These Highlights Do Not Include All The Information Needed To Use Mercaptopurine Tablets Safely And Effectively. See Full Prescribing Information For Mercaptopurine Tablets.

These Highlights Do Not Include All The Information Needed To Use Mercaptopurine Tablets Safely And Effectively. See Full Prescribing Information For Mercaptopurine Tablets.
SPL v14
SPL
SPL Set ID c3b5b8b0-bc5c-4ce9-bbdc-febba60c2658
Route
ORAL
Published
Effective Date 2024-10-01
Document Type 34391-3 HUMAN PRESCRIPTION DRUG LABEL

Drug Facts

Composition & Product

Active Ingredients
Mercaptopurine Anhydrous (50 mg)
Inactive Ingredients
Starch, Corn Hypromellose, Unspecified Anhydrous Lactose Lactose Monohydrate Magnesium Stearate Starch, Potato Sodium Starch Glycolate Type A Potato Stearic Acid Water

Identifiers & Packaging

Pill Appearance
Imprint: 54;420 Shape: round Color: yellow Size: 10 mm Score: 2
Marketing Status
ANDA Active Since 2004-02-13

Description

Warnings and Precautions, Hepatotoxicity (5.2) 7/2024

Indications and Usage

Mercaptopurine Tablets is a nucleoside metabolic inhibitor indicated for treatment of adult and pediatric patients with acute lymphoblastic leukemia (ALL) as part of a combination chemotherapy maintenance regimen. (1.1)

Dosage and Administration

• The recommended starting dose of Mercaptopurine Tablets is 1.5 mg/kg to 2.5 mg/kg orally once daily as part of a combination chemotherapy maintenance regimen. Adjust dose to maintain desirable absolute neutrophil count and for excessive myelosuppression. (2.1) • Renal Impairment: Use the lowest recommended starting dose or increase the dosing interval. (2.3, 8.6) • Hepatic Impairment: Use the lowest recommended starting dose. (2.3, 8.7)

Warnings and Precautions

• Myelosuppression: Monitor complete blood count (CBC) and adjust the dose of Mercaptopurine Tablets for excessive myelosuppression. Consider testing in patients with severe myelosuppression or repeated episodes of myelosuppression for thiopurine S-methyltransferase (TPMT) or nucleotide diphosphatase (NUDT15) deficiency. Patients with homozygous or homozygous TPMT or NUDT15 deficiency may require a dose reduction. (2.2, 5.1) • Hepatotoxicity: Monitor transaminases, alkaline phosphatase and bilirubin. Withhold Mercaptopurine Tablets at onset of hepatotoxicity. (5.2) • Immunosuppression: Response to all vaccines may be diminished and there is a risk of infection with live virus vaccines. Consult immunization guidelines for immunocompromised patients. (5.3) • Treatment Related Malignancies: Aggressive and fatal cases of hepatosplenic T-cell lymphoma have occurred. (5.4) • Macrophage Activation Syndrome: Monitor for and treat promptly; discontinue Mercaptopurine Tablets. (5.5) • Embryo-Fetal Toxicity: Can cause fetal harm. Advise patients of reproductive potential of the potential risk to a fetus and to use effective contraception. (5.6, 8.1, 8.3)

Contraindications

None.

Adverse Reactions

The following clinically significant adverse reactions are described elsewhere in the labeling: • Myelosuppression [see Warnings and Precautions ( 5.1 )] • Hepatotoxicity [see Warnings and Precautions ( 5.2 )] • Immunosuppression [see Warnings and Precautions (5.3)] • Treatment related malignancies [see Warnings and Precautions (5.4 )] • Macrophage activation syndrome [see Warnings and Precautions ( 5.5 )]

Drug Interactions

• Allopurinol : Reduce the dose of Mercaptopurine Tablets when co-administered with allopurinol. (2.4, 7.1) • Warfarin : Mercaptopurine Tablets may decrease the anticoagulant effect. (7.2)

Storage and Handling

Mercaptopurine Tablets, USP 50 mg supplied as pale yellow, biconvex tablets, with product identification “54 420” on one side and a score on the other side. NDC 0054-4581-11: Bottle of 25 Tablets NDC 0054-4581-27: Bottle of 250 Tablets Store at 20°C to 25°C (68°F to 77°F). [See USP Controlled Room Temperature.] Store in a dry place. Dispense in a tight, child-resistant container as defined in the USP/NF. Mercaptopurine Tablets is a cytotoxic drug. Follow special handling and disposal procedures 1 .

How Supplied

Mercaptopurine Tablets, USP 50 mg supplied as pale yellow, biconvex tablets, with product identification “54 420” on one side and a score on the other side. NDC 0054-4581-11: Bottle of 25 Tablets NDC 0054-4581-27: Bottle of 250 Tablets Store at 20°C to 25°C (68°F to 77°F). [See USP Controlled Room Temperature.] Store in a dry place. Dispense in a tight, child-resistant container as defined in the USP/NF. Mercaptopurine Tablets is a cytotoxic drug. Follow special handling and disposal procedures 1 .


Medication Information

Warnings and Precautions

• Myelosuppression: Monitor complete blood count (CBC) and adjust the dose of Mercaptopurine Tablets for excessive myelosuppression. Consider testing in patients with severe myelosuppression or repeated episodes of myelosuppression for thiopurine S-methyltransferase (TPMT) or nucleotide diphosphatase (NUDT15) deficiency. Patients with homozygous or homozygous TPMT or NUDT15 deficiency may require a dose reduction. (2.2, 5.1) • Hepatotoxicity: Monitor transaminases, alkaline phosphatase and bilirubin. Withhold Mercaptopurine Tablets at onset of hepatotoxicity. (5.2) • Immunosuppression: Response to all vaccines may be diminished and there is a risk of infection with live virus vaccines. Consult immunization guidelines for immunocompromised patients. (5.3) • Treatment Related Malignancies: Aggressive and fatal cases of hepatosplenic T-cell lymphoma have occurred. (5.4) • Macrophage Activation Syndrome: Monitor for and treat promptly; discontinue Mercaptopurine Tablets. (5.5) • Embryo-Fetal Toxicity: Can cause fetal harm. Advise patients of reproductive potential of the potential risk to a fetus and to use effective contraception. (5.6, 8.1, 8.3)

Indications and Usage

Mercaptopurine Tablets is a nucleoside metabolic inhibitor indicated for treatment of adult and pediatric patients with acute lymphoblastic leukemia (ALL) as part of a combination chemotherapy maintenance regimen. (1.1)

Dosage and Administration

• The recommended starting dose of Mercaptopurine Tablets is 1.5 mg/kg to 2.5 mg/kg orally once daily as part of a combination chemotherapy maintenance regimen. Adjust dose to maintain desirable absolute neutrophil count and for excessive myelosuppression. (2.1) • Renal Impairment: Use the lowest recommended starting dose or increase the dosing interval. (2.3, 8.6) • Hepatic Impairment: Use the lowest recommended starting dose. (2.3, 8.7)

Contraindications

None.

Adverse Reactions

The following clinically significant adverse reactions are described elsewhere in the labeling: • Myelosuppression [see Warnings and Precautions ( 5.1 )] • Hepatotoxicity [see Warnings and Precautions ( 5.2 )] • Immunosuppression [see Warnings and Precautions (5.3)] • Treatment related malignancies [see Warnings and Precautions (5.4 )] • Macrophage activation syndrome [see Warnings and Precautions ( 5.5 )]

Drug Interactions

• Allopurinol : Reduce the dose of Mercaptopurine Tablets when co-administered with allopurinol. (2.4, 7.1) • Warfarin : Mercaptopurine Tablets may decrease the anticoagulant effect. (7.2)

Storage and Handling

Mercaptopurine Tablets, USP 50 mg supplied as pale yellow, biconvex tablets, with product identification “54 420” on one side and a score on the other side. NDC 0054-4581-11: Bottle of 25 Tablets NDC 0054-4581-27: Bottle of 250 Tablets Store at 20°C to 25°C (68°F to 77°F). [See USP Controlled Room Temperature.] Store in a dry place. Dispense in a tight, child-resistant container as defined in the USP/NF. Mercaptopurine Tablets is a cytotoxic drug. Follow special handling and disposal procedures 1 .

How Supplied

Mercaptopurine Tablets, USP 50 mg supplied as pale yellow, biconvex tablets, with product identification “54 420” on one side and a score on the other side. NDC 0054-4581-11: Bottle of 25 Tablets NDC 0054-4581-27: Bottle of 250 Tablets Store at 20°C to 25°C (68°F to 77°F). [See USP Controlled Room Temperature.] Store in a dry place. Dispense in a tight, child-resistant container as defined in the USP/NF. Mercaptopurine Tablets is a cytotoxic drug. Follow special handling and disposal procedures 1 .

Description

Warnings and Precautions, Hepatotoxicity (5.2) 7/2024

Section 43683-2

Warnings and Precautions, Hepatotoxicity (5.2) 7/2024

7.2 Warfarin

The concomitant administration of Mercaptopurine Tablets and warfarin may decrease the anticoagulant effectiveness of warfarin. Monitor the international normalized ratio (INR) in patients receiving warfarin and adjust the warfarin dosage as appropriate.

10 Overdosage

Signs and symptoms of mercaptopurine overdosage may be immediate (anorexia, nausea, vomiting, and diarrhea); or delayed (myelosuppression, liver dysfunction, and gastroenteritis). Dialysis cannot be expected to clear mercaptopurine. Hemodialysis is thought to be of marginal use due to the rapid intracellular incorporation of mercaptopurine into active metabolites with long persistence.

Withhold Mercaptopurine Tablets immediately for severe or life-threatening adverse reactions occur during treatment. If a patient is seen immediately following an accidental overdosage, it may be useful to induce emesis.

15 References
8.1 Pregnancy

Risk Summary

Mercaptopurine Tablets can cause fetal harm when administered to a pregnant woman [see Clinical Pharmacology (12.1)]. Pregnant women who receive mercaptopurine have an increased incidence of miscarriage and stillbirth (see Data). Advise pregnant women of the potential risk to a fetus.

The estimated background risk of major birth defects and miscarriage for the indicated population(s) is unknown. All pregnancies have a background risk of birth defect, loss, or other adverse outcomes. In the U.S. general population, the estimated background risk of major birth defects and miscarriage in clinically recognized pregnancies is 2% to 4% and 15% to 20%, respectively.

Data

Human Data

Women receiving mercaptopurine in the first trimester of pregnancy have an increased incidence of miscarriage; the risk of malformation in offspring surviving first trimester exposure is not known. In a series of 28 women receiving mercaptopurine after the first trimester of pregnancy, 3 mothers died prior to delivery, 1 delivered a stillborn child, and 1 aborted; there were no cases of macroscopically abnormal fetuses.

Animal Data

Mercaptopurine was embryo-lethal and teratogenic in several animal species (rat, mouse, rabbit, and hamster) at doses less than the recommended human dose.

8.2 Lactation

Risk Summary

There are no data on the presence of mercaptopurine or its metabolites in human milk, the effects on the breastfed child, or the effects on milk production. Because of the potential for serious adverse reactions in the breastfed child, advise women not to breastfeed during treatment with Mercaptopurine Tablets and for 1 week after the last dose.

11 Description

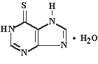
Mercaptopurine is a nucleoside metabolic inhibitor, the chemical name is 6H-purine-6-thione, 1,7-dihydro-, monohydrate. The molecular formula is C5H4N4S • H2O and the molecular weight is 170.20. Its structural formula is:

Mercaptopurine is a yellow, crystalline powder. Mercaptopurine is practically insoluble in water and in ether. It has a pKa of 7.8, an average tapped density of 1.0 g/mL and average bulk density of 0.85 g/mL. It dissolves in solutions of alkali hydroxides.

Mercaptopurine Tablets, USP are available for oral use. Each scored tablet contains 50 mg mercaptopurine, USP and the following inactive ingredients: corn starch, hypromellose, lactose (anhydrous), lactose monohydrate, magnesium stearate, potato starch, sodium starch glycolate and stearic acid.

Each tablet meets the requirements of Test 2 for Dissolution in the USP monograph for Mercaptopurine Tablets, USP.

7.1 Allopurinol

Allopurinol can inhibit the first-pass oxidative metabolism of mercaptopurine by xanthine oxidase, which can lead to an increased risk of mercaptopurine adverse reactions (i.e., myelosuppression, nausea, and vomiting) [see Warnings and Precautions (5.1), Adverse Reactions (6.1)]. Reduce the dose of Mercaptopurine Tablets when coadministered with allopurinol [see Dosage and Administration (2.4)].

8.4 Pediatric Use

Safety and effectiveness of Mercaptopurine Tablets have been established in pediatric patients. Use of Mercaptopurine Tablets in pediatrics is supported by evidence from the published literature and clinical experience. Symptomatic hypoglycemia has been reported in pediatric patients with ALL receiving mercaptopurine. Reported cases were in pediatrics less than 6 years of age or with a low body mass index.

8.5 Geriatric Use

Clinical studies of mercaptopurine did not include sufficient numbers of subjects aged 65 and over to determine whether they respond differently from younger subjects. Other reported clinical experience has not identified differences in responses between the elderly and younger patients. In general, dose selection for an elderly patient should be cautious, usually starting at the low end of the dosing range, reflecting the greater frequency of decreased hepatic, renal, or cardiac function, and of concomitant disease or another drug therapy.

5.2 Hepatotoxicity

Mercaptopurine is hepatotoxic. There are reports of deaths attributed to hepatic necrosis associated with the administration of mercaptopurine. Hepatic injury can occur with any dosage but seems to occur with greater frequency when the recommended dosage is exceeded. In some patients, jaundice has cleared following withdrawal of mercaptopurine and reappeared with rechallenge.

Usually, clinically detectable jaundice appears early in the course of treatment (1 to 2 months); however, jaundice has been reported as early as 1 week and as late as 8 years after the starting mercaptopurine. The hepatotoxicity has been associated in some cases with anorexia, diarrhea, jaundice, ascites, and pruritus. Hepatic encephalopathy has occurred.

Monitor serum transaminase levels, alkaline phosphatase, and bilirubin levels at weekly intervals when first beginning therapy and at monthly intervals thereafter. Monitor liver tests more frequently in patients who are receiving Mercaptopurine Tablets with other hepatotoxic products [see Drug Interactions (7.5)] or with known pre-existing liver disease. Withhold Mercaptopurine Tablets at onset of hepatotoxicity.

Intrahepatic Cholestasis of Pregnancy

Postmarketing cases of intrahepatic cholestasis of pregnancy (ICP) have been reported in patients with inflammatory bowel disease who received mercaptopurine during pregnancy. Mercaptopurine Tablets are not indicated for use in inflammatory bowel disease [see Indications and Usage ( 1.1 )].

Discontinue Mercaptopurine Tablets if ICP develops in a pregnant woman.

4 Contraindications

None.

6 Adverse Reactions

The following clinically significant adverse reactions are described elsewhere in the labeling:

  • Myelosuppression [see Warnings and Precautions (5.1)]
  • Hepatotoxicity [see Warnings and Precautions (5.2)]
  • Immunosuppression [see Warnings and Precautions (5.3)]
  • Treatment related malignancies [see Warnings and Precautions (5.4)]
  • Macrophage activation syndrome [see Warnings and Precautions (5.5)]
7 Drug Interactions
  • Allopurinol: Reduce the dose of Mercaptopurine Tablets when co-administered with allopurinol. (2.4, 7.1)
  • Warfarin: Mercaptopurine Tablets may decrease the anticoagulant effect. (7.2)
5.1 Myelosuppression

The most consistent, dose-related adverse reaction is myelosuppression, manifested by anemia, leukopenia, thrombocytopenia, or any combination of these. Monitor CBC and adjust the dosage of Mercaptopurine Tablets for excessive myelosuppression [see Dosage and Administration (2.1)].

Consider testing for TPMT or NUDT15 deficiency in patients with severe myelosuppression or repeated episodes of myelosuppression. TPMT genotyping or phenotyping (red blood cell TPMT activity) and NUDT15 genotyping can identify patients who have reduced activity of these enzymes. Patients with heterozygous or homozygous TPMT or NUDT15 deficiency may require a dose reduction [see Dosage and Administration (2.2), Clinical Pharmacology (12.5)].

Myelosuppression can be exacerbated by coadministration with allopurinol, aminosalicylates or other products that cause myelosuppression [see Drug Interactions (7.1, 7.3, 7.4)]. Reduce the dose of Mercaptopurine Tablets when coadministered with allopurinol [see Dosage and Administration (2.4)].

7.4 Aminosalicylates

Aminosalicylates (e.g., mesalamine, olsalazine or sulfasalazine) may inhibit the TPMT enzyme, which may increase the risk of myelosuppression when coadministered with Mercaptopurine Tablets. When aminosalicylates and Mercaptopurine Tablets are coadministered, use the lowest possible doses for each drug and monitor more frequently for myelosuppression [see Warnings and Precautions (5.1)].

8.6 Renal Impairment

Use the lowest recommended starting dosage for Mercaptopurine Tablets or increase the dosing interval to every 36 to 48 hours in patients with renal impairment (CLcr less than 50 mL/min). Adjust the dose to maintain absolute neutrophil count (ANC) at a desirable level and for adverse reactions [see Dosage and Administration (2.3) ].

12.2 Pharmacodynamics

Exposure-Response Relationships

Mercaptopurine exposure-response relationships and the time course of pharmacodynamics response are unknown.

12.3 Pharmacokinetics

Following a single oral dose of mercaptopurine 50 mg under fasted conditions to adult healthy subjects, the mean

AUC0-INF was 129 h·ng/mL and Cmax was 69 ng/mL.

Absorption

Food Effect

Food has been shown to decrease the exposure of mercaptopurine.

Distribution

The volume of distribution usually exceeded that of the total body water. There is negligible entry of mercaptopurine into cerebrospinal fluid.

Plasma protein binding averages 19% over the concentration range 10 to 50 mcg/mL (a concentration only achieved by intravenous administration of mercaptopurine at doses exceeding 5 to 10 mg/kg).

Elimination

The elimination half-life is less than 2 hours following a single oral dose.

Metabolism

Mercaptopurine is inactivated via two major pathways. One is thiol methylation, which is catalyzed by the polymorphic enzyme thiopurine S-methyltransferase (TPMT), to form the inactive metabolite methyl-mercaptopurine. The second inactivation pathway is oxidation, which is catalyzed by xanthine oxidase. The product of oxidation is the inactive metabolite 6-thiouric acid.

Excretion

Following the oral administration of radiolabeled mercaptopurine, 46% of the dose was recovered in the urine (as parent drug and metabolites) in the first 24 hours.

12.5 Pharmacogenomics

Several published studies indicate that patients with reduced TPMT or NUDT15 activity receiving usual doses of mercaptopurine, accumulate excessive cellular concentrations of active 6-TGNs, and are at higher risk for severe myelosuppression. In a study of 1028 children with ALL, the approximate tolerated mercaptopurine dosage for patients with TPMT and/or NUDT15 deficiency on mercaptopurine maintenance therapy (as a percentage of the planned dosage) was as follows: heterozygous for either TPMT or NUDT15, 50 to 90%; heterozygous for both TPMT and NUDT15, 30 to 50%; homozygous for either TPMT or NUDT15, 5 to 10%.

Approximately 0.3% (1:300) of patients of European or African ancestry have two loss-of-function alleles of the TPMT gene and have little or no TPMT activity (homozygous deficient or poor metabolizers), and approximately 10% of patients have one loss-of-function TPMT allele leading to intermediate TPMT activity (heterozygous deficient or intermediate metabolizers). The TPMT*2, TPMT*3A, and TPMT*3C alleles account for about 95% of individuals with reduced levels of TPMT activity.

NUDT15 deficiency is detected in <1% of patients of European or African ancestry. Among patients of East Asian ancestry (i.e., Chinese, Japanese, Vietnamese), 2% have two loss-of-function alleles of the NUDT15 gene, and approximately 21% have one loss-of-function allele. The p.R139C variant of NUDT15 (present on the *2 and *3 alleles) is the most commonly observed, but other less common loss-of-function NUDT15 alleles have been observed.

Consider all clinical information when interpreting results from phenotypic testing used to determine the level of thiopurine nucleotides or TPMT activity in erythrocytes, since some coadministered drugs can influence measurement of TPMT activity in blood and blood from recent transfusions will misrepresent a patient’s actual TPMT activity [see Dosage and Administration (2.2), Warnings and Precautions (5.1)].

5.3 Immunosuppression

Mercaptopurine is immunosuppressive and may impair the immune response to infectious agents or vaccines. Due to the immunosuppression associated with maintenance chemotherapy for ALL, response to all vaccines may be diminished and there is a risk of infection with live virus vaccines. Consult immunization guidelines for immunocompromised patients.

2.1 Recommended Dosage

The recommended starting dosage of Mercaptopurine Tablets is 1.5 mg/kg to 2.5 mg/kg orally once daily as part of combination chemotherapy maintenance regimen. A recommended dosage for patients less than 17 kg is not achievable, because the only available strength is 50 mg. Take Mercaptopurine Tablets either consistently with or without food.

After initiating Mercaptopurine Tablets, monitor complete blood count (CBC) and adjust the dose to maintain absolute neutrophil count (ANC) at a desirable level and for excessive myelosuppression. Evaluate the bone marrow in patients with prolonged myelosuppression or repeated episodes of myelosuppression to assess leukemia status and marrow cellularity.

Evaluate thiopurine S-methyltransferase (TPMT) and nucleotide diphosphatase (NUDT15) status in patients with severe myelosuppression or repeated episodes or myelosuppression [see Dosage and Administration (2.2)].

Do not administer to patients who are unable to swallow tablets.

If a patient misses a dose, instruct the patient to continue with the next scheduled dose.

Mercaptopurine Tablets is a cytotoxic drug. Follow special handling and disposal procedures.

8.7 Hepatic Impairment

Use the lowest recommended starting dosage for Mercaptopurine Tablets in patients with hepatic impairment. Adjust the dose to maintain absolute neutrophil count (ANC) at a desirable level and for adverse reactions [see Dosage and Administration (2.3)].

1 Indications and Usage

Mercaptopurine Tablets is a nucleoside metabolic inhibitor indicated for treatment of adult and pediatric patients with acute lymphoblastic leukemia (ALL) as part of a combination chemotherapy maintenance regimen. (1.1)

12.1 Mechanism of Action

Mercaptopurine is a purine analog that undergoes intracellular transport and activation to form metabolites including thioguanine nucleotides (TGNs). Incorporation of TGNs into DNA or RNA results in cell-cycle arrest and cell death. TGNs and other mercaptopurine metabolites are also inhibitors of de novo purine synthesis and purine nucleotide interconversions. Mercaptopurine was cytotoxic to proliferating cancer cells in vitro and had antitumor activity in mouse tumor models. It is not known which of the biochemical effects of mercaptopurine and its metabolites are directly or predominantly responsible for cell death.

7.5 Hepatotoxic Products

Mercaptopurine Tablets can cause hepatotoxicity. Hepatotoxicity may be increased when Mercaptopurine Tablets are coadministered with other products that cause hepatotoxicity. Monitor liver tests more frequently in patients who are receiving Mercaptopurine Tablets with other hepatotoxic products [see Warnings and Precautions (5.2)].

5.6 Embryo Fetal Toxicity

Mercaptopurine Tablets can cause fetal harm when administered to a pregnant woman. An increased incidence of miscarriage has been reported in women who received mercaptopurine in the first trimester of pregnancy. Adverse embryo-fetal findings, including miscarriage and stillbirth, have been reported in women who received mercaptopurine after the first trimester of pregnancy. Advise pregnant women of the potential risk to a fetus. Advise females of reproductive potential to use effective contraception during treatment with Mercaptopurine Tablets and for 6 months after the last dose. Advise males with female partners of reproductive potential to use effective contraception during treatment with Mercaptopurine Tablets and for 3 months after the last dose [see Use in Specific Populations (8.1, 8.3)].

5 Warnings and Precautions
  • Myelosuppression: Monitor complete blood count (CBC) and adjust the dose of Mercaptopurine Tablets for excessive myelosuppression. Consider testing in patients with severe myelosuppression or repeated episodes of myelosuppression for thiopurine S-methyltransferase (TPMT) or nucleotide diphosphatase (NUDT15) deficiency. Patients with homozygous or homozygous TPMT or NUDT15 deficiency may require a dose reduction. (2.2, 5.1)
  • Hepatotoxicity: Monitor transaminases, alkaline phosphatase and bilirubin. Withhold Mercaptopurine Tablets at onset of hepatotoxicity. (5.2)
  • Immunosuppression: Response to all vaccines may be diminished and there is a risk of infection with live virus vaccines. Consult immunization guidelines for immunocompromised patients. (5.3)
  • Treatment Related Malignancies: Aggressive and fatal cases of hepatosplenic T-cell lymphoma have occurred. (5.4)
  • Macrophage Activation Syndrome: Monitor for and treat promptly; discontinue Mercaptopurine Tablets. (5.5)
  • Embryo-Fetal Toxicity: Can cause fetal harm. Advise patients of reproductive potential of the potential risk to a fetus and to use effective contraception. (5.6, 8.1, 8.3)
2 Dosage and Administration
  • The recommended starting dose of Mercaptopurine Tablets is 1.5 mg/kg to 2.5 mg/kg orally once daily as part of a combination chemotherapy maintenance regimen. Adjust dose to maintain desirable absolute neutrophil count and for excessive myelosuppression. (2.1)
  • Renal Impairment: Use the lowest recommended starting dose or increase the dosing interval. (2.3, 8.6)
  • Hepatic Impairment: Use the lowest recommended starting dose. (2.3, 8.7)
3 Dosage Forms and Strengths

Tablets: 50 mg mercaptopurine are pale yellow, biconvex tablets, with product identification “54 420” on one side and a score on the other side.

6.2 Postmarketing Experience

The following adverse reactions have been identified during postapproval use of Mercaptopurine Tablets. Because these reactions are reported voluntarily from a population of uncertain size, it is not always possible to reliably estimate their frequency or establish a causal relationship to drug exposure. These reactions include: intrahepatic cholestasis of pregnancy (ICP).

7.3 Myelosuppressive Products

Mercaptopurine Tablets can cause myelosuppression. Myelosuppression may be increased when Mercaptopurine Tablets are coadministered with other products that cause myelosuppression. Enhanced myelosuppression has been noted in some patients also receiving trimethoprim-sulfamethoxazole. Monitor the CBC and adjust the dose of Mercaptopurine Tablets for excessive myelosuppression [see Dosage and Administration (2.1), Warnings and Precautions (5.1)].

8 Use in Specific Populations
  • Lactation: Advise not to breastfeed. (8.2)
  • Infertility: Can impair fertility. (8.3)
6.1 Clinical Trials Experience

Because clinical trials are conducted under widely varying conditions, adverse reaction rates observed in the clinical trials of a drug cannot be directly compared to rates in the clinical trials of another drug and may not reflect the rates observed in practice.

Based on multicenter cooperative group ALL trials, the most common adverse reaction occurring in > 20% of patients was myelosuppression, including anemia, neutropenia, lymphopenia and thrombocytopenia. Adverse reactions occurring in 5% to 20% of patients included anorexia, nausea, vomiting, diarrhea, malaise and rash. Adverse reactions occurring in < 5 % of patients included urticaria, hyperuricemia, oral lesions, increased transaminases, hyperbilirubinemia, hyperpigmentation, infections, and pancreatitis. Oral lesions resemble thrush rather than antifolic ulcerations. Delayed or late adverse reactions include hepatic fibrosis, hyperbilirubinemia, alopecia, pulmonary fibrosis, oligospermia and secondary malignancies [see Warnings and Precautions (5.1, 5.2)].

Drug fever has been reported with mercaptopurine.

Additional adverse reactions that have been reported in patients who have received mercaptopurine include photosensitivity, hypoglycemia, and portal hypertension.

1.1 Acute Lymphoblastic Leukemia

Mercaptopurine Tablets are indicated for treatment of adult and pediatric patients with acute lymphoblastic leukemia (ALL) as part of a combination chemotherapy maintenance regimen.

17 Patient Counseling Information

Major Adverse Reactions

Advise patients and caregivers that Mercaptopurine Tablets can cause myelosuppression, hepatotoxicity, and gastrointestinal toxicity. Advise patients to contact their healthcare provider if they experience fever, sore throat, jaundice, nausea, vomiting, signs of local infection, bleeding from any site, or symptoms suggestive of anemia [see Warnings and Precautions (5.1 , 5.2 , 5.3)].

Embryo-Fetal Toxicity

  • Advise pregnant women of the potential risk to a fetus. Advise females of reproductive potential to inform their healthcare provider of a known or suspected pregnancy [see Warnings and Precautions (5.2, 5.6), Use in Specific Populations (8.1)].
  • Advise females of reproductive potential to use effective contraception during treatment with Mercaptopurine Tablets and for 6 months after the last dose [see Use in Specific Populations (8.3)].
  • Advise males with female partners of reproductive potential to use effective contraception during treatment with Mercaptopurine Tablets and for 3 months after the last dose [see Use in Specific Populations (8.3), Nonclinical Toxicology (13.1)].

Lactation

Advise women not to breastfeed during treatment with Mercaptopurine Tablets and for 1 week after the last dose

[see Use in Specific Populations (8.2)].

Infertility

Advise males and females of reproductive potential that Mercaptopurine Tablets can impair fertility [see Use in Specific Populations (8.3)].

Other Adverse Reactions

Instruct patients to minimize sun exposure due to risk of photosensitivity [see Adverse Reactions (6.1)].

Manufactured by: West-Ward Columbus Inc

1809 Wilson Road, Columbus, OH 43228/USA

Distributed by:

Hikma Pharmaceuticals USA Inc.

Berkeley Heights, NJ 07922

C50000734/03

Revised October 2024

5.4 Treatment Related Malignancies

Hepatosplenic T-cell lymphoma has been reported in patients treated with mercaptopurine for inflammatory bowel disease (IBD), an unapproved use. Mercaptopurine is mutagenic in animals and humans, carcinogenic in animals, and may increase the risk of secondary malignancies.

Patients receiving immunosuppressive therapy, including mercaptopurine, are at an increased risk of developing lymphoproliferative disorders and other malignancies, notably skin cancers (melanoma and non-melanoma), sarcomas (Kaposi's and non-Kaposi's) and uterine cervical cancer in situ. The increased risk appears to be related to the degree and duration of immunosuppression. It has been reported that discontinuation of immunosuppression may provide partial regression of the lymphoproliferative disorder.

A treatment regimen containing multiple immunosuppressants (including thiopurines) should therefore be used with caution as this could lead to lymphoproliferative disorders, some with reported fatalities. A combination of multiple immunosuppressants, given concomitantly increases the risk of Epstein-Barr virus (EBV)-associated lymphoproliferative disorders.

5.5 Macrophage Activation Syndrome

Macrophage activation syndrome (MAS) (hemophagocytic lymphohistiocytosis) is a known, life-threatening disorder that may develop in patients with autoimmune conditions, in particular with inflammatory bowel disease (IBD), and there could potentially be an increased susceptibility for developing the condition with the use of mercaptopurine (an unapproved use). If MAS occurs, or is suspected, discontinue Mercaptopurine Tablets. Monitor for and promptly treat infections such as EBV and cytomegalovirus (CMV), as these are known triggers for MAS.

16 How Supplied/storage and Handling

Mercaptopurine Tablets, USP

50 mg supplied as pale yellow, biconvex tablets, with product identification “54 420” on one side and a score on the other side.

NDC 0054-4581-11: Bottle of 25 Tablets

NDC 0054-4581-27: Bottle of 250 Tablets

Store at 20°C to 25°C (68°F to 77°F). [See USP Controlled Room Temperature.] Store in a dry place. Dispense in a tight, child-resistant container as defined in the USP/NF.

Mercaptopurine Tablets is a cytotoxic drug. Follow special handling and disposal procedures1.

Package/label Principal Display Panel

Mercaptopurine Tablets, USP

NDC 0054-4581-11: Bottle of 25 Tablets

Rx only

8.3 Females and Males of Reproductive Potential

Mercaptopurine Tablets can cause fetal harm when administered to pregnant women [see Use in Specific Populations (8.1)].

Pregnancy Testing

Verify the pregnancy status in females of reproductive potential prior to initiating Mercaptopurine Tablets [see Use in Specific Populations (8.1)].

Contraception

Females

Advise females of reproductive potential to use effective contraception during treatment with Mercaptopurine Tablets and for 6 months after the last dose.

Males

Based on genotoxicity findings, advise males with female partners of reproductive potential to use effective contraception during treatment with Mercaptopurine Tablets and for 3 months after the last dose [see Nonclinical Toxicology (13.1)].

Infertility

Females and Males

Based on findings from animal studies, Mercaptopurine Tablets can impair female and male fertility [see Nonclinical Toxicology (13.1)]. The long-term effects of mercaptopurine on female and male fertility, including the reversibility have not been studied.

2.3 Dosage Modifications in Renal and Hepatic Impairment

Renal Impairment

Use the lowest recommended starting dosage for Mercaptopurine Tablets in patients with renal impairment (CLcr less than 50 mL/min). Adjust the dosage to maintain absolute neutrophil count (ANC) at a desirable level and for adverse reactions [see Use in Specific Populations (8.6)].

Hepatic Impairment

Use the lowest recommended starting dosage for Mercaptopurine Tablets in patients with hepatic impairment. Adjust the dosage to maintain absolute neutrophil count (ANC) at a desirable level and for adverse reactions [see Uses in Specific Populations (8.7)].

13.1 Carcinogenesis, Mutagenesis, Impairment of Fertility

Mercaptopurine is carcinogenic in animals.

Mercaptopurine causes chromosomal aberrations in cells derived from animals and humans and induces dominant-lethal mutations in the germ cells of male mice.

Mercaptopurine can impair fertility. In mice, surviving female offspring of mothers who received chronic low doses of mercaptopurine during pregnancy were found sterile, or if they became pregnant, had smaller litters and more dead fetuses as compared to control animals.

2.4 Dosage Modification With Concomitant Use of Allopurinol

Reduce the dose of Mercaptopurine Tablets to one-third to one-quarter of the current dosage when coadministered with allopurinol [see Drug Interactions (7.1)].

2.2 Dosage Modifications in Patients With Tpmt and Nudt15 Deficiency

Consider testing for TPMT and NUDT15 deficiency in patients who experience severe myelosuppression or repeated episodes of myelosuppression [see Warnings and Precautions (5.1), Clinical Pharmacology (12.5)].

Homozygous Deficiency in either TPMT or NUDT15

Patients with homozygous deficiency of either enzyme typically require 10% or less of the recommended dosage. Reduce the recommended starting dosage of Mercaptopurine Tablets in patients who are known to have homozygous TPMT or NUDT15 deficiency.

Heterozygous Deficiency in TPMT and/or NUDT15

Reduce the Mercaptopurine Tablets dose based on tolerability. Most patients with heterozygous TPMT or NUDT15 deficiency tolerate the recommended dosage, but some require a dose reduction based on adverse reactions. Patients who are heterozygous for both TPMT and NUDT15 may require more substantial dose reductions.


Structured Label Content

Section 43683-2 (43683-2)

Warnings and Precautions, Hepatotoxicity (5.2) 7/2024

7.2 Warfarin

The concomitant administration of Mercaptopurine Tablets and warfarin may decrease the anticoagulant effectiveness of warfarin. Monitor the international normalized ratio (INR) in patients receiving warfarin and adjust the warfarin dosage as appropriate.

10 Overdosage (10 OVERDOSAGE)

Signs and symptoms of mercaptopurine overdosage may be immediate (anorexia, nausea, vomiting, and diarrhea); or delayed (myelosuppression, liver dysfunction, and gastroenteritis). Dialysis cannot be expected to clear mercaptopurine. Hemodialysis is thought to be of marginal use due to the rapid intracellular incorporation of mercaptopurine into active metabolites with long persistence.

Withhold Mercaptopurine Tablets immediately for severe or life-threatening adverse reactions occur during treatment. If a patient is seen immediately following an accidental overdosage, it may be useful to induce emesis.

15 References (15 REFERENCES)
8.1 Pregnancy

Risk Summary

Mercaptopurine Tablets can cause fetal harm when administered to a pregnant woman [see Clinical Pharmacology (12.1)]. Pregnant women who receive mercaptopurine have an increased incidence of miscarriage and stillbirth (see Data). Advise pregnant women of the potential risk to a fetus.

The estimated background risk of major birth defects and miscarriage for the indicated population(s) is unknown. All pregnancies have a background risk of birth defect, loss, or other adverse outcomes. In the U.S. general population, the estimated background risk of major birth defects and miscarriage in clinically recognized pregnancies is 2% to 4% and 15% to 20%, respectively.

Data

Human Data

Women receiving mercaptopurine in the first trimester of pregnancy have an increased incidence of miscarriage; the risk of malformation in offspring surviving first trimester exposure is not known. In a series of 28 women receiving mercaptopurine after the first trimester of pregnancy, 3 mothers died prior to delivery, 1 delivered a stillborn child, and 1 aborted; there were no cases of macroscopically abnormal fetuses.

Animal Data

Mercaptopurine was embryo-lethal and teratogenic in several animal species (rat, mouse, rabbit, and hamster) at doses less than the recommended human dose.

8.2 Lactation

Risk Summary

There are no data on the presence of mercaptopurine or its metabolites in human milk, the effects on the breastfed child, or the effects on milk production. Because of the potential for serious adverse reactions in the breastfed child, advise women not to breastfeed during treatment with Mercaptopurine Tablets and for 1 week after the last dose.

11 Description (11 DESCRIPTION)

Mercaptopurine is a nucleoside metabolic inhibitor, the chemical name is 6H-purine-6-thione, 1,7-dihydro-, monohydrate. The molecular formula is C5H4N4S • H2O and the molecular weight is 170.20. Its structural formula is:

Mercaptopurine is a yellow, crystalline powder. Mercaptopurine is practically insoluble in water and in ether. It has a pKa of 7.8, an average tapped density of 1.0 g/mL and average bulk density of 0.85 g/mL. It dissolves in solutions of alkali hydroxides.

Mercaptopurine Tablets, USP are available for oral use. Each scored tablet contains 50 mg mercaptopurine, USP and the following inactive ingredients: corn starch, hypromellose, lactose (anhydrous), lactose monohydrate, magnesium stearate, potato starch, sodium starch glycolate and stearic acid.

Each tablet meets the requirements of Test 2 for Dissolution in the USP monograph for Mercaptopurine Tablets, USP.

7.1 Allopurinol

Allopurinol can inhibit the first-pass oxidative metabolism of mercaptopurine by xanthine oxidase, which can lead to an increased risk of mercaptopurine adverse reactions (i.e., myelosuppression, nausea, and vomiting) [see Warnings and Precautions (5.1), Adverse Reactions (6.1)]. Reduce the dose of Mercaptopurine Tablets when coadministered with allopurinol [see Dosage and Administration (2.4)].

8.4 Pediatric Use

Safety and effectiveness of Mercaptopurine Tablets have been established in pediatric patients. Use of Mercaptopurine Tablets in pediatrics is supported by evidence from the published literature and clinical experience. Symptomatic hypoglycemia has been reported in pediatric patients with ALL receiving mercaptopurine. Reported cases were in pediatrics less than 6 years of age or with a low body mass index.

8.5 Geriatric Use

Clinical studies of mercaptopurine did not include sufficient numbers of subjects aged 65 and over to determine whether they respond differently from younger subjects. Other reported clinical experience has not identified differences in responses between the elderly and younger patients. In general, dose selection for an elderly patient should be cautious, usually starting at the low end of the dosing range, reflecting the greater frequency of decreased hepatic, renal, or cardiac function, and of concomitant disease or another drug therapy.

5.2 Hepatotoxicity

Mercaptopurine is hepatotoxic. There are reports of deaths attributed to hepatic necrosis associated with the administration of mercaptopurine. Hepatic injury can occur with any dosage but seems to occur with greater frequency when the recommended dosage is exceeded. In some patients, jaundice has cleared following withdrawal of mercaptopurine and reappeared with rechallenge.

Usually, clinically detectable jaundice appears early in the course of treatment (1 to 2 months); however, jaundice has been reported as early as 1 week and as late as 8 years after the starting mercaptopurine. The hepatotoxicity has been associated in some cases with anorexia, diarrhea, jaundice, ascites, and pruritus. Hepatic encephalopathy has occurred.

Monitor serum transaminase levels, alkaline phosphatase, and bilirubin levels at weekly intervals when first beginning therapy and at monthly intervals thereafter. Monitor liver tests more frequently in patients who are receiving Mercaptopurine Tablets with other hepatotoxic products [see Drug Interactions (7.5)] or with known pre-existing liver disease. Withhold Mercaptopurine Tablets at onset of hepatotoxicity.

Intrahepatic Cholestasis of Pregnancy

Postmarketing cases of intrahepatic cholestasis of pregnancy (ICP) have been reported in patients with inflammatory bowel disease who received mercaptopurine during pregnancy. Mercaptopurine Tablets are not indicated for use in inflammatory bowel disease [see Indications and Usage ( 1.1 )].

Discontinue Mercaptopurine Tablets if ICP develops in a pregnant woman.

4 Contraindications (4 CONTRAINDICATIONS)

None.

6 Adverse Reactions (6 ADVERSE REACTIONS)

The following clinically significant adverse reactions are described elsewhere in the labeling:

  • Myelosuppression [see Warnings and Precautions (5.1)]
  • Hepatotoxicity [see Warnings and Precautions (5.2)]
  • Immunosuppression [see Warnings and Precautions (5.3)]
  • Treatment related malignancies [see Warnings and Precautions (5.4)]
  • Macrophage activation syndrome [see Warnings and Precautions (5.5)]
7 Drug Interactions (7 DRUG INTERACTIONS)
  • Allopurinol: Reduce the dose of Mercaptopurine Tablets when co-administered with allopurinol. (2.4, 7.1)
  • Warfarin: Mercaptopurine Tablets may decrease the anticoagulant effect. (7.2)
5.1 Myelosuppression

The most consistent, dose-related adverse reaction is myelosuppression, manifested by anemia, leukopenia, thrombocytopenia, or any combination of these. Monitor CBC and adjust the dosage of Mercaptopurine Tablets for excessive myelosuppression [see Dosage and Administration (2.1)].

Consider testing for TPMT or NUDT15 deficiency in patients with severe myelosuppression or repeated episodes of myelosuppression. TPMT genotyping or phenotyping (red blood cell TPMT activity) and NUDT15 genotyping can identify patients who have reduced activity of these enzymes. Patients with heterozygous or homozygous TPMT or NUDT15 deficiency may require a dose reduction [see Dosage and Administration (2.2), Clinical Pharmacology (12.5)].

Myelosuppression can be exacerbated by coadministration with allopurinol, aminosalicylates or other products that cause myelosuppression [see Drug Interactions (7.1, 7.3, 7.4)]. Reduce the dose of Mercaptopurine Tablets when coadministered with allopurinol [see Dosage and Administration (2.4)].

7.4 Aminosalicylates

Aminosalicylates (e.g., mesalamine, olsalazine or sulfasalazine) may inhibit the TPMT enzyme, which may increase the risk of myelosuppression when coadministered with Mercaptopurine Tablets. When aminosalicylates and Mercaptopurine Tablets are coadministered, use the lowest possible doses for each drug and monitor more frequently for myelosuppression [see Warnings and Precautions (5.1)].

8.6 Renal Impairment

Use the lowest recommended starting dosage for Mercaptopurine Tablets or increase the dosing interval to every 36 to 48 hours in patients with renal impairment (CLcr less than 50 mL/min). Adjust the dose to maintain absolute neutrophil count (ANC) at a desirable level and for adverse reactions [see Dosage and Administration (2.3) ].

12.2 Pharmacodynamics

Exposure-Response Relationships

Mercaptopurine exposure-response relationships and the time course of pharmacodynamics response are unknown.

12.3 Pharmacokinetics

Following a single oral dose of mercaptopurine 50 mg under fasted conditions to adult healthy subjects, the mean

AUC0-INF was 129 h·ng/mL and Cmax was 69 ng/mL.

Absorption

Food Effect

Food has been shown to decrease the exposure of mercaptopurine.

Distribution

The volume of distribution usually exceeded that of the total body water. There is negligible entry of mercaptopurine into cerebrospinal fluid.

Plasma protein binding averages 19% over the concentration range 10 to 50 mcg/mL (a concentration only achieved by intravenous administration of mercaptopurine at doses exceeding 5 to 10 mg/kg).

Elimination

The elimination half-life is less than 2 hours following a single oral dose.

Metabolism

Mercaptopurine is inactivated via two major pathways. One is thiol methylation, which is catalyzed by the polymorphic enzyme thiopurine S-methyltransferase (TPMT), to form the inactive metabolite methyl-mercaptopurine. The second inactivation pathway is oxidation, which is catalyzed by xanthine oxidase. The product of oxidation is the inactive metabolite 6-thiouric acid.

Excretion

Following the oral administration of radiolabeled mercaptopurine, 46% of the dose was recovered in the urine (as parent drug and metabolites) in the first 24 hours.

12.5 Pharmacogenomics

Several published studies indicate that patients with reduced TPMT or NUDT15 activity receiving usual doses of mercaptopurine, accumulate excessive cellular concentrations of active 6-TGNs, and are at higher risk for severe myelosuppression. In a study of 1028 children with ALL, the approximate tolerated mercaptopurine dosage for patients with TPMT and/or NUDT15 deficiency on mercaptopurine maintenance therapy (as a percentage of the planned dosage) was as follows: heterozygous for either TPMT or NUDT15, 50 to 90%; heterozygous for both TPMT and NUDT15, 30 to 50%; homozygous for either TPMT or NUDT15, 5 to 10%.

Approximately 0.3% (1:300) of patients of European or African ancestry have two loss-of-function alleles of the TPMT gene and have little or no TPMT activity (homozygous deficient or poor metabolizers), and approximately 10% of patients have one loss-of-function TPMT allele leading to intermediate TPMT activity (heterozygous deficient or intermediate metabolizers). The TPMT*2, TPMT*3A, and TPMT*3C alleles account for about 95% of individuals with reduced levels of TPMT activity.

NUDT15 deficiency is detected in <1% of patients of European or African ancestry. Among patients of East Asian ancestry (i.e., Chinese, Japanese, Vietnamese), 2% have two loss-of-function alleles of the NUDT15 gene, and approximately 21% have one loss-of-function allele. The p.R139C variant of NUDT15 (present on the *2 and *3 alleles) is the most commonly observed, but other less common loss-of-function NUDT15 alleles have been observed.

Consider all clinical information when interpreting results from phenotypic testing used to determine the level of thiopurine nucleotides or TPMT activity in erythrocytes, since some coadministered drugs can influence measurement of TPMT activity in blood and blood from recent transfusions will misrepresent a patient’s actual TPMT activity [see Dosage and Administration (2.2), Warnings and Precautions (5.1)].

5.3 Immunosuppression

Mercaptopurine is immunosuppressive and may impair the immune response to infectious agents or vaccines. Due to the immunosuppression associated with maintenance chemotherapy for ALL, response to all vaccines may be diminished and there is a risk of infection with live virus vaccines. Consult immunization guidelines for immunocompromised patients.

2.1 Recommended Dosage

The recommended starting dosage of Mercaptopurine Tablets is 1.5 mg/kg to 2.5 mg/kg orally once daily as part of combination chemotherapy maintenance regimen. A recommended dosage for patients less than 17 kg is not achievable, because the only available strength is 50 mg. Take Mercaptopurine Tablets either consistently with or without food.

After initiating Mercaptopurine Tablets, monitor complete blood count (CBC) and adjust the dose to maintain absolute neutrophil count (ANC) at a desirable level and for excessive myelosuppression. Evaluate the bone marrow in patients with prolonged myelosuppression or repeated episodes of myelosuppression to assess leukemia status and marrow cellularity.

Evaluate thiopurine S-methyltransferase (TPMT) and nucleotide diphosphatase (NUDT15) status in patients with severe myelosuppression or repeated episodes or myelosuppression [see Dosage and Administration (2.2)].

Do not administer to patients who are unable to swallow tablets.

If a patient misses a dose, instruct the patient to continue with the next scheduled dose.

Mercaptopurine Tablets is a cytotoxic drug. Follow special handling and disposal procedures.

8.7 Hepatic Impairment

Use the lowest recommended starting dosage for Mercaptopurine Tablets in patients with hepatic impairment. Adjust the dose to maintain absolute neutrophil count (ANC) at a desirable level and for adverse reactions [see Dosage and Administration (2.3)].

1 Indications and Usage (1 INDICATIONS AND USAGE)

Mercaptopurine Tablets is a nucleoside metabolic inhibitor indicated for treatment of adult and pediatric patients with acute lymphoblastic leukemia (ALL) as part of a combination chemotherapy maintenance regimen. (1.1)

12.1 Mechanism of Action

Mercaptopurine is a purine analog that undergoes intracellular transport and activation to form metabolites including thioguanine nucleotides (TGNs). Incorporation of TGNs into DNA or RNA results in cell-cycle arrest and cell death. TGNs and other mercaptopurine metabolites are also inhibitors of de novo purine synthesis and purine nucleotide interconversions. Mercaptopurine was cytotoxic to proliferating cancer cells in vitro and had antitumor activity in mouse tumor models. It is not known which of the biochemical effects of mercaptopurine and its metabolites are directly or predominantly responsible for cell death.

7.5 Hepatotoxic Products

Mercaptopurine Tablets can cause hepatotoxicity. Hepatotoxicity may be increased when Mercaptopurine Tablets are coadministered with other products that cause hepatotoxicity. Monitor liver tests more frequently in patients who are receiving Mercaptopurine Tablets with other hepatotoxic products [see Warnings and Precautions (5.2)].

5.6 Embryo Fetal Toxicity (5.6 Embryo-Fetal Toxicity)

Mercaptopurine Tablets can cause fetal harm when administered to a pregnant woman. An increased incidence of miscarriage has been reported in women who received mercaptopurine in the first trimester of pregnancy. Adverse embryo-fetal findings, including miscarriage and stillbirth, have been reported in women who received mercaptopurine after the first trimester of pregnancy. Advise pregnant women of the potential risk to a fetus. Advise females of reproductive potential to use effective contraception during treatment with Mercaptopurine Tablets and for 6 months after the last dose. Advise males with female partners of reproductive potential to use effective contraception during treatment with Mercaptopurine Tablets and for 3 months after the last dose [see Use in Specific Populations (8.1, 8.3)].

5 Warnings and Precautions (5 WARNINGS AND PRECAUTIONS)
  • Myelosuppression: Monitor complete blood count (CBC) and adjust the dose of Mercaptopurine Tablets for excessive myelosuppression. Consider testing in patients with severe myelosuppression or repeated episodes of myelosuppression for thiopurine S-methyltransferase (TPMT) or nucleotide diphosphatase (NUDT15) deficiency. Patients with homozygous or homozygous TPMT or NUDT15 deficiency may require a dose reduction. (2.2, 5.1)
  • Hepatotoxicity: Monitor transaminases, alkaline phosphatase and bilirubin. Withhold Mercaptopurine Tablets at onset of hepatotoxicity. (5.2)
  • Immunosuppression: Response to all vaccines may be diminished and there is a risk of infection with live virus vaccines. Consult immunization guidelines for immunocompromised patients. (5.3)
  • Treatment Related Malignancies: Aggressive and fatal cases of hepatosplenic T-cell lymphoma have occurred. (5.4)
  • Macrophage Activation Syndrome: Monitor for and treat promptly; discontinue Mercaptopurine Tablets. (5.5)
  • Embryo-Fetal Toxicity: Can cause fetal harm. Advise patients of reproductive potential of the potential risk to a fetus and to use effective contraception. (5.6, 8.1, 8.3)
2 Dosage and Administration (2 DOSAGE AND ADMINISTRATION)
  • The recommended starting dose of Mercaptopurine Tablets is 1.5 mg/kg to 2.5 mg/kg orally once daily as part of a combination chemotherapy maintenance regimen. Adjust dose to maintain desirable absolute neutrophil count and for excessive myelosuppression. (2.1)
  • Renal Impairment: Use the lowest recommended starting dose or increase the dosing interval. (2.3, 8.6)
  • Hepatic Impairment: Use the lowest recommended starting dose. (2.3, 8.7)
3 Dosage Forms and Strengths (3 DOSAGE FORMS AND STRENGTHS)

Tablets: 50 mg mercaptopurine are pale yellow, biconvex tablets, with product identification “54 420” on one side and a score on the other side.

6.2 Postmarketing Experience

The following adverse reactions have been identified during postapproval use of Mercaptopurine Tablets. Because these reactions are reported voluntarily from a population of uncertain size, it is not always possible to reliably estimate their frequency or establish a causal relationship to drug exposure. These reactions include: intrahepatic cholestasis of pregnancy (ICP).

7.3 Myelosuppressive Products

Mercaptopurine Tablets can cause myelosuppression. Myelosuppression may be increased when Mercaptopurine Tablets are coadministered with other products that cause myelosuppression. Enhanced myelosuppression has been noted in some patients also receiving trimethoprim-sulfamethoxazole. Monitor the CBC and adjust the dose of Mercaptopurine Tablets for excessive myelosuppression [see Dosage and Administration (2.1), Warnings and Precautions (5.1)].

8 Use in Specific Populations (8 USE IN SPECIFIC POPULATIONS)
  • Lactation: Advise not to breastfeed. (8.2)
  • Infertility: Can impair fertility. (8.3)
6.1 Clinical Trials Experience

Because clinical trials are conducted under widely varying conditions, adverse reaction rates observed in the clinical trials of a drug cannot be directly compared to rates in the clinical trials of another drug and may not reflect the rates observed in practice.

Based on multicenter cooperative group ALL trials, the most common adverse reaction occurring in > 20% of patients was myelosuppression, including anemia, neutropenia, lymphopenia and thrombocytopenia. Adverse reactions occurring in 5% to 20% of patients included anorexia, nausea, vomiting, diarrhea, malaise and rash. Adverse reactions occurring in < 5 % of patients included urticaria, hyperuricemia, oral lesions, increased transaminases, hyperbilirubinemia, hyperpigmentation, infections, and pancreatitis. Oral lesions resemble thrush rather than antifolic ulcerations. Delayed or late adverse reactions include hepatic fibrosis, hyperbilirubinemia, alopecia, pulmonary fibrosis, oligospermia and secondary malignancies [see Warnings and Precautions (5.1, 5.2)].

Drug fever has been reported with mercaptopurine.

Additional adverse reactions that have been reported in patients who have received mercaptopurine include photosensitivity, hypoglycemia, and portal hypertension.

1.1 Acute Lymphoblastic Leukemia

Mercaptopurine Tablets are indicated for treatment of adult and pediatric patients with acute lymphoblastic leukemia (ALL) as part of a combination chemotherapy maintenance regimen.

17 Patient Counseling Information (17 PATIENT COUNSELING INFORMATION)

Major Adverse Reactions

Advise patients and caregivers that Mercaptopurine Tablets can cause myelosuppression, hepatotoxicity, and gastrointestinal toxicity. Advise patients to contact their healthcare provider if they experience fever, sore throat, jaundice, nausea, vomiting, signs of local infection, bleeding from any site, or symptoms suggestive of anemia [see Warnings and Precautions (5.1 , 5.2 , 5.3)].

Embryo-Fetal Toxicity

  • Advise pregnant women of the potential risk to a fetus. Advise females of reproductive potential to inform their healthcare provider of a known or suspected pregnancy [see Warnings and Precautions (5.2, 5.6), Use in Specific Populations (8.1)].
  • Advise females of reproductive potential to use effective contraception during treatment with Mercaptopurine Tablets and for 6 months after the last dose [see Use in Specific Populations (8.3)].
  • Advise males with female partners of reproductive potential to use effective contraception during treatment with Mercaptopurine Tablets and for 3 months after the last dose [see Use in Specific Populations (8.3), Nonclinical Toxicology (13.1)].

Lactation

Advise women not to breastfeed during treatment with Mercaptopurine Tablets and for 1 week after the last dose

[see Use in Specific Populations (8.2)].

Infertility

Advise males and females of reproductive potential that Mercaptopurine Tablets can impair fertility [see Use in Specific Populations (8.3)].

Other Adverse Reactions

Instruct patients to minimize sun exposure due to risk of photosensitivity [see Adverse Reactions (6.1)].

Manufactured by: West-Ward Columbus Inc

1809 Wilson Road, Columbus, OH 43228/USA

Distributed by:

Hikma Pharmaceuticals USA Inc.

Berkeley Heights, NJ 07922

C50000734/03

Revised October 2024

5.4 Treatment Related Malignancies

Hepatosplenic T-cell lymphoma has been reported in patients treated with mercaptopurine for inflammatory bowel disease (IBD), an unapproved use. Mercaptopurine is mutagenic in animals and humans, carcinogenic in animals, and may increase the risk of secondary malignancies.

Patients receiving immunosuppressive therapy, including mercaptopurine, are at an increased risk of developing lymphoproliferative disorders and other malignancies, notably skin cancers (melanoma and non-melanoma), sarcomas (Kaposi's and non-Kaposi's) and uterine cervical cancer in situ. The increased risk appears to be related to the degree and duration of immunosuppression. It has been reported that discontinuation of immunosuppression may provide partial regression of the lymphoproliferative disorder.

A treatment regimen containing multiple immunosuppressants (including thiopurines) should therefore be used with caution as this could lead to lymphoproliferative disorders, some with reported fatalities. A combination of multiple immunosuppressants, given concomitantly increases the risk of Epstein-Barr virus (EBV)-associated lymphoproliferative disorders.

5.5 Macrophage Activation Syndrome

Macrophage activation syndrome (MAS) (hemophagocytic lymphohistiocytosis) is a known, life-threatening disorder that may develop in patients with autoimmune conditions, in particular with inflammatory bowel disease (IBD), and there could potentially be an increased susceptibility for developing the condition with the use of mercaptopurine (an unapproved use). If MAS occurs, or is suspected, discontinue Mercaptopurine Tablets. Monitor for and promptly treat infections such as EBV and cytomegalovirus (CMV), as these are known triggers for MAS.

16 How Supplied/storage and Handling (16 HOW SUPPLIED/STORAGE AND HANDLING)

Mercaptopurine Tablets, USP

50 mg supplied as pale yellow, biconvex tablets, with product identification “54 420” on one side and a score on the other side.

NDC 0054-4581-11: Bottle of 25 Tablets

NDC 0054-4581-27: Bottle of 250 Tablets

Store at 20°C to 25°C (68°F to 77°F). [See USP Controlled Room Temperature.] Store in a dry place. Dispense in a tight, child-resistant container as defined in the USP/NF.

Mercaptopurine Tablets is a cytotoxic drug. Follow special handling and disposal procedures1.

Package/label Principal Display Panel (PACKAGE/LABEL PRINCIPAL DISPLAY PANEL)

Mercaptopurine Tablets, USP

NDC 0054-4581-11: Bottle of 25 Tablets

Rx only

8.3 Females and Males of Reproductive Potential

Mercaptopurine Tablets can cause fetal harm when administered to pregnant women [see Use in Specific Populations (8.1)].

Pregnancy Testing

Verify the pregnancy status in females of reproductive potential prior to initiating Mercaptopurine Tablets [see Use in Specific Populations (8.1)].

Contraception

Females

Advise females of reproductive potential to use effective contraception during treatment with Mercaptopurine Tablets and for 6 months after the last dose.

Males

Based on genotoxicity findings, advise males with female partners of reproductive potential to use effective contraception during treatment with Mercaptopurine Tablets and for 3 months after the last dose [see Nonclinical Toxicology (13.1)].

Infertility

Females and Males

Based on findings from animal studies, Mercaptopurine Tablets can impair female and male fertility [see Nonclinical Toxicology (13.1)]. The long-term effects of mercaptopurine on female and male fertility, including the reversibility have not been studied.

2.3 Dosage Modifications in Renal and Hepatic Impairment

Renal Impairment

Use the lowest recommended starting dosage for Mercaptopurine Tablets in patients with renal impairment (CLcr less than 50 mL/min). Adjust the dosage to maintain absolute neutrophil count (ANC) at a desirable level and for adverse reactions [see Use in Specific Populations (8.6)].

Hepatic Impairment

Use the lowest recommended starting dosage for Mercaptopurine Tablets in patients with hepatic impairment. Adjust the dosage to maintain absolute neutrophil count (ANC) at a desirable level and for adverse reactions [see Uses in Specific Populations (8.7)].

13.1 Carcinogenesis, Mutagenesis, Impairment of Fertility

Mercaptopurine is carcinogenic in animals.

Mercaptopurine causes chromosomal aberrations in cells derived from animals and humans and induces dominant-lethal mutations in the germ cells of male mice.

Mercaptopurine can impair fertility. In mice, surviving female offspring of mothers who received chronic low doses of mercaptopurine during pregnancy were found sterile, or if they became pregnant, had smaller litters and more dead fetuses as compared to control animals.

2.4 Dosage Modification With Concomitant Use of Allopurinol (2.4 Dosage Modification with Concomitant Use of Allopurinol)

Reduce the dose of Mercaptopurine Tablets to one-third to one-quarter of the current dosage when coadministered with allopurinol [see Drug Interactions (7.1)].

2.2 Dosage Modifications in Patients With Tpmt and Nudt15 Deficiency (2.2 Dosage Modifications in Patients with TPMT and NUDT15 Deficiency)

Consider testing for TPMT and NUDT15 deficiency in patients who experience severe myelosuppression or repeated episodes of myelosuppression [see Warnings and Precautions (5.1), Clinical Pharmacology (12.5)].

Homozygous Deficiency in either TPMT or NUDT15

Patients with homozygous deficiency of either enzyme typically require 10% or less of the recommended dosage. Reduce the recommended starting dosage of Mercaptopurine Tablets in patients who are known to have homozygous TPMT or NUDT15 deficiency.

Heterozygous Deficiency in TPMT and/or NUDT15

Reduce the Mercaptopurine Tablets dose based on tolerability. Most patients with heterozygous TPMT or NUDT15 deficiency tolerate the recommended dosage, but some require a dose reduction based on adverse reactions. Patients who are heterozygous for both TPMT and NUDT15 may require more substantial dose reductions.


Advanced Ingredient Data


Raw Label Data

All Sections (JSON)