These Highlights Do Not Include All The Information Needed To Use Doxycycline Hyclate Delayed-release Tablets Safely

These Highlights Do Not Include All The Information Needed To Use Doxycycline Hyclate Delayed-release Tablets Safely
SPL v7
SPL
SPL Set ID c2b08332-3256-4658-965a-ede3d973a388
Route
ORAL
Published
Effective Date 2025-04-01
Document Type 34391-3 HUMAN PRESCRIPTION DRUG LABEL

Drug Facts

Composition & Product

Active Ingredients
Doxycycline Anhydrous (50 mg)
Inactive Ingredients
Crospovidone D&c Yellow No. 10 Aluminum Lake Hypromellose 2910 (5 Mpa.s) Hypromellose Phthalate (24% Phthalate, 55 Cst) Magnesium Stearate Mannitol Microcrystalline Cellulose Povidone Silicified Microcrystalline Cellulose (125 .micro.m) Talc Triethyl Citrate

Identifiers & Packaging

Pill Appearance
Imprint: T;9 Shape: oval Color: yellow Size: 11 mm Size: 19 mm Score: 2
Marketing Status
ANDA Active Since 2019-08-14

Description

Warnings and Precautions, Severe Skin Reactions ( 5.5 )                        3/2025

Dosage and Administration

Doxycycline hyclate delayed-release tablets are not substitutable on a mg per mg basis with other oral doxycyclines. To avoid prescribing errors, do not substitute doxycycline hyclate delayed-release tablets for other oral doxycyclines on a mg per mg basis because of differing bioavailability. Do not chew or crush tablets [see Dosage and Administration ( 2.4 )] . The recommended dosage, frequency of administration and weight-based dosage recommendations of doxycycline hyclate delayed-release tablets differ from that of the other tetracyclines [see Dosage and Administration ( 2.2 , 2.3 , 2.4 )] . Exceeding the recommended dosage may result in an increased incidence of adverse reactions. Administer doxycycline hyclate delayed-release tablets with an adequate amount of fluid to wash down the drug and reduce the risk of esophageal irritation and ulceration [see Adverse Reactions ( 6.1 )] . If gastric irritation occurs, doxycycline hyclate delayed-release tablets may be given with food or milk [see Clinical Pharmacology ( 12.3 )] .

Warnings and Precautions

The use of drugs of the tetracycline-class during tooth development (last half of pregnancy, infancy and childhood to the age of 8 years) may cause permanent discoloration of the teeth (yellow-gray-brown). ( 5.1 ) Clostridioides  difficile -associated diarrhea (CDAD) has been reported: Evaluate patients if diarrhea occurs. ( 5.2 ) Photosensitivity manifested by an exaggerated sunburn reaction has been observed in some individuals taking tetracyclines. Limit sun exposure. ( 5.3 ) Overgrowth of non-susceptible organisms, including fungi, may occur. If such infections occur, discontinue use and institute appropriate therapy. ( 5.4 )

Contraindications

Doxycycline hyclate delayed-release tablets are contraindicated in persons who have shown hypersensitivity to any of the tetracyclines.

Adverse Reactions

Adverse reactions observed in patients receiving tetracyclines include anorexia, nausea, vomiting, diarrhea, rash, photosensitivity, urticaria, and hemolytic anemia. ( 6 ) To report SUSPECTED ADVERSE REACTIONS, contact Teva at 1-888-838-2872 or FDA at 1-800-FDA-1088 or www.fda.gov/medwatch.

Drug Interactions

Patients who are on anticoagulant therapy may require downward adjustment of their anticoagulant dosage ( 7.1 ) Avoid coadministration of tetracyclines with penicillin ( 7.2 ) Absorption of tetracyclines, including doxycycline hyclate delayed-release tablets, is impaired by antacids containing aluminum, calcium, or magnesium, bismuth subsalicylate and iron-containing preparations ( 7.3 ) Concurrent use of tetracyclines, including doxycycline hyclate delayed-release tablets, may render oral contraceptives less effective ( 7.4 ) Barbiturates, carbamazepine and phenytoin decrease the half-life of doxycycline ( 7.5 )

Storage and Handling

Doxycycline hyclate delayed-release tablets, USP are available as follows: 50 mg –   Each yellow, oval tablet debossed with “T 0” on one side and plain on the other side contains specially coated yellow to brown pellets of 57.7 mg doxycycline hyclate, USP equivalent to 50 mg of doxycycline. Tablets are supplied in bottles of 120 (NDC 0591-4550-22). 200 mg – Each yellow, oval, scored tablet debossed with “T|9” on one side and plain on the other side contains specially coated yellow to brown pellets of 230.8 mg doxycycline hyclate, USP equivalent to 200 mg of doxycycline. Tablets are supplied in bottles of 60 (NDC 0591-4575-60). Store at 25°C (77°F); excursions permitted to 15° to 30°C (59° to 86°F) [see USP Controlled Room Temperature]. Dispense in a tight, light-resistant container as defined in USP.

How Supplied

Doxycycline hyclate delayed-release tablets, USP are available as follows: 50 mg –   Each yellow, oval tablet debossed with “T 0” on one side and plain on the other side contains specially coated yellow to brown pellets of 57.7 mg doxycycline hyclate, USP equivalent to 50 mg of doxycycline. Tablets are supplied in bottles of 120 (NDC 0591-4550-22). 200 mg – Each yellow, oval, scored tablet debossed with “T|9” on one side and plain on the other side contains specially coated yellow to brown pellets of 230.8 mg doxycycline hyclate, USP equivalent to 200 mg of doxycycline. Tablets are supplied in bottles of 60 (NDC 0591-4575-60). Store at 25°C (77°F); excursions permitted to 15° to 30°C (59° to 86°F) [see USP Controlled Room Temperature]. Dispense in a tight, light-resistant container as defined in USP.


Medication Information

Recent Major Changes

Warnings and Precautions, Severe Skin Reactions (5.5)                        3/2025

Warnings and Precautions

The use of drugs of the tetracycline-class during tooth development (last half of pregnancy, infancy and childhood to the age of 8 years) may cause permanent discoloration of the teeth (yellow-gray-brown). ( 5.1 ) Clostridioides  difficile -associated diarrhea (CDAD) has been reported: Evaluate patients if diarrhea occurs. ( 5.2 ) Photosensitivity manifested by an exaggerated sunburn reaction has been observed in some individuals taking tetracyclines. Limit sun exposure. ( 5.3 ) Overgrowth of non-susceptible organisms, including fungi, may occur. If such infections occur, discontinue use and institute appropriate therapy. ( 5.4 )

Dosage and Administration

Doxycycline hyclate delayed-release tablets are not substitutable on a mg per mg basis with other oral doxycyclines. To avoid prescribing errors, do not substitute doxycycline hyclate delayed-release tablets for other oral doxycyclines on a mg per mg basis because of differing bioavailability. Do not chew or crush tablets [see Dosage and Administration ( 2.4 )] . The recommended dosage, frequency of administration and weight-based dosage recommendations of doxycycline hyclate delayed-release tablets differ from that of the other tetracyclines [see Dosage and Administration ( 2.2 , 2.3 , 2.4 )] . Exceeding the recommended dosage may result in an increased incidence of adverse reactions. Administer doxycycline hyclate delayed-release tablets with an adequate amount of fluid to wash down the drug and reduce the risk of esophageal irritation and ulceration [see Adverse Reactions ( 6.1 )] . If gastric irritation occurs, doxycycline hyclate delayed-release tablets may be given with food or milk [see Clinical Pharmacology ( 12.3 )] .

Contraindications

Doxycycline hyclate delayed-release tablets are contraindicated in persons who have shown hypersensitivity to any of the tetracyclines.

Adverse Reactions

Adverse reactions observed in patients receiving tetracyclines include anorexia, nausea, vomiting, diarrhea, rash, photosensitivity, urticaria, and hemolytic anemia. ( 6 ) To report SUSPECTED ADVERSE REACTIONS, contact Teva at 1-888-838-2872 or FDA at 1-800-FDA-1088 or www.fda.gov/medwatch.

Drug Interactions

Patients who are on anticoagulant therapy may require downward adjustment of their anticoagulant dosage ( 7.1 ) Avoid coadministration of tetracyclines with penicillin ( 7.2 ) Absorption of tetracyclines, including doxycycline hyclate delayed-release tablets, is impaired by antacids containing aluminum, calcium, or magnesium, bismuth subsalicylate and iron-containing preparations ( 7.3 ) Concurrent use of tetracyclines, including doxycycline hyclate delayed-release tablets, may render oral contraceptives less effective ( 7.4 ) Barbiturates, carbamazepine and phenytoin decrease the half-life of doxycycline ( 7.5 )

Storage and Handling

Doxycycline hyclate delayed-release tablets, USP are available as follows: 50 mg –   Each yellow, oval tablet debossed with “T 0” on one side and plain on the other side contains specially coated yellow to brown pellets of 57.7 mg doxycycline hyclate, USP equivalent to 50 mg of doxycycline. Tablets are supplied in bottles of 120 (NDC 0591-4550-22). 200 mg – Each yellow, oval, scored tablet debossed with “T|9” on one side and plain on the other side contains specially coated yellow to brown pellets of 230.8 mg doxycycline hyclate, USP equivalent to 200 mg of doxycycline. Tablets are supplied in bottles of 60 (NDC 0591-4575-60). Store at 25°C (77°F); excursions permitted to 15° to 30°C (59° to 86°F) [see USP Controlled Room Temperature]. Dispense in a tight, light-resistant container as defined in USP.

How Supplied

Doxycycline hyclate delayed-release tablets, USP are available as follows: 50 mg –   Each yellow, oval tablet debossed with “T 0” on one side and plain on the other side contains specially coated yellow to brown pellets of 57.7 mg doxycycline hyclate, USP equivalent to 50 mg of doxycycline. Tablets are supplied in bottles of 120 (NDC 0591-4550-22). 200 mg – Each yellow, oval, scored tablet debossed with “T|9” on one side and plain on the other side contains specially coated yellow to brown pellets of 230.8 mg doxycycline hyclate, USP equivalent to 200 mg of doxycycline. Tablets are supplied in bottles of 60 (NDC 0591-4575-60). Store at 25°C (77°F); excursions permitted to 15° to 30°C (59° to 86°F) [see USP Controlled Room Temperature]. Dispense in a tight, light-resistant container as defined in USP.

Description

Warnings and Precautions, Severe Skin Reactions ( 5.5 )                        3/2025

1.10 Usage

To reduce the development of drug-resistant bacteria and maintain the effectiveness of doxycycline hyclate delayed-release tablets and other antibacterial drugs, doxycycline hyclate delayed-release tablets should be used only to treat or prevent infections that are proven or strongly suspected to be caused by susceptible bacteria. When culture and susceptibility information are available, they should be considered in selecting or modifying antibacterial therapy. In the absence of such data, local epidemiology and susceptibility patterns may contribute to the empiric selection of therapy.

5.9 Malaria

Doxycycline offers substantial but not complete suppression of the asexual blood stages of Plasmodium strains.

Doxycycline does not suppress P. falciparum’s sexual blood stage gametocytes. Subjects completing this prophylactic regimen may still transmit the infection to mosquitoes outside endemic areas.

8.1 Pregnancy

Risk Summary

There are no adequate and well-controlled studies on the use of doxycycline in pregnant women. The vast majority of reported experience with doxycycline during human pregnancy is short-term, first trimester exposure. There are no human data available to assess the effects of long-term therapy of doxycycline in pregnant women such as that proposed for the treatment of anthrax exposure. An expert review of published data on experiences with doxycycline use during pregnancy by TERIS - the Teratogen Information System - concluded that therapeutic doses during pregnancy are unlikely to pose a substantial teratogenic risk (the quantity and quality of data were assessed as limited to fair), but the data are insufficient to state that there is no risk (see Data).1

In the US general population the estimated background risk of major birth defects and miscarriage in clinically recognized pregnancies is 2% to 4% and 15% to 20%, respectively.

Clinical Considerations

Embryo/Fetal Risk

Results of animal studies indicate that tetracyclines cross the placenta, are found in fetal tissues, and can have toxic effects on the developing fetus (often related to retardation of skeletal development). Evidence of embryotoxicity also has been noted in animals treated early in pregnancy. If any tetracycline is used during pregnancy or if the patient becomes pregnant while taking these drugs, the patient should be apprised of the potential hazard to the fetus [ see Warnings and Precautions (5.15.6) ].

Data

Human Data

A case-control study (18,515 mothers of infants with congenital anomalies and 32,804 mothers of infants with no congenital anomalies) shows a weak but marginally statistically significant association with total malformations and use of doxycycline anytime during pregnancy. Sixty-three (0.19%) of the controls and 56 (0.30%) of the cases were treated with doxycycline. This association was not seen when the analysis was confined to maternal treatment during the period of organogenesis (that is, in the second and third months of gestation), with the exception of a marginal relationship with neural tube defect based on only two-exposed cases.2

A small prospective study of 81 pregnancies describes 43 pregnant women treated for 10 days with doxycycline during early first trimester. All mothers reported their exposed infants were normal at 1 year of age.3

8.2 Lactation

Risk Summary

Tetracyclines are excreted in human milk, however, the extent of absorption of tetracyclines including doxycycline, by the breastfed infant is not known. Short-term use by lactating women is not necessarily contraindicated. The effects of prolonged exposure to doxycycline in breast milk production and breastfed neonates, infants and children are unknown4. The developmental and health benefits of breastfeeding should be considered along with the mother’s clinical need for doxycycline hyclate delayed-release tablets and any potential adverse effects on the breastfed child from doxycycline hyclate delayed-release tablets or from the underlying maternal condition [ see Warnings and Precautions (5.1, 5.6) ].

7.2 Penicillin

Since bacteriostatic drugs may interfere with the bactericidal action of penicillin, it is advisable to avoid giving tetracyclines in conjunction with penicillin.

10  Overdosage

In case of overdosage, discontinue medication, treat symptomatically and institute supportive measures. Dialysis does not alter serum half-life and thus would not be of benefit in treating cases of overdosage.

15  References
  • Friedman JM, Polifka JE. Teratogenic Effects of Drugs. A Resource for Clinicians (TERIS). Baltimore, MD: The Johns Hopkins University Press: 2000: 149-195.
  • Cziezel AE and Rockenbauer M. Teratogenic study of doxycycline. Obstet Gynecol 1997; 89: 524-528.
  • Horne HW Jr. and Kundsin RB. The role of mycoplasma among 81 consecutive pregnancies: a prospective study. Int J Fertil 1980; 25: 315-317.
  • Drugs and Lactation Database (LactMed) [Internet]. Bethesda (MD): National Library of Medicine (US); [Last Revision Date 2015 March 10; cited 2016 Jan]. Doxycycline; LactMed Record Number: 100; [about 3 screens]. Available from: http://toxnet.nlm.nih.gov/newtoxnet/lactmed.htm.
11  Description

Doxycycline hyclate delayed-release tablets USP, for oral administration, contain specially coated pellets of doxycycline hyclate, USP, a tetracycline class drug synthetically derived from oxytetracycline, in a delayed-release formulation for oral administration.

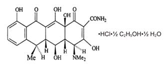
The structural formula for doxycycline hyclate, USP is:

The molecular formula is C22H24N2O8 •HCl •½ C2H6O •½ H2O and a molecular weight of 512.9. The chemical name for doxycycline hyclate, USP is 4-(dimethylamino)-1,4,4α,5,5α,6,11,12α-octahydro-3,5,10,12,

12α-pentahydroxy-6-methyl-1,11-dioxo-2-naphthacencarboxamide monohydrochloride, compound with ethyl alcohol (2:1), monohydrate. Doxycycline hyclate, USP is a yellow crystalline powder soluble in water and in solutions of alkali hydroxides and carbonates. Doxycycline has a high degree of lipid solubility and a low affinity for calcium binding. It is highly stable in normal human serum. Doxycycline will not degrade into an epianhydro form.

Each tablet contains doxycycline 50 mg or 200 mg equivalent to doxycycline hyclate 57.7 mg or 230.8 mg, respectively. Inactive ingredients in the tablet formulation are: crospovidone, D&C Yellow #10 Aluminum Lake, hypromellose 2910, hypromellose phthalate, magnesium stearate, mannitol, microcrystalline cellulose, povidone, silicified microcrystalline cellulose, talc, and triethyl citrate.

USP Dissolution test pending.

8.4 Pediatric Use

Because of the effects of drugs of the tetracycline-class on tooth development and growth, use doxycycline hyclate delayed-release tablets in pediatric patients 8 years of age or less only when the potential benefits are expected to outweigh the risks in severe or life-threatening conditions (e.g., anthrax, Rocky Mountain spotted fever), particularly, when there are no alternative therapies [see Dosage and Administration (2.1, 2.3) and Warnings and Precautions (5.1, 5.6)].

8.5 Geriatric Use

Clinical studies of doxycycline hyclate delayed-release tablets did not include sufficient numbers of subjects aged 65 and over to determine whether they respond differently from younger subjects. Other reported clinical experience has not identified differences in responses between the elderly and younger patients.

12.4  Microbiology

Mechanism of Action

Doxycycline inhibits bacterial protein synthesis by binding to the 30S ribosomal subunit. Doxycycline has bacteriostatic activity against a broad range of Gram-positive and Gram-negative bacteria.

Resistance

Cross-resistance between tetracyclines is common.

Antimicrobial Activity

Doxycycline has been shown to be active against most isolates of the following microorganisms, both in vitro and in clinical infections [see Indications and Usage (1)].

Gr a m-Negat i ve Bacteria

Acinetobacter species

Bartonella bacilliformis

Brucella species

Campylobacter fetus

Enterobacter aerogenes

Escherichia coli

Francisella tularensis

Haemophilus ducreyi

Haemophilus influenzae

Klebsiella granulomatis

Kl ebsiella species

Neisseria gonorrhoeae

Shigella species

Vibrio cholerae

Y e rsinia pestis

Gr a m - P os i t i ve Bacteria

Bacillus anthracis

Listeria monocytogenes

Streptococcus pneumoniae

A na ero bi c Bacteria

Clostridium species

Fusobacterium fusiforme

Propionibacterium acnes

O t h e r Bacteria

Norcardiae and other aerobic Ac tinomyces species

Borrelia recurrentis

Chlamydophila psittaci

Chlamydia trachomatis

Mycoplasma pneumoniae

Rickettsiae

Treponema pallidum

Treponema pallidum subspecies pertenue

Ureaplasma urealyticum

P arasites

Balantidium coli

Entamoeba species

Plasmodium falciparum*

*Doxycycline has been found to be active against the asexual erythrocytic forms of Plasmodium falciparum but not against the gametocytes of P. falciparum. The precise mechanism of action of the drug is not known.

Susceptibility Testing

For specific information regarding susceptibility test interpretive criteria, associated test methods and quality control standards recognized by FDA for this drug, please see: https://www.fda.gov/STIC.

5.3 Photosensitivity

Photosensitivity manifested by an exaggerated sunburn reaction has been observed in some individuals taking tetracyclines. Patients apt to be exposed to direct sunlight or ultraviolet light should be advised that this reaction can occur with tetracycline drugs, and treatment should be discontinued at the first evidence of skin erythema.

4  Contraindications

Doxycycline hyclate delayed-release tablets are contraindicated in persons who have shown hypersensitivity to any of the tetracyclines.

5.1 Tooth Development

The use of drugs of the tetracycline-class during tooth development (last half of pregnancy, infancy and childhood to the age of 8 years) may cause permanent discoloration of the teeth (yellow-gray-brown). This adverse reaction is more common during long-term use of the drugs but it has been observed following repeated short-term courses. Enamel hypoplasia has also been reported. Use doxycycline hyclate delayed-release tablets in pediatric patients 8 years of age or less only when the potential benefits are expected to outweigh the risks in severe or life-threatening conditions (e.g., anthrax, Rocky Mountain spotted fever), particularly when there are no alternative therapies.

6  Adverse Reactions

Adverse reactions observed in patients receiving tetracyclines include anorexia, nausea, vomiting, diarrhea, rash, photosensitivity, urticaria, and hemolytic anemia. (6)

To report SUSPECTED ADVERSE REACTIONS, contact Teva at 1-888-838-2872 or FDA at 1-800-FDA-1088 or www.fda.gov/medwatch.

7  Drug Interactions
  • Patients who are on anticoagulant therapy may require downward adjustment of their anticoagulant dosage (7.1)
  • Avoid coadministration of tetracyclines with penicillin (7.2)
  • Absorption of tetracyclines, including doxycycline hyclate

    delayed-release tablets, is impaired by antacids containing aluminum, calcium, or magnesium, bismuth subsalicylate and iron-containing preparations (7.3)
  • Concurrent use of tetracyclines, including doxycycline hyclate

    delayed-release tablets, may render oral contraceptives less effective (7.4)
  • Barbiturates, carbamazepine and phenytoin decrease the half-life of doxycycline (7.5)
12.3  Pharmacokinetics

Following single and multiple-dose administration of doxycycline hyclate delayed-release tablets, 200 mg to adult volunteers, average peak plasma doxycycline concentration (Cmax) was 4.6 mcg/mL and 6.3 mcg/mL, respectively with median tmax of 3 hours; the corresponding mean plasma concentration values 24 hours after single and multiple doses were 1.5 mcg/mL and 2.3 mcg/mL, respectively.

Absorption

Doxycycline is virtually completely absorbed after oral administration.

Effect of Food

The mean Cmax and AUC 0- of doxycycline are 24% and 13% lower, respectively, following single dose administration of doxycycline hyclate delayed-release tablets, 100 mg with a high fat meal (including milk) compared to fasted conditions. The mean Cmax of doxycycline is 19% lower and the AUC 0- is unchanged following single dose administration of doxycycline hyclate delayed-release tablets, 150 mg with a high fat meal (including milk) compared to fasted conditions. The clinical significance of these decreases is unknown. Doxycycline bioavailability from doxycycline hyclate delayed-release tablets, 200 mg was not affected by food, but the incidence of nausea was higher in fasted subjects. The 200 mg tablets may be administered without regard to meals.

When doxycycline hyclate delayed-release tablets are sprinkled over applesauce and taken with or without water, the extent of doxycycline absorption is unchanged, but the rate of absorption is increased slightly.

Elimination

Tetracyclines are concentrated in bile by the liver and excreted in the urine and feces at high concentrations and in a biologically active form. Excretion of doxycycline by the kidney is about 40%/72 hours in individuals with a creatinine clearance of about 75 mL/min. This percentage may fall as low as 1% to 5%/72 hours in individuals with a creatinine clearance below 10 mL/min.

Specific Populations

Patients with Renal Impairment

Studies have shown no significant difference in the serum half-life of doxycycline (range 18 to 22 hours) in individuals with normal and severely impaired renal function. Hemodialysis does not alter the serum half-life.

Pediatric Patients

Population pharmacokinetic analysis of sparse concentration-time data of doxycycline following standard of care intravenous and oral dosing in 44 children (2 to 18 years of age) showed that allometrically-scaled clearance of doxycycline in children ≥2 to ≤8 years of age (median [range] 3.58 [2.27 to 10.82] L/h/70 kg, N=11) did not differ significantly from children >8 to 18 years of age (3.27 [1.11 to 8.12] L/h/70 kg, N=33). For pediatric patients weighing ≤45 kg, body weight normalized doxycycline CL in those ≥2 to ≤8 years of age (median [range] 0.071 [0.041 to 0.202] L/kg/h, N=l0) did not differ significantly from those >8 to 18 years of age (0.081 [0.035 to 0.126] L/kg/h, N=8). In pediatric patients weighing >45 kg no clinically significant differences in body weight normalized doxycycline CL were observed between those ≥2 to ≤8 years (0.050 L/kg/h, N=l) and those >8 years of age (0.044 [0.014 to 0. 121] L/kg/h, N=25). No clinically significant difference in CL differences between oral and IV were observed in the small cohort of pediatric patients who received the oral (N=l9) or IV (N=21) formulation alone.

14   Clinical Studies

This was a randomized, double-blind, active-controlled, multicenter trial which enrolled 495 subjects, between 19 to 45 years of age with a confirmed diagnosis of urogenital C. trachomatis infection less than 14 days prior to enrollment, or partner(s) of a subject with a known positive test for urogenital C. trachomatis infection.

The primary purpose of this study was to evaluate the efficacy and safety of doxycycline hyclate delayed-release tablets, 200 mg once daily versus doxycycline hyclate capsules, 100 mg twice daily for seven days for the treatment of uncomplicated urogenital C. trachomatis infection. The primary efficacy objective was to demonstrate non-inferiority of the doxycycline hyclate delayed-release tablets 200 mg once daily treatment regimen versus the doxycycline 100 mg twice daily treatment regimen for the indication using a negative nucleic acid amplification test (NAAT) at the test of cure visit (day 28) in the mITT population (subjects who were positive at baseline and took at least one day of study drug).

Table 2: Primary Efficacy Outcome – Microbiological Cure of C. trachomatis at Day 28

mITT Population

Doxycycline Hyclate Delayed-Release Tablets , 200 mg Once Daily

Cure Rate

(%)

Doxycycline Hyclate Capsules, 100 mg

Twice Daily 

Cure Rate 

(%)

 

  Difference 

(%)

N

188

190

 

Microbiological Cure, n (%)

163 (86.7)

171 (90.0)

-3.3%

95% Confidence Interval for Cure Rate

        

-10.3, 3.7  

5.8 Antianabolic Action

The antianabolic action of the tetracyclines may cause an increase in BUN. Studies to date indicate that this does not occur with the use of doxycycline in patients with impaired renal function.

7.1 Anticoagulant Drugs

Because tetracyclines have been shown to depress plasma prothrombin activity, patients who are on anticoagulant therapy may require downward adjustment of their anticoagulant dosage.

7.4 Oral Contraceptives

Concurrent use of tetracycline may render oral contraceptives less effective.

5.7 Skeletal Development

All tetracyclines form a stable calcium complex in any bone-forming tissue. A decrease in fibula growth rate has been observed in prematures given oral tetracycline in doses of 25 mg/kg every six hours. This reaction was shown to be reversible when the drug was discontinued.

Results of animal studies indicate that tetracyclines cross the placenta, are found in fetal tissues, and can have toxic effects on the developing fetus (often related to retardation of skeletal development). Evidence of embryotoxicity also has been noted in animals treated early in pregnancy. If any tetracycline is used during pregnancy or if the patient becomes pregnant while taking these drugs, the patient should be apprised of the potential hazard to the fetus.

1.5 Ophthalmic Infections

Doxycycline hyclate delayed-release tablets are indicated for treatment of the following ophthalmic infections:

  • Trachoma caused by Chlamydia trachomatis, although the infectious agent is not always eliminated as judged by immunofluorescence.
  • Inclusion conjunctivitis caused by Chlamydia trachomatis.
5.5 Severe Skin Reactions

Severe skin reactions, such as exfoliative dermatitis, erythema multiforme, Stevens-Johnson syndrome, toxic epidermal necrolysis, and drug reaction with eosinophilia and systemic symptoms (DRESS) have been reported in patients receiving doxycycline. Fixed drug eruptions have occurred with doxycycline and have been associated with worsening severity upon subsequent administrations, including generalized bullous fixed drug eruption [see Adverse Reactions (6)]. If severe skin reactions occur discontinue doxycycline, immediately and institute appropriate therapy.

1.1 Rickettsial Infections

Doxycycline hyclate delayed-release tablets are indicated for treatment of Rocky Mountain spotted fever, typhus fever and the typhus group, Q fever, rickettsialpox, and tick fevers caused by Rickettsiae.

1.9 Prophylaxis of Malaria

Doxycycline hyclate delayed-release tablets are indicated for the prophylaxis of malaria due to Plasmodium falciparum in short-term travelers (less than 4 months) to areas with chloroquine and/or pyrimethamine-sulfadoxine resistant strains [see Dosage and Administration (2.2) and Patient Counseling Information (17)].

12.1  Mechanism of Action

Doxycycline is a tetracycline-class antimicrobial drug [see Microbiology (12.4)].

1  Indications and Usage

Doxycycline hyclate delayed-release tablets are a tetracycline-class drug indicated for:

  • Rickettsial infections (1.1)
  • Sexually transmitted infections (1.2)
  • Respiratory tract infections (1.3)
  • Specific bacterial infections (1.4)
  • Ophthalmic infections (1.5)
  • Anthrax, including inhalational anthrax (post-exposure) (1.6)
  • Alternative treatment for selected infections when penicillin is contraindicated (1.7)
  • Adjunctive therapy in acute intestinal amebiasis and severe acne (1.8)
  • Prophylaxis of malaria (1.9)

Usage

To reduce the development of drug-resistant bacteria and maintain the effectiveness of doxycycline hyclate delayed-release tablets and other antibacterial drugs, doxycycline hyclate delayed-release tablets should be used only to treat or prevent infections that are proven or strongly suspected to be caused by bacteria. (1.10)

2.3 Dosage in Adult Patients
  • The usual dosage of doxycycline hyclate delayed-release tablets is 200 mg on the first day of treatment (administered 100 mg every 12 hours), followed by a maintenance dose of 100 mg daily.
  • The maintenance dose may be administered as a single dose or as 50 mg every 12 hours.
  • In the management of more severe infections (particularly chronic infections of the urinary tract), 100 mg every 12 hours is recommended.
  • For certain selected specific indications, the recommended duration or dosage and duration of doxycycline hyclate delayed-release tablets modified polymer coat in adult patients are as follows:
  • Streptococcal infections, therapy should be continued for 10 days.
  • Uncomplicated urethral, endocervical, or rectal infection caused by C. trachomatis: 100 mg, by mouth, twice-a-day for 7 days.
  • Uncomplicated gonococcal infections in adults (except anorectal infections in men): 100 mg, by mouth,

    twice-a-day for 7 days. As an alternate single visit dose, administer 300 mg followed in one hour by a second 300 mg dose.
  • Nongonococcal urethritis (NGU) caused by U. urealyticum: 100 mg, by mouth, twice-a-day for 7 days.
  • Syphilis – early: Patients who are allergic to penicillin should be treated with doxycycline 120 mg, by mouth, twice-a-day for 2 weeks.
  • Syphilis of more than one year’s duration: Patients who are allergic to penicillin should be treated with doxycycline 100 mg, by mouth, twice-a-day for 4 weeks.
  • Acute epididymo-orchitis caused by N. gonorrhoeae: 100 mg, by mouth, twice-a-day for at least 10 days.
  • Acute epididymo-orchitis caused by C. trachomatis: 100 mg, by mouth, twice-a-day for at least 10 days.
5.2 Clostridioides Difficile

Clostridioides difficile associated diarrhea (CDAD) has been reported with use of nearly all antibacterial agents, including doxycycline hyclate delayed-release tablets, and may range in severity from mild diarrhea to fatal colitis. Treatment with antibacterial agents alters the normal flora of the colon leading to overgrowth of C. difficile.

C. difficile produces toxins A and B which contribute to the development of CDAD. Hypertoxin producing strains of C. difficile cause increased morbidity and mortality, as these infections can be refractory to antimicrobial therapy and may require colectomy. CDAD must be considered in all patients who present with diarrhea following antibacterial use. Careful medical history is necessary since CDAD has been reported to occur over two months after the administration of antibacterial agents.

If CDAD is suspected or confirmed, ongoing antibacterial use not directed against C. difficile may need to be discontinued. Appropriate fluid and electrolyte management, protein supplementation, antibacterial treatment of C. difficile, and surgical evaluation should be instituted as clinically indicated.

5  Warnings and Precautions
  • The use of drugs of the tetracycline-class during tooth development (last half of pregnancy, infancy and childhood to the age of 8 years) may cause permanent discoloration of the teeth (yellow-gray-brown). (5.1)
  • Clostridioides difficile-associated diarrhea (CDAD) has been reported: Evaluate patients if diarrhea occurs. (5.2)
  • Photosensitivity manifested by an exaggerated sunburn reaction has been observed in some individuals taking tetracyclines. Limit sun exposure. (5.3)
  • Overgrowth of non-susceptible organisms, including fungi, may occur. If such infections occur, discontinue use and institute appropriate therapy. (5.4)
6.2 Postmarketing Experience

The following adverse reactions have been identified during post-approval use of doxycycline. Because these reactions are reported voluntarily from a population of uncertain size, it is not always possible to reliably estimate a causal relationship to drug exposure.

Due to oral doxycycline’s virtually complete absorption, side effects to the lower bowel, particularly diarrhea, have been infrequent. The following adverse reactions have been observed in patients receiving tetracyclines:

Gastrointestinal: Anorexia, nausea, vomiting, diarrhea, glossitis, dysphagia, enterocolitis, inflammatory lesions (with monilial overgrowth) in the anogenital region and pancreatitis. Hepatotoxicity has been reported. These reactions have been caused by both the oral and parenteral administration of tetracyclines. Superficial discoloration of the adult permanent dentition, reversible upon drug discontinuation and professional dental cleaning has been reported. Permanent tooth discoloration and enamel hypoplasia may occur with drugs of the tetracycline class when used during tooth development [see Warnings and Precautions (5.1)]. Esophagitis and esophageal ulcerations have been reported in patients receiving capsule and tablet forms of drugs in the tetracycline-class. Most of these patients took medications immediately before going to bed [see Dosage and Administration (2.1)].

Skin: Maculopapular and erythematous rashes, Stevens-Johnson syndrome, toxic epidermal necrolysis, exfoliative dermatitis, erythema multiforme, and fixed drug eruption have been reported. Photosensitivity is discussed above [see Warnings and Precautions (5.3)].

Renal: Rise in BUN has been reported and is apparently dose-related [see Warnings and Precautions (5.8)].

Hypersensitivity reactions: Urticaria, angioneurotic edema, anaphylaxis, anaphylactoid purpura, serum sickness, pericarditis, and exacerbation of systemic lupus erythematosus, and drug reaction with eosinophilia and systemic symptoms (DRESS).

Blood: Hemolytic anemia, thrombocytopenia, neutropenia, and eosinophilia have been reported.

Intracranial Hypertension:  Intracranial hypertension (IH, pseudotumor cerebri) has been associated with the use of tetracycline [see Warnings and Precautions (5.6)].

Thyroid Gland Changes: When given over prolonged periods, tetracyclines have been reported to produce brown-black microscopic discoloration of thyroid glands. No abnormalities of thyroid function are known to occur.

Psychiatric: Depression, anxiety, suicidal ideation, insomnia, abnormal dreams, hallucination.

5.6 Intracranial Hypertension

Intracranial hypertension (IH, pseudotumor cerebri) has been associated with the use of tetracycline including doxycycline hyclate delayed-release tablets. Clinical manifestations of IH include headache, blurred vision, diplopia, and vision loss; papilledema can be found on fundoscopy. Women of childbearing age who are overweight or have a history of IH are at greater risk for developing tetracycline associated IH. Avoid concomitant use of isotretinoin and doxycycline hyclate delayed-release tablets because isotretinoin is also known to cause pseudotumor cerebri.

Although IH typically resolves after discontinuation of treatment, the possibility for permanent visual loss exists. If visual disturbance occurs during treatment, prompt ophthalmologic evaluation is warranted. Since intracranial pressure can remain elevated for weeks after drug cessation patients should be monitored until they stabilize.

6.1 Clinical Trial Experience

The safety and efficacy of doxycycline hyclate delayed-release tablets, 200 mg as a single daily dose was evaluated in a multicenter, randomized, double-blind, active-controlled study. Doxycycline hyclate delayed-release tablets 200 mg was given orally once-a-day for 7 days and compared to doxycycline hyclate capsules 100 mg given orally twice daily for 7 days for the treatment of men and women with uncomplicated urogenital C. trachomatis infection.

Adverse reactions in the Safety Population were reported by 99 (40.2%) subjects in the doxycycline hyclate delayed-release tablets, 200 mg treatment group and 132 (53.2%) subjects in the doxycycline hyclate capsules reference treatment group. Most adverse reactions were mild in intensity. The most commonly reported adverse reactions in both treatment groups were nausea, vomiting, diarrhea, and bacterial vaginitis, Table 1.

Table 1: Adverse Reactions Reported in Greater than or Equal to 2% of Subjects

Adverse Reactions

Doxycycline Hyclate Delayed-Release

Tablets, 200 mg

N = 246 

n (%)

Subjects with any AE

99 (40.2)

    Nausea

33 (13.4)

    Vomiting

20 (8.1)

    Headache

5 (2.0)

    Diarrhea

8 (3.3)

    Abdominal Pain Upper

5 (2.0)

    Vaginitis Bacterial

8 (3.3)

    Vulvovaginal Mycotic Infection

5 (2.0)

Because clinical trials are conducted under prescribed conditions, adverse reaction rates observed in the clinical trial may not always reflect the rates observed in practice.

2  Dosage and Administration
  • Dosage in Adult Patients
    • The usual dosage is 200 mg on the first day of treatment (administered 100 mg every 12 hours) followed by a maintenance dose of 100 mg daily. (2.1)
    • In the management of more severe infections (particularly chronic infections of the urinary tract), 100 mg every 12 hours is recommended. (2.1)

  • Dosage in Pediatric Patients
  • For all pediatric patients weighing less than 45 kg with severe or life-threatening infections (e.g., anthrax, Rocky Mountain spotted fever), the recommended dose is 2.2 mg per kg of body weight administered every 12 hours. Pediatric patients weighing 45 kg or more should receive the adult dose. (2.1)
  • For pediatric patients with less severe disease (greater than 8 years of age and weighing less than 45 kg), the recommended dose is 4.4 mg per kg of body weight divided into two doses on the first day of treatment, followed by a maintenance dose of 2.2 mg per kg of body weight (given as a single daily dose or divided into two doses). For pediatric patients weighing over 45 kg, the usual adult dose should be used. (2.1)
3  Dosage Forms and Strengths

Doxycycline hyclate delayed-release tablets USP, 50 mg are yellow, oval tablets debossed with “T 0” on one side and plain on the other side. Each tablet contains specially coated yellow to brown pellets containing 57.7 mg of doxycycline hyclate, USP equivalent to 50 mg of doxycycline.

Doxycycline hyclate delayed-release tablets USP, 200 mg are yellow, oval, scored tablets debossed with “T|9” on one side and plain on the other side. Each tablet contains specially coated yellow to brown pellets containing 230.8 mg of doxycycline hyclate, USP equivalent to 200 mg of doxycycline.

8  Use in Specific Populations
  • Tetracycline-class drugs can cause fetal harm when administered to a pregnant woman, but data for doxycycline are limited. (5.6, 8.1)
  • Tetracyclines are excreted in human milk; however, the extent of absorption of doxycycline in the breastfed infant is not known. Doxycycline hyclate delayed-release tablets use during nursing should be avoided if possible. (8.3)

 

1.3 Respiratory Tract Infections

Doxycycline hyclate delayed-release tablets are indicated for treatment of the following respiratory infections:

  • Respiratory tract infections caused by Mycoplasma pneumoniae. Psittacosis (ornithosis) caused by Chlamydophila psittaci.
  • Because many strains of the following groups of microorganisms have been shown to be resistant to doxycycline, culture and susceptibility testing are recommended.
  • Doxycycline is indicated for treatment of infections caused by the following micro-organisms, when bacteriological testing indicates appropriate susceptibility to the drug:

- Respiratory tract infections caused by Haemophilus influenzae.

- Respiratory tract infections caused by Klebsiella species.

- Upper respiratory infections caused by Streptococcus pneumoniae.

2.4 Dosage in Pediatric Patients
  • For all pediatric patients weighing less than 45 kg with severe or life threatening infections (e.g., anthrax, Rocky Mountain spotted fever), the recommended dosage of doxycycline is 2.2 mg per kg of body weight administered every 12 hours. Pediatric patients weighing 45 kg or more should receive the adult dose [see Warnings and Precautions (5.1)].
  • For pediatric patients with less severe disease (greater than 8 years of age and weighing less than 45 kg), the recommended dosage schedule of doxycycline is 4.4 mg per kg of body weight divided into two doses on the first day of treatment, followed by a maintenance dose of 2.2 mg per kg of body weight (given as a single daily dose or divided into twice daily doses). For pediatric patients weighing over 45 kg, the usual adult dose should be used.
1.4 Specific Bacterial Infections

Doxycycline hyclate delayed-release tablets are indicated for treatment of the following specific bacterial infections:

  • Relapsing fever due to Borrelia recurrentis.
  • Plague due to Yersinia pestis.
  • Tularemia due to Francisella tularensis.
  • Cholera caused by Vibrio cholerae.
  • Campylobacter fetus infections caused by Campylobacter fetus.
  • Brucellosis due to Brucella species (in conjunction with streptomycin).
  • Bartonellosis due to Bartonella bacilliformis.

Because many strains of the following groups of microorganisms have been shown to be resistant to doxycycline, culture and susceptibility testing are recommended.



Doxycycline hyclate delayed-release tablets are indicated for treatment of infections caused by the following gram-negative microorganisms, when bacteriological testing indicates appropriate susceptibility to the drug:

  • Escherichia coli
  • Enterobacter aerogenes
  • Shigella species
  • Acinetobacter species
  • Urinary tract infections caused by Klebsiella species.
7.3 Antacids and Iron Preparations

Absorption of tetracyclines is impaired by antacids containing aluminum, calcium, or magnesium, bismuth subsalicylate, and iron-containing preparations.

1.2 Sexually Transmitted Infections

Doxycycline hyclate delayed-release tablets are indicated for treatment of the following sexually transmitted infections:

  • Uncomplicated urethral, endocervical or rectal infections caused by Chlamydia trachomatis.
  • Nongonococcal urethritis caused by Ureaplasma urealyticum.
  • Lymphogranuloma venereum caused by Chlamydia trachomatis.
  • Granuloma inguinale caused by Klebsiella granulomatis.
  • Uncomplicated gonorrhea caused by Neisseria gonorrhoeae.
  • Chancroid caused by Haemophilus ducreyi.
17  Patient Counseling Information

Advise patients taking doxycycline for malaria prophylaxis:

  • that no present-day antimalarial agent, including doxycycline, guarantees protection against malaria.
  • to avoid being bitten by mosquitoes by using personal protective measures that help avoid contact with mosquitoes, especially from dusk to dawn (for example, staying in well-screened areas, using mosquito nets, covering the body with clothing, and using an effective insect repellent).
  • that doxycycline prophylaxis:
    • should begin 1 to 2 days before travel to the malarious area,
    • should be continued daily while in the malarious area and after leaving the malarious area,
    • should be continued for 4 further weeks to avoid development of malaria after returning from an endemic area,
    • should not exceed 4 months.

Advise all patients taking doxycycline:

  • to avoid excessive sunlight or artificial ultraviolet light while receiving doxycycline and to discontinue therapy if phototoxicity (for example, skin eruptions, etc.) occurs. Sunscreen or sunblock should be considered [see Warnings and Precautions (5.3)].
  • to drink fluids liberally along with doxycycline to reduce the risk of esophageal irritation and ulceration [see Adverse Reactions (6.1)].
  • that the absorption of tetracyclines is reduced when taken with foods, especially those that contain calcium. However, the absorption of doxycycline is not markedly influenced by simultaneous ingestion of food or milk [see Drug Interactions (7.3)].
  • that the absorption of tetracyclines is reduced when taken with antacids containing aluminum, calcium or magnesium, bismuth subsalicylate, and iron-containing preparations [see Drug Interactions (7.3)].
  • that the use of doxycycline might increase the incidence of vaginal candidiasis.

Advise patients that diarrhea is a common problem caused by antibacterials which usually ends when the antibacterial is discontinued. Sometimes after starting treatment with antibacterials, patients can develop watery and bloody stools (with or without stomach cramps and fever) even as late as two or more months after having taken the last dose of antibacterial. If this occurs, patients should contact their physician as soon as possible.

Patients should be counseled that antibacterial drugs including doxycycline hyclate delayed-release tablets should only be used to treat bacterial infections. They do not treat viral infections (e.g., the common cold). When doxycycline hyclate delayed-release tablets are prescribed to treat a bacterial infection, patients should be told that although it is common to feel better early in the course of therapy, the medication should be taken exactly as directed. Skipping doses or not completing the full course of therapy may (1) decrease the effectiveness of the immediate treatment and (2) increase the likelihood that bacteria will develop resistance and will not be treatable by doxycycline hyclate delayed-release tablets or other antibacterial drugs in the future.

 

Brands listed are the trademarks of their respective owners.

 

Teva Pharmaceuticals USA, Inc.

North Wales, PA 19454

Rev. C 4/2025

7.5 Barbiturates and Anti Epileptics

Barbiturates, carbamazepine, and phenytoin decrease the half-life of doxycycline.

2.5 Dosage for Prophylaxis of Malaria

For adults, the recommended dose of doxycycline hyclate delayed-release tablets is 100 mg daily. For pediatric patients 8 years of age and older, the recommended dose is 2 mg/kg administered once daily up to the adult dose. Pediatric patients weighing 45 kg or more should receive the adult dose.

Prophylaxis should begin 1 or 2 days before travel to the malarious area. Prophylaxis should be continued daily during travel in the malarious area and for 4 weeks after the traveler leaves the malarious area.

7.6 Drug/laboratory Test Interactions

False elevations of urinary catecholamines may occur due to interference with the fluorescence test.

Package Label.principal Display Panel

NDC 0591-4550-22

Doxycycline Hyclate Delayed-Release Tablets, USP 50 mg*

Do not chew or crush tablets.

Rx only

120 TABLETS

16  How Supplied/storage and Handling

Doxycycline hyclate delayed-release tablets, USP are available as follows:

50 mg –   Each yellow, oval tablet debossed with “T 0” on one side and plain on the other side contains specially coated yellow to brown pellets of 57.7 mg doxycycline hyclate, USP equivalent to 50 mg of doxycycline. Tablets are supplied in bottles of 120 (NDC 0591-4550-22).

200 mg – Each yellow, oval, scored tablet debossed with “T|9” on one side and plain on the other side contains specially coated yellow to brown pellets of 230.8 mg doxycycline hyclate, USP equivalent to 200 mg of doxycycline. Tablets are supplied in bottles of 60 (NDC 0591-4575-60).

Store at 25°C (77°F); excursions permitted to 15° to 30°C (59° to 86°F) [see USP Controlled Room Temperature].

Dispense in a tight, light-resistant container as defined in USP.

5.4 Potential for Microbial Overgrowth

Doxycycline hyclate delayed-release tablets may result in overgrowth of non-susceptible organisms, including fungi. If superinfection occurs, the antibacterial should be discontinued and appropriate therapy instituted.

2.7 Sprinkling the Tablet Over Applesauce

Doxycycline hyclate delayed-release tablets may also be administered by carefully breaking up the tablet and sprinkling the tablet contents (delayed-release pellets) on a spoonful of applesauce. The delayed-release pellets must not be crushed or damaged when breaking up the tablet. Any loss of pellets in the transfer would prevent using the dose. The applesauce/doxycycline hyclate delayed-release tablets mixture should be swallowed immediately without chewing and may be followed by a glass of water if desired. The applesauce should not be hot, and it should be soft enough to be swallowed without chewing. In the event that a prepared dose of applesauce/doxycycline hyclate delayed-release tablet mixture cannot be taken immediately, the mixture should be discarded and not stored for later use.

5.10 Development of Drug Resistant Bacteria

Prescribing doxycycline hyclate delayed-release tablets in the absence of a proven or strongly suspected bacterial infection or a prophylactic indication is unlikely to provide benefit to the patient and increases the risk of the development of drug-resistant bacteria.

13.2  Animal Toxicology And/or Pharmacology

Hyperpigmentation of the thyroid has been produced by members of the tetracycline-class in the following species: in rats by oxytetracycline, doxycycline, tetracycline PO4, and methacycline; in minipigs by doxycycline, minocycline, tetracycline PO4, and methacycline; in dogs by doxycycline and minocycline; in monkeys by minocycline.

Minocycline, tetracycline PO4, methacycline, doxycycline, tetracycline base, oxytetracycline HCl, and tetracycline HCl, were goitrogenic in rats fed a low iodine diet. This goitrogenic effect was accompanied by high radioactive iodine uptake. Administration of minocycline also produced a large goiter with high radioiodine uptake in rats fed a relatively high iodine diet.

Treatment of various animal species with this class of drugs has also resulted in the induction of thyroid hyperplasia in the following: in rats and dogs (minocycline); in chickens (chlortetracycline); and in rats and mice (oxytetracycline). Adrenal gland hyperplasia has been observed in goats and rats treated with oxytetracycline.

Results of animal studies indicate that tetracyclines cross the placenta and are found in fetal tissues.

5.11 Laboratory Monitoring for Long Term Therapy

In long-term therapy, periodic laboratory evaluation of organ systems, including hematopoietic, renal, and hepatic studies should be performed.

2.6 Dosage for Inhalational Anthrax (post Exposure)

For adults the recommended dosage is 100 mg of doxycycline hyclate delayed-release tablets, by mouth,

twice-a-day for 60 days.

For pediatric patients weighing less than 45 kg, the recommended dosage of doxycycline hyclate

delayed-release tablets is 2.2 mg/kg of body weight, by mouth, twice-a-day for 60 days. Pediatric patients weighing 45 kg or more should receive the adult dose.

2.1 important dosage and Administration Instructions
  • Doxycycline hyclate delayed-release tablets are not substitutable on a mg per mg basis with other oral doxycyclines. To avoid prescribing errors, do not substitute doxycycline hyclate delayed-release tablets for other oral doxycyclines on a mg per mg basis because of differing bioavailability.
  • Do not chew or crush tablets [see Dosage and Administration (2.4)].
  • The recommended dosage, frequency of administration and weight-based dosage recommendations of doxycycline hyclate delayed-release tablets differ from that of the other tetracyclines [see Dosage and Administration (2.2, 2.3, 2.4)]. Exceeding the recommended dosage may result in an increased incidence of adverse reactions.
  • Administer doxycycline hyclate delayed-release tablets with an adequate amount of fluid to wash down the drug and reduce the risk of esophageal irritation and ulceration [see Adverse Reactions (6.1)].
  • If gastric irritation occurs, doxycycline hyclate delayed-release tablets may be given with food or milk [see Clinical Pharmacology (12.3)].
1.6 Anthrax Including Inhalational Anthrax (post Exposure)

Doxycycline hyclate delayed-release tablets are indicated for the treatment of

Anthrax due to Bacillus anthracis, including inhalational anthrax (post-exposure): to reduce the incidence or progression of disease following exposure to aerosolized Bacillus anthracis.

13.1  Carcinogenesis, Mutagenesis, Impairment of Fertility

Long-term studies in animals to evaluate carcinogenic potential of doxycycline have not been conducted. However, there has been evidence of oncogenic activity in rats in studies with the related antibacterials, oxytetracycline (adrenal and pituitary tumors) and minocycline (thyroid tumors). Likewise, although mutagenicity studies of doxycycline have not been conducted, positive results in in vitro mammalian cell assays have been reported for related antibacterials (tetracycline, oxytetracycline).

Doxycycline administered orally at dosage levels as high as 250 mg/kg/day had no apparent effect on the fertility of female rats. Effect on male fertility has not been studied.

1.8 Adjunctive Therapy for Acute Intestinal Amebiasis and Severe Acne

In acute intestinal amebiasis, doxycycline hyclate delayed-release tablets may be a useful adjunct to amebicides. In severe acne, doxycycline may be useful adjunctive therapy.

1.7 Alternative Treatment for Selected Infections When Penicillin Is Contraindicated

Doxycycline hyclate delayed-release tablets are indicated as an alternative treatment for the following selected infections when penicillin is contraindicated:

  • Syphilis caused by Treponema pallidum.
  • Yaws caused by Treponema pallidum subspecies pertenue.
  • Vincent’s infection caused by Fusobacterium fusiforme.
  • Actinomycosis caused by Actinomyces israelii.
  • Infections caused by Clostridium species.
2.2 Switching From Doxycycline Hyclate Delayed Release Tablets to Doxycycline Hyclate Delayed Release Tablets Modified Polymer Coat

When switching from doxycycline hyclate delayed-release tablets to doxycycline hyclate delayed-release tablets modified polymer coat:

  • A 60 mg dose of doxycycline hyclate delayed-release tablets modified polymer coat will replace a 50 mg dose of doxycycline hyclate delayed-release tablets
  • A 120 mg dose of doxycycline hyclate delayed-release tablets modified polymer coat will replace a 100 mg dose of doxycycline hyclate delayed-release tablets

 


Structured Label Content

1.10 Usage

To reduce the development of drug-resistant bacteria and maintain the effectiveness of doxycycline hyclate delayed-release tablets and other antibacterial drugs, doxycycline hyclate delayed-release tablets should be used only to treat or prevent infections that are proven or strongly suspected to be caused by susceptible bacteria. When culture and susceptibility information are available, they should be considered in selecting or modifying antibacterial therapy. In the absence of such data, local epidemiology and susceptibility patterns may contribute to the empiric selection of therapy.

5.9 Malaria

Doxycycline offers substantial but not complete suppression of the asexual blood stages of Plasmodium strains.

Doxycycline does not suppress P. falciparum’s sexual blood stage gametocytes. Subjects completing this prophylactic regimen may still transmit the infection to mosquitoes outside endemic areas.

8.1 Pregnancy

Risk Summary

There are no adequate and well-controlled studies on the use of doxycycline in pregnant women. The vast majority of reported experience with doxycycline during human pregnancy is short-term, first trimester exposure. There are no human data available to assess the effects of long-term therapy of doxycycline in pregnant women such as that proposed for the treatment of anthrax exposure. An expert review of published data on experiences with doxycycline use during pregnancy by TERIS - the Teratogen Information System - concluded that therapeutic doses during pregnancy are unlikely to pose a substantial teratogenic risk (the quantity and quality of data were assessed as limited to fair), but the data are insufficient to state that there is no risk (see Data).1

In the US general population the estimated background risk of major birth defects and miscarriage in clinically recognized pregnancies is 2% to 4% and 15% to 20%, respectively.

Clinical Considerations

Embryo/Fetal Risk

Results of animal studies indicate that tetracyclines cross the placenta, are found in fetal tissues, and can have toxic effects on the developing fetus (often related to retardation of skeletal development). Evidence of embryotoxicity also has been noted in animals treated early in pregnancy. If any tetracycline is used during pregnancy or if the patient becomes pregnant while taking these drugs, the patient should be apprised of the potential hazard to the fetus [ see Warnings and Precautions (5.15.6) ].

Data

Human Data

A case-control study (18,515 mothers of infants with congenital anomalies and 32,804 mothers of infants with no congenital anomalies) shows a weak but marginally statistically significant association with total malformations and use of doxycycline anytime during pregnancy. Sixty-three (0.19%) of the controls and 56 (0.30%) of the cases were treated with doxycycline. This association was not seen when the analysis was confined to maternal treatment during the period of organogenesis (that is, in the second and third months of gestation), with the exception of a marginal relationship with neural tube defect based on only two-exposed cases.2

A small prospective study of 81 pregnancies describes 43 pregnant women treated for 10 days with doxycycline during early first trimester. All mothers reported their exposed infants were normal at 1 year of age.3

8.2 Lactation

Risk Summary

Tetracyclines are excreted in human milk, however, the extent of absorption of tetracyclines including doxycycline, by the breastfed infant is not known. Short-term use by lactating women is not necessarily contraindicated. The effects of prolonged exposure to doxycycline in breast milk production and breastfed neonates, infants and children are unknown4. The developmental and health benefits of breastfeeding should be considered along with the mother’s clinical need for doxycycline hyclate delayed-release tablets and any potential adverse effects on the breastfed child from doxycycline hyclate delayed-release tablets or from the underlying maternal condition [ see Warnings and Precautions (5.1, 5.6) ].

7.2 Penicillin

Since bacteriostatic drugs may interfere with the bactericidal action of penicillin, it is advisable to avoid giving tetracyclines in conjunction with penicillin.

10  Overdosage (10  OVERDOSAGE)

In case of overdosage, discontinue medication, treat symptomatically and institute supportive measures. Dialysis does not alter serum half-life and thus would not be of benefit in treating cases of overdosage.

15  References (15  REFERENCES)
  • Friedman JM, Polifka JE. Teratogenic Effects of Drugs. A Resource for Clinicians (TERIS). Baltimore, MD: The Johns Hopkins University Press: 2000: 149-195.
  • Cziezel AE and Rockenbauer M. Teratogenic study of doxycycline. Obstet Gynecol 1997; 89: 524-528.
  • Horne HW Jr. and Kundsin RB. The role of mycoplasma among 81 consecutive pregnancies: a prospective study. Int J Fertil 1980; 25: 315-317.
  • Drugs and Lactation Database (LactMed) [Internet]. Bethesda (MD): National Library of Medicine (US); [Last Revision Date 2015 March 10; cited 2016 Jan]. Doxycycline; LactMed Record Number: 100; [about 3 screens]. Available from: http://toxnet.nlm.nih.gov/newtoxnet/lactmed.htm.
11  Description (11  DESCRIPTION)

Doxycycline hyclate delayed-release tablets USP, for oral administration, contain specially coated pellets of doxycycline hyclate, USP, a tetracycline class drug synthetically derived from oxytetracycline, in a delayed-release formulation for oral administration.

The structural formula for doxycycline hyclate, USP is:

The molecular formula is C22H24N2O8 •HCl •½ C2H6O •½ H2O and a molecular weight of 512.9. The chemical name for doxycycline hyclate, USP is 4-(dimethylamino)-1,4,4α,5,5α,6,11,12α-octahydro-3,5,10,12,

12α-pentahydroxy-6-methyl-1,11-dioxo-2-naphthacencarboxamide monohydrochloride, compound with ethyl alcohol (2:1), monohydrate. Doxycycline hyclate, USP is a yellow crystalline powder soluble in water and in solutions of alkali hydroxides and carbonates. Doxycycline has a high degree of lipid solubility and a low affinity for calcium binding. It is highly stable in normal human serum. Doxycycline will not degrade into an epianhydro form.

Each tablet contains doxycycline 50 mg or 200 mg equivalent to doxycycline hyclate 57.7 mg or 230.8 mg, respectively. Inactive ingredients in the tablet formulation are: crospovidone, D&C Yellow #10 Aluminum Lake, hypromellose 2910, hypromellose phthalate, magnesium stearate, mannitol, microcrystalline cellulose, povidone, silicified microcrystalline cellulose, talc, and triethyl citrate.

USP Dissolution test pending.

8.4 Pediatric Use

Because of the effects of drugs of the tetracycline-class on tooth development and growth, use doxycycline hyclate delayed-release tablets in pediatric patients 8 years of age or less only when the potential benefits are expected to outweigh the risks in severe or life-threatening conditions (e.g., anthrax, Rocky Mountain spotted fever), particularly, when there are no alternative therapies [see Dosage and Administration (2.1, 2.3) and Warnings and Precautions (5.1, 5.6)].

8.5 Geriatric Use

Clinical studies of doxycycline hyclate delayed-release tablets did not include sufficient numbers of subjects aged 65 and over to determine whether they respond differently from younger subjects. Other reported clinical experience has not identified differences in responses between the elderly and younger patients.

12.4  Microbiology

Mechanism of Action

Doxycycline inhibits bacterial protein synthesis by binding to the 30S ribosomal subunit. Doxycycline has bacteriostatic activity against a broad range of Gram-positive and Gram-negative bacteria.

Resistance

Cross-resistance between tetracyclines is common.

Antimicrobial Activity

Doxycycline has been shown to be active against most isolates of the following microorganisms, both in vitro and in clinical infections [see Indications and Usage (1)].

Gr a m-Negat i ve Bacteria

Acinetobacter species

Bartonella bacilliformis

Brucella species

Campylobacter fetus

Enterobacter aerogenes

Escherichia coli

Francisella tularensis

Haemophilus ducreyi

Haemophilus influenzae

Klebsiella granulomatis

Kl ebsiella species

Neisseria gonorrhoeae

Shigella species

Vibrio cholerae

Y e rsinia pestis

Gr a m - P os i t i ve Bacteria

Bacillus anthracis

Listeria monocytogenes

Streptococcus pneumoniae

A na ero bi c Bacteria

Clostridium species

Fusobacterium fusiforme

Propionibacterium acnes

O t h e r Bacteria

Norcardiae and other aerobic Ac tinomyces species

Borrelia recurrentis

Chlamydophila psittaci

Chlamydia trachomatis

Mycoplasma pneumoniae

Rickettsiae

Treponema pallidum

Treponema pallidum subspecies pertenue

Ureaplasma urealyticum

P arasites

Balantidium coli

Entamoeba species

Plasmodium falciparum*

*Doxycycline has been found to be active against the asexual erythrocytic forms of Plasmodium falciparum but not against the gametocytes of P. falciparum. The precise mechanism of action of the drug is not known.

Susceptibility Testing

For specific information regarding susceptibility test interpretive criteria, associated test methods and quality control standards recognized by FDA for this drug, please see: https://www.fda.gov/STIC.

5.3 Photosensitivity

Photosensitivity manifested by an exaggerated sunburn reaction has been observed in some individuals taking tetracyclines. Patients apt to be exposed to direct sunlight or ultraviolet light should be advised that this reaction can occur with tetracycline drugs, and treatment should be discontinued at the first evidence of skin erythema.

Recent Major Changes (RECENT MAJOR CHANGES)

Warnings and Precautions, Severe Skin Reactions (5.5)                        3/2025

4  Contraindications (4  CONTRAINDICATIONS)

Doxycycline hyclate delayed-release tablets are contraindicated in persons who have shown hypersensitivity to any of the tetracyclines.

5.1 Tooth Development

The use of drugs of the tetracycline-class during tooth development (last half of pregnancy, infancy and childhood to the age of 8 years) may cause permanent discoloration of the teeth (yellow-gray-brown). This adverse reaction is more common during long-term use of the drugs but it has been observed following repeated short-term courses. Enamel hypoplasia has also been reported. Use doxycycline hyclate delayed-release tablets in pediatric patients 8 years of age or less only when the potential benefits are expected to outweigh the risks in severe or life-threatening conditions (e.g., anthrax, Rocky Mountain spotted fever), particularly when there are no alternative therapies.

6  Adverse Reactions (6  ADVERSE REACTIONS)

Adverse reactions observed in patients receiving tetracyclines include anorexia, nausea, vomiting, diarrhea, rash, photosensitivity, urticaria, and hemolytic anemia. (6)

To report SUSPECTED ADVERSE REACTIONS, contact Teva at 1-888-838-2872 or FDA at 1-800-FDA-1088 or www.fda.gov/medwatch.

7  Drug Interactions (7  DRUG INTERACTIONS)
  • Patients who are on anticoagulant therapy may require downward adjustment of their anticoagulant dosage (7.1)
  • Avoid coadministration of tetracyclines with penicillin (7.2)
  • Absorption of tetracyclines, including doxycycline hyclate

    delayed-release tablets, is impaired by antacids containing aluminum, calcium, or magnesium, bismuth subsalicylate and iron-containing preparations (7.3)
  • Concurrent use of tetracyclines, including doxycycline hyclate

    delayed-release tablets, may render oral contraceptives less effective (7.4)
  • Barbiturates, carbamazepine and phenytoin decrease the half-life of doxycycline (7.5)
12.3  Pharmacokinetics

Following single and multiple-dose administration of doxycycline hyclate delayed-release tablets, 200 mg to adult volunteers, average peak plasma doxycycline concentration (Cmax) was 4.6 mcg/mL and 6.3 mcg/mL, respectively with median tmax of 3 hours; the corresponding mean plasma concentration values 24 hours after single and multiple doses were 1.5 mcg/mL and 2.3 mcg/mL, respectively.

Absorption

Doxycycline is virtually completely absorbed after oral administration.

Effect of Food

The mean Cmax and AUC 0- of doxycycline are 24% and 13% lower, respectively, following single dose administration of doxycycline hyclate delayed-release tablets, 100 mg with a high fat meal (including milk) compared to fasted conditions. The mean Cmax of doxycycline is 19% lower and the AUC 0- is unchanged following single dose administration of doxycycline hyclate delayed-release tablets, 150 mg with a high fat meal (including milk) compared to fasted conditions. The clinical significance of these decreases is unknown. Doxycycline bioavailability from doxycycline hyclate delayed-release tablets, 200 mg was not affected by food, but the incidence of nausea was higher in fasted subjects. The 200 mg tablets may be administered without regard to meals.

When doxycycline hyclate delayed-release tablets are sprinkled over applesauce and taken with or without water, the extent of doxycycline absorption is unchanged, but the rate of absorption is increased slightly.

Elimination

Tetracyclines are concentrated in bile by the liver and excreted in the urine and feces at high concentrations and in a biologically active form. Excretion of doxycycline by the kidney is about 40%/72 hours in individuals with a creatinine clearance of about 75 mL/min. This percentage may fall as low as 1% to 5%/72 hours in individuals with a creatinine clearance below 10 mL/min.

Specific Populations

Patients with Renal Impairment

Studies have shown no significant difference in the serum half-life of doxycycline (range 18 to 22 hours) in individuals with normal and severely impaired renal function. Hemodialysis does not alter the serum half-life.

Pediatric Patients

Population pharmacokinetic analysis of sparse concentration-time data of doxycycline following standard of care intravenous and oral dosing in 44 children (2 to 18 years of age) showed that allometrically-scaled clearance of doxycycline in children ≥2 to ≤8 years of age (median [range] 3.58 [2.27 to 10.82] L/h/70 kg, N=11) did not differ significantly from children >8 to 18 years of age (3.27 [1.11 to 8.12] L/h/70 kg, N=33). For pediatric patients weighing ≤45 kg, body weight normalized doxycycline CL in those ≥2 to ≤8 years of age (median [range] 0.071 [0.041 to 0.202] L/kg/h, N=l0) did not differ significantly from those >8 to 18 years of age (0.081 [0.035 to 0.126] L/kg/h, N=8). In pediatric patients weighing >45 kg no clinically significant differences in body weight normalized doxycycline CL were observed between those ≥2 to ≤8 years (0.050 L/kg/h, N=l) and those >8 years of age (0.044 [0.014 to 0. 121] L/kg/h, N=25). No clinically significant difference in CL differences between oral and IV were observed in the small cohort of pediatric patients who received the oral (N=l9) or IV (N=21) formulation alone.

14   Clinical Studies (14   CLINICAL STUDIES)

This was a randomized, double-blind, active-controlled, multicenter trial which enrolled 495 subjects, between 19 to 45 years of age with a confirmed diagnosis of urogenital C. trachomatis infection less than 14 days prior to enrollment, or partner(s) of a subject with a known positive test for urogenital C. trachomatis infection.

The primary purpose of this study was to evaluate the efficacy and safety of doxycycline hyclate delayed-release tablets, 200 mg once daily versus doxycycline hyclate capsules, 100 mg twice daily for seven days for the treatment of uncomplicated urogenital C. trachomatis infection. The primary efficacy objective was to demonstrate non-inferiority of the doxycycline hyclate delayed-release tablets 200 mg once daily treatment regimen versus the doxycycline 100 mg twice daily treatment regimen for the indication using a negative nucleic acid amplification test (NAAT) at the test of cure visit (day 28) in the mITT population (subjects who were positive at baseline and took at least one day of study drug).

Table 2: Primary Efficacy Outcome – Microbiological Cure of C. trachomatis at Day 28

mITT Population

Doxycycline Hyclate Delayed-Release Tablets , 200 mg Once Daily

Cure Rate

(%)

Doxycycline Hyclate Capsules, 100 mg

Twice Daily 

Cure Rate 

(%)

 

  Difference 

(%)

N

188

190

 

Microbiological Cure, n (%)

163 (86.7)

171 (90.0)

-3.3%

95% Confidence Interval for Cure Rate

        

-10.3, 3.7  

5.8 Antianabolic Action

The antianabolic action of the tetracyclines may cause an increase in BUN. Studies to date indicate that this does not occur with the use of doxycycline in patients with impaired renal function.

7.1 Anticoagulant Drugs

Because tetracyclines have been shown to depress plasma prothrombin activity, patients who are on anticoagulant therapy may require downward adjustment of their anticoagulant dosage.

7.4 Oral Contraceptives

Concurrent use of tetracycline may render oral contraceptives less effective.

5.7 Skeletal Development

All tetracyclines form a stable calcium complex in any bone-forming tissue. A decrease in fibula growth rate has been observed in prematures given oral tetracycline in doses of 25 mg/kg every six hours. This reaction was shown to be reversible when the drug was discontinued.

Results of animal studies indicate that tetracyclines cross the placenta, are found in fetal tissues, and can have toxic effects on the developing fetus (often related to retardation of skeletal development). Evidence of embryotoxicity also has been noted in animals treated early in pregnancy. If any tetracycline is used during pregnancy or if the patient becomes pregnant while taking these drugs, the patient should be apprised of the potential hazard to the fetus.

1.5 Ophthalmic Infections

Doxycycline hyclate delayed-release tablets are indicated for treatment of the following ophthalmic infections:

  • Trachoma caused by Chlamydia trachomatis, although the infectious agent is not always eliminated as judged by immunofluorescence.
  • Inclusion conjunctivitis caused by Chlamydia trachomatis.
5.5 Severe Skin Reactions

Severe skin reactions, such as exfoliative dermatitis, erythema multiforme, Stevens-Johnson syndrome, toxic epidermal necrolysis, and drug reaction with eosinophilia and systemic symptoms (DRESS) have been reported in patients receiving doxycycline. Fixed drug eruptions have occurred with doxycycline and have been associated with worsening severity upon subsequent administrations, including generalized bullous fixed drug eruption [see Adverse Reactions (6)]. If severe skin reactions occur discontinue doxycycline, immediately and institute appropriate therapy.

1.1 Rickettsial Infections

Doxycycline hyclate delayed-release tablets are indicated for treatment of Rocky Mountain spotted fever, typhus fever and the typhus group, Q fever, rickettsialpox, and tick fevers caused by Rickettsiae.

1.9 Prophylaxis of Malaria

Doxycycline hyclate delayed-release tablets are indicated for the prophylaxis of malaria due to Plasmodium falciparum in short-term travelers (less than 4 months) to areas with chloroquine and/or pyrimethamine-sulfadoxine resistant strains [see Dosage and Administration (2.2) and Patient Counseling Information (17)].

12.1  Mechanism of Action

Doxycycline is a tetracycline-class antimicrobial drug [see Microbiology (12.4)].

1  Indications and Usage (1  INDICATIONS AND USAGE)

Doxycycline hyclate delayed-release tablets are a tetracycline-class drug indicated for:

  • Rickettsial infections (1.1)
  • Sexually transmitted infections (1.2)
  • Respiratory tract infections (1.3)
  • Specific bacterial infections (1.4)
  • Ophthalmic infections (1.5)
  • Anthrax, including inhalational anthrax (post-exposure) (1.6)
  • Alternative treatment for selected infections when penicillin is contraindicated (1.7)
  • Adjunctive therapy in acute intestinal amebiasis and severe acne (1.8)
  • Prophylaxis of malaria (1.9)

Usage

To reduce the development of drug-resistant bacteria and maintain the effectiveness of doxycycline hyclate delayed-release tablets and other antibacterial drugs, doxycycline hyclate delayed-release tablets should be used only to treat or prevent infections that are proven or strongly suspected to be caused by bacteria. (1.10)

2.3 Dosage in Adult Patients
  • The usual dosage of doxycycline hyclate delayed-release tablets is 200 mg on the first day of treatment (administered 100 mg every 12 hours), followed by a maintenance dose of 100 mg daily.
  • The maintenance dose may be administered as a single dose or as 50 mg every 12 hours.
  • In the management of more severe infections (particularly chronic infections of the urinary tract), 100 mg every 12 hours is recommended.
  • For certain selected specific indications, the recommended duration or dosage and duration of doxycycline hyclate delayed-release tablets modified polymer coat in adult patients are as follows:
  • Streptococcal infections, therapy should be continued for 10 days.
  • Uncomplicated urethral, endocervical, or rectal infection caused by C. trachomatis: 100 mg, by mouth, twice-a-day for 7 days.
  • Uncomplicated gonococcal infections in adults (except anorectal infections in men): 100 mg, by mouth,

    twice-a-day for 7 days. As an alternate single visit dose, administer 300 mg followed in one hour by a second 300 mg dose.
  • Nongonococcal urethritis (NGU) caused by U. urealyticum: 100 mg, by mouth, twice-a-day for 7 days.
  • Syphilis – early: Patients who are allergic to penicillin should be treated with doxycycline 120 mg, by mouth, twice-a-day for 2 weeks.
  • Syphilis of more than one year’s duration: Patients who are allergic to penicillin should be treated with doxycycline 100 mg, by mouth, twice-a-day for 4 weeks.
  • Acute epididymo-orchitis caused by N. gonorrhoeae: 100 mg, by mouth, twice-a-day for at least 10 days.
  • Acute epididymo-orchitis caused by C. trachomatis: 100 mg, by mouth, twice-a-day for at least 10 days.
5.2 Clostridioides Difficile (5.2 Clostridioides difficile)

Clostridioides difficile associated diarrhea (CDAD) has been reported with use of nearly all antibacterial agents, including doxycycline hyclate delayed-release tablets, and may range in severity from mild diarrhea to fatal colitis. Treatment with antibacterial agents alters the normal flora of the colon leading to overgrowth of C. difficile.

C. difficile produces toxins A and B which contribute to the development of CDAD. Hypertoxin producing strains of C. difficile cause increased morbidity and mortality, as these infections can be refractory to antimicrobial therapy and may require colectomy. CDAD must be considered in all patients who present with diarrhea following antibacterial use. Careful medical history is necessary since CDAD has been reported to occur over two months after the administration of antibacterial agents.

If CDAD is suspected or confirmed, ongoing antibacterial use not directed against C. difficile may need to be discontinued. Appropriate fluid and electrolyte management, protein supplementation, antibacterial treatment of C. difficile, and surgical evaluation should be instituted as clinically indicated.

5  Warnings and Precautions (5  WARNINGS AND PRECAUTIONS)
  • The use of drugs of the tetracycline-class during tooth development (last half of pregnancy, infancy and childhood to the age of 8 years) may cause permanent discoloration of the teeth (yellow-gray-brown). (5.1)
  • Clostridioides difficile-associated diarrhea (CDAD) has been reported: Evaluate patients if diarrhea occurs. (5.2)
  • Photosensitivity manifested by an exaggerated sunburn reaction has been observed in some individuals taking tetracyclines. Limit sun exposure. (5.3)
  • Overgrowth of non-susceptible organisms, including fungi, may occur. If such infections occur, discontinue use and institute appropriate therapy. (5.4)
6.2 Postmarketing Experience

The following adverse reactions have been identified during post-approval use of doxycycline. Because these reactions are reported voluntarily from a population of uncertain size, it is not always possible to reliably estimate a causal relationship to drug exposure.

Due to oral doxycycline’s virtually complete absorption, side effects to the lower bowel, particularly diarrhea, have been infrequent. The following adverse reactions have been observed in patients receiving tetracyclines:

Gastrointestinal: Anorexia, nausea, vomiting, diarrhea, glossitis, dysphagia, enterocolitis, inflammatory lesions (with monilial overgrowth) in the anogenital region and pancreatitis. Hepatotoxicity has been reported. These reactions have been caused by both the oral and parenteral administration of tetracyclines. Superficial discoloration of the adult permanent dentition, reversible upon drug discontinuation and professional dental cleaning has been reported. Permanent tooth discoloration and enamel hypoplasia may occur with drugs of the tetracycline class when used during tooth development [see Warnings and Precautions (5.1)]. Esophagitis and esophageal ulcerations have been reported in patients receiving capsule and tablet forms of drugs in the tetracycline-class. Most of these patients took medications immediately before going to bed [see Dosage and Administration (2.1)].

Skin: Maculopapular and erythematous rashes, Stevens-Johnson syndrome, toxic epidermal necrolysis, exfoliative dermatitis, erythema multiforme, and fixed drug eruption have been reported. Photosensitivity is discussed above [see Warnings and Precautions (5.3)].

Renal: Rise in BUN has been reported and is apparently dose-related [see Warnings and Precautions (5.8)].

Hypersensitivity reactions: Urticaria, angioneurotic edema, anaphylaxis, anaphylactoid purpura, serum sickness, pericarditis, and exacerbation of systemic lupus erythematosus, and drug reaction with eosinophilia and systemic symptoms (DRESS).

Blood: Hemolytic anemia, thrombocytopenia, neutropenia, and eosinophilia have been reported.

Intracranial Hypertension:  Intracranial hypertension (IH, pseudotumor cerebri) has been associated with the use of tetracycline [see Warnings and Precautions (5.6)].

Thyroid Gland Changes: When given over prolonged periods, tetracyclines have been reported to produce brown-black microscopic discoloration of thyroid glands. No abnormalities of thyroid function are known to occur.

Psychiatric: Depression, anxiety, suicidal ideation, insomnia, abnormal dreams, hallucination.

5.6 Intracranial Hypertension

Intracranial hypertension (IH, pseudotumor cerebri) has been associated with the use of tetracycline including doxycycline hyclate delayed-release tablets. Clinical manifestations of IH include headache, blurred vision, diplopia, and vision loss; papilledema can be found on fundoscopy. Women of childbearing age who are overweight or have a history of IH are at greater risk for developing tetracycline associated IH. Avoid concomitant use of isotretinoin and doxycycline hyclate delayed-release tablets because isotretinoin is also known to cause pseudotumor cerebri.

Although IH typically resolves after discontinuation of treatment, the possibility for permanent visual loss exists. If visual disturbance occurs during treatment, prompt ophthalmologic evaluation is warranted. Since intracranial pressure can remain elevated for weeks after drug cessation patients should be monitored until they stabilize.

6.1 Clinical Trial Experience

The safety and efficacy of doxycycline hyclate delayed-release tablets, 200 mg as a single daily dose was evaluated in a multicenter, randomized, double-blind, active-controlled study. Doxycycline hyclate delayed-release tablets 200 mg was given orally once-a-day for 7 days and compared to doxycycline hyclate capsules 100 mg given orally twice daily for 7 days for the treatment of men and women with uncomplicated urogenital C. trachomatis infection.

Adverse reactions in the Safety Population were reported by 99 (40.2%) subjects in the doxycycline hyclate delayed-release tablets, 200 mg treatment group and 132 (53.2%) subjects in the doxycycline hyclate capsules reference treatment group. Most adverse reactions were mild in intensity. The most commonly reported adverse reactions in both treatment groups were nausea, vomiting, diarrhea, and bacterial vaginitis, Table 1.

Table 1: Adverse Reactions Reported in Greater than or Equal to 2% of Subjects

Adverse Reactions

Doxycycline Hyclate Delayed-Release

Tablets, 200 mg

N = 246 

n (%)

Subjects with any AE

99 (40.2)

    Nausea

33 (13.4)

    Vomiting

20 (8.1)

    Headache

5 (2.0)

    Diarrhea

8 (3.3)

    Abdominal Pain Upper

5 (2.0)

    Vaginitis Bacterial

8 (3.3)

    Vulvovaginal Mycotic Infection

5 (2.0)

Because clinical trials are conducted under prescribed conditions, adverse reaction rates observed in the clinical trial may not always reflect the rates observed in practice.

2  Dosage and Administration (2  DOSAGE AND ADMINISTRATION)
  • Dosage in Adult Patients
    • The usual dosage is 200 mg on the first day of treatment (administered 100 mg every 12 hours) followed by a maintenance dose of 100 mg daily. (2.1)
    • In the management of more severe infections (particularly chronic infections of the urinary tract), 100 mg every 12 hours is recommended. (2.1)

  • Dosage in Pediatric Patients
  • For all pediatric patients weighing less than 45 kg with severe or life-threatening infections (e.g., anthrax, Rocky Mountain spotted fever), the recommended dose is 2.2 mg per kg of body weight administered every 12 hours. Pediatric patients weighing 45 kg or more should receive the adult dose. (2.1)
  • For pediatric patients with less severe disease (greater than 8 years of age and weighing less than 45 kg), the recommended dose is 4.4 mg per kg of body weight divided into two doses on the first day of treatment, followed by a maintenance dose of 2.2 mg per kg of body weight (given as a single daily dose or divided into two doses). For pediatric patients weighing over 45 kg, the usual adult dose should be used. (2.1)
3  Dosage Forms and Strengths (3  DOSAGE FORMS AND STRENGTHS)

Doxycycline hyclate delayed-release tablets USP, 50 mg are yellow, oval tablets debossed with “T 0” on one side and plain on the other side. Each tablet contains specially coated yellow to brown pellets containing 57.7 mg of doxycycline hyclate, USP equivalent to 50 mg of doxycycline.

Doxycycline hyclate delayed-release tablets USP, 200 mg are yellow, oval, scored tablets debossed with “T|9” on one side and plain on the other side. Each tablet contains specially coated yellow to brown pellets containing 230.8 mg of doxycycline hyclate, USP equivalent to 200 mg of doxycycline.

8  Use in Specific Populations (8  USE IN SPECIFIC POPULATIONS)
  • Tetracycline-class drugs can cause fetal harm when administered to a pregnant woman, but data for doxycycline are limited. (5.6, 8.1)
  • Tetracyclines are excreted in human milk; however, the extent of absorption of doxycycline in the breastfed infant is not known. Doxycycline hyclate delayed-release tablets use during nursing should be avoided if possible. (8.3)

 

1.3 Respiratory Tract Infections

Doxycycline hyclate delayed-release tablets are indicated for treatment of the following respiratory infections:

  • Respiratory tract infections caused by Mycoplasma pneumoniae. Psittacosis (ornithosis) caused by Chlamydophila psittaci.
  • Because many strains of the following groups of microorganisms have been shown to be resistant to doxycycline, culture and susceptibility testing are recommended.
  • Doxycycline is indicated for treatment of infections caused by the following micro-organisms, when bacteriological testing indicates appropriate susceptibility to the drug:

- Respiratory tract infections caused by Haemophilus influenzae.

- Respiratory tract infections caused by Klebsiella species.

- Upper respiratory infections caused by Streptococcus pneumoniae.

2.4 Dosage in Pediatric Patients
  • For all pediatric patients weighing less than 45 kg with severe or life threatening infections (e.g., anthrax, Rocky Mountain spotted fever), the recommended dosage of doxycycline is 2.2 mg per kg of body weight administered every 12 hours. Pediatric patients weighing 45 kg or more should receive the adult dose [see Warnings and Precautions (5.1)].
  • For pediatric patients with less severe disease (greater than 8 years of age and weighing less than 45 kg), the recommended dosage schedule of doxycycline is 4.4 mg per kg of body weight divided into two doses on the first day of treatment, followed by a maintenance dose of 2.2 mg per kg of body weight (given as a single daily dose or divided into twice daily doses). For pediatric patients weighing over 45 kg, the usual adult dose should be used.
1.4 Specific Bacterial Infections

Doxycycline hyclate delayed-release tablets are indicated for treatment of the following specific bacterial infections:

  • Relapsing fever due to Borrelia recurrentis.
  • Plague due to Yersinia pestis.
  • Tularemia due to Francisella tularensis.
  • Cholera caused by Vibrio cholerae.
  • Campylobacter fetus infections caused by Campylobacter fetus.
  • Brucellosis due to Brucella species (in conjunction with streptomycin).
  • Bartonellosis due to Bartonella bacilliformis.

Because many strains of the following groups of microorganisms have been shown to be resistant to doxycycline, culture and susceptibility testing are recommended.



Doxycycline hyclate delayed-release tablets are indicated for treatment of infections caused by the following gram-negative microorganisms, when bacteriological testing indicates appropriate susceptibility to the drug:

  • Escherichia coli
  • Enterobacter aerogenes
  • Shigella species
  • Acinetobacter species
  • Urinary tract infections caused by Klebsiella species.
7.3 Antacids and Iron Preparations

Absorption of tetracyclines is impaired by antacids containing aluminum, calcium, or magnesium, bismuth subsalicylate, and iron-containing preparations.

1.2 Sexually Transmitted Infections

Doxycycline hyclate delayed-release tablets are indicated for treatment of the following sexually transmitted infections:

  • Uncomplicated urethral, endocervical or rectal infections caused by Chlamydia trachomatis.
  • Nongonococcal urethritis caused by Ureaplasma urealyticum.
  • Lymphogranuloma venereum caused by Chlamydia trachomatis.
  • Granuloma inguinale caused by Klebsiella granulomatis.
  • Uncomplicated gonorrhea caused by Neisseria gonorrhoeae.
  • Chancroid caused by Haemophilus ducreyi.
17  Patient Counseling Information (17  PATIENT COUNSELING INFORMATION)

Advise patients taking doxycycline for malaria prophylaxis:

  • that no present-day antimalarial agent, including doxycycline, guarantees protection against malaria.
  • to avoid being bitten by mosquitoes by using personal protective measures that help avoid contact with mosquitoes, especially from dusk to dawn (for example, staying in well-screened areas, using mosquito nets, covering the body with clothing, and using an effective insect repellent).
  • that doxycycline prophylaxis:
    • should begin 1 to 2 days before travel to the malarious area,
    • should be continued daily while in the malarious area and after leaving the malarious area,
    • should be continued for 4 further weeks to avoid development of malaria after returning from an endemic area,
    • should not exceed 4 months.

Advise all patients taking doxycycline:

  • to avoid excessive sunlight or artificial ultraviolet light while receiving doxycycline and to discontinue therapy if phototoxicity (for example, skin eruptions, etc.) occurs. Sunscreen or sunblock should be considered [see Warnings and Precautions (5.3)].
  • to drink fluids liberally along with doxycycline to reduce the risk of esophageal irritation and ulceration [see Adverse Reactions (6.1)].
  • that the absorption of tetracyclines is reduced when taken with foods, especially those that contain calcium. However, the absorption of doxycycline is not markedly influenced by simultaneous ingestion of food or milk [see Drug Interactions (7.3)].
  • that the absorption of tetracyclines is reduced when taken with antacids containing aluminum, calcium or magnesium, bismuth subsalicylate, and iron-containing preparations [see Drug Interactions (7.3)].
  • that the use of doxycycline might increase the incidence of vaginal candidiasis.

Advise patients that diarrhea is a common problem caused by antibacterials which usually ends when the antibacterial is discontinued. Sometimes after starting treatment with antibacterials, patients can develop watery and bloody stools (with or without stomach cramps and fever) even as late as two or more months after having taken the last dose of antibacterial. If this occurs, patients should contact their physician as soon as possible.

Patients should be counseled that antibacterial drugs including doxycycline hyclate delayed-release tablets should only be used to treat bacterial infections. They do not treat viral infections (e.g., the common cold). When doxycycline hyclate delayed-release tablets are prescribed to treat a bacterial infection, patients should be told that although it is common to feel better early in the course of therapy, the medication should be taken exactly as directed. Skipping doses or not completing the full course of therapy may (1) decrease the effectiveness of the immediate treatment and (2) increase the likelihood that bacteria will develop resistance and will not be treatable by doxycycline hyclate delayed-release tablets or other antibacterial drugs in the future.

 

Brands listed are the trademarks of their respective owners.

 

Teva Pharmaceuticals USA, Inc.

North Wales, PA 19454

Rev. C 4/2025

7.5 Barbiturates and Anti Epileptics (7.5 Barbiturates and Anti-Epileptics)

Barbiturates, carbamazepine, and phenytoin decrease the half-life of doxycycline.

2.5 Dosage for Prophylaxis of Malaria

For adults, the recommended dose of doxycycline hyclate delayed-release tablets is 100 mg daily. For pediatric patients 8 years of age and older, the recommended dose is 2 mg/kg administered once daily up to the adult dose. Pediatric patients weighing 45 kg or more should receive the adult dose.

Prophylaxis should begin 1 or 2 days before travel to the malarious area. Prophylaxis should be continued daily during travel in the malarious area and for 4 weeks after the traveler leaves the malarious area.

7.6 Drug/laboratory Test Interactions (7.6 Drug/Laboratory Test Interactions)

False elevations of urinary catecholamines may occur due to interference with the fluorescence test.

Package Label.principal Display Panel (PACKAGE LABEL.PRINCIPAL DISPLAY PANEL)

NDC 0591-4550-22

Doxycycline Hyclate Delayed-Release Tablets, USP 50 mg*

Do not chew or crush tablets.

Rx only

120 TABLETS

16  How Supplied/storage and Handling (16  HOW SUPPLIED/STORAGE AND HANDLING)

Doxycycline hyclate delayed-release tablets, USP are available as follows:

50 mg –   Each yellow, oval tablet debossed with “T 0” on one side and plain on the other side contains specially coated yellow to brown pellets of 57.7 mg doxycycline hyclate, USP equivalent to 50 mg of doxycycline. Tablets are supplied in bottles of 120 (NDC 0591-4550-22).

200 mg – Each yellow, oval, scored tablet debossed with “T|9” on one side and plain on the other side contains specially coated yellow to brown pellets of 230.8 mg doxycycline hyclate, USP equivalent to 200 mg of doxycycline. Tablets are supplied in bottles of 60 (NDC 0591-4575-60).

Store at 25°C (77°F); excursions permitted to 15° to 30°C (59° to 86°F) [see USP Controlled Room Temperature].

Dispense in a tight, light-resistant container as defined in USP.

5.4 Potential for Microbial Overgrowth

Doxycycline hyclate delayed-release tablets may result in overgrowth of non-susceptible organisms, including fungi. If superinfection occurs, the antibacterial should be discontinued and appropriate therapy instituted.

2.7 Sprinkling the Tablet Over Applesauce

Doxycycline hyclate delayed-release tablets may also be administered by carefully breaking up the tablet and sprinkling the tablet contents (delayed-release pellets) on a spoonful of applesauce. The delayed-release pellets must not be crushed or damaged when breaking up the tablet. Any loss of pellets in the transfer would prevent using the dose. The applesauce/doxycycline hyclate delayed-release tablets mixture should be swallowed immediately without chewing and may be followed by a glass of water if desired. The applesauce should not be hot, and it should be soft enough to be swallowed without chewing. In the event that a prepared dose of applesauce/doxycycline hyclate delayed-release tablet mixture cannot be taken immediately, the mixture should be discarded and not stored for later use.

5.10 Development of Drug Resistant Bacteria (5.10 Development of Drug-Resistant Bacteria)

Prescribing doxycycline hyclate delayed-release tablets in the absence of a proven or strongly suspected bacterial infection or a prophylactic indication is unlikely to provide benefit to the patient and increases the risk of the development of drug-resistant bacteria.

13.2  Animal Toxicology And/or Pharmacology (13.2  Animal Toxicology and/or Pharmacology)

Hyperpigmentation of the thyroid has been produced by members of the tetracycline-class in the following species: in rats by oxytetracycline, doxycycline, tetracycline PO4, and methacycline; in minipigs by doxycycline, minocycline, tetracycline PO4, and methacycline; in dogs by doxycycline and minocycline; in monkeys by minocycline.

Minocycline, tetracycline PO4, methacycline, doxycycline, tetracycline base, oxytetracycline HCl, and tetracycline HCl, were goitrogenic in rats fed a low iodine diet. This goitrogenic effect was accompanied by high radioactive iodine uptake. Administration of minocycline also produced a large goiter with high radioiodine uptake in rats fed a relatively high iodine diet.

Treatment of various animal species with this class of drugs has also resulted in the induction of thyroid hyperplasia in the following: in rats and dogs (minocycline); in chickens (chlortetracycline); and in rats and mice (oxytetracycline). Adrenal gland hyperplasia has been observed in goats and rats treated with oxytetracycline.

Results of animal studies indicate that tetracyclines cross the placenta and are found in fetal tissues.

5.11 Laboratory Monitoring for Long Term Therapy (5.11 Laboratory Monitoring for Long-Term Therapy)

In long-term therapy, periodic laboratory evaluation of organ systems, including hematopoietic, renal, and hepatic studies should be performed.

2.6 Dosage for Inhalational Anthrax (post Exposure) (2.6 Dosage for Inhalational Anthrax (Post-Exposure))

For adults the recommended dosage is 100 mg of doxycycline hyclate delayed-release tablets, by mouth,

twice-a-day for 60 days.

For pediatric patients weighing less than 45 kg, the recommended dosage of doxycycline hyclate

delayed-release tablets is 2.2 mg/kg of body weight, by mouth, twice-a-day for 60 days. Pediatric patients weighing 45 kg or more should receive the adult dose.

2.1 important dosage and Administration Instructions (2.1 Important Dosage and Administration Instructions)
  • Doxycycline hyclate delayed-release tablets are not substitutable on a mg per mg basis with other oral doxycyclines. To avoid prescribing errors, do not substitute doxycycline hyclate delayed-release tablets for other oral doxycyclines on a mg per mg basis because of differing bioavailability.
  • Do not chew or crush tablets [see Dosage and Administration (2.4)].
  • The recommended dosage, frequency of administration and weight-based dosage recommendations of doxycycline hyclate delayed-release tablets differ from that of the other tetracyclines [see Dosage and Administration (2.2, 2.3, 2.4)]. Exceeding the recommended dosage may result in an increased incidence of adverse reactions.
  • Administer doxycycline hyclate delayed-release tablets with an adequate amount of fluid to wash down the drug and reduce the risk of esophageal irritation and ulceration [see Adverse Reactions (6.1)].
  • If gastric irritation occurs, doxycycline hyclate delayed-release tablets may be given with food or milk [see Clinical Pharmacology (12.3)].
1.6 Anthrax Including Inhalational Anthrax (post Exposure) (1.6 Anthrax Including Inhalational Anthrax (Post-Exposure))

Doxycycline hyclate delayed-release tablets are indicated for the treatment of

Anthrax due to Bacillus anthracis, including inhalational anthrax (post-exposure): to reduce the incidence or progression of disease following exposure to aerosolized Bacillus anthracis.

13.1  Carcinogenesis, Mutagenesis, Impairment of Fertility

Long-term studies in animals to evaluate carcinogenic potential of doxycycline have not been conducted. However, there has been evidence of oncogenic activity in rats in studies with the related antibacterials, oxytetracycline (adrenal and pituitary tumors) and minocycline (thyroid tumors). Likewise, although mutagenicity studies of doxycycline have not been conducted, positive results in in vitro mammalian cell assays have been reported for related antibacterials (tetracycline, oxytetracycline).

Doxycycline administered orally at dosage levels as high as 250 mg/kg/day had no apparent effect on the fertility of female rats. Effect on male fertility has not been studied.

1.8 Adjunctive Therapy for Acute Intestinal Amebiasis and Severe Acne

In acute intestinal amebiasis, doxycycline hyclate delayed-release tablets may be a useful adjunct to amebicides. In severe acne, doxycycline may be useful adjunctive therapy.

1.7 Alternative Treatment for Selected Infections When Penicillin Is Contraindicated (1.7 Alternative Treatment for Selected Infections When Penicillin is Contraindicated)

Doxycycline hyclate delayed-release tablets are indicated as an alternative treatment for the following selected infections when penicillin is contraindicated:

  • Syphilis caused by Treponema pallidum.
  • Yaws caused by Treponema pallidum subspecies pertenue.
  • Vincent’s infection caused by Fusobacterium fusiforme.
  • Actinomycosis caused by Actinomyces israelii.
  • Infections caused by Clostridium species.
2.2 Switching From Doxycycline Hyclate Delayed Release Tablets to Doxycycline Hyclate Delayed Release Tablets Modified Polymer Coat (2.2 Switching from Doxycycline Hyclate Delayed-Release Tablets to Doxycycline Hyclate Delayed-Release Tablets Modified Polymer Coat)

When switching from doxycycline hyclate delayed-release tablets to doxycycline hyclate delayed-release tablets modified polymer coat:

  • A 60 mg dose of doxycycline hyclate delayed-release tablets modified polymer coat will replace a 50 mg dose of doxycycline hyclate delayed-release tablets
  • A 120 mg dose of doxycycline hyclate delayed-release tablets modified polymer coat will replace a 100 mg dose of doxycycline hyclate delayed-release tablets

 


Advanced Ingredient Data


Raw Label Data

All Sections (JSON)