Methyltestosterone Capsules, Usp, Ciii (10 Mg)

Methyltestosterone Capsules, Usp, Ciii (10 Mg)
SPL v2
SPL
SPL Set ID c09c4cde-9f6c-4c4f-9d96-18beb5377564
Route
ORAL
Published
Effective Date 2025-05-28
Document Type 34391-3 Human Prescription Drug Label

Drug Facts

Composition & Product

Active Ingredients
Methyltestosterone (10 mg)
Inactive Ingredients
Starch, Corn Anhydrous Lactose D&c Yellow No. 10 Gelatin Fd&c Blue No. 1 Fd&c Red No. 40 Ammonia Potassium Hydroxide Ferrosoferric Oxide Propylene Glycol Shellac

Identifiers & Packaging

Pill Appearance
Imprint: novitium10mg;255 Shape: capsule Color: red Size: 18 mm Score: 1
Marketing Status
ANDA Active Since 2022-02-18

Description

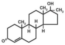
The androgens are steroids that develop and maintain primary and secondary male sex characteristics. Androgens are derivatives of cyclopentanoper-hydrophenanthrene. Endogenous androgens are C-19 steroids with a side chain at C-17, and with two angular methyl groups. Testosterone is the primary endogenous androgen. In their active form, all drugs in the class have a 17-beta hydroxy group. 17- alpha alkylation (methyltestosterone) increases the pharmacologic activity per unit weight compared to testosterone when given orally.  Methyltestosterone, a synthetic derivative of testosterone, is an androgenic preparation given by the oral route in a capsule form. It has the following structural formula: C 20 H 30 O 2 Molecular Weight: 302.46 17-β-hydroxy-17-methylandrost-4-en-3-one Methyltestosterone, USP occurs as white or creamy white crystals or powder, which is soluble in various organic solvents but is practically insoluble in water.  Each capsule, for oral administration, contains 10 mg of methyltestosterone, USP. In addition, each capsule contains the following inactive ingredients: pregelatinized starch, lactose anhydrous, D&C Yellow #10, gelatin, FD&C Blue #1, FD&C Red #40. Additionally, the capsule imprinting ink contains strong ammonia solution, potassium hydroxide, iron oxide black, propylene glycol and shellac. FDA approved dissolution test specifications differ from USP.

Contraindications

Androgens are contraindicated in men with carcinomas of the breast or with known or suspected carcinomas of the prostate, and in women who are or may become pregnant. When administered to pregnant women, androgens cause virilization of the external genitalia of the female fetus. This virilization includes clitoromegaly, abnormal vaginal development, and fusion of genital folds to form a scrotal-like structure. The degree of masculinization is related to the amount of drug given and the age of the fetus, and is most likely to occur in the female fetus when the drugs are given in the first trimester. If the patient becomes pregnant while taking these drugs, she should be apprised of the potential hazard to the fetus.

Adverse Reactions

Endocrine and Urogenital Female: The most common side effects of androgen therapy are amenorrhea and other menstrual irregularities, inhibition of gonadotropin secretion and virilization, including deepening of the voice and clitoral enlargement. The latter usually is not reversible after androgens are discontinued. When administered to a pregnant woman, androgens cause virilization of external genitalia of the female fetus. Male: Gynecomastia, and excessive frequency and duration of penile erections. Oligospermia may occur at high dosages (see CLINICAL PHARMACOLOGY ). Skin and appendages: Hirsutism, male pattern baldness, and acne. Cardiovascular Disorders: myocardial infarction, stroke. Fluid and Electrolyte Disturbances: Retention of sodium, chloride, water, potassium, calcium and inorganic phosphates. Gastrointestinal: Nausea, cholestatic jaundice, alterations in liver function tests, rarely hepatocellular neoplasms and peliosis hepatis (see WARNINGS ). Hematologic: Suppression of clotting factors II, V, VII, and X, bleeding in patients on concomitant anticoagulant therapy and polycythemia. Nervous System: Increased or decreased libido, headache, anxiety, depression, and generalized paresthesia. Metabolic: Increased serum cholesterol. Vascular Disorders: venous thromboembolism. Miscellaneous:  Rarely anaphylactoid reactions. To report SUSPECTED ADVERSE REACTIONS, contact Novitium Pharma LLC at 1-855-204-1431 or FDA at 1-800-FDA-1088 or www.fda.gov/medwatch.

Drug Interactions

Anticoagulants: C-17 substituted derivatives of testosterone, such as methandrostenolone, have been reported to decrease the anticoagulant requirements of patients receiving oral anticoagulants. Patients receiving oral anticoagulant therapy require close monitoring, especially when androgens are started or stopped. Oxyphenbutazone: Concurrent administration of oxyphenbutazone and androgens may result in elevated serum levels of oxyphenbutazone. Insulin: In diabetic patients the metabolic effects of androgens may decrease blood glucose and insulin requirements.

How Supplied

Methyltestosterone Capsules USP, 10 mg are hard gelatin capsules with red translucent body and cap imprinted “novitium 10 mg” on the body and “255” on the cap in black ink; containing white to off-white powder. They are available as follows: Bottles of 100:             NDC 70954-255-10 Store at 20° to 25°C (68° to 77°F) [see USP Controlled Room Temperature]. Dispense in a tightly closed, light-resistant container as defined in the USP, with a child-resistant closure, as required. Manufactured By: Novitium Pharma LLC 70 Lake Drive, East Windsor New Jersey 08520 Issued: 05/2025 LB4274-01


Medication Information

Contraindications

Androgens are contraindicated in men with carcinomas of the breast or with known or suspected carcinomas of the prostate, and in women who are or may become pregnant. When administered to pregnant women, androgens cause virilization of the external genitalia of the female fetus. This virilization includes clitoromegaly, abnormal vaginal development, and fusion of genital folds to form a scrotal-like structure. The degree of masculinization is related to the amount of drug given and the age of the fetus, and is most likely to occur in the female fetus when the drugs are given in the first trimester. If the patient becomes pregnant while taking these drugs, she should be apprised of the potential hazard to the fetus.



Adverse Reactions

Endocrine and Urogenital

Female: The most common side effects of androgen therapy are amenorrhea and other menstrual irregularities, inhibition of gonadotropin secretion and virilization, including deepening of the voice and clitoral enlargement. The latter usually is not reversible after androgens are discontinued. When administered to a pregnant woman, androgens cause virilization of external genitalia of the female fetus.



Male: Gynecomastia, and excessive frequency and duration of penile erections. Oligospermia may occur at high dosages (see CLINICAL PHARMACOLOGY).



Skin and appendages: Hirsutism, male pattern baldness, and acne.



Cardiovascular Disorders: myocardial infarction, stroke.



Fluid and Electrolyte Disturbances: Retention of sodium, chloride, water, potassium, calcium and inorganic phosphates.



Gastrointestinal: Nausea, cholestatic jaundice, alterations in liver function tests, rarely hepatocellular neoplasms and peliosis hepatis (see WARNINGS).



Hematologic: Suppression of clotting factors II, V, VII, and X, bleeding in patients on concomitant anticoagulant therapy and polycythemia.



Nervous System: Increased or decreased libido, headache, anxiety, depression, and generalized paresthesia.



Metabolic: Increased serum cholesterol.



Vascular Disorders: venous thromboembolism.



Miscellaneous:  Rarely anaphylactoid reactions.



To report SUSPECTED ADVERSE REACTIONS, contact Novitium Pharma LLC at 1-855-204-1431 or FDA at 1-800-FDA-1088 or www.fda.gov/medwatch.



Drug Interactions
  • Anticoagulants: C-17 substituted derivatives of testosterone, such as methandrostenolone, have been reported to decrease the anticoagulant requirements of patients receiving oral anticoagulants. Patients receiving oral anticoagulant therapy require close monitoring, especially when androgens are started or stopped.
  • Oxyphenbutazone: Concurrent administration of oxyphenbutazone and androgens may result in elevated serum levels of oxyphenbutazone.
  • Insulin: In diabetic patients the metabolic effects of androgens may decrease blood glucose and insulin requirements.

How Supplied

Methyltestosterone Capsules USP, 10 mgare hard gelatin capsules with red translucent body and cap imprinted “novitium 10 mg” on the body and “255” on the cap in black ink; containing white to off-white powder.



They are available as follows:

Bottles of 100:             NDC 70954-255-10



Store at 20° to 25°C (68° to 77°F) [see USP Controlled Room Temperature]. Dispense in a tightly closed, light-resistant container as defined in the USP, with a child-resistant closure, as required.



Manufactured By:

Novitium Pharma LLC

70 Lake Drive, East Windsor

New Jersey 08520



Issued: 05/2025

LB4274-01

Description

The androgens are steroids that develop and maintain primary and secondary male sex characteristics.



Androgens are derivatives of cyclopentanoper-hydrophenanthrene. Endogenous androgens are C-19 steroids with a side chain at C-17, and with two angular methyl groups. Testosterone is the primary endogenous androgen. In their active form, all drugs in the class have a 17-beta hydroxy group. 17- alpha alkylation (methyltestosterone) increases the pharmacologic activity per unit weight compared to testosterone when given orally.



 Methyltestosterone, a synthetic derivative of testosterone, is an androgenic preparation given by the oral route in a capsule form. It has the following structural formula:



C20H30O2 Molecular Weight: 302.46

17-β-hydroxy-17-methylandrost-4-en-3-one



Methyltestosterone, USP occurs as white or creamy white crystals or powder, which is soluble in various organic solvents but is practically insoluble in water.



 Each capsule, for oral administration, contains 10 mg of methyltestosterone, USP. In addition, each capsule contains the following inactive ingredients: pregelatinized starch, lactose anhydrous, D&C Yellow #10, gelatin, FD&C Blue #1, FD&C Red #40. Additionally, the capsule imprinting ink contains strong ammonia solution, potassium hydroxide, iron oxide black, propylene glycol and shellac.



FDA approved dissolution test specifications differ from USP.

Abuse

Drug abuse is intentional non-therapeutic use of a drug, even once, for its rewarding psychological and physiological effects. Abuse and misuse of testosterone are seen in male and female adults and adolescents. Testosterone, often in combination with other anabolic androgenic steroids (AAS), and not obtained by prescription through a pharmacy, may be abused by athletes and bodybuilders. There have been reports of misuse by men taking higher doses of legally obtained testosterone than prescribed and continuing testosterone despite adverse events or against medical advice.

 

Abuse-Related Adverse Reactions

Serious adverse reactions have been reported in individuals who abuse anabolic androgenic steroids and include cardiac arrest, myocardial infarction, hypertrophic cardiomyopathy, congestive heart failure, cerebrovascular accident, hepatotoxicity, and serious psychiatric manifestations, including major depression, mania, paranoia, psychosis, delusions, hallucinations, hostility and   aggression.



The following adverse reactions have also been reported in men: transient ischemic attacks, convulsions, hypomania, irritability, dyslipidemias, testicular atrophy, subfertility, and infertility.

 

The following additional adverse reactions have been reported in women: hirsutism, virilization, deepening of voice, clitoral enlargement, breast atrophy, male-pattern baldness, and menstrual irregularities.

The following adverse reactions have been reported in male and female adolescents: premature closure of bony epiphyses with termination of growth, and precocious   puberty.



 Because these reactions are reported voluntarily from a population of uncertain size and may include abuse of other agents, it is not always possible to reliably estimate their frequency or establish a causal relationship to drug exposure.



Warnings

In patients with breast cancer, androgen therapy may cause hypercalcemia by stimulating osteolysis. In this case, the drug should be discontinued.



Prolonged use of high doses of androgens has been associated with the development of peliosis hepatis and hepatic neoplasms including hepatocellular carcinoma (see PRECAUTIONS—Carcinogenesis). Peliosis hepatis can be a life-threatening or fatal complication.



Cholestatic hepatitis and jaundice occur with 17-alpha-alkylandrogens at a relatively low dose. If cholestatic hepatitis with jaundice appears or if liver function tests become abnormal, the androgen should be discontinued and the etiology should be determined. Drug-induced jaundice is reversible when the medication is discontinued.



Geriatric patients treated with androgens may be at an increased risk for the development of prostatic hypertrophy and prostatic carcinoma.



There have been postmarketing reports of venous thromboembolic events, including deep vein thrombosis (DVT) and pulmonary embolism (PE), in patients using testosterone products, such as methyltestosterone. Evaluate patients who report symptoms of pain, edema, warmth and erythema in the lower extremity for DVT and those who present with acute shortness of breath for PE. If a venous thromboembolic event is suspected, discontinue treatment with methyltestosterone and initiate appropriate workup and management.



Long term clinical safety trials have not been conducted to assess the cardiovascular outcomes of testosterone replacement therapy in men. To date, epidemiologic studies and randomized controlled trials have been inconclusive for determining the risk of major adverse cardiovascular events (MACE), such as non-fatal myocardial infarction, non-fatal stroke, and cardiovascular death, with the use of testosterone compared to non-use. Some studies, but not all, have reported an increased risk of MACE in association with use of testosterone replacement therapy in men. Patients should be informed of this possible risk when deciding whether to use or to continue to use methyltestosterone.



Testosterone can increase blood pressure which can increase cardiovascular (CV) risk over time. Monitor blood pressure periodically in men using testosterone products, especially in men with hypertension. Testosterone products are not recommended for use in patients with uncontrolled hypertension.



Testosterone has been subject to abuse, typically at doses higher than recommended for the approved indication and in combination with other anabolic androgenic steroids. Anabolic androgenic steroid abuse can lead to serious cardiovascular and psychiatric adverse reactions [see DRUG ABUSE AND DEPENDENCE].



If testosterone abuse is suspected, check serum testosterone concentrations to ensure they are within therapeutic range. However, testosterone levels may be in the normal or subnormal range in men abusing synthetic testosterone derivatives. Counsel patients concerning the serious adverse reactions associated with abuse of testosterone and anabolic androgenic steroids. Conversely, consider the possibility of testosterone and anabolic androgenic steroid abuse in suspected patients who present with serious cardiovascular or psychiatric adverse events.



Edema with or without congestive heart failure may be a serious complication in patients with preexisting cardiac, renal, or hepatic disease. In addition to discontinuation of the drug, diuretic therapy may be required.



Gynecomastia frequently develops and occasionally persists in patients being treated for hypogonadism.



Androgen therapy should be used cautiously in healthy males with delayed puberty. The effect on bone maturation should be monitored by assessing bone age of the wrist and hand every 6 months. In children, androgen treatment may accelerate bone maturation without producing compensatory gain in linear growth. This adverse effect may result in compromised adult stature. The younger the child the greater the risk of compromising final mature height.

 This drug has not been shown to be safe and effective for the enhancement of athletic performance. Because of the potential risk of serious adverse health effects, this drug should not be used for such purpose.



Pregnancy

Teratogenic effects

Pregnancy Category X (See CONTRAINDICATIONS).



Dependence

Behaviors Associated with Addiction

Continued abuse of testosterone and other anabolic steroids, leading to addiction is characterized by the following behaviors:



  • Taking greater dosages than prescribed
  • Continued drug use despite medical and social problems due to drug use
  • Spending significant time to obtain the drug when supplies of the drug are interrupted
  • Giving a higher priority to drug use than other obligations
  • Having difficulty in discontinuing the drug despite desires and attempts to do so
  • Experiencing withdrawal symptoms upon abrupt discontinuation of use


Physical dependence is characterized by withdrawal symptoms after abrupt drug discontinuation or a significant dose reduction of a drug. Individuals taking supratherapeutic doses of testosterone may experience withdrawal symptoms lasting for weeks or months which include depressed mood, major depression, fatigue, craving, restlessness, irritability, anorexia, insomnia, decreased libido and hypogonadotropic hypogonadism.



Drug dependence in individuals using approved doses of testosterone for approved indications has not been documented.

Overdosage

There have been no reports of acute overdosage with the androgens.

Pediatric Use

Androgen therapy should be used very cautiously in children and only by specialists who are aware of the adverse effects on bone maturation. Skeletal maturation must be monitored every six months by an X- ray of hand and wrist (see INDICATIONS AND USAGE and WARNINGS).



Nursing Mothers

It is not known whether androgens are excreted in human milk. Because many drugs are excreted in human milk and because of the potential for serious adverse reactions in nursing infants from androgens, a decision should be made whether to discontinue nursing or to discontinue the drug, taking into account the importance of the drug to the mother.



Laboratory Tests
  • Women with disseminated breast carcinoma should have frequent determination of urine and serum calcium levels during the course of androgen therapy (see WARNINGS).
  • Because of the hepatotoxicity associated with the use of 17-alpha-alkylated androgens, liver function tests should be obtained periodically.
  • Periodic (every 6 months) X-ray examinations of bone age should be made during treatment of prepubertal males to determine the rate of bone maturation and the effects of androgen therapy on the epiphyseal centers.
  • Hemoglobin and hematocrit should be checked periodically for polycythemia in patients who are receiving high doses of androgens.

General Precautions

Women should be observed for signs of virilization (deepening of the voice, hirsutism, acne, clitoromegaly and menstrual irregularities). Discontinuation of drug therapy at the time of evidence of mild virilism is necessary to prevent irreversible virilization. Such virilization is usual following androgen use at high doses. A decision may be made by the patient and the physician that some virilization will be tolerated during treatment for breast carcinoma.

Indications & Usage

1. Males

Androgens are indicated for replacement therapy in conditions associated with a deficiency or absence of endogenous testosterone:



  • Primary hypogonadism (congenital or acquired) — testicular failure due to cryptorchidism, bilateral torsions, orchitis, vanishing testis syndrome; or orchidectomy.
  • Hypogonadotropic hypogonadism (congenital or acquired) — gonadotropin or luteinizing hormone-releasing hormone (LHRH) deficiency, or pituitary hypothalamic injury from tumors, trauma, or radiation. (Appropriate adrenal cortical and thyroid hormone replacement therapy are still necessary, however, and are actually of primary importance.) If the above conditions occur prior to puberty, androgen replacement therapy will be needed during the adolescent years for development of secondary sexual characteristics. Prolonged androgen treatment will be required to maintain sexual characteristics in these and other males who develop testosterone deficiency after puberty. Safety and efficacy of methyltestosterone in men with “age-related hypogonadism” (also referred to as “late-onset hypogonadism”) have not been established.
  • Androgens may be used to stimulate puberty in carefully selected males with clearly delayed puberty. These patients usually have a familial pattern of delayed puberty that is not secondary to a pathological disorder; puberty is expected to occur spontaneously at a relatively late date. Brief treatment with conservative doses may occasionally be justified in these patients if they do not respond to psychological support. The potential adverse effect on bone maturation should be discussed with the patient and parents prior to androgen administration. An X-ray of the hand and wrist to determine bone age should be obtained every 6 months to assess the effect of treatment on the epiphyseal centers (see WARNINGS). 

2. Females    

 Androgens may be used secondarily in women with advancing inoperable metastatic (skeletal) mammary cancer who are 1 to 5 years postmenopausal. Primary goals of therapy in these women include ablation of the ovaries. Other methods of counteracting estrogen activity are adrenalectomy, hypophysectomy, and/or antiestrogen therapy. This treatment has also been used in premenopausal women with breast cancer who have benefitted from oophorectomy and are considered to have a hormone-responsive tumor. Judgment concerning androgen therapy should be made by an oncologist with expertise in this field.



Controlled Substance

Methyltestosterone capsules contain testosterone, a Schedule III controlled substance in the Controlled Substances Act.

Clinical Pharmacology

Endogenous androgens are responsible for the normal growth and development of the male sex organs and for maintenance of secondary sex characteristics. These effects include the growth and maturation of prostate, seminal vesicles, penis, and scrotum. The development of male hair distribution, such as beard, pubic, chest, and axillary hair; laryngeal enlargement, vocal cord thickening, alterations in body musculature, and fat distribution. Drugs in this class also cause retention of nitrogen, sodium, potassium, phosphorus, and decreased urinary excretion of calcium. Androgens have been reported to increase protein anabolism and decrease protein catabolism. Nitrogen balance is improved only when there is sufficient intake of calories and protein.



Androgens are responsible for the growth spurt of adolescence and for the eventual termination of linear growth which is brought about by fusion of the epiphyseal growth centers. In children, exogenous androgens accelerate linear growth rates, but may cause a disproportionate advancement in bone maturation. Use over long periods may result in fusion of the epiphyseal growth centers and termination of growth process. Androgens have been reported to stimulate the production of red blood cells by enhancing the production of erythropoietic stimulating factor.



During exogenous administration of androgens, endogenous testosterone release is inhibited through feedback inhibition of pituitary luteinizing hormone (LH). At large doses of exogenous androgens, spermatogenesis may also be suppressed through feedback inhibition of pituitary follicle stimulating hormone (FSH).



 There is a lack of substantial evidence that androgens are effective in fractures, surgery, convalescence and functional uterine bleeding.



Pharmacokinetics

Testosterone given orally is metabolized by the gut and 44 percent is cleared by the liver of the first pass. Oral doses as high as 400 mg per day are needed to achieve clinically effective blood levels for full replacement therapy. The synthetic androgen, methyltestosterone, is less extensively metabolized by the liver and has a longer half-life. It is more suitable than testosterone for oral administration.



Testosterone in plasma is 98 percent bound to a specific testosterone-estradiol binding globulin, and about 2 percent is free. Generally, the amount of this sex-hormone binding globulin in the plasma will determine the distribution of testosterone between free and bound forms, and the free testosterone concentration will determine its half-life.



About 90 percent of a dose of testosterone is excreted in the urine as glucuronic and sulfuric acid conjugates of testosterone and its metabolites; and 6 percent of a dose is excreted in the feces, mostly in the unconjugated form. Inactivation of testosterone occurs primarily in the liver. Testosterone is metabolized to various 17-keto steroids through two different pathways. There are considerable variations of the half-life of testosterone as reported in the literature, ranging from 10 to 100 minutes.



 In many tissues the activity of testosterone appears to depend on reduction to dihydrotestosterone, which binds to cytosol receptor proteins. The steroid-receptor complex is transported to the nucleus where it initiates transcription events and cellular changes related to androgen action.

Dosage & Administration

Prior to initiating methyltestosterone, confirm the diagnosis of hypogonadism by ensuring that serum testosterone concentrations have been measured in the morning on at least two separate days and that these serum testosterone concentrations are below the normal range.



Methyltestosterone capsules are administered orally. The suggested dosage for androgens varies depending on the age, sex, and diagnosis of the individual patient. Dosage is adjusted according to the patient’s response and the appearance of adverse reactions.



Replacement therapy in androgen-deficient males is 10 mg to 50 mg of methyltestosterone daily. Various dosage regimens have been used to induce pubertal changes in hypogonadal males, some experts have advocated lower dosages initially, gradually increasing the dose as puberty progresses with or without a decrease to maintenance levels. Other experts emphasize that higher dosages are needed to induce pubertal changes and lower dosages can be used for maintenance after puberty. The chronological and skeletal ages must be taken into consideration both in determining the initial dose and in adjusting the dose.



Doses used in delayed puberty generally are in the lower range of that given above, and for a limited duration, for example 4 to 6 months.



Women with metastatic breast carcinoma must be followed closely because androgen therapy occasionally appears to accelerate the disease. Thus, many experts prefer to use the shorter acting androgen preparations rather than those with prolonged activity for treating breast carcinoma, particularly during the early stages of androgen therapy. The dosage of methyltestosterone for androgen therapy in breast carcinoma in females is from 50 mg to 200 mg daily.

Information for Patients

The physician should instruct patients to report any of the following side effects of androgens:



              

 Adult or Adolescent Males:

 
 Too frequent or persistent erections of the penis. Any male adolescent patient receiving androgens for delayed puberty should have bone development checked every six months.

 
 Women:

 
 Hoarseness, acne, changes in menstrual periods or more hair on the face.

 
 All Patients:

 
 Any nausea, vomiting, changes in skin color or ankle swelling.

 


Package Label.principal Display Panel
Drug & Or Laboratory Test Interactions

Androgens may decrease levels of thyroxine-binding globulin, resulting in decreased total T4 serum levels and increased resin uptake of T3 and T4. Free thyroid hormone levels remain unchanged, however, and there is no clinical evidence of thyroid dysfunction.



Carcinogenesis & Mutagenesis & Impairment of Fertility

Animal Data

Testosterone has been tested by subcutaneous injection and implantation in mice and rats. The implant induced cervical-uterine tumors in mice, which metastasized in some cases. There is suggestive evidence that injection of testosterone into some strains of female mice increases their susceptibility to hepatoma. Testosterone is also known to increase the number of tumors and decrease the degree of differentiation of chemically induced carcinomas of the liver in rats.



Human Data

There are rare reports of hepatocellular carcinoma in patients receiving long-term therapy with androgens in high doses. Withdrawal of the drugs did not lead to regression of the tumors in all cases.



 Geriatric patients treated with androgens may be at an increased risk for the development of prostatic hypertrophy and prostatic carcinoma.




Structured Label Content

Abuse (ABUSE)

Drug abuse is intentional non-therapeutic use of a drug, even once, for its rewarding psychological and physiological effects. Abuse and misuse of testosterone are seen in male and female adults and adolescents. Testosterone, often in combination with other anabolic androgenic steroids (AAS), and not obtained by prescription through a pharmacy, may be abused by athletes and bodybuilders. There have been reports of misuse by men taking higher doses of legally obtained testosterone than prescribed and continuing testosterone despite adverse events or against medical advice.

 

Abuse-Related Adverse Reactions

Serious adverse reactions have been reported in individuals who abuse anabolic androgenic steroids and include cardiac arrest, myocardial infarction, hypertrophic cardiomyopathy, congestive heart failure, cerebrovascular accident, hepatotoxicity, and serious psychiatric manifestations, including major depression, mania, paranoia, psychosis, delusions, hallucinations, hostility and   aggression.



The following adverse reactions have also been reported in men: transient ischemic attacks, convulsions, hypomania, irritability, dyslipidemias, testicular atrophy, subfertility, and infertility.

 

The following additional adverse reactions have been reported in women: hirsutism, virilization, deepening of voice, clitoral enlargement, breast atrophy, male-pattern baldness, and menstrual irregularities.

The following adverse reactions have been reported in male and female adolescents: premature closure of bony epiphyses with termination of growth, and precocious   puberty.



 Because these reactions are reported voluntarily from a population of uncertain size and may include abuse of other agents, it is not always possible to reliably estimate their frequency or establish a causal relationship to drug exposure.



Warnings (WARNINGS)

In patients with breast cancer, androgen therapy may cause hypercalcemia by stimulating osteolysis. In this case, the drug should be discontinued.



Prolonged use of high doses of androgens has been associated with the development of peliosis hepatis and hepatic neoplasms including hepatocellular carcinoma (see PRECAUTIONS—Carcinogenesis). Peliosis hepatis can be a life-threatening or fatal complication.



Cholestatic hepatitis and jaundice occur with 17-alpha-alkylandrogens at a relatively low dose. If cholestatic hepatitis with jaundice appears or if liver function tests become abnormal, the androgen should be discontinued and the etiology should be determined. Drug-induced jaundice is reversible when the medication is discontinued.



Geriatric patients treated with androgens may be at an increased risk for the development of prostatic hypertrophy and prostatic carcinoma.



There have been postmarketing reports of venous thromboembolic events, including deep vein thrombosis (DVT) and pulmonary embolism (PE), in patients using testosterone products, such as methyltestosterone. Evaluate patients who report symptoms of pain, edema, warmth and erythema in the lower extremity for DVT and those who present with acute shortness of breath for PE. If a venous thromboembolic event is suspected, discontinue treatment with methyltestosterone and initiate appropriate workup and management.



Long term clinical safety trials have not been conducted to assess the cardiovascular outcomes of testosterone replacement therapy in men. To date, epidemiologic studies and randomized controlled trials have been inconclusive for determining the risk of major adverse cardiovascular events (MACE), such as non-fatal myocardial infarction, non-fatal stroke, and cardiovascular death, with the use of testosterone compared to non-use. Some studies, but not all, have reported an increased risk of MACE in association with use of testosterone replacement therapy in men. Patients should be informed of this possible risk when deciding whether to use or to continue to use methyltestosterone.



Testosterone can increase blood pressure which can increase cardiovascular (CV) risk over time. Monitor blood pressure periodically in men using testosterone products, especially in men with hypertension. Testosterone products are not recommended for use in patients with uncontrolled hypertension.



Testosterone has been subject to abuse, typically at doses higher than recommended for the approved indication and in combination with other anabolic androgenic steroids. Anabolic androgenic steroid abuse can lead to serious cardiovascular and psychiatric adverse reactions [see DRUG ABUSE AND DEPENDENCE].



If testosterone abuse is suspected, check serum testosterone concentrations to ensure they are within therapeutic range. However, testosterone levels may be in the normal or subnormal range in men abusing synthetic testosterone derivatives. Counsel patients concerning the serious adverse reactions associated with abuse of testosterone and anabolic androgenic steroids. Conversely, consider the possibility of testosterone and anabolic androgenic steroid abuse in suspected patients who present with serious cardiovascular or psychiatric adverse events.



Edema with or without congestive heart failure may be a serious complication in patients with preexisting cardiac, renal, or hepatic disease. In addition to discontinuation of the drug, diuretic therapy may be required.



Gynecomastia frequently develops and occasionally persists in patients being treated for hypogonadism.



Androgen therapy should be used cautiously in healthy males with delayed puberty. The effect on bone maturation should be monitored by assessing bone age of the wrist and hand every 6 months. In children, androgen treatment may accelerate bone maturation without producing compensatory gain in linear growth. This adverse effect may result in compromised adult stature. The younger the child the greater the risk of compromising final mature height.

 This drug has not been shown to be safe and effective for the enhancement of athletic performance. Because of the potential risk of serious adverse health effects, this drug should not be used for such purpose.



Pregnancy (PREGNANCY)

Teratogenic effects

Pregnancy Category X (See CONTRAINDICATIONS).



Dependence (DEPENDENCE)

Behaviors Associated with Addiction

Continued abuse of testosterone and other anabolic steroids, leading to addiction is characterized by the following behaviors:



  • Taking greater dosages than prescribed
  • Continued drug use despite medical and social problems due to drug use
  • Spending significant time to obtain the drug when supplies of the drug are interrupted
  • Giving a higher priority to drug use than other obligations
  • Having difficulty in discontinuing the drug despite desires and attempts to do so
  • Experiencing withdrawal symptoms upon abrupt discontinuation of use


Physical dependence is characterized by withdrawal symptoms after abrupt drug discontinuation or a significant dose reduction of a drug. Individuals taking supratherapeutic doses of testosterone may experience withdrawal symptoms lasting for weeks or months which include depressed mood, major depression, fatigue, craving, restlessness, irritability, anorexia, insomnia, decreased libido and hypogonadotropic hypogonadism.



Drug dependence in individuals using approved doses of testosterone for approved indications has not been documented.

Overdosage (OVERDOSAGE)

There have been no reports of acute overdosage with the androgens.

Description (DESCRIPTION)

The androgens are steroids that develop and maintain primary and secondary male sex characteristics.



Androgens are derivatives of cyclopentanoper-hydrophenanthrene. Endogenous androgens are C-19 steroids with a side chain at C-17, and with two angular methyl groups. Testosterone is the primary endogenous androgen. In their active form, all drugs in the class have a 17-beta hydroxy group. 17- alpha alkylation (methyltestosterone) increases the pharmacologic activity per unit weight compared to testosterone when given orally.



 Methyltestosterone, a synthetic derivative of testosterone, is an androgenic preparation given by the oral route in a capsule form. It has the following structural formula:



C20H30O2 Molecular Weight: 302.46

17-β-hydroxy-17-methylandrost-4-en-3-one



Methyltestosterone, USP occurs as white or creamy white crystals or powder, which is soluble in various organic solvents but is practically insoluble in water.



 Each capsule, for oral administration, contains 10 mg of methyltestosterone, USP. In addition, each capsule contains the following inactive ingredients: pregelatinized starch, lactose anhydrous, D&C Yellow #10, gelatin, FD&C Blue #1, FD&C Red #40. Additionally, the capsule imprinting ink contains strong ammonia solution, potassium hydroxide, iron oxide black, propylene glycol and shellac.



FDA approved dissolution test specifications differ from USP.

How Supplied (HOW SUPPLIED)

Methyltestosterone Capsules USP, 10 mgare hard gelatin capsules with red translucent body and cap imprinted “novitium 10 mg” on the body and “255” on the cap in black ink; containing white to off-white powder.



They are available as follows:

Bottles of 100:             NDC 70954-255-10



Store at 20° to 25°C (68° to 77°F) [see USP Controlled Room Temperature]. Dispense in a tightly closed, light-resistant container as defined in the USP, with a child-resistant closure, as required.



Manufactured By:

Novitium Pharma LLC

70 Lake Drive, East Windsor

New Jersey 08520



Issued: 05/2025

LB4274-01

Pediatric Use (PEDIATRIC USE)

Androgen therapy should be used very cautiously in children and only by specialists who are aware of the adverse effects on bone maturation. Skeletal maturation must be monitored every six months by an X- ray of hand and wrist (see INDICATIONS AND USAGE and WARNINGS).



Nursing Mothers (NURSING MOTHERS)

It is not known whether androgens are excreted in human milk. Because many drugs are excreted in human milk and because of the potential for serious adverse reactions in nursing infants from androgens, a decision should be made whether to discontinue nursing or to discontinue the drug, taking into account the importance of the drug to the mother.



Laboratory Tests (LABORATORY TESTS)
  • Women with disseminated breast carcinoma should have frequent determination of urine and serum calcium levels during the course of androgen therapy (see WARNINGS).
  • Because of the hepatotoxicity associated with the use of 17-alpha-alkylated androgens, liver function tests should be obtained periodically.
  • Periodic (every 6 months) X-ray examinations of bone age should be made during treatment of prepubertal males to determine the rate of bone maturation and the effects of androgen therapy on the epiphyseal centers.
  • Hemoglobin and hematocrit should be checked periodically for polycythemia in patients who are receiving high doses of androgens.

Adverse Reactions (ADVERSE REACTIONS)

Endocrine and Urogenital

Female: The most common side effects of androgen therapy are amenorrhea and other menstrual irregularities, inhibition of gonadotropin secretion and virilization, including deepening of the voice and clitoral enlargement. The latter usually is not reversible after androgens are discontinued. When administered to a pregnant woman, androgens cause virilization of external genitalia of the female fetus.



Male: Gynecomastia, and excessive frequency and duration of penile erections. Oligospermia may occur at high dosages (see CLINICAL PHARMACOLOGY).



Skin and appendages: Hirsutism, male pattern baldness, and acne.



Cardiovascular Disorders: myocardial infarction, stroke.



Fluid and Electrolyte Disturbances: Retention of sodium, chloride, water, potassium, calcium and inorganic phosphates.



Gastrointestinal: Nausea, cholestatic jaundice, alterations in liver function tests, rarely hepatocellular neoplasms and peliosis hepatis (see WARNINGS).



Hematologic: Suppression of clotting factors II, V, VII, and X, bleeding in patients on concomitant anticoagulant therapy and polycythemia.



Nervous System: Increased or decreased libido, headache, anxiety, depression, and generalized paresthesia.



Metabolic: Increased serum cholesterol.



Vascular Disorders: venous thromboembolism.



Miscellaneous:  Rarely anaphylactoid reactions.



To report SUSPECTED ADVERSE REACTIONS, contact Novitium Pharma LLC at 1-855-204-1431 or FDA at 1-800-FDA-1088 or www.fda.gov/medwatch.



Contraindications (CONTRAINDICATIONS)

Androgens are contraindicated in men with carcinomas of the breast or with known or suspected carcinomas of the prostate, and in women who are or may become pregnant. When administered to pregnant women, androgens cause virilization of the external genitalia of the female fetus. This virilization includes clitoromegaly, abnormal vaginal development, and fusion of genital folds to form a scrotal-like structure. The degree of masculinization is related to the amount of drug given and the age of the fetus, and is most likely to occur in the female fetus when the drugs are given in the first trimester. If the patient becomes pregnant while taking these drugs, she should be apprised of the potential hazard to the fetus.



Drug Interactions (DRUG INTERACTIONS)
  • Anticoagulants: C-17 substituted derivatives of testosterone, such as methandrostenolone, have been reported to decrease the anticoagulant requirements of patients receiving oral anticoagulants. Patients receiving oral anticoagulant therapy require close monitoring, especially when androgens are started or stopped.
  • Oxyphenbutazone: Concurrent administration of oxyphenbutazone and androgens may result in elevated serum levels of oxyphenbutazone.
  • Insulin: In diabetic patients the metabolic effects of androgens may decrease blood glucose and insulin requirements.

General Precautions (GENERAL PRECAUTIONS)

Women should be observed for signs of virilization (deepening of the voice, hirsutism, acne, clitoromegaly and menstrual irregularities). Discontinuation of drug therapy at the time of evidence of mild virilism is necessary to prevent irreversible virilization. Such virilization is usual following androgen use at high doses. A decision may be made by the patient and the physician that some virilization will be tolerated during treatment for breast carcinoma.

Indications & Usage (INDICATIONS & USAGE)

1. Males

Androgens are indicated for replacement therapy in conditions associated with a deficiency or absence of endogenous testosterone:



  • Primary hypogonadism (congenital or acquired) — testicular failure due to cryptorchidism, bilateral torsions, orchitis, vanishing testis syndrome; or orchidectomy.
  • Hypogonadotropic hypogonadism (congenital or acquired) — gonadotropin or luteinizing hormone-releasing hormone (LHRH) deficiency, or pituitary hypothalamic injury from tumors, trauma, or radiation. (Appropriate adrenal cortical and thyroid hormone replacement therapy are still necessary, however, and are actually of primary importance.) If the above conditions occur prior to puberty, androgen replacement therapy will be needed during the adolescent years for development of secondary sexual characteristics. Prolonged androgen treatment will be required to maintain sexual characteristics in these and other males who develop testosterone deficiency after puberty. Safety and efficacy of methyltestosterone in men with “age-related hypogonadism” (also referred to as “late-onset hypogonadism”) have not been established.
  • Androgens may be used to stimulate puberty in carefully selected males with clearly delayed puberty. These patients usually have a familial pattern of delayed puberty that is not secondary to a pathological disorder; puberty is expected to occur spontaneously at a relatively late date. Brief treatment with conservative doses may occasionally be justified in these patients if they do not respond to psychological support. The potential adverse effect on bone maturation should be discussed with the patient and parents prior to androgen administration. An X-ray of the hand and wrist to determine bone age should be obtained every 6 months to assess the effect of treatment on the epiphyseal centers (see WARNINGS). 

2. Females    

 Androgens may be used secondarily in women with advancing inoperable metastatic (skeletal) mammary cancer who are 1 to 5 years postmenopausal. Primary goals of therapy in these women include ablation of the ovaries. Other methods of counteracting estrogen activity are adrenalectomy, hypophysectomy, and/or antiestrogen therapy. This treatment has also been used in premenopausal women with breast cancer who have benefitted from oophorectomy and are considered to have a hormone-responsive tumor. Judgment concerning androgen therapy should be made by an oncologist with expertise in this field.



Controlled Substance (CONTROLLED SUBSTANCE)

Methyltestosterone capsules contain testosterone, a Schedule III controlled substance in the Controlled Substances Act.

Clinical Pharmacology (CLINICAL PHARMACOLOGY)

Endogenous androgens are responsible for the normal growth and development of the male sex organs and for maintenance of secondary sex characteristics. These effects include the growth and maturation of prostate, seminal vesicles, penis, and scrotum. The development of male hair distribution, such as beard, pubic, chest, and axillary hair; laryngeal enlargement, vocal cord thickening, alterations in body musculature, and fat distribution. Drugs in this class also cause retention of nitrogen, sodium, potassium, phosphorus, and decreased urinary excretion of calcium. Androgens have been reported to increase protein anabolism and decrease protein catabolism. Nitrogen balance is improved only when there is sufficient intake of calories and protein.



Androgens are responsible for the growth spurt of adolescence and for the eventual termination of linear growth which is brought about by fusion of the epiphyseal growth centers. In children, exogenous androgens accelerate linear growth rates, but may cause a disproportionate advancement in bone maturation. Use over long periods may result in fusion of the epiphyseal growth centers and termination of growth process. Androgens have been reported to stimulate the production of red blood cells by enhancing the production of erythropoietic stimulating factor.



During exogenous administration of androgens, endogenous testosterone release is inhibited through feedback inhibition of pituitary luteinizing hormone (LH). At large doses of exogenous androgens, spermatogenesis may also be suppressed through feedback inhibition of pituitary follicle stimulating hormone (FSH).



 There is a lack of substantial evidence that androgens are effective in fractures, surgery, convalescence and functional uterine bleeding.



Pharmacokinetics

Testosterone given orally is metabolized by the gut and 44 percent is cleared by the liver of the first pass. Oral doses as high as 400 mg per day are needed to achieve clinically effective blood levels for full replacement therapy. The synthetic androgen, methyltestosterone, is less extensively metabolized by the liver and has a longer half-life. It is more suitable than testosterone for oral administration.



Testosterone in plasma is 98 percent bound to a specific testosterone-estradiol binding globulin, and about 2 percent is free. Generally, the amount of this sex-hormone binding globulin in the plasma will determine the distribution of testosterone between free and bound forms, and the free testosterone concentration will determine its half-life.



About 90 percent of a dose of testosterone is excreted in the urine as glucuronic and sulfuric acid conjugates of testosterone and its metabolites; and 6 percent of a dose is excreted in the feces, mostly in the unconjugated form. Inactivation of testosterone occurs primarily in the liver. Testosterone is metabolized to various 17-keto steroids through two different pathways. There are considerable variations of the half-life of testosterone as reported in the literature, ranging from 10 to 100 minutes.



 In many tissues the activity of testosterone appears to depend on reduction to dihydrotestosterone, which binds to cytosol receptor proteins. The steroid-receptor complex is transported to the nucleus where it initiates transcription events and cellular changes related to androgen action.

Dosage & Administration (DOSAGE & ADMINISTRATION)

Prior to initiating methyltestosterone, confirm the diagnosis of hypogonadism by ensuring that serum testosterone concentrations have been measured in the morning on at least two separate days and that these serum testosterone concentrations are below the normal range.



Methyltestosterone capsules are administered orally. The suggested dosage for androgens varies depending on the age, sex, and diagnosis of the individual patient. Dosage is adjusted according to the patient’s response and the appearance of adverse reactions.



Replacement therapy in androgen-deficient males is 10 mg to 50 mg of methyltestosterone daily. Various dosage regimens have been used to induce pubertal changes in hypogonadal males, some experts have advocated lower dosages initially, gradually increasing the dose as puberty progresses with or without a decrease to maintenance levels. Other experts emphasize that higher dosages are needed to induce pubertal changes and lower dosages can be used for maintenance after puberty. The chronological and skeletal ages must be taken into consideration both in determining the initial dose and in adjusting the dose.



Doses used in delayed puberty generally are in the lower range of that given above, and for a limited duration, for example 4 to 6 months.



Women with metastatic breast carcinoma must be followed closely because androgen therapy occasionally appears to accelerate the disease. Thus, many experts prefer to use the shorter acting androgen preparations rather than those with prolonged activity for treating breast carcinoma, particularly during the early stages of androgen therapy. The dosage of methyltestosterone for androgen therapy in breast carcinoma in females is from 50 mg to 200 mg daily.

Information for Patients (INFORMATION FOR PATIENTS)

The physician should instruct patients to report any of the following side effects of androgens:



              

 Adult or Adolescent Males:

 
 Too frequent or persistent erections of the penis. Any male adolescent patient receiving androgens for delayed puberty should have bone development checked every six months.

 
 Women:

 
 Hoarseness, acne, changes in menstrual periods or more hair on the face.

 
 All Patients:

 
 Any nausea, vomiting, changes in skin color or ankle swelling.

 


Package Label.principal Display Panel (PACKAGE LABEL.PRINCIPAL DISPLAY PANEL)
Drug & Or Laboratory Test Interactions (DRUG & OR LABORATORY TEST INTERACTIONS)

Androgens may decrease levels of thyroxine-binding globulin, resulting in decreased total T4 serum levels and increased resin uptake of T3 and T4. Free thyroid hormone levels remain unchanged, however, and there is no clinical evidence of thyroid dysfunction.



Carcinogenesis & Mutagenesis & Impairment of Fertility (CARCINOGENESIS & MUTAGENESIS & IMPAIRMENT OF FERTILITY)

Animal Data

Testosterone has been tested by subcutaneous injection and implantation in mice and rats. The implant induced cervical-uterine tumors in mice, which metastasized in some cases. There is suggestive evidence that injection of testosterone into some strains of female mice increases their susceptibility to hepatoma. Testosterone is also known to increase the number of tumors and decrease the degree of differentiation of chemically induced carcinomas of the liver in rats.



Human Data

There are rare reports of hepatocellular carcinoma in patients receiving long-term therapy with androgens in high doses. Withdrawal of the drugs did not lead to regression of the tumors in all cases.



 Geriatric patients treated with androgens may be at an increased risk for the development of prostatic hypertrophy and prostatic carcinoma.




Advanced Ingredient Data


Raw Label Data

All Sections (JSON)