Cefazolin For Injection, Usp

Cefazolin For Injection, Usp
SPL v2
SPL
SPL Set ID c24e604f-16ca-4945-8e9d-277cc67a8c68
Route
INTRAVENOUS
Published
Effective Date 2025-11-20
Document Type 34391-3 HUMAN PRESCRIPTION DRUG LABEL

Drug Facts

Composition & Product

Active Ingredients
Cefazolin (10 g)

Identifiers & Packaging

Marketing Status
ANDA Active Since 2022-03-01

Description

Rx Only PHARMACY BULK PACKAGE - NOT FOR DIRECT INFUSION To reduce the development of drug-resistant bacteria and maintain the effectiveness of Cefazolin for Injection and other antibacterial drugs, Cefazolin for Injection should be used only to treat or prevent infections that are proven or strongly suspected to be caused by bacteria.

Indications and Usage

Cefazolin for Injection, USP is indicated in the treatment of the following serious infections due to susceptible organisms: Respiratory Tract Infections:  due to S. penumoniae, Klebsiella species, H. Influenzae, S. aureus (penicillin-sensitive and penicillin-resistant) and group A beta-hemolytic streptococci . Injectable benzathine penicillin is considered to be the drug of choice in treatment and prevention of streptococcal infections, including the prophylaxis of rheumatic fever. Cefazolin for Injection, USP is effective in the eradication of streptococci from the nasopharynx; however, data establishing the efficacy of Cefazolin for Injection, USP in the subsequent prevention of rheumatic fever are not available. Urinary Tract Infections: due to E. coli, P. mirabilis, Klebsiella species, and some strains of enterobacter and enterococci . Skin and Skin Structure Infections: due to S. aureus (penicillin-sensitive and penicillin-resistant), group A beta-hemolytic streptococci, and other strains of streptococci. Biliary Tract Infections: due to E. coli , various strains of streptococci, P. mirabilis, Klebsiella species and S. aureus . Bone and Joint Infections: due to S. aureus . Genital Infections: (i.e., prostatitis, epididymitis) due to E. coli, P. mirabilis, Klebsiella species, and some strains of enterococci . Septicemia: due to S. pneumoniae , S. aureus (penicillin-sensitive and penicillin-resistant), P. mirabilis , E. coli, and Klebsiella species. Endocarditis: due to S. aureus (penicillin-sensitive and penicillin-resistant) and group A beta-hemolytic streptococci . Perioperative Prophylaxis: The prophylactic administration of Cefazolin for Injection, USP preoperatively, intraoperatively and postoperatively may reduce the incidence of certain postoperative infections in patients undergoing surgical procedures which are classified as contaminated or potentially contaminated (e.g., vaginal hysterectomy, and cholecystectomy in high‑risk patients such as those older than 70 years, with acute cholecystitis, obstructive jaundice or common duct bile stones). The perioperative use of Cefazolin for Injection, USP may also be effective in surgical patients in whom infection at the operative site would present a serious risk (e.g., during open-heart surgery and prosthetic arthroplasty). The prophylactic administration of Cefazolin for Injection, USP should usually be discontinued within a 24 hour period after the surgical procedure. In surgery where the occurrence of infection may be particularly devastating (e.g., open-heart surgery and prosthetic arthroplasty), the prophylactic administration of Cefazolin for Injection, USP may be continued for 3 to 5 days following the completion of surgery. If there are signs of infection, specimens for cultures should be obtained for the identification of the causative organism so that appropriate therapy may be instituted (see DOSAGE AND ADMINISTRATION ). To reduce the development of drug-resistant bacteria and maintain the effectiveness of Cefazolin for Injection, USP and other antibacterial drugs, Cefazolin for Injection, USP should be used only to treat or prevent infections that are proven or strongly suspected to be caused by susceptible bacteria. When culture and susceptibility information are available, they should be considered in selecting or modifying antibacterial therapy. In the absence of such data, local epidemiology and susceptibility patterns may contribute to the empiric selection of therapy.

Contraindications

Cefazolin for Injection IS CONTRAINDICATED IN PATIENTS WITH KNOWN ALLERGY TO THE CEPHALOSPORIN GROUP OF ANTIBIOTICS.

Adverse Reactions

The following reactions have been reported: Gastrointestinal: Diarrhea, oral candidiasis (oral thrush), vomiting, nausea, stomach cramps, anorexia, and pseudomembranous colitis. Onset of pseudomembranous colitis symptoms may occur during or after antibiotic treatment (see WARNINGS ). Nausea and vomiting have been reported rarely. Allergic: Anaphylaxis, eosinophilia, itching, drug fever, skin rash, Stevens-Johnson syndrome. Hematologic: Neutropenia, leukopenia, thrombocytopenia, thrombocythemia. Hepatic: Transient rise in SGOT, SGPT, and alkaline phosphatase levels has been observed. As with other cephalosporins, reports of hepatitis have been received. Renal: As with other cephalosporins, reports of increased BUN and creatinine levels, as well as renal failure, have been received. Local Reactions: Rare instances of phlebitis have been reported at site of injection. Some induration has occurred. Other Reactions: Genital and anal pruritus (including vulvar pruritus, genital moniliasis and vaginitis). To report SUSPECTED ADVERSE REACTIONS, contact Hikma Pharmaceuticals USA Inc. at 1-877-845-0689 or FDA at 1-800-FDA-1088 or www.fda.gov/medwatch.

Drug Interactions

Probenecid may decrease renal tubular secretion of cephalosporins when used concurrently, resulting in increased and more prolonged cephalosporin blood levels.

How Supplied

Cefazolin for Injection, USP, is supplied in 10 gram Pharmacy Bulk Package vials. Each Pharmacy Bulk Package contains cefazolin sodium equivalent to 10 grams of cefazolin, as follows: Cefazolin for Injection, USP Vial Size Packaged NDC No. 10 grams 100 mL Carton of 10 vials 72572- 056 -10  Also available as: Cefazolin for Injection, USP Vial Size Packaged NDC No. 1 gram 10 mL Carton of 25 vials 72572- 055 -25  Preservative Free. As with other cephalosporins, Cefazolin for Injection, USP tends to darken depending on storage conditions; within the stated recommendations; however, product potency is not adversely affected. Before reconstitution, protect from light and store at 20º to 25ºC (68º to 77ºF) [see USP Controlled Room Temperature]. This container closure is not made with natural rubber latex.


Medication Information

Indications and Usage

Cefazolin for Injection, USP is indicated in the treatment of the following serious infections due to susceptible organisms:

Respiratory Tract Infections:  due to S. penumoniae, Klebsiella species, H. Influenzae, S. aureus (penicillin-sensitive and penicillin-resistant) and group A beta-hemolytic streptococci. Injectable benzathine penicillin is considered to be the drug of choice in treatment and prevention of streptococcal infections, including the prophylaxis of rheumatic fever.

Cefazolin for Injection, USP is effective in the eradication of streptococci from the nasopharynx; however, data establishing the efficacy of Cefazolin for Injection, USP in the subsequent prevention of rheumatic fever are not available.

Urinary Tract Infections: due to E. coli, P. mirabilis, Klebsiella species, and some strains of enterobacter and enterococci.

Skin and Skin Structure Infections: due to S. aureus (penicillin-sensitive and penicillin-resistant), group A beta-hemolytic streptococci, and other strains of streptococci.

Biliary Tract Infections: due to E. coli, various strains of streptococci, P. mirabilis, Klebsiella species and S. aureus.

Bone and Joint Infections: due to S. aureus.

Genital Infections: (i.e., prostatitis, epididymitis) due to E. coli, P. mirabilis, Klebsiella species, and some strains of enterococci.

Septicemia: due to S. pneumoniae, S. aureus (penicillin-sensitive and penicillin-resistant), P. mirabilis, E. coli, and Klebsiella species.

Endocarditis: due to S. aureus (penicillin-sensitive and penicillin-resistant) and group A beta-hemolytic streptococci.

Perioperative Prophylaxis: The prophylactic administration of Cefazolin for Injection, USP preoperatively, intraoperatively and postoperatively may reduce the incidence of certain postoperative infections in patients undergoing surgical procedures which are classified as contaminated or potentially contaminated (e.g., vaginal hysterectomy, and cholecystectomy in high‑risk patients such as those older than 70 years, with acute cholecystitis, obstructive jaundice or common duct bile stones).

The perioperative use of Cefazolin for Injection, USP may also be effective in surgical patients in whom infection at the operative site would present a serious risk (e.g., during open-heart surgery and prosthetic arthroplasty).

The prophylactic administration of Cefazolin for Injection, USP should usually be discontinued within a 24 hour period after the surgical procedure. In surgery where the occurrence of infection may be particularly devastating (e.g., open-heart surgery and prosthetic arthroplasty), the prophylactic administration of Cefazolin for Injection, USP may be continued for 3 to 5 days following the completion of surgery.

If there are signs of infection, specimens for cultures should be obtained for the identification of the causative organism so that appropriate therapy may be instituted (see DOSAGE AND ADMINISTRATION ).

To reduce the development of drug-resistant bacteria and maintain the effectiveness of Cefazolin for Injection, USP and other antibacterial drugs, Cefazolin for Injection, USP should be used only to treat or prevent infections that are proven or strongly suspected to be caused by susceptible bacteria. When culture and susceptibility information are available, they should be considered in selecting or modifying antibacterial therapy. In the absence of such data, local epidemiology and susceptibility patterns may contribute to the empiric selection of therapy.

Contraindications

Cefazolin for Injection IS CONTRAINDICATED IN PATIENTS WITH KNOWN ALLERGY TO THE CEPHALOSPORIN GROUP OF ANTIBIOTICS.

Adverse Reactions

The following reactions have been reported:

Gastrointestinal: Diarrhea, oral candidiasis (oral thrush), vomiting, nausea, stomach cramps, anorexia, and pseudomembranous colitis. Onset of pseudomembranous colitis symptoms may occur during or after antibiotic treatment (see WARNINGS ). Nausea and vomiting have been reported rarely.

Allergic: Anaphylaxis, eosinophilia, itching, drug fever, skin rash, Stevens-Johnson syndrome.

Hematologic: Neutropenia, leukopenia, thrombocytopenia, thrombocythemia.

Hepatic: Transient rise in SGOT, SGPT, and alkaline phosphatase levels has been observed. As with other cephalosporins, reports of hepatitis have been received.

Renal: As with other cephalosporins, reports of increased BUN and creatinine levels, as well as renal failure, have been received.

Local Reactions: Rare instances of phlebitis have been reported at site of injection. Some induration has occurred.

Other Reactions: Genital and anal pruritus (including vulvar pruritus, genital moniliasis and vaginitis).

To report SUSPECTED ADVERSE REACTIONS, contact Hikma Pharmaceuticals USA Inc. at 1-877-845-0689 or FDA at 1-800-FDA-1088 or www.fda.gov/medwatch.

Drug Interactions

Probenecid may decrease renal tubular secretion of cephalosporins when used concurrently, resulting in increased and more prolonged cephalosporin blood levels.

How Supplied

Cefazolin for Injection, USP, is supplied in 10 gram Pharmacy Bulk Package vials. Each Pharmacy Bulk Package contains cefazolin sodium equivalent to 10 grams of cefazolin, as follows:

Cefazolin for Injection, USP

Vial Size

Packaged

NDC No.

10 grams

100 mL

Carton of 10 vials

72572-056-10 

Also available as:

Cefazolin for Injection, USP

Vial Size

Packaged

NDC No.

1 gram

10 mL

Carton of 25 vials

72572-055-25 

Preservative Free.

As with other cephalosporins, Cefazolin for Injection, USP tends to darken depending on storage conditions; within the stated recommendations; however, product potency is not adversely affected.

Before reconstitution, protect from light and store at 20º to 25ºC (68º to 77ºF) [see USP Controlled Room Temperature].

This container closure is not made with natural rubber latex.

Description

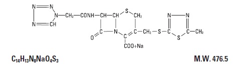
Cefazolin for Injection, USP is a semi-synthetic cephalosporin for parenteral administration. It is the sodium salt of (6R, 7R)-3-[[(5-methyl-1,3,4-thiadiazol-2-yl)]thio]methyl]-8-oxo-7-[2(1H-tetrazol-1-yl)acetoamido]-5-thia-1-azabicyclo[4.2.0]oct-2-ene-2-carboxylic acid.

The structural formula is as follows:

Cefazolin for Injection, USP is a white to cream sterile powder. The color of Cefazolin for Injection, USP solutions may range from pale yellow to yellow without a change in potency.

The pH ranges from 4.0 and 6.0 for a solution containing 100 mg of cefazolin per mL.

Cefazolin for Injection, USP is supplied in 10 gram Pharmacy Bulk Packages. Each Pharmacy Bulk Package contains Cefazolin Sodium, USP equivalent to 10 grams of cefazolin. The sodium content is approximately 48 mg (2.1 mEq) per gram of cefazolin sodium. It is to be administered by intravenous route.

A Pharmacy Bulk Package is a container of a sterile preparation for intravenous use that contains many single doses. The contents are intended for use in a pharmacy admixture service and are restricted to the preparation of admixtures for intravenous infusion. FURTHER DILUTION IS REQUIRED BEFORE USE.

Section 42229-5

Rx Only

PHARMACY BULK PACKAGE - NOT FOR DIRECT INFUSION

To reduce the development of drug-resistant bacteria and maintain the effectiveness of Cefazolin for Injection and other antibacterial drugs, Cefazolin for Injection should be used only to treat or prevent infections that are proven or strongly suspected to be caused by bacteria.

General

Prolonged use of Cefazolin for Injection may result in the overgrowth of nonsusceptible organisms. Careful clinical observation of the patient is essential.

When Cefazolin for Injection is administered to patients with low urinary output because of impaired renal function, lower daily dosage is required (see DOSAGE AND ADMINISTRATION ).

As with other β-lactam antibiotics, seizures may occur if inappropriately high doses are administered to patients with impaired renal function

(see DOSAGE AND ADMINISTRATION ).

Cefazolin for Injection, as with all cephalosporins, should be prescribed with caution in individuals with a history of gastrointestinal disease, particularly colitis.

Cephalosporins may be associated with a fall in prothrombin activity. Those at risk include patients with renal or hepatic impairment or poor nutritional state, as well as patients receiving a protracted course of antimicrobial therapy, and patients previously stabilized on anticoagulant therapy. Prothrombin time should be monitored in patients at risk and exogenous vitamin K administered as indicated.

Prescribing Cefazolin for Injection in the absence of a proven or strongly suspected bacterial infection or a prophylactic indication is unlikely to provide benefit to the patient and increases the risk of the development of drug-resistant bacteria.

Warnings

BEFORE THERAPY WITH Cefazolin for Injection IS INSTITUTED, CAREFUL INQUIRY SHOULD BE MADE TO DETERMINE WHETHER THE PATIENT HAS HAD PREVIOUS HYPERSENSITIVITY REACTIONS TO CEFAZOLIN, CEPHALOSPORINS, PENICILLINS, OR OTHER DRUGS. IF THIS PRODUCT IS GIVEN TO PENICILLIN-SENSITIVE PATIENTS, CAUTION SHOULD BE EXERCISED BECAUSE CROSS-HYPERSENSITIVITY AMONG BETA-LACTAM ANTIBIOTICS HAS BEEN CLEARLY DOCUMENTED AND MAY OCCUR IN UP TO 10% OF PATIENTS WITH A HISTORY OF PENICILLIN ALLERGY. IF AN ALLERGIC REACTION TO Cefazolin for Injection OCCURS, DISCONTINUE TREATMENT WITH THE DRUG. SERIOUS ACUTE HYPERSENSITIVITY REACTIONS MAY REQUIRE TREATMENT WITH EPINEPHRINE AND OTHER EMERGENCY MEASURES, INCLUDING OXYGEN, IV FLUIDS, IV ANTIHISTAMINES, CORTICOSTEROIDS, PRESSOR AMINES AND AIRWAY MANAGEMENT, AS CLINICALLY INDICATED.

Pseudomembranous colitis has been reported with nearly all antibacterial agents, including cefazolin, and may range in severity from mild to life-threatening. Therefore, it is important to consider this diagnosis in patients who present with diarrhea subsequent to the administration of antibacterial agents.

Treatment with antibacterial agents alters the normal flora of the colon and may permit overgrowth of clostridia. Studies indicate that a toxin produced by Clostridium difficile is a primary cause of “antibiotic-associated colitis”.

After the diagnosis of pseudomembranous colitis has been established, therapeutic measures should be initiated. Mild cases of pseudomembranous colitis usually respond to drug discontinuation alone. In moderate to severe cases, consideration should be given to management with fluids and electrolytes, protein supplementation, and treatment with an oral antibacterial drug clinically effective against C. difficile colitis.

Pregnancy

Teratogenic Effects -  Pregnancy Category B.

Reproduction studies have been performed in rats, mice, and rabbits at doses up to 25 times the human dose and have revealed no evidence of impaired fertility or harm to the fetus due to Cefazolin for Injection. There are, however, no adequate and well-controlled studies in pregnant women. Because animal reproduction studies are not always predictive of human response, this drug should be used during pregnancy only if clearly needed.

Resistance

Predominant mechanisms of bacterial resistance to cephalosporins include the presence of extended-spectrum beta-lactamases and enzymatic hydrolysis.

Geriatric Use

Of the 920 subjects who received Cefazolin for Injection in clinical studies, 313 (34%) were 65 years and over, while 138 (15%) were 75 years and over. No overall differences in safety or effectiveness were observed between these subjects and younger subjects. Other reported clinical experience has not identified differences in responses between the elderly and younger patients, but greater sensitivity of some older individuals cannot be ruled out.

This drug is known to be substantially excreted by the kidney, and the risk of toxic reactions to this drug may be greater in patients with impaired renal function. Because elderly patients are more likely to have decreased renal function, care should be taken in dose selection, and it may be useful to monitor renal function (see PRECAUTIONS, General  and DOSAGE AND ADMINISTRATION ).

Pediatric Use

Safety and effectiveness for use in premature infants and neonates have not been established. See DOSAGE AND ADMINISTRATION  for recommended dosage in pediatric patients older than 1 month.

Nursing Mothers

Cefazolin for Injection is present in very low concentrations in the milk of nursing mothers. Caution should be exercised when Cefazolin for Injection is administered to a nursing woman.

Pediatric Dosage

In pediatric patients, a total daily dosage of 25 to 50 mg/kg (approximately 10 to 20 mg/lb) of body weight, divided into 3 or 4 equal doses, is effective for most mild to moderately severe infections. Total daily dosage may be increased to 100 mg/kg (45 mg/lb) of body weight for severe infections. Since safety for use in premature infants and in neonates has not been established, the use of Cefazolin for Injection in these patients is not recommended.

In pediatric patients with mild to moderate renal impairment (creatinine clearance of 70 to 40 mL/min), 60% of the normal daily dose given in equally divided doses every 12 hours should be sufficient. In patients with moderate impairment (creatinine clearance of 40 to 20 mL/min), 25% of the normal daily dose given in equally divided doses every 12 hours should be adequate. Pediatric patients with severe renal impairment (creatinine clearance of 20 to 5 mL/min) may be given 10% of the normal daily dose every 24 hours. All dosage recommendations apply after an initial loading dose.

Labor and Delivery

When cefazolin has been administered prior to caesarean section, drug levels in cord blood have been approximately one quarter to one third of maternal drug levels. The drug appears to have no adverse effect on the fetus.

Usual Adult Dosage

Type of Infection

Dose

Frequency

Moderate to severe infections

500 mg to 1 gram

every 6 to 8 hours

Mild infections caused by susceptible gram-positive cocci

250 mg to 500 mg

every 8 hours

Acute, uncomplicated urinary tract infections

1 gram

every 12 hours

Pneumococcal pneumonia

500 mg

every 12 hours

Severe, life-threatening infections (e.g., endocarditis, septicemia)

In rare instances, doses of up to 12 grams of Cefazolin for Injection per day have been used.
 

1 gram to 1.5 grams

every 6 hours

Mechanism of Action

Cefazolin is a bactericidal agent that acts by inhibition of bacterial cell wall synthesis.

Clinical Pharmacology

Studies have shown that following intravenous administration of Cefazolin for Injection to normal volunteers, mean serum concentrations peaked at approximately 185 mcg/mL and were approximately 4 mcg/mL at 8 hours for 1 gram dose.

The serum half-life for Cefazolin for Injection is approximately 1.8 hours following intravenous administration.

In a study (using normal volunteers) of constant intravenous infusion with dosages of 3.5 mg/kg for 1 hour (approximately 250 mg) and 1.5 mg/kg the next 2 hours (approximately 100 mg), Cefazolin for Injection produced a steady serum level at the third hour of approximately 28 mcg/mL.

Studies in patients hospitalized with infections indicate that Cefazolin for Injection produces mean peak serum levels approximately equivalent to those seen in normal volunteers.

Bile levels in patients without obstructive biliary disease can reach or exceed serum levels by up to five times; however, in patients with obstructive biliary disease, bile levels of Cefazolin for Injection are considerably lower than serum levels (<1 mcg/mL).

In synovial fluid, the level of Cefazolin for Injection becomes comparable to that reached in serum at about 4 hours after drug administration.

Studies of cord blood show prompt transfer of Cefazolin for Injection across the placenta. Cefazolin for Injection is present in very low concentrations in the milk of nursing mothers.

Cefazolin for Injection is excreted unchanged in the urine. In the first 6 hours approximately 60% of the drug is excreted in the urine and this increases to 70% to 80% within 24 hours.

In patients undergoing peritoneal dialysis (2 L/hr), Cefazolin for Injection produced mean serum levels of approximately 10 and 30 mcg/mL after 24 hours’ instillation of a dialyzing solution containing 50 mg/L and 150 mg/L, respectively. Mean peak levels were 29 mcg/mL (range 13 to 44 mcg/mL) with 50 mg/L (3 patients), and 72 mcg/mL (range 26 to 142 mcg/mL) with 150 mg/L (6 patients). Intraperitoneal administration of Cefazolin for Injection is usually well tolerated.

Controlled studies on adult normal volunteers, receiving 1 gram 4 times a day for 10 days, monitoring CBC, SGOT, SGPT, bilirubin, alkaline phosphatase, BUN, creatinine and urinalysis, indicated no clinically significant changes attributed to Cefazolin for Injection.

Antimicrobial Activity

Cefazolin has been shown to be active against most isolates of the following microorganisms, both in vitro and in clinical infections as described in the  INDICATIONS AND USAGE (1 ) section:

Gram-positive Bacteria

Staphylococcus aureus

Staphylococcus epidermidis

Streptococcus agalactiae

Streptococcus  pneumoniae

Streptococcus pyogenes

Methicillin-resistant staphylococci are uniformly resistant to cefazolin.

Gram-negative Bacteria

Escherichia coli

Proteus mirabilis

Most isolates of indole positive Proteus (Proteus vulgaris), Enterobacter spp., Morganella morganii, Providencia rettgeri, Serratia spp., and Pseudomonas spp. are resistant to cefazolin.

Principal Display Panel

NDC72572-056-01     Rx Only

Cefazolin

for Injection, USP

PHARMACY BULK PACKAGE

NOT FOR DIRECT INFUSION

10 grams per

Pharmacy Bulk Package

NOT TO BE DISPENSED AS A UNIT


For Intravenous use ONLY





NDC72572-056-10     Rx Only

Cefazolin

for Injection, USP

PHARMACY BULK PACKAGE

NOT FOR DIRECT INFUSION

10 grams per

Pharmacy Bulk Package

THIS PACKAGE IS NOT INTENDED TO BE DISPENSED AS A UNIT


For Intravenous use

10 x 10 g Vials

Information for Patients

Patients should be counseled that antibacterial drugs including Cefazolin for Injection should only be used to treat bacterial infections. They do not treat viral infections (e.g., the common cold). When Cefazolin for Injection is prescribed to treat a bacterial infection, patients should be told that although it is common to feel better early in the course of therapy, the medication should be taken exactly as directed. Skipping doses or not completing the full course of therapy may: (1) decrease the effectiveness of the immediate treatment, and (2) increase the likelihood that bacteria will develop resistance and will not be treatable by Cefazolin for Injection or other antibacterial drugs in the future.

Carcinogenesis/mutagenesis

Mutagenicity studies and long-term studies in animals to determine the carcinogenic potential of Cefazolin for Injection have not been performed.

Intravenous Administration

Intermittent or continuous infusion: Dilute reconstituted Cefazolin for Injection, USP in 50 to 100 mL of one of the following solutions:

Sodium Chloride Injection, USP

5% or 10% Dextrose Injection, USP

5% Dextrose in Lactated Ringer’s Injection, USP

5% Dextrose and 0.9% Sodium Chloride Injection, USP

5% Dextrose and 0.45% Sodium Chloride Injection, USP

5% Dextrose and 0.2% Sodium Chloride Injection, USP

Lactated Ringer’s Injection, USP

Invert Sugar 5% or 10% in Sterile Water for Injection

Ringer’s Injection, USP

5% Sodium Bicarbonate Injection, USP

When diluted according to the instructions above, cefazolin is stable for 24 hours at room temperature or for 10 days if stored under refrigeration (5ºC or 41ºF).

Prior to administration parenteral drug products should be inspected visually for particulate matter and discoloration whenever solution and container permit.

Susceptibility Test Methods

For specific information regarding susceptibility test interpretive criteria and associated test methods and quality control standards recognized by FDA for this drug, please see: https://www.fda.gov/STIC.

Perioperative Prophylactic Use

To prevent postoperative infection in contaminated or potentially contaminated surgery, recommended doses are:

  • 1 gram IV administered ½ hour to 1 hour prior to the start of surgery.
  • For lengthy operative procedures (e.g., 2 hours or more), 500 mg to 1 gram IV during surgery (administration modified depending on the duration of the operative procedure).
  • 500 mg to 1 gram IV every 6 to 8 hours for 24 hours postoperatively.

It is important that (1) the preoperative dose be given just (1/2 to 1 hour) prior to the start of surgery so that adequate antibiotic levels are present in the serum and tissues at the time of initial surgical incision; and (2) Cefazolin for Injection be administered, if necessary, at appropriate intervals during surgery to provide sufficient levels of the antibiotic at the anticipated moments of greatest exposure to infective organisms.

In surgery where the occurrence of infection may be particularly devastating (e.g., open-heart surgery and prosthetic arthroplasty), the prophylactic administration of Cefazolin for Injection may be continued for 3 to 5 days following the completion of surgery.

Drug/laboratory Test Interactions

A false-positive reaction for glucose in the urine may occur with Benedict’s solution, Fehling’s solution or with CLINITEST® tablets, but not with enzyme-based tests such as CLINISTIX®.

Positive direct and indirect antiglobulin (Coombs) tests have occurred; these may also occur in neonates whose mothers received cephalosporins before delivery.

Preparation of Parenteral Solution

Parenteral drug products should be SHAKEN WELL when reconstituted, and inspected visually for particulate matter prior to administration. If particulate matter is evident in reconstituted fluids, the drug solutions should be discarded.

Reconstituted solutions may range in color from pale yellow to yellow without a change in potency.

Directions for Proper Use of A Pharmacy Bulk Package

Not for direct infusion. This Pharmacy Bulk Package is for use in a hospital pharmacy admixture service only in a suitable work area, such as a laminar flow hood. Using aseptic technique, the container closure may be penetrated only one time after reconstitution using a suitable sterile dispensing set or transfer device that allows measured dispensing of the contents. Use of a syringe and needle is not recommended as it may cause leakage. The withdrawal of container contents should be accomplished without delay. However, should this not be possible, a maximum time of 4 HOURS from initial closure entry is permitted to complete fluid transfer operations. This time limit should begin with the introduction of the solvent or diluent into the Pharmacy Bulk Package. DISCARD ANY UNUSED PORTION AFTER 4 HOURS.

Pharmacy Bulk Package

Add Sterile Water for Injection, Bacteriostatic Water for Injection or Sodium Chloride Injection according to the table below. SHAKE WELL. Use promptly. (Discard vial within 4 hours after initial entry.)

 Pharmacy Bulk Package Size

Amount of Diluent 

Appropriate Concentration 

 Approximate Available Volume

10 grams 

 45 mL

 1 gram/5 mL

51 mL 

96 mL 

1 gram/10 mL 

 102 mL

Dosage Adjustment for Patients With Reduced Renal Function

Cefazolin for Injection may be used in patients with reduced renal function with the following dosage adjustments: Patients with a creatinine clearance of 55 mL/min or greater or a serum creatinine of 1.5 mg % or less can be given full doses. Patients with creatinine clearance rates of 35 to 54 mL/min or serum creatinine of 1.6 to 3 mg % can also be given full doses but dosage should be restricted to at least 8 hour intervals. Patients with creatinine clearance rates of 11 to 34 mL/min or serum creatinine of 3.1 to 4.5 mg % should be given 1/2 the usual dose every 12 hours. Patients with creatinine clearance rates of 10 mL/min or less or serum creatinine of 4.6 mg % or greater should be given 1/2 the usual dose every 18 to 24 hours. All reduced dosage recommendations apply after an initial loading dose appropriate to the severity of the infection. Patients undergoing peritoneal dialysis: See CLINICAL PHARMACOLOGY .


Structured Label Content

Section 42229-5 (42229-5)

Rx Only

PHARMACY BULK PACKAGE - NOT FOR DIRECT INFUSION

To reduce the development of drug-resistant bacteria and maintain the effectiveness of Cefazolin for Injection and other antibacterial drugs, Cefazolin for Injection should be used only to treat or prevent infections that are proven or strongly suspected to be caused by bacteria.

General

Prolonged use of Cefazolin for Injection may result in the overgrowth of nonsusceptible organisms. Careful clinical observation of the patient is essential.

When Cefazolin for Injection is administered to patients with low urinary output because of impaired renal function, lower daily dosage is required (see DOSAGE AND ADMINISTRATION ).

As with other β-lactam antibiotics, seizures may occur if inappropriately high doses are administered to patients with impaired renal function

(see DOSAGE AND ADMINISTRATION ).

Cefazolin for Injection, as with all cephalosporins, should be prescribed with caution in individuals with a history of gastrointestinal disease, particularly colitis.

Cephalosporins may be associated with a fall in prothrombin activity. Those at risk include patients with renal or hepatic impairment or poor nutritional state, as well as patients receiving a protracted course of antimicrobial therapy, and patients previously stabilized on anticoagulant therapy. Prothrombin time should be monitored in patients at risk and exogenous vitamin K administered as indicated.

Prescribing Cefazolin for Injection in the absence of a proven or strongly suspected bacterial infection or a prophylactic indication is unlikely to provide benefit to the patient and increases the risk of the development of drug-resistant bacteria.

Warnings (WARNINGS)

BEFORE THERAPY WITH Cefazolin for Injection IS INSTITUTED, CAREFUL INQUIRY SHOULD BE MADE TO DETERMINE WHETHER THE PATIENT HAS HAD PREVIOUS HYPERSENSITIVITY REACTIONS TO CEFAZOLIN, CEPHALOSPORINS, PENICILLINS, OR OTHER DRUGS. IF THIS PRODUCT IS GIVEN TO PENICILLIN-SENSITIVE PATIENTS, CAUTION SHOULD BE EXERCISED BECAUSE CROSS-HYPERSENSITIVITY AMONG BETA-LACTAM ANTIBIOTICS HAS BEEN CLEARLY DOCUMENTED AND MAY OCCUR IN UP TO 10% OF PATIENTS WITH A HISTORY OF PENICILLIN ALLERGY. IF AN ALLERGIC REACTION TO Cefazolin for Injection OCCURS, DISCONTINUE TREATMENT WITH THE DRUG. SERIOUS ACUTE HYPERSENSITIVITY REACTIONS MAY REQUIRE TREATMENT WITH EPINEPHRINE AND OTHER EMERGENCY MEASURES, INCLUDING OXYGEN, IV FLUIDS, IV ANTIHISTAMINES, CORTICOSTEROIDS, PRESSOR AMINES AND AIRWAY MANAGEMENT, AS CLINICALLY INDICATED.

Pseudomembranous colitis has been reported with nearly all antibacterial agents, including cefazolin, and may range in severity from mild to life-threatening. Therefore, it is important to consider this diagnosis in patients who present with diarrhea subsequent to the administration of antibacterial agents.

Treatment with antibacterial agents alters the normal flora of the colon and may permit overgrowth of clostridia. Studies indicate that a toxin produced by Clostridium difficile is a primary cause of “antibiotic-associated colitis”.

After the diagnosis of pseudomembranous colitis has been established, therapeutic measures should be initiated. Mild cases of pseudomembranous colitis usually respond to drug discontinuation alone. In moderate to severe cases, consideration should be given to management with fluids and electrolytes, protein supplementation, and treatment with an oral antibacterial drug clinically effective against C. difficile colitis.

Pregnancy

Teratogenic Effects -  Pregnancy Category B.

Reproduction studies have been performed in rats, mice, and rabbits at doses up to 25 times the human dose and have revealed no evidence of impaired fertility or harm to the fetus due to Cefazolin for Injection. There are, however, no adequate and well-controlled studies in pregnant women. Because animal reproduction studies are not always predictive of human response, this drug should be used during pregnancy only if clearly needed.

Resistance

Predominant mechanisms of bacterial resistance to cephalosporins include the presence of extended-spectrum beta-lactamases and enzymatic hydrolysis.

Description (DESCRIPTION)

Cefazolin for Injection, USP is a semi-synthetic cephalosporin for parenteral administration. It is the sodium salt of (6R, 7R)-3-[[(5-methyl-1,3,4-thiadiazol-2-yl)]thio]methyl]-8-oxo-7-[2(1H-tetrazol-1-yl)acetoamido]-5-thia-1-azabicyclo[4.2.0]oct-2-ene-2-carboxylic acid.

The structural formula is as follows:

Cefazolin for Injection, USP is a white to cream sterile powder. The color of Cefazolin for Injection, USP solutions may range from pale yellow to yellow without a change in potency.

The pH ranges from 4.0 and 6.0 for a solution containing 100 mg of cefazolin per mL.

Cefazolin for Injection, USP is supplied in 10 gram Pharmacy Bulk Packages. Each Pharmacy Bulk Package contains Cefazolin Sodium, USP equivalent to 10 grams of cefazolin. The sodium content is approximately 48 mg (2.1 mEq) per gram of cefazolin sodium. It is to be administered by intravenous route.

A Pharmacy Bulk Package is a container of a sterile preparation for intravenous use that contains many single doses. The contents are intended for use in a pharmacy admixture service and are restricted to the preparation of admixtures for intravenous infusion. FURTHER DILUTION IS REQUIRED BEFORE USE.

How Supplied (HOW SUPPLIED)

Cefazolin for Injection, USP, is supplied in 10 gram Pharmacy Bulk Package vials. Each Pharmacy Bulk Package contains cefazolin sodium equivalent to 10 grams of cefazolin, as follows:

Cefazolin for Injection, USP

Vial Size

Packaged

NDC No.

10 grams

100 mL

Carton of 10 vials

72572-056-10 

Also available as:

Cefazolin for Injection, USP

Vial Size

Packaged

NDC No.

1 gram

10 mL

Carton of 25 vials

72572-055-25 

Preservative Free.

As with other cephalosporins, Cefazolin for Injection, USP tends to darken depending on storage conditions; within the stated recommendations; however, product potency is not adversely affected.

Before reconstitution, protect from light and store at 20º to 25ºC (68º to 77ºF) [see USP Controlled Room Temperature].

This container closure is not made with natural rubber latex.

Geriatric Use

Of the 920 subjects who received Cefazolin for Injection in clinical studies, 313 (34%) were 65 years and over, while 138 (15%) were 75 years and over. No overall differences in safety or effectiveness were observed between these subjects and younger subjects. Other reported clinical experience has not identified differences in responses between the elderly and younger patients, but greater sensitivity of some older individuals cannot be ruled out.

This drug is known to be substantially excreted by the kidney, and the risk of toxic reactions to this drug may be greater in patients with impaired renal function. Because elderly patients are more likely to have decreased renal function, care should be taken in dose selection, and it may be useful to monitor renal function (see PRECAUTIONS, General  and DOSAGE AND ADMINISTRATION ).

Pediatric Use

Safety and effectiveness for use in premature infants and neonates have not been established. See DOSAGE AND ADMINISTRATION  for recommended dosage in pediatric patients older than 1 month.

Nursing Mothers

Cefazolin for Injection is present in very low concentrations in the milk of nursing mothers. Caution should be exercised when Cefazolin for Injection is administered to a nursing woman.

Pediatric Dosage

In pediatric patients, a total daily dosage of 25 to 50 mg/kg (approximately 10 to 20 mg/lb) of body weight, divided into 3 or 4 equal doses, is effective for most mild to moderately severe infections. Total daily dosage may be increased to 100 mg/kg (45 mg/lb) of body weight for severe infections. Since safety for use in premature infants and in neonates has not been established, the use of Cefazolin for Injection in these patients is not recommended.

In pediatric patients with mild to moderate renal impairment (creatinine clearance of 70 to 40 mL/min), 60% of the normal daily dose given in equally divided doses every 12 hours should be sufficient. In patients with moderate impairment (creatinine clearance of 40 to 20 mL/min), 25% of the normal daily dose given in equally divided doses every 12 hours should be adequate. Pediatric patients with severe renal impairment (creatinine clearance of 20 to 5 mL/min) may be given 10% of the normal daily dose every 24 hours. All dosage recommendations apply after an initial loading dose.

Adverse Reactions (ADVERSE REACTIONS)

The following reactions have been reported:

Gastrointestinal: Diarrhea, oral candidiasis (oral thrush), vomiting, nausea, stomach cramps, anorexia, and pseudomembranous colitis. Onset of pseudomembranous colitis symptoms may occur during or after antibiotic treatment (see WARNINGS ). Nausea and vomiting have been reported rarely.

Allergic: Anaphylaxis, eosinophilia, itching, drug fever, skin rash, Stevens-Johnson syndrome.

Hematologic: Neutropenia, leukopenia, thrombocytopenia, thrombocythemia.

Hepatic: Transient rise in SGOT, SGPT, and alkaline phosphatase levels has been observed. As with other cephalosporins, reports of hepatitis have been received.

Renal: As with other cephalosporins, reports of increased BUN and creatinine levels, as well as renal failure, have been received.

Local Reactions: Rare instances of phlebitis have been reported at site of injection. Some induration has occurred.

Other Reactions: Genital and anal pruritus (including vulvar pruritus, genital moniliasis and vaginitis).

To report SUSPECTED ADVERSE REACTIONS, contact Hikma Pharmaceuticals USA Inc. at 1-877-845-0689 or FDA at 1-800-FDA-1088 or www.fda.gov/medwatch.

Contraindications (CONTRAINDICATIONS)

Cefazolin for Injection IS CONTRAINDICATED IN PATIENTS WITH KNOWN ALLERGY TO THE CEPHALOSPORIN GROUP OF ANTIBIOTICS.

Drug Interactions

Probenecid may decrease renal tubular secretion of cephalosporins when used concurrently, resulting in increased and more prolonged cephalosporin blood levels.

Labor and Delivery

When cefazolin has been administered prior to caesarean section, drug levels in cord blood have been approximately one quarter to one third of maternal drug levels. The drug appears to have no adverse effect on the fetus.

Usual Adult Dosage

Type of Infection

Dose

Frequency

Moderate to severe infections

500 mg to 1 gram

every 6 to 8 hours

Mild infections caused by susceptible gram-positive cocci

250 mg to 500 mg

every 8 hours

Acute, uncomplicated urinary tract infections

1 gram

every 12 hours

Pneumococcal pneumonia

500 mg

every 12 hours

Severe, life-threatening infections (e.g., endocarditis, septicemia)

In rare instances, doses of up to 12 grams of Cefazolin for Injection per day have been used.
 

1 gram to 1.5 grams

every 6 hours

Mechanism of Action

Cefazolin is a bactericidal agent that acts by inhibition of bacterial cell wall synthesis.

Clinical Pharmacology (CLINICAL PHARMACOLOGY)

Studies have shown that following intravenous administration of Cefazolin for Injection to normal volunteers, mean serum concentrations peaked at approximately 185 mcg/mL and were approximately 4 mcg/mL at 8 hours for 1 gram dose.

The serum half-life for Cefazolin for Injection is approximately 1.8 hours following intravenous administration.

In a study (using normal volunteers) of constant intravenous infusion with dosages of 3.5 mg/kg for 1 hour (approximately 250 mg) and 1.5 mg/kg the next 2 hours (approximately 100 mg), Cefazolin for Injection produced a steady serum level at the third hour of approximately 28 mcg/mL.

Studies in patients hospitalized with infections indicate that Cefazolin for Injection produces mean peak serum levels approximately equivalent to those seen in normal volunteers.

Bile levels in patients without obstructive biliary disease can reach or exceed serum levels by up to five times; however, in patients with obstructive biliary disease, bile levels of Cefazolin for Injection are considerably lower than serum levels (<1 mcg/mL).

In synovial fluid, the level of Cefazolin for Injection becomes comparable to that reached in serum at about 4 hours after drug administration.

Studies of cord blood show prompt transfer of Cefazolin for Injection across the placenta. Cefazolin for Injection is present in very low concentrations in the milk of nursing mothers.

Cefazolin for Injection is excreted unchanged in the urine. In the first 6 hours approximately 60% of the drug is excreted in the urine and this increases to 70% to 80% within 24 hours.

In patients undergoing peritoneal dialysis (2 L/hr), Cefazolin for Injection produced mean serum levels of approximately 10 and 30 mcg/mL after 24 hours’ instillation of a dialyzing solution containing 50 mg/L and 150 mg/L, respectively. Mean peak levels were 29 mcg/mL (range 13 to 44 mcg/mL) with 50 mg/L (3 patients), and 72 mcg/mL (range 26 to 142 mcg/mL) with 150 mg/L (6 patients). Intraperitoneal administration of Cefazolin for Injection is usually well tolerated.

Controlled studies on adult normal volunteers, receiving 1 gram 4 times a day for 10 days, monitoring CBC, SGOT, SGPT, bilirubin, alkaline phosphatase, BUN, creatinine and urinalysis, indicated no clinically significant changes attributed to Cefazolin for Injection.

Indications and Usage (INDICATIONS AND USAGE)

Cefazolin for Injection, USP is indicated in the treatment of the following serious infections due to susceptible organisms:

Respiratory Tract Infections:  due to S. penumoniae, Klebsiella species, H. Influenzae, S. aureus (penicillin-sensitive and penicillin-resistant) and group A beta-hemolytic streptococci. Injectable benzathine penicillin is considered to be the drug of choice in treatment and prevention of streptococcal infections, including the prophylaxis of rheumatic fever.

Cefazolin for Injection, USP is effective in the eradication of streptococci from the nasopharynx; however, data establishing the efficacy of Cefazolin for Injection, USP in the subsequent prevention of rheumatic fever are not available.

Urinary Tract Infections: due to E. coli, P. mirabilis, Klebsiella species, and some strains of enterobacter and enterococci.

Skin and Skin Structure Infections: due to S. aureus (penicillin-sensitive and penicillin-resistant), group A beta-hemolytic streptococci, and other strains of streptococci.

Biliary Tract Infections: due to E. coli, various strains of streptococci, P. mirabilis, Klebsiella species and S. aureus.

Bone and Joint Infections: due to S. aureus.

Genital Infections: (i.e., prostatitis, epididymitis) due to E. coli, P. mirabilis, Klebsiella species, and some strains of enterococci.

Septicemia: due to S. pneumoniae, S. aureus (penicillin-sensitive and penicillin-resistant), P. mirabilis, E. coli, and Klebsiella species.

Endocarditis: due to S. aureus (penicillin-sensitive and penicillin-resistant) and group A beta-hemolytic streptococci.

Perioperative Prophylaxis: The prophylactic administration of Cefazolin for Injection, USP preoperatively, intraoperatively and postoperatively may reduce the incidence of certain postoperative infections in patients undergoing surgical procedures which are classified as contaminated or potentially contaminated (e.g., vaginal hysterectomy, and cholecystectomy in high‑risk patients such as those older than 70 years, with acute cholecystitis, obstructive jaundice or common duct bile stones).

The perioperative use of Cefazolin for Injection, USP may also be effective in surgical patients in whom infection at the operative site would present a serious risk (e.g., during open-heart surgery and prosthetic arthroplasty).

The prophylactic administration of Cefazolin for Injection, USP should usually be discontinued within a 24 hour period after the surgical procedure. In surgery where the occurrence of infection may be particularly devastating (e.g., open-heart surgery and prosthetic arthroplasty), the prophylactic administration of Cefazolin for Injection, USP may be continued for 3 to 5 days following the completion of surgery.

If there are signs of infection, specimens for cultures should be obtained for the identification of the causative organism so that appropriate therapy may be instituted (see DOSAGE AND ADMINISTRATION ).

To reduce the development of drug-resistant bacteria and maintain the effectiveness of Cefazolin for Injection, USP and other antibacterial drugs, Cefazolin for Injection, USP should be used only to treat or prevent infections that are proven or strongly suspected to be caused by susceptible bacteria. When culture and susceptibility information are available, they should be considered in selecting or modifying antibacterial therapy. In the absence of such data, local epidemiology and susceptibility patterns may contribute to the empiric selection of therapy.

Antimicrobial Activity

Cefazolin has been shown to be active against most isolates of the following microorganisms, both in vitro and in clinical infections as described in the  INDICATIONS AND USAGE (1 ) section:

Gram-positive Bacteria

Staphylococcus aureus

Staphylococcus epidermidis

Streptococcus agalactiae

Streptococcus  pneumoniae

Streptococcus pyogenes

Methicillin-resistant staphylococci are uniformly resistant to cefazolin.

Gram-negative Bacteria

Escherichia coli

Proteus mirabilis

Most isolates of indole positive Proteus (Proteus vulgaris), Enterobacter spp., Morganella morganii, Providencia rettgeri, Serratia spp., and Pseudomonas spp. are resistant to cefazolin.

Principal Display Panel (PRINCIPAL DISPLAY PANEL)

NDC72572-056-01     Rx Only

Cefazolin

for Injection, USP

PHARMACY BULK PACKAGE

NOT FOR DIRECT INFUSION

10 grams per

Pharmacy Bulk Package

NOT TO BE DISPENSED AS A UNIT


For Intravenous use ONLY





NDC72572-056-10     Rx Only

Cefazolin

for Injection, USP

PHARMACY BULK PACKAGE

NOT FOR DIRECT INFUSION

10 grams per

Pharmacy Bulk Package

THIS PACKAGE IS NOT INTENDED TO BE DISPENSED AS A UNIT


For Intravenous use

10 x 10 g Vials

Information for Patients

Patients should be counseled that antibacterial drugs including Cefazolin for Injection should only be used to treat bacterial infections. They do not treat viral infections (e.g., the common cold). When Cefazolin for Injection is prescribed to treat a bacterial infection, patients should be told that although it is common to feel better early in the course of therapy, the medication should be taken exactly as directed. Skipping doses or not completing the full course of therapy may: (1) decrease the effectiveness of the immediate treatment, and (2) increase the likelihood that bacteria will develop resistance and will not be treatable by Cefazolin for Injection or other antibacterial drugs in the future.

Carcinogenesis/mutagenesis (Carcinogenesis/Mutagenesis)

Mutagenicity studies and long-term studies in animals to determine the carcinogenic potential of Cefazolin for Injection have not been performed.

Intravenous Administration

Intermittent or continuous infusion: Dilute reconstituted Cefazolin for Injection, USP in 50 to 100 mL of one of the following solutions:

Sodium Chloride Injection, USP

5% or 10% Dextrose Injection, USP

5% Dextrose in Lactated Ringer’s Injection, USP

5% Dextrose and 0.9% Sodium Chloride Injection, USP

5% Dextrose and 0.45% Sodium Chloride Injection, USP

5% Dextrose and 0.2% Sodium Chloride Injection, USP

Lactated Ringer’s Injection, USP

Invert Sugar 5% or 10% in Sterile Water for Injection

Ringer’s Injection, USP

5% Sodium Bicarbonate Injection, USP

When diluted according to the instructions above, cefazolin is stable for 24 hours at room temperature or for 10 days if stored under refrigeration (5ºC or 41ºF).

Prior to administration parenteral drug products should be inspected visually for particulate matter and discoloration whenever solution and container permit.

Susceptibility Test Methods

For specific information regarding susceptibility test interpretive criteria and associated test methods and quality control standards recognized by FDA for this drug, please see: https://www.fda.gov/STIC.

Perioperative Prophylactic Use

To prevent postoperative infection in contaminated or potentially contaminated surgery, recommended doses are:

  • 1 gram IV administered ½ hour to 1 hour prior to the start of surgery.
  • For lengthy operative procedures (e.g., 2 hours or more), 500 mg to 1 gram IV during surgery (administration modified depending on the duration of the operative procedure).
  • 500 mg to 1 gram IV every 6 to 8 hours for 24 hours postoperatively.

It is important that (1) the preoperative dose be given just (1/2 to 1 hour) prior to the start of surgery so that adequate antibiotic levels are present in the serum and tissues at the time of initial surgical incision; and (2) Cefazolin for Injection be administered, if necessary, at appropriate intervals during surgery to provide sufficient levels of the antibiotic at the anticipated moments of greatest exposure to infective organisms.

In surgery where the occurrence of infection may be particularly devastating (e.g., open-heart surgery and prosthetic arthroplasty), the prophylactic administration of Cefazolin for Injection may be continued for 3 to 5 days following the completion of surgery.

Drug/laboratory Test Interactions (Drug/Laboratory Test Interactions)

A false-positive reaction for glucose in the urine may occur with Benedict’s solution, Fehling’s solution or with CLINITEST® tablets, but not with enzyme-based tests such as CLINISTIX®.

Positive direct and indirect antiglobulin (Coombs) tests have occurred; these may also occur in neonates whose mothers received cephalosporins before delivery.

Preparation of Parenteral Solution

Parenteral drug products should be SHAKEN WELL when reconstituted, and inspected visually for particulate matter prior to administration. If particulate matter is evident in reconstituted fluids, the drug solutions should be discarded.

Reconstituted solutions may range in color from pale yellow to yellow without a change in potency.

Directions for Proper Use of A Pharmacy Bulk Package (Directions for Proper Use of a Pharmacy Bulk Package)

Not for direct infusion. This Pharmacy Bulk Package is for use in a hospital pharmacy admixture service only in a suitable work area, such as a laminar flow hood. Using aseptic technique, the container closure may be penetrated only one time after reconstitution using a suitable sterile dispensing set or transfer device that allows measured dispensing of the contents. Use of a syringe and needle is not recommended as it may cause leakage. The withdrawal of container contents should be accomplished without delay. However, should this not be possible, a maximum time of 4 HOURS from initial closure entry is permitted to complete fluid transfer operations. This time limit should begin with the introduction of the solvent or diluent into the Pharmacy Bulk Package. DISCARD ANY UNUSED PORTION AFTER 4 HOURS.

Pharmacy Bulk Package

Add Sterile Water for Injection, Bacteriostatic Water for Injection or Sodium Chloride Injection according to the table below. SHAKE WELL. Use promptly. (Discard vial within 4 hours after initial entry.)

 Pharmacy Bulk Package Size

Amount of Diluent 

Appropriate Concentration 

 Approximate Available Volume

10 grams 

 45 mL

 1 gram/5 mL

51 mL 

96 mL 

1 gram/10 mL 

 102 mL

Dosage Adjustment for Patients With Reduced Renal Function (Dosage Adjustment for Patients with Reduced Renal Function)

Cefazolin for Injection may be used in patients with reduced renal function with the following dosage adjustments: Patients with a creatinine clearance of 55 mL/min or greater or a serum creatinine of 1.5 mg % or less can be given full doses. Patients with creatinine clearance rates of 35 to 54 mL/min or serum creatinine of 1.6 to 3 mg % can also be given full doses but dosage should be restricted to at least 8 hour intervals. Patients with creatinine clearance rates of 11 to 34 mL/min or serum creatinine of 3.1 to 4.5 mg % should be given 1/2 the usual dose every 12 hours. Patients with creatinine clearance rates of 10 mL/min or less or serum creatinine of 4.6 mg % or greater should be given 1/2 the usual dose every 18 to 24 hours. All reduced dosage recommendations apply after an initial loading dose appropriate to the severity of the infection. Patients undergoing peritoneal dialysis: See CLINICAL PHARMACOLOGY .


Advanced Ingredient Data


Raw Label Data

All Sections (JSON)