These Highlights Do Not Include All The Information Needed To Use Levoleucovorin Injection Safely And Effectively. See Full Prescribing Information For Levoleucovorin Injection.

These Highlights Do Not Include All The Information Needed To Use Levoleucovorin Injection Safely And Effectively. See Full Prescribing Information For Levoleucovorin Injection.
SPL v1
SPL
SPL Set ID c10b0c18-dd7c-4a76-a79b-b8d38a08ab87
Route
INTRAVENOUS
Published
Effective Date 2022-09-07
Document Type 34391-3 HUMAN PRESCRIPTION DRUG LABEL

Drug Facts

Composition & Product

Active Ingredients
Levoleucovorin (1 mL)
Inactive Ingredients
Water Sodium Chloride Sodium Hydroxide

Identifiers & Packaging

Marketing Status
ANDA Active Since 2023-05-31

Description

Indications and Usage ( 1 ) 01/2020 Dosage and Administration ( 2 ) 11/2020 Contraindications ( 4 ) 01/2020 Warnings and Precautions ( 5 ) 01/2020

Indications and Usage

Levoleucovorin injection is indicated for: rescue after high-dose methotrexate therapy in adult and pediatric patients with osteosarcoma. diminishing the toxicity associated with overdosage of folic acid antagonists or impaired methotrexate elimination in adult and pediatric patients. the treatment of adults with metastatic colorectal cancer in combination with fluorouracil. Limitations of Use: Levoleucovorin injection is not indicated for pernicious anemia and megaloblastic anemia secondary to the lack of vitamin B 12 , because of the risk of progression of neurologic manifestations despite hematologic remission.

Dosage and Administration

For intravenous administration only. Do not administer intrathecally. ( 2.1 ) Rescue After High-Dose Methotrexate Therapy Rescue recommendations are based on methotrexate dose of 12 grams/m 2 administered by intravenous infusion over 4 hours. Initiate rescue at a dose of 7.5 mg (approximately 5 mg/m 2 ) every 6 hours, 24 hours after the beginning of methotrexate infusion. ( 2.3 ) Continue until the methotrexate level is below 5 x 10 -8 M (0.05 micromolar). Adjust dose if necessary based on methotrexate elimination; refer to Full Prescribing Information. ( 2.3 ) Overdosage of Folic Acid Antagonists or Impaired Methotrexate Elimination Start as soon as possible after methotrexate overdosage or within 24 hours of delayed methotrexate elimination. ( 2.4 ) Administer levoleucovorin injection 7.5 mg (approximately 5 mg/m 2 ) intravenously every 6 hours until methotrexate level is less than 5 x 10 -8 M (0.05 micromolar). ( 2.4 ) Metastatic Colorectal Cancer in Combination with Fluorouracil The following regimens have been used for the treatment of colorectal cancer: Levoleucovorin injection 100 mg/m 2 by intravenous injection over a minimum of 3 minutes, followed by fluorouracil 370 mg/m 2 once daily for 5 consecutive days. ( 2.5 ) Levoleucovorin injection 10 mg/m 2 by intravenous injection followed by fluorouracil 425 mg/m 2 once daily for 5 consecutive days. ( 2.5 ) Administer Fluorouracil and levoleucovorin injection separately to avoid the formation of precipitate. The above five-day courses may be repeated every 4 weeks for 2 courses, then every 4 to 5 weeks, if the patient has recovered from toxicity from the prior course. Do not adjust levoleucovorin injection dosage for toxicity. ( 2.5 )

Warnings and Precautions

Hypercalcemia: Due to calcium content, inject no more than 16 mL (160 mg) of levoleucovorin solution intravenously per minute. ( 5.1 ) Increased Gastrointestinal Toxicities with Fluorouracil : Do not initiate or continue therapy with levoleucovorin and fluorouracil in patients with symptoms of gastrointestinal toxicity until symptoms have resolved. Monitor patients with diarrhea until it has resolved as rapid deterioration leading to death can occur. ( 5.2 , 7 ) Drug Interaction with Trimethoprim-Sulfamethoxazole : Increased rates of treatment failure and morbidity with concomitant use of d,l- leucovorin with trimethoprim-sulfamethoxazole for Pneumocystis jiroveci pneumonia in patients with HIV. ( 5.3 )

Contraindications

Levoleucovorin is contraindicated in patients who have had severe hypersensitivity to leucovorin products, folic acid or folinic acid [see Adverse Reactions ( 6.2 )] .

Adverse Reactions

The following clinically significant adverse reactions are described elsewhere in the labeling: Hypercalcemia [see Warnings and Precautions ( 5.1 )] Increased gastrointestinal toxicities with fluorouracil [see Warnings and Precautions ( 5.2 )]

Storage and Handling

Levoleucovorin injection is a sterile colorless to faint yellow solution in a single-dose vial available as: 175 mg/17.5 mL (10 mg/mL) solution – NDC 14335-340-01 250 mg/25 mL (10 mg/mL) solution – NDC 14335-341-01 Store in refrigerator at 2°C to 8°C (36°F to 46°F). Protect from light. Store in carton until contents are used. Manufactured by: Hainan Poly Pharm. Co., Ltd. Guilinyang Economic Development Zone, Haikou, Hainan, China, 571127

How Supplied

Levoleucovorin injection is a sterile colorless to faint yellow solution in a single-dose vial available as: 175 mg/17.5 mL (10 mg/mL) solution – NDC 14335-340-01 250 mg/25 mL (10 mg/mL) solution – NDC 14335-341-01 Store in refrigerator at 2°C to 8°C (36°F to 46°F). Protect from light. Store in carton until contents are used. Manufactured by: Hainan Poly Pharm. Co., Ltd. Guilinyang Economic Development Zone, Haikou, Hainan, China, 571127


Medication Information

Warnings and Precautions

Hypercalcemia: Due to calcium content, inject no more than 16 mL (160 mg) of levoleucovorin solution intravenously per minute. ( 5.1 ) Increased Gastrointestinal Toxicities with Fluorouracil : Do not initiate or continue therapy with levoleucovorin and fluorouracil in patients with symptoms of gastrointestinal toxicity until symptoms have resolved. Monitor patients with diarrhea until it has resolved as rapid deterioration leading to death can occur. ( 5.2 , 7 ) Drug Interaction with Trimethoprim-Sulfamethoxazole : Increased rates of treatment failure and morbidity with concomitant use of d,l- leucovorin with trimethoprim-sulfamethoxazole for Pneumocystis jiroveci pneumonia in patients with HIV. ( 5.3 )

Indications and Usage

Levoleucovorin injection is indicated for: rescue after high-dose methotrexate therapy in adult and pediatric patients with osteosarcoma. diminishing the toxicity associated with overdosage of folic acid antagonists or impaired methotrexate elimination in adult and pediatric patients. the treatment of adults with metastatic colorectal cancer in combination with fluorouracil. Limitations of Use: Levoleucovorin injection is not indicated for pernicious anemia and megaloblastic anemia secondary to the lack of vitamin B 12 , because of the risk of progression of neurologic manifestations despite hematologic remission.

Dosage and Administration

For intravenous administration only. Do not administer intrathecally. ( 2.1 ) Rescue After High-Dose Methotrexate Therapy Rescue recommendations are based on methotrexate dose of 12 grams/m 2 administered by intravenous infusion over 4 hours. Initiate rescue at a dose of 7.5 mg (approximately 5 mg/m 2 ) every 6 hours, 24 hours after the beginning of methotrexate infusion. ( 2.3 ) Continue until the methotrexate level is below 5 x 10 -8 M (0.05 micromolar). Adjust dose if necessary based on methotrexate elimination; refer to Full Prescribing Information. ( 2.3 ) Overdosage of Folic Acid Antagonists or Impaired Methotrexate Elimination Start as soon as possible after methotrexate overdosage or within 24 hours of delayed methotrexate elimination. ( 2.4 ) Administer levoleucovorin injection 7.5 mg (approximately 5 mg/m 2 ) intravenously every 6 hours until methotrexate level is less than 5 x 10 -8 M (0.05 micromolar). ( 2.4 ) Metastatic Colorectal Cancer in Combination with Fluorouracil The following regimens have been used for the treatment of colorectal cancer: Levoleucovorin injection 100 mg/m 2 by intravenous injection over a minimum of 3 minutes, followed by fluorouracil 370 mg/m 2 once daily for 5 consecutive days. ( 2.5 ) Levoleucovorin injection 10 mg/m 2 by intravenous injection followed by fluorouracil 425 mg/m 2 once daily for 5 consecutive days. ( 2.5 ) Administer Fluorouracil and levoleucovorin injection separately to avoid the formation of precipitate. The above five-day courses may be repeated every 4 weeks for 2 courses, then every 4 to 5 weeks, if the patient has recovered from toxicity from the prior course. Do not adjust levoleucovorin injection dosage for toxicity. ( 2.5 )

Contraindications

Levoleucovorin is contraindicated in patients who have had severe hypersensitivity to leucovorin products, folic acid or folinic acid [see Adverse Reactions ( 6.2 )] .

Adverse Reactions

The following clinically significant adverse reactions are described elsewhere in the labeling: Hypercalcemia [see Warnings and Precautions ( 5.1 )] Increased gastrointestinal toxicities with fluorouracil [see Warnings and Precautions ( 5.2 )]

Storage and Handling

Levoleucovorin injection is a sterile colorless to faint yellow solution in a single-dose vial available as: 175 mg/17.5 mL (10 mg/mL) solution – NDC 14335-340-01 250 mg/25 mL (10 mg/mL) solution – NDC 14335-341-01 Store in refrigerator at 2°C to 8°C (36°F to 46°F). Protect from light. Store in carton until contents are used. Manufactured by: Hainan Poly Pharm. Co., Ltd. Guilinyang Economic Development Zone, Haikou, Hainan, China, 571127

How Supplied

Levoleucovorin injection is a sterile colorless to faint yellow solution in a single-dose vial available as: 175 mg/17.5 mL (10 mg/mL) solution – NDC 14335-340-01 250 mg/25 mL (10 mg/mL) solution – NDC 14335-341-01 Store in refrigerator at 2°C to 8°C (36°F to 46°F). Protect from light. Store in carton until contents are used. Manufactured by: Hainan Poly Pharm. Co., Ltd. Guilinyang Economic Development Zone, Haikou, Hainan, China, 571127

Description

Indications and Usage ( 1 ) 01/2020 Dosage and Administration ( 2 ) 11/2020 Contraindications ( 4 ) 01/2020 Warnings and Precautions ( 5 ) 01/2020

Section 42229-5

Impaired Methotrexate Elimination or Renal Impairment

Decreased methotrexate elimination or renal impairment which are clinically important but less severe than the abnormalities described in Table 1 can occur following methotrexate administration. If toxicity associated with methotrexate is observed, in subsequent courses extend levoleucovorin injection rescue for an additional 24 hours (total of 14 doses over 84 hours).

Section 43683-2
Indications and Usage ( 1) 01/2020
Dosage and Administration ( 2) 11/2020
Contraindications ( 4) 01/2020
Warnings and Precautions ( 5) 01/2020

11 Description

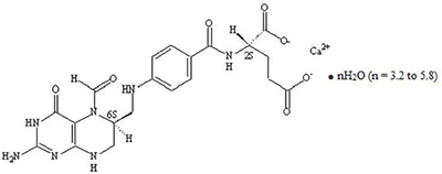
Levoleucovorin is a folate analog and the pharmacologically active levo-isomer of d,l-leucovorin. The chemical name of levoleucovorin calcium is calcium (6S)-N-{4-[[(2-amino-5-formyl-1,4,5,6,7,8-hexahydro-4-oxo-6-pteridinyl)methyl] amino]benzoyl}-L-glutamate mixed hydrates. The molecular formula is C 20H 21CaN 7O 7●nH 2O (n = 3.2 to 5.8) and the molecular weight is 569.1 to 616.0. The molecular structure is:

Levoleucovorin injection, for intravenous use is supplied as a colorless to faint yellow solution of either 175 mg levoleucovorin in 17.5 mL or 250 mg levoleucovorin in 25 mL per single-dose vial. Each mL contains 10 mg levoleucovorin (equivalent to 10.8 mg levoleucovorin calcium (as mixed hydrates)) and 8.3 mg sodium chloride. Sodium hydroxide is used for pH adjustment to pH 8.2 (6.5 to 8.5).

5.1 Hypercalcemia

Because of the calcium content of the levoleucovorin solution, inject no more than 16 mL (160 mg of levoleucovorin) intravenously per minute.

8.4 Pediatric Use

The safety and effectiveness of levoleucovorin have been established in pediatric patients for rescue after high-dose methotrexate therapy in osteosarcoma and diminishing the toxicity associated with overdosage of folic acid antagonists or impaired methotrexate elimination. Use of levoleucovorin in pediatric patients is supported by open-label clinical trial data in 16 pediatric patients 6 years of age and older, with additional supporting evidence from literature [see Clinical Studies ( 14.1)].

The safety and effectiveness of levoleucovorin have not been established for the treatment of pediatric patients with advanced metastatic colorectal cancer.

8.5 Geriatric Use

Clinical studies of levoleucovorin in the treatment of osteosarcoma did not include patients aged 65 and over to determine whether they respond differently from younger patients.

In the NCCTG clinical trial of levoleucovorin in combination with fluorouracil for the treatment of metastatic colorectal cancer, no overall differences in safety or effectiveness were observed between patients age 65 years and older and younger patients.

4 Contraindications

Levoleucovorin is contraindicated in patients who have had severe hypersensitivity to leucovorin products, folic acid or folinic acid [see Adverse Reactions ( 6.2)] .

6 Adverse Reactions

The following clinically significant adverse reactions are described elsewhere in the labeling:

  • Hypercalcemia [see Warnings and Precautions ( 5.1)]
  • Increased gastrointestinal toxicities with fluorouracil [see Warnings and Precautions ( 5.2)]
12.3 Pharmacokinetics

The pharmacokinetics of levoleucovorin after intravenous administration of a 15 mg dose was studied in healthy subjects. The mean maximum serum total tetrahydrofolate (total-THF) concentrations was 1722 ng/mL (CV 39%) and the mean maximum serum (6S)-5-methyl-5,6,7,8-tetrahydrofolate concentrations was 275 ng/mL (CV 18%) observed around 0.9 hours post injection.

1 Indications and Usage

Levoleucovorin injection is indicated for:

  • rescue after high-dose methotrexate therapy in adult and pediatric patients with osteosarcoma.
  • diminishing the toxicity associated with overdosage of folic acid antagonists or impaired methotrexate elimination in adult and pediatric patients.
  • the treatment of adults with metastatic colorectal cancer in combination with fluorouracil.

Limitations of Use:

Levoleucovorin injection is not indicated for pernicious anemia and megaloblastic anemia secondary to the lack of vitamin B 12 , because of the risk of progression of neurologic manifestations despite hematologic remission.

18 Principal Display Panel

5 Warnings and Precautions
  • Hypercalcemia: Due to calcium content, inject no more than 16 mL (160 mg) of levoleucovorin solution intravenously per minute. ( 5.1)
  • Increased Gastrointestinal Toxicities with Fluorouracil: Do not initiate or continue therapy with levoleucovorin and fluorouracil in patients with symptoms of gastrointestinal toxicity until symptoms have resolved. Monitor patients with diarrhea until it has resolved as rapid deterioration leading to death can occur. ( 5.2, 7)
  • Drug Interaction with Trimethoprim-Sulfamethoxazole: Increased rates of treatment failure and morbidity with concomitant use of d,l-leucovorin with trimethoprim-sulfamethoxazole for Pneumocystis jiroveci pneumonia in patients with HIV. ( 5.3)
2 Dosage and Administration

For intravenous administration only. Do not administer intrathecally. ( 2.1)

Rescue After High-Dose Methotrexate Therapy

  • Rescue recommendations are based on methotrexate dose of 12 grams/m 2 administered by intravenous infusion over 4 hours. Initiate rescue at a dose of 7.5 mg (approximately 5 mg/m 2) every 6 hours, 24 hours after the beginning of methotrexate infusion. ( 2.3)
  • Continue until the methotrexate level is below 5 x 10 -8 M (0.05 micromolar). Adjust dose if necessary based on methotrexate elimination; refer to Full Prescribing Information. ( 2.3)

Overdosage of Folic Acid Antagonists or Impaired Methotrexate Elimination

  • Start as soon as possible after methotrexate overdosage or within 24 hours of delayed methotrexate elimination. ( 2.4)
  • Administer levoleucovorin injection 7.5 mg (approximately 5 mg/m 2) intravenously every 6 hours until methotrexate level is less than 5 x 10 -8 M (0.05 micromolar). ( 2.4)



Metastatic Colorectal Cancer in Combination with Fluorouracil

  • The following regimens have been used for the treatment of colorectal cancer:
    • Levoleucovorin injection 100 mg/m 2 by intravenous injection over a minimum of 3 minutes, followed by fluorouracil 370 mg/m 2 once daily for 5 consecutive days. ( 2.5)
    • Levoleucovorin injection 10 mg/m 2 by intravenous injection followed by fluorouracil 425 mg/m 2 once daily for 5 consecutive days. ( 2.5)
  • Administer Fluorouracil and levoleucovorin injection separately to avoid the formation of precipitate.
  • The above five-day courses may be repeated every 4 weeks for 2 courses, then every 4 to 5 weeks, if the patient has recovered from toxicity from the prior course.
  • Do not adjust levoleucovorin injection dosage for toxicity. ( 2.5)
3 Dosage Forms and Strengths
  • Injection: 175 mg/17.5 mL (10 mg/mL) or 250 mg/25 mL (10 mg/mL) of levoleucovorin sterile colorless to faint yellow solution in a single-dose vial.
6.2 Postmarketing Experience

The following adverse reaction have been identified during postapproval use of levoleucovorin products. Because these reactions are reported from a population of uncertain size, it is not always possible to reliably estimate their frequency or establish a causal relationship to drug exposure.

Dermatologic: pruritus, rash

Respiratory: dyspnea

Other: temperature change, rigors, allergic reactions

2.1 Important Use Information

Levoleucovorin injection is indicated for intravenous administration only . Do not administer intrathecally.

6.1 Clinical Trials Experience

Because clinical trials are conducted under widely varying conditions, adverse reaction rates observed in the clinical trials of a drug cannot be directly compared to rates in the clinical trials of another drug and may not reflect the rates observed in practice.

14.2 Metastatic Colorectal Cancer

In a randomized clinical study conducted by Mayo Clinic and North Central Cancer Treatment Group (NCCTG) in patients with metastatic colorectal cancer comparing d,l-leucovorin 200 mg/m 2 and fluorouracil 370 mg/m 2 versus d,l-leucovorin 20 mg/m 2 and fluorouracil 425 mg/m 2 versus fluorouracil 500 mg/m 2, with all drugs administered by intravenous infusion daily for 5 days every 28 to 35 days, response rates were 26% (p=0.04 versus fluorouracil alone), 43% (p=0.001 versus fluorouracil alone) and 10%, respectively. Respective median survival times were 12.2 months (p=0.037), 12 months (p=0.050), and 7.7 months. The low dose d,l-leucovorin regimen was associated with a statistically significant improvement in weight gain of more than 5%, relief of symptoms, and improvement in performance status. The high dose d,l-leucovorin regimen was associated with a statistically significant improvement in performance status and trended toward improvement in weight gain and in relief of symptoms but these were not statistically significant.

In a second randomized clinical study conducted by Mayo Clinic and NCCTG, the fluorouracil alone arm was replaced by a regimen of sequentially administered methotrexate, fluorouracil, and d,l-leucovorin. Response rates with d,l-leucovorin 200 mg/m 2 and fluorouracil 370 mg/m 2 versus d,l-leucovorin 20 mg/m 2 and fluorouracil 425 mg/m 2 versus sequential methotrexate and fluorouracil and d,l-leucovorin were respectively 31% (p≤0.01), 42% (p≤0.01), and 14%. Respective median survival times were 12.7 months (p≤0.04), 12.7 months (p≤0.01), and 8.4 months. There was no statistically significant difference in weight gain of more than 5% or in improvement in performance status was seen between the treatment arms.

A randomized controlled trial conducted by NCCTG in patients with metastatic colorectal cancer failed to show superiority of a regimen of fluorouracil + levoleucovorin to fluorouracil + d,l-leucovorin in overall survival. Patients were randomized to fluorouracil 370 mg/m 2 intravenously and levoleucovorin 100 mg/m 2 intravenously, both daily for 5 days, or to fluorouracil 370 mg/m 2 intravenously and d,l-leucovorin 200 mg/m 2 intravenously, both daily for 5 days. Treatment was repeated week 4 and week 8, and then every 5 weeks until disease progression or unacceptable toxicity.

2.6 Preparation for Administration
  • Levoleucovorin contains no preservative. Observe strict aseptic technique during reconstitution of the drug product. Discard unused portion.
  • Levoleucovorin solutions may be further diluted to concentrations of 0.5 mg per mL in 0.9% Sodium Chloride Injection, USP or 5% Dextrose Injection, USP. Do not store the product diluted using 0.9% Sodium Chloride Injection, USP or 5% Dextrose Injection, USP for more than 4 hours at room temperature.
  • Visually inspect the diluted solution for particulate matter and discoloration prior to administration. Do not use if cloudiness or precipitate is observed.
  • Inject no more than 16 mL of levoleucovorin injection (160 mg of levoleucovorin) intravenously per minute, because of the calcium content of the levoleucovorin solution.
16 How Supplied/storage and Handling

Levoleucovorin injection is a sterile colorless to faint yellow solution in a single-dose vial available as:

175 mg/17.5 mL (10 mg/mL) solution – NDC 14335-340-01

250 mg/25 mL (10 mg/mL) solution – NDC 14335-341-01

Store in refrigerator at 2°C to 8°C (36°F to 46°F). Protect from light. Store in carton until contents are used.

Manufactured by:

Hainan Poly Pharm. Co., Ltd.

Guilinyang Economic Development Zone, Haikou, Hainan, China, 571127

5.3 Drug Interaction With Trimethoprim Sulfamethoxazole

The concomitant use of d,l-leucovorin with trimethoprim-sulfamethoxazole for the acute treatment of Pneumocystis jiroveci pneumonia in patients with HIV infection was associated with increased rates of treatment failure and morbidity [see Drug Interactions ( 7)] .

13.1 Carcinogenesis, Mutagenesis, Impairment of Fertility

No studies have been conducted to evaluate the potential of levoleucovorin for carcinogenesis, mutagenesis and impairment of fertility.

5.2 Increased Gastrointestinal Toxicities With Fluorouracil

Leucovorin products increase the toxicities of fluorouracil [see Drug Interactions ( 7)] . Gastrointestinal toxicities, including stomatitis and diarrhea, occur more commonly and may be of greater severity and of prolonged duration. Deaths from severe enterocolitis, diarrhea, and dehydration have occurred in elderly patients receiving weekly d,l-leucovorin and fluorouracil.

Monitor patients for gastrointestinal toxicities. Do not initiate or continue therapy with levoleucovorin and fluorouracil in patients with symptoms of gastrointestinal toxicity until those symptoms have resolved. Monitor patients with diarrhea until resolved, as rapid deterioration leading to death can occur.

2.2 Co Administration of Levoleucovorin Injection With Other Agents

Due to the risk of precipitation, do not co-administer levoleucovorin injection with other agents in the same admixture.

2.3 Recommended Dosage for Rescue After High Dose Methotrexate Therapy

The recommended dosage for levoleucovorin injection is based on a methotrexate dose of 12 grams/m 2 administered by intravenous infusion over 4 hours. Twenty-four hours after starting the methotrexate infusion, initiate levoleucovorin injection at a dose of 7.5 mg (approximately 5 mg/m 2) as an intravenous infusion every 6 hours.

Monitor serum creatinine and methotrexate levels at least once daily. Continue levoleucovorin injection administration, hydration, and urinary alkalinization (pH of 7 or greater) until the methotrexate level is below 5 x 10 -8 M (0.05 micromolar). Adjust the levoleucovorin injection dose or extend the duration as recommended in Table 1.

Table 1: Recommended Dosage for Levoleucovorin Injection based on Serum Methotrexate and Creatinine Levels
Clinical Situation Laboratory Findings Recommendation

Normal

Methotrexate

Elimination
Serum methotrexate level approximately 10 micromolar at 24 hours after administration, 1 micromolar at 48 hours, and less than 0.2 micromolar at 72 hours Administer 7.5 mg by intravenous infusion every 6 hours for 60 hours (10 doses starting at 24 hours after start of methotrexate infusion).

Delayed Late

Methotrexate

Elimination
Serum methotrexate level remaining above 0.2 micromolar at 72 hours, and more than 0.05 micromolar at 96 hours after administration. Continue 7.5 mg by intravenous infusion every 6 hours until methotrexate level is less than 0.05 micromolar.

Delayed Early

Methotrexate

Elimination and/or

Evidence of Acute

Renal Injury*

Serum methotrexate level of 50 micromolar or more at 24 hours, or 5 micromolar or more at 48 hours after administration

OR

100% or greater increase in serum creatinine level at 24 hours after methotrexate administration (e.g., an increase from 0.5 mg/dL to a level of 1 mg/dL or more).
Administer 75 mg by intravenous infusion every 3 hours until methotrexate level is less than 1 micromolar; then 7.5 mg by intravenous infusion every 3 hours until methotrexate level is less than 0.05 micromolar.

* These patients are likely to develop reversible renal failure. In addition to appropriate levoleucovorin injection therapy, continue hydration and urinary alkalinization and monitor fluid and electrolyte status, until the serum methotrexate level has fallen to below 0.05 micromolar and the renal failure has resolved.

2.5 Dosage in Combination With Fluorouracil for Metastatic Colorectal Cancer

The following regimens have been used for the treatment of colorectal cancer:

  • Levoleucovorin injection 100 mg/m 2 by intravenous injection over a minimum of 3 minutes, followed by fluorouracil at 370 mg/m 2 by intravenous injection, once daily for 5 consecutive days.
  • Levoleucovorin injection 10 mg/m 2 by intravenous injection, followed by fluorouracil 425 mg/m 2 by intravenous injection, once daily for 5 consecutive days.

Administer fluorouracil and levoleucovorin injection separately to avoid the formation of a precipitate.

This five-day course may be repeated every 4 weeks for 2 courses, then every 4 to 5 weeks, if the patient has recovered from the toxicity from the prior course. Do not adjust levoleucovorin injection dosage for toxicity.

Refer to fluorouracil prescribing information for information on fluorouracil dosage and dosage modifications for adverse reactions.

14.1 Rescue After High Dose Methotrexate Therapy in Patients With Osteosarcoma

The efficacy of levoleucovorin rescue following high-dose methotrexate was evaluated in 16 patients aged 6 to 21 years who received 58 courses of therapy for osteogenic sarcoma. High-dose methotrexate was one component of several different combination chemotherapy regimens evaluated across several trials. Methotrexate 12 grams/m 2 as an intravenous infusion over 4 hours was administered to 13 patients, who received levoleucovorin 7.5 mg by intravenous infusion every 6 hours for 60 hours or longer beginning 24 hours after completion of methotrexate. Three patients received methotrexate 12.5 grams/m 2 intravenously over 6 hours, followed by levoleucovorin 7.5 mg by intravenous infusion every 3 hours for 18 doses beginning 12 hours after completion of methotrexate. The mean number of levoleucovorin doses per course was 18.2 and the mean total dose per course was 350 mg. The efficacy of levoleucovorin rescue following high-dose methotrexate was based on the adverse reaction profile [see Adverse Reactions ( 6.1)].

2.4 Recommended Dosage for Overdosage of Folic Acid Antagonists Or Impaired Methotrexate Elimination

Start levoleucovorin injection as soon as possible after an overdosage of methotrexate or within 24 hours of methotrexate administration when methotrexate elimination is impaired. As the time interval between methotrexate administration and levoleucovorin injection increases, the effectiveness of levoleucovorin injection to diminish methotrexate toxicity may decrease. Administer levoleucovorin injection 7.5 mg (approximately 5 mg/m 2 ) by intravenous infusion every 6 hours until the serum methotrexate level is less than 5 x 10 -8 M (0.05 micromolar).

Monitor serum creatinine and methotrexate levels at least every 24 hours. Increase the dosage of levoleucovorin injection to 50 mg/m 2 intravenously every 3 hours and continue levoleucovorin injection at this dosage until the methotrexate level is less than 5 x 10 -8 M for the following:

  • if serum creatinine at 24-hours increases 50% or more compared to baseline
  • if the methotrexate level at 24-hours is greater than 5 x 10 -6 M
  • if the methotrexate level at 48-hours is greater than 9 x 10 -7 M,

Continue concomitant hydration (3 L per day) and urinary alkalinization with sodium bicarbonate. Adjust the sodium bicarbonate dose to maintain urine pH at 7 or greater.


Structured Label Content

Section 42229-5 (42229-5)

Impaired Methotrexate Elimination or Renal Impairment

Decreased methotrexate elimination or renal impairment which are clinically important but less severe than the abnormalities described in Table 1 can occur following methotrexate administration. If toxicity associated with methotrexate is observed, in subsequent courses extend levoleucovorin injection rescue for an additional 24 hours (total of 14 doses over 84 hours).

Section 43683-2 (43683-2)
Indications and Usage ( 1) 01/2020
Dosage and Administration ( 2) 11/2020
Contraindications ( 4) 01/2020
Warnings and Precautions ( 5) 01/2020

11 Description (11 DESCRIPTION)

Levoleucovorin is a folate analog and the pharmacologically active levo-isomer of d,l-leucovorin. The chemical name of levoleucovorin calcium is calcium (6S)-N-{4-[[(2-amino-5-formyl-1,4,5,6,7,8-hexahydro-4-oxo-6-pteridinyl)methyl] amino]benzoyl}-L-glutamate mixed hydrates. The molecular formula is C 20H 21CaN 7O 7●nH 2O (n = 3.2 to 5.8) and the molecular weight is 569.1 to 616.0. The molecular structure is:

Levoleucovorin injection, for intravenous use is supplied as a colorless to faint yellow solution of either 175 mg levoleucovorin in 17.5 mL or 250 mg levoleucovorin in 25 mL per single-dose vial. Each mL contains 10 mg levoleucovorin (equivalent to 10.8 mg levoleucovorin calcium (as mixed hydrates)) and 8.3 mg sodium chloride. Sodium hydroxide is used for pH adjustment to pH 8.2 (6.5 to 8.5).

5.1 Hypercalcemia

Because of the calcium content of the levoleucovorin solution, inject no more than 16 mL (160 mg of levoleucovorin) intravenously per minute.

8.4 Pediatric Use

The safety and effectiveness of levoleucovorin have been established in pediatric patients for rescue after high-dose methotrexate therapy in osteosarcoma and diminishing the toxicity associated with overdosage of folic acid antagonists or impaired methotrexate elimination. Use of levoleucovorin in pediatric patients is supported by open-label clinical trial data in 16 pediatric patients 6 years of age and older, with additional supporting evidence from literature [see Clinical Studies ( 14.1)].

The safety and effectiveness of levoleucovorin have not been established for the treatment of pediatric patients with advanced metastatic colorectal cancer.

8.5 Geriatric Use

Clinical studies of levoleucovorin in the treatment of osteosarcoma did not include patients aged 65 and over to determine whether they respond differently from younger patients.

In the NCCTG clinical trial of levoleucovorin in combination with fluorouracil for the treatment of metastatic colorectal cancer, no overall differences in safety or effectiveness were observed between patients age 65 years and older and younger patients.

4 Contraindications (4 CONTRAINDICATIONS)

Levoleucovorin is contraindicated in patients who have had severe hypersensitivity to leucovorin products, folic acid or folinic acid [see Adverse Reactions ( 6.2)] .

6 Adverse Reactions (6 ADVERSE REACTIONS)

The following clinically significant adverse reactions are described elsewhere in the labeling:

  • Hypercalcemia [see Warnings and Precautions ( 5.1)]
  • Increased gastrointestinal toxicities with fluorouracil [see Warnings and Precautions ( 5.2)]
12.3 Pharmacokinetics

The pharmacokinetics of levoleucovorin after intravenous administration of a 15 mg dose was studied in healthy subjects. The mean maximum serum total tetrahydrofolate (total-THF) concentrations was 1722 ng/mL (CV 39%) and the mean maximum serum (6S)-5-methyl-5,6,7,8-tetrahydrofolate concentrations was 275 ng/mL (CV 18%) observed around 0.9 hours post injection.

1 Indications and Usage (1 INDICATIONS AND USAGE)

Levoleucovorin injection is indicated for:

  • rescue after high-dose methotrexate therapy in adult and pediatric patients with osteosarcoma.
  • diminishing the toxicity associated with overdosage of folic acid antagonists or impaired methotrexate elimination in adult and pediatric patients.
  • the treatment of adults with metastatic colorectal cancer in combination with fluorouracil.

Limitations of Use:

Levoleucovorin injection is not indicated for pernicious anemia and megaloblastic anemia secondary to the lack of vitamin B 12 , because of the risk of progression of neurologic manifestations despite hematologic remission.

18 Principal Display Panel

5 Warnings and Precautions (5 WARNINGS AND PRECAUTIONS)
  • Hypercalcemia: Due to calcium content, inject no more than 16 mL (160 mg) of levoleucovorin solution intravenously per minute. ( 5.1)
  • Increased Gastrointestinal Toxicities with Fluorouracil: Do not initiate or continue therapy with levoleucovorin and fluorouracil in patients with symptoms of gastrointestinal toxicity until symptoms have resolved. Monitor patients with diarrhea until it has resolved as rapid deterioration leading to death can occur. ( 5.2, 7)
  • Drug Interaction with Trimethoprim-Sulfamethoxazole: Increased rates of treatment failure and morbidity with concomitant use of d,l-leucovorin with trimethoprim-sulfamethoxazole for Pneumocystis jiroveci pneumonia in patients with HIV. ( 5.3)
2 Dosage and Administration (2 DOSAGE AND ADMINISTRATION)

For intravenous administration only. Do not administer intrathecally. ( 2.1)

Rescue After High-Dose Methotrexate Therapy

  • Rescue recommendations are based on methotrexate dose of 12 grams/m 2 administered by intravenous infusion over 4 hours. Initiate rescue at a dose of 7.5 mg (approximately 5 mg/m 2) every 6 hours, 24 hours after the beginning of methotrexate infusion. ( 2.3)
  • Continue until the methotrexate level is below 5 x 10 -8 M (0.05 micromolar). Adjust dose if necessary based on methotrexate elimination; refer to Full Prescribing Information. ( 2.3)

Overdosage of Folic Acid Antagonists or Impaired Methotrexate Elimination

  • Start as soon as possible after methotrexate overdosage or within 24 hours of delayed methotrexate elimination. ( 2.4)
  • Administer levoleucovorin injection 7.5 mg (approximately 5 mg/m 2) intravenously every 6 hours until methotrexate level is less than 5 x 10 -8 M (0.05 micromolar). ( 2.4)



Metastatic Colorectal Cancer in Combination with Fluorouracil

  • The following regimens have been used for the treatment of colorectal cancer:
    • Levoleucovorin injection 100 mg/m 2 by intravenous injection over a minimum of 3 minutes, followed by fluorouracil 370 mg/m 2 once daily for 5 consecutive days. ( 2.5)
    • Levoleucovorin injection 10 mg/m 2 by intravenous injection followed by fluorouracil 425 mg/m 2 once daily for 5 consecutive days. ( 2.5)
  • Administer Fluorouracil and levoleucovorin injection separately to avoid the formation of precipitate.
  • The above five-day courses may be repeated every 4 weeks for 2 courses, then every 4 to 5 weeks, if the patient has recovered from toxicity from the prior course.
  • Do not adjust levoleucovorin injection dosage for toxicity. ( 2.5)
3 Dosage Forms and Strengths (3 DOSAGE FORMS AND STRENGTHS)
  • Injection: 175 mg/17.5 mL (10 mg/mL) or 250 mg/25 mL (10 mg/mL) of levoleucovorin sterile colorless to faint yellow solution in a single-dose vial.
6.2 Postmarketing Experience

The following adverse reaction have been identified during postapproval use of levoleucovorin products. Because these reactions are reported from a population of uncertain size, it is not always possible to reliably estimate their frequency or establish a causal relationship to drug exposure.

Dermatologic: pruritus, rash

Respiratory: dyspnea

Other: temperature change, rigors, allergic reactions

2.1 Important Use Information

Levoleucovorin injection is indicated for intravenous administration only . Do not administer intrathecally.

6.1 Clinical Trials Experience

Because clinical trials are conducted under widely varying conditions, adverse reaction rates observed in the clinical trials of a drug cannot be directly compared to rates in the clinical trials of another drug and may not reflect the rates observed in practice.

14.2 Metastatic Colorectal Cancer

In a randomized clinical study conducted by Mayo Clinic and North Central Cancer Treatment Group (NCCTG) in patients with metastatic colorectal cancer comparing d,l-leucovorin 200 mg/m 2 and fluorouracil 370 mg/m 2 versus d,l-leucovorin 20 mg/m 2 and fluorouracil 425 mg/m 2 versus fluorouracil 500 mg/m 2, with all drugs administered by intravenous infusion daily for 5 days every 28 to 35 days, response rates were 26% (p=0.04 versus fluorouracil alone), 43% (p=0.001 versus fluorouracil alone) and 10%, respectively. Respective median survival times were 12.2 months (p=0.037), 12 months (p=0.050), and 7.7 months. The low dose d,l-leucovorin regimen was associated with a statistically significant improvement in weight gain of more than 5%, relief of symptoms, and improvement in performance status. The high dose d,l-leucovorin regimen was associated with a statistically significant improvement in performance status and trended toward improvement in weight gain and in relief of symptoms but these were not statistically significant.

In a second randomized clinical study conducted by Mayo Clinic and NCCTG, the fluorouracil alone arm was replaced by a regimen of sequentially administered methotrexate, fluorouracil, and d,l-leucovorin. Response rates with d,l-leucovorin 200 mg/m 2 and fluorouracil 370 mg/m 2 versus d,l-leucovorin 20 mg/m 2 and fluorouracil 425 mg/m 2 versus sequential methotrexate and fluorouracil and d,l-leucovorin were respectively 31% (p≤0.01), 42% (p≤0.01), and 14%. Respective median survival times were 12.7 months (p≤0.04), 12.7 months (p≤0.01), and 8.4 months. There was no statistically significant difference in weight gain of more than 5% or in improvement in performance status was seen between the treatment arms.

A randomized controlled trial conducted by NCCTG in patients with metastatic colorectal cancer failed to show superiority of a regimen of fluorouracil + levoleucovorin to fluorouracil + d,l-leucovorin in overall survival. Patients were randomized to fluorouracil 370 mg/m 2 intravenously and levoleucovorin 100 mg/m 2 intravenously, both daily for 5 days, or to fluorouracil 370 mg/m 2 intravenously and d,l-leucovorin 200 mg/m 2 intravenously, both daily for 5 days. Treatment was repeated week 4 and week 8, and then every 5 weeks until disease progression or unacceptable toxicity.

2.6 Preparation for Administration
  • Levoleucovorin contains no preservative. Observe strict aseptic technique during reconstitution of the drug product. Discard unused portion.
  • Levoleucovorin solutions may be further diluted to concentrations of 0.5 mg per mL in 0.9% Sodium Chloride Injection, USP or 5% Dextrose Injection, USP. Do not store the product diluted using 0.9% Sodium Chloride Injection, USP or 5% Dextrose Injection, USP for more than 4 hours at room temperature.
  • Visually inspect the diluted solution for particulate matter and discoloration prior to administration. Do not use if cloudiness or precipitate is observed.
  • Inject no more than 16 mL of levoleucovorin injection (160 mg of levoleucovorin) intravenously per minute, because of the calcium content of the levoleucovorin solution.
16 How Supplied/storage and Handling (16 HOW SUPPLIED/STORAGE AND HANDLING)

Levoleucovorin injection is a sterile colorless to faint yellow solution in a single-dose vial available as:

175 mg/17.5 mL (10 mg/mL) solution – NDC 14335-340-01

250 mg/25 mL (10 mg/mL) solution – NDC 14335-341-01

Store in refrigerator at 2°C to 8°C (36°F to 46°F). Protect from light. Store in carton until contents are used.

Manufactured by:

Hainan Poly Pharm. Co., Ltd.

Guilinyang Economic Development Zone, Haikou, Hainan, China, 571127

5.3 Drug Interaction With Trimethoprim Sulfamethoxazole (5.3 Drug Interaction with Trimethoprim-Sulfamethoxazole)

The concomitant use of d,l-leucovorin with trimethoprim-sulfamethoxazole for the acute treatment of Pneumocystis jiroveci pneumonia in patients with HIV infection was associated with increased rates of treatment failure and morbidity [see Drug Interactions ( 7)] .

13.1 Carcinogenesis, Mutagenesis, Impairment of Fertility

No studies have been conducted to evaluate the potential of levoleucovorin for carcinogenesis, mutagenesis and impairment of fertility.

5.2 Increased Gastrointestinal Toxicities With Fluorouracil (5.2 Increased Gastrointestinal Toxicities with Fluorouracil)

Leucovorin products increase the toxicities of fluorouracil [see Drug Interactions ( 7)] . Gastrointestinal toxicities, including stomatitis and diarrhea, occur more commonly and may be of greater severity and of prolonged duration. Deaths from severe enterocolitis, diarrhea, and dehydration have occurred in elderly patients receiving weekly d,l-leucovorin and fluorouracil.

Monitor patients for gastrointestinal toxicities. Do not initiate or continue therapy with levoleucovorin and fluorouracil in patients with symptoms of gastrointestinal toxicity until those symptoms have resolved. Monitor patients with diarrhea until resolved, as rapid deterioration leading to death can occur.

2.2 Co Administration of Levoleucovorin Injection With Other Agents (2.2 Co-administration of Levoleucovorin Injection with Other Agents)

Due to the risk of precipitation, do not co-administer levoleucovorin injection with other agents in the same admixture.

2.3 Recommended Dosage for Rescue After High Dose Methotrexate Therapy (2.3 Recommended Dosage for Rescue After High-Dose Methotrexate Therapy)

The recommended dosage for levoleucovorin injection is based on a methotrexate dose of 12 grams/m 2 administered by intravenous infusion over 4 hours. Twenty-four hours after starting the methotrexate infusion, initiate levoleucovorin injection at a dose of 7.5 mg (approximately 5 mg/m 2) as an intravenous infusion every 6 hours.

Monitor serum creatinine and methotrexate levels at least once daily. Continue levoleucovorin injection administration, hydration, and urinary alkalinization (pH of 7 or greater) until the methotrexate level is below 5 x 10 -8 M (0.05 micromolar). Adjust the levoleucovorin injection dose or extend the duration as recommended in Table 1.

Table 1: Recommended Dosage for Levoleucovorin Injection based on Serum Methotrexate and Creatinine Levels
Clinical Situation Laboratory Findings Recommendation

Normal

Methotrexate

Elimination
Serum methotrexate level approximately 10 micromolar at 24 hours after administration, 1 micromolar at 48 hours, and less than 0.2 micromolar at 72 hours Administer 7.5 mg by intravenous infusion every 6 hours for 60 hours (10 doses starting at 24 hours after start of methotrexate infusion).

Delayed Late

Methotrexate

Elimination
Serum methotrexate level remaining above 0.2 micromolar at 72 hours, and more than 0.05 micromolar at 96 hours after administration. Continue 7.5 mg by intravenous infusion every 6 hours until methotrexate level is less than 0.05 micromolar.

Delayed Early

Methotrexate

Elimination and/or

Evidence of Acute

Renal Injury*

Serum methotrexate level of 50 micromolar or more at 24 hours, or 5 micromolar or more at 48 hours after administration

OR

100% or greater increase in serum creatinine level at 24 hours after methotrexate administration (e.g., an increase from 0.5 mg/dL to a level of 1 mg/dL or more).
Administer 75 mg by intravenous infusion every 3 hours until methotrexate level is less than 1 micromolar; then 7.5 mg by intravenous infusion every 3 hours until methotrexate level is less than 0.05 micromolar.

* These patients are likely to develop reversible renal failure. In addition to appropriate levoleucovorin injection therapy, continue hydration and urinary alkalinization and monitor fluid and electrolyte status, until the serum methotrexate level has fallen to below 0.05 micromolar and the renal failure has resolved.

2.5 Dosage in Combination With Fluorouracil for Metastatic Colorectal Cancer (2.5 Dosage in Combination with Fluorouracil for Metastatic Colorectal Cancer)

The following regimens have been used for the treatment of colorectal cancer:

  • Levoleucovorin injection 100 mg/m 2 by intravenous injection over a minimum of 3 minutes, followed by fluorouracil at 370 mg/m 2 by intravenous injection, once daily for 5 consecutive days.
  • Levoleucovorin injection 10 mg/m 2 by intravenous injection, followed by fluorouracil 425 mg/m 2 by intravenous injection, once daily for 5 consecutive days.

Administer fluorouracil and levoleucovorin injection separately to avoid the formation of a precipitate.

This five-day course may be repeated every 4 weeks for 2 courses, then every 4 to 5 weeks, if the patient has recovered from the toxicity from the prior course. Do not adjust levoleucovorin injection dosage for toxicity.

Refer to fluorouracil prescribing information for information on fluorouracil dosage and dosage modifications for adverse reactions.

14.1 Rescue After High Dose Methotrexate Therapy in Patients With Osteosarcoma (14.1 Rescue after High-Dose Methotrexate Therapy in Patients with Osteosarcoma)

The efficacy of levoleucovorin rescue following high-dose methotrexate was evaluated in 16 patients aged 6 to 21 years who received 58 courses of therapy for osteogenic sarcoma. High-dose methotrexate was one component of several different combination chemotherapy regimens evaluated across several trials. Methotrexate 12 grams/m 2 as an intravenous infusion over 4 hours was administered to 13 patients, who received levoleucovorin 7.5 mg by intravenous infusion every 6 hours for 60 hours or longer beginning 24 hours after completion of methotrexate. Three patients received methotrexate 12.5 grams/m 2 intravenously over 6 hours, followed by levoleucovorin 7.5 mg by intravenous infusion every 3 hours for 18 doses beginning 12 hours after completion of methotrexate. The mean number of levoleucovorin doses per course was 18.2 and the mean total dose per course was 350 mg. The efficacy of levoleucovorin rescue following high-dose methotrexate was based on the adverse reaction profile [see Adverse Reactions ( 6.1)].

2.4 Recommended Dosage for Overdosage of Folic Acid Antagonists Or Impaired Methotrexate Elimination (2.4 Recommended Dosage for Overdosage of Folic Acid Antagonists or Impaired Methotrexate Elimination)

Start levoleucovorin injection as soon as possible after an overdosage of methotrexate or within 24 hours of methotrexate administration when methotrexate elimination is impaired. As the time interval between methotrexate administration and levoleucovorin injection increases, the effectiveness of levoleucovorin injection to diminish methotrexate toxicity may decrease. Administer levoleucovorin injection 7.5 mg (approximately 5 mg/m 2 ) by intravenous infusion every 6 hours until the serum methotrexate level is less than 5 x 10 -8 M (0.05 micromolar).

Monitor serum creatinine and methotrexate levels at least every 24 hours. Increase the dosage of levoleucovorin injection to 50 mg/m 2 intravenously every 3 hours and continue levoleucovorin injection at this dosage until the methotrexate level is less than 5 x 10 -8 M for the following:

  • if serum creatinine at 24-hours increases 50% or more compared to baseline
  • if the methotrexate level at 24-hours is greater than 5 x 10 -6 M
  • if the methotrexate level at 48-hours is greater than 9 x 10 -7 M,

Continue concomitant hydration (3 L per day) and urinary alkalinization with sodium bicarbonate. Adjust the sodium bicarbonate dose to maintain urine pH at 7 or greater.


Advanced Ingredient Data


Raw Label Data

All Sections (JSON)