B). Avoid use in patients with severe hepatic impairment (Child-Pugh Class C) [see Warnings and Precautions (5.1), Use in Specific Populations (8.6)].

1.2 Maintenance of Clinical Remission of Mild to Moderate Crohn's Disease

Budesonide capsules (enteric coated) are indicated for the maintenance of clinical remission of mild to moderate Crohn's disease involving the ileum and/or the ascending colon for up to 3 months in adults.

2.3 Maintenance of Clinical Remission of Mild to Moderate Crohn's Disease

The recommended dosage in adults, following an 8 week course(s) of treatment for active disease and once the patient's symptoms are controlled (CDAI less than 150), is budesonide capsules (enteric coated) 6 mg orally once daily for maintenance of clinical remission up to 3 months. If symptom control is still maintained at 3 months an attempt to taper to complete cessation is recommended. Continued treatment with budesonide capsules (enteric coated) 6 mg for more than 3 months has not been shown to provide substantial clinical benefit.

Patients with mild to moderate active Crohn's disease involving the ileum and/or ascending colon have been switched from oral prednisolone to budesonide capsules (enteric coated) with no reported episodes of adrenal insufficiency. Since prednisolone should not be stopped abruptly, tapering should begin concomitantly with initiating budesonide capsules (enteric coated) treatment.

5.2 Symptoms of Steroid Withdrawal in Patients Transferred From Other Systemic Corticosteroids

Monitor patients who are transferred from corticosteroid treatment with high systemic effects to corticosteroids with lower systemic availability, such as budesonide capsules (enteric coated), since symptoms attributed to withdrawal of steroid therapy, including those of acute adrenal axis suppression or benign intracranial hypertension, may develop. Adrenocortical function monitoring may be required in these patients and the dose of corticosteroid treatment with high systemic effects should be reduced cautiously.

Replacement of systemic corticosteroids with budesonide capsules (enteric coated) may unmask allergies (e.g., rhinitis and eczema), which were previously controlled by the systemic drug.


Structured Label Content

Section 42229-5 (42229-5)

Adults: 9 mg orally once daily for up to 8 weeks. Repeated 8 week courses of budesonide capsules (enteric coated) can be given for recurring episodes of active disease.

Section 44425-7 (44425-7)

Store at 25°C (77°F); excursions permitted to 15°C to 30°C (59°F to 86°F) [See USP Controlled Room Temperature]. Keep container tightly closed.

10 Overdosage (10 OVERDOSAGE)

Reports of acute toxicity and/or death following overdosage of glucocorticoids are rare. Treatment consists of immediate gastric lavage or emesis followed by supportive and symptomatic therapy.

If corticosteroids are used at excessive doses for prolonged periods, systemic corticosteroid effects such as hypercorticism and adrenal axis suppression may occur. For chronic overdosage in the face of severe disease requiring continuous steroid therapy, the dosage may be reduced temporarily.

Single oral doses of 200 and 400 mg/kg were lethal in female and male mice, respectively. The signs of acute toxicity were decreased motor activity, piloerection and generalized edema.

15 References (15 REFERENCES)

1. Best WR, Becktel JM, Singleton JW, Kern F: Development of a Crohn's Disease Activity Index, National Cooperative Crohn's Disease Study. Gastroenterology 1976; 70(3): 439-444.

11 Description (11 DESCRIPTION)

Budesonide, the active ingredient in budesonide extended-release capsules (enteric coated), is a synthetic corticosteroid. Budesonide is designated chemically as (RS)-11β, 16α, 17,21- tetrahydroxypregna-1,4-diene-3,20-dione cyclic 16,17-acetal with butyraldehyde. Budesonide is provided as a mixture of two epimers (22R and 22S). The empirical formula of budesonide is C 25H 34O 6 and its molecular weight is 430.5. Its structural formula is:

Budesonide is a white to off-white, tasteless, odorless powder that is practically insoluble in water and heptane, sparingly soluble in ethanol, and freely soluble in chloroform. Its partition coefficient between octanol and water at pH 5 is 1.6 × 10 3 ionic strength 0.01.

Budesonide capsules (enteric coated) is formulated as hard gelatin capsules filled with enteric-coated granules that dissolve at pH greater than 5.5. Each capsule for oral administration contains 3 mg of micronized budesonide with the following inactive ingredients: acetyltributyl citrate, ethylcellulose, hypromellose, methacrylic acid copolymer (type C powder), polyethylene glycol, polysorbate 80, sodium lauryl sulfate, sugar spheres (sucrose and corn starch), talc, and triethyl citrate. The capsule shells have the following inactive ingredients gelatin, D&C red #28, D&C red #33, and titanium dioxide. In addition, the black ink S-1-8114/S-1-8115 contains, black iron oxide, D&C yellow #10 aluminum lake, FD&C blue#1 brilliant blue FCF aluminum lake, FD&C blue #2 indigo carmine aluminum lake, FD&C red #40 allura red AC aluminum lake, propylene glycol, and shellac.

8.4 Pediatric Use

The safety and effectiveness of budesonide capsules (enteric coated) have been established in pediatric patients 8 to 17 years of age who weigh more than 25 kg for the treatment of mild to moderate active Crohn's disease involving the ileum and/or the ascending colon. Use of budesonide capsules (enteric coated) in this age group is supported by evidence from adequate and well controlled studies of budesonide capsules (enteric coated) in adults, with additional data from 2 clinical studies in 149 pediatric patients treated up to 8 weeks and one pharmacokinetic study in 8 pediatric patients [see Adverse Reactions (6.1), Clinical Pharmacology (12.3), and Clinical Studies (14.1)] .

The observed safety profile of budesonide capsules (enteric coated) in pediatric patients is consistent with its known safety profile in adults and no new safety concerns were identified [see Adverse Reactions (6.1)] .

Systemic corticosteroids, including budesonide capsules (enteric coated), may cause a reduction of growth velocity in pediatric patients. Pediatric patients with Crohn's disease have a 17% higher mean systemic exposure and cortisol suppression than adults with Crohn's disease [see Warning and Precautions (5.1) and Clinical Pharmacology (12.2)] .

The safety and effectiveness of budesonide capsules (enteric coated) have not been established in pediatric patients less than 8 years of age for the treatment of mild to moderate active Crohn's disease involving the ileum and/or the ascending colon.

The safety and effectiveness of budesonide capsules (enteric coated) have not been established in pediatric patients for the maintenance of clinical remission of mild to moderate Crohn's disease. An open-label study to evaluate the safety and tolerability of budesonide capsules (enteric coated) as maintenance treatment in pediatric patients aged 5 to 17 years was conducted, and did not establish the safety and efficacy of maintenance of clinical remission.

8.5 Geriatric Use

Clinical studies of budesonide capsules (enteric coated) did not include sufficient numbers of patients aged 65 and over to determine whether they respond differently from younger patients. Of the 651 patients treated with budesonide capsules (enteric coated) in clinical studies, 17 (3%) were greater than or equal to 65 years of age and none were greater than 74 years of age. Other reported clinical experience has not identified differences in responses between the elderly and younger patients. In general, dose selection for an elderly patient should be cautious, usually starting at the low end of the dosing range, reflecting the greater frequency of decreased hepatic, renal, or cardiac function, and of concomitant disease or other drug therapy.

4 Contraindications (4 CONTRAINDICATIONS)

Budesonide capsules (enteric coated) are contraindicated in patients with hypersensitivity to budesonide or any of the ingredients of budesonide capsules (enteric coated). Serious hypersensitivity reactions, including anaphylaxis have occurred [see Adverse Reactions (6.2)] .

6 Adverse Reactions (6 ADVERSE REACTIONS)

The following clinically significant adverse reactions are described elsewhere in labeling:

7 Drug Interactions (7 DRUG INTERACTIONS)

CYP3A4 Inhibitors (e.g., ketoconazole, grapefruit juice): Can increase systemic budesonide concentrations: avoid use. ( 2.1, 7.1)

Patient Information (PATIENT INFORMATION)

Budesonide (bue-des-oh-nide) extended-release Capsules (Enteric Coated)

Rx Only

Read this Patient Information before you start taking budesonide capsules (enteric coated) and each time you get a refill. There may be new information. This information does not take the place of talking with your healthcare provider about your medical condition or your treatment.

What are budesonide capsules (enteric coated)?

Budesonide capsules (enteric coated) are a prescription corticosteroid medicine used to treat mild to moderate Crohn's disease that affects part of the small intestine (ileum) and part of the large intestine (ascending colon):

  • in people 8 years of age and older with active Crohn's disease
  • in adults to help keep symptoms from coming back for up to 3 months.

It is not known if budesonide capsules (enteric coated) are safe and effective in children under 8 years of age, or in children 8 to 17 years of age who weigh 55 pounds (25 kg) or less, for the treatment of mild to moderate active Crohn's disease that affects part of the small intestine (ileum) and part of the large intestine (ascending colon).

It is not known if budesonide capsules (enteric coated) is safe and effective in children to help keep symptoms of mild to moderate Crohn's disease that affects part of the small intestine (ileum) and part of the large intestine (ascending colon) from coming back.

Who should not take budesonide capsules (enteric coated)?

Do not take budesonide capsules (enteric coated) if:

  • you are allergic to budesonide or any of the ingredients in budesonide capsules (enteric coated).



    See the end of this leaflet for a complete list of ingredients in budesonide capsules (enteric coated).

What should I tell my healthcare provider before taking budesonide capsules (enteric coated)?

Before you take budesonide capsules (enteric coated) tell your healthcare provider if you:

  • have liver problems.
  • are planning to have surgery.
  • have chicken pox or measles or have recently been near anyone with chicken pox or measles.
  • have an infection.
  • have diabetes or glaucoma or have a family history of diabetes or glaucoma.
  • have cataracts.
  • have or had tuberculosis.
  • have high blood pressure (hypertension).
  • have decreased bone mineral density (osteoporosis).
  • have stomach ulcers.
  • have any other medical condition.
  • are pregnant or plan to become pregnant. Budesonide capsules (enteric coated) may harm your unborn baby. Talk to your healthcare provider about the possible risk to your unborn baby if you take budesonide capsules (enteric coated) when you are pregnant. Tell your healthcare provider right away if you become pregnant or think you may be pregnant during your treatment with budesonide capsules (enteric coated).
  • are breastfeeding or plan to breastfeed. It is not known if budesonide capsules (enteric coated) passes into your breast milk or if it will affect your baby. Talk to your healthcare provider about the best way to feed your baby if you take budesonide capsules (enteric coated).

Tell your healthcare provider about all the medicines you take, including prescription and over-the-counter medicines, vitamins, and herbal supplements. Budesonide capsules (enteric coated) and other medicines may affect each other causing side effects.

How should I take budesonide capsules (enteric coated)?

  • Take budesonide capsules (enteric coated) exactly as your healthcare provider tells you.
  • Your healthcare provider will tell you how many budesonide capsules (enteric coated) to take.



    Your healthcare provider may change your dose if needed.
  • Take budesonide capsules (enteric coated) 1 time each day in the morning.
  • Take budesonide capsules (enteric coated) whole. Do not chew or crush budesonide capsules (enteric coated) before swallowing.
  • If you take too much budesonide capsules (enteric coated) call your healthcare provider right away or go to the nearest hospital emergency room.

What should I avoid while taking budesonide capsules (enteric coated)?

  • Do not drink grapefruit juice during your treatment with budesonide capsules (enteric coated).



    Drinking grapefruit juice can increase the level of budesonide capsules (enteric coated) in your blood.

What are the possible side effects of budesonide capsules (enteric coated)?

Budesonide capsules (enteric coated) may cause serious side effects, including:

  • Effects of having too much corticosteroid medicine in your blood (hypercorticism). Long-time use of budesonide capsules (enteric coated) can cause you to have too much corticosteroid medicine in your blood. Tell your healthcare provider if you have any of the following signs and symptoms of hypercorticism:
    • acne
    • bruise easily
    • rounding of your face (moon face)
    • ankle swelling
    • thicker or more hair on your body and face
    • a fatty pad or hump between your shoulders (buffalo hump)
    • pink or purple stretch marks on the skin of your abdomen, thighs, breasts and arms
  • Adrenal suppression. When budesonide capsules (enteric coated) are taken for a long period of time (chronic use), adrenal suppression can happen. This is a condition in which the adrenal glands do not make enough steroid hormones. Symptoms of adrenal suppression include: tiredness, weakness, nausea and vomiting and low blood pressure. Tell your healthcare provider if you are under stress or have any symptoms of adrenal suppression during treatment with budesonide capsules (enteric coated).
  • Worsening of allergies. If you take certain other corticosteroid medicines to treat allergies, switching to budesonide capsules (enteric coated) may cause your allergies to come back. These allergies may include a skin condition called eczema or inflammation inside your nose (rhinitis). Tell your healthcare provider if any of your allergies become worse while taking budesonide capsules (enteric coated).
  • Increased risk of infection. Budesonide capsules (enteric coated) weakens your immune system. Taking medicines that weaken your immune system makes you more likely to get infections. Avoid contact with people who have contagious diseases such as chicken pox or measles, while taking budesonide capsules (enteric coated). Tell your healthcare provider right away if you come in contact with anyone who has chicken pox or measles.

Tell your healthcare provider about any signs or symptoms of infection during treatment with budesonide capsules (enteric coated), including:

  • fever
  • pain
  • aches
  • chills
  • feeling tired
  • nausea and vomiting
  • The most common side effects of budesonide capsules (enteric coated) in adults include:
  • headache
  • infection in your air passages (respiratory infection)
  • nausea
  • back pain
  • indigestion
  • dizziness
  • stomach area (abdominal) pain
  • gas
  • vomiting
  • tiredness
  • pain

The most common side effects of budesonide capsules (enteric coated) in children 8 to 17 years of age, who weigh more than 55 pounds (25 kg), are similar to the most common side effects in adults.

Tell your healthcare provider if you have any side effect that bothers you or that does not go away.

These are not all the possible side effects of budesonide capsules (enteric coated). For more information, ask your healthcare provider or pharmacist.

Call your doctor for medical advice about side effects. You may report side effects to FDA at 1-800-FDA-1088 or www.fda.gov/medwatch. You may also report side effects to Mayne Pharma at 1-844-825-8500.

How should I store budesonide capsules (enteric coated)?

  • Store budesonide capsules (enteric coated) at room temperature between 68°F to 77°F (20°C to 25°C).
  • Keep budesonide capsules (enteric coated) in a tightly closed container.

Keep budesonide capsules (enteric coated) and all medicines out of the reach of children.

General information about the safe and effective use of budesonide capsules (enteric coated).

Medicines are sometimes prescribed for purposes other than those listed in a Patient Information leaflet. Do not use budesonide capsules (enteric coated) for a condition for which it was not prescribed. Do not give budesonide capsules (enteric coated) to other people, even if they have the same symptoms you have. It may harm them. You can ask your healthcare provider or pharmacist for information about budesonide capsules (enteric coated) that is written for health professionals.

What are the ingredients in budesonide capsules (enteric coated)?

Active ingredient: budesonide

Inactive ingredients: acetyltributyl citrate, ethylcellulose, hypromellose, methacrylic acid copolymer (type C powder), polyethylene glycol, polysorbate 80, sodium lauryl sulfate, sugar spheres (sucrose and corn starch), talc, and triethyl citrate. The capsule shell has the following inactive ingredients gelatin, D&C red #28, D&C red #33, and titanium dioxide. In addition, the black ink S-1-8114/S-1-8115 contains, black iron oxide, D&C yellow #10 aluminum lake, FD&C blue#1 brilliant blue FCF aluminum lake, FD&C blue #2 indigo carmine aluminum lake, FD&C red #40 allura red AC aluminum lake, propylene glycol, and shellac.

Distributed by:



Mayne Pharma



Greenville, NC 27834

For more information contact Mayne Pharma at 1-844-825-8500.

This Patient Information has been approved by the U.S. Food and Drug Administration.



Rev 10/2019

Marketed by:

GSMS, Inc.

Camarillo, CA 93012 USA

12.2 Pharmacodynamics

Treatment with glucocorticoids, including budesonide capsules (enteric coated) is associated with a suppression of endogenous cortisol concentrations and an impairment of the hypothalamus-pituitary-adrenal (HPA) axis function. There was a positive correlation between the percent (%) reduction of AUC 0-24 of plasma cortisol and systemic exposure to budesonide both in pediatric and adult patients.

7.1 Cyp3a4 Inhibitors (7.1 CYP3A4 Inhibitors)

Budesonide is a substrate for CYP3A4. Avoid use with CYP3A4 inhibitors. Concomitant oral administration of a strong CYP3A4 inhibitor (ketoconazole) caused an eight-fold increase of the systemic exposure to oral budesonide. Inhibitors of CYP3A4 (e.g. ketoconazole, itraconazole, ritonavir, indinavir, saquinavir, erythromycin, and cyclosporine) can increase systemic budesonide concentrations [see Clinical Pharmacology (12.3)] .

8.6 Hepatic Impairment

Patients with moderate to severe hepatic impairment (Child-Pugh Class B and C, respectively) could be at an increased risk of hypercorticism and adrenal axis suppression due to an increased systemic exposure to budesonide [see Warnings and Precautions (5.1) and Clinical Pharmacology (12.3)] . Avoid use in patients with severe hepatic impairment (Child-Pugh Class C). Monitor for increased signs and/or symptoms of hypercorticism and consider dosage reduction in patients with moderate hepatic impairment (Child-Pugh Class B) [see Dosage and Administration (2.4)] . No dosage adjustment is needed in patients with mild hepatic impairment (Child-Pugh Class A).

1 Indications and Usage (1 INDICATIONS AND USAGE)

Budesonide capsules (enteric coated) are a corticosteroid indicated for:

  • Treatment of mild to moderate active Crohn's disease involving the ileum and/or the ascending colon, in patients 8 years and older. ( 1.1)
  • Maintenance of clinical remission of mild to moderate Crohn's disease involving the ileum and/or the ascending colon for up to 3 months in adults. ( 1.2)
12.1 Mechanism of Action

Budesonide is an anti-inflammatory corticosteroid and has a high glucocorticoid effect and a weak mineralocorticoid effect, and the affinity of budesonide to glucocorticoid receptors, which reflects the intrinsic potency of the drug, is about 200-fold that of cortisol and 15-fold that of prednisolone.

5 Warnings and Precautions (5 WARNINGS AND PRECAUTIONS)
  • Hypercorticism and Adrenal Axis Suppression: Follow general warnings concerning corticosteroids; pediatrics and patients with hepatic impairment may be at increased risk ( 2.4, 5.1, 8.4, 8.6)
  • Symptoms of Steroid Withdrawal in Patients Transferred from Other Systemic Corticosteroids: Taper slowly from corticosteroids with high systemic effects; monitor for withdrawal symptoms and unmasking of allergies (rhinitis, eczema). ( 5.2)
  • Increased Risk of Infection, including Serious and Fatal Chicken Pox and Measles: Monitor patients with active or quiescent tuberculosis infection, untreated fungal, bacterial, systemic viral or parasitic infections, or ocular herpes simplex. ( 5.3)
  • Other Corticosteroid Effects: Monitor patients with concomitant conditions where corticosteroids may have unwanted effects (e.g., hypertension, diabetes mellitus). ( 5.4)
2 Dosage and Administration (2 DOSAGE AND ADMINISTRATION)

Administration Instructions ( 2.1 ):

  • Take once daily in the morning.
  • Swallow whole. Do not chew or crush.
  • Avoid consumption of grapefruit juice for the duration of therapy.

Recommended Dosage:

Mild to moderate active Crohn's disease ( 2.2):

  • Adults: 9 mg once daily for up to 8 weeks; repeat 8 week treatment courses for recurring episodes of active disease.
  • Pediatrics: 8 to 17 years who weigh more than 25 kg: 9 mg once daily for up to 8 weeks, followed by 6 mg once daily in the morning for 2 weeks.

Maintenance of clinical remission of mild to moderate Crohn's disease ( 2.3):

  • Adults: 6 mg once daily for up to 3 months; taper to complete cessation after 3 months. Continued treatment for more than 3 months has not been shown to provide substantial clinical benefit.
  • When switching from oral prednisolone, begin tapering prednisolone concomitantly with initiating budesonide capsules (enteric coated).

Hepatic Impairment:

  • Consider reducing the dosage to 3 mg once daily in adult patients with moderate hepatic impairment (Child-Pugh Class B). ( 2.4, 5.1, 8.6)
3 Dosage Forms and Strengths (3 DOSAGE FORMS AND STRENGTHS)

Budesonide extended-release capsules (enteric coated): 3 mg hard gelatin capsules with a pink opaque cap and white opaque body printed with "m580" on the cap in black ink.

6.2 Postmarketing Experience

The following adverse reactions have been reported during post-approval use of budesonide capsules (enteric coated). Because these reactions are reported voluntarily from a population of uncertain size, it is not always possible to reliably estimate their frequency or establish a causal relationship to drug exposure.

Immune System Disorders: Anaphylactic reactions

Nervous System Disorders: Benign intracranial hypertension

Psychiatric Disorders: Mood swings

8 Use in Specific Populations (8 USE IN SPECIFIC POPULATIONS)

Pregnancy: Based on animal data, may cause fetal harm. ( 8.1)

6.1 Clinical Trials Experience

Because clinical trials are conducted under widely varying conditions, adverse reaction rates observed in the clinical trials of a drug cannot be directly compared to rates in the clinical trials of another drug and may not reflect the rates observed in practice.

2.1 Administration Instructions
  • Take budesonide capsules (enteric coated) once daily in the morning.
  • Swallow budesonide extended-release capsules (enteric coated) whole. Do not chew or crush.
  • Avoid consumption of grapefruit juice for the duration of budesonide capsules (enteric coated) therapy [see Drug Interactions (7.1)].
5.3 Increased Risk of Infection

Patients who are on drugs that suppress the immune system are more susceptible to infection than healthy individuals. Chicken pox and measles, for example, can have a more serious or even fatal course in susceptible patients or patients on immunosuppressant doses of corticosteroids. In patients who have not had these diseases, particular care should be taken to avoid exposure.

How the dose, route and duration of corticosteroid administration affect the risk of developing a disseminated infection is not known. The contribution of the underlying disease and/or prior corticosteroid treatment to the risk is also not known. If exposed, therapy with varicella zoster immune globulin (VZIG) or pooled intravenous immunoglobulin (IVIG), as appropriate, may be indicated. If exposed to measles, prophylaxis with pooled intramuscular immunoglobulin (IG) may be indicated. (See prescribing information for VZIG and IG.) If chicken pox develops, treatment with antiviral agents may be considered.

Corticosteroids should be used with caution, if at all, in patients with active or quiescent tuberculosis infection, untreated fungal, bacterial, systemic viral or parasitic infections, or ocular herpes simplex.

5.4 Other Corticosteroid Effects

Monitor patients with hypertension, diabetes mellitus, osteoporosis, peptic ulcer, glaucoma or cataracts, or with a family history of diabetes or glaucoma, or with any other condition where corticosteroids may have unwanted effects.

17 Patient Counseling Information (17 PATIENT COUNSELING INFORMATION)

Advise Patients to read the FDA-Approved patient labeling (Patient Information).

16 How Supplied/storage and Handling (16 HOW SUPPLIED/STORAGE AND HANDLING)

Budesonide extended-release capsules (enteric coated) are size #1 hard gelatin capsules with a pink opaque cap and a white opaque body printed with "m580" on the cap in black ink containing 3 mg of budesonide, USP. Capsules are supplied as follows:

NDC 51407-128-01 Bottles of 100
5.1 Hypercorticism and Adrenal Axis Suppression

When corticosteroids are used chronically, systemic effects such as hypercorticism and adrenal axis suppression may occur. Corticosteroids can reduce the response of the hypothalamus-pituitary-adrenal (HPA) axis to stress. In situations where patients are subject to surgery or other stress situations, supplementation with a systemic corticosteroid is recommended. Since budesonide capsules (enteric coated) contain a corticosteroid, general warnings concerning corticosteroids should be followed. [see Warnings and Precautions (5.2), (5.3), (5.4)].

Pediatric patients with Crohn's disease have a slightly higher systemic exposure of budesonide and increased cortisol suppression than adults with Crohn's disease [see Use in Specific Populations (8.4), Clinical Pharmacology (12.2)] . Patients with moderate to severe hepatic impairment (Child-Pugh Class B and C respectively) could be at an increased risk of hypercorticism and adrenal axis suppression due to an increased systemic exposure of oral budesonide. Avoid use in patients with severe hepatic impairment (Child-Pugh Class C). Monitor for increased signs and/or symptoms of hypercorticism and consider reducing the dosage in patients with moderate hepatic impairment (Child-Pugh Class B) [see Dosage and Administration (2.4), Use in Specific Populations (8.6), Clinical Pharmacology (12.3)] .

Principal Display Panel 3 Mg Capsule Bottle Label (PRINCIPAL DISPLAY PANEL - 3 mg Capsule Bottle Label)

NDC 51407-128-01

Budesonide



Capsules



(Enteric Coated)

3 mg

PHARMACIST: Dispense the accompanying



Patient Information leaflet to each patient.

Rx Only



100 Capsules

1.1 Treatment of Mild to Moderate Active Crohn's Disease

Budesonide capsules (enteric coated) are indicated for the treatment of mild to moderate active Crohn's disease involving the ileum and/or the ascending colon in patients 8 years of age and older.

2.2 Treatment of Mild to Moderate Active Crohn's Disease

The recommended dosage of budesonide capsules (enteric coated) is:

13.1 Carcinogenesis, Mutagenesis, Impairment of Fertility

Carcinogenicity studies with budesonide were conducted in rats and mice. In a two-year study in Sprague-Dawley rats, budesonide caused a statistically significant increase in the incidence of gliomas in male rats at an oral dose of 50 mcg/kg (approximately 0.05 times the maximum recommended human dose on a body surface area basis). In addition, there were increased incidences of primary hepatocellular tumors in male rats at 25 mcg/kg (approximately 0.023 times the maximum recommended human dose on a body surface area basis) and above. No tumorigenicity was seen in female rats at oral doses up to 50 mcg/kg (approximately 0.05 times the maximum recommended human dose on a body surface area basis). In an additional two-year study in male Sprague-Dawley rats, budesonide caused no gliomas at an oral dose of 50 mcg/kg (approximately 0.05 times the maximum recommended human dose on a body surface area basis). However, it caused a statistically significant increase in the incidence of hepatocellular tumors at an oral dose of 50 mcg/kg (approximately 0.05 times the maximum recommended human dose on a body surface area basis). The concurrent reference corticosteroids (prednisolone and triamcinolone acetonide) showed similar findings. In a 91-week study in mice, budesonide caused no treatment-related carcinogenicity at oral doses up to 200 mcg/kg (approximately 0.1 times the maximum recommended human dose on a body surface area basis).

Budesonide was not genotoxic in the Ames test, the mouse lymphoma cell forward gene mutation (TK+/-) test, the human lymphocyte chromosome aberration test, the Drosophila melanogaster sex-linked recessive lethality test, the rat hepatocyte UDS test and the mouse micronucleus test.

In rats, budesonide had no effect on fertility at subcutaneous doses up to 80 mcg/kg (approximately 0.07 times the maximum recommended human dose on a body surface area basis). However, it caused a decrease in prenatal viability and viability in pups at birth and during lactation, along with a decrease in maternal body-weight gain, at subcutaneous doses of 20 mcg/kg (approximately 0.02 times the maximum recommended human dose on a body surface area basis) and above. No such effects were noted at 5 mcg/kg (approximately 0.005 times the maximum recommended human dose on a body surface area basis).

2.4 Dosage Adjustment in Adult Patients With Hepatic Impairment (2.4 Dosage Adjustment in Adult Patients with Hepatic Impairment)

Consider reducing the dosage of budesonide capsules (enteric coated) to 3 mg once daily for adult patients with moderate hepatic impairment (Child-Pugh Class B). Avoid use in patients with severe hepatic impairment (Child-Pugh Class C) [see Warnings and Precautions (5.1), Use in Specific Populations (8.6)].

1.2 Maintenance of Clinical Remission of Mild to Moderate Crohn's Disease

Budesonide capsules (enteric coated) are indicated for the maintenance of clinical remission of mild to moderate Crohn's disease involving the ileum and/or the ascending colon for up to 3 months in adults.

2.3 Maintenance of Clinical Remission of Mild to Moderate Crohn's Disease

The recommended dosage in adults, following an 8 week course(s) of treatment for active disease and once the patient's symptoms are controlled (CDAI less than 150), is budesonide capsules (enteric coated) 6 mg orally once daily for maintenance of clinical remission up to 3 months. If symptom control is still maintained at 3 months an attempt to taper to complete cessation is recommended. Continued treatment with budesonide capsules (enteric coated) 6 mg for more than 3 months has not been shown to provide substantial clinical benefit.

Patients with mild to moderate active Crohn's disease involving the ileum and/or ascending colon have been switched from oral prednisolone to budesonide capsules (enteric coated) with no reported episodes of adrenal insufficiency. Since prednisolone should not be stopped abruptly, tapering should begin concomitantly with initiating budesonide capsules (enteric coated) treatment.

5.2 Symptoms of Steroid Withdrawal in Patients Transferred From Other Systemic Corticosteroids (5.2 Symptoms of Steroid Withdrawal in Patients Transferred from Other Systemic Corticosteroids)

Monitor patients who are transferred from corticosteroid treatment with high systemic effects to corticosteroids with lower systemic availability, such as budesonide capsules (enteric coated), since symptoms attributed to withdrawal of steroid therapy, including those of acute adrenal axis suppression or benign intracranial hypertension, may develop. Adrenocortical function monitoring may be required in these patients and the dose of corticosteroid treatment with high systemic effects should be reduced cautiously.

Replacement of systemic corticosteroids with budesonide capsules (enteric coated) may unmask allergies (e.g., rhinitis and eczema), which were previously controlled by the systemic drug.


Advanced Ingredient Data


Raw Label Data

All Sections (JSON)