Diclofenac Potassium Tablets, Usp 50mg

Diclofenac Potassium Tablets, Usp 50mg
SPL v6
SPL
SPL Set ID c2c79af6-f35e-5cdf-e053-2a95a90a4d63
Route
ORAL
Published
Effective Date 2024-04-19
Document Type 34391-3 HUMAN PRESCRIPTION DRUG LABEL

Drug Facts

Composition & Product

Active Ingredients
Diclofenac (50 mg)
Inactive Ingredients
Hydroxyethyl Cellulose (140 Mpa.s At 5%) Ferric Oxide Yellow Silicon Dioxide Ferric Oxide Red Methyl Alcohol Povidone, Unspecified Magnesium Stearate Polyethylene Glycol 8000 Sodium Bicarbonate Titanium Dioxide

Identifiers & Packaging

Pill Appearance
Imprint: AMI;DP50 Shape: round Color: brown Size: 5 mm Score: 1
Marketing Status
ANDA Active Since 2004-03-18

Description

Cardiovascular Thrombotic Events • Nonsteroidal Anti-Inflammatory Drugs (NSAIDs) cause an increased risk of serious cardiovascular thrombotic events, including myocardial infarction and stroke, which can be fatal. This risk may occur early in treatment and may increase with duration of use (see WARNINGS ). • Diclofenac potassium tablets are contraindicated in the setting of coronary artery bypass graft (CABG) surgery (see CONTRAINDICATIONS , WARNINGS ). Gastrointestinal Bleeding, Ulceration, and Perforation • NSAIDs cause an increased risk of serious gastrointestinal (GI) adverse events including bleeding, ulceration, and perforation of the stomach or intestines, which can be fatal. These events can occur at any time during use and without warning symptoms. Elderly patients and patients with a prior history of peptic ulcer disease and/or GI bleeding are at greater risk for serious GI events (see WARNINGS ).

Indications and Usage

Carefully consider the potential benefits and risks of diclofenac potassium tablets and other treatment options before deciding to use diclofenac potassium tablets. Use the lowest effective dose for the shortest duration consistent with individual patient treatment goals (see WARNINGS: Gastrointestinal Bleeding, Ulceration, and Perforation ). Diclofenac potassium tablets are indicated: For treatment of primary dysmenorrhea For relief of mild to moderate pain For relief of the signs and symptoms of osteoarthritis For relief of the signs and symptoms of rheumatoid arthritis

Dosage and Administration

Carefully consider the potential benefits and risks of diclofenac potassium tablets and other treatment options before deciding to use diclofenac potassium tablets. Use the lowest effective dose for the shortest duration consistent with individual patient treatment goals (see WARNINGS: Gastrointestinal Bleeding, Ulceration, and Perforation ). After observing the response to initial therapy with diclofenac potassium tablets, the dose and frequency should be adjusted to suit an individual patient’s needs. For treatment of pain or primary dysmenorrhea the recommended dosage is 50 mg three times a day. With experience, physicians may find that in some patients an initial dose of 100 mg of diclofenac potassium tablets, followed by 50 mg doses, will provide better relief. For the relief of osteoarthritis the recommended dosage is 100-150 mg/day in divided doses, 50 mg twice a day or three times a day. For the relief of rheumatoid arthritis the recommended dosage is 150-200 mg/day in divided doses, 50 mg three times a day or four times a day. Different formulations of diclofenac (diclofenac sodium enteric-coated tablets; diclofenac sodium extended-release tablets; diclofenac potassium immediate-release tablets) are not necessarily bioequivalent even if the milligram strength is the same.

Contraindications

Diclofenac potassium tablets are contraindicated in the following patients: Known hypersensitivity (e.g., anaphylactic reactions and serious skin reactions) to diclofenac or any components of the drug product (see WARNINGS: Anaphylactic Reactions , Serious Skin Reactions ). History of asthma, urticaria, or allergic-type reactions after taking aspirin or other NSAIDs. Severe, sometimes fatal, anaphylactic reactions to NSAIDs have been reported in such patients (see WARNINGS: Anaphylactic Reactions , Exacerbation of Asthma Related to Aspirin Sensitivity ). In the setting of coronary artery bypass graft (CABG) surgery (see WARNINGS: Cardiovascular Thrombotic Events ).

Adverse Reactions

The following adverse reactions are discussed in greater detail in other sections of the labeling: Cardiovascular Thrombotic Events (see WARNINGS ) GI Bleeding, Ulceration and Perforation (see WARNINGS ) Hepatotoxicity (see WARNINGS ) Hypertension (see WARNINGS ) Heart Failure and Edema (see WARNINGS ) Renal Toxicity and Hyperkalemia (see WARNINGS ) Anaphylactic Reactions (see WARNINGS ) Serious Skin Reactions (see WARNINGS ) Hematologic Toxicity (see WARNINGS )

Drug Interactions

See Table 2 for clinically significant drug interactions with diclofenac. Table 2. Clinically Significant Drug Interactions with Diclofenac Drugs That Interfere with Hemostasis Clinical Impact: Diclofenac and anticoagulants such as warfarin have a synergistic effect on bleeding. The concomitant use of diclofenac and anticoagulants have an increased risk of serious bleeding compared to the use of either drug alone. Serotonin release by platelets plays an important role in hemostasis. Case-control and cohort epidemiological studies showed that concomitant use of drugs that interfere with serotonin reuptake and an NSAID may potentiate the risk of bleeding more than an NSAID alone. Intervention: Monitor patients with concomitant use of diclofenac potassium tablets with anticoagulants (e.g., warfarin), antiplatelet agents (e.g., aspirin), selective serotonin reuptake inhibitors (SSRIs), and serotonin norepinephrine reuptake inhibitors (SNRIs) for signs of bleeding (see WARNINGS: Hematological Toxicity ). Aspirin Clinical Impact: Controlled clinical studies showed that the concomitant use of NSAIDs and analgesic doses of aspirin does not produce any greater therapeutic effect than the use of NSAIDs alone. In a clinical study, the concomitant use of an NSAID and aspirin was associated with a significantly increased incidence of GI adverse reactions as compared to use of the NSAID alone (see WARNINGS: Gastrointestinal Bleeding, Ulceration, and Perforation ). Intervention: Concomitant use of diclofenac potassium tablets and analgesic doses of aspirin is not generally recommended because of the increased risk of bleeding (see WARNINGS: Hematological Toxicity ). Diclofenac potassium tablets are not a substitute for low dose aspirin for cardiovascular protection. ACE Inhibitors, Angiotensin Receptor Blockers, and Beta-Blockers Clinical Impact: NSAIDs may diminish the antihypertensive effect of angiotensin converting enzyme (ACE) inhibitors, angiotensin receptor blockers (ARBs), or beta-blockers (including propranolol). In patients who are elderly, volume-depleted (including those on diuretic therapy), or have renal impairment, co-administration of an NSAID with ACE inhibitors or ARBs may result in deterioration of renal function, including possible acute renal failure. These effects are usually reversible. Intervention: During concomitant use of diclofenac potassium tablets and ACE-inhibitors, ARBs, or beta-blockers, monitor blood pressure to ensure that the desired blood pressure is obtained. During concomitant use of diclofenac potassium tablets and ACE-inhibitors or ARBs in patients who are elderly, volume-depleted, or have impaired renal function, monitor for signs of worsening renal function (see WARNINGS: Renal Toxicity and Hyperkalemia ). When these drugs are administered concomitantly, patients should be adequately hydrated. Assess renal function at the beginning of the concomitant treatment and periodically thereafter. Diuretics Clinical Impact: Clinical studies, as well as postmarketing observations, showed that NSAIDs reduced the natriuretic effect of loop diuretics (e.g., furosemide) and thiazide diuretics in some patients. This effect has been attributed to the NSAID inhibition of renal prostaglandin synthesis. Intervention: During concomitant use of diclofenac potassium tablets with diuretics, observe patients for signs of worsening renal function, in addition to assuring diuretic efficacy including antihypertensive effects (see WARNINGS: Renal Toxicity and Hyperkalemia ). Digoxin Clinical Impact: The concomitant use of diclofenac with digoxin has been reported to increase the serum concentration and prolong the half-life of digoxin. Intervention: During concomitant use of diclofenac potassium tablets and digoxin, monitor serum digoxin levels. Lithium Clinical Impact: NSAIDs have produced elevations in plasma lithium levels and reductions in renal lithium clearance . The mean minimum lithium concentration increased 15%, and the renal clearance decreased by approximately 20%. This effect has been attributed to NSAID inhibition of renal prostaglandin synthesis. Intervention: During concomitant use of diclofenac potassium tablets and lithium, monitor patients for signs of lithium toxicity. Methotrexate Clinical Impact: Concomitant use of NSAIDs and methotrexate may increase the risk for methotrexate toxicity (e.g., neutropenia, thrombocytopenia, renal dysfunction). Intervention: During concomitant use of diclofenac potassium tablets and methotrexate, monitor patients for methotrexate toxicity. Cyclosporine Clinical Impact: Concomitant use of diclofenac potassium tablets and cyclosporine may increase cyclosporine’s nephrotoxicity. Intervention: During concomitant use of diclofenac potassium tablets and cyclosporine, monitor patients for signs of worsening renal function. NSAIDs and Salicylates Clinical Impact: Concomitant use of diclofenac with other NSAIDs or salicylates (e.g., diflunisal, salsalate) increases the risk of GI toxicity, with little or no increase in efficacy (see WARNINGS: Gastrointestinal Bleeding, Ulceration, and Perforation ). Intervention: The concomitant use of diclofenac with other NSAIDs or salicylates is not recommended. Pemetrexed Clinical Impact: Concomitant use of diclofenac potassium tablets and pemetrexed may increase the risk of pemetrexed-associated myelosuppression, renal, and GI toxicity (see the pemetrexed prescribing information). Intervention: During concomitant use of diclofenac potassium tablets and pemetrexed, in patients with renal impairment whose creatinine clearance ranges from 45 mL/min to 79 mL/min, monitor for myelosuppression, renal and GI toxicity. NSAIDs with short elimination half-lives (e.g., diclofenac, indomethacin) should be avoided for a period of two days before, the day of, and two days following administration of pemetrexed. In the absence of data regarding potential interaction between pemetrexed and NSAIDs with longer half-lives (e.g., meloxicam, nabumetone), patients taking these NSAIDs should interrupt dosing for at least five days before, the day of, and two days following pemetrexed administration. CYP2C9 Inhibitors or Inducers Clinical Impact: Diclofenac is metabolized by cytochrome P450 enzymes, predominantly by CYP2C9. Co-administration of diclofenac with CYP2C9 inhibitors (e.g., voriconazole) may enhance the exposure and toxicity of diclofenac whereas co-administration with CYP2C9 inducers (e.g., rifampin) may lead to compromised efficacy of diclofenac. Intervention: A dosage adjustment may be warranted when diclofenac is administered with CYP2C9 inhibitors or inducers (see CLINICAL PHARMACOLOGY: Pharmacokinetics ).

How Supplied

Diclofenac Potassium Tablets, USP 50 mg are available for oral administration as light brown, round shaped, unscored, film coated tablets, imprinted “AMI” on one side and “DP” over “50” on the other side. They are supplied as follows: Bottles of 100 NDC 51407-443-01 Dispense in a tight, light-resistant container as defined in the USP using a child resistant closure. Keep container tightly closed. Store at 20° to 25°C (68° to 77°F). [See USP Controlled Room Temperature.] Protect from moisture. PHARMACIST: Dispense a Medication Guide with each prescription. AMICI PHARMACEUTICALS LLC. DICLOFENAC POTASSIUM TABLETS, USP 50 mg Distributed by: Amici Pharmaceuticals LLC. Melville, NY 11747 Revision date: April 2024 Marketed by: GSMS, Inc. Camarillo, CA 93012 USA


Medication Information

Indications and Usage

Carefully consider the potential benefits and risks of diclofenac potassium tablets and other treatment options before deciding to use diclofenac potassium tablets. Use the lowest effective dose for the shortest duration consistent with individual patient treatment goals (see WARNINGS: Gastrointestinal Bleeding, Ulceration, and Perforation).

Diclofenac potassium tablets are indicated:

  • For treatment of primary dysmenorrhea
  • For relief of mild to moderate pain
  • For relief of the signs and symptoms of osteoarthritis
  • For relief of the signs and symptoms of rheumatoid arthritis
Dosage and Administration

Carefully consider the potential benefits and risks of diclofenac potassium tablets and other treatment options before deciding to use diclofenac potassium tablets. Use the lowest effective dose for the shortest duration consistent with individual patient treatment goals (see WARNINGS: Gastrointestinal Bleeding, Ulceration, and Perforation).

After observing the response to initial therapy with diclofenac potassium tablets, the dose and frequency should be adjusted to suit an individual patient’s needs.

For treatment of pain or primary dysmenorrhea the recommended dosage is 50 mg three times a day. With experience, physicians may find that in some patients an initial dose of 100 mg of diclofenac potassium tablets, followed by 50 mg doses, will provide better relief.

For the relief of osteoarthritis the recommended dosage is 100-150 mg/day in divided doses, 50 mg twice a day or three times a day.

For the relief of rheumatoid arthritis the recommended dosage is 150-200 mg/day in divided doses, 50 mg three times a day or four times a day.

Different formulations of diclofenac (diclofenac sodium enteric-coated tablets; diclofenac sodium extended-release tablets; diclofenac potassium immediate-release tablets) are not necessarily bioequivalent even if the milligram strength is the same.

Contraindications

Diclofenac potassium tablets are contraindicated in the following patients:

Adverse Reactions

The following adverse reactions are discussed in greater detail in other sections of the labeling:

  • Cardiovascular Thrombotic Events (see WARNINGS)
  • GI Bleeding, Ulceration and Perforation (see WARNINGS)
  • Hepatotoxicity (see WARNINGS)
  • Hypertension (see WARNINGS)
  • Heart Failure and Edema (see WARNINGS)
  • Renal Toxicity and Hyperkalemia (see WARNINGS)
  • Anaphylactic Reactions (see WARNINGS)
  • Serious Skin Reactions (see WARNINGS)
  • Hematologic Toxicity (see WARNINGS)
Drug Interactions

See Table 2 for clinically significant drug interactions with diclofenac.

Table 2. Clinically Significant Drug Interactions with Diclofenac

Drugs That Interfere with Hemostasis

Clinical Impact:

  • Diclofenac and anticoagulants such as warfarin have a synergistic effect on bleeding. The concomitant use of diclofenac and anticoagulants have an increased risk of serious bleeding compared to the use of either drug alone.
  • Serotonin release by platelets plays an important role in hemostasis. Case-control and cohort epidemiological studies showed that concomitant use of drugs that interfere with serotonin reuptake and an NSAID may potentiate the risk of bleeding more than an NSAID alone.

Intervention:

Monitor patients with concomitant use of diclofenac potassium tablets with anticoagulants (e.g., warfarin), antiplatelet agents (e.g., aspirin), selective serotonin reuptake inhibitors (SSRIs), and serotonin norepinephrine reuptake inhibitors (SNRIs) for signs of bleeding (see WARNINGS: Hematological Toxicity).

Aspirin

Clinical Impact:

Controlled clinical studies showed that the concomitant use of NSAIDs and analgesic doses of aspirin does not produce any greater therapeutic effect than the use of NSAIDs alone. In a clinical study, the concomitant use of an NSAID and aspirin was associated with a significantly increased incidence of GI adverse reactions as compared to use of the NSAID alone (see WARNINGS: Gastrointestinal Bleeding, Ulceration, and Perforation).

Intervention:

Concomitant use of diclofenac potassium tablets and analgesic doses of aspirin is not generally recommended because of the increased risk of bleeding (see WARNINGS: Hematological Toxicity). Diclofenac potassium tablets are not a substitute for low dose aspirin for cardiovascular protection.

ACE Inhibitors, Angiotensin Receptor Blockers, and Beta-Blockers

Clinical Impact:

  • NSAIDs may diminish the antihypertensive effect of angiotensin converting enzyme (ACE) inhibitors, angiotensin receptor blockers (ARBs), or beta-blockers (including propranolol).
  • In patients who are elderly, volume-depleted (including those on diuretic therapy), or have renal impairment, co-administration of an NSAID with ACE inhibitors or ARBs may result in deterioration of renal function, including possible acute renal failure. These effects are usually reversible.

Intervention:

  • During concomitant use of diclofenac potassium tablets and ACE-inhibitors, ARBs, or beta-blockers, monitor blood pressure to ensure that the desired blood pressure is obtained.
  • During concomitant use of diclofenac potassium tablets and ACE-inhibitors or ARBs in patients who are elderly, volume-depleted, or have impaired renal function, monitor for signs of worsening renal function (see WARNINGS: Renal Toxicity and Hyperkalemia).
  • When these drugs are administered concomitantly, patients should be adequately hydrated. Assess renal function at the beginning of the concomitant treatment and periodically thereafter.

Diuretics

Clinical Impact:

Clinical studies, as well as postmarketing observations, showed that NSAIDs reduced the natriuretic effect of loop diuretics (e.g., furosemide) and thiazide diuretics in some patients. This effect has been attributed to the NSAID inhibition of renal prostaglandin synthesis.

Intervention:

During concomitant use of diclofenac potassium tablets with diuretics, observe patients for signs of worsening renal function, in addition to assuring diuretic efficacy including antihypertensive effects (see WARNINGS: Renal Toxicity and Hyperkalemia).

Digoxin

Clinical Impact:

The concomitant use of diclofenac with digoxin has been reported to increase the serum concentration and prolong the half-life of digoxin.

Intervention:

During concomitant use of diclofenac potassium tablets and digoxin, monitor serum digoxin levels.

Lithium

Clinical Impact:

NSAIDs have produced elevations in plasma lithium levels and reductions in renal lithium clearance .The mean minimum lithium concentration increased 15%, and the renal clearance decreased by approximately 20%. This effect has been attributed to NSAID inhibition of renal prostaglandin synthesis.

Intervention:

During concomitant use of diclofenac potassium tablets and lithium, monitor patients for signs of lithium toxicity.

Methotrexate

Clinical Impact:

Concomitant use of NSAIDs and methotrexate may increase the risk for methotrexate toxicity (e.g., neutropenia, thrombocytopenia, renal dysfunction).

Intervention:

During concomitant use of diclofenac potassium tablets and methotrexate, monitor patients for methotrexate toxicity.

Cyclosporine

Clinical Impact:

Concomitant use of diclofenac potassium tablets and cyclosporine may increase cyclosporine’s nephrotoxicity.

Intervention:

During concomitant use of diclofenac potassium tablets and cyclosporine, monitor patients for signs of worsening renal function.

NSAIDs and Salicylates

Clinical Impact:

Concomitant use of diclofenac with other NSAIDs or salicylates (e.g., diflunisal, salsalate) increases the risk of GI toxicity, with little or no increase in efficacy (see WARNINGS: Gastrointestinal Bleeding, Ulceration, and Perforation).

Intervention:

The concomitant use of diclofenac with other NSAIDs or salicylates is not recommended.

Pemetrexed

Clinical Impact:

Concomitant use of diclofenac potassium tablets and pemetrexed may increase the risk of pemetrexed-associated myelosuppression, renal, and GI toxicity (see the pemetrexed prescribing information).

Intervention:

During concomitant use of diclofenac potassium tablets and pemetrexed, in patients with renal impairment whose creatinine clearance ranges from 45 mL/min to 79 mL/min, monitor for myelosuppression, renal and GI toxicity.

NSAIDs with short elimination half-lives (e.g., diclofenac, indomethacin) should be avoided for a period of two days before, the day of, and two days following administration of pemetrexed.

In the absence of data regarding potential interaction between pemetrexed and NSAIDs with longer half-lives (e.g., meloxicam, nabumetone), patients taking these NSAIDs should interrupt dosing for at least five days before, the day of, and two days following pemetrexed administration.

CYP2C9 Inhibitors or Inducers

Clinical Impact:

Diclofenac is metabolized by cytochrome P450 enzymes, predominantly by CYP2C9. Co-administration of diclofenac with CYP2C9 inhibitors (e.g., voriconazole) may enhance the exposure and toxicity of diclofenac whereas co-administration with CYP2C9 inducers (e.g., rifampin) may lead to compromised efficacy of diclofenac.

Intervention:

A dosage adjustment may be warranted when diclofenac is administered with CYP2C9 inhibitors or inducers (see CLINICAL PHARMACOLOGY: Pharmacokinetics).

How Supplied

Diclofenac Potassium Tablets, USP 50 mg are available for oral administration as light brown, round shaped, unscored, film coated tablets, imprinted “AMI” on one side and “DP” over “50” on the other side. They are supplied as follows:

Bottles of 100 NDC 51407-443-01

Dispense in a tight, light-resistant container as defined in the USP using a child resistant closure.

Keep container tightly closed.

Store at 20° to 25°C (68° to 77°F). [See USP Controlled Room Temperature.]

Protect from moisture.

PHARMACIST: Dispense a Medication Guide with each prescription.

AMICI PHARMACEUTICALS LLC.



DICLOFENAC POTASSIUM TABLETS, USP 50 mg



Distributed by:Amici Pharmaceuticals LLC.

Melville, NY 11747 Revision date: April 2024

Marketed by:

GSMS, Inc.

Camarillo, CA 93012 USA

Description

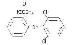
Diclofenac potassium tablets, USP are a benzeneacetic acid derivative. Diclofenac potassium tablets, USP are available as tablets of 25 mg (yellow) or 50 mg (light brown) for oral administration. The chemical name is 2-[(2,6-dichlorophenyl)amino] benzeneacetic acid, monopotassium salt. The molecular weight is 334.25. Its molecular formula is C 14H 10C l2NKO 2, and it has the following structural formula:

Each diclofenac potassium tablet, USP intended for oral administration, contains either 25 mg or 50 mg of diclofenac potassium for oral administration. In addition, each tablet contains the following inactive ingredients: colloidal silicon dioxide, hydroxyethyl cellulose, iron oxide red, magnesium stearate, methanol, polyethylene glycol, povidone, sodium bicarbonate, titanium dioxide and yellow iron oxide.

Data

One woman treated orally with a diclofenac salt, 150 mg/day, had a milk diclofenac level of 100 mcg/L, equivalent to an infant dose of about 0.03 mg/kg/day. Diclofenac was not detectable in breast milk in 12 women using diclofenac (after either 100 mg/day orally for 7 days or a single 50 mg intramuscular dose administered in the immediate postpartum period).

Race

Pharmacokinetic differences due to race have not been identified.

Section 42229-5

Fetal Toxicity

Aspirin

When NSAIDs were administered with aspirin, the protein binding of NSAIDs were reduced, although the clearance of free NSAID was not altered. The clinical significance of this interaction is not known. See Table 2 for clinically significant drug interactions of NSAIDs with aspirin (see PRECAUTIONS: Drug Interactions).

General

Diclofenac potassium tablets cannot be expected to substitute for corticosteroids or to treat corticosteroid insufficiency. Abrupt discontinuation of corticosteroids may lead to disease exacerbation. Patients on prolonged corticosteroid therapy should have their therapy tapered slowly if a decision is made to discontinue corticosteroids and the patient should be observed closely for any evidence of adverse effects, including adrenal insufficiency and exacerbation of symptoms of arthritis.

The pharmacological activity of diclofenac potassium tablets in reducing fever and inflammation may diminish the utility of these diagnostic signs in detecting complications of presumed noninfectious, painful conditions.

Excretion

Diclofenac is eliminated through metabolism and subsequent urinary and biliary excretion of the glucuronide and the sulfate conjugates of the metabolites. Little or no free unchanged diclofenac is excreted in the urine. Approximately 65% of the dose is excreted in the urine and approximately 35% in the bile as conjugates of unchanged diclofenac plus metabolites. Because renal elimination is not a significant pathway of elimination for unchanged diclofenac, dosing adjustment in patients with mild to moderate renal dysfunction is not necessary. The terminal half-life of unchanged diclofenac is approximately 2 hours.

Pediatric

The pharmacokinetics of diclofenac potassium tablets have not been investigated in pediatric patients.

Absorption

Diclofenac is 100% absorbed after oral administration compared to IV administration as measured by urine recovery. However, due to first-pass metabolism, only about 50% of the absorbed dose is systemically available (see Table 1). In some fasting volunteers, measurable plasma levels are observed within 10 minutes of dosing with diclofenac potassium tablets. Peak plasma levels are achieved approximately 1 hour in fasting normal volunteers, with a range of .33 to 2 hours. Food has no significant effect on the extent of diclofenac absorption. However, there is usually a delay in the onset of absorption and a reduction in peak plasma levels of approximately 30%.

Table 1. Pharmacokinetic Parameters for Diclofenac

  PK Parameter

Normal Healthy Adults

(20-52 years)

  Mean

                      Coefficient of  Variation (%)

Absolute Bioavailability (%)

[N = 7]

55

        40

T max(hr)

[N = 65]

1.0

        76

Oral Clearance (CL/F; mL/min)

[N = 61]

  622

         21

Renal Clearance (% unchanged drug in urine)

[N = 7]

 < 1

         -

Apparent Volume of Distribution (V/F; L/kg)

[N = 61]

  1.3

         33

Terminal Half-life (hr)

[N = 48]

   1.9

         29

Metabolism

Five diclofenac metabolites have been identified in human plasma and urine. The metabolites include 4'-hydroxy-, 5-hydroxy-, 3'-hydroxy-, 4', 5-dihydroxy- and 3'-hydroxy-4'-methoxy-diclofenac. The major diclofenac metabolite, 4'-hydroxy-diclofenac, has very weak pharmacologic activity. The formation of 4’-hydroxy-diclofenac is primarily mediated by CYP2C9. Both diclofenac and its oxidative metabolites undergo glucuronidation or sulfation followed by biliary excretion. Acylglucuronidation mediated by UGT2B7 and oxidation mediated by CYP2C8 may also play a role in diclofenac metabolism. CYP3A4 is responsible for the formation of minor metabolites, 5-hydroxy and 3’-hydroxy-diclofenac. In patients with renal dysfunction, peak concentrations of metabolites 4'-hydroxy and 5-hydroxy-diclofenac were approximately 50% and 4% of the parent compound after single oral dosing compared to 27% and 1% in normal healthy subjects.

Overdosage

Symptoms following acute NSAID overdosages have been typically limited to lethargy, drowsiness, nausea, vomiting, and epigastric pain, which have been generally reversible with supportive care. Gastrointestinal bleeding has occurred. Hypertension, acute renal failure, respiratory depression and coma have occurred, but were rare(see WARNINGS: Cardiovascular Thrombotic Events, Gastrointestinal Bleeding, Ulceration, and Perforation, Hypertension, Renal Toxicity and Hyperkalemia).

Manage patients with symptomatic and supportive care following an NSAID overdosage. There are no specific antidotes. Consider emesis and/or activated charcoal (60 to 100 grams in adults, 1 to 2 grams per kg of body weight in pediatric patients) and/or osmotic cathartic in symptomatic patients seen within four hours of ingestion in patients with a large overdose (5 to 10 times the recommended dosage). Forced diuresis, alkalinization of urine, hemodialysis, or hemoperfusion may not be useful due to high protein binding.

For additional information about overdosage treatment contact a poison control center (1-800-222-1222).

Animal Data

Reproductive and developmental studies in animals demonstrated that diclofenac sodium administration during organogenesis did not produce teratogenicity despite the induction of maternal toxicity and fetal toxicity in mice at oral doses up to 20 mg/kg/day (approximately 0.5 times the maximum recommended human dose [MRHD] of diclofenac potassium tablets, 200 mg/day, based on body surface area (BSA) comparison), and in rats and rabbits at oral doses up to 10 mg/kg/day (approximately 0.5 and 1 times, respectively, the MRHD based on BSA comparison). In a study in which pregnant rats were orally administered 2 mg/kg or 4 mg/kg diclofenac (0.1 and 0.2 times the MRHD based on BSA) from Gestation Day 15 through Lactation Day 21, significant maternal toxicity (peritonitis, mortality) was noted. These maternally toxic doses were associated with dystocia, prolonged gestation, reduced fetal weights and growth, and reduced fetal survival. Diclofenac has been shown to cross the placental barrier in mice, rats, and humans.

Mutagenesis

Diclofenac sodium did not show mutagenic activity in in vitropoint mutation assays in mammalian (mouse lymphoma) and microbial (yeast, Ames) test systems and was nonmutagenic in several mammalian in vitroand in vivotests, including dominant lethal and male germinal epithelial chromosomal studies in mice, and nucleus anomaly and chromosomal aberration studies in Chinese hamsters.

Distribution

The apparent volume of distribution (V/F) of diclofenac potassium is 1.3 L/kg.

Diclofenac is more than 99% bound to human serum proteins, primarily to albumin. Serum protein binding is constant over the concentration range (0.15-105 mcg/mL) achieved with recommended doses.

Diclofenac diffuses into and out of the synovial fluid. Diffusion into the joint occurs when plasma levels are higher than those in the synovial fluid, after which the process reverses and synovial fluid levels are higher than plasma levels. It is not known whether diffusion into the joint plays a role in the effectiveness of diclofenac.

Hyperkalemia

Increases in serum potassium concentration, including hyperkalemia, have been reported with use of NSAIDs, even in some patients without renal impairment. In patients with normal renal function, these effects have been attributed to a hyporeninemic-hypoaldosteronism state.

Hypertension

NSAIDs, including diclofenac potassium tablets can lead to new onset of hypertension or worsening of preexisting hypertension, either of which may contribute to the increased incidence of CV events. Patients taking angiotensin converting enzyme (ACE) inhibitors, thiazides diuretics or loop diuretics may have impaired response to these therapies when taking NSAIDs (see PRECAUTIONS: Drug Interactions).

Monitor blood pressure (BP) during the initiation of NSAID treatment and throughout the course of therapy.

Risk Summary

Use of NSAIDs, including diclofenac potassium tablets, can cause premature closure of the fetal ductus arteriosus and fetal renal dysfunction leading to oligohydramnios and, in some cases, neonatal renal impairment. Because of these risks, limit dose and duration of diclofenac potassium tablets use between about 20 and 30 weeks of gestation, and avoid diclofenac potassium tablets use at about 30 weeks of gestation and later in pregnancy (see WARNINGS:Fetal Toxicity).

Voriconazole

When co-administered with voriconazole (inhibitor of CYP2C9, 2C19 and 3A4 enzyme), the C maxand AUC of diclofenac increased by 114% and 78%, respectively (see PRECAUTIONS: Drug Interactions).

Geriatric Use

Elderly patients, compared to younger patients, are at greater risk for NSAID-associated serious cardiovascular, gastrointestinal, and/or renal adverse reactions, If the anticipated benefit for the elderly patient outweighs these potential risks, start dosing at the low end of the dosing range, and monitor patients for adverse effects (see WARNINGS: Cardiovascular Thrombotic Events, Gastrointestinal Bleeding, Ulceration, and Perforation, Hepatotoxicity, Renal Toxicity and Hyperkalemia, PRECAUTIONS: Laboratory Monitoring).

Diclofenac is known to be substantially excreted by the kidney, and the risk of adverse reactions to this drug may be greater in patients with impaired renal function. Because elderly patients are more likely to have decreased renal function, care should be taken in dose selection, and it may be useful to monitor renal function (see CLINICAL PHARMACOLOGY, ADVERSE REACTIONS).

Pediatric Use

Safety and effectiveness in pediatric patients have not been established.

Carcinogenesis

Long-term carcinogenicity studies in rats given diclofenac sodium up to 2 mg/kg/day (approximately 0.1 times the maximum recommended human dose (MRHD) of diclofenac potassium tablets, 200 mg/day, based on body surface area (BSA) comparison) have revealed no significant increase in tumor incidence. A 2-year carcinogenicity study conducted in mice employing diclofenac sodium at doses up to 0.3 mg/kg/day (approximately 0.007 times the MRHD based on BSA comparison) in males and 1 mg/kg/day (approximately 0.02 times the MRHD based on BSA comparison) in females did not reveal any oncogenic potential.

Fetal Toxicity

Inform pregnant women to avoid use of diclofenac potassium tablets and other NSAIDs starting at 30 weeks gestation because of the risk of the premature closing of the fetal ductus arteriosus. If treatment with diclofenac potassium tablets is needed for a pregnant woman between about 20 to 30 weeks gestation, advise her that she may need to be monitored for oligohydramnios, if treatment continues for longer than 48 hours (see WARNINGS: Fetal Toxicity, PRECAUTIONS: Pregnancy).

Hepatotoxicity

In clinical trials of diclofenac containing products, meaningful elevations (i.e., more than 3 times the ULN) of AST (SGOT) were observed in about 2% of approximately 5,700 patients at some time during diclofenac treatment (ALT was not measured in all studies).

In a large, open-label, controlled trial of 3,700 patients treated with oral diclofenac sodium for 2-6 months, patients were monitored first at 8 weeks and 1,200 patients were monitored again at 24 weeks. Meaningful elevations of ALT and/or AST occurred in about 4% of patients and included marked elevations (greater than 8 times the ULN) in about 1% of the 3,700 patients. In that open-label study, a higher incidence of borderline (less than 3 times the ULN), moderate (3-8 times the ULN), and marked (greater than 8 times the ULN) elevations of ALT or AST was observed in patients receiving diclofenac when compared to other NSAIDs. Elevations in transaminases were seen more frequently in patients with osteoarthritis than in those with rheumatoid arthritis.

Almost all meaningful elevations in transaminases were detected before patients became symptomatic. Abnormal tests occurred during the first 2 months of therapy with diclofenac in 42 of the 51 patients in all trials who developed marked transaminase elevations.

In postmarketing reports, cases of drug-induced hepatotoxicity have been reported in the first month, and in some cases, the first 2 months of therapy, but can occur at any time during treatment with diclofenac. Postmarketing surveillance has reported cases of severe hepatic reactions, including liver necrosis, jaundice, fulminant hepatitis with and without jaundice, and liver failure. Some of these reported cases resulted in fatalities or liver transplantation.

In a European retrospective population-based, case-controlled study, 10 cases of diclofenac associated drug-induced liver injury with current use compared with non-use of diclofenac were associated with a statistically significant 4-fold adjusted odds ratio of liver injury. In this particular study, based on an overall number of 10 cases of liver injury associated with diclofenac, the adjusted odds ratio increased further with female gender, doses of 150 mg or more, and duration of use for more than 90 days.

Physicians should measure transaminases at baseline and periodically in patients receiving long-term therapy with diclofenac, because severe hepatotoxicity may develop without a prodrome of distinguishing symptoms. The optimum times for making the first and subsequent transaminase measurements are not known. Based on clinical trial data and postmarketing experiences, transaminases should be monitored within 4 to 8 weeks after initiating treatment with diclofenac. However, severe hepatic reactions can occur at any time during treatment with diclofenac.

If abnormal liver tests persist or worsen, if clinical signs and/or symptoms consistent with liver disease develop, or if systemic manifestations occur (e.g., eosinophilia, rash, abdominal pain, diarrhea, dark urine, etc.), diclofenac potassium tablets should be discontinued immediately.

Inform patients of the warning signs and symptoms of hepatotoxicity (e.g., nausea, fatigue, lethargy, diarrhea, pruritus, jaundice, right upper quadrant tenderness, and "flu-like" symptoms). If clinical signs and symptoms consistent with liver disease develop, or if systemic manifestations occur (e.g., eosinophilia, rash, etc.), discontinue diclofenac potassium tablets immediately, and perform a clinical evaluation of the patient.

To minimize the potential risk for an adverse liver related event in patients treated with diclofenac potassium tablets, use the lowest effective dose for the shortest duration possible. Exercise caution when prescribing diclofenac potassium tablets with concomitant drugs that are known to be potentially hepatotoxic (e.g., acetaminophen, antibiotics, anti-epileptics).

Renal Toxicity

Long-term administration of NSAIDs has resulted in renal papillary necrosis and other renal injury.

Renal toxicity has also been seen in patients in whom renal prostaglandins have a compensatory role in the maintenance of renal perfusion. In these patients, administration of an NSAID may cause a dose-dependent reduction in prostaglandin formation and, secondarily, in renal blood flow, which may precipitate overt renal decompensation. Patients at greatest risk of this reaction are those with impaired renal function, dehydration, hypovolemia, heart failure, liver dysfunction, those taking diuretics and ACE-inhibitors or ARBs, and the elderly. Discontinuation of NSAID therapy is usually followed by recovery to the pretreatment state.

No information is available from controlled clinical studies regarding the use of diclofenac potassium tablets in patients with advanced renal disease. The renal effects of diclofenac potassium tablets may hasten the progression of renal dysfunction in patients with preexisting renal disease.

Correct volume status in dehydrated or hypovolemic patients prior to initiating diclofenac potassium tablets. Monitor renal function in patients with renal or hepatic impairment, heart failure, dehydration, or hypovolemia during use of diclofenac potassium tablets (see PRECAUTIONS: Drug Interactions).Avoid the use of diclofenac potassium tablets in patients with advanced renal disease unless the benefits are expected to outweigh the risk of worsening renal function. If diclofenac potassium tablets are used in patients with advanced renal disease, monitor patients for signs of worsening renal function.

Female Fertility

Advise females of reproductive potential who desire pregnancy that NSAIDs, including VOLTAREN ®, may be associated with a reversible delay in ovulation (see PRECAUTIONS: Carcinogenesis, Mutagenesis, Impairment of Fertility).

Post Mi Patients

Observational studies conducted in the Danish National Registry have demonstrated that patients treated with NSAIDs in the post-MI period were at increased risk of reinfarction, CV-related death, and all-cause mortality beginning in the first week of treatment. In this same cohort, the incidence of death in the first year post-MI was 20 per 100 person years in NSAID-treated patients compared to 12 per 100 person years in non-NSAID exposed patients. Although the absolute rate of death declined somewhat after the first year post-MI, the increased relative risk of death in NSAID users persisted over at least the next four years of follow-up.

Avoid the use of diclofenac potassium tablets in patients with a recent MI unless the benefits are expected to outweigh the risk of recurrent CV thrombotic events. If diclofenac potassium tablets are used in patients with a recent MI, monitor patients for signs of cardiac ischemia.

Renal Impairment

Diclofenac pharmacokinetics has been investigated in subjects with renal insufficiency. No differences in the pharmacokinetics of diclofenac have been detected in studies of patients with renal impairment. In patients with renal impairment (inulin clearance 60-90, 30-60, and < 30 mL/min; N = 6 in each group), AUC values and elimination rate were comparable to those in healthy subjects.

Labor Or Delivery

There are no studies on the effects of diclofenac potassium tablets during labor or delivery. In animal studies, NSAIDs, including diclofenac, inhibit prostaglandin synthesis, cause delayed parturition, and increase the incidence of stillbirth.

Hepatic Impairment

Hepatic metabolism accounts for almost 100% of diclofenac potassium tablets elimination, so patients with hepatic disease may require reduced doses of diclofenac potassium tablets compared to patients with normal hepatic function.

Mechanism of Action

Diclofenac has analgesic, anti-inflammatory, and antipyretic properties.

The mechanism of action of diclofenac potassium tablets, like that of other NSAIDs, is not completely understood but involves inhibition of cyclooxygenase (COX-1 and COX-2).

Diclofenac is a potent inhibitor of prostaglandin synthesis in vitro. Diclofenac concentrations reached during therapy have produced in vivoeffects. Prostaglandins sensitize afferent nerves and potentiate the action of bradykinin in inducing pain in animal models. Prostaglandins are mediators of inflammation. Because diclofenac is an inhibitor of prostaglandin synthesis, its mode of action may be due to a decrease of prostaglandins in peripheral tissues.

Laboratory Monitoring

Because serious GI bleeding, hepatotoxicity, and renal injury can occur without warning symptoms or signs, consider monitoring patients on long-term NSAID treatment with a CBC and a chemistry profile periodically (see WARNINGS: Gastrointestinal Bleeding, Ulceration and Perforation, and Hepatotoxicity) .

Anaphylactic Reactions

Diclofenac has been associated with anaphylactic reactions in patients with and without known hypersensitivity to diclofenac and in patients with aspirin-sensitive asthma (see CONTRAINDICATIONS, WARNINGS: Exacerbation of Asthma Related to Aspirin Sensitivity).

Hematological Toxicity

Anemia has occurred in NSAID-treated patients. This may be due to occult or gross blood loss, fluid retention, or an incompletely described effect upon erythropoiesis. If a patient treated with diclofenac potassium tablets have any signs or symptoms of anemia, monitor hemoglobin or hematocrit.

NSAIDs, including diclofenac potassium tablets, may increase the risk of bleeding events. Co-morbid conditions such as coagulation disorders, concomitant use of warfarin and other anticoagulants, antiplatelet agents (e.g., aspirin), serotonin reuptake inhibitors (SSRIs) and serotonin norepinephrine reuptake inhibitors (SNRIs) may increase this risk. Monitor these patients for signs of bleeding (see PRECAUTIONS: Drug Interactions).

Serious Skin Reactions

NSAIDs, including diclofenac, can cause serious skin adverse events such as exfoliative dermatitis, Stevens-Johnson Syndrome (SJS), and toxic epidermal necrolysis (TEN), which can be fatal. These serious events may occur without warning. Inform patients about the signs and symptoms of serious skin reactions and discontinue the use of diclofenac potassium tablets at the first appearance of skin rash or any other sign of hypersensitivity. Diclofenac potassium tablets are contraindicated in patients with previous serious skin reactions to NSAIDs (see CONTRAINDICATIONS).

Heart Failure and Edema

The Coxib and traditional NSAID Trialists’ Collaboration meta-analysis of randomized controlled trials demonstrated an approximately two-fold increase in hospitalization for heart failure in COX-2 selective-treated patients and nonselective NSAID-treated patients compared to placebo-treated patients. In a Danish National Registry study of patients with heart failure, NSAID use increased the risk of MI, hospitalization for heart failure, and death.

Additionally, fluid retention and edema have been observed in some patients treated with NSAIDs. Use of diclofenac may blunt the CV effects of several therapeutic agents used to treat these medical conditions (e.g., diuretics, ACE inhibitors, or angiotensin receptor blockers [ARBs]) (see PRECAUTIONS: Drug Interactions).

Avoid the use of diclofenac potassium tablets in patients with severe heart failure unless the benefits are expected to outweigh the risk of worsening heart failure. If diclofenac potassium tablets are used in patients with severe heart failure, monitor patients for signs of worsening heart failure.

Impairment of Fertility

Diclofenac sodium administered to male and female rats at 4 mg/kg/day (approximately 0.2 times the MRHD based on BSA comparison) did not affect fertility.

Based on the mechanism of action, the use of prostaglandin-mediated NSAIDs, including diclofenac potassium tablets, may delay or prevent rupture of ovarian follicles, which has been associated with reversible infertility in some women. Published animal studies have shown that administration of prostaglandin synthesis inhibitors has the potential to disrupt prostaglandin-mediated follicular rupture required for ovulation. Small studies in women treated with NSAIDs have also shown a reversible delay in ovulation. Consider withdrawal of NSAIDs, including diclofenac potassium tablets, in women who have difficulties conceiving or who are undergoing investigation of infertility.

Information for Patients

Advise the patient to read the FDA-approved patient labeling ( Medication Guide) that accompanies each prescription dispensed. Inform patients, families, or their caregivers of the following information before initiating therapy with diclofenac potassium tablets and periodically during the course of ongoing therapy.

Clinical Trials Experience

Because clinical trials are conducted under widely varying conditions, adverse reaction rates observed in the clinical trials of a drug cannot be directly compared to rates in the clinical trials of another drug and may not reflect the rates observed in practice.

In 718 patients treated for shorter periods, i.e., 2 weeks or less, with diclofenac potassium tablets, adverse reactions were reported one-half to one-tenth as frequently as by patients treated for longer periods. In a 6-month, double-blind trial comparing diclofenac potassium tablets (N = 196) versus diclofenac sodium delayed-release tablets (N = 197) versus ibuprofen (N = 197), adverse reactions were similar in nature and frequency.

In patients taking diclofenac potassium tablets or other NSAIDs, the most frequently reported adverse experiences occurring in approximately 1%-10% of patients are:

Gastrointestinal experiences including: abdominal pain, constipation, diarrhea, dyspepsia, flatulence, gross bleeding/perforation, heartburn, nausea, GI ulcers (gastric/duodenal) and vomiting.

Abnormal renal function, anemia, dizziness, edema, elevated liver enzymes, headaches, increased bleeding time, pruritus, rashes and tinnitus.

Additional adverse experiences reported occasionally include:

Body as a Whole:  fever, infection, sepsis

Cardiovascular System:  congestive heart failure, hypertension, tachycardia, syncope

Digestive System:  dry mouth, esophagitis, gastric/peptic ulcers, gastritis, gastrointestinal bleeding, glossitis, hematemesis, hepatitis, jaundice

Hemic and Lymphatic System:  ecchymosis, eosinophilia, leukopenia, melena, purpura, rectal bleeding, stomatitis, thrombocytopenia

Metabolic and Nutritional:  weight changes

Nervous System:  anxiety, asthenia, confusion, depression, dream abnormalities, drowsiness, insomnia, malaise, nervousness, paresthesia, somnolence, tremors, vertigo

Respiratory System:  asthma, dyspnea

Skin and Appendages:  alopecia, photosensitivity, sweating increased

Special Senses:  blurred vision

Urogenital System:  cystitis, dysuria, hematuria, interstitial nephritis, oliguria/polyuria, proteinuria, renal failure

Other adverse reactions, which occur rarely are:

Body as a Whole:  anaphylactic reactions, appetite changes, death

Cardiovascular System:  arrhythmia, hypotension, myocardial infarction, palpitations, vasculitis

Digestive System:  colitis eructation, fulminant hepatitis with and without jaundice, liver failure, liver necrosis, pancreatitis

Hemic and Lymphatic System:  agranulocytosis, hemolytic anemia, aplastic anemia, lymphadenopathy, pancytopenia

Metabolic and Nutritional:  hyperglycemia

Nervous System:  convulsions, coma, hallucinations, meningitis

Respiratory System:  respiratory depression, pneumonia

Skin and Appendages:  angioedema, toxic epidermal necrolysis, erythema multiforme, exfoliative dermatitis, Stevens-Johnson Syndrome, urticaria

Special Senses:  conjunctivitis, hearing impairment

To report SUSPECTED ADVERSE EVENTS, contact Amici Pharmaceuticals LLC. at 1-877-938-4525 or FDA at 1- 800- FDA-1088 or http://www.fda.gov/medwatch for voluntary reporting of adverse reactions.

Package/label Display Panel

Avoid Concomitant Use of Nsaids

Inform patients that the concomitant use of diclofenac potassium tablets with other NSAIDs or salicylates (e.g., diflunisal, salsalate) is not recommended due to the increased risk of gastrointestinal toxicity, and little or no increase in efficacy (see WARNINGS: Gastrointestinal Bleeding, Ulceration, and Perforationand Drug Interactions). Alert patients that NSAIDs may be present in “over-the-counter” medications for treatment of colds, fever, or insomnia.

Cardiovascular Thrombotic Events

Clinical trials of several COX-2 selective and nonselective NSAIDs of up to three years duration have shown an increased risk of serious cardiovascular (CV) thrombotic events, including myocardial infarction (MI) and stroke, which can be fatal. Based on available data, it is unclear that the risk for CV thrombotic events is similar for all NSAIDs. The relative increase in serious CV thrombotic events over baseline conferred by NSAID use appears to be similar in those with and without known CV disease or risk factors for CV disease. However, patients with known CV disease or risk factors had a higher absolute incidence of excess serious CV thrombotic events, due to their increased baseline rate. Some observational studies found that this increased risk of serious CV thrombotic events began as early as the first weeks of treatment. The increase in CV thrombotic risk has been observed most consistently at higher doses.

To minimize the potential risk for an adverse CV event in NSAID-treated patients, use the lowest effective dose for the shortest duration possible. Physicians and patients should remain alert for the development of such events, throughout the entire treatment course, even in the absence of previous CV symptoms. Patients should be informed about the symptoms of serious CV events and the steps to take if they occur.

There is no consistent evidence that concurrent use of aspirin mitigates the increased risk of serious CV thrombotic events associated with NSAID use. The concurrent use of aspirin and an NSAID, such as diclofenac, increases the risk of serious gastrointestinal (GI) events (see WARNINGS: Gastrointestinal Bleeding, Ulceration, and Perforation).

Masking of Inflammation and Fever

The pharmacological activity of diclofenac potassium tablets in reducing fever and inflammation, and possibly fever, may diminish the utility of these diagnostic signs in detecting infections.

Use of Nsaids and Low Dose Aspirin

Inform patients not to use low-dose aspirin concomitantly with diclofenac potassium tablets until they talk to their healthcare provider (see PRECAUTIONS: Drug Interactions).

Serious Skin Reactions, Including Dress

Advise patients to stop diclofenac potassium tablets immediately if they develop any type of rash and contact their healthcare provider as soon as possible (see WARNINGS).

Oligohydramnios/neonatal Renal Impairment

Use of NSAIDs, including diclofenac potassium tablets, at about 20 weeks gestation or later in pregnancy may cause fetal renal dysfunction leading to oligohydramnios and, in some cases, neonatal renal impairment. These adverse outcomes are seen, on average, after days to weeks of treatment, although oligohydramnios has been infrequently reported as soon as 48 hours after NSAID initiation. Oligohydramnios is often, but not always, reversible with treatment discontinuation. Complications of prolonged oligohydramnios may, for example, include limb contractures and delayed lung maturation. In some postmarketing cases of impaired neonatal renal function, invasive procedures such as exchange transfusion or dialysis were required.

If NSAID treatment is necessary between about 20 weeks and 30 weeks gestation, limit diclofenac potassium tablets use to the lowest effective dose and shortest duration possible. Consider ultrasound monitoring of amniotic fluid if diclofenac potassium tablets treatment extends beyond 48 hours. Discontinue diclofenac potassium tablets if oligohydramnios occurs and follow up according to clinical practice. (see PRECAUTIONS: Pregnancy).

Premature Closure of Fetal Ductus Arteriosus

Avoid use of NSAIDs, including diclofenac potassium tablets, in pregnant women at about 30 weeks gestation and later. NSAIDs including diclofenac potassium tablets, increase the risk of premature closure of the fetal ductus arteriosus at approximately this gestational

age. 

Principal Display Panel/ Container Label 50 Mg

NDC 51407-443-01

Diclofenac Potassium Tablets, USP 50 mg

PHARMACIST: Dispense the Medication Guide provided separately to each patient.

100 Tablets

Each tablet contains: Diclofenac Potassium, USP 50 mg

Rx only

Dispense in a tight, light-resistant container as defined in the USP using a child-resistant closure.

Keep container tightly closed.

Keep this and all medication out of the reach of children.

Store at 20° to 25°C (68° to 77°F). [See USP Controlled Room Temperature.]

Protect from moisture.

Usual Dosage: See accompanying prescribing information.

Medication Guide available at www.amicipharma.com/products

Distrbuted by: Amici Pharmaceuticals LLC.

Melville, NY 11747 U.S.A.

Revised: 04/2024

Marketed by:

GSMS, Inc.

Camarillo, CA 93012 USA

Exacerbation of Asthma Related to Aspirin Sensitivity

A subpopulation of patients with asthma may have aspirin-sensitive asthma which may include chronic rhinosinusitis complicated by nasal polyps; severe, potentially fatal bronchospasm; and/or intolerance to aspirin and other NSAIDs. Because cross-reactivity between aspirin and other NSAIDs has been reported in such aspirin-sensitive patients, diclofenac potassium tablets are contraindicated in patients with this form of aspirin sensitivity (see CONTRAINDICATIONS). When diclofenac potassium tablets are used in patients with preexisting asthma (without known aspirin sensitivity), monitor patients for changes in the signs and symptoms of asthma.

Gastrointestinal Bleeding, Ulceration, and Perforation

NSAIDs, including diclofenac, cause serious gastrointestinal (GI) adverse events including inflammation, bleeding, ulceration, and perforation of the esophagus, stomach, small intestine, or large intestine, which can be fatal. These serious adverse events can occur at any time, with or without warning symptoms, in patients treated with NSAIDs. Only one in five patients, who develop a serious upper GI adverse event on NSAID therapy, is symptomatic. Upper GI ulcers, gross bleeding or perforation caused by NSAIDs occurred in approximately 1% of patients treated for 3-6 months, and in about 2%-4% of patients treated for one year. However, even short-term therapy is not without risk.

Status Post Coronary Artery Bypass Graft (cabg) Surgery

Two large, controlled, clinical trials of a COX-2 selective NSAID for the treatment of pain in the first 10-14 days following CABG surgery found an increased incidence of myocardial infarction and stroke. NSAIDs are contraindicated in the setting of CABG (see CONTRAINDICATIONS) .

Risk Factors for Gi Bleeding, Ulceration, and Perforation

Patients with a prior history of peptic ulcer disease and/or GI bleeding who use NSAIDs had a greater than 10-fold increased risk for developing a GI bleed compared to patients without these risk factors. Other factors that increase the risk of GI bleeding in patients treated with NSAIDs include longer duration of NSAID therapy, concomitant use of oral corticosteroids, aspirin, anticoagulants, or selective serotonin reuptake inhibitors (SSRIs); smoking, use of alcohol, older age, and poor general health status. Most postmarketing reports of fatal GI events occurred in elderly or debilitated patients. Additionally, patients with advanced liver disease and/or coagulopathy are at increased risk for GI bleeding.

Drug Reaction With Eosinophilia and Systemic Symptoms (dress)

Drug Reaction with Eosinophilia and Systemic Symptoms (DRESS) has been reported in patients taking NSAIDs such as diclofenac potassium tablets. Some of these events have been fatal or life-threatening. DRESS typically, although not exclusively, presents with fever, rash, lymphadenopathy, and/or facial swelling. Other clinical manifestations may include hepatitis, nephritis, hematological abnormalities, myocarditis, or myositis. Sometimes symptoms of DRESS may resemble an acute viral infection. Eosinophilia is often present. Because this disorder is variable in its presentation, other organ systems not noted here may be involved. It is important to note that early manifestations of hypersensitivity, such as fever or lymphadenopathy, may be present even though rash is not evident. If such signs or symptoms are present, discontinue diclofenac potassium tablets and evaluate the patient immediately.

Strategies to Minimize the Gi Risks in Nsaid Treated Patients
  • Use the lowest effective dosage for the shortest possible duration.
  • Avoid administration of more than one NSAID at a time.
  • Avoid use in patients at higher risk unless benefits are expected to outweigh the increased risk of bleeding. For such patients, as well as those with active GI bleeding, consider alternate therapies other than NSAIDs.
  • Remain alert for signs and symptoms of GI ulceration and bleeding during NSAID therapy.
  • If a serious GI adverse event is suspected, promptly initiate evaluation and treatment, and discontinue diclofenac potassium tablets until a serious GI adverse event is ruled out.

In the setting of concomitant use of low-dose aspirin for cardiac prophylaxis, monitor patients more closely for evidence of GI bleeding (see PRECAUTIONS: Drug Interactions).

Warning: Risk of Serious Cardiovascular and Gastrointestinal Events

Cardiovascular Thrombotic Events

Nonsteroidal Anti-Inflammatory Drugs (NSAIDs) cause an increased risk of serious cardiovascular thrombotic events, including myocardial infarction and stroke, which can be fatal. This risk may occur early in treatment and may increase with duration of use (see WARNINGS). Diclofenac potassium tablets are contraindicated in the setting of coronary artery bypass graft (CABG) surgery (see CONTRAINDICATIONS, WARNINGS).

Gastrointestinal Bleeding, Ulceration, and Perforation

NSAIDs cause an increased risk of serious gastrointestinal (GI) adverse events including bleeding, ulceration, and perforation of the stomach or intestines, which can be fatal. These events can occur at any time during use and without warning symptoms. Elderly patients and patients with a prior history of peptic ulcer disease and/or GI bleeding are at greater risk for serious GI events (see WARNINGS).

Medication Guide for Non Steroidal Anti Inflammatory Drugs (nsaids )

What is the most important information I should know about medicines called Nonsteroidal Anti-Inflammatory Drugs (NSAIDs)?

NSAIDs can cause serious side effects, including:

Increased risk of a heart attack or stroke that can lead to death. This risk may happen early in treatment and may increase:

•with increasing doses of NSAIDsowith longer use of NSAIDs

Do not take NSAIDs right before or after a heart surgery called a “coronary artery bypass graft (CABG)”.

Avoid taking NSAIDs after a recent heart attack, unless your healthcare provider tells you to. You may have an increased risk of another heart attack if you take NSAIDs after a recent heart attack.

Increased risk of bleeding, ulcers, and tears (perforation) of the esophagus (tube leading from the mouth to the stomach), stomach and intestines:

•any time during use

•without warning symptoms

•that may cause death



The risk of getting an ulcer or bleeding increases with:

•past history of stomach ulcers, or stomach or intestinal bleeding with use of NSAIDs

•taking medicines called “corticosteroids”, “anticoagulants”, “SSRIs” or “SNRIs”

•increasing doses of NSAIDs

•longer use of NSAIDs

•smoking

•drinking alcohol

•older age

•poor healthoadvanced liver disease

•bleeding problems

NSAIDs should only be used:

•exactly as prescribed

•at the lowest dose possible for your treatment of or the shortest time needed

What are NSAIDs?

NSAIDs are used to treat pain and redness, swelling, and heat (inflammation) from medical conditions such as different types of arthritis, menstrual cramps, and other types of short-term pain.

Who should not take NSAIDs?

Do not take NSAIDs:

•if you had an asthma attack, hives, or other allergic reaction with aspirin or any other NSAIDs.

•right before or after heart bypass surgery.

Before taking NSAIDs, tell your healthcare provider about all of your medical conditions, including if you:

•have liver or kidney problems

•have high blood pressure

•have asthma

•are pregnant or plan to become pregnant. Taking NSAIDs at about 20 weeks of pregnancy or later may harm your unborn baby. If you need to take NSAIDs for more than 2 days when you are between 20 and 30 weeks of pregnancy, your healthcare provider may need to monitor the amount of fluid in your womb around your baby. You should not take NSAIDs after about 30 weeks of pregnancy.

•are breastfeeding or plan to breast feed.

Tell your healthcare provider about all of the medicines you take, including prescription or over-the-counter medicines, vitamins or herbal supplements.NSAIDs and some other medicines can interact with each other and cause serious side effects. Do not start taking any new medicine without talking to your healthcare provider first.

What are the possible side effects of NSAIDs?

NSAIDs can cause serious side effects, including:

See “What is the most important information I should know about medicines called Nonsteroidal Anti-Inflammatory Drugs (NSAIDs)?”

•new or worse high blood pressure

•heart failure

•liver problems including liver failure

•kidney problems including kidney failure

•low red blood cells (anemia)

•life-threatening skin reactions

•life-threatening allergic reactions

Other side effects of NSAIDs include:stomach pain, constipation, diarrhea, gas, heartburn, nausea, vomiting, dizziness.

Get emergency help right away if you have any of the following symptoms:

•shortness of breath or trouble breathing

•chest pain

•weakness in one part or side of your body

•slurred speech

•swelling of the face or throat

Stop taking your NSAID and call your healthcare provider right away if you get any of the following symptoms:

•nausea

•more tired or weaker than usual

•diarrhea

•itching

•your skin or eyes look yellow

•indigestion or stomach pain

•flu-like symptoms

•vomit blood

•there is blood in your bowel movement or it is black and sticky like tar

•unusual weight gain

•skin rash or blisters with fever

•swelling of the arms, legs, hands and feet

If you take too much of your NSAID, call your healthcare provider or get medical help right away.These are not all the possible side effects of NSAIDs. For more information, ask your healthcare provider or pharmacist about NSAIDs.

Call your doctor for medical advice about side effects. You may report side effects to FDA at 1-800-FDA-1088.

Other information about NSAIDs

•Aspirin is an NSAID medicine but it does not increase the chance of a heart attack. Aspirin can cause bleeding in the brain, stomach, and intestines. Aspirin can also cause ulcers in the stomach and intestines.

•Some NSAIDs are sold in lower doses without a prescription (over-the- counter). Talk to your healthcare provider before using over-the-counter NSAIDs for more than 10 days.

General information about the safe and effective use of NSAIDs

Medicines are sometimes prescribed for purposes other than those listed in a Medication Guide. Do not use NSAIDs for a condition for which it was not prescribed. Do not give NSAIDs to other people, even if they have the same symptoms that you have. It may harm them.

If you would like more information about NSAIDs, talk with your healthcare provider. You can ask your pharmacist or healthcare provider for information about NSAIDs that is written for health professionals.

Distributed by:Amici Pharmaceuticals LLC., Melville, NY 11747 U.S.A.

For more information call Amici Pharmaceuticals LLC. at 1-877-938-4525.

Marketed by:

GSMS, Inc.

Camarillo, CA 93012 USA

This Medication Guide has been approved by the U.S. Food and Drug Administration.

The brands listed are trademarks of their respective owners.

Amici Pharmaceuticals LLC.

Melville, NY 11747 U.S.A.

Revised: 03/2021


Structured Label Content

Data

One woman treated orally with a diclofenac salt, 150 mg/day, had a milk diclofenac level of 100 mcg/L, equivalent to an infant dose of about 0.03 mg/kg/day. Diclofenac was not detectable in breast milk in 12 women using diclofenac (after either 100 mg/day orally for 7 days or a single 50 mg intramuscular dose administered in the immediate postpartum period).

Race

Pharmacokinetic differences due to race have not been identified.

Section 42229-5 (42229-5)

Fetal Toxicity

Aspirin

When NSAIDs were administered with aspirin, the protein binding of NSAIDs were reduced, although the clearance of free NSAID was not altered. The clinical significance of this interaction is not known. See Table 2 for clinically significant drug interactions of NSAIDs with aspirin (see PRECAUTIONS: Drug Interactions).

General

Diclofenac potassium tablets cannot be expected to substitute for corticosteroids or to treat corticosteroid insufficiency. Abrupt discontinuation of corticosteroids may lead to disease exacerbation. Patients on prolonged corticosteroid therapy should have their therapy tapered slowly if a decision is made to discontinue corticosteroids and the patient should be observed closely for any evidence of adverse effects, including adrenal insufficiency and exacerbation of symptoms of arthritis.

The pharmacological activity of diclofenac potassium tablets in reducing fever and inflammation may diminish the utility of these diagnostic signs in detecting complications of presumed noninfectious, painful conditions.

Excretion

Diclofenac is eliminated through metabolism and subsequent urinary and biliary excretion of the glucuronide and the sulfate conjugates of the metabolites. Little or no free unchanged diclofenac is excreted in the urine. Approximately 65% of the dose is excreted in the urine and approximately 35% in the bile as conjugates of unchanged diclofenac plus metabolites. Because renal elimination is not a significant pathway of elimination for unchanged diclofenac, dosing adjustment in patients with mild to moderate renal dysfunction is not necessary. The terminal half-life of unchanged diclofenac is approximately 2 hours.

Pediatric

The pharmacokinetics of diclofenac potassium tablets have not been investigated in pediatric patients.

Absorption

Diclofenac is 100% absorbed after oral administration compared to IV administration as measured by urine recovery. However, due to first-pass metabolism, only about 50% of the absorbed dose is systemically available (see Table 1). In some fasting volunteers, measurable plasma levels are observed within 10 minutes of dosing with diclofenac potassium tablets. Peak plasma levels are achieved approximately 1 hour in fasting normal volunteers, with a range of .33 to 2 hours. Food has no significant effect on the extent of diclofenac absorption. However, there is usually a delay in the onset of absorption and a reduction in peak plasma levels of approximately 30%.

Table 1. Pharmacokinetic Parameters for Diclofenac

  PK Parameter

Normal Healthy Adults

(20-52 years)

  Mean

                      Coefficient of  Variation (%)

Absolute Bioavailability (%)

[N = 7]

55

        40

T max(hr)

[N = 65]

1.0

        76

Oral Clearance (CL/F; mL/min)

[N = 61]

  622

         21

Renal Clearance (% unchanged drug in urine)

[N = 7]

 < 1

         -

Apparent Volume of Distribution (V/F; L/kg)

[N = 61]

  1.3

         33

Terminal Half-life (hr)

[N = 48]

   1.9

         29

Metabolism

Five diclofenac metabolites have been identified in human plasma and urine. The metabolites include 4'-hydroxy-, 5-hydroxy-, 3'-hydroxy-, 4', 5-dihydroxy- and 3'-hydroxy-4'-methoxy-diclofenac. The major diclofenac metabolite, 4'-hydroxy-diclofenac, has very weak pharmacologic activity. The formation of 4’-hydroxy-diclofenac is primarily mediated by CYP2C9. Both diclofenac and its oxidative metabolites undergo glucuronidation or sulfation followed by biliary excretion. Acylglucuronidation mediated by UGT2B7 and oxidation mediated by CYP2C8 may also play a role in diclofenac metabolism. CYP3A4 is responsible for the formation of minor metabolites, 5-hydroxy and 3’-hydroxy-diclofenac. In patients with renal dysfunction, peak concentrations of metabolites 4'-hydroxy and 5-hydroxy-diclofenac were approximately 50% and 4% of the parent compound after single oral dosing compared to 27% and 1% in normal healthy subjects.

Overdosage (OVERDOSAGE)

Symptoms following acute NSAID overdosages have been typically limited to lethargy, drowsiness, nausea, vomiting, and epigastric pain, which have been generally reversible with supportive care. Gastrointestinal bleeding has occurred. Hypertension, acute renal failure, respiratory depression and coma have occurred, but were rare(see WARNINGS: Cardiovascular Thrombotic Events, Gastrointestinal Bleeding, Ulceration, and Perforation, Hypertension, Renal Toxicity and Hyperkalemia).

Manage patients with symptomatic and supportive care following an NSAID overdosage. There are no specific antidotes. Consider emesis and/or activated charcoal (60 to 100 grams in adults, 1 to 2 grams per kg of body weight in pediatric patients) and/or osmotic cathartic in symptomatic patients seen within four hours of ingestion in patients with a large overdose (5 to 10 times the recommended dosage). Forced diuresis, alkalinization of urine, hemodialysis, or hemoperfusion may not be useful due to high protein binding.

For additional information about overdosage treatment contact a poison control center (1-800-222-1222).

Animal Data

Reproductive and developmental studies in animals demonstrated that diclofenac sodium administration during organogenesis did not produce teratogenicity despite the induction of maternal toxicity and fetal toxicity in mice at oral doses up to 20 mg/kg/day (approximately 0.5 times the maximum recommended human dose [MRHD] of diclofenac potassium tablets, 200 mg/day, based on body surface area (BSA) comparison), and in rats and rabbits at oral doses up to 10 mg/kg/day (approximately 0.5 and 1 times, respectively, the MRHD based on BSA comparison). In a study in which pregnant rats were orally administered 2 mg/kg or 4 mg/kg diclofenac (0.1 and 0.2 times the MRHD based on BSA) from Gestation Day 15 through Lactation Day 21, significant maternal toxicity (peritonitis, mortality) was noted. These maternally toxic doses were associated with dystocia, prolonged gestation, reduced fetal weights and growth, and reduced fetal survival. Diclofenac has been shown to cross the placental barrier in mice, rats, and humans.

Description (DESCRIPTION)

Diclofenac potassium tablets, USP are a benzeneacetic acid derivative. Diclofenac potassium tablets, USP are available as tablets of 25 mg (yellow) or 50 mg (light brown) for oral administration. The chemical name is 2-[(2,6-dichlorophenyl)amino] benzeneacetic acid, monopotassium salt. The molecular weight is 334.25. Its molecular formula is C 14H 10C l2NKO 2, and it has the following structural formula:

Each diclofenac potassium tablet, USP intended for oral administration, contains either 25 mg or 50 mg of diclofenac potassium for oral administration. In addition, each tablet contains the following inactive ingredients: colloidal silicon dioxide, hydroxyethyl cellulose, iron oxide red, magnesium stearate, methanol, polyethylene glycol, povidone, sodium bicarbonate, titanium dioxide and yellow iron oxide.

Mutagenesis

Diclofenac sodium did not show mutagenic activity in in vitropoint mutation assays in mammalian (mouse lymphoma) and microbial (yeast, Ames) test systems and was nonmutagenic in several mammalian in vitroand in vivotests, including dominant lethal and male germinal epithelial chromosomal studies in mice, and nucleus anomaly and chromosomal aberration studies in Chinese hamsters.

Distribution

The apparent volume of distribution (V/F) of diclofenac potassium is 1.3 L/kg.

Diclofenac is more than 99% bound to human serum proteins, primarily to albumin. Serum protein binding is constant over the concentration range (0.15-105 mcg/mL) achieved with recommended doses.

Diclofenac diffuses into and out of the synovial fluid. Diffusion into the joint occurs when plasma levels are higher than those in the synovial fluid, after which the process reverses and synovial fluid levels are higher than plasma levels. It is not known whether diffusion into the joint plays a role in the effectiveness of diclofenac.

How Supplied (HOW SUPPLIED)

Diclofenac Potassium Tablets, USP 50 mg are available for oral administration as light brown, round shaped, unscored, film coated tablets, imprinted “AMI” on one side and “DP” over “50” on the other side. They are supplied as follows:

Bottles of 100 NDC 51407-443-01

Dispense in a tight, light-resistant container as defined in the USP using a child resistant closure.

Keep container tightly closed.

Store at 20° to 25°C (68° to 77°F). [See USP Controlled Room Temperature.]

Protect from moisture.

PHARMACIST: Dispense a Medication Guide with each prescription.

AMICI PHARMACEUTICALS LLC.



DICLOFENAC POTASSIUM TABLETS, USP 50 mg



Distributed by:Amici Pharmaceuticals LLC.

Melville, NY 11747 Revision date: April 2024

Marketed by:

GSMS, Inc.

Camarillo, CA 93012 USA

Hyperkalemia

Increases in serum potassium concentration, including hyperkalemia, have been reported with use of NSAIDs, even in some patients without renal impairment. In patients with normal renal function, these effects have been attributed to a hyporeninemic-hypoaldosteronism state.

Hypertension

NSAIDs, including diclofenac potassium tablets can lead to new onset of hypertension or worsening of preexisting hypertension, either of which may contribute to the increased incidence of CV events. Patients taking angiotensin converting enzyme (ACE) inhibitors, thiazides diuretics or loop diuretics may have impaired response to these therapies when taking NSAIDs (see PRECAUTIONS: Drug Interactions).

Monitor blood pressure (BP) during the initiation of NSAID treatment and throughout the course of therapy.

Risk Summary

Use of NSAIDs, including diclofenac potassium tablets, can cause premature closure of the fetal ductus arteriosus and fetal renal dysfunction leading to oligohydramnios and, in some cases, neonatal renal impairment. Because of these risks, limit dose and duration of diclofenac potassium tablets use between about 20 and 30 weeks of gestation, and avoid diclofenac potassium tablets use at about 30 weeks of gestation and later in pregnancy (see WARNINGS:Fetal Toxicity).

Voriconazole

When co-administered with voriconazole (inhibitor of CYP2C9, 2C19 and 3A4 enzyme), the C maxand AUC of diclofenac increased by 114% and 78%, respectively (see PRECAUTIONS: Drug Interactions).

Geriatric Use

Elderly patients, compared to younger patients, are at greater risk for NSAID-associated serious cardiovascular, gastrointestinal, and/or renal adverse reactions, If the anticipated benefit for the elderly patient outweighs these potential risks, start dosing at the low end of the dosing range, and monitor patients for adverse effects (see WARNINGS: Cardiovascular Thrombotic Events, Gastrointestinal Bleeding, Ulceration, and Perforation, Hepatotoxicity, Renal Toxicity and Hyperkalemia, PRECAUTIONS: Laboratory Monitoring).

Diclofenac is known to be substantially excreted by the kidney, and the risk of adverse reactions to this drug may be greater in patients with impaired renal function. Because elderly patients are more likely to have decreased renal function, care should be taken in dose selection, and it may be useful to monitor renal function (see CLINICAL PHARMACOLOGY, ADVERSE REACTIONS).

Pediatric Use

Safety and effectiveness in pediatric patients have not been established.

Carcinogenesis

Long-term carcinogenicity studies in rats given diclofenac sodium up to 2 mg/kg/day (approximately 0.1 times the maximum recommended human dose (MRHD) of diclofenac potassium tablets, 200 mg/day, based on body surface area (BSA) comparison) have revealed no significant increase in tumor incidence. A 2-year carcinogenicity study conducted in mice employing diclofenac sodium at doses up to 0.3 mg/kg/day (approximately 0.007 times the MRHD based on BSA comparison) in males and 1 mg/kg/day (approximately 0.02 times the MRHD based on BSA comparison) in females did not reveal any oncogenic potential.

Fetal Toxicity

Inform pregnant women to avoid use of diclofenac potassium tablets and other NSAIDs starting at 30 weeks gestation because of the risk of the premature closing of the fetal ductus arteriosus. If treatment with diclofenac potassium tablets is needed for a pregnant woman between about 20 to 30 weeks gestation, advise her that she may need to be monitored for oligohydramnios, if treatment continues for longer than 48 hours (see WARNINGS: Fetal Toxicity, PRECAUTIONS: Pregnancy).

Hepatotoxicity

In clinical trials of diclofenac containing products, meaningful elevations (i.e., more than 3 times the ULN) of AST (SGOT) were observed in about 2% of approximately 5,700 patients at some time during diclofenac treatment (ALT was not measured in all studies).

In a large, open-label, controlled trial of 3,700 patients treated with oral diclofenac sodium for 2-6 months, patients were monitored first at 8 weeks and 1,200 patients were monitored again at 24 weeks. Meaningful elevations of ALT and/or AST occurred in about 4% of patients and included marked elevations (greater than 8 times the ULN) in about 1% of the 3,700 patients. In that open-label study, a higher incidence of borderline (less than 3 times the ULN), moderate (3-8 times the ULN), and marked (greater than 8 times the ULN) elevations of ALT or AST was observed in patients receiving diclofenac when compared to other NSAIDs. Elevations in transaminases were seen more frequently in patients with osteoarthritis than in those with rheumatoid arthritis.

Almost all meaningful elevations in transaminases were detected before patients became symptomatic. Abnormal tests occurred during the first 2 months of therapy with diclofenac in 42 of the 51 patients in all trials who developed marked transaminase elevations.

In postmarketing reports, cases of drug-induced hepatotoxicity have been reported in the first month, and in some cases, the first 2 months of therapy, but can occur at any time during treatment with diclofenac. Postmarketing surveillance has reported cases of severe hepatic reactions, including liver necrosis, jaundice, fulminant hepatitis with and without jaundice, and liver failure. Some of these reported cases resulted in fatalities or liver transplantation.

In a European retrospective population-based, case-controlled study, 10 cases of diclofenac associated drug-induced liver injury with current use compared with non-use of diclofenac were associated with a statistically significant 4-fold adjusted odds ratio of liver injury. In this particular study, based on an overall number of 10 cases of liver injury associated with diclofenac, the adjusted odds ratio increased further with female gender, doses of 150 mg or more, and duration of use for more than 90 days.

Physicians should measure transaminases at baseline and periodically in patients receiving long-term therapy with diclofenac, because severe hepatotoxicity may develop without a prodrome of distinguishing symptoms. The optimum times for making the first and subsequent transaminase measurements are not known. Based on clinical trial data and postmarketing experiences, transaminases should be monitored within 4 to 8 weeks after initiating treatment with diclofenac. However, severe hepatic reactions can occur at any time during treatment with diclofenac.

If abnormal liver tests persist or worsen, if clinical signs and/or symptoms consistent with liver disease develop, or if systemic manifestations occur (e.g., eosinophilia, rash, abdominal pain, diarrhea, dark urine, etc.), diclofenac potassium tablets should be discontinued immediately.

Inform patients of the warning signs and symptoms of hepatotoxicity (e.g., nausea, fatigue, lethargy, diarrhea, pruritus, jaundice, right upper quadrant tenderness, and "flu-like" symptoms). If clinical signs and symptoms consistent with liver disease develop, or if systemic manifestations occur (e.g., eosinophilia, rash, etc.), discontinue diclofenac potassium tablets immediately, and perform a clinical evaluation of the patient.

To minimize the potential risk for an adverse liver related event in patients treated with diclofenac potassium tablets, use the lowest effective dose for the shortest duration possible. Exercise caution when prescribing diclofenac potassium tablets with concomitant drugs that are known to be potentially hepatotoxic (e.g., acetaminophen, antibiotics, anti-epileptics).

Renal Toxicity

Long-term administration of NSAIDs has resulted in renal papillary necrosis and other renal injury.

Renal toxicity has also been seen in patients in whom renal prostaglandins have a compensatory role in the maintenance of renal perfusion. In these patients, administration of an NSAID may cause a dose-dependent reduction in prostaglandin formation and, secondarily, in renal blood flow, which may precipitate overt renal decompensation. Patients at greatest risk of this reaction are those with impaired renal function, dehydration, hypovolemia, heart failure, liver dysfunction, those taking diuretics and ACE-inhibitors or ARBs, and the elderly. Discontinuation of NSAID therapy is usually followed by recovery to the pretreatment state.

No information is available from controlled clinical studies regarding the use of diclofenac potassium tablets in patients with advanced renal disease. The renal effects of diclofenac potassium tablets may hasten the progression of renal dysfunction in patients with preexisting renal disease.

Correct volume status in dehydrated or hypovolemic patients prior to initiating diclofenac potassium tablets. Monitor renal function in patients with renal or hepatic impairment, heart failure, dehydration, or hypovolemia during use of diclofenac potassium tablets (see PRECAUTIONS: Drug Interactions).Avoid the use of diclofenac potassium tablets in patients with advanced renal disease unless the benefits are expected to outweigh the risk of worsening renal function. If diclofenac potassium tablets are used in patients with advanced renal disease, monitor patients for signs of worsening renal function.

Female Fertility

Advise females of reproductive potential who desire pregnancy that NSAIDs, including VOLTAREN ®, may be associated with a reversible delay in ovulation (see PRECAUTIONS: Carcinogenesis, Mutagenesis, Impairment of Fertility).

Post Mi Patients (Post-MI Patients)

Observational studies conducted in the Danish National Registry have demonstrated that patients treated with NSAIDs in the post-MI period were at increased risk of reinfarction, CV-related death, and all-cause mortality beginning in the first week of treatment. In this same cohort, the incidence of death in the first year post-MI was 20 per 100 person years in NSAID-treated patients compared to 12 per 100 person years in non-NSAID exposed patients. Although the absolute rate of death declined somewhat after the first year post-MI, the increased relative risk of death in NSAID users persisted over at least the next four years of follow-up.

Avoid the use of diclofenac potassium tablets in patients with a recent MI unless the benefits are expected to outweigh the risk of recurrent CV thrombotic events. If diclofenac potassium tablets are used in patients with a recent MI, monitor patients for signs of cardiac ischemia.

Renal Impairment

Diclofenac pharmacokinetics has been investigated in subjects with renal insufficiency. No differences in the pharmacokinetics of diclofenac have been detected in studies of patients with renal impairment. In patients with renal impairment (inulin clearance 60-90, 30-60, and < 30 mL/min; N = 6 in each group), AUC values and elimination rate were comparable to those in healthy subjects.

Adverse Reactions (ADVERSE REACTIONS)

The following adverse reactions are discussed in greater detail in other sections of the labeling:

  • Cardiovascular Thrombotic Events (see WARNINGS)
  • GI Bleeding, Ulceration and Perforation (see WARNINGS)
  • Hepatotoxicity (see WARNINGS)
  • Hypertension (see WARNINGS)
  • Heart Failure and Edema (see WARNINGS)
  • Renal Toxicity and Hyperkalemia (see WARNINGS)
  • Anaphylactic Reactions (see WARNINGS)
  • Serious Skin Reactions (see WARNINGS)
  • Hematologic Toxicity (see WARNINGS)
Contraindications (CONTRAINDICATIONS)

Diclofenac potassium tablets are contraindicated in the following patients:

Drug Interactions

See Table 2 for clinically significant drug interactions with diclofenac.

Table 2. Clinically Significant Drug Interactions with Diclofenac

Drugs That Interfere with Hemostasis

Clinical Impact:

  • Diclofenac and anticoagulants such as warfarin have a synergistic effect on bleeding. The concomitant use of diclofenac and anticoagulants have an increased risk of serious bleeding compared to the use of either drug alone.
  • Serotonin release by platelets plays an important role in hemostasis. Case-control and cohort epidemiological studies showed that concomitant use of drugs that interfere with serotonin reuptake and an NSAID may potentiate the risk of bleeding more than an NSAID alone.

Intervention:

Monitor patients with concomitant use of diclofenac potassium tablets with anticoagulants (e.g., warfarin), antiplatelet agents (e.g., aspirin), selective serotonin reuptake inhibitors (SSRIs), and serotonin norepinephrine reuptake inhibitors (SNRIs) for signs of bleeding (see WARNINGS: Hematological Toxicity).

Aspirin

Clinical Impact:

Controlled clinical studies showed that the concomitant use of NSAIDs and analgesic doses of aspirin does not produce any greater therapeutic effect than the use of NSAIDs alone. In a clinical study, the concomitant use of an NSAID and aspirin was associated with a significantly increased incidence of GI adverse reactions as compared to use of the NSAID alone (see WARNINGS: Gastrointestinal Bleeding, Ulceration, and Perforation).

Intervention:

Concomitant use of diclofenac potassium tablets and analgesic doses of aspirin is not generally recommended because of the increased risk of bleeding (see WARNINGS: Hematological Toxicity). Diclofenac potassium tablets are not a substitute for low dose aspirin for cardiovascular protection.

ACE Inhibitors, Angiotensin Receptor Blockers, and Beta-Blockers

Clinical Impact:

  • NSAIDs may diminish the antihypertensive effect of angiotensin converting enzyme (ACE) inhibitors, angiotensin receptor blockers (ARBs), or beta-blockers (including propranolol).
  • In patients who are elderly, volume-depleted (including those on diuretic therapy), or have renal impairment, co-administration of an NSAID with ACE inhibitors or ARBs may result in deterioration of renal function, including possible acute renal failure. These effects are usually reversible.

Intervention:

  • During concomitant use of diclofenac potassium tablets and ACE-inhibitors, ARBs, or beta-blockers, monitor blood pressure to ensure that the desired blood pressure is obtained.
  • During concomitant use of diclofenac potassium tablets and ACE-inhibitors or ARBs in patients who are elderly, volume-depleted, or have impaired renal function, monitor for signs of worsening renal function (see WARNINGS: Renal Toxicity and Hyperkalemia).
  • When these drugs are administered concomitantly, patients should be adequately hydrated. Assess renal function at the beginning of the concomitant treatment and periodically thereafter.

Diuretics

Clinical Impact:

Clinical studies, as well as postmarketing observations, showed that NSAIDs reduced the natriuretic effect of loop diuretics (e.g., furosemide) and thiazide diuretics in some patients. This effect has been attributed to the NSAID inhibition of renal prostaglandin synthesis.

Intervention:

During concomitant use of diclofenac potassium tablets with diuretics, observe patients for signs of worsening renal function, in addition to assuring diuretic efficacy including antihypertensive effects (see WARNINGS: Renal Toxicity and Hyperkalemia).

Digoxin

Clinical Impact:

The concomitant use of diclofenac with digoxin has been reported to increase the serum concentration and prolong the half-life of digoxin.

Intervention:

During concomitant use of diclofenac potassium tablets and digoxin, monitor serum digoxin levels.

Lithium

Clinical Impact:

NSAIDs have produced elevations in plasma lithium levels and reductions in renal lithium clearance .The mean minimum lithium concentration increased 15%, and the renal clearance decreased by approximately 20%. This effect has been attributed to NSAID inhibition of renal prostaglandin synthesis.

Intervention:

During concomitant use of diclofenac potassium tablets and lithium, monitor patients for signs of lithium toxicity.

Methotrexate

Clinical Impact:

Concomitant use of NSAIDs and methotrexate may increase the risk for methotrexate toxicity (e.g., neutropenia, thrombocytopenia, renal dysfunction).

Intervention:

During concomitant use of diclofenac potassium tablets and methotrexate, monitor patients for methotrexate toxicity.

Cyclosporine

Clinical Impact:

Concomitant use of diclofenac potassium tablets and cyclosporine may increase cyclosporine’s nephrotoxicity.

Intervention:

During concomitant use of diclofenac potassium tablets and cyclosporine, monitor patients for signs of worsening renal function.

NSAIDs and Salicylates

Clinical Impact:

Concomitant use of diclofenac with other NSAIDs or salicylates (e.g., diflunisal, salsalate) increases the risk of GI toxicity, with little or no increase in efficacy (see WARNINGS: Gastrointestinal Bleeding, Ulceration, and Perforation).

Intervention:

The concomitant use of diclofenac with other NSAIDs or salicylates is not recommended.

Pemetrexed

Clinical Impact:

Concomitant use of diclofenac potassium tablets and pemetrexed may increase the risk of pemetrexed-associated myelosuppression, renal, and GI toxicity (see the pemetrexed prescribing information).

Intervention:

During concomitant use of diclofenac potassium tablets and pemetrexed, in patients with renal impairment whose creatinine clearance ranges from 45 mL/min to 79 mL/min, monitor for myelosuppression, renal and GI toxicity.

NSAIDs with short elimination half-lives (e.g., diclofenac, indomethacin) should be avoided for a period of two days before, the day of, and two days following administration of pemetrexed.

In the absence of data regarding potential interaction between pemetrexed and NSAIDs with longer half-lives (e.g., meloxicam, nabumetone), patients taking these NSAIDs should interrupt dosing for at least five days before, the day of, and two days following pemetrexed administration.

CYP2C9 Inhibitors or Inducers

Clinical Impact:

Diclofenac is metabolized by cytochrome P450 enzymes, predominantly by CYP2C9. Co-administration of diclofenac with CYP2C9 inhibitors (e.g., voriconazole) may enhance the exposure and toxicity of diclofenac whereas co-administration with CYP2C9 inducers (e.g., rifampin) may lead to compromised efficacy of diclofenac.

Intervention:

A dosage adjustment may be warranted when diclofenac is administered with CYP2C9 inhibitors or inducers (see CLINICAL PHARMACOLOGY: Pharmacokinetics).

Labor Or Delivery (Labor or Delivery)

There are no studies on the effects of diclofenac potassium tablets during labor or delivery. In animal studies, NSAIDs, including diclofenac, inhibit prostaglandin synthesis, cause delayed parturition, and increase the incidence of stillbirth.

Hepatic Impairment

Hepatic metabolism accounts for almost 100% of diclofenac potassium tablets elimination, so patients with hepatic disease may require reduced doses of diclofenac potassium tablets compared to patients with normal hepatic function.

Mechanism of Action

Diclofenac has analgesic, anti-inflammatory, and antipyretic properties.

The mechanism of action of diclofenac potassium tablets, like that of other NSAIDs, is not completely understood but involves inhibition of cyclooxygenase (COX-1 and COX-2).

Diclofenac is a potent inhibitor of prostaglandin synthesis in vitro. Diclofenac concentrations reached during therapy have produced in vivoeffects. Prostaglandins sensitize afferent nerves and potentiate the action of bradykinin in inducing pain in animal models. Prostaglandins are mediators of inflammation. Because diclofenac is an inhibitor of prostaglandin synthesis, its mode of action may be due to a decrease of prostaglandins in peripheral tissues.

Indications and Usage (INDICATIONS AND USAGE)

Carefully consider the potential benefits and risks of diclofenac potassium tablets and other treatment options before deciding to use diclofenac potassium tablets. Use the lowest effective dose for the shortest duration consistent with individual patient treatment goals (see WARNINGS: Gastrointestinal Bleeding, Ulceration, and Perforation).

Diclofenac potassium tablets are indicated:

  • For treatment of primary dysmenorrhea
  • For relief of mild to moderate pain
  • For relief of the signs and symptoms of osteoarthritis
  • For relief of the signs and symptoms of rheumatoid arthritis
Laboratory Monitoring

Because serious GI bleeding, hepatotoxicity, and renal injury can occur without warning symptoms or signs, consider monitoring patients on long-term NSAID treatment with a CBC and a chemistry profile periodically (see WARNINGS: Gastrointestinal Bleeding, Ulceration and Perforation, and Hepatotoxicity) .

Anaphylactic Reactions

Diclofenac has been associated with anaphylactic reactions in patients with and without known hypersensitivity to diclofenac and in patients with aspirin-sensitive asthma (see CONTRAINDICATIONS, WARNINGS: Exacerbation of Asthma Related to Aspirin Sensitivity).

Hematological Toxicity

Anemia has occurred in NSAID-treated patients. This may be due to occult or gross blood loss, fluid retention, or an incompletely described effect upon erythropoiesis. If a patient treated with diclofenac potassium tablets have any signs or symptoms of anemia, monitor hemoglobin or hematocrit.

NSAIDs, including diclofenac potassium tablets, may increase the risk of bleeding events. Co-morbid conditions such as coagulation disorders, concomitant use of warfarin and other anticoagulants, antiplatelet agents (e.g., aspirin), serotonin reuptake inhibitors (SSRIs) and serotonin norepinephrine reuptake inhibitors (SNRIs) may increase this risk. Monitor these patients for signs of bleeding (see PRECAUTIONS: Drug Interactions).

Serious Skin Reactions

NSAIDs, including diclofenac, can cause serious skin adverse events such as exfoliative dermatitis, Stevens-Johnson Syndrome (SJS), and toxic epidermal necrolysis (TEN), which can be fatal. These serious events may occur without warning. Inform patients about the signs and symptoms of serious skin reactions and discontinue the use of diclofenac potassium tablets at the first appearance of skin rash or any other sign of hypersensitivity. Diclofenac potassium tablets are contraindicated in patients with previous serious skin reactions to NSAIDs (see CONTRAINDICATIONS).

Heart Failure and Edema

The Coxib and traditional NSAID Trialists’ Collaboration meta-analysis of randomized controlled trials demonstrated an approximately two-fold increase in hospitalization for heart failure in COX-2 selective-treated patients and nonselective NSAID-treated patients compared to placebo-treated patients. In a Danish National Registry study of patients with heart failure, NSAID use increased the risk of MI, hospitalization for heart failure, and death.

Additionally, fluid retention and edema have been observed in some patients treated with NSAIDs. Use of diclofenac may blunt the CV effects of several therapeutic agents used to treat these medical conditions (e.g., diuretics, ACE inhibitors, or angiotensin receptor blockers [ARBs]) (see PRECAUTIONS: Drug Interactions).

Avoid the use of diclofenac potassium tablets in patients with severe heart failure unless the benefits are expected to outweigh the risk of worsening heart failure. If diclofenac potassium tablets are used in patients with severe heart failure, monitor patients for signs of worsening heart failure.

Impairment of Fertility

Diclofenac sodium administered to male and female rats at 4 mg/kg/day (approximately 0.2 times the MRHD based on BSA comparison) did not affect fertility.

Based on the mechanism of action, the use of prostaglandin-mediated NSAIDs, including diclofenac potassium tablets, may delay or prevent rupture of ovarian follicles, which has been associated with reversible infertility in some women. Published animal studies have shown that administration of prostaglandin synthesis inhibitors has the potential to disrupt prostaglandin-mediated follicular rupture required for ovulation. Small studies in women treated with NSAIDs have also shown a reversible delay in ovulation. Consider withdrawal of NSAIDs, including diclofenac potassium tablets, in women who have difficulties conceiving or who are undergoing investigation of infertility.

Information for Patients

Advise the patient to read the FDA-approved patient labeling ( Medication Guide) that accompanies each prescription dispensed. Inform patients, families, or their caregivers of the following information before initiating therapy with diclofenac potassium tablets and periodically during the course of ongoing therapy.

Dosage and Administration (DOSAGE AND ADMINISTRATION)

Carefully consider the potential benefits and risks of diclofenac potassium tablets and other treatment options before deciding to use diclofenac potassium tablets. Use the lowest effective dose for the shortest duration consistent with individual patient treatment goals (see WARNINGS: Gastrointestinal Bleeding, Ulceration, and Perforation).

After observing the response to initial therapy with diclofenac potassium tablets, the dose and frequency should be adjusted to suit an individual patient’s needs.

For treatment of pain or primary dysmenorrhea the recommended dosage is 50 mg three times a day. With experience, physicians may find that in some patients an initial dose of 100 mg of diclofenac potassium tablets, followed by 50 mg doses, will provide better relief.

For the relief of osteoarthritis the recommended dosage is 100-150 mg/day in divided doses, 50 mg twice a day or three times a day.

For the relief of rheumatoid arthritis the recommended dosage is 150-200 mg/day in divided doses, 50 mg three times a day or four times a day.

Different formulations of diclofenac (diclofenac sodium enteric-coated tablets; diclofenac sodium extended-release tablets; diclofenac potassium immediate-release tablets) are not necessarily bioequivalent even if the milligram strength is the same.

Clinical Trials Experience

Because clinical trials are conducted under widely varying conditions, adverse reaction rates observed in the clinical trials of a drug cannot be directly compared to rates in the clinical trials of another drug and may not reflect the rates observed in practice.

In 718 patients treated for shorter periods, i.e., 2 weeks or less, with diclofenac potassium tablets, adverse reactions were reported one-half to one-tenth as frequently as by patients treated for longer periods. In a 6-month, double-blind trial comparing diclofenac potassium tablets (N = 196) versus diclofenac sodium delayed-release tablets (N = 197) versus ibuprofen (N = 197), adverse reactions were similar in nature and frequency.

In patients taking diclofenac potassium tablets or other NSAIDs, the most frequently reported adverse experiences occurring in approximately 1%-10% of patients are:

Gastrointestinal experiences including: abdominal pain, constipation, diarrhea, dyspepsia, flatulence, gross bleeding/perforation, heartburn, nausea, GI ulcers (gastric/duodenal) and vomiting.

Abnormal renal function, anemia, dizziness, edema, elevated liver enzymes, headaches, increased bleeding time, pruritus, rashes and tinnitus.

Additional adverse experiences reported occasionally include:

Body as a Whole:  fever, infection, sepsis

Cardiovascular System:  congestive heart failure, hypertension, tachycardia, syncope

Digestive System:  dry mouth, esophagitis, gastric/peptic ulcers, gastritis, gastrointestinal bleeding, glossitis, hematemesis, hepatitis, jaundice

Hemic and Lymphatic System:  ecchymosis, eosinophilia, leukopenia, melena, purpura, rectal bleeding, stomatitis, thrombocytopenia

Metabolic and Nutritional:  weight changes

Nervous System:  anxiety, asthenia, confusion, depression, dream abnormalities, drowsiness, insomnia, malaise, nervousness, paresthesia, somnolence, tremors, vertigo

Respiratory System:  asthma, dyspnea

Skin and Appendages:  alopecia, photosensitivity, sweating increased

Special Senses:  blurred vision

Urogenital System:  cystitis, dysuria, hematuria, interstitial nephritis, oliguria/polyuria, proteinuria, renal failure

Other adverse reactions, which occur rarely are:

Body as a Whole:  anaphylactic reactions, appetite changes, death

Cardiovascular System:  arrhythmia, hypotension, myocardial infarction, palpitations, vasculitis

Digestive System:  colitis eructation, fulminant hepatitis with and without jaundice, liver failure, liver necrosis, pancreatitis

Hemic and Lymphatic System:  agranulocytosis, hemolytic anemia, aplastic anemia, lymphadenopathy, pancytopenia

Metabolic and Nutritional:  hyperglycemia

Nervous System:  convulsions, coma, hallucinations, meningitis

Respiratory System:  respiratory depression, pneumonia

Skin and Appendages:  angioedema, toxic epidermal necrolysis, erythema multiforme, exfoliative dermatitis, Stevens-Johnson Syndrome, urticaria

Special Senses:  conjunctivitis, hearing impairment

To report SUSPECTED ADVERSE EVENTS, contact Amici Pharmaceuticals LLC. at 1-877-938-4525 or FDA at 1- 800- FDA-1088 or http://www.fda.gov/medwatch for voluntary reporting of adverse reactions.

Package/label Display Panel (Package/Label Display Panel)

Avoid Concomitant Use of Nsaids (Avoid Concomitant Use of NSAIDs)

Inform patients that the concomitant use of diclofenac potassium tablets with other NSAIDs or salicylates (e.g., diflunisal, salsalate) is not recommended due to the increased risk of gastrointestinal toxicity, and little or no increase in efficacy (see WARNINGS: Gastrointestinal Bleeding, Ulceration, and Perforationand Drug Interactions). Alert patients that NSAIDs may be present in “over-the-counter” medications for treatment of colds, fever, or insomnia.

Cardiovascular Thrombotic Events

Clinical trials of several COX-2 selective and nonselective NSAIDs of up to three years duration have shown an increased risk of serious cardiovascular (CV) thrombotic events, including myocardial infarction (MI) and stroke, which can be fatal. Based on available data, it is unclear that the risk for CV thrombotic events is similar for all NSAIDs. The relative increase in serious CV thrombotic events over baseline conferred by NSAID use appears to be similar in those with and without known CV disease or risk factors for CV disease. However, patients with known CV disease or risk factors had a higher absolute incidence of excess serious CV thrombotic events, due to their increased baseline rate. Some observational studies found that this increased risk of serious CV thrombotic events began as early as the first weeks of treatment. The increase in CV thrombotic risk has been observed most consistently at higher doses.

To minimize the potential risk for an adverse CV event in NSAID-treated patients, use the lowest effective dose for the shortest duration possible. Physicians and patients should remain alert for the development of such events, throughout the entire treatment course, even in the absence of previous CV symptoms. Patients should be informed about the symptoms of serious CV events and the steps to take if they occur.

There is no consistent evidence that concurrent use of aspirin mitigates the increased risk of serious CV thrombotic events associated with NSAID use. The concurrent use of aspirin and an NSAID, such as diclofenac, increases the risk of serious gastrointestinal (GI) events (see WARNINGS: Gastrointestinal Bleeding, Ulceration, and Perforation).

Masking of Inflammation and Fever

The pharmacological activity of diclofenac potassium tablets in reducing fever and inflammation, and possibly fever, may diminish the utility of these diagnostic signs in detecting infections.

Use of Nsaids and Low Dose Aspirin (Use of NSAIDs and Low-Dose Aspirin)

Inform patients not to use low-dose aspirin concomitantly with diclofenac potassium tablets until they talk to their healthcare provider (see PRECAUTIONS: Drug Interactions).

Serious Skin Reactions, Including Dress (Serious Skin Reactions, Including DRESS)

Advise patients to stop diclofenac potassium tablets immediately if they develop any type of rash and contact their healthcare provider as soon as possible (see WARNINGS).

Oligohydramnios/neonatal Renal Impairment (Oligohydramnios/Neonatal Renal Impairment)

Use of NSAIDs, including diclofenac potassium tablets, at about 20 weeks gestation or later in pregnancy may cause fetal renal dysfunction leading to oligohydramnios and, in some cases, neonatal renal impairment. These adverse outcomes are seen, on average, after days to weeks of treatment, although oligohydramnios has been infrequently reported as soon as 48 hours after NSAID initiation. Oligohydramnios is often, but not always, reversible with treatment discontinuation. Complications of prolonged oligohydramnios may, for example, include limb contractures and delayed lung maturation. In some postmarketing cases of impaired neonatal renal function, invasive procedures such as exchange transfusion or dialysis were required.

If NSAID treatment is necessary between about 20 weeks and 30 weeks gestation, limit diclofenac potassium tablets use to the lowest effective dose and shortest duration possible. Consider ultrasound monitoring of amniotic fluid if diclofenac potassium tablets treatment extends beyond 48 hours. Discontinue diclofenac potassium tablets if oligohydramnios occurs and follow up according to clinical practice. (see PRECAUTIONS: Pregnancy).

Premature Closure of Fetal Ductus Arteriosus

Avoid use of NSAIDs, including diclofenac potassium tablets, in pregnant women at about 30 weeks gestation and later. NSAIDs including diclofenac potassium tablets, increase the risk of premature closure of the fetal ductus arteriosus at approximately this gestational

age. 

Principal Display Panel/ Container Label 50 Mg (PRINCIPAL DISPLAY PANEL/ CONTAINER LABEL - 50 mg)

NDC 51407-443-01

Diclofenac Potassium Tablets, USP 50 mg

PHARMACIST: Dispense the Medication Guide provided separately to each patient.

100 Tablets

Each tablet contains: Diclofenac Potassium, USP 50 mg

Rx only

Dispense in a tight, light-resistant container as defined in the USP using a child-resistant closure.

Keep container tightly closed.

Keep this and all medication out of the reach of children.

Store at 20° to 25°C (68° to 77°F). [See USP Controlled Room Temperature.]

Protect from moisture.

Usual Dosage: See accompanying prescribing information.

Medication Guide available at www.amicipharma.com/products

Distrbuted by: Amici Pharmaceuticals LLC.

Melville, NY 11747 U.S.A.

Revised: 04/2024

Marketed by:

GSMS, Inc.

Camarillo, CA 93012 USA

Exacerbation of Asthma Related to Aspirin Sensitivity

A subpopulation of patients with asthma may have aspirin-sensitive asthma which may include chronic rhinosinusitis complicated by nasal polyps; severe, potentially fatal bronchospasm; and/or intolerance to aspirin and other NSAIDs. Because cross-reactivity between aspirin and other NSAIDs has been reported in such aspirin-sensitive patients, diclofenac potassium tablets are contraindicated in patients with this form of aspirin sensitivity (see CONTRAINDICATIONS). When diclofenac potassium tablets are used in patients with preexisting asthma (without known aspirin sensitivity), monitor patients for changes in the signs and symptoms of asthma.

Gastrointestinal Bleeding, Ulceration, and Perforation

NSAIDs, including diclofenac, cause serious gastrointestinal (GI) adverse events including inflammation, bleeding, ulceration, and perforation of the esophagus, stomach, small intestine, or large intestine, which can be fatal. These serious adverse events can occur at any time, with or without warning symptoms, in patients treated with NSAIDs. Only one in five patients, who develop a serious upper GI adverse event on NSAID therapy, is symptomatic. Upper GI ulcers, gross bleeding or perforation caused by NSAIDs occurred in approximately 1% of patients treated for 3-6 months, and in about 2%-4% of patients treated for one year. However, even short-term therapy is not without risk.

Status Post Coronary Artery Bypass Graft (cabg) Surgery (Status Post Coronary Artery Bypass Graft (CABG) Surgery)

Two large, controlled, clinical trials of a COX-2 selective NSAID for the treatment of pain in the first 10-14 days following CABG surgery found an increased incidence of myocardial infarction and stroke. NSAIDs are contraindicated in the setting of CABG (see CONTRAINDICATIONS) .

Risk Factors for Gi Bleeding, Ulceration, and Perforation (Risk Factors for GI Bleeding, Ulceration, and Perforation)

Patients with a prior history of peptic ulcer disease and/or GI bleeding who use NSAIDs had a greater than 10-fold increased risk for developing a GI bleed compared to patients without these risk factors. Other factors that increase the risk of GI bleeding in patients treated with NSAIDs include longer duration of NSAID therapy, concomitant use of oral corticosteroids, aspirin, anticoagulants, or selective serotonin reuptake inhibitors (SSRIs); smoking, use of alcohol, older age, and poor general health status. Most postmarketing reports of fatal GI events occurred in elderly or debilitated patients. Additionally, patients with advanced liver disease and/or coagulopathy are at increased risk for GI bleeding.

Drug Reaction With Eosinophilia and Systemic Symptoms (dress) (Drug Reaction with Eosinophilia and Systemic Symptoms (DRESS))

Drug Reaction with Eosinophilia and Systemic Symptoms (DRESS) has been reported in patients taking NSAIDs such as diclofenac potassium tablets. Some of these events have been fatal or life-threatening. DRESS typically, although not exclusively, presents with fever, rash, lymphadenopathy, and/or facial swelling. Other clinical manifestations may include hepatitis, nephritis, hematological abnormalities, myocarditis, or myositis. Sometimes symptoms of DRESS may resemble an acute viral infection. Eosinophilia is often present. Because this disorder is variable in its presentation, other organ systems not noted here may be involved. It is important to note that early manifestations of hypersensitivity, such as fever or lymphadenopathy, may be present even though rash is not evident. If such signs or symptoms are present, discontinue diclofenac potassium tablets and evaluate the patient immediately.

Strategies to Minimize the Gi Risks in Nsaid Treated Patients (Strategies to Minimize the GI Risks in NSAID-treated Patients)
  • Use the lowest effective dosage for the shortest possible duration.
  • Avoid administration of more than one NSAID at a time.
  • Avoid use in patients at higher risk unless benefits are expected to outweigh the increased risk of bleeding. For such patients, as well as those with active GI bleeding, consider alternate therapies other than NSAIDs.
  • Remain alert for signs and symptoms of GI ulceration and bleeding during NSAID therapy.
  • If a serious GI adverse event is suspected, promptly initiate evaluation and treatment, and discontinue diclofenac potassium tablets until a serious GI adverse event is ruled out.

In the setting of concomitant use of low-dose aspirin for cardiac prophylaxis, monitor patients more closely for evidence of GI bleeding (see PRECAUTIONS: Drug Interactions).

Warning: Risk of Serious Cardiovascular and Gastrointestinal Events (WARNING: RISK OF SERIOUS CARDIOVASCULAR AND GASTROINTESTINAL EVENTS)

Cardiovascular Thrombotic Events

Nonsteroidal Anti-Inflammatory Drugs (NSAIDs) cause an increased risk of serious cardiovascular thrombotic events, including myocardial infarction and stroke, which can be fatal. This risk may occur early in treatment and may increase with duration of use (see WARNINGS). Diclofenac potassium tablets are contraindicated in the setting of coronary artery bypass graft (CABG) surgery (see CONTRAINDICATIONS, WARNINGS).

Gastrointestinal Bleeding, Ulceration, and Perforation

NSAIDs cause an increased risk of serious gastrointestinal (GI) adverse events including bleeding, ulceration, and perforation of the stomach or intestines, which can be fatal. These events can occur at any time during use and without warning symptoms. Elderly patients and patients with a prior history of peptic ulcer disease and/or GI bleeding are at greater risk for serious GI events (see WARNINGS).

Medication Guide for Non Steroidal Anti Inflammatory Drugs (nsaids ) (Medication Guide for Non-steroidal Anti-Inflammatory Drugs (NSAIDs ))

What is the most important information I should know about medicines called Nonsteroidal Anti-Inflammatory Drugs (NSAIDs)?

NSAIDs can cause serious side effects, including:

Increased risk of a heart attack or stroke that can lead to death. This risk may happen early in treatment and may increase:

•with increasing doses of NSAIDsowith longer use of NSAIDs

Do not take NSAIDs right before or after a heart surgery called a “coronary artery bypass graft (CABG)”.

Avoid taking NSAIDs after a recent heart attack, unless your healthcare provider tells you to. You may have an increased risk of another heart attack if you take NSAIDs after a recent heart attack.

Increased risk of bleeding, ulcers, and tears (perforation) of the esophagus (tube leading from the mouth to the stomach), stomach and intestines:

•any time during use

•without warning symptoms

•that may cause death



The risk of getting an ulcer or bleeding increases with:

•past history of stomach ulcers, or stomach or intestinal bleeding with use of NSAIDs

•taking medicines called “corticosteroids”, “anticoagulants”, “SSRIs” or “SNRIs”

•increasing doses of NSAIDs

•longer use of NSAIDs

•smoking

•drinking alcohol

•older age

•poor healthoadvanced liver disease

•bleeding problems

NSAIDs should only be used:

•exactly as prescribed

•at the lowest dose possible for your treatment of or the shortest time needed

What are NSAIDs?

NSAIDs are used to treat pain and redness, swelling, and heat (inflammation) from medical conditions such as different types of arthritis, menstrual cramps, and other types of short-term pain.

Who should not take NSAIDs?

Do not take NSAIDs:

•if you had an asthma attack, hives, or other allergic reaction with aspirin or any other NSAIDs.

•right before or after heart bypass surgery.

Before taking NSAIDs, tell your healthcare provider about all of your medical conditions, including if you:

•have liver or kidney problems

•have high blood pressure

•have asthma

•are pregnant or plan to become pregnant. Taking NSAIDs at about 20 weeks of pregnancy or later may harm your unborn baby. If you need to take NSAIDs for more than 2 days when you are between 20 and 30 weeks of pregnancy, your healthcare provider may need to monitor the amount of fluid in your womb around your baby. You should not take NSAIDs after about 30 weeks of pregnancy.

•are breastfeeding or plan to breast feed.

Tell your healthcare provider about all of the medicines you take, including prescription or over-the-counter medicines, vitamins or herbal supplements.NSAIDs and some other medicines can interact with each other and cause serious side effects. Do not start taking any new medicine without talking to your healthcare provider first.

What are the possible side effects of NSAIDs?

NSAIDs can cause serious side effects, including:

See “What is the most important information I should know about medicines called Nonsteroidal Anti-Inflammatory Drugs (NSAIDs)?”

•new or worse high blood pressure

•heart failure

•liver problems including liver failure

•kidney problems including kidney failure

•low red blood cells (anemia)

•life-threatening skin reactions

•life-threatening allergic reactions

Other side effects of NSAIDs include:stomach pain, constipation, diarrhea, gas, heartburn, nausea, vomiting, dizziness.

Get emergency help right away if you have any of the following symptoms:

•shortness of breath or trouble breathing

•chest pain

•weakness in one part or side of your body

•slurred speech

•swelling of the face or throat

Stop taking your NSAID and call your healthcare provider right away if you get any of the following symptoms:

•nausea

•more tired or weaker than usual

•diarrhea

•itching

•your skin or eyes look yellow

•indigestion or stomach pain

•flu-like symptoms

•vomit blood

•there is blood in your bowel movement or it is black and sticky like tar

•unusual weight gain

•skin rash or blisters with fever

•swelling of the arms, legs, hands and feet

If you take too much of your NSAID, call your healthcare provider or get medical help right away.These are not all the possible side effects of NSAIDs. For more information, ask your healthcare provider or pharmacist about NSAIDs.

Call your doctor for medical advice about side effects. You may report side effects to FDA at 1-800-FDA-1088.

Other information about NSAIDs

•Aspirin is an NSAID medicine but it does not increase the chance of a heart attack. Aspirin can cause bleeding in the brain, stomach, and intestines. Aspirin can also cause ulcers in the stomach and intestines.

•Some NSAIDs are sold in lower doses without a prescription (over-the- counter). Talk to your healthcare provider before using over-the-counter NSAIDs for more than 10 days.

General information about the safe and effective use of NSAIDs

Medicines are sometimes prescribed for purposes other than those listed in a Medication Guide. Do not use NSAIDs for a condition for which it was not prescribed. Do not give NSAIDs to other people, even if they have the same symptoms that you have. It may harm them.

If you would like more information about NSAIDs, talk with your healthcare provider. You can ask your pharmacist or healthcare provider for information about NSAIDs that is written for health professionals.

Distributed by:Amici Pharmaceuticals LLC., Melville, NY 11747 U.S.A.

For more information call Amici Pharmaceuticals LLC. at 1-877-938-4525.

Marketed by:

GSMS, Inc.

Camarillo, CA 93012 USA

This Medication Guide has been approved by the U.S. Food and Drug Administration.

The brands listed are trademarks of their respective owners.

Amici Pharmaceuticals LLC.

Melville, NY 11747 U.S.A.

Revised: 03/2021


Advanced Ingredient Data


Raw Label Data

All Sections (JSON)