These Highlights Do Not Include All The Information Needed To Use Escitalopram Capsules Safely And Effectively. See Full Prescribing Information For Escitalopram Capsules.

These Highlights Do Not Include All The Information Needed To Use Escitalopram Capsules Safely And Effectively. See Full Prescribing Information For Escitalopram Capsules.
SPL v1
SPL
SPL Set ID c0401570-a3b0-bef2-7365-c23dc952b8b6
Route
ORAL
Published
Effective Date 2023-11-17
Document Type 34391-3 HUMAN PRESCRIPTION DRUG LABEL

Drug Facts

Composition & Product

Active Ingredients
Escitalopram (15 mg)
Inactive Ingredients
Croscarmellose Sodium Copovidone K25-31 Fd&c Blue No. 1 Fd&c Red No. 40 Gelatin, Unspecified Magnesium Stearate Microcrystalline Cellulose Sodium Lauryl Sulfate Talc Titanium Dioxide

Identifiers & Packaging

Marketing Status
NDA Active Since 2025-10-06

Description

Antidepressants increased the risk of suicidal thoughts and behaviors in pediatric and young adult patients in short-term studies. Closely monitor all antidepressant-treated patients for clinical worsening, and for emergence of suicidal thoughts and behaviors [see Warnings and Precautions ( 5.1 )].

Indications and Usage

Escitalopram Capsules are indicated for the treatment of: Major depressive disorder (MDD) in adults younger than 65 years of age [see Dosage and Administration ( 2.1 )] and pediatric patients 12 years of age and older. Generalized anxiety disorder (GAD) in adults younger than 65 years of age [see Dosage and Administration (2.1)] . Additional pediatric use information is approved for AbbVie Inc.’s LEXAPRO (escitalopram) tablets and LEXAPRO (escitalopram) oral solution. However, due to AbbVie Inc.’s marketing exclusivity rights, this drug product is not labeled with that information.

Dosage and Administration

Escitalopram Capsules are only available in a 15 mg strength ( 2.1 ) Use another escitalopram product for dosage initiation, titration, dosages other than 15 mg once daily, and for discontinuation ( 2.1 ) Escitalopram Capsules are not indicated in geriatric patients and not recommended in patients with hepatic impairment ( 2.1 ) Recommended starting dosage is 10 mg orally once daily of another escitalopram product. Based on response and tolerability, may increase to the maximum recommended dosage of 20 mg once daily of another escitalopram product ( 2.2 , 2.3 ) Escitalopram Capsules 15 mg orally once daily may be initiated in patients experiencing unfavorable tolerability to a 20 mg escitalopram dosage ( 2.2 , 2.3 ) Administer orally once daily with or without food. Swallow capsules whole ( 2.4 ) When discontinuing, reduce dosage gradually using another escitalopram product ( 2.7 , 5.3 )

Warnings and Precautions

Serotonin Syndrome:   Increased risk when co-administered with other serotonergic agents but also when taken alone. If it occurs, discontinue Escitalopram Capsules and serotonergic agents and initiate supportive treatment ( 4 , 5.2 , 7) Discontinuation Syndrome: When discontinuing reduce dosage gradually whenever possible, and monitor for discontinuation symptoms ( 2.7 , 5.3 ) Seizures: Use with caution in patients with a history of seizure ( 5.4 ) Activation of Mania/Hypomania: Screen patients for bipolar disorder ( 5.5 ) Hyponatremia: Can occur in association with syndrome of inappropriate antidiuretic hormone secretion ( 5.6 ) Increased Risk of Bleeding: Concomitant use of nonsteroidal anti-inflammatory drugs, aspirin, other antiplatelet drugs, warfarin and other anticoagulants may increase risk ( 5.7 , 7) Interference with Cognitive and Motor Performance: Use caution when operating machinery ( 5.8 ) Angle Closure Glaucoma: Avoid use of antidepressants, including Escitalopram Capsules, in patients with untreated anatomically narrow angles ( 5.9 ) Use in Patients with Concomitant Illness: Use caution in patients with diseases or conditions that produce altered metabolism or hemodynamic responses ( 5.10 ) Sexual Dysfunction: Escitalopram Capsules may cause symptoms of sexual dysfunction ( 5.11 )

Contraindications

Escitalopram Capsules are contraindicated in patients: Taking, or within 14 days of stopping, MAOIs, including linezolid or intravenous methylene blue, because of an increased risk of serotonin syndrome [see Dosage and Administration ( 2.6 ), Warnings and Precautions ( 5.2 ), Drug Interactions ( 7 )] . Taking pimozide because of the risk of QT prolongation [see Drug Interactions ( 7 )] . With known hypersensitivity to escitalopram or citalopram or any of the inactive ingredients in Escitalopram Capsules.

Adverse Reactions

The following adverse reactions are discussed in greater detail in other sections of the labeling: Suicidal Thoughts and Behaviors in Adolescents and Young Adults [see Warnings and Precautions ( 5.1 )] Serotonin Syndrome [see Warnings and Precautions ( 5.2 )] Discontinuation Syndrome [see Warnings and Precautions ( 5.3 )] Seizures [see Warnings and Precautions ( 5.4 )] Activation of Mania or Hypomania [see Warnings and Precautions ( 5.5 )] Hyponatremia [see Warnings and Precautions ( 5.6 )] Increased Risk of Bleeding [see Warnings and Precautions ( 5.7 )] Interference with Cognitive and Motor Performance [see Warnings and Precautions ( 5.8 )] Angle Closure Glaucoma [see Warnings and Precautions ( 5.9 )] Use in Patients with Concomitant Illness [see Warnings and Precautions ( 5.10 )] Sexual Dysfunction [see Warnings and Precautions ( 5.11 )]

Drug Interactions

Table 6 presents clinically important drug interactions with Escitalopram Capsules. Table 6: Clinically Important Drug Interactions with Escitalopram Capsules Monoamine Oxidase Inhibitors (MAOIs) Prevention or Management Escitalopram Capsules are contraindicated in patients taking MAOIs, including MAOIs such as linezolid or intravenous methylene blue [see Dosage and Administration ( 2.6 ), Contraindications ( 4 ), Warnings and Precautions ( 5.2 )] . Mechanism and Clinical Effect(s) Concomitant use of SSRIs, including Escitalopram Capsules, and MAOIs increases the risk of serotonin syndrome. Pimozide Prevention or Management Escitalopram Capsules are contraindicated in patients taking pimozide [see Contraindications ( 4 )] . Mechanism and Clinical Effect(s) Concomitant use of racemic citalopram with pimozide increases plasma concentrations of pimozide, a drug with a narrow therapeutic index, and may increase the risk of QT prolongation and/or ventricular arrhythmias compared to use of racemic citalopram alone. The mechanism of this pharmacodynamic interaction is not known [see Clinical Pharmacology ( 12.3 )] . Other Serotonergic Drugs Prevention or Management Monitor patients for signs and symptoms of serotonin syndrome, particularly during escitalopram initiation and dosage increases. If serotonin syndrome occurs, consider discontinuation of Escitalopram Capsules and/or concomitant serotonergic drugs [see Warnings and Precautions ( 5.2 )] . Mechanism and Clinical Effect(s) Concomitant use of Escitalopram Capsules and other serotonergic drugs (including other SSRIs, SNRIs, triptans, tricyclic antidepressants, opioids, lithium, buspirone, amphetamines, tryptophan, and St. John's Wort) increases the risk of serotonin syndrome. Drugs That Interfere With Hemostasis (NSAIDs, Aspirin, Warfarin, etc.) Prevention or Management Inform patients of the increased risk of bleeding associated with the concomitant use of Escitalopram Capsules and antiplatelet agents and anticoagulants. For patients taking warfarin, carefully monitor the international normalized ratio [see Warnings and Precautions ( 5.7 )] . Mechanism and Clinical Effect(s) Concomitant use of Escitalopram Capsules and an antiplatelet or anticoagulant may potentiate the risk of bleeding. Sumatriptan Prevention or Management If concomitant use of Escitalopram Capsules and sumatriptan is clinically warranted, appropriate observation of the patient is advised [see Warnings and Precautions ( 5.2 )] . Mechanism and Clinical Effect(s) There have been postmarketing reports of weakness, hyperreflexia, and incoordination following the concomitant use of an SSRI and sumatriptan. Lithium Prevention or Management Monitor plasma lithium levels with appropriate adjustment to the lithium dose in accordance with standard clinical practice. Mechanism and Clinical Effect(s) Because lithium may enhance the serotonergic effects of escitalopram, caution should be exercised when Escitalopram Capsules is used concomitantly with lithium. Alcohol Prevention or Management Concomitant use of Escitalopram Capsules and alcohol is not recommended. Mechanism and Clinical Effect(s) Alcohol may potentiate the psychotropic effects of escitalopram. Drugs Metabolized by CYP2D6 Prevention or Management The clinical significance of this finding is unknown. Exercise caution during coadministration of Escitalopram Capsules and drugs metabolized by CYP2D6. Mechanism and Clinical Effect(s) Coadministration of escitalopram with the tricyclic antidepressant desipramine, a substrate for CYP2D6, resulted in a 40% increase in Cmax and a 100% increase in AUC of desipramine.

Storage and Handling

How Supplied 15 mg capsules: Hard shell gelatin capsules, with “ALM” printed axially on the light blue opaque cap and “795” printed axially on the blue opaque body. All printing is in black ink. NDC 52427-795-30, Bottle of 30 capsules with a child-resistant closure Storage and Handling Store at 20°C to 25°C (68°F to 77°F); excursions permitted to 15°C to 30°C (59°F to 86°F) [see USP Controlled Room Temperature].

How Supplied

How Supplied 15 mg capsules: Hard shell gelatin capsules, with “ALM” printed axially on the light blue opaque cap and “795” printed axially on the blue opaque body. All printing is in black ink. NDC 52427-795-30, Bottle of 30 capsules with a child-resistant closure Storage and Handling Store at 20°C to 25°C (68°F to 77°F); excursions permitted to 15°C to 30°C (59°F to 86°F) [see USP Controlled Room Temperature].


Medication Information

Warnings and Precautions

Serotonin Syndrome:   Increased risk when co-administered with other serotonergic agents but also when taken alone. If it occurs, discontinue Escitalopram Capsules and serotonergic agents and initiate supportive treatment ( 4 , 5.2 , 7) Discontinuation Syndrome: When discontinuing reduce dosage gradually whenever possible, and monitor for discontinuation symptoms ( 2.7 , 5.3 ) Seizures: Use with caution in patients with a history of seizure ( 5.4 ) Activation of Mania/Hypomania: Screen patients for bipolar disorder ( 5.5 ) Hyponatremia: Can occur in association with syndrome of inappropriate antidiuretic hormone secretion ( 5.6 ) Increased Risk of Bleeding: Concomitant use of nonsteroidal anti-inflammatory drugs, aspirin, other antiplatelet drugs, warfarin and other anticoagulants may increase risk ( 5.7 , 7) Interference with Cognitive and Motor Performance: Use caution when operating machinery ( 5.8 ) Angle Closure Glaucoma: Avoid use of antidepressants, including Escitalopram Capsules, in patients with untreated anatomically narrow angles ( 5.9 ) Use in Patients with Concomitant Illness: Use caution in patients with diseases or conditions that produce altered metabolism or hemodynamic responses ( 5.10 ) Sexual Dysfunction: Escitalopram Capsules may cause symptoms of sexual dysfunction ( 5.11 )

Indications and Usage

Escitalopram Capsules are indicated for the treatment of: Major depressive disorder (MDD) in adults younger than 65 years of age [see Dosage and Administration ( 2.1 )] and pediatric patients 12 years of age and older. Generalized anxiety disorder (GAD) in adults younger than 65 years of age [see Dosage and Administration (2.1)] . Additional pediatric use information is approved for AbbVie Inc.’s LEXAPRO (escitalopram) tablets and LEXAPRO (escitalopram) oral solution. However, due to AbbVie Inc.’s marketing exclusivity rights, this drug product is not labeled with that information.

Dosage and Administration

Escitalopram Capsules are only available in a 15 mg strength ( 2.1 ) Use another escitalopram product for dosage initiation, titration, dosages other than 15 mg once daily, and for discontinuation ( 2.1 ) Escitalopram Capsules are not indicated in geriatric patients and not recommended in patients with hepatic impairment ( 2.1 ) Recommended starting dosage is 10 mg orally once daily of another escitalopram product. Based on response and tolerability, may increase to the maximum recommended dosage of 20 mg once daily of another escitalopram product ( 2.2 , 2.3 ) Escitalopram Capsules 15 mg orally once daily may be initiated in patients experiencing unfavorable tolerability to a 20 mg escitalopram dosage ( 2.2 , 2.3 ) Administer orally once daily with or without food. Swallow capsules whole ( 2.4 ) When discontinuing, reduce dosage gradually using another escitalopram product ( 2.7 , 5.3 )

Contraindications

Escitalopram Capsules are contraindicated in patients: Taking, or within 14 days of stopping, MAOIs, including linezolid or intravenous methylene blue, because of an increased risk of serotonin syndrome [see Dosage and Administration ( 2.6 ), Warnings and Precautions ( 5.2 ), Drug Interactions ( 7 )] . Taking pimozide because of the risk of QT prolongation [see Drug Interactions ( 7 )] . With known hypersensitivity to escitalopram or citalopram or any of the inactive ingredients in Escitalopram Capsules.

Adverse Reactions

The following adverse reactions are discussed in greater detail in other sections of the labeling: Suicidal Thoughts and Behaviors in Adolescents and Young Adults [see Warnings and Precautions ( 5.1 )] Serotonin Syndrome [see Warnings and Precautions ( 5.2 )] Discontinuation Syndrome [see Warnings and Precautions ( 5.3 )] Seizures [see Warnings and Precautions ( 5.4 )] Activation of Mania or Hypomania [see Warnings and Precautions ( 5.5 )] Hyponatremia [see Warnings and Precautions ( 5.6 )] Increased Risk of Bleeding [see Warnings and Precautions ( 5.7 )] Interference with Cognitive and Motor Performance [see Warnings and Precautions ( 5.8 )] Angle Closure Glaucoma [see Warnings and Precautions ( 5.9 )] Use in Patients with Concomitant Illness [see Warnings and Precautions ( 5.10 )] Sexual Dysfunction [see Warnings and Precautions ( 5.11 )]

Drug Interactions

Table 6 presents clinically important drug interactions with Escitalopram Capsules. Table 6: Clinically Important Drug Interactions with Escitalopram Capsules Monoamine Oxidase Inhibitors (MAOIs) Prevention or Management Escitalopram Capsules are contraindicated in patients taking MAOIs, including MAOIs such as linezolid or intravenous methylene blue [see Dosage and Administration ( 2.6 ), Contraindications ( 4 ), Warnings and Precautions ( 5.2 )] . Mechanism and Clinical Effect(s) Concomitant use of SSRIs, including Escitalopram Capsules, and MAOIs increases the risk of serotonin syndrome. Pimozide Prevention or Management Escitalopram Capsules are contraindicated in patients taking pimozide [see Contraindications ( 4 )] . Mechanism and Clinical Effect(s) Concomitant use of racemic citalopram with pimozide increases plasma concentrations of pimozide, a drug with a narrow therapeutic index, and may increase the risk of QT prolongation and/or ventricular arrhythmias compared to use of racemic citalopram alone. The mechanism of this pharmacodynamic interaction is not known [see Clinical Pharmacology ( 12.3 )] . Other Serotonergic Drugs Prevention or Management Monitor patients for signs and symptoms of serotonin syndrome, particularly during escitalopram initiation and dosage increases. If serotonin syndrome occurs, consider discontinuation of Escitalopram Capsules and/or concomitant serotonergic drugs [see Warnings and Precautions ( 5.2 )] . Mechanism and Clinical Effect(s) Concomitant use of Escitalopram Capsules and other serotonergic drugs (including other SSRIs, SNRIs, triptans, tricyclic antidepressants, opioids, lithium, buspirone, amphetamines, tryptophan, and St. John's Wort) increases the risk of serotonin syndrome. Drugs That Interfere With Hemostasis (NSAIDs, Aspirin, Warfarin, etc.) Prevention or Management Inform patients of the increased risk of bleeding associated with the concomitant use of Escitalopram Capsules and antiplatelet agents and anticoagulants. For patients taking warfarin, carefully monitor the international normalized ratio [see Warnings and Precautions ( 5.7 )] . Mechanism and Clinical Effect(s) Concomitant use of Escitalopram Capsules and an antiplatelet or anticoagulant may potentiate the risk of bleeding. Sumatriptan Prevention or Management If concomitant use of Escitalopram Capsules and sumatriptan is clinically warranted, appropriate observation of the patient is advised [see Warnings and Precautions ( 5.2 )] . Mechanism and Clinical Effect(s) There have been postmarketing reports of weakness, hyperreflexia, and incoordination following the concomitant use of an SSRI and sumatriptan. Lithium Prevention or Management Monitor plasma lithium levels with appropriate adjustment to the lithium dose in accordance with standard clinical practice. Mechanism and Clinical Effect(s) Because lithium may enhance the serotonergic effects of escitalopram, caution should be exercised when Escitalopram Capsules is used concomitantly with lithium. Alcohol Prevention or Management Concomitant use of Escitalopram Capsules and alcohol is not recommended. Mechanism and Clinical Effect(s) Alcohol may potentiate the psychotropic effects of escitalopram. Drugs Metabolized by CYP2D6 Prevention or Management The clinical significance of this finding is unknown. Exercise caution during coadministration of Escitalopram Capsules and drugs metabolized by CYP2D6. Mechanism and Clinical Effect(s) Coadministration of escitalopram with the tricyclic antidepressant desipramine, a substrate for CYP2D6, resulted in a 40% increase in Cmax and a 100% increase in AUC of desipramine.

Storage and Handling

How Supplied 15 mg capsules: Hard shell gelatin capsules, with “ALM” printed axially on the light blue opaque cap and “795” printed axially on the blue opaque body. All printing is in black ink. NDC 52427-795-30, Bottle of 30 capsules with a child-resistant closure Storage and Handling Store at 20°C to 25°C (68°F to 77°F); excursions permitted to 15°C to 30°C (59°F to 86°F) [see USP Controlled Room Temperature].

How Supplied

How Supplied 15 mg capsules: Hard shell gelatin capsules, with “ALM” printed axially on the light blue opaque cap and “795” printed axially on the blue opaque body. All printing is in black ink. NDC 52427-795-30, Bottle of 30 capsules with a child-resistant closure Storage and Handling Store at 20°C to 25°C (68°F to 77°F); excursions permitted to 15°C to 30°C (59°F to 86°F) [see USP Controlled Room Temperature].

Description

Antidepressants increased the risk of suicidal thoughts and behaviors in pediatric and young adult patients in short-term studies. Closely monitor all antidepressant-treated patients for clinical worsening, and for emergence of suicidal thoughts and behaviors [see Warnings and Precautions ( 5.1 )].

Section 42229-5

Distributed by:

Almatica Pharma LLC

Morristown, NJ 07960 USA

PI795-00

Section 42231-1
This Medication Guide has been approved by the U.S. Food and Drug Administration. Issued: 08/2025
MEDICATION GUIDE

Escitalopram (es sye tal oh pram) Capsules

for oral use
What is the most important information I should know about Escitalopram Capsules?

Escitalopram Capsules may cause serious side effects, including:

  • Increased risk of suicidal thoughts and actions. Escitalopram Capsules and other antidepressant medicines increase the risk of suicidal thoughts and actions in people 24 years of age and younger, especially within the first few months of treatment or when the dose is changed.

    Depression or other mental illnesses are the most important causes of suicidal thoughts or actions.

    How can I watch for and try to prevent suicidal thoughts and actions?

    ○ Pay close attention to any changes, especially sudden changes in mood, behavior, thoughts, or feelings, or if you or your child develop suicidal thoughts or actions. This is very important when an antidepressant medicine is started or when the dose is changed.

    ○ Call your healthcare provider right away to report new or sudden changes in mood, behavior, thoughts, or feelings or if you or your child develop suicidal thoughts or actions.

    ○ Keep all follow-up visits with your healthcare provider as scheduled and call your healthcare provider between visits if you are worried about symptoms.
Call your healthcare provider or get emergency medical help right away if you or your child have any of the following symptoms, especially if they are new, worse, or worry you:
  • suicide attempts
  • acting aggressive, being angry or violent
  • new or worse depression
  • panic attacks
  • new or worse irritability
  • an extreme increase in activity or talking (mania)
  • acting on dangerous impulses
  • thoughts about suicide or dying
  • new or worsening anxiety
  • feeling very agitated or restless
  • trouble sleeping
  • other unusual changes in behavior or mood
What are Escitalopram Capsules?

Escitalopram Capsules are a prescription medicine used to treat:

  • a certain type of depression called major depressive disorder (MDD) in adults younger than 65 years of age and children 12 years of age and older

  • Generalized anxiety disorder (GAD) in adults younger than 65 years of age.
It is not known if Escitalopram Capsules are safe and effective for use in children under 12 years of age with MDD or if escitalopram is safe and effective for use in children under 7 years of age with GAD.
Who should not take Escitalopram Capsules?

Do not take Escitalopram Capsules if you or your child:

  • are taking, or have stopped taking within the last 14 days, a medicine called a monoamine oxidase inhibitor (MAOI), including the antibiotic linezolid or intravenous methylene blue

  • are taking the antipsychotic medicine pimozide

  • are allergic to escitalopram or citalopram or any of the ingredients in Escitalopram Capsules. See the end of this Medication Guide for a complete list of ingredients in Escitalopram Capsules.
Ask your healthcare provider or pharmacist if you are not sure if you or your child take an MAOI, including the antibiotic linezolid or intravenous methylene blue.

Do not start taking an MAOI for at least 14 days after you or your child have stopped treatment with Escitalopram Capsules.
Before taking Escitalopram Capsules, tell your healthcare provider about all your medical conditions, including if you or your child:

  • have or had seizures or convulsions

  • have, or have a family history of bipolar disorder, mania, or hypomania

  • have low blood sodium levels

  • have or had bleeding problems

  • have high pressure in the eye (glaucoma)

  • have heart, liver, or kidney problems

  • are pregnant or plan to become pregnant. Escitalopram Capsules may harm the unborn baby. Taking Escitalopram Capsules during the third trimester of pregnancy may cause the baby to have withdrawal symptoms, or breathing, temperature control, feeding, or other problems after birth. Talk to your healthcare provider about the risks to the baby if you or your child take Escitalopram Capsules during pregnancy.

    ○ Tell your healthcare provider right away if you or your child become pregnant or think you may be pregnant during treatment with Escitalopram Capsules.

    ○ There is a pregnancy registry for females who are exposed to Escitalopram Capsules during pregnancy. The purpose of the registry is to collect information about the health of females exposed to Escitalopram Capsules and their baby. If you or your child become pregnant during treatment with Escitalopram Capsules, talk to your healthcare provider about registering with the National Pregnancy Registry for Antidepressants at 1-844-405-6185 or visit online at https://womensmentalhealth.org/research/pregnancyregistry/antidepressants.

  • are breastfeeding or plan to breastfeed. Escitalopram passes into breast milk and may harm the baby. Talk to your healthcare provider about the best way to feed the baby during treatment with Escitalopram Capsules.

    ○ If you or your child breastfeed during treatment with Escitalopram Capsules, call your healthcare provider if the baby develops sleepiness or fussiness, or is not feeding or gaining weight well.
Tell your healthcare provider about all the medicines you or your child take, including prescription and non-prescription medicines, vitamins, and herbal supplements.

Escitalopram Capsules and some medicines may affect each other and may cause serious side effects.

Escitalopram Capsules may affect the way other medicines work and other medicines may affect the way Escitalopram Capsules works.

Especially tell your healthcare provider if you take:

  • medicines used to treat migraine headache known as triptans

  • tricyclic antidepressants

  • lithium

  • tramadol, fentanyl, meperidine, methadone, or other opioids

  • tryptophan

  • buspirone

  • amphetamines

  • St. John’s Wort

  • medicines used to treat mood, anxiety, psychotic or thought disorders, including selective serotonin reuptake inhibitors (SSRIs) and serotonin norepinephrine reuptake inhibitors (SNRIs)

  • diuretics

  • medicines that can affect blood clotting such as aspirin, nonsteroidal anti-inflammatory drugs (NSAIDs) and warfarin
Ask your healthcare provider if you are not sure if you or your child are taking any of these medicines. Your healthcare provider can tell you if it is safe to take Escitalopram Capsules with your other medicines.

Do not start or stop any other medicines during treatment with Escitalopram Capsules without talking to your healthcare provider first. Stopping Escitalopram Capsules suddenly may cause you or your child to have serious side effects. See “What are the possible side effects of Escitalopram Capsules?”

Know the medicines you or your child take. Keep a list of them to show your healthcare provider and pharmacist when you get new medicine.
How should I take Escitalopram Capsules?
  • Take Escitalopram Capsules exactly as your healthcare provider tells you to. Your healthcare provider may need to change the dose of escitalopram until it is the right dose for you or your child. When you first start escitalopram, or if your dose needs to be changed, your healthcare provider will use a different escitalopram medicine.

  • Take Escitalopram Capsules 1 time each day, in the morning or the evening.

  • Take Escitalopram Capsules with or without food.
  • Swallow Escitalopram Capsules whole. Do not open, crush, or chew capsules.

  • If you or your child take too much Escitalopram Capsules, call your healthcare provider or Poison Help Line at 1-800-222-1222, or go to the nearest hospital emergency room right away.
What should I avoid while taking Escitalopram Capsules?
  • Do not drive, operate heavy machinery, or do other dangerous activities until you know how Escitalopram Capsules affects you. Escitalopram Capsules can cause sleepiness or may affect your ability to make decisions, think clearly, or react quickly.

  • You should not drink alcohol during treatment with Escitalopram Capsules.
What are the possible side effects of Escitalopram Capsules?

Escitalopram Capsules may cause serious side effects, including:
  • See “What is the most important information I should know about Escitalopram Capsules?”

  • Serotonin syndrome. A potentially life-threatening problem called serotonin syndrome can happen when Escitalopram Capsules is taken with certain other medicines. See “Who should not take Escitalopram Capsules?” Call your healthcare provider or go to the nearest hospital emergency room right away if you or your child have any of the following signs and symptoms of serotonin syndrome:
  • agitation
  • confusion
  • fast heartbeat
  • sweating
  • flushing
  • seizures
  • nausea, vomiting, diarrhea
  • seeing or hearing things that are not real (hallucinations)
  • coma
  • blood pressure changes
  • shaking (tremors), stiff muscles, or muscle twitching
  • dizziness
  • high body temperature (hyperthermia)
  • loss of coordination
  • Discontinuation syndrome. Suddenly stopping Escitalopram Capsules may cause you or your child to have serious side effects. Your healthcare provider may want to decrease the escitalopram dose slowly and will switch you to a different escitalopram medicine that is available in a lower dose if you need to stop treatment. Symptoms may include:
  • nausea
  • sweating
  • changes in mood
  • irritability and agitation
  • dizziness
  • electric shock sensation (paresthesia)
  • shaking (tremor)
  • anxiety
  • confusion
  • headache
  • tiredness
  • problems sleeping
  • hypomania
  • ringing in your ears (tinnitus)
  • seizures
  • Seizures (convulsions).
  • Manic episodes. Manic episodes may happen in people with bipolar disorder who take Escitalopram Capsules. Tell your healthcare provider if you develop any symptoms of mania, which may include:
  • greatly increased energy
  • racing thoughts
  • unusually grand ideas
  • talking more or faster than usual
  • severe trouble sleeping
  • reckless behavior
  • excessive happiness or irritability
  • Low sodium levels in the blood (hyponatremia). Low sodium levels in the blood that may be serious and may cause death can happen during treatment with Escitalopram Capsules. People who take certain medicines may be at greater risk for developing low sodium levels in the blood. Signs and symptoms may include:
  • headache
  • weakness or feeling unsteady which can lead to falls
  • memory problems
  • problems concentrating or thinking
  • confusion
In more severe or more sudden cases, signs and symptoms include:
  • seeing or hearing things that are not real (hallucinations)
  • seizures
  • stopping breathing (respiratory arrest)
  • fainting
  • coma
  • Increased risk of bleeding: Taking Escitalopram Capsules with aspirin, NSAIDS, warfarin, or other blood thinners may add to this risk. Tell your healthcare provider if you have any unusual bleeding or bruising.
  • Eye problems (angle-closure glaucoma). Escitalopram Capsules may cause a type of eye problem called angle-closure glaucoma in people with certain eye problems. You or your child may want to undergo an eye examination to see if you are at risk and receive preventative treatment if you are. Call your healthcare provider if you or your child have:
  • eye pain
  • changes in vision
  • swelling or redness in or around the eye
  • Sexual problems (dysfunction). Taking Escitalopram Capsules may cause sexual problems.

    Symptoms in males may include:
  • delayed ejaculation or inability to have an ejaculation
  • problems getting or keeping an erection
  • decreased sex drive
      Symptoms in females may include:
  • decreased sex drive
  • delayed orgasm or inability to have an orgasm
Talk to your healthcare provider if you develop any changes in your sexual function or if you have any questions or concerns about sexual problems during treatment with Escitalopram Capsules. There may be treatments your healthcare provider can suggest.
The most common side effects of Escitalopram Capsules include:
  • trouble sleeping
  • delayed ejaculation

  • nausea
  • increased sweating
  • tiredness

  • sleepiness
  • decreased sex drive
  • delayed orgasm or inability to have an orgasm
Height and weight changes in children may happen during treatment with Escitalopram Capsules. Your child’s height and weight should be monitored during treatment with Escitalopram Capsules.

These are not all of the possible side effects of Escitalopram Capsules.

Call your doctor for medical advice about side effects. You may report side effects to FDA at 1-800-FDA-1088.
How should I store Escitalopram Capsules?
  • Store Escitalopram Capsules at room temperature between 68°F to 77°F (20°C to 25°C).
  • Escitalopram Capsules come in a bottle with a child-resistant cap.

  • Keep Escitalopram Capsules and all medicines out of the reach of children.
General information about the safe and effective use of Escitalopram Capsules.

Medicines are sometimes prescribed for purposes other than those listed in a Medication Guide. Do not use Escitalopram Capsules for a condition for which it was not prescribed. Do not give Escitalopram Capsules to other people, even if they have the same symptoms that you have. It may harm them. You may ask your pharmacist or healthcare provider for information about Escitalopram Capsules that is written for health professionals.
What are the ingredients in Escitalopram Capsules?

Active ingredient: escitalopram oxalate

Inactive ingredients: croscarmellose sodium, copovidone, FD&C Blue #1, FD&C Red #40, gelatin, magnesium stearate, microcrystalline cellulose, sodium lauryl sulfate, talc, and titanium dioxide



Distributed by:

Almatica Pharma LLC

Morristown, NJ 07960 USA

 

For more information about Escitalopram Capsules, call 1-877-447-7979 or visit www.almatica.com.



Additional pediatric use information is approved for AbbVie Inc.’s LEXAPRO (escitalopram) tablets and LEXAPRO (escitalopram) oral solution. However, due to AbbVie Inc.’s marketing exclusivity rights, this drug product is not labeled with that information.

MG795-00

9.2 Abuse

Animal studies suggest that the abuse liability of racemic citalopram is low. Escitalopram has not been systematically studied in humans for its potential for abuse. The premarketing clinical experience with escitalopram did not reveal any drug-seeking behavior. However, these observations were not systematic and it is not possible to predict on the basis of this limited experience the extent to which a CNS-active drug will be misused, and/or abused once marketed. Consequently, healthcare providers should carefully evaluate Escitalopram Capsules patients for history of drug abuse and follow such patients closely, observing them for signs of misuse or abuse (e.g., incrementations of dosage, drug-seeking behavior).

5.4 Seizures

Although anticonvulsant effects of racemic citalopram have been observed in animal studies, Escitalopram Capsules have not been systematically evaluated in patients with a seizure disorder. Patients with a seizure disorder were excluded from premarketing clinical studies. In clinical trials of another escitalopram product, cases of convulsion have been reported in association with escitalopram treatment. Like other drugs effective in the treatment of major depressive disorder, Escitalopram Capsules should be introduced with care in patients with a history of seizure disorder.

10 Overdosage

The following have been reported with escitalopram overdosage:

  • Seizures, which may be delayed, and altered mental status including coma.

  • Cardiovascular toxicity, which may be delayed, including QRS and QTc interval prolongation, wide complex tachyarrhythmias, and torsade de pointes. Hypertension most commonly seen, but rarely can see hypotension alone or with co-ingestants including alcohol.

  • Serotonin syndrome (patients with a multiple drug overdosage with other proserotonergic drugs may have a higher risk).

Prolonged cardiac monitoring is recommended in Escitalopram Capsules overdosage due to the arrhythmia risk.

Gastrointestinal decontamination with activated charcoal should be considered in patients who present early after an Escitalopram Capsules overdose.

As with the management of all overdosage, the possibility of multiple drug ingestion should be considered. Consider contacting the Poison Help line (1-800-222-1222) or a medical toxicologist for additional overdose management recommendations.

8.1 Pregnancy

Pregnancy Exposure Registry

There is a pregnancy exposure registry that monitors pregnancy outcomes in women exposed to antidepressants during pregnancy. Healthcare providers are encouraged to advise patients to register by calling the National Pregnancy Registry for Antidepressants at 1-844-405-6185 or visiting online at https://womensmentalhealth.org/research/pregnancyregistry/antidepressants.

Risk Summary

Based on data from published observational studies, exposure to SSRIs, particularly in the month before delivery, has been associated with a less than 2-fold increase in the risk of postpartum hemorrhage [see Warnings and Precautions (5.7), Clinical Considerations].

Available data from published epidemiologic studies and postmarketing reports have not established an increased risk of major birth defects or miscarriage. There are risks of persistent pulmonary hypertension of the newborn (PPHN) (see Data) and poor neonatal adaptation (see Clinical Considerations) with exposure to selective serotonin reuptake inhibitors (SSRIs), including Escitalopram Capsules, during pregnancy. There are risks associated with untreated depression in pregnancy (see Clinical Considerations).

In animal reproduction studies, both escitalopram and racemic citalopram have been shown to have adverse effects on embryo/fetal and postnatal development, including fetal structural abnormalities, when administered at doses greater than human therapeutic doses (see Data).

The estimated background risk of major birth defects and miscarriage for the indicated population is unknown. All pregnancies have a background risk of birth defect, loss, or other adverse outcomes. In the U.S. general population, the estimated background risk of major birth defects and miscarriage in the clinically recognized pregnancies is 2 to 4% and 15 to 20%, respectively.

Clinical Considerations

Disease-associated maternal risk and/or embryo/fetal risk

Women who discontinue antidepressants are more likely to experience a relapse of major depression than women who continue antidepressants. This finding is from a prospective longitudinal study of 201 pregnant women with a history of major depression, who were euthymic and taking antidepressants at the beginning of pregnancy. Consider the risk of untreated depression when discontinuing or changing treatment with antidepressant medication during pregnancy and postpartum.

Maternal Adverse Reactions

Use of Escitalopram Capsules in the month before delivery may be associated with an increased risk of postpartum hemorrhage [see Warnings and Precautions (5.7)].

Fetal/Neonatal adverse reactions

Neonates exposed to SSRIs or SNRIs, including Escitalopram Capsules, late in third trimester have developed complications requiring prolonged hospitalization, respiratory support, and tube feeding. Such complications can arise immediately upon delivery. Reported clinical findings have included respiratory distress, cyanosis, apnea, seizures, temperature instability, feeding difficulty, vomiting, hypoglycemia, hypotonia, hypertonia, hyperreflexia, tremor, jitteriness, irritability, and constant crying. These features are consistent with either a direct toxic effect of SSRIs and SNRIs or, possibly, a drug discontinuation syndrome. It should be noted that, in some cases, the clinical picture is consistent with serotonin syndrome [see Warnings and Precautions (5.2)].

Data

Human Data

Exposure to SSRIs, particularly later in pregnancy, may increase the risk for PPHN. PPHN occurs in 1-2 per 1000 live births in the general populations and is associated with substantial neonatal morbidity and mortality.

Animal Data

In a rat embryo/fetal development study, oral administration of escitalopram (56, 112, or 150 mg/kg/day) to pregnant animals during the period of organogenesis resulted in decreased fetal body weight and associated delays in ossification at the two higher doses [approximately ≥ 55 times the maximum recommended human dose (MRHD) of 20 mg/day on a mg/m2 basis]. Maternal toxicity (clinical signs and decreased body weight gain and food consumption), mild at 56 mg/kg/day, was present at all dose levels. The developmental no-effect dose of 56 mg/kg/day is approximately 27 times the MRHD of 20 mg on a mg/m2 basis. No malformations were observed at any of the doses tested (as high as 73 times the MRHD on a mg/m2 basis).

When female rats were treated with escitalopram (6, 12, 24, or 48 mg/kg/day) during pregnancy and through weaning, slightly increased offspring mortality and growth retardation were noted at 48 mg/kg/day which is approximately 23 times the MRHD of 20 mg on a mg/m2 basis. Slight maternal toxicity (clinical signs and decreased body weight gain and food consumption) was seen at this dose. Slightly increased offspring mortality was also seen at 24 mg/kg/day. The no-effect dose was 12 mg/kg/day which is approximately 6 times the MRHD of 20 mg on a mg/m2 basis.

In two rat embryo/fetal development studies, oral administration of racemic citalopram (32, 56, or 112 mg/kg/day) to pregnant animals during the period of organogenesis resulted in decreased embryo/fetal growth and survival and an increased incidence of fetal abnormalities (including cardiovascular and skeletal defects) at the high dose, which is approximately 18 times the MRHD of 60 mg/day on a mg/m2 basis. This dose was also associated with maternal toxicity (clinical signs, decreased body weight gain). The developmental no-effect dose was 56 mg/kg/day is approximately 9 times the MRHD on a mg/m2 basis. In a rabbit study, no adverse effects on embryo/fetal development were observed at doses of racemic citalopram of up to 16 mg/kg/day, or approximately 5 times the MRHD on a mg/m2 basis. Thus, developmental effects of racemic citalopram were observed at a maternally toxic dose in the rat and were not observed in the rabbit.

When female rats were treated with racemic citalopram (4.8, 12.8, or 32 mg/kg/day) from late gestation through weaning, increased offspring mortality during the first 4 days after birth and persistent offspring growth retardation were observed at the highest dose, which is approximately 5 times the MRHD of 60 mg on a mg/m2 basis. The no-effect dose was 12.8 mg/kg/day is approximately 2 times the MRHD on a mg/m2 basis. Similar effects on offspring mortality and growth were seen when dams were treated throughout gestation and early lactation at doses ≥ 24 mg/kg/day, approximately 4 times the MRHD on a mg/m2 basis. A no-effect dose was not determined in that study.

8.2 Lactation

Risk Summary

Data from the published literature report the presence of escitalopram and desmethylescitalopram in human milk (see Data). There are reports of excessive sedation, restlessness, agitation, poor feeding and poor weight gain in infants exposed to escitalopram, through breast milk (see Clinical Considerations). There are no data on the effects of escitalopram or its metabolites on milk production. The developmental and health benefits of breastfeeding should be considered along with the mother’s clinical need for Escitalopram Capsules and any potential adverse effects on the breastfed child from Escitalopram Capsules or from the underlying maternal condition.

Clinical Considerations

Infants exposed to Escitalopram Capsules should be monitored for excess sedation, restlessness, agitation, poor feeding and poor weight gain.

Data

A study of 8 nursing mothers on another escitalopram product with daily doses of 10-20 mg/day showed that exclusively breast-fed infants receive approximately 3.9% of the maternal weight-adjusted dose of escitalopram and 1.7% of the maternal weight-adjusted dose of desmethylcitalopram. 

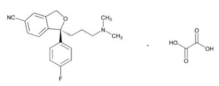
11 Description

Escitalopram Capsules contain escitalopram, a selective serotonin reuptake inhibitor (SSRI), present as escitalopram oxalate salt. Escitalopram is the pure S- enantiomer (single isomer) of the racemic bicyclic phthalane derivative citalopram. Escitalopram oxalate is designated S-(+)-1-[3(dimethyl-amino)propyl]-1-(p-fluorophenyl)-5-phthalancarbonitrile oxalate with the following structural formula:

The molecular formula is C20H21FN2O • C2H2O4 and the molecular weight is 414.43. Escitalopram oxalate occurs as a fine, white to slightly yellow powder and is freely soluble in methanol and in dimethyl sulphoxide, sparingly soluble in water and in alcohol, very slightly soluble in ethyl acetate and in isopropyl alcohol, and insoluble in heptane.

Escitalopram Capsules are intended for oral administration and are available only in a 15 mg strength. The capsules contain 15 mg escitalopram (equivalent to 19.16 mg escitalopram oxalate) and the following inactive ingredients: croscarmellose sodium, copovidone, FD&C Blue #1, FD&C Red #40, gelatin, magnesium stearate, microcrystalline cellulose, sodium lauryl sulfate, talc, and titanium dioxide.

9.3 Dependence

Escitalopram has not been systematically studied in humans for its potential for tolerance or physical dependence.

5.6 Hyponatremia

Hyponatremia may occur as a result of treatment with SSRIs, including Escitalopram Capsules. In many cases, this hyponatremia appears to be the result of the syndrome of inappropriate antidiuretic hormone secretion (SIADH) and was reversible when escitalopram was discontinued. Cases with serum sodium lower than 110 mmol/L have been reported with another escitalopram product. Geriatric patients may be at greater risk of developing hyponatremia with SSRIs and SNRIs (Escitalopram Capsules are not indicated in geriatric patients) [see Use in Specific Populations (8.5)]. Also, patients taking diuretics or who are otherwise volume depleted may be at greater risk. Consider discontinuing Escitalopram Capsules in patients with symptomatic hyponatremia and institute appropriate medical intervention.

Signs and symptoms of hyponatremia include headache, difficulty concentrating, memory impairment, confusion, weakness, and unsteadiness, which may lead to falls. Signs and symptoms associated with more severe and/or acute cases have included hallucination, syncope, seizure, coma, respiratory arrest, and death.

8.4 Pediatric Use

Major Depressive Disorder

The safety and effectiveness of Escitalopram Capsules for the treatment of major depressive disorder (MDD) have been established in pediatric patients 12 years of age and older. Use of Escitalopram Capsules for this indication is supported by evidence from adequate and well-controlled studies of another escitalopram product in adults with additional evidence from an 8-week, flexible-dose, placebo-controlled study that compared escitalopram 10 mg to 20 mg once daily to placebo in pediatric patients 12 to 17 years of age with MDD [see Clinical Studies (14.1)]. The safety of escitalopram was similar to adult patients with MDD [see Adverse Reactions (6.1)].

The safety and effectiveness of Escitalopram Capsules for the treatment of MDD have not been established in pediatric patients younger than 12 years of age. In a 24-week, open-label safety study in 118 pediatric patients aged 7 to 11 years who had MDD, the safety findings were consistent with the known safety and tolerability profile for escitalopram.

Antidepressants increase the risk of suicidal thoughts and behaviors in pediatric patients [see Warnings and Precautions (5.1)]. Decreased appetite and weight loss have been observed in association with the use of SSRIs. Consequently, regular monitoring of weight and growth should be performed in children and adolescents treated with an SSRI such as escitalopram.

Generalized Anxiety Disorder

The safety and effectiveness of escitalopram for the treatment of generalized anxiety disorder have not been established in pediatric patients younger than 7 years of age.

Additional pediatric use information is approved for AbbVie Inc.’s LEXAPRO (escitalopram) tablets and LEXAPRO (escitalopram) oral solution. However, due to AbbVie Inc.’s marketing exclusivity rights, this drug product is not labeled with that information.

Juvenile Animal Toxicity Data

In a juvenile animal study, male and female rats were administered escitalopram at 5, 40, or 80 mg/kg/day by oral gavage from postnatal day (PND) 21 to PND 69. A delay in sexual maturation was observed in both males and females at ≥ 40 mg/kg/day with a No Observed Adverse Effect Level (NOAEL) of 5 mg/kg/day. This NOAEL was associated with plasma AUC levels less than those measured at the maximum recommended human dose (MRHD) in pediatrics (20 mg). However, there was no effect on reproductive function. Increased motor activity (both ambulatory and fine movements) was observed in females prior to daily dosing at ≥ 40 mg/kg/day (3.5 times the MRHD based on AUC levels). A reversible disruption of learning and memory function was observed in males at 80 mg/kg/day with a NOAEL of 40 mg/kg/day, which was associated with an AUC level 3.5 times those measured at the MRHD in pediatrics. There was no effect on learning and memory function in treated female rats.

8.5 Geriatric Use

Escitalopram Capsules are not indicated in geriatric patients. Avoid use of Escitalopram Capsules in geriatric patients because the recommended dosage in these patients can not be achieved with the available dosage strength.

Approximately 69 patients (6%) of the 1,144 patients receiving escitalopram in controlled trials of another escitalopram product in major depressive disorder and GAD were 60 years of age or older [see Clinical Studies (14.1, 14.2)].

In two pharmacokinetic studies, escitalopram half-life was increased by approximately 50% in subjects 65 years and older as compared to young subjects and Cmax was unchanged [see Clinical Pharmacology (12.3)].

SSRIs, including escitalopram, have been associated with cases of clinically significant hyponatremia in geriatric patients, who may be at greater risk for this adverse reaction [see Warnings and Precautions (5.6)].

Of 4,422 patients in clinical studies of racemic citalopram, 1,357 were 60 and over, 1,034 were 65 and over, and 457 were 75 and over.

4 Contraindications

Escitalopram Capsules are contraindicated in patients:

  • Taking, or within 14 days of stopping, MAOIs, including linezolid or intravenous methylene blue, because of an increased risk of serotonin syndrome [see Dosage and Administration (2.6), Warnings and Precautions (5.2), Drug Interactions (7)].
  • Taking pimozide because of the risk of QT prolongation [see Drug Interactions (7)].
  • With known hypersensitivity to escitalopram or citalopram or any of the inactive ingredients in Escitalopram Capsules.
6 Adverse Reactions

The following adverse reactions are discussed in greater detail in other sections of the labeling:

  • Suicidal Thoughts and Behaviors in Adolescents and Young Adults [see Warnings and Precautions (5.1)]
  • Serotonin Syndrome [see Warnings and Precautions (5.2)]
  • Discontinuation Syndrome [see Warnings and Precautions (5.3)]
  • Seizures [see Warnings and Precautions (5.4)]
  • Activation of Mania or Hypomania [see Warnings and Precautions (5.5)]
  • Hyponatremia [see Warnings and Precautions (5.6)]
  • Increased Risk of Bleeding [see Warnings and Precautions (5.7)]
  • Interference with Cognitive and Motor Performance [see Warnings and Precautions (5.8)]
  • Angle Closure Glaucoma [see Warnings and Precautions (5.9)]
  • Use in Patients with Concomitant Illness [see Warnings and Precautions (5.10)]
  • Sexual Dysfunction [see Warnings and Precautions (5.11)]
7 Drug Interactions

Table 6 presents clinically important drug interactions with Escitalopram Capsules.

Table 6: Clinically Important Drug Interactions with Escitalopram Capsules
Monoamine Oxidase Inhibitors (MAOIs)
Prevention or Management Escitalopram Capsules are contraindicated in patients taking MAOIs, including MAOIs such as linezolid or intravenous methylene blue [see Dosage and Administration (2.6), Contraindications (4), Warnings and Precautions (5.2)].
Mechanism and Clinical Effect(s) Concomitant use of SSRIs, including Escitalopram Capsules, and MAOIs increases the risk of serotonin syndrome.
Pimozide
Prevention or Management Escitalopram Capsules are contraindicated in patients taking pimozide [see Contraindications (4)].
Mechanism and Clinical Effect(s) Concomitant use of racemic citalopram with pimozide increases plasma concentrations of pimozide, a drug with a narrow therapeutic index, and may increase the risk of QT prolongation and/or ventricular arrhythmias compared to use of racemic citalopram alone. The mechanism of this pharmacodynamic interaction is not known [see Clinical Pharmacology (12.3)].
Other Serotonergic Drugs
Prevention or Management Monitor patients for signs and symptoms of serotonin syndrome, particularly during escitalopram initiation and dosage increases. If serotonin syndrome occurs, consider discontinuation of Escitalopram Capsules and/or concomitant serotonergic drugs [see Warnings and Precautions (5.2)].
Mechanism and Clinical Effect(s) Concomitant use of Escitalopram Capsules and other serotonergic drugs (including other SSRIs, SNRIs, triptans, tricyclic antidepressants, opioids, lithium, buspirone, amphetamines, tryptophan, and St. John's Wort) increases the risk of serotonin syndrome.
Drugs That Interfere With Hemostasis (NSAIDs, Aspirin, Warfarin, etc.)
Prevention or Management Inform patients of the increased risk of bleeding associated with the concomitant use of Escitalopram Capsules and antiplatelet agents and anticoagulants. For patients taking warfarin, carefully monitor the international normalized ratio [see Warnings and Precautions (5.7)].
Mechanism and Clinical Effect(s) Concomitant use of Escitalopram Capsules and an antiplatelet or anticoagulant may potentiate the risk of bleeding.
Sumatriptan
Prevention or Management If concomitant use of Escitalopram Capsules and sumatriptan is clinically warranted, appropriate observation of the patient is advised [see Warnings and Precautions (5.2)].
Mechanism and Clinical Effect(s) There have been postmarketing reports of weakness, hyperreflexia, and incoordination following the concomitant use of an SSRI and sumatriptan.
Lithium
Prevention or Management Monitor plasma lithium levels with appropriate adjustment to the lithium dose in accordance with standard clinical practice.
Mechanism and Clinical Effect(s) Because lithium may enhance the serotonergic effects of escitalopram, caution should be exercised when Escitalopram Capsules is used concomitantly with lithium.
Alcohol
Prevention or Management Concomitant use of Escitalopram Capsules and alcohol is not recommended.
Mechanism and Clinical Effect(s) Alcohol may potentiate the psychotropic effects of escitalopram.
Drugs Metabolized by CYP2D6
Prevention or Management The clinical significance of this finding is unknown. Exercise caution during coadministration of Escitalopram Capsules and drugs metabolized by CYP2D6.
Mechanism and Clinical Effect(s) Coadministration of escitalopram with the tricyclic antidepressant desipramine, a substrate for CYP2D6, resulted in a 40% increase in Cmax and a 100% increase in AUC of desipramine.
12.2 Pharmacodynamics

In vitro and in vivo studies in animals suggest that escitalopram is a highly selective serotonin reuptake inhibitor (SSRI) with minimal effects on norepinephrine and dopamine neuronal reuptake. Escitalopram is at least 100-fold more potent than the R-enantiomer with respect to inhibition of 5-HT reuptake and inhibition of 5-HT neuronal firing rate. Tolerance to a model of antidepressant effect in rats was not induced by long-term (up to 5 weeks) treatment with escitalopram. Escitalopram has no or very low affinity for serotonergic (5-HT1-7) or other receptors including alpha- and beta-adrenergic, dopamine (D1-5), histamine (H1-3), muscarinic (M1-5), and benzodiazepine receptors. Escitalopram also does not bind to, or has low affinity for, various ion channels including Na+, K+, Cl-, and Ca++ channels. Antagonism of muscarinic, histaminergic, and adrenergic receptors has been hypothesized to be associated with various anticholinergic, sedative, and cardiovascular side effects of other psychotropic drugs.

In vitro studies show that escitalopram is at least 7 and 27 times more potent than S-demethylcitalopram (S-DCT) and S-didemethylcitalopram (S-DDCT), respectively, in the inhibition of serotonin reuptake, suggesting that the metabolites of escitalopram do not contribute significantly to the antidepressant actions of escitalopram. S-DCT and S-DDCT also have no or very low affinity for serotonergic (5-HT1-7) or other receptors including alpha- and beta-adrenergic, dopamine (D1-5), histamine (H1-3), muscarinic (M1-5), and benzodiazepine receptors. S-DCT and S-DDCT also do not bind to various ion channels including Na+, K+, Cl-, and Ca++ channels.

Alcohol

Escitalopram did not potentiate the cognitive and motor effects of alcohol in a clinical trial [see Drug Interactions (7)].

Cardiac Electrophysiology

QTcF interval was evaluated in a randomized, placebo and active (moxifloxacin 400 mg) controlled cross-over, escalating multiple dose study in 113 healthy subjects. The maximum mean (95% upper confidence bound) difference from the placebo arm were 4.5 (6.4) and 10.7 (12.7) msec for 10 mg and 30 mg (1.5 times the maximum recommend dose) escitalopram given once daily, respectively. Based on the established exposure-response relationship, the predicted QTcF change from placebo arm (95% confidence interval) under the Cmax for the dose of 20 mg is 6.6 (7.9) msec. Escitalopram 30 mg given once daily resulted in mean Cmax of 1.7-fold higher than the mean Cmax for the maximum recommended dose of another escitalopram product at steady state (20 mg). The exposure under the 30 mg dose is similar to the steady state concentrations expected in CYP2C19 poor metabolizers following a dose of 20 mg.

12.3 Pharmacokinetics

The single- and multiple-dose pharmacokinetics of escitalopram are linear and dose-proportional in a dose range of 10 to 30 mg/day.

With once-daily dosing, steady state plasma concentrations are achieved within approximately one week. At steady state, the extent of accumulation of escitalopram in plasma in young healthy subjects was 2.2-2.5 times the plasma concentrations observed after a single dose.

Absorption 

The absolute bioavailability of citalopram is about 80% relative to an intravenous dose.

Effect of Food

Following the administration of a single oral dose of 15 mg Escitalopram Capsules to healthy volunteers, peak blood plasma levels occur at about (Tmax median) 4.5 hours under fasting condition and 5.0 hours under fed condition. Absorption of escitalopram is not affected by food.

Distribution

The binding of escitalopram to human plasma proteins is approximately 56%. The volume of distribution of citalopram is about 12 L/kg. Data specific on escitalopram are unavailable.

Elimination

Biotransformation of escitalopram is mainly hepatic, with a mean terminal half-life of about 27-32 hours. The oral clearance of escitalopram is 600 mL/min, with approximately 7% of that due to renal clearance.

Metabolism

Escitalopram is metabolized to S-demethylcitalopram (S-DCT) and S-didemethylcitalopram (S-DDCT). In humans, unchanged escitalopram is the predominant compound in plasma. At steady state, the concentration of the escitalopram metabolite S-DCT in plasma is approximately one-third that of escitalopram. The level of S-DDCT was not detectable in most subjects. In vitro studies using human liver microsomes indicated that CYP3A4 and CYP2C19 are the primary isozymes involved in the N-demethylation of escitalopram.

Excretion

Following oral administrations of escitalopram, the fraction of drug recovered in the urine as escitalopram and S-DCT is about 8% and 10%, respectively.

Specific Populations

Pediatric Patients

Pediatric patients 12 to 17 years of age: In a single dose study of 10 mg escitalopram, AUC of escitalopram decreased by 19%, and Cmax increased by 26% in healthy pediatric subjects 12 to 17 years of age compared to adults. Following multiple dosing of 40 mg/day citalopram, escitalopram elimination half-life, steady-state Cmax and AUC were similar in pediatric patients 12 to 17 years of age with MDD compared to adults [see Use in Specific Populations (8.4)].

Additional pediatric use information is approved for AbbVie Inc.’s LEXAPRO (escitalopram) tablets and LEXAPRO (escitalopram) oral solution. However, due to AbbVie Inc.’s marketing exclusivity rights, this drug product is not labeled with that information.

Geriatric Patients

Escitalopram pharmacokinetics in subjects ≥ 65 years of age were compared to adults in a single-dose and a multiple-dose study. Escitalopram AUC and half-life were increased by approximately 50% in geriatric subjects, and Cmax was unchanged [see Use in Specific Populations (8.5)].

Male and Female Patients

Based on data from single- and multiple-dose studies measuring escitalopram in geriatric, young adults, and adolescents, no dosage adjustment on the basis of gender is needed.

Patients with Hepatic Impairment

Citalopram oral clearance was reduced by 37% and half-life was doubled in patients with reduced hepatic function compared to normal subjects [see Use in Specific Populations (8.6)].

Patients with Renal Impairment

In patients with mild to moderate renal function impairment, oral clearance of citalopram was reduced by 17% compared to normal subjects. No information is available about the pharmacokinetics of escitalopram in patients with severely reduced renal function (creatinine clearance < 20 mL/min).

Drug Interaction Studies

In vitro enzyme inhibition data did not reveal an inhibitory effect of escitalopram on CYP3A4, -1A2, -2C9, -2C19, and -2E1. Based on in vitro data, escitalopram would be expected to have little inhibitory effect on in vivo metabolism mediated by these cytochromes. While in vivo data to address this question are limited, results from drug interaction studies suggest that escitalopram, at a dose of 20 mg, has no 3A4 inhibitory effect and a modest 2D6 inhibitory effect [see Drug Interactions (7)].

CYP3A4 and CYP2C19 Inhibitors

In vitro studies indicated that CYP3A4 and -2C19 are the primary enzymes involved in the metabolism of escitalopram. However, coadministration of escitalopram (20 mg) and ritonavir (600 mg), a potent inhibitor of CYP3A4, did not significantly affect the pharmacokinetics of escitalopram. Because escitalopram is metabolized by multiple enzyme systems, inhibition of a single enzyme may not appreciably decrease escitalopram clearance.

Carbamazepine

Combined administration of racemic citalopram (40 mg/day for 14 days) and carbamazepine (titrated to 400 mg/day for 35 days) did not significantly affect the pharmacokinetics of carbamazepine, a CYP3A4 substrate. Although trough citalopram plasma levels were unaffected, given the enzyme-inducing properties of carbamazepine, the possibility that carbamazepine might increase the clearance of escitalopram should be considered if the two drugs are co-administered.

Cimetidine

In subjects who had received 21 days of 40 mg/day racemic citalopram, combined administration of 400 mg twice a day cimetidine for 8 days resulted in an increase in citalopram AUC and Cmax of 43% and 39%, respectively. The clinical significance of these findings is unknown.

Digoxin

In subjects who had received 21 days of 40 mg/day racemic citalopram, combined administration of citalopram and digoxin (single dose of 1 mg) did not significantly affect the pharmacokinetics of either citalopram or digoxin.

Lithium

Coadministration of racemic citalopram (40 mg/day for 10 days) and lithium (30 mmol/day for 5 days) had no significant effect on the pharmacokinetics of citalopram or lithium.

Theophylline

Combined administration of racemic citalopram (40 mg/day for 21 days) and the CYP1A2 substrate theophylline (single dose of 300 mg) did not affect the pharmacokinetics of theophylline. The effect of theophylline on the pharmacokinetics of citalopram was not evaluated.

Ketoconazole

Combined administration of racemic citalopram (40 mg) and ketoconazole (200 mg), a potent CYP3A4 inhibitor, decreased the Cmax and AUC of ketoconazole by 21% and 10%, respectively, and did not significantly affect the pharmacokinetics of citalopram.

Ritonavir

Combined administration of a single dose of ritonavir (600 mg), both a CYP3A4 substrate and a potent inhibitor of CYP3A4, and escitalopram (20 mg) did not affect the pharmacokinetics of either ritonavir or escitalopram.

Triazolam

Combined administration of racemic citalopram (titrated to 40 mg/day for 28 days) and the CYP3A4 substrate triazolam (single dose of 0.25 mg) did not significantly affect the pharmacokinetics of either citalopram or triazolam.

Metoprolol

Administration of 20 mg/day escitalopram for 21 days in healthy volunteers resulted in a 50% increase in Cmax and 82% increase in AUC of the beta-adrenergic blocker metoprolol (given in a single dose of 100 mg). Increased metoprolol plasma levels have been associated with decreased cardioselectivity. Coadministration of escitalopram and metoprolol had no clinically significant effects on blood pressure or heart rate.

Warfarin

Administration of 40 mg/day racemic citalopram for 21 days did not affect the pharmacokinetics of warfarin, a CYP3A4 substrate. Prothrombin time was increased by 5%. The clinical significance of these findings is unknown.

5.2 Serotonin Syndrome

SSRIs, including Escitalopram Capsules, can precipitate serotonin syndrome, a potentially life-threatening condition. The risk is increased with concomitant use of other serotonergic drugs (including triptans, tricyclic antidepressants, fentanyl, meperidine, methadone, lithium, tramadol, tryptophan, buspirone, amphetamines, and St. John’s Wort) and with drugs that impair metabolism of serotonin, i.e., MAOIs [see Contraindications (4), Drug Interactions (7)]. Serotonin syndrome can also occur when these drugs are used alone.

Serotonin syndrome symptoms may include mental status changes (e.g., agitation, hallucinations, delirium, and coma), autonomic instability (e.g., tachycardia, labile blood pressure, dizziness, diaphoresis, flushing, hyperthermia), neuromuscular symptoms (e.g., tremor, rigidity, myoclonus, hyperreflexia, incoordination) seizures, and/or gastrointestinal symptoms (e.g., nausea, vomiting, diarrhea).

The concomitant use of Escitalopram Capsules with MAOIs is contraindicated. In addition, do not initiate Escitalopram Capsules in a patient who is being treated with MAOIs such as linezolid or intravenous methylene blue. No reports involved the administration of methylene blue by other routes (such as oral tablets or local tissue injection). If it is necessary to initiate treatment with an MAOI such as linezolid or intravenous methylene blue in a patient taking Escitalopram Capsules, discontinue Escitalopram Capsules before initiating treatment with the MAOI [see Dosage and Administration (2.6), Contraindications (4)].

Monitor all patients taking Escitalopram Capsules for the emergence of serotonin syndrome. Discontinue treatment with Escitalopram Capsules and any concomitant serotonergic agents immediately if the above symptoms occur, and initiate supportive symptomatic treatment. If concomitant use of Escitalopram Capsules with other serotonergic drugs is clinically warranted, inform patients of the increased risk for serotonin syndrome and monitor for symptoms.

8.6 Hepatic Impairment

Escitalopram Capsules are not recommended in patients with hepatic impairment because the recommended dosage in such patients cannot be achieved with the available dosage strength of Escitalopram Capsules.

Increased citalopram exposure occurs in patients with hepatic impairment [see Clinical Pharmacology (12.3)].

1 Indications and Usage

Escitalopram Capsules are indicated for the treatment of:

  • Major depressive disorder (MDD) in adults younger than 65 years of age [see Dosage and Administration (2.1)] and pediatric patients 12 years of age and older.
  • Generalized anxiety disorder (GAD) in adults younger than 65 years of age [see Dosage and Administration (2.1)].

Additional pediatric use information is approved for AbbVie Inc.’s LEXAPRO (escitalopram) tablets and LEXAPRO (escitalopram) oral solution. However, due to AbbVie Inc.’s marketing exclusivity rights, this drug product is not labeled with that information.

5.11 Sexual Dysfunction

Use of SSRIs, including Escitalopram Capsules, may cause symptoms of sexual dysfunction [see Adverse Reactions (6.1)]. In male patients, SSRI use may result in ejaculatory delay or failure, decreased libido, and erectile dysfunction. In female patients, SSRI use may result in decreased libido and delayed or absent orgasm.

It is important for prescribers to inquire about sexual function prior to initiation of Escitalopram Capsules and to inquire specifically about changes in sexual function during treatment, because sexual function may not be spontaneously reported. When evaluating changes in sexual function, obtaining a detailed history (including timing of symptom onset) is important because sexual symptoms may have other causes, including the underlying psychiatric disorder. Discuss potential management strategies to support patients in making informed decisions about treatment.

Principal Display Panel

NDC 52427-795-30

Escitalopram Capsules

15 mg

PHARMACIST: Dispense the accompanying Medication Guide to each patient.

30 Capsules

Rx only

12.1 Mechanism of Action

The mechanism of antidepressant action of escitalopram, the S-enantiomer of racemic citalopram, is presumed to be linked to potentiation of serotonergic activity in the central nervous system (CNS) resulting from its inhibition of CNS neuronal reuptake of serotonin (5-HT).

9.1 Controlled Substance

Escitalopram Capsules contain the active ingredient escitalopram, which is not a controlled substance.

5 Warnings and Precautions
  • Serotonin Syndrome:  Increased risk when co-administered with other serotonergic agents but also when taken alone. If it occurs, discontinue Escitalopram Capsules and serotonergic agents and initiate supportive treatment (4, 5.2, 7)

  • Discontinuation Syndrome: When discontinuing reduce dosage gradually whenever possible, and monitor for discontinuation symptoms (2.7, 5.3)

  • Seizures: Use with caution in patients with a history of seizure (5.4)

  • Activation of Mania/Hypomania: Screen patients for bipolar disorder (5.5)

  • Hyponatremia: Can occur in association with syndrome of inappropriate antidiuretic hormone secretion (5.6)

  • Increased Risk of Bleeding: Concomitant use of nonsteroidal anti-inflammatory drugs, aspirin, other antiplatelet drugs, warfarin and other anticoagulants may increase risk (5.7, 7)

  • Interference with Cognitive and Motor Performance: Use caution when operating machinery (5.8)

  • Angle Closure Glaucoma: Avoid use of antidepressants, including Escitalopram Capsules, in patients with untreated anatomically narrow angles (5.9)

  • Use in Patients with Concomitant Illness: Use caution in patients with diseases or conditions that produce altered metabolism or hemodynamic responses (5.10)

  • Sexual Dysfunction: Escitalopram Capsules may cause symptoms of sexual dysfunction (5.11)
5.9 Angle Closure Glaucoma

The pupillary dilation that occurs following use of many antidepressant drugs, including Escitalopram Capsules, may trigger an angle closure attack in a patient with anatomically narrow angles who does not have a patent iridectomy. Avoid use of antidepressants, including Escitalopram Capsules, in patients with untreated anatomically narrow angles.

Pre-existing glaucoma is almost always open-angle glaucoma because angle closure glaucoma, when diagnosed, can be treated definitively with iridectomy. Open-angle glaucoma is not a risk factor for angle closure glaucoma. Patients may wish to be examined to determine whether they are susceptible to angle closure, and have a prophylactic procedure (e.g., iridectomy), if they are susceptible.

2 Dosage and Administration
  • Escitalopram Capsules are only available in a 15 mg strength (2.1)
  • Use another escitalopram product for dosage initiation, titration, dosages other than 15 mg once daily, and for discontinuation (2.1)
  • Escitalopram Capsules are not indicated in geriatric patients and not recommended in patients with hepatic impairment (2.1)
  • Recommended starting dosage is 10 mg orally once daily of another escitalopram product. Based on response and tolerability, may increase to the maximum recommended dosage of 20 mg once daily of another escitalopram product (2.2, 2.3)
  • Escitalopram Capsules 15 mg orally once daily may be initiated in patients experiencing unfavorable tolerability to a 20 mg escitalopram dosage (2.2, 2.3)
  • Administer orally once daily with or without food. Swallow capsules whole (2.4)
  • When discontinuing, reduce dosage gradually using another escitalopram product (2.7, 5.3)
3 Dosage Forms and Strengths

Capsules: 15 mg of escitalopram available as hard shell gelatin capsules, with “ALM” printed axially on the light blue opaque cap and “795” printed axially on the blue opaque body. All printing is in black ink.

5.3 Discontinuation Syndrome

Adverse reactions after discontinuation of serotonergic antidepressants, particularly after abrupt discontinuation, include: nausea, sweating, dysphoric mood, irritability, agitation, dizziness, sensory disturbances (e.g., paresthesia, such as electric shock sensations), tremor, anxiety, confusion, headache, lethargy, emotional lability, insomnia, hypomania, tinnitus, and seizures. A gradual reduction in dosage rather than abrupt cessation is recommended whenever possible [see Dosage and Administration (2.7)].

6.2 Post Marketing Experience

The following adverse reactions have been identified during post-approval use of another escitalopram product. Because these reactions are reported voluntarily from a population of uncertain size, it is not always possible to reliably estimate their frequency or establish a causal relationship to drug exposure.

Blood and Lymphatic System Disorders: anemia, agranulocytis, aplastic anemia, hemolytic anemia, idiopathic thrombocytopenia purpura, leukopenia, thrombocytopenia.

Cardiac Disorders: atrial fibrillation, bradycardia, cardiac failure, myocardial infarction, tachycardia, torsade de pointes, ventricular arrhythmia, ventricular tachycardia.

Ear and Labyrinth Disorders: vertigo

Endocrine Disorders: diabetes mellitus, hyperprolactinemia, SIADH.  

Eye Disorders: angle closure glaucoma, diplopia, mydriasis, visual disturbance.

Gastrointestinal Disorder: dysphagia, gastrointestinal hemorrhage, gastroesophageal reflux, pancreatitis, rectal hemorrhage.

General Disorders and Administration Site Conditions: abnormal gait, asthenia, edema, fall, feeling abnormal, malaise.

Hepatobiliary Disorders: fulminant hepatitis, hepatic failure, hepatic necrosis, hepatitis.

Immune System Disorders: allergic reaction, anaphylaxis.

Investigations: bilirubin increased, decreased weight, electrocardiogram QT prolongation, hepatic enzymes increased, hypercholesterolemia, INR increased, prothrombin decreased.

Metabolism and Nutrition Disorders: hyperglycemia, hypoglycemia, hypokalemia, hyponatremia.

Musculoskeletal and Connective Tissue Disorders: muscle cramp, muscle stiffness, muscle weakness, rhabdomyolysis.

Nervous System Disorders: akathisia, amnesia, ataxia, choreoathetosis, cerebrovascular accident, dysarthria, dyskinesia, dystonia, extrapyramidal disorders, grand mal seizures (or convulsions), hypoaesthesia, myoclonus, nystagmus, Parkinsonism, restless legs, seizures, syncope, tardive dyskinesia, tremor.

Pregnancy, Puerperium and Perinatal Conditions: spontaneous abortion.

Psychiatric Disorders: acute psychosis, aggression, agitation, anger, anxiety, apathy, completed suicide, confusion, depersonalization, depression aggravated, delirium, delusion, disorientation, feeling unreal, hallucinations (visual and auditory), mood swings, nervousness, nightmare, panic reaction, paranoia, restlessness, self-harm or thoughts of self-harm, suicide attempt, suicidal ideation, suicidal tendency.

Renal and Urinary Disorders: acute renal failure, dysuria, urinary retention.  

Reproductive System and Breast Disorders: menorrhagia, priapism.  

Respiratory, Thoracic and Mediastinal Disorders: anosmia, dyspnea, epistaxis, pulmonary embolism, hyposmia, pulmonary hypertension of the newborn.

Skin and Subcutaneous Tissue Disorders: alopecia, angioedema, dermatitis, drug reaction with eosinophilia and systemic symptoms (DRESS), ecchymosis, erythema multiforme, photosensitivity reaction, Stevens Johnson Syndrome, toxic epidermal necrolysis, urticaria.

Vascular Disorders: deep vein thrombosis, flushing, hypertensive crisis, hypotension, orthostatic hypotension, phlebitis, thrombosis.

8 Use in Specific Populations

Pregnancy: SSRI use, particularly late in pregnancy, may increase the risk for persistent pulmonary hypertension and symptoms of poor adaptation (respiratory distress, temperature instability, feeding difficulties, hypotonia, tremor, irritability) in the neonate (8.1)

Additional pediatric use information is approved for AbbVie Inc.’s LEXAPRO (escitalopram) tablets and LEXAPRO (escitalopram) oral solution. However, due to AbbVie Inc.’s marketing exclusivity rights, this drug product is not labeled with that information.

14.1 Major Depressive Disorder

The efficacy of Escitalopram Capsules 15 mg once daily for the treatment for major depressive disorder (MDD) in adults younger than 65 years of age and pediatric patients 12 years of age and older is based upon adequate and well-controlled studies of another escitalopram product with dosing ranging from 10 to 20 mg once daily. The results of these adequate and well-controlled studies are presented below.

Adults

The efficacy of escitalopram for the treatment of MDD in adults was established in three, 8-week, placebo-controlled studies conducted in outpatients between 18 and 65 years of age who met DSM-IV criteria for MDD. The primary outcome in all three studies was change from baseline to endpoint in the Montgomery Asberg Depression Rating Scale (MADRS).

A fixed-dose study compared 10 mg daily escitalopram and 20 mg daily escitalopram to placebo and 40 mg daily citalopram. The 10 mg daily and 20 mg daily escitalopram treatment groups showed statistically significant greater mean improvement compared to placebo on the MADRS. The 10 mg and 20 mg escitalopram groups were similar on this outcome measure.

In a second fixed-dose study of 10 mg daily escitalopram and placebo, the 10 mg daily escitalopram treatment group showed statistically significant greater mean improvement compared to placebo on the MADRS.

In a flexible-dose study, comparing escitalopram, titrated between 10 mg and 20 mg daily, to placebo and citalopram, titrated between 20 mg and 40 mg daily, the escitalopram treatment group showed statistically significant greater mean improvement compared to placebo on the MADRS.

Analyses of the relationship between treatment outcome and age, gender, and race did not suggest any differential responsiveness on the basis of these patient characteristics.

In a longer-term trial, 274 patients meeting (DSM-IV) criteria for MDD, who had responded during an initial 8 week, open-label treatment phase with escitalopram 10 mg or 20 mg daily, were randomized to continuation of escitalopram at their same dose, or to placebo, for up to 36 weeks of observation for relapse. Response during the open-label phase was defined by having a decrease of the MADRS total score to ≤ 12. Relapse during the double-blind phase was defined as an increase of the MADRS total score to ≥ 22, or discontinuation due to insufficient clinical response. Patients receiving continued escitalopram experienced a statistically significant longer time to relapse compared to those receiving placebo.

Pediatric Patients 12 Years of Age and Older

The efficacy of escitalopram for the treatment of MDD in pediatric patients 12 to 17 years of age was established in an 8-week, flexible-dose, placebo-controlled study that compared escitalopram (10 mg to 20 mg daily) to placebo in outpatients 12 to 17 years of age inclusive who met DSM-IV criteria for MDD. The primary outcome was change from baseline to endpoint in the Children’s Depression Rating Scale - Revised (CDRS-R). In this study, escitalopram showed statistically significant greater mean improvement compared to placebo on the CDRS-R.

The efficacy of escitalopram for the treatment of MDDin pediatric patients 12 to 17 years of age was established, in part, on the basis of extrapolation from the 8-week, flexible-dose, placebo-controlled study with racemic citalopram 20 mg to 40 mg daily. In this outpatient study in pediatric patients 7 to 17 years of age who met DSM-IV criteria for MDD, citalopram treatment showed statistically significant greater mean improvement from baseline, compared to placebo, on the CDRS-R; the positive results for this trial largely came from the 12 to 17 year subgroup.

Two additional flexible-dose, placebo-controlled MDD studies (one escitalopram study in patients ages 7 to 17 years and one citalopram study in patients ages 13 to 18 years) did not demonstrate efficacy. The safety and effectiveness of Escitalopram Capsules have not been established in pediatric patients less than 12 years of age with MDD.

2.4 Administration Information

Administer Escitalopram Capsules orally once daily, in the morning or evening, with or without food [see Clinical Pharmacology (12.3)]. Swallow capsules whole; do not open, crush, or chew.

5.7 Increased Risk of Bleeding

Drugs that interfere with serotonin reuptake inhibition, including Escitalopram Capsules, increase the risk of bleeding events. Concomitant use of aspirin, nonsteroidal anti-inflammatory drugs (NSAIDs), other antiplatelet drugs, warfarin, and other anticoagulants may add to the risk. Case reports and epidemiological studies (case-control and cohort design) have demonstrated an association between use of drugs that interfere with serotonin reuptake and the occurrence of gastrointestinal bleeding. Based on data from the published observational studies, exposure to SSRIs, particularly in the month before delivery, has been associated with a less than 2-fold increase in the risk of postpartum hemorrhage [see Use in Specific Populations (8.1)]. Bleeding events related to drugs that interfere with serotonin reuptake have ranged from ecchymoses, hematomas, epistaxis, and petechiae to life-threatening hemorrhages.

Inform patients about the increased risk of bleeding associated with the concomitant use of Escitalopram Capsules and antiplatelet agents or anticoagulants. For patients taking warfarin, carefully monitor the international normalized ratio [see Drug Interactions (7)].

6.1 Clinical Trials Experience

Because clinical studies are conducted under widely varying conditions, adverse reaction rates observed in the clinical studies of a drug cannot be directly compared to rates in the clinical studies of another drug and may not reflect the rates observed in practice.

The safety of Escitalopram Capsules 15 mg once daily for the treatment of major depressive disorder (MDD) in adults younger than 65 years of age and pediatric patients 12 years of age and older and for the treatment of generalized anxiety disorder (GAD) in adults younger than 65 years of age is based upon adequate and well-controlled studies of another escitalopram product with dosing ranging from 10 to 20 mg once daily. The results of these adequate and well-controlled studies are presented below.

Clinical Trial Data Sources

Adults

Adverse reaction data in adults with MDD were collected from 715 patients who were exposed to escitalopram and from 592 patients who were exposed to placebo in double-blind, placebo-controlled trials. An additional 284 adults with MDD were newly exposed to escitalopram in open-label trials. The adverse reaction data in adults with GAD were collected from 429 patients exposed to escitalopram and from 427 patients exposed to placebo in double-blind, placebo-controlled trials.

Pediatric Patients

Adverse reaction data for pediatric patients with MDD were collected in double-blind placebo-controlled studies in 576 pediatric patients 6 to 17 years of age, (286 escitalopram, 290 placebo).

The safety and effectiveness of Escitalopram Capsules have not been established in pediatric patients less than 12 years of age with MDD.

Adverse Reactions Associated with Discontinuation of Treatment

Major Depressive Disorder in Adults

Among the 715 adults with MDD who received escitalopram in placebo-controlled trials, 6% discontinued treatment due to an adverse reaction, as compared to 2% of 592 patients receiving placebo. The rate of discontinuation for adverse reactions in patients assigned to a fixed dose of 20 mg/day escitalopram was 10%, which was significantly different from the rate of discontinuation for adverse reactions in patients receiving 10 mg/day escitalopram (4%) and placebo (3%). Adverse reactions that were associated with discontinuation in at least 1% of escitalopram-treated patients, and at least twice that of placebo, were nausea (2%) and ejaculation disorder (2% of male patients).

Major Depressive Disorder in Pediatric Patients

In pediatric patients 6 to 17 years of age with MDD, adverse reactions were associated with discontinuation in 3.5% of 286 patients receiving escitalopram and 1% of 290 patients receiving placebo. The most common adverse reaction (incidence at least 1% for escitalopram and greater than placebo) associated with discontinuation was insomnia (1% escitalopram, 0% placebo).

The safety and effectiveness of Escitalopram Capsules have not been established in pediatric patients less than 12 years of age with MDD.

Generalized Anxiety Disorder in Adults

Among the 429 adults with GAD who received escitalopram 10 to 20 mg/day in placebo-controlled trials, 8% discontinued treatment due to an adverse reaction, as compared to 4% of 427 patients receiving placebo. Adverse reactions that were associated with discontinuation in at least 1% of escitalopram-treated patients and at least twice the placebo rate were nausea (2%), insomnia (1%), and fatigue (1%).

Additional pediatric use information is approved for AbbVie Inc.’s LEXAPRO (escitalopram) tablets and LEXAPRO (escitalopram) oral solution. However, due to AbbVie Inc.’s marketing exclusivity rights, this drug product is not labeled with that information.

Incidence of Adverse Reactions in Placebo-Controlled Clinical Trials

Major Depressive Disorder in Adults

The most commonly observed adverse reactions in escitalopram-treated adults with MDD (incidence of approximately 5% or greater and approximately twice the placebo rate) were insomnia, ejaculation disorder (primarily ejaculatory delay), nausea, increased sweating, fatigue, and somnolence.

Table 2 enumerates the incidence, rounded to the nearest percent, of adverse reactions that occurred among 715 adults with MDD who received escitalopram at doses ranging from 10 to 20 mg/day in placebo-controlled trials. Reactions included are those occurring in 2% or more of escitalopram-treated patients and greater than the incidence in placebo-treated patients.

Table 2: Adverse Reactions (≥ 2% and greater than placebo) for Major Depressive Disorder in Adults in Placebo-Controlled Trials
1Primarily ejaculatory delay.

2Denominator used was for males only (N=225 escitalopram; N=188 placebo).

3Denominator used was for females only (N=490 escitalopram; N=404 placebo).
Adverse Reaction Escitalopram Placebo
(N=715)

%
(N=592)

%
Autonomic Nervous System Disorders
Dry Mouth 6 5
Sweating Increased 5 2
Central & Peripheral Nervous System Disorders
Dizziness 5 3
Gastrointestinal Disorders
Nausea 15 7
Diarrhea 8 5
Constipation 3 1
Indigestion 3 1
Abdominal Pain 2 1
General
Influenza-like Symptoms 5 4
Fatigue 5 2
Psychiatric Disorders
Insomnia 9 4
Somnolence 6 2
Appetite Decreased 3 1
Libido Decreased 3 1
Respiratory System Disorders
Rhinitis 5 4
Sinusitis 3 2
Urogenital
Ejaculation Disorder1,2 9 <1
Impotence2 3 <1
Anorgasmia3 2 <1

Major Depressive Disorder in Pediatric Patients

The overall profile of adverse reactions in pediatric patients 6 to 17 years of age with MDD was generally similar to that seen in adult studies, as shown in Table 2. However, the following adverse reactions (excluding those which appear in Table 2 and those for which the coded terms were uninformative or misleading) were reported at an incidence of at least 2% for escitalopram and greater than placebo: back pain, urinary tract infection, vomiting, and nasal congestion.

The safety and effectiveness of Escitalopram Capsules have not been established in pediatric patients less than 12 years of age with MDD.

Generalized Anxiety Disorder in Adults

The most commonly observed adverse reactions in escitalopram-treated adults with GAD (incidence of approximately 5% or greater and approximately twice the placebo rate) were nausea, ejaculation disorder (primarily ejaculatory delay), insomnia, fatigue, decreased libido, and anorgasmia.

Table 3 enumerates the incidence, rounded to the nearest percent of adverse reactions that occurred among 429 escitalopram-treated adults with GAD who received 10 to 20 mg/day in placebo-controlled trials. Reactions included are those occurring in 2% or more of escitalopram-treated patients and for which the incidence was greater than the incidence in placebo-treated patients.

Table 3: Adverse Reactions (≥ 2% and greater than placebo) for Generalized Anxiety Disorder in Adults in Placebo-Controlled Trials
1Primarily ejaculatory delay.

2Denominator used was for males only (N=182 escitalopram; N=195 placebo).

3Denominator used was for females only (N=247 escitalopram; N=232 placebo).
Adverse Reactions   Escitalopram Placebo
  (N=429)

%
(N=427)

%
Autonomic Nervous System Disorders  
Dry Mouth 9 5
Sweating Increased 4 1
Central & Peripheral Nervous System Disorders
Headache 24 17
Paresthesia 2 1
Gastrointestinal Disorders
Nausea 18 8
Diarrhea 8 6
Constipation 5 4
Indigestion 3 2
Vomiting 3 1
Abdominal Pain 2 1
Flatulence 2 1
Toothache 2 0
General
Fatigue 8 2
Influenza-like Symptoms 5 4
Musculoskeletal System Disorder
Neck/Shoulder Pain 3 1
Psychiatric Disorders
Somnolence 13 7
Insomnia 12 6
Libido Decreased 7 2
Dreaming Abnormal 3 2
Appetite Decreased 3 1
Lethargy 3 1
Respiratory System Disorders
Yawning 2 1
Urogenital
Ejaculation Disorder1,2 14 2
Anorgasmia3 6 <1
Menstrual Disorder 2 1

Additional pediatric use information is approved for AbbVie Inc’s LEXAPRO (escitalopram) tablets and LEXAPRO (escitalopram) oral solution. However, due to AbbVie Inc’s marketing exclusivity rights, this drug product is not labeled with that information.

Dose Dependency of Adverse Reactions

The potential dose dependency of common adverse reactions (defined as an incidence rate of ≥5% in either the 10 mg or 20 mg escitalopram groups) was examined on the basis of the combined incidence of adverse reactions in two fixed-dose trials. The overall incidence rates of adverse reactions in 10 mg/day escitalopram-treated patients (66%) were similar to that of the placebo-treated patients (61%), while the incidence rate in 20 mg/day escitalopram-treated patients was greater (86%). Table 4 shows common adverse reactions that occurred in the 20 mg/day escitalopram group with an incidence that was approximately twice that of the 10 mg/day escitalopram group and approximately twice that of the placebo group.

Table 4: Dose Dependency of Common Adverse Reactions in Patients with Major Depressive Disorder*
*Adverse reactions in the 20 mg/day escitalopram group occurred with an approximate incidence of twice the 10 mg/day escitalopram group and approximately twice that of placebo.

**Escitalopram Capsules are available only as a 15 mg dosage strength.
Adverse Reaction Placebo

(N=311)


10 mg/day

Escitalopram**

(N=310)


20 mg/day

Escitalopram**

(N=125)


Insomnia 4% 7% 14%
Diarrhea 5% 6% 14%
Dry Mouth 3% 4% 9%
Somnolence 1% 4% 9%
Sweating Increased <1% 3% 8%
Dizziness 2% 4% 7%
Constipation 1% 3% 6%
Fatigue 2% 2% 6%
Indigestion 1% 2% 6%

Male and Female Sexual Dysfunction with SSRIs

Although changes in sexual desire, sexual performance, and sexual satisfaction often occur as manifestations of a psychiatric disorder, they may also be a consequence of SSRI treatment. However, reliable estimates of the incidence and severity of untoward experiences involving sexual desire, performance, and satisfaction are difficult to obtain, in part because patients and healthcare providers may be reluctant to discuss them. Accordingly, estimates of the incidence of untoward sexual experience and performance cited in product labeling are likely to underestimate their actual incidence.

Table 5: Incidence of Sexual Adverse Reactions in Males or Females in Placebo-Controlled Clinical Trials
Adverse Reaction Escitalopram Placebo
Males Only
(N=407)

%
(N=383)

%
Ejaculation Disorder

(primarily ejaculatory delay)
12 1
Libido Decreased       6 2
Impotence       2 <1
Females Only
(N=737)

%
(N=636)

%
Libido Decreased       3 1
Anorgasmia       3 <1

There are no adequately designed studies examining sexual dysfunction with escitalopram treatment.

Priapism has been reported with all SSRIs.

Weight Changes

Patients treated with escitalopram in controlled trials did not differ from placebo-treated patients with regard to clinically important change in body weight.

ECG Changes

Electrocardiograms from another escitalopram product (N=625) and placebo (N=527) groups were compared with respect to outliers defined as subjects with QTc changes over 60 msec from baseline or absolute values over 500 msec post-dose, and subjects with heart rate increases to over 100 bpm or decreases to less than 50 bpm with a 25% change from baseline (tachycardic or bradycardic outliers, respectively). None of the patients in the escitalopram group had a QTcF interval >500 msec or a prolongation >60 msec compared to 0.2% of patients in the placebo group. The incidence of tachycardic outliers was 0.2% in the escitalopram and the placebo group. The incidence of bradycardic outliers was 0.5% in the escitalopram group and 0.2% in the placebo group.

Other Reactions Observed During the Premarketing Evaluation of Escitalopram Capsules

Other adverse reactions at an incidence of ≥1% and greater than placebo reported by the 1428 patients treated with another escitalopram product for periods of up to one year in double-blind or open-label clinical trials are shown below. The following list does not include adverse reactions 1) already listed in previous tables or elsewhere in the labeling, 2) for which a drug cause was remote, 3) which were so general as to be uninformative, 4) which were not considered to have clinically significant implications, or 5) which occurred at a rate equal to or less than placebo.

Cardiovascular: hypertension, palpitation.

Central and Peripheral Nervous System Disorders: light-headed feeling, migraine.

Gastrointestinal Disorders: abdominal cramp, heartburn, gastroenteritis.

General: allergy, chest pain, fever, hot flushes, pain in limb.

Metabolic and Nutritional Disorders: increased weight.

Musculoskeletal System Disorders: arthralgia, myalgia jaw stiffness. 

Psychiatric Disorders: appetite increased, concentration impaired, irritability.

Reproductive Disorders/Female: menstrual cramps, menstrual disorder.

Respiratory System Disorders: bronchitis, coughing, nasal congestion, sinus congestion, sinus headache.

Skin and Appendages Disorders: rash.

Special Senses: vision blurred, tinnitus.

Urinary System Disorders: urinary frequency, urinary tract infection.

2.1 Important Dosage Information

Escitalopram Capsules are only available in a 15 mg strength. Use another escitalopram product for initial dosage, dosage titration, administration of dosages other than 15 mg once daily, and to taper during discontinuation [see Dosage and Administration (2.2, 2.3, 2.7)]. Refer to the Prescribing Information of other escitalopram products for the recommended dosage for those products.

Escitalopram Capsules may be initiated in patients experiencing unfavorable tolerability to a 20 mg escitalopram dosage [see Dosage and Administration (2.2, 2.3)].

Escitalopram Capsules are not indicated in geriatric patients. Avoid use of Escitalopram Capsules in geriatric patients because the recommended dosage in these patients cannot be achieved with the Escitalopram Capsules 15 mg strength [see Use in Specific Populations (8.5)].

Escitalopram Capsules are not recommended in patients with hepatic impairment because the recommended dosage in such patients cannot be achieved with the Escitalopram Capsules 15 mg strength [see Use in Specific Populations (8.6)].

14.2 Generalized Anxiety Disorder

The efficacy of Escitalopram Capsules 15 mg once daily for the treatment for generalized anxiety disorder (GAD) in adults younger than 65 years of age is based upon adequate and well-controlled studies of another escitalopram product with dosing ranging from 10 to 20 mg once daily. The results of these adequate and well-controlled studies are presented below.

The efficacy of escitalopram for the treatment of GAD in adults was demonstrated in three, 8-week, multicenter, flexible-dose, placebo-controlled studies that compared escitalopram (10 mg to 20 mg daily) to placebo in outpatients between 18 and 80 years of age who met DSM-IV criteria for GAD. In all three studies, escitalopram showed statistically significant greater mean improvement compared to placebo on the Hamilton Anxiety Scale (HAM-A).

There were too few patients in differing ethnic and age groups to adequately assess whether or not escitalopram has differential effects in these groups. There was no difference in response to escitalopram between men and women.

Additional pediatric use information is approved for AbbVie Inc.’s LEXAPRO (escitalopram) tablets and LEXAPRO (escitalopram) oral solution. However, due to AbbVie Inc.’s marketing exclusivity rights, this drug product is not labeled with that information.

17 Patient Counseling Information

Advise the patient to read the FDA-approved patient labeling (Medication Guide).

Suicidal Thoughts and Behaviors

Advise patients and caregivers to look for the emergence of suicidal ideation and behavior, especially early during treatment and when the dosage is adjusted up or down, and instruct them to report such symptoms to their healthcare provider [see Boxed Warning, Warnings and Precautions (5.1)].

Serotonin Syndrome

Caution patients about the risk of serotonin syndrome, particularly with the concomitant use of Escitalopram Capsules with other serotonergic drugs including triptans, tricyclic antidepressants, opioids, lithium, tryptophan, buspirone, amphetamines, St. John’s Wort, and with drugs that impair metabolism of serotonin (in particular, MAOIs, both those intended to treat psychiatric disorders and also others, such as linezolid). Instruct patients to contact their health care provider or report to the emergency room if they experience signs or symptoms of serotonin syndrome [see Warnings and Precautions (5.2), Drug Interactions (7)].

Discontinuation Syndrome

Advise patients not to abruptly discontinue Escitalopram Capsules and to discuss any tapering regimen with their healthcare provider. Inform patients that adverse reactions can occur when Escitalopram Capsules are discontinued [see Warnings and Precautions (5.3)].

Activation of Mania or Hypomania

Advise patients and their caregivers to observe for signs of activation of mania/hypomania and instruct them to report such symptoms to the healthcare provider [see Warnings and Precautions (5.5)].

Increased Risk of Bleeding

Inform patients about the concomitant use of Escitalopram Capsules with NSAIDs, aspirin, warfarin, other antiplatelet drugs, or other anticoagulants because the combined use has been associated with an increased risk of bleeding. Advise patients to inform their healthcare providers if they are taking or planning to take any prescription or over-the-counter medications that increase the risk of bleeding [see Warnings and Precautions (5.7)].

Angle Closure Glaucoma

Advise patients that taking Escitalopram Capsules can cause mild pupillary dilation, which in susceptible individuals, can lead to an episode of angle closure glaucoma [see Warnings and Precautions (5.9)].

Sexual Dysfunction

Advise patients that use of Escitalopram Capsules may cause symptoms of sexual dysfunction in both male and female patients. Inform patients that they should discuss any changes in sexual function and potential management strategies with their healthcare provider [see Warnings and Precautions (5.11)].

Concomitant Medications

Advise patients to inform their physician if they are taking, or plan to take, any prescription or over-the-counter drugs, as there is a potential for interactions. Instruct patients to avoid concomitant use of Escitalopram Capsules and racemic citalopram because escitalopram is the active isomer of racemic citalopram [see Drug Interactions (7)].

Interference with Psychomotor Performance

Because psychoactive drugs may impair judgment, thinking, or motor skills, caution patients about operating hazardous machinery, including automobiles, until they are reasonably certain that Escitalopram Capsules does not affect their ability to engage in such activities [see Warnings and Precautions (5.8)].

Alcohol

Inform patients that the concomitant use of Escitalopram Capsules and alcohol is not recommended [see Drug Interactions (7)].

Pregnancy

Advise pregnant women to notify their healthcare providers if they become pregnant or intend to become pregnant during treatment with Escitalopram Capsules.

Advise patients that Escitalopram Capsules use later in pregnancy may lead to increased risk for neonatal complications requiring prolonged hospitalization, respiratory support, tube feeding, and/or persistent pulmonary hypertension of the newborn [see Use in Specific Populations (8.1)].

Advise women that there is a pregnancy exposure registry that monitors pregnancy outcomes in women exposed to Escitalopram Capsules during pregnancy [see Use in Specific Populations (8.1)].

Lactation

Advise breastfeeding women using Escitalopram Capsules to monitor infants for excess sedation, restlessness, agitation, poor feeding and poor weight gain and to seek medical care if they notice these signs [see Use in Specific Populations (8.2)].

16 How Supplied/storage and Handling

How Supplied

15 mg capsules:

Hard shell gelatin capsules, with “ALM” printed axially on the light blue opaque cap and “795” printed axially on the blue opaque body. All printing is in black ink.

NDC 52427-795-30, Bottle of 30 capsules with a child-resistant closure

Storage and Handling

Store at 20°C to 25°C (68°F to 77°F); excursions permitted to 15°C to 30°C (59°F to 86°F) [see USP Controlled Room Temperature].

5.5 Activation of Mania Or Hypomania

In patients with bipolar disorder, treating a depressive episode with Escitalopram Capsules or another antidepressant may precipitate a mixed/manic episode. In controlled trials of another escitalopram product in major depressive disorder, activation of mania/hypomania was reported in 0.1% of patients treated with escitalopram and none of the patients treated with placebo. One additional case of hypomania has been reported in association with escitalopram treatment. Activation of mania/hypomania has also been reported in a small proportion of patients with major affective disorders treated with racemic citalopram and other marketed drugs effective in the treatment of major depressive disorder.

Prior to initiating treatment with Escitalopram Capsules, screen patients for any personal or family history of bipolar disorder, mania, or hypomania [see Dosage and Administration (2.3)].

Warning: Suicidal Thoughts and Behaviors

Antidepressants increased the risk of suicidal thoughts and behaviors in pediatric and young adult patients in short-term studies. Closely monitor all antidepressant-treated patients for clinical worsening, and for emergence of suicidal thoughts and behaviors [see Warnings and Precautions (5.1)].

13.2 Animal Toxicology And/or Pharmacology

Retinal Changes in Rats

Pathologic changes (degeneration/atrophy) were observed in the retinas of albino rats in the 2-year carcinogenicity study with racemic citalopram. There was an increase in both incidence and severity of retinal pathology in both male and female rats receiving 80 mg/kg/day. Similar findings were not present in rats receiving 24 mg/kg/day of racemic citalopram for two years, in mice receiving up to 240 mg/kg/day of racemic citalopram for 18 months, or in dogs receiving up to 20 mg/kg/day of racemic citalopram for one year.

Additional studies to investigate the mechanism for this pathology have not been performed, and the potential significance of this effect in humans has not been established.

Cardiovascular Changes in Dogs

In a one-year toxicology study, 5 of 10 beagle dogs receiving oral racemic citalopram doses of 8 mg/kg/day died suddenly between weeks 17 and 31 following initiation of treatment. Sudden deaths were not observed in rats at doses of racemic citalopram up to 120 mg/kg/day, which produced plasma levels of citalopram and its metabolites demethylcitalopram and didemethylcitalopram (DDCT) similar to those observed in dogs at 8 mg/kg/day. A subsequent intravenous dosing study demonstrated that in beagle dogs, racemic DDCT caused QT prolongation, a known risk factor for the observed outcome in dogs.

5.10 Use in Patients With Concomitant Illness

Clinical experience with escitalopram in patients with certain concomitant systemic illnesses is limited. Caution is advisable in using escitalopram in patients with diseases or conditions that produce altered metabolism or hemodynamic responses.

Escitalopram has not been systematically evaluated in patients with a recent history of myocardial infarction or unstable heart disease. Patients with these diagnoses were generally excluded from clinical studies during escitalopram premarketing testing.

In subjects with hepatic impairment, clearance of racemic citalopram was decreased and plasma concentrations were increased. Escitalopram Capsules are not recommended in patients with hepatic impairment [see Use in Specific Populations (8.6)].

Because escitalopram is extensively metabolized, excretion of unchanged drug in urine is a minor route of elimination. Pharmacokinetics of escitalopram in patients with a creatinine clearance less than 20 mL/minute has not been evaluated, however, it should be used with caution in such patients [see Clinical Pharmacology (12.3)].

2.2 Recommended Dosage for Major Depressive Disorder

The recommended starting dosage of escitalopram for MDD in adults younger than 65 years of age and pediatric patients 12 years of age and older is 10 mg orally once daily. Use another escitalopram product for dosage initiation.

Based on clinical response and tolerability, the dosage may be increased to the maximum recommended dosage of 20 mg once daily of another escitalopram product after at least 1 week in adults younger than 65 years of age and after 3 weeks in pediatric patients 12 years of age and older. Escitalopram Capsules 15 mg orally once daily may be initiated in patients experiencing unfavorable tolerability to a 20 mg escitalopram dosage.

5.8 Interference With Cognitive and Motor Performance

In a study of another escitalopram product in normal volunteers, escitalopram 10 mg daily did not produce impairment of intellectual function or psychomotor performance. Because any psychoactive drug may impair judgment, thinking, or motor skills, however, patients should be cautioned about operating hazardous machinery, including automobiles, until they are reasonably certain that Escitalopram Capsules do not affect their ability to engage in such activities.

2.7 Discontinuing Treatment With Escitalopram Capsules

Adverse reactions may occur upon discontinuation of Escitalopram Capsules [see Warnings and Precautions (5.3)]. Gradually reduce the dosage rather than stopping Escitalopram Capsules abruptly whenever possible. Given that 15 mg is the only available dosage strength of Escitalopram Capsules, gradual dosage reduction will require the use of another escitalopram product.

2.3 Recommended Dosage for Generalized Anxiety Disorder

The recommended starting dosage of escitalopram for GAD in adults younger than 65 years of age is 10 mg orally once daily. Use another escitalopram product for dosage initiation.

Based on clinical response and tolerability, the dosage may be increased to the maximum recommended dosage of 20 mg once daily of another escitalopram product after at least 1 week in adults younger than 65 years of age. Escitalopram Capsules 15 mg orally once daily may be initiated in patients experiencing unfavorable tolerability to a 20 mg escitalopram dosage.

Additional pediatric use information is approved for AbbVie Inc.’s LEXAPRO (escitalopram) tablets and LEXAPRO (escitalopram) oral solution. However, due to AbbVie Inc. ’s marketing exclusivity rights, this drug product is not labeled with that information.

13.1 Carcinogenesis, Mutagenesis, Impairment of Fertility

Carcinogenesis

Racemic citalopram was administered in the diet to NMRI/BOM strain mice and COBS WI strain rats for 18 and 24 months, respectively. There was no evidence for carcinogenicity of racemic citalopram in mice receiving up to 240 mg/kg/day. There was an increased incidence of small intestine carcinoma in rats receiving 8 or 24 mg/kg/day racemic citalopram. A no-effect dose for this finding was not established. The relevance of these findings to humans is unknown.

Mutagenesis

Racemic citalopram was mutagenic in the in vitro bacterial reverse mutation assay (Ames test) in 2 of 5 bacterial strains (Salmonella TA98 and TA1537) in the absence of metabolic activation. It was clastogenic in the in vitro Chinese hamster lung cell assay for chromosomal aberrations in the presence and absence of metabolic activation. Racemic citalopram was not mutagenic in the in vitro mammalian forward gene mutation assay (HPRT) in mouse lymphoma cells or in a coupled in vitro/in vivo unscheduled DNA synthesis (UDS) assay in rat liver. It was not clastogenic in the in vitro chromosomal aberration assay in human lymphocytes or in two in vivo mouse micronucleus assays.

Impairment of Fertility

When racemic citalopram was administered orally to 16 male and 24 female rats prior to and throughout mating and gestation at doses of 32, 48, and 72 mg/kg/day, mating was decreased at all doses, and fertility was decreased at doses ≥ 32 mg/kg/day. Gestation duration was increased at 48 mg/kg/day.

5.1 Suicidal Thoughts and Behaviors in Adolescents and Young Adults  

In pooled analyses of placebo-controlled trials of antidepressant drugs (SSRIs and other antidepressant classes) that included approximately 77,000 adult patients and 4,500 pediatric patients, the incidence of suicidal thoughts and behaviors in the antidepressant-treated patients age 24 years and younger was greater than in placebo-treated patients. There was considerable variation in risk of suicidal thoughts and behaviors among drugs, but there was an increased risk identified in young patients for most drugs studied. There were differences in absolute risk of suicidal thoughts and behaviors across the different indications, with the highest incidence in patients with MDD. The drug-placebo differences in the number of cases of suicidal thoughts and behaviors per 1000 patients treated are provided in Table 1.

Table 1: Risk Differences of the Number of Patients of Suicidal Thoughts and Behaviors in the Pooled Placebo-Controlled Trials of Antidepressants in Pediatric and Adult Patients
Age Range Drug-Placebo Difference in Number of Patients of Suicidal Thoughts and Behaviors per 1000 Patients Treated
Increases Compared to Placebo
<18 years old 14 additional patients
18 to 24 years old 5 additional patients
Decreases Compared to Placebo
25 to 64 years old 1 fewer patient
≥65 years old 6 fewer patients

It is unknown whether the risk of suicidal thoughts and behaviors in children, adolescents, and young adults extends to longer-term use, i.e., beyond four months. However, there is substantial evidence from placebo-controlled maintenance trials in adults with MDD that antidepressants delay the recurrence of depression and that depression itself is a risk factor for suicidal thoughts and behaviors.

Monitor all antidepressant-treated patients for any indication for clinical worsening and emergence of suicidal thoughts and behaviors, especially during the initial few months of drug therapy, and at times of dosage changes. Counsel family members or caregivers of patients to monitor for changes in behavior and to alert the healthcare provider. Consider changing the therapeutic regimen, including possibly discontinuing Escitalopram Capsules, in patients whose depression is persistently worse, or who are experiencing emergent suicidal thoughts or behaviors.

2.5 Screen for Bipolar Disorder Prior to Starting Escitalopram Capsules

Prior to initiating treatment with Escitalopram Capsules or another antidepressant, screen patients for a personal family history of bipolar disorder, mania, or hypomania [see Warnings and Precautions (5.5)].

2.6 Switching Patients to Or From A Monoamine Oxidase Inhibitor Antidepressant

At least 14 days must elapse between discontinuation of a monoamine oxidase inhibitor (MAOI) antidepressant and initiation of Escitalopram Capsules. In addition, at least 14 days must elapse after stopping Escitalopram Capsules before starting an MAOI antidepressant [see Contraindications (4), Warnings and Precautions (5.2)].


Structured Label Content

Section 42229-5 (42229-5)

Distributed by:

Almatica Pharma LLC

Morristown, NJ 07960 USA

PI795-00

Section 42231-1 (42231-1)
This Medication Guide has been approved by the U.S. Food and Drug Administration. Issued: 08/2025
MEDICATION GUIDE

Escitalopram (es sye tal oh pram) Capsules

for oral use
What is the most important information I should know about Escitalopram Capsules?

Escitalopram Capsules may cause serious side effects, including:

  • Increased risk of suicidal thoughts and actions. Escitalopram Capsules and other antidepressant medicines increase the risk of suicidal thoughts and actions in people 24 years of age and younger, especially within the first few months of treatment or when the dose is changed.

    Depression or other mental illnesses are the most important causes of suicidal thoughts or actions.

    How can I watch for and try to prevent suicidal thoughts and actions?

    ○ Pay close attention to any changes, especially sudden changes in mood, behavior, thoughts, or feelings, or if you or your child develop suicidal thoughts or actions. This is very important when an antidepressant medicine is started or when the dose is changed.

    ○ Call your healthcare provider right away to report new or sudden changes in mood, behavior, thoughts, or feelings or if you or your child develop suicidal thoughts or actions.

    ○ Keep all follow-up visits with your healthcare provider as scheduled and call your healthcare provider between visits if you are worried about symptoms.
Call your healthcare provider or get emergency medical help right away if you or your child have any of the following symptoms, especially if they are new, worse, or worry you:
  • suicide attempts
  • acting aggressive, being angry or violent
  • new or worse depression
  • panic attacks
  • new or worse irritability
  • an extreme increase in activity or talking (mania)
  • acting on dangerous impulses
  • thoughts about suicide or dying
  • new or worsening anxiety
  • feeling very agitated or restless
  • trouble sleeping
  • other unusual changes in behavior or mood
What are Escitalopram Capsules?

Escitalopram Capsules are a prescription medicine used to treat:

  • a certain type of depression called major depressive disorder (MDD) in adults younger than 65 years of age and children 12 years of age and older

  • Generalized anxiety disorder (GAD) in adults younger than 65 years of age.
It is not known if Escitalopram Capsules are safe and effective for use in children under 12 years of age with MDD or if escitalopram is safe and effective for use in children under 7 years of age with GAD.
Who should not take Escitalopram Capsules?

Do not take Escitalopram Capsules if you or your child:

  • are taking, or have stopped taking within the last 14 days, a medicine called a monoamine oxidase inhibitor (MAOI), including the antibiotic linezolid or intravenous methylene blue

  • are taking the antipsychotic medicine pimozide

  • are allergic to escitalopram or citalopram or any of the ingredients in Escitalopram Capsules. See the end of this Medication Guide for a complete list of ingredients in Escitalopram Capsules.
Ask your healthcare provider or pharmacist if you are not sure if you or your child take an MAOI, including the antibiotic linezolid or intravenous methylene blue.

Do not start taking an MAOI for at least 14 days after you or your child have stopped treatment with Escitalopram Capsules.
Before taking Escitalopram Capsules, tell your healthcare provider about all your medical conditions, including if you or your child:

  • have or had seizures or convulsions

  • have, or have a family history of bipolar disorder, mania, or hypomania

  • have low blood sodium levels

  • have or had bleeding problems

  • have high pressure in the eye (glaucoma)

  • have heart, liver, or kidney problems

  • are pregnant or plan to become pregnant. Escitalopram Capsules may harm the unborn baby. Taking Escitalopram Capsules during the third trimester of pregnancy may cause the baby to have withdrawal symptoms, or breathing, temperature control, feeding, or other problems after birth. Talk to your healthcare provider about the risks to the baby if you or your child take Escitalopram Capsules during pregnancy.

    ○ Tell your healthcare provider right away if you or your child become pregnant or think you may be pregnant during treatment with Escitalopram Capsules.

    ○ There is a pregnancy registry for females who are exposed to Escitalopram Capsules during pregnancy. The purpose of the registry is to collect information about the health of females exposed to Escitalopram Capsules and their baby. If you or your child become pregnant during treatment with Escitalopram Capsules, talk to your healthcare provider about registering with the National Pregnancy Registry for Antidepressants at 1-844-405-6185 or visit online at https://womensmentalhealth.org/research/pregnancyregistry/antidepressants.

  • are breastfeeding or plan to breastfeed. Escitalopram passes into breast milk and may harm the baby. Talk to your healthcare provider about the best way to feed the baby during treatment with Escitalopram Capsules.

    ○ If you or your child breastfeed during treatment with Escitalopram Capsules, call your healthcare provider if the baby develops sleepiness or fussiness, or is not feeding or gaining weight well.
Tell your healthcare provider about all the medicines you or your child take, including prescription and non-prescription medicines, vitamins, and herbal supplements.

Escitalopram Capsules and some medicines may affect each other and may cause serious side effects.

Escitalopram Capsules may affect the way other medicines work and other medicines may affect the way Escitalopram Capsules works.

Especially tell your healthcare provider if you take:

  • medicines used to treat migraine headache known as triptans

  • tricyclic antidepressants

  • lithium

  • tramadol, fentanyl, meperidine, methadone, or other opioids

  • tryptophan

  • buspirone

  • amphetamines

  • St. John’s Wort

  • medicines used to treat mood, anxiety, psychotic or thought disorders, including selective serotonin reuptake inhibitors (SSRIs) and serotonin norepinephrine reuptake inhibitors (SNRIs)

  • diuretics

  • medicines that can affect blood clotting such as aspirin, nonsteroidal anti-inflammatory drugs (NSAIDs) and warfarin
Ask your healthcare provider if you are not sure if you or your child are taking any of these medicines. Your healthcare provider can tell you if it is safe to take Escitalopram Capsules with your other medicines.

Do not start or stop any other medicines during treatment with Escitalopram Capsules without talking to your healthcare provider first. Stopping Escitalopram Capsules suddenly may cause you or your child to have serious side effects. See “What are the possible side effects of Escitalopram Capsules?”

Know the medicines you or your child take. Keep a list of them to show your healthcare provider and pharmacist when you get new medicine.
How should I take Escitalopram Capsules?
  • Take Escitalopram Capsules exactly as your healthcare provider tells you to. Your healthcare provider may need to change the dose of escitalopram until it is the right dose for you or your child. When you first start escitalopram, or if your dose needs to be changed, your healthcare provider will use a different escitalopram medicine.

  • Take Escitalopram Capsules 1 time each day, in the morning or the evening.

  • Take Escitalopram Capsules with or without food.
  • Swallow Escitalopram Capsules whole. Do not open, crush, or chew capsules.

  • If you or your child take too much Escitalopram Capsules, call your healthcare provider or Poison Help Line at 1-800-222-1222, or go to the nearest hospital emergency room right away.
What should I avoid while taking Escitalopram Capsules?
  • Do not drive, operate heavy machinery, or do other dangerous activities until you know how Escitalopram Capsules affects you. Escitalopram Capsules can cause sleepiness or may affect your ability to make decisions, think clearly, or react quickly.

  • You should not drink alcohol during treatment with Escitalopram Capsules.
What are the possible side effects of Escitalopram Capsules?

Escitalopram Capsules may cause serious side effects, including:
  • See “What is the most important information I should know about Escitalopram Capsules?”

  • Serotonin syndrome. A potentially life-threatening problem called serotonin syndrome can happen when Escitalopram Capsules is taken with certain other medicines. See “Who should not take Escitalopram Capsules?” Call your healthcare provider or go to the nearest hospital emergency room right away if you or your child have any of the following signs and symptoms of serotonin syndrome:
  • agitation
  • confusion
  • fast heartbeat
  • sweating
  • flushing
  • seizures
  • nausea, vomiting, diarrhea
  • seeing or hearing things that are not real (hallucinations)
  • coma
  • blood pressure changes
  • shaking (tremors), stiff muscles, or muscle twitching
  • dizziness
  • high body temperature (hyperthermia)
  • loss of coordination
  • Discontinuation syndrome. Suddenly stopping Escitalopram Capsules may cause you or your child to have serious side effects. Your healthcare provider may want to decrease the escitalopram dose slowly and will switch you to a different escitalopram medicine that is available in a lower dose if you need to stop treatment. Symptoms may include:
  • nausea
  • sweating
  • changes in mood
  • irritability and agitation
  • dizziness
  • electric shock sensation (paresthesia)
  • shaking (tremor)
  • anxiety
  • confusion
  • headache
  • tiredness
  • problems sleeping
  • hypomania
  • ringing in your ears (tinnitus)
  • seizures
  • Seizures (convulsions).
  • Manic episodes. Manic episodes may happen in people with bipolar disorder who take Escitalopram Capsules. Tell your healthcare provider if you develop any symptoms of mania, which may include:
  • greatly increased energy
  • racing thoughts
  • unusually grand ideas
  • talking more or faster than usual
  • severe trouble sleeping
  • reckless behavior
  • excessive happiness or irritability
  • Low sodium levels in the blood (hyponatremia). Low sodium levels in the blood that may be serious and may cause death can happen during treatment with Escitalopram Capsules. People who take certain medicines may be at greater risk for developing low sodium levels in the blood. Signs and symptoms may include:
  • headache
  • weakness or feeling unsteady which can lead to falls
  • memory problems
  • problems concentrating or thinking
  • confusion
In more severe or more sudden cases, signs and symptoms include:
  • seeing or hearing things that are not real (hallucinations)
  • seizures
  • stopping breathing (respiratory arrest)
  • fainting
  • coma
  • Increased risk of bleeding: Taking Escitalopram Capsules with aspirin, NSAIDS, warfarin, or other blood thinners may add to this risk. Tell your healthcare provider if you have any unusual bleeding or bruising.
  • Eye problems (angle-closure glaucoma). Escitalopram Capsules may cause a type of eye problem called angle-closure glaucoma in people with certain eye problems. You or your child may want to undergo an eye examination to see if you are at risk and receive preventative treatment if you are. Call your healthcare provider if you or your child have:
  • eye pain
  • changes in vision
  • swelling or redness in or around the eye
  • Sexual problems (dysfunction). Taking Escitalopram Capsules may cause sexual problems.

    Symptoms in males may include:
  • delayed ejaculation or inability to have an ejaculation
  • problems getting or keeping an erection
  • decreased sex drive
      Symptoms in females may include:
  • decreased sex drive
  • delayed orgasm or inability to have an orgasm
Talk to your healthcare provider if you develop any changes in your sexual function or if you have any questions or concerns about sexual problems during treatment with Escitalopram Capsules. There may be treatments your healthcare provider can suggest.
The most common side effects of Escitalopram Capsules include:
  • trouble sleeping
  • delayed ejaculation

  • nausea
  • increased sweating
  • tiredness

  • sleepiness
  • decreased sex drive
  • delayed orgasm or inability to have an orgasm
Height and weight changes in children may happen during treatment with Escitalopram Capsules. Your child’s height and weight should be monitored during treatment with Escitalopram Capsules.

These are not all of the possible side effects of Escitalopram Capsules.

Call your doctor for medical advice about side effects. You may report side effects to FDA at 1-800-FDA-1088.
How should I store Escitalopram Capsules?
  • Store Escitalopram Capsules at room temperature between 68°F to 77°F (20°C to 25°C).
  • Escitalopram Capsules come in a bottle with a child-resistant cap.

  • Keep Escitalopram Capsules and all medicines out of the reach of children.
General information about the safe and effective use of Escitalopram Capsules.

Medicines are sometimes prescribed for purposes other than those listed in a Medication Guide. Do not use Escitalopram Capsules for a condition for which it was not prescribed. Do not give Escitalopram Capsules to other people, even if they have the same symptoms that you have. It may harm them. You may ask your pharmacist or healthcare provider for information about Escitalopram Capsules that is written for health professionals.
What are the ingredients in Escitalopram Capsules?

Active ingredient: escitalopram oxalate

Inactive ingredients: croscarmellose sodium, copovidone, FD&C Blue #1, FD&C Red #40, gelatin, magnesium stearate, microcrystalline cellulose, sodium lauryl sulfate, talc, and titanium dioxide



Distributed by:

Almatica Pharma LLC

Morristown, NJ 07960 USA

 

For more information about Escitalopram Capsules, call 1-877-447-7979 or visit www.almatica.com.



Additional pediatric use information is approved for AbbVie Inc.’s LEXAPRO (escitalopram) tablets and LEXAPRO (escitalopram) oral solution. However, due to AbbVie Inc.’s marketing exclusivity rights, this drug product is not labeled with that information.

MG795-00

9.2 Abuse

Animal studies suggest that the abuse liability of racemic citalopram is low. Escitalopram has not been systematically studied in humans for its potential for abuse. The premarketing clinical experience with escitalopram did not reveal any drug-seeking behavior. However, these observations were not systematic and it is not possible to predict on the basis of this limited experience the extent to which a CNS-active drug will be misused, and/or abused once marketed. Consequently, healthcare providers should carefully evaluate Escitalopram Capsules patients for history of drug abuse and follow such patients closely, observing them for signs of misuse or abuse (e.g., incrementations of dosage, drug-seeking behavior).

5.4 Seizures

Although anticonvulsant effects of racemic citalopram have been observed in animal studies, Escitalopram Capsules have not been systematically evaluated in patients with a seizure disorder. Patients with a seizure disorder were excluded from premarketing clinical studies. In clinical trials of another escitalopram product, cases of convulsion have been reported in association with escitalopram treatment. Like other drugs effective in the treatment of major depressive disorder, Escitalopram Capsules should be introduced with care in patients with a history of seizure disorder.

10 Overdosage (10 OVERDOSAGE)

The following have been reported with escitalopram overdosage:

  • Seizures, which may be delayed, and altered mental status including coma.

  • Cardiovascular toxicity, which may be delayed, including QRS and QTc interval prolongation, wide complex tachyarrhythmias, and torsade de pointes. Hypertension most commonly seen, but rarely can see hypotension alone or with co-ingestants including alcohol.

  • Serotonin syndrome (patients with a multiple drug overdosage with other proserotonergic drugs may have a higher risk).

Prolonged cardiac monitoring is recommended in Escitalopram Capsules overdosage due to the arrhythmia risk.

Gastrointestinal decontamination with activated charcoal should be considered in patients who present early after an Escitalopram Capsules overdose.

As with the management of all overdosage, the possibility of multiple drug ingestion should be considered. Consider contacting the Poison Help line (1-800-222-1222) or a medical toxicologist for additional overdose management recommendations.

8.1 Pregnancy

Pregnancy Exposure Registry

There is a pregnancy exposure registry that monitors pregnancy outcomes in women exposed to antidepressants during pregnancy. Healthcare providers are encouraged to advise patients to register by calling the National Pregnancy Registry for Antidepressants at 1-844-405-6185 or visiting online at https://womensmentalhealth.org/research/pregnancyregistry/antidepressants.

Risk Summary

Based on data from published observational studies, exposure to SSRIs, particularly in the month before delivery, has been associated with a less than 2-fold increase in the risk of postpartum hemorrhage [see Warnings and Precautions (5.7), Clinical Considerations].

Available data from published epidemiologic studies and postmarketing reports have not established an increased risk of major birth defects or miscarriage. There are risks of persistent pulmonary hypertension of the newborn (PPHN) (see Data) and poor neonatal adaptation (see Clinical Considerations) with exposure to selective serotonin reuptake inhibitors (SSRIs), including Escitalopram Capsules, during pregnancy. There are risks associated with untreated depression in pregnancy (see Clinical Considerations).

In animal reproduction studies, both escitalopram and racemic citalopram have been shown to have adverse effects on embryo/fetal and postnatal development, including fetal structural abnormalities, when administered at doses greater than human therapeutic doses (see Data).

The estimated background risk of major birth defects and miscarriage for the indicated population is unknown. All pregnancies have a background risk of birth defect, loss, or other adverse outcomes. In the U.S. general population, the estimated background risk of major birth defects and miscarriage in the clinically recognized pregnancies is 2 to 4% and 15 to 20%, respectively.

Clinical Considerations

Disease-associated maternal risk and/or embryo/fetal risk

Women who discontinue antidepressants are more likely to experience a relapse of major depression than women who continue antidepressants. This finding is from a prospective longitudinal study of 201 pregnant women with a history of major depression, who were euthymic and taking antidepressants at the beginning of pregnancy. Consider the risk of untreated depression when discontinuing or changing treatment with antidepressant medication during pregnancy and postpartum.

Maternal Adverse Reactions

Use of Escitalopram Capsules in the month before delivery may be associated with an increased risk of postpartum hemorrhage [see Warnings and Precautions (5.7)].

Fetal/Neonatal adverse reactions

Neonates exposed to SSRIs or SNRIs, including Escitalopram Capsules, late in third trimester have developed complications requiring prolonged hospitalization, respiratory support, and tube feeding. Such complications can arise immediately upon delivery. Reported clinical findings have included respiratory distress, cyanosis, apnea, seizures, temperature instability, feeding difficulty, vomiting, hypoglycemia, hypotonia, hypertonia, hyperreflexia, tremor, jitteriness, irritability, and constant crying. These features are consistent with either a direct toxic effect of SSRIs and SNRIs or, possibly, a drug discontinuation syndrome. It should be noted that, in some cases, the clinical picture is consistent with serotonin syndrome [see Warnings and Precautions (5.2)].

Data

Human Data

Exposure to SSRIs, particularly later in pregnancy, may increase the risk for PPHN. PPHN occurs in 1-2 per 1000 live births in the general populations and is associated with substantial neonatal morbidity and mortality.

Animal Data

In a rat embryo/fetal development study, oral administration of escitalopram (56, 112, or 150 mg/kg/day) to pregnant animals during the period of organogenesis resulted in decreased fetal body weight and associated delays in ossification at the two higher doses [approximately ≥ 55 times the maximum recommended human dose (MRHD) of 20 mg/day on a mg/m2 basis]. Maternal toxicity (clinical signs and decreased body weight gain and food consumption), mild at 56 mg/kg/day, was present at all dose levels. The developmental no-effect dose of 56 mg/kg/day is approximately 27 times the MRHD of 20 mg on a mg/m2 basis. No malformations were observed at any of the doses tested (as high as 73 times the MRHD on a mg/m2 basis).

When female rats were treated with escitalopram (6, 12, 24, or 48 mg/kg/day) during pregnancy and through weaning, slightly increased offspring mortality and growth retardation were noted at 48 mg/kg/day which is approximately 23 times the MRHD of 20 mg on a mg/m2 basis. Slight maternal toxicity (clinical signs and decreased body weight gain and food consumption) was seen at this dose. Slightly increased offspring mortality was also seen at 24 mg/kg/day. The no-effect dose was 12 mg/kg/day which is approximately 6 times the MRHD of 20 mg on a mg/m2 basis.

In two rat embryo/fetal development studies, oral administration of racemic citalopram (32, 56, or 112 mg/kg/day) to pregnant animals during the period of organogenesis resulted in decreased embryo/fetal growth and survival and an increased incidence of fetal abnormalities (including cardiovascular and skeletal defects) at the high dose, which is approximately 18 times the MRHD of 60 mg/day on a mg/m2 basis. This dose was also associated with maternal toxicity (clinical signs, decreased body weight gain). The developmental no-effect dose was 56 mg/kg/day is approximately 9 times the MRHD on a mg/m2 basis. In a rabbit study, no adverse effects on embryo/fetal development were observed at doses of racemic citalopram of up to 16 mg/kg/day, or approximately 5 times the MRHD on a mg/m2 basis. Thus, developmental effects of racemic citalopram were observed at a maternally toxic dose in the rat and were not observed in the rabbit.

When female rats were treated with racemic citalopram (4.8, 12.8, or 32 mg/kg/day) from late gestation through weaning, increased offspring mortality during the first 4 days after birth and persistent offspring growth retardation were observed at the highest dose, which is approximately 5 times the MRHD of 60 mg on a mg/m2 basis. The no-effect dose was 12.8 mg/kg/day is approximately 2 times the MRHD on a mg/m2 basis. Similar effects on offspring mortality and growth were seen when dams were treated throughout gestation and early lactation at doses ≥ 24 mg/kg/day, approximately 4 times the MRHD on a mg/m2 basis. A no-effect dose was not determined in that study.

8.2 Lactation

Risk Summary

Data from the published literature report the presence of escitalopram and desmethylescitalopram in human milk (see Data). There are reports of excessive sedation, restlessness, agitation, poor feeding and poor weight gain in infants exposed to escitalopram, through breast milk (see Clinical Considerations). There are no data on the effects of escitalopram or its metabolites on milk production. The developmental and health benefits of breastfeeding should be considered along with the mother’s clinical need for Escitalopram Capsules and any potential adverse effects on the breastfed child from Escitalopram Capsules or from the underlying maternal condition.

Clinical Considerations

Infants exposed to Escitalopram Capsules should be monitored for excess sedation, restlessness, agitation, poor feeding and poor weight gain.

Data

A study of 8 nursing mothers on another escitalopram product with daily doses of 10-20 mg/day showed that exclusively breast-fed infants receive approximately 3.9% of the maternal weight-adjusted dose of escitalopram and 1.7% of the maternal weight-adjusted dose of desmethylcitalopram. 

11 Description (11 DESCRIPTION)

Escitalopram Capsules contain escitalopram, a selective serotonin reuptake inhibitor (SSRI), present as escitalopram oxalate salt. Escitalopram is the pure S- enantiomer (single isomer) of the racemic bicyclic phthalane derivative citalopram. Escitalopram oxalate is designated S-(+)-1-[3(dimethyl-amino)propyl]-1-(p-fluorophenyl)-5-phthalancarbonitrile oxalate with the following structural formula:

The molecular formula is C20H21FN2O • C2H2O4 and the molecular weight is 414.43. Escitalopram oxalate occurs as a fine, white to slightly yellow powder and is freely soluble in methanol and in dimethyl sulphoxide, sparingly soluble in water and in alcohol, very slightly soluble in ethyl acetate and in isopropyl alcohol, and insoluble in heptane.

Escitalopram Capsules are intended for oral administration and are available only in a 15 mg strength. The capsules contain 15 mg escitalopram (equivalent to 19.16 mg escitalopram oxalate) and the following inactive ingredients: croscarmellose sodium, copovidone, FD&C Blue #1, FD&C Red #40, gelatin, magnesium stearate, microcrystalline cellulose, sodium lauryl sulfate, talc, and titanium dioxide.

9.3 Dependence

Escitalopram has not been systematically studied in humans for its potential for tolerance or physical dependence.

5.6 Hyponatremia

Hyponatremia may occur as a result of treatment with SSRIs, including Escitalopram Capsules. In many cases, this hyponatremia appears to be the result of the syndrome of inappropriate antidiuretic hormone secretion (SIADH) and was reversible when escitalopram was discontinued. Cases with serum sodium lower than 110 mmol/L have been reported with another escitalopram product. Geriatric patients may be at greater risk of developing hyponatremia with SSRIs and SNRIs (Escitalopram Capsules are not indicated in geriatric patients) [see Use in Specific Populations (8.5)]. Also, patients taking diuretics or who are otherwise volume depleted may be at greater risk. Consider discontinuing Escitalopram Capsules in patients with symptomatic hyponatremia and institute appropriate medical intervention.

Signs and symptoms of hyponatremia include headache, difficulty concentrating, memory impairment, confusion, weakness, and unsteadiness, which may lead to falls. Signs and symptoms associated with more severe and/or acute cases have included hallucination, syncope, seizure, coma, respiratory arrest, and death.

8.4 Pediatric Use

Major Depressive Disorder

The safety and effectiveness of Escitalopram Capsules for the treatment of major depressive disorder (MDD) have been established in pediatric patients 12 years of age and older. Use of Escitalopram Capsules for this indication is supported by evidence from adequate and well-controlled studies of another escitalopram product in adults with additional evidence from an 8-week, flexible-dose, placebo-controlled study that compared escitalopram 10 mg to 20 mg once daily to placebo in pediatric patients 12 to 17 years of age with MDD [see Clinical Studies (14.1)]. The safety of escitalopram was similar to adult patients with MDD [see Adverse Reactions (6.1)].

The safety and effectiveness of Escitalopram Capsules for the treatment of MDD have not been established in pediatric patients younger than 12 years of age. In a 24-week, open-label safety study in 118 pediatric patients aged 7 to 11 years who had MDD, the safety findings were consistent with the known safety and tolerability profile for escitalopram.

Antidepressants increase the risk of suicidal thoughts and behaviors in pediatric patients [see Warnings and Precautions (5.1)]. Decreased appetite and weight loss have been observed in association with the use of SSRIs. Consequently, regular monitoring of weight and growth should be performed in children and adolescents treated with an SSRI such as escitalopram.

Generalized Anxiety Disorder

The safety and effectiveness of escitalopram for the treatment of generalized anxiety disorder have not been established in pediatric patients younger than 7 years of age.

Additional pediatric use information is approved for AbbVie Inc.’s LEXAPRO (escitalopram) tablets and LEXAPRO (escitalopram) oral solution. However, due to AbbVie Inc.’s marketing exclusivity rights, this drug product is not labeled with that information.

Juvenile Animal Toxicity Data

In a juvenile animal study, male and female rats were administered escitalopram at 5, 40, or 80 mg/kg/day by oral gavage from postnatal day (PND) 21 to PND 69. A delay in sexual maturation was observed in both males and females at ≥ 40 mg/kg/day with a No Observed Adverse Effect Level (NOAEL) of 5 mg/kg/day. This NOAEL was associated with plasma AUC levels less than those measured at the maximum recommended human dose (MRHD) in pediatrics (20 mg). However, there was no effect on reproductive function. Increased motor activity (both ambulatory and fine movements) was observed in females prior to daily dosing at ≥ 40 mg/kg/day (3.5 times the MRHD based on AUC levels). A reversible disruption of learning and memory function was observed in males at 80 mg/kg/day with a NOAEL of 40 mg/kg/day, which was associated with an AUC level 3.5 times those measured at the MRHD in pediatrics. There was no effect on learning and memory function in treated female rats.

8.5 Geriatric Use

Escitalopram Capsules are not indicated in geriatric patients. Avoid use of Escitalopram Capsules in geriatric patients because the recommended dosage in these patients can not be achieved with the available dosage strength.

Approximately 69 patients (6%) of the 1,144 patients receiving escitalopram in controlled trials of another escitalopram product in major depressive disorder and GAD were 60 years of age or older [see Clinical Studies (14.1, 14.2)].

In two pharmacokinetic studies, escitalopram half-life was increased by approximately 50% in subjects 65 years and older as compared to young subjects and Cmax was unchanged [see Clinical Pharmacology (12.3)].

SSRIs, including escitalopram, have been associated with cases of clinically significant hyponatremia in geriatric patients, who may be at greater risk for this adverse reaction [see Warnings and Precautions (5.6)].

Of 4,422 patients in clinical studies of racemic citalopram, 1,357 were 60 and over, 1,034 were 65 and over, and 457 were 75 and over.

4 Contraindications (4 CONTRAINDICATIONS)

Escitalopram Capsules are contraindicated in patients:

  • Taking, or within 14 days of stopping, MAOIs, including linezolid or intravenous methylene blue, because of an increased risk of serotonin syndrome [see Dosage and Administration (2.6), Warnings and Precautions (5.2), Drug Interactions (7)].
  • Taking pimozide because of the risk of QT prolongation [see Drug Interactions (7)].
  • With known hypersensitivity to escitalopram or citalopram or any of the inactive ingredients in Escitalopram Capsules.
6 Adverse Reactions (6 ADVERSE REACTIONS)

The following adverse reactions are discussed in greater detail in other sections of the labeling:

  • Suicidal Thoughts and Behaviors in Adolescents and Young Adults [see Warnings and Precautions (5.1)]
  • Serotonin Syndrome [see Warnings and Precautions (5.2)]
  • Discontinuation Syndrome [see Warnings and Precautions (5.3)]
  • Seizures [see Warnings and Precautions (5.4)]
  • Activation of Mania or Hypomania [see Warnings and Precautions (5.5)]
  • Hyponatremia [see Warnings and Precautions (5.6)]
  • Increased Risk of Bleeding [see Warnings and Precautions (5.7)]
  • Interference with Cognitive and Motor Performance [see Warnings and Precautions (5.8)]
  • Angle Closure Glaucoma [see Warnings and Precautions (5.9)]
  • Use in Patients with Concomitant Illness [see Warnings and Precautions (5.10)]
  • Sexual Dysfunction [see Warnings and Precautions (5.11)]
7 Drug Interactions (7 DRUG INTERACTIONS)

Table 6 presents clinically important drug interactions with Escitalopram Capsules.

Table 6: Clinically Important Drug Interactions with Escitalopram Capsules
Monoamine Oxidase Inhibitors (MAOIs)
Prevention or Management Escitalopram Capsules are contraindicated in patients taking MAOIs, including MAOIs such as linezolid or intravenous methylene blue [see Dosage and Administration (2.6), Contraindications (4), Warnings and Precautions (5.2)].
Mechanism and Clinical Effect(s) Concomitant use of SSRIs, including Escitalopram Capsules, and MAOIs increases the risk of serotonin syndrome.
Pimozide
Prevention or Management Escitalopram Capsules are contraindicated in patients taking pimozide [see Contraindications (4)].
Mechanism and Clinical Effect(s) Concomitant use of racemic citalopram with pimozide increases plasma concentrations of pimozide, a drug with a narrow therapeutic index, and may increase the risk of QT prolongation and/or ventricular arrhythmias compared to use of racemic citalopram alone. The mechanism of this pharmacodynamic interaction is not known [see Clinical Pharmacology (12.3)].
Other Serotonergic Drugs
Prevention or Management Monitor patients for signs and symptoms of serotonin syndrome, particularly during escitalopram initiation and dosage increases. If serotonin syndrome occurs, consider discontinuation of Escitalopram Capsules and/or concomitant serotonergic drugs [see Warnings and Precautions (5.2)].
Mechanism and Clinical Effect(s) Concomitant use of Escitalopram Capsules and other serotonergic drugs (including other SSRIs, SNRIs, triptans, tricyclic antidepressants, opioids, lithium, buspirone, amphetamines, tryptophan, and St. John's Wort) increases the risk of serotonin syndrome.
Drugs That Interfere With Hemostasis (NSAIDs, Aspirin, Warfarin, etc.)
Prevention or Management Inform patients of the increased risk of bleeding associated with the concomitant use of Escitalopram Capsules and antiplatelet agents and anticoagulants. For patients taking warfarin, carefully monitor the international normalized ratio [see Warnings and Precautions (5.7)].
Mechanism and Clinical Effect(s) Concomitant use of Escitalopram Capsules and an antiplatelet or anticoagulant may potentiate the risk of bleeding.
Sumatriptan
Prevention or Management If concomitant use of Escitalopram Capsules and sumatriptan is clinically warranted, appropriate observation of the patient is advised [see Warnings and Precautions (5.2)].
Mechanism and Clinical Effect(s) There have been postmarketing reports of weakness, hyperreflexia, and incoordination following the concomitant use of an SSRI and sumatriptan.
Lithium
Prevention or Management Monitor plasma lithium levels with appropriate adjustment to the lithium dose in accordance with standard clinical practice.
Mechanism and Clinical Effect(s) Because lithium may enhance the serotonergic effects of escitalopram, caution should be exercised when Escitalopram Capsules is used concomitantly with lithium.
Alcohol
Prevention or Management Concomitant use of Escitalopram Capsules and alcohol is not recommended.
Mechanism and Clinical Effect(s) Alcohol may potentiate the psychotropic effects of escitalopram.
Drugs Metabolized by CYP2D6
Prevention or Management The clinical significance of this finding is unknown. Exercise caution during coadministration of Escitalopram Capsules and drugs metabolized by CYP2D6.
Mechanism and Clinical Effect(s) Coadministration of escitalopram with the tricyclic antidepressant desipramine, a substrate for CYP2D6, resulted in a 40% increase in Cmax and a 100% increase in AUC of desipramine.
12.2 Pharmacodynamics

In vitro and in vivo studies in animals suggest that escitalopram is a highly selective serotonin reuptake inhibitor (SSRI) with minimal effects on norepinephrine and dopamine neuronal reuptake. Escitalopram is at least 100-fold more potent than the R-enantiomer with respect to inhibition of 5-HT reuptake and inhibition of 5-HT neuronal firing rate. Tolerance to a model of antidepressant effect in rats was not induced by long-term (up to 5 weeks) treatment with escitalopram. Escitalopram has no or very low affinity for serotonergic (5-HT1-7) or other receptors including alpha- and beta-adrenergic, dopamine (D1-5), histamine (H1-3), muscarinic (M1-5), and benzodiazepine receptors. Escitalopram also does not bind to, or has low affinity for, various ion channels including Na+, K+, Cl-, and Ca++ channels. Antagonism of muscarinic, histaminergic, and adrenergic receptors has been hypothesized to be associated with various anticholinergic, sedative, and cardiovascular side effects of other psychotropic drugs.

In vitro studies show that escitalopram is at least 7 and 27 times more potent than S-demethylcitalopram (S-DCT) and S-didemethylcitalopram (S-DDCT), respectively, in the inhibition of serotonin reuptake, suggesting that the metabolites of escitalopram do not contribute significantly to the antidepressant actions of escitalopram. S-DCT and S-DDCT also have no or very low affinity for serotonergic (5-HT1-7) or other receptors including alpha- and beta-adrenergic, dopamine (D1-5), histamine (H1-3), muscarinic (M1-5), and benzodiazepine receptors. S-DCT and S-DDCT also do not bind to various ion channels including Na+, K+, Cl-, and Ca++ channels.

Alcohol

Escitalopram did not potentiate the cognitive and motor effects of alcohol in a clinical trial [see Drug Interactions (7)].

Cardiac Electrophysiology

QTcF interval was evaluated in a randomized, placebo and active (moxifloxacin 400 mg) controlled cross-over, escalating multiple dose study in 113 healthy subjects. The maximum mean (95% upper confidence bound) difference from the placebo arm were 4.5 (6.4) and 10.7 (12.7) msec for 10 mg and 30 mg (1.5 times the maximum recommend dose) escitalopram given once daily, respectively. Based on the established exposure-response relationship, the predicted QTcF change from placebo arm (95% confidence interval) under the Cmax for the dose of 20 mg is 6.6 (7.9) msec. Escitalopram 30 mg given once daily resulted in mean Cmax of 1.7-fold higher than the mean Cmax for the maximum recommended dose of another escitalopram product at steady state (20 mg). The exposure under the 30 mg dose is similar to the steady state concentrations expected in CYP2C19 poor metabolizers following a dose of 20 mg.

12.3 Pharmacokinetics

The single- and multiple-dose pharmacokinetics of escitalopram are linear and dose-proportional in a dose range of 10 to 30 mg/day.

With once-daily dosing, steady state plasma concentrations are achieved within approximately one week. At steady state, the extent of accumulation of escitalopram in plasma in young healthy subjects was 2.2-2.5 times the plasma concentrations observed after a single dose.

Absorption 

The absolute bioavailability of citalopram is about 80% relative to an intravenous dose.

Effect of Food

Following the administration of a single oral dose of 15 mg Escitalopram Capsules to healthy volunteers, peak blood plasma levels occur at about (Tmax median) 4.5 hours under fasting condition and 5.0 hours under fed condition. Absorption of escitalopram is not affected by food.

Distribution

The binding of escitalopram to human plasma proteins is approximately 56%. The volume of distribution of citalopram is about 12 L/kg. Data specific on escitalopram are unavailable.

Elimination

Biotransformation of escitalopram is mainly hepatic, with a mean terminal half-life of about 27-32 hours. The oral clearance of escitalopram is 600 mL/min, with approximately 7% of that due to renal clearance.

Metabolism

Escitalopram is metabolized to S-demethylcitalopram (S-DCT) and S-didemethylcitalopram (S-DDCT). In humans, unchanged escitalopram is the predominant compound in plasma. At steady state, the concentration of the escitalopram metabolite S-DCT in plasma is approximately one-third that of escitalopram. The level of S-DDCT was not detectable in most subjects. In vitro studies using human liver microsomes indicated that CYP3A4 and CYP2C19 are the primary isozymes involved in the N-demethylation of escitalopram.

Excretion

Following oral administrations of escitalopram, the fraction of drug recovered in the urine as escitalopram and S-DCT is about 8% and 10%, respectively.

Specific Populations

Pediatric Patients

Pediatric patients 12 to 17 years of age: In a single dose study of 10 mg escitalopram, AUC of escitalopram decreased by 19%, and Cmax increased by 26% in healthy pediatric subjects 12 to 17 years of age compared to adults. Following multiple dosing of 40 mg/day citalopram, escitalopram elimination half-life, steady-state Cmax and AUC were similar in pediatric patients 12 to 17 years of age with MDD compared to adults [see Use in Specific Populations (8.4)].

Additional pediatric use information is approved for AbbVie Inc.’s LEXAPRO (escitalopram) tablets and LEXAPRO (escitalopram) oral solution. However, due to AbbVie Inc.’s marketing exclusivity rights, this drug product is not labeled with that information.

Geriatric Patients

Escitalopram pharmacokinetics in subjects ≥ 65 years of age were compared to adults in a single-dose and a multiple-dose study. Escitalopram AUC and half-life were increased by approximately 50% in geriatric subjects, and Cmax was unchanged [see Use in Specific Populations (8.5)].

Male and Female Patients

Based on data from single- and multiple-dose studies measuring escitalopram in geriatric, young adults, and adolescents, no dosage adjustment on the basis of gender is needed.

Patients with Hepatic Impairment

Citalopram oral clearance was reduced by 37% and half-life was doubled in patients with reduced hepatic function compared to normal subjects [see Use in Specific Populations (8.6)].

Patients with Renal Impairment

In patients with mild to moderate renal function impairment, oral clearance of citalopram was reduced by 17% compared to normal subjects. No information is available about the pharmacokinetics of escitalopram in patients with severely reduced renal function (creatinine clearance < 20 mL/min).

Drug Interaction Studies

In vitro enzyme inhibition data did not reveal an inhibitory effect of escitalopram on CYP3A4, -1A2, -2C9, -2C19, and -2E1. Based on in vitro data, escitalopram would be expected to have little inhibitory effect on in vivo metabolism mediated by these cytochromes. While in vivo data to address this question are limited, results from drug interaction studies suggest that escitalopram, at a dose of 20 mg, has no 3A4 inhibitory effect and a modest 2D6 inhibitory effect [see Drug Interactions (7)].

CYP3A4 and CYP2C19 Inhibitors

In vitro studies indicated that CYP3A4 and -2C19 are the primary enzymes involved in the metabolism of escitalopram. However, coadministration of escitalopram (20 mg) and ritonavir (600 mg), a potent inhibitor of CYP3A4, did not significantly affect the pharmacokinetics of escitalopram. Because escitalopram is metabolized by multiple enzyme systems, inhibition of a single enzyme may not appreciably decrease escitalopram clearance.

Carbamazepine

Combined administration of racemic citalopram (40 mg/day for 14 days) and carbamazepine (titrated to 400 mg/day for 35 days) did not significantly affect the pharmacokinetics of carbamazepine, a CYP3A4 substrate. Although trough citalopram plasma levels were unaffected, given the enzyme-inducing properties of carbamazepine, the possibility that carbamazepine might increase the clearance of escitalopram should be considered if the two drugs are co-administered.

Cimetidine

In subjects who had received 21 days of 40 mg/day racemic citalopram, combined administration of 400 mg twice a day cimetidine for 8 days resulted in an increase in citalopram AUC and Cmax of 43% and 39%, respectively. The clinical significance of these findings is unknown.

Digoxin

In subjects who had received 21 days of 40 mg/day racemic citalopram, combined administration of citalopram and digoxin (single dose of 1 mg) did not significantly affect the pharmacokinetics of either citalopram or digoxin.

Lithium

Coadministration of racemic citalopram (40 mg/day for 10 days) and lithium (30 mmol/day for 5 days) had no significant effect on the pharmacokinetics of citalopram or lithium.

Theophylline

Combined administration of racemic citalopram (40 mg/day for 21 days) and the CYP1A2 substrate theophylline (single dose of 300 mg) did not affect the pharmacokinetics of theophylline. The effect of theophylline on the pharmacokinetics of citalopram was not evaluated.

Ketoconazole

Combined administration of racemic citalopram (40 mg) and ketoconazole (200 mg), a potent CYP3A4 inhibitor, decreased the Cmax and AUC of ketoconazole by 21% and 10%, respectively, and did not significantly affect the pharmacokinetics of citalopram.

Ritonavir

Combined administration of a single dose of ritonavir (600 mg), both a CYP3A4 substrate and a potent inhibitor of CYP3A4, and escitalopram (20 mg) did not affect the pharmacokinetics of either ritonavir or escitalopram.

Triazolam

Combined administration of racemic citalopram (titrated to 40 mg/day for 28 days) and the CYP3A4 substrate triazolam (single dose of 0.25 mg) did not significantly affect the pharmacokinetics of either citalopram or triazolam.

Metoprolol

Administration of 20 mg/day escitalopram for 21 days in healthy volunteers resulted in a 50% increase in Cmax and 82% increase in AUC of the beta-adrenergic blocker metoprolol (given in a single dose of 100 mg). Increased metoprolol plasma levels have been associated with decreased cardioselectivity. Coadministration of escitalopram and metoprolol had no clinically significant effects on blood pressure or heart rate.

Warfarin

Administration of 40 mg/day racemic citalopram for 21 days did not affect the pharmacokinetics of warfarin, a CYP3A4 substrate. Prothrombin time was increased by 5%. The clinical significance of these findings is unknown.

5.2 Serotonin Syndrome

SSRIs, including Escitalopram Capsules, can precipitate serotonin syndrome, a potentially life-threatening condition. The risk is increased with concomitant use of other serotonergic drugs (including triptans, tricyclic antidepressants, fentanyl, meperidine, methadone, lithium, tramadol, tryptophan, buspirone, amphetamines, and St. John’s Wort) and with drugs that impair metabolism of serotonin, i.e., MAOIs [see Contraindications (4), Drug Interactions (7)]. Serotonin syndrome can also occur when these drugs are used alone.

Serotonin syndrome symptoms may include mental status changes (e.g., agitation, hallucinations, delirium, and coma), autonomic instability (e.g., tachycardia, labile blood pressure, dizziness, diaphoresis, flushing, hyperthermia), neuromuscular symptoms (e.g., tremor, rigidity, myoclonus, hyperreflexia, incoordination) seizures, and/or gastrointestinal symptoms (e.g., nausea, vomiting, diarrhea).

The concomitant use of Escitalopram Capsules with MAOIs is contraindicated. In addition, do not initiate Escitalopram Capsules in a patient who is being treated with MAOIs such as linezolid or intravenous methylene blue. No reports involved the administration of methylene blue by other routes (such as oral tablets or local tissue injection). If it is necessary to initiate treatment with an MAOI such as linezolid or intravenous methylene blue in a patient taking Escitalopram Capsules, discontinue Escitalopram Capsules before initiating treatment with the MAOI [see Dosage and Administration (2.6), Contraindications (4)].

Monitor all patients taking Escitalopram Capsules for the emergence of serotonin syndrome. Discontinue treatment with Escitalopram Capsules and any concomitant serotonergic agents immediately if the above symptoms occur, and initiate supportive symptomatic treatment. If concomitant use of Escitalopram Capsules with other serotonergic drugs is clinically warranted, inform patients of the increased risk for serotonin syndrome and monitor for symptoms.

8.6 Hepatic Impairment

Escitalopram Capsules are not recommended in patients with hepatic impairment because the recommended dosage in such patients cannot be achieved with the available dosage strength of Escitalopram Capsules.

Increased citalopram exposure occurs in patients with hepatic impairment [see Clinical Pharmacology (12.3)].

1 Indications and Usage (1 INDICATIONS AND USAGE)

Escitalopram Capsules are indicated for the treatment of:

  • Major depressive disorder (MDD) in adults younger than 65 years of age [see Dosage and Administration (2.1)] and pediatric patients 12 years of age and older.
  • Generalized anxiety disorder (GAD) in adults younger than 65 years of age [see Dosage and Administration (2.1)].

Additional pediatric use information is approved for AbbVie Inc.’s LEXAPRO (escitalopram) tablets and LEXAPRO (escitalopram) oral solution. However, due to AbbVie Inc.’s marketing exclusivity rights, this drug product is not labeled with that information.

5.11 Sexual Dysfunction

Use of SSRIs, including Escitalopram Capsules, may cause symptoms of sexual dysfunction [see Adverse Reactions (6.1)]. In male patients, SSRI use may result in ejaculatory delay or failure, decreased libido, and erectile dysfunction. In female patients, SSRI use may result in decreased libido and delayed or absent orgasm.

It is important for prescribers to inquire about sexual function prior to initiation of Escitalopram Capsules and to inquire specifically about changes in sexual function during treatment, because sexual function may not be spontaneously reported. When evaluating changes in sexual function, obtaining a detailed history (including timing of symptom onset) is important because sexual symptoms may have other causes, including the underlying psychiatric disorder. Discuss potential management strategies to support patients in making informed decisions about treatment.

Principal Display Panel (PRINCIPAL DISPLAY PANEL)

NDC 52427-795-30

Escitalopram Capsules

15 mg

PHARMACIST: Dispense the accompanying Medication Guide to each patient.

30 Capsules

Rx only

12.1 Mechanism of Action

The mechanism of antidepressant action of escitalopram, the S-enantiomer of racemic citalopram, is presumed to be linked to potentiation of serotonergic activity in the central nervous system (CNS) resulting from its inhibition of CNS neuronal reuptake of serotonin (5-HT).

9.1 Controlled Substance

Escitalopram Capsules contain the active ingredient escitalopram, which is not a controlled substance.

5 Warnings and Precautions (5 WARNINGS AND PRECAUTIONS)
  • Serotonin Syndrome:  Increased risk when co-administered with other serotonergic agents but also when taken alone. If it occurs, discontinue Escitalopram Capsules and serotonergic agents and initiate supportive treatment (4, 5.2, 7)

  • Discontinuation Syndrome: When discontinuing reduce dosage gradually whenever possible, and monitor for discontinuation symptoms (2.7, 5.3)

  • Seizures: Use with caution in patients with a history of seizure (5.4)

  • Activation of Mania/Hypomania: Screen patients for bipolar disorder (5.5)

  • Hyponatremia: Can occur in association with syndrome of inappropriate antidiuretic hormone secretion (5.6)

  • Increased Risk of Bleeding: Concomitant use of nonsteroidal anti-inflammatory drugs, aspirin, other antiplatelet drugs, warfarin and other anticoagulants may increase risk (5.7, 7)

  • Interference with Cognitive and Motor Performance: Use caution when operating machinery (5.8)

  • Angle Closure Glaucoma: Avoid use of antidepressants, including Escitalopram Capsules, in patients with untreated anatomically narrow angles (5.9)

  • Use in Patients with Concomitant Illness: Use caution in patients with diseases or conditions that produce altered metabolism or hemodynamic responses (5.10)

  • Sexual Dysfunction: Escitalopram Capsules may cause symptoms of sexual dysfunction (5.11)
5.9 Angle Closure Glaucoma

The pupillary dilation that occurs following use of many antidepressant drugs, including Escitalopram Capsules, may trigger an angle closure attack in a patient with anatomically narrow angles who does not have a patent iridectomy. Avoid use of antidepressants, including Escitalopram Capsules, in patients with untreated anatomically narrow angles.

Pre-existing glaucoma is almost always open-angle glaucoma because angle closure glaucoma, when diagnosed, can be treated definitively with iridectomy. Open-angle glaucoma is not a risk factor for angle closure glaucoma. Patients may wish to be examined to determine whether they are susceptible to angle closure, and have a prophylactic procedure (e.g., iridectomy), if they are susceptible.

2 Dosage and Administration (2 DOSAGE AND ADMINISTRATION)
  • Escitalopram Capsules are only available in a 15 mg strength (2.1)
  • Use another escitalopram product for dosage initiation, titration, dosages other than 15 mg once daily, and for discontinuation (2.1)
  • Escitalopram Capsules are not indicated in geriatric patients and not recommended in patients with hepatic impairment (2.1)
  • Recommended starting dosage is 10 mg orally once daily of another escitalopram product. Based on response and tolerability, may increase to the maximum recommended dosage of 20 mg once daily of another escitalopram product (2.2, 2.3)
  • Escitalopram Capsules 15 mg orally once daily may be initiated in patients experiencing unfavorable tolerability to a 20 mg escitalopram dosage (2.2, 2.3)
  • Administer orally once daily with or without food. Swallow capsules whole (2.4)
  • When discontinuing, reduce dosage gradually using another escitalopram product (2.7, 5.3)
3 Dosage Forms and Strengths (3 DOSAGE FORMS AND STRENGTHS)

Capsules: 15 mg of escitalopram available as hard shell gelatin capsules, with “ALM” printed axially on the light blue opaque cap and “795” printed axially on the blue opaque body. All printing is in black ink.

5.3 Discontinuation Syndrome

Adverse reactions after discontinuation of serotonergic antidepressants, particularly after abrupt discontinuation, include: nausea, sweating, dysphoric mood, irritability, agitation, dizziness, sensory disturbances (e.g., paresthesia, such as electric shock sensations), tremor, anxiety, confusion, headache, lethargy, emotional lability, insomnia, hypomania, tinnitus, and seizures. A gradual reduction in dosage rather than abrupt cessation is recommended whenever possible [see Dosage and Administration (2.7)].

6.2 Post Marketing Experience (6.2 Post-Marketing Experience)

The following adverse reactions have been identified during post-approval use of another escitalopram product. Because these reactions are reported voluntarily from a population of uncertain size, it is not always possible to reliably estimate their frequency or establish a causal relationship to drug exposure.

Blood and Lymphatic System Disorders: anemia, agranulocytis, aplastic anemia, hemolytic anemia, idiopathic thrombocytopenia purpura, leukopenia, thrombocytopenia.

Cardiac Disorders: atrial fibrillation, bradycardia, cardiac failure, myocardial infarction, tachycardia, torsade de pointes, ventricular arrhythmia, ventricular tachycardia.

Ear and Labyrinth Disorders: vertigo

Endocrine Disorders: diabetes mellitus, hyperprolactinemia, SIADH.  

Eye Disorders: angle closure glaucoma, diplopia, mydriasis, visual disturbance.

Gastrointestinal Disorder: dysphagia, gastrointestinal hemorrhage, gastroesophageal reflux, pancreatitis, rectal hemorrhage.

General Disorders and Administration Site Conditions: abnormal gait, asthenia, edema, fall, feeling abnormal, malaise.

Hepatobiliary Disorders: fulminant hepatitis, hepatic failure, hepatic necrosis, hepatitis.

Immune System Disorders: allergic reaction, anaphylaxis.

Investigations: bilirubin increased, decreased weight, electrocardiogram QT prolongation, hepatic enzymes increased, hypercholesterolemia, INR increased, prothrombin decreased.

Metabolism and Nutrition Disorders: hyperglycemia, hypoglycemia, hypokalemia, hyponatremia.

Musculoskeletal and Connective Tissue Disorders: muscle cramp, muscle stiffness, muscle weakness, rhabdomyolysis.

Nervous System Disorders: akathisia, amnesia, ataxia, choreoathetosis, cerebrovascular accident, dysarthria, dyskinesia, dystonia, extrapyramidal disorders, grand mal seizures (or convulsions), hypoaesthesia, myoclonus, nystagmus, Parkinsonism, restless legs, seizures, syncope, tardive dyskinesia, tremor.

Pregnancy, Puerperium and Perinatal Conditions: spontaneous abortion.

Psychiatric Disorders: acute psychosis, aggression, agitation, anger, anxiety, apathy, completed suicide, confusion, depersonalization, depression aggravated, delirium, delusion, disorientation, feeling unreal, hallucinations (visual and auditory), mood swings, nervousness, nightmare, panic reaction, paranoia, restlessness, self-harm or thoughts of self-harm, suicide attempt, suicidal ideation, suicidal tendency.

Renal and Urinary Disorders: acute renal failure, dysuria, urinary retention.  

Reproductive System and Breast Disorders: menorrhagia, priapism.  

Respiratory, Thoracic and Mediastinal Disorders: anosmia, dyspnea, epistaxis, pulmonary embolism, hyposmia, pulmonary hypertension of the newborn.

Skin and Subcutaneous Tissue Disorders: alopecia, angioedema, dermatitis, drug reaction with eosinophilia and systemic symptoms (DRESS), ecchymosis, erythema multiforme, photosensitivity reaction, Stevens Johnson Syndrome, toxic epidermal necrolysis, urticaria.

Vascular Disorders: deep vein thrombosis, flushing, hypertensive crisis, hypotension, orthostatic hypotension, phlebitis, thrombosis.

8 Use in Specific Populations (8 USE IN SPECIFIC POPULATIONS)

Pregnancy: SSRI use, particularly late in pregnancy, may increase the risk for persistent pulmonary hypertension and symptoms of poor adaptation (respiratory distress, temperature instability, feeding difficulties, hypotonia, tremor, irritability) in the neonate (8.1)

Additional pediatric use information is approved for AbbVie Inc.’s LEXAPRO (escitalopram) tablets and LEXAPRO (escitalopram) oral solution. However, due to AbbVie Inc.’s marketing exclusivity rights, this drug product is not labeled with that information.

14.1 Major Depressive Disorder

The efficacy of Escitalopram Capsules 15 mg once daily for the treatment for major depressive disorder (MDD) in adults younger than 65 years of age and pediatric patients 12 years of age and older is based upon adequate and well-controlled studies of another escitalopram product with dosing ranging from 10 to 20 mg once daily. The results of these adequate and well-controlled studies are presented below.

Adults

The efficacy of escitalopram for the treatment of MDD in adults was established in three, 8-week, placebo-controlled studies conducted in outpatients between 18 and 65 years of age who met DSM-IV criteria for MDD. The primary outcome in all three studies was change from baseline to endpoint in the Montgomery Asberg Depression Rating Scale (MADRS).

A fixed-dose study compared 10 mg daily escitalopram and 20 mg daily escitalopram to placebo and 40 mg daily citalopram. The 10 mg daily and 20 mg daily escitalopram treatment groups showed statistically significant greater mean improvement compared to placebo on the MADRS. The 10 mg and 20 mg escitalopram groups were similar on this outcome measure.

In a second fixed-dose study of 10 mg daily escitalopram and placebo, the 10 mg daily escitalopram treatment group showed statistically significant greater mean improvement compared to placebo on the MADRS.

In a flexible-dose study, comparing escitalopram, titrated between 10 mg and 20 mg daily, to placebo and citalopram, titrated between 20 mg and 40 mg daily, the escitalopram treatment group showed statistically significant greater mean improvement compared to placebo on the MADRS.

Analyses of the relationship between treatment outcome and age, gender, and race did not suggest any differential responsiveness on the basis of these patient characteristics.

In a longer-term trial, 274 patients meeting (DSM-IV) criteria for MDD, who had responded during an initial 8 week, open-label treatment phase with escitalopram 10 mg or 20 mg daily, were randomized to continuation of escitalopram at their same dose, or to placebo, for up to 36 weeks of observation for relapse. Response during the open-label phase was defined by having a decrease of the MADRS total score to ≤ 12. Relapse during the double-blind phase was defined as an increase of the MADRS total score to ≥ 22, or discontinuation due to insufficient clinical response. Patients receiving continued escitalopram experienced a statistically significant longer time to relapse compared to those receiving placebo.

Pediatric Patients 12 Years of Age and Older

The efficacy of escitalopram for the treatment of MDD in pediatric patients 12 to 17 years of age was established in an 8-week, flexible-dose, placebo-controlled study that compared escitalopram (10 mg to 20 mg daily) to placebo in outpatients 12 to 17 years of age inclusive who met DSM-IV criteria for MDD. The primary outcome was change from baseline to endpoint in the Children’s Depression Rating Scale - Revised (CDRS-R). In this study, escitalopram showed statistically significant greater mean improvement compared to placebo on the CDRS-R.

The efficacy of escitalopram for the treatment of MDDin pediatric patients 12 to 17 years of age was established, in part, on the basis of extrapolation from the 8-week, flexible-dose, placebo-controlled study with racemic citalopram 20 mg to 40 mg daily. In this outpatient study in pediatric patients 7 to 17 years of age who met DSM-IV criteria for MDD, citalopram treatment showed statistically significant greater mean improvement from baseline, compared to placebo, on the CDRS-R; the positive results for this trial largely came from the 12 to 17 year subgroup.

Two additional flexible-dose, placebo-controlled MDD studies (one escitalopram study in patients ages 7 to 17 years and one citalopram study in patients ages 13 to 18 years) did not demonstrate efficacy. The safety and effectiveness of Escitalopram Capsules have not been established in pediatric patients less than 12 years of age with MDD.

2.4 Administration Information

Administer Escitalopram Capsules orally once daily, in the morning or evening, with or without food [see Clinical Pharmacology (12.3)]. Swallow capsules whole; do not open, crush, or chew.

5.7 Increased Risk of Bleeding

Drugs that interfere with serotonin reuptake inhibition, including Escitalopram Capsules, increase the risk of bleeding events. Concomitant use of aspirin, nonsteroidal anti-inflammatory drugs (NSAIDs), other antiplatelet drugs, warfarin, and other anticoagulants may add to the risk. Case reports and epidemiological studies (case-control and cohort design) have demonstrated an association between use of drugs that interfere with serotonin reuptake and the occurrence of gastrointestinal bleeding. Based on data from the published observational studies, exposure to SSRIs, particularly in the month before delivery, has been associated with a less than 2-fold increase in the risk of postpartum hemorrhage [see Use in Specific Populations (8.1)]. Bleeding events related to drugs that interfere with serotonin reuptake have ranged from ecchymoses, hematomas, epistaxis, and petechiae to life-threatening hemorrhages.

Inform patients about the increased risk of bleeding associated with the concomitant use of Escitalopram Capsules and antiplatelet agents or anticoagulants. For patients taking warfarin, carefully monitor the international normalized ratio [see Drug Interactions (7)].

6.1 Clinical Trials Experience

Because clinical studies are conducted under widely varying conditions, adverse reaction rates observed in the clinical studies of a drug cannot be directly compared to rates in the clinical studies of another drug and may not reflect the rates observed in practice.

The safety of Escitalopram Capsules 15 mg once daily for the treatment of major depressive disorder (MDD) in adults younger than 65 years of age and pediatric patients 12 years of age and older and for the treatment of generalized anxiety disorder (GAD) in adults younger than 65 years of age is based upon adequate and well-controlled studies of another escitalopram product with dosing ranging from 10 to 20 mg once daily. The results of these adequate and well-controlled studies are presented below.

Clinical Trial Data Sources

Adults

Adverse reaction data in adults with MDD were collected from 715 patients who were exposed to escitalopram and from 592 patients who were exposed to placebo in double-blind, placebo-controlled trials. An additional 284 adults with MDD were newly exposed to escitalopram in open-label trials. The adverse reaction data in adults with GAD were collected from 429 patients exposed to escitalopram and from 427 patients exposed to placebo in double-blind, placebo-controlled trials.

Pediatric Patients

Adverse reaction data for pediatric patients with MDD were collected in double-blind placebo-controlled studies in 576 pediatric patients 6 to 17 years of age, (286 escitalopram, 290 placebo).

The safety and effectiveness of Escitalopram Capsules have not been established in pediatric patients less than 12 years of age with MDD.

Adverse Reactions Associated with Discontinuation of Treatment

Major Depressive Disorder in Adults

Among the 715 adults with MDD who received escitalopram in placebo-controlled trials, 6% discontinued treatment due to an adverse reaction, as compared to 2% of 592 patients receiving placebo. The rate of discontinuation for adverse reactions in patients assigned to a fixed dose of 20 mg/day escitalopram was 10%, which was significantly different from the rate of discontinuation for adverse reactions in patients receiving 10 mg/day escitalopram (4%) and placebo (3%). Adverse reactions that were associated with discontinuation in at least 1% of escitalopram-treated patients, and at least twice that of placebo, were nausea (2%) and ejaculation disorder (2% of male patients).

Major Depressive Disorder in Pediatric Patients

In pediatric patients 6 to 17 years of age with MDD, adverse reactions were associated with discontinuation in 3.5% of 286 patients receiving escitalopram and 1% of 290 patients receiving placebo. The most common adverse reaction (incidence at least 1% for escitalopram and greater than placebo) associated with discontinuation was insomnia (1% escitalopram, 0% placebo).

The safety and effectiveness of Escitalopram Capsules have not been established in pediatric patients less than 12 years of age with MDD.

Generalized Anxiety Disorder in Adults

Among the 429 adults with GAD who received escitalopram 10 to 20 mg/day in placebo-controlled trials, 8% discontinued treatment due to an adverse reaction, as compared to 4% of 427 patients receiving placebo. Adverse reactions that were associated with discontinuation in at least 1% of escitalopram-treated patients and at least twice the placebo rate were nausea (2%), insomnia (1%), and fatigue (1%).

Additional pediatric use information is approved for AbbVie Inc.’s LEXAPRO (escitalopram) tablets and LEXAPRO (escitalopram) oral solution. However, due to AbbVie Inc.’s marketing exclusivity rights, this drug product is not labeled with that information.

Incidence of Adverse Reactions in Placebo-Controlled Clinical Trials

Major Depressive Disorder in Adults

The most commonly observed adverse reactions in escitalopram-treated adults with MDD (incidence of approximately 5% or greater and approximately twice the placebo rate) were insomnia, ejaculation disorder (primarily ejaculatory delay), nausea, increased sweating, fatigue, and somnolence.

Table 2 enumerates the incidence, rounded to the nearest percent, of adverse reactions that occurred among 715 adults with MDD who received escitalopram at doses ranging from 10 to 20 mg/day in placebo-controlled trials. Reactions included are those occurring in 2% or more of escitalopram-treated patients and greater than the incidence in placebo-treated patients.

Table 2: Adverse Reactions (≥ 2% and greater than placebo) for Major Depressive Disorder in Adults in Placebo-Controlled Trials
1Primarily ejaculatory delay.

2Denominator used was for males only (N=225 escitalopram; N=188 placebo).

3Denominator used was for females only (N=490 escitalopram; N=404 placebo).
Adverse Reaction Escitalopram Placebo
(N=715)

%
(N=592)

%
Autonomic Nervous System Disorders
Dry Mouth 6 5
Sweating Increased 5 2
Central & Peripheral Nervous System Disorders
Dizziness 5 3
Gastrointestinal Disorders
Nausea 15 7
Diarrhea 8 5
Constipation 3 1
Indigestion 3 1
Abdominal Pain 2 1
General
Influenza-like Symptoms 5 4
Fatigue 5 2
Psychiatric Disorders
Insomnia 9 4
Somnolence 6 2
Appetite Decreased 3 1
Libido Decreased 3 1
Respiratory System Disorders
Rhinitis 5 4
Sinusitis 3 2
Urogenital
Ejaculation Disorder1,2 9 <1
Impotence2 3 <1
Anorgasmia3 2 <1

Major Depressive Disorder in Pediatric Patients

The overall profile of adverse reactions in pediatric patients 6 to 17 years of age with MDD was generally similar to that seen in adult studies, as shown in Table 2. However, the following adverse reactions (excluding those which appear in Table 2 and those for which the coded terms were uninformative or misleading) were reported at an incidence of at least 2% for escitalopram and greater than placebo: back pain, urinary tract infection, vomiting, and nasal congestion.

The safety and effectiveness of Escitalopram Capsules have not been established in pediatric patients less than 12 years of age with MDD.

Generalized Anxiety Disorder in Adults

The most commonly observed adverse reactions in escitalopram-treated adults with GAD (incidence of approximately 5% or greater and approximately twice the placebo rate) were nausea, ejaculation disorder (primarily ejaculatory delay), insomnia, fatigue, decreased libido, and anorgasmia.

Table 3 enumerates the incidence, rounded to the nearest percent of adverse reactions that occurred among 429 escitalopram-treated adults with GAD who received 10 to 20 mg/day in placebo-controlled trials. Reactions included are those occurring in 2% or more of escitalopram-treated patients and for which the incidence was greater than the incidence in placebo-treated patients.

Table 3: Adverse Reactions (≥ 2% and greater than placebo) for Generalized Anxiety Disorder in Adults in Placebo-Controlled Trials
1Primarily ejaculatory delay.

2Denominator used was for males only (N=182 escitalopram; N=195 placebo).

3Denominator used was for females only (N=247 escitalopram; N=232 placebo).
Adverse Reactions   Escitalopram Placebo
  (N=429)

%
(N=427)

%
Autonomic Nervous System Disorders  
Dry Mouth 9 5
Sweating Increased 4 1
Central & Peripheral Nervous System Disorders
Headache 24 17
Paresthesia 2 1
Gastrointestinal Disorders
Nausea 18 8
Diarrhea 8 6
Constipation 5 4
Indigestion 3 2
Vomiting 3 1
Abdominal Pain 2 1
Flatulence 2 1
Toothache 2 0
General
Fatigue 8 2
Influenza-like Symptoms 5 4
Musculoskeletal System Disorder
Neck/Shoulder Pain 3 1
Psychiatric Disorders
Somnolence 13 7
Insomnia 12 6
Libido Decreased 7 2
Dreaming Abnormal 3 2
Appetite Decreased 3 1
Lethargy 3 1
Respiratory System Disorders
Yawning 2 1
Urogenital
Ejaculation Disorder1,2 14 2
Anorgasmia3 6 <1
Menstrual Disorder 2 1

Additional pediatric use information is approved for AbbVie Inc’s LEXAPRO (escitalopram) tablets and LEXAPRO (escitalopram) oral solution. However, due to AbbVie Inc’s marketing exclusivity rights, this drug product is not labeled with that information.

Dose Dependency of Adverse Reactions

The potential dose dependency of common adverse reactions (defined as an incidence rate of ≥5% in either the 10 mg or 20 mg escitalopram groups) was examined on the basis of the combined incidence of adverse reactions in two fixed-dose trials. The overall incidence rates of adverse reactions in 10 mg/day escitalopram-treated patients (66%) were similar to that of the placebo-treated patients (61%), while the incidence rate in 20 mg/day escitalopram-treated patients was greater (86%). Table 4 shows common adverse reactions that occurred in the 20 mg/day escitalopram group with an incidence that was approximately twice that of the 10 mg/day escitalopram group and approximately twice that of the placebo group.

Table 4: Dose Dependency of Common Adverse Reactions in Patients with Major Depressive Disorder*
*Adverse reactions in the 20 mg/day escitalopram group occurred with an approximate incidence of twice the 10 mg/day escitalopram group and approximately twice that of placebo.

**Escitalopram Capsules are available only as a 15 mg dosage strength.
Adverse Reaction Placebo

(N=311)


10 mg/day

Escitalopram**

(N=310)


20 mg/day

Escitalopram**

(N=125)


Insomnia 4% 7% 14%
Diarrhea 5% 6% 14%
Dry Mouth 3% 4% 9%
Somnolence 1% 4% 9%
Sweating Increased <1% 3% 8%
Dizziness 2% 4% 7%
Constipation 1% 3% 6%
Fatigue 2% 2% 6%
Indigestion 1% 2% 6%

Male and Female Sexual Dysfunction with SSRIs

Although changes in sexual desire, sexual performance, and sexual satisfaction often occur as manifestations of a psychiatric disorder, they may also be a consequence of SSRI treatment. However, reliable estimates of the incidence and severity of untoward experiences involving sexual desire, performance, and satisfaction are difficult to obtain, in part because patients and healthcare providers may be reluctant to discuss them. Accordingly, estimates of the incidence of untoward sexual experience and performance cited in product labeling are likely to underestimate their actual incidence.

Table 5: Incidence of Sexual Adverse Reactions in Males or Females in Placebo-Controlled Clinical Trials
Adverse Reaction Escitalopram Placebo
Males Only
(N=407)

%
(N=383)

%
Ejaculation Disorder

(primarily ejaculatory delay)
12 1
Libido Decreased       6 2
Impotence       2 <1
Females Only
(N=737)

%
(N=636)

%
Libido Decreased       3 1
Anorgasmia       3 <1

There are no adequately designed studies examining sexual dysfunction with escitalopram treatment.

Priapism has been reported with all SSRIs.

Weight Changes

Patients treated with escitalopram in controlled trials did not differ from placebo-treated patients with regard to clinically important change in body weight.

ECG Changes

Electrocardiograms from another escitalopram product (N=625) and placebo (N=527) groups were compared with respect to outliers defined as subjects with QTc changes over 60 msec from baseline or absolute values over 500 msec post-dose, and subjects with heart rate increases to over 100 bpm or decreases to less than 50 bpm with a 25% change from baseline (tachycardic or bradycardic outliers, respectively). None of the patients in the escitalopram group had a QTcF interval >500 msec or a prolongation >60 msec compared to 0.2% of patients in the placebo group. The incidence of tachycardic outliers was 0.2% in the escitalopram and the placebo group. The incidence of bradycardic outliers was 0.5% in the escitalopram group and 0.2% in the placebo group.

Other Reactions Observed During the Premarketing Evaluation of Escitalopram Capsules

Other adverse reactions at an incidence of ≥1% and greater than placebo reported by the 1428 patients treated with another escitalopram product for periods of up to one year in double-blind or open-label clinical trials are shown below. The following list does not include adverse reactions 1) already listed in previous tables or elsewhere in the labeling, 2) for which a drug cause was remote, 3) which were so general as to be uninformative, 4) which were not considered to have clinically significant implications, or 5) which occurred at a rate equal to or less than placebo.

Cardiovascular: hypertension, palpitation.

Central and Peripheral Nervous System Disorders: light-headed feeling, migraine.

Gastrointestinal Disorders: abdominal cramp, heartburn, gastroenteritis.

General: allergy, chest pain, fever, hot flushes, pain in limb.

Metabolic and Nutritional Disorders: increased weight.

Musculoskeletal System Disorders: arthralgia, myalgia jaw stiffness. 

Psychiatric Disorders: appetite increased, concentration impaired, irritability.

Reproductive Disorders/Female: menstrual cramps, menstrual disorder.

Respiratory System Disorders: bronchitis, coughing, nasal congestion, sinus congestion, sinus headache.

Skin and Appendages Disorders: rash.

Special Senses: vision blurred, tinnitus.

Urinary System Disorders: urinary frequency, urinary tract infection.

2.1 Important Dosage Information

Escitalopram Capsules are only available in a 15 mg strength. Use another escitalopram product for initial dosage, dosage titration, administration of dosages other than 15 mg once daily, and to taper during discontinuation [see Dosage and Administration (2.2, 2.3, 2.7)]. Refer to the Prescribing Information of other escitalopram products for the recommended dosage for those products.

Escitalopram Capsules may be initiated in patients experiencing unfavorable tolerability to a 20 mg escitalopram dosage [see Dosage and Administration (2.2, 2.3)].

Escitalopram Capsules are not indicated in geriatric patients. Avoid use of Escitalopram Capsules in geriatric patients because the recommended dosage in these patients cannot be achieved with the Escitalopram Capsules 15 mg strength [see Use in Specific Populations (8.5)].

Escitalopram Capsules are not recommended in patients with hepatic impairment because the recommended dosage in such patients cannot be achieved with the Escitalopram Capsules 15 mg strength [see Use in Specific Populations (8.6)].

14.2 Generalized Anxiety Disorder

The efficacy of Escitalopram Capsules 15 mg once daily for the treatment for generalized anxiety disorder (GAD) in adults younger than 65 years of age is based upon adequate and well-controlled studies of another escitalopram product with dosing ranging from 10 to 20 mg once daily. The results of these adequate and well-controlled studies are presented below.

The efficacy of escitalopram for the treatment of GAD in adults was demonstrated in three, 8-week, multicenter, flexible-dose, placebo-controlled studies that compared escitalopram (10 mg to 20 mg daily) to placebo in outpatients between 18 and 80 years of age who met DSM-IV criteria for GAD. In all three studies, escitalopram showed statistically significant greater mean improvement compared to placebo on the Hamilton Anxiety Scale (HAM-A).

There were too few patients in differing ethnic and age groups to adequately assess whether or not escitalopram has differential effects in these groups. There was no difference in response to escitalopram between men and women.

Additional pediatric use information is approved for AbbVie Inc.’s LEXAPRO (escitalopram) tablets and LEXAPRO (escitalopram) oral solution. However, due to AbbVie Inc.’s marketing exclusivity rights, this drug product is not labeled with that information.

17 Patient Counseling Information (17 PATIENT COUNSELING INFORMATION)

Advise the patient to read the FDA-approved patient labeling (Medication Guide).

Suicidal Thoughts and Behaviors

Advise patients and caregivers to look for the emergence of suicidal ideation and behavior, especially early during treatment and when the dosage is adjusted up or down, and instruct them to report such symptoms to their healthcare provider [see Boxed Warning, Warnings and Precautions (5.1)].

Serotonin Syndrome

Caution patients about the risk of serotonin syndrome, particularly with the concomitant use of Escitalopram Capsules with other serotonergic drugs including triptans, tricyclic antidepressants, opioids, lithium, tryptophan, buspirone, amphetamines, St. John’s Wort, and with drugs that impair metabolism of serotonin (in particular, MAOIs, both those intended to treat psychiatric disorders and also others, such as linezolid). Instruct patients to contact their health care provider or report to the emergency room if they experience signs or symptoms of serotonin syndrome [see Warnings and Precautions (5.2), Drug Interactions (7)].

Discontinuation Syndrome

Advise patients not to abruptly discontinue Escitalopram Capsules and to discuss any tapering regimen with their healthcare provider. Inform patients that adverse reactions can occur when Escitalopram Capsules are discontinued [see Warnings and Precautions (5.3)].

Activation of Mania or Hypomania

Advise patients and their caregivers to observe for signs of activation of mania/hypomania and instruct them to report such symptoms to the healthcare provider [see Warnings and Precautions (5.5)].

Increased Risk of Bleeding

Inform patients about the concomitant use of Escitalopram Capsules with NSAIDs, aspirin, warfarin, other antiplatelet drugs, or other anticoagulants because the combined use has been associated with an increased risk of bleeding. Advise patients to inform their healthcare providers if they are taking or planning to take any prescription or over-the-counter medications that increase the risk of bleeding [see Warnings and Precautions (5.7)].

Angle Closure Glaucoma

Advise patients that taking Escitalopram Capsules can cause mild pupillary dilation, which in susceptible individuals, can lead to an episode of angle closure glaucoma [see Warnings and Precautions (5.9)].

Sexual Dysfunction

Advise patients that use of Escitalopram Capsules may cause symptoms of sexual dysfunction in both male and female patients. Inform patients that they should discuss any changes in sexual function and potential management strategies with their healthcare provider [see Warnings and Precautions (5.11)].

Concomitant Medications

Advise patients to inform their physician if they are taking, or plan to take, any prescription or over-the-counter drugs, as there is a potential for interactions. Instruct patients to avoid concomitant use of Escitalopram Capsules and racemic citalopram because escitalopram is the active isomer of racemic citalopram [see Drug Interactions (7)].

Interference with Psychomotor Performance

Because psychoactive drugs may impair judgment, thinking, or motor skills, caution patients about operating hazardous machinery, including automobiles, until they are reasonably certain that Escitalopram Capsules does not affect their ability to engage in such activities [see Warnings and Precautions (5.8)].

Alcohol

Inform patients that the concomitant use of Escitalopram Capsules and alcohol is not recommended [see Drug Interactions (7)].

Pregnancy

Advise pregnant women to notify their healthcare providers if they become pregnant or intend to become pregnant during treatment with Escitalopram Capsules.

Advise patients that Escitalopram Capsules use later in pregnancy may lead to increased risk for neonatal complications requiring prolonged hospitalization, respiratory support, tube feeding, and/or persistent pulmonary hypertension of the newborn [see Use in Specific Populations (8.1)].

Advise women that there is a pregnancy exposure registry that monitors pregnancy outcomes in women exposed to Escitalopram Capsules during pregnancy [see Use in Specific Populations (8.1)].

Lactation

Advise breastfeeding women using Escitalopram Capsules to monitor infants for excess sedation, restlessness, agitation, poor feeding and poor weight gain and to seek medical care if they notice these signs [see Use in Specific Populations (8.2)].

16 How Supplied/storage and Handling (16 HOW SUPPLIED/STORAGE AND HANDLING)

How Supplied

15 mg capsules:

Hard shell gelatin capsules, with “ALM” printed axially on the light blue opaque cap and “795” printed axially on the blue opaque body. All printing is in black ink.

NDC 52427-795-30, Bottle of 30 capsules with a child-resistant closure

Storage and Handling

Store at 20°C to 25°C (68°F to 77°F); excursions permitted to 15°C to 30°C (59°F to 86°F) [see USP Controlled Room Temperature].

5.5 Activation of Mania Or Hypomania (5.5 Activation of Mania or Hypomania)

In patients with bipolar disorder, treating a depressive episode with Escitalopram Capsules or another antidepressant may precipitate a mixed/manic episode. In controlled trials of another escitalopram product in major depressive disorder, activation of mania/hypomania was reported in 0.1% of patients treated with escitalopram and none of the patients treated with placebo. One additional case of hypomania has been reported in association with escitalopram treatment. Activation of mania/hypomania has also been reported in a small proportion of patients with major affective disorders treated with racemic citalopram and other marketed drugs effective in the treatment of major depressive disorder.

Prior to initiating treatment with Escitalopram Capsules, screen patients for any personal or family history of bipolar disorder, mania, or hypomania [see Dosage and Administration (2.3)].

Warning: Suicidal Thoughts and Behaviors (WARNING: SUICIDAL THOUGHTS AND BEHAVIORS)

Antidepressants increased the risk of suicidal thoughts and behaviors in pediatric and young adult patients in short-term studies. Closely monitor all antidepressant-treated patients for clinical worsening, and for emergence of suicidal thoughts and behaviors [see Warnings and Precautions (5.1)].

13.2 Animal Toxicology And/or Pharmacology (13.2 Animal Toxicology and/or Pharmacology)

Retinal Changes in Rats

Pathologic changes (degeneration/atrophy) were observed in the retinas of albino rats in the 2-year carcinogenicity study with racemic citalopram. There was an increase in both incidence and severity of retinal pathology in both male and female rats receiving 80 mg/kg/day. Similar findings were not present in rats receiving 24 mg/kg/day of racemic citalopram for two years, in mice receiving up to 240 mg/kg/day of racemic citalopram for 18 months, or in dogs receiving up to 20 mg/kg/day of racemic citalopram for one year.

Additional studies to investigate the mechanism for this pathology have not been performed, and the potential significance of this effect in humans has not been established.

Cardiovascular Changes in Dogs

In a one-year toxicology study, 5 of 10 beagle dogs receiving oral racemic citalopram doses of 8 mg/kg/day died suddenly between weeks 17 and 31 following initiation of treatment. Sudden deaths were not observed in rats at doses of racemic citalopram up to 120 mg/kg/day, which produced plasma levels of citalopram and its metabolites demethylcitalopram and didemethylcitalopram (DDCT) similar to those observed in dogs at 8 mg/kg/day. A subsequent intravenous dosing study demonstrated that in beagle dogs, racemic DDCT caused QT prolongation, a known risk factor for the observed outcome in dogs.

5.10 Use in Patients With Concomitant Illness (5.10 Use in Patients with Concomitant Illness)

Clinical experience with escitalopram in patients with certain concomitant systemic illnesses is limited. Caution is advisable in using escitalopram in patients with diseases or conditions that produce altered metabolism or hemodynamic responses.

Escitalopram has not been systematically evaluated in patients with a recent history of myocardial infarction or unstable heart disease. Patients with these diagnoses were generally excluded from clinical studies during escitalopram premarketing testing.

In subjects with hepatic impairment, clearance of racemic citalopram was decreased and plasma concentrations were increased. Escitalopram Capsules are not recommended in patients with hepatic impairment [see Use in Specific Populations (8.6)].

Because escitalopram is extensively metabolized, excretion of unchanged drug in urine is a minor route of elimination. Pharmacokinetics of escitalopram in patients with a creatinine clearance less than 20 mL/minute has not been evaluated, however, it should be used with caution in such patients [see Clinical Pharmacology (12.3)].

2.2 Recommended Dosage for Major Depressive Disorder

The recommended starting dosage of escitalopram for MDD in adults younger than 65 years of age and pediatric patients 12 years of age and older is 10 mg orally once daily. Use another escitalopram product for dosage initiation.

Based on clinical response and tolerability, the dosage may be increased to the maximum recommended dosage of 20 mg once daily of another escitalopram product after at least 1 week in adults younger than 65 years of age and after 3 weeks in pediatric patients 12 years of age and older. Escitalopram Capsules 15 mg orally once daily may be initiated in patients experiencing unfavorable tolerability to a 20 mg escitalopram dosage.

5.8 Interference With Cognitive and Motor Performance (5.8 Interference with Cognitive and Motor Performance)

In a study of another escitalopram product in normal volunteers, escitalopram 10 mg daily did not produce impairment of intellectual function or psychomotor performance. Because any psychoactive drug may impair judgment, thinking, or motor skills, however, patients should be cautioned about operating hazardous machinery, including automobiles, until they are reasonably certain that Escitalopram Capsules do not affect their ability to engage in such activities.

2.7 Discontinuing Treatment With Escitalopram Capsules (2.7 Discontinuing Treatment with Escitalopram Capsules)

Adverse reactions may occur upon discontinuation of Escitalopram Capsules [see Warnings and Precautions (5.3)]. Gradually reduce the dosage rather than stopping Escitalopram Capsules abruptly whenever possible. Given that 15 mg is the only available dosage strength of Escitalopram Capsules, gradual dosage reduction will require the use of another escitalopram product.

2.3 Recommended Dosage for Generalized Anxiety Disorder

The recommended starting dosage of escitalopram for GAD in adults younger than 65 years of age is 10 mg orally once daily. Use another escitalopram product for dosage initiation.

Based on clinical response and tolerability, the dosage may be increased to the maximum recommended dosage of 20 mg once daily of another escitalopram product after at least 1 week in adults younger than 65 years of age. Escitalopram Capsules 15 mg orally once daily may be initiated in patients experiencing unfavorable tolerability to a 20 mg escitalopram dosage.

Additional pediatric use information is approved for AbbVie Inc.’s LEXAPRO (escitalopram) tablets and LEXAPRO (escitalopram) oral solution. However, due to AbbVie Inc. ’s marketing exclusivity rights, this drug product is not labeled with that information.

13.1 Carcinogenesis, Mutagenesis, Impairment of Fertility

Carcinogenesis

Racemic citalopram was administered in the diet to NMRI/BOM strain mice and COBS WI strain rats for 18 and 24 months, respectively. There was no evidence for carcinogenicity of racemic citalopram in mice receiving up to 240 mg/kg/day. There was an increased incidence of small intestine carcinoma in rats receiving 8 or 24 mg/kg/day racemic citalopram. A no-effect dose for this finding was not established. The relevance of these findings to humans is unknown.

Mutagenesis

Racemic citalopram was mutagenic in the in vitro bacterial reverse mutation assay (Ames test) in 2 of 5 bacterial strains (Salmonella TA98 and TA1537) in the absence of metabolic activation. It was clastogenic in the in vitro Chinese hamster lung cell assay for chromosomal aberrations in the presence and absence of metabolic activation. Racemic citalopram was not mutagenic in the in vitro mammalian forward gene mutation assay (HPRT) in mouse lymphoma cells or in a coupled in vitro/in vivo unscheduled DNA synthesis (UDS) assay in rat liver. It was not clastogenic in the in vitro chromosomal aberration assay in human lymphocytes or in two in vivo mouse micronucleus assays.

Impairment of Fertility

When racemic citalopram was administered orally to 16 male and 24 female rats prior to and throughout mating and gestation at doses of 32, 48, and 72 mg/kg/day, mating was decreased at all doses, and fertility was decreased at doses ≥ 32 mg/kg/day. Gestation duration was increased at 48 mg/kg/day.

5.1 Suicidal Thoughts and Behaviors in Adolescents and Young Adults  

In pooled analyses of placebo-controlled trials of antidepressant drugs (SSRIs and other antidepressant classes) that included approximately 77,000 adult patients and 4,500 pediatric patients, the incidence of suicidal thoughts and behaviors in the antidepressant-treated patients age 24 years and younger was greater than in placebo-treated patients. There was considerable variation in risk of suicidal thoughts and behaviors among drugs, but there was an increased risk identified in young patients for most drugs studied. There were differences in absolute risk of suicidal thoughts and behaviors across the different indications, with the highest incidence in patients with MDD. The drug-placebo differences in the number of cases of suicidal thoughts and behaviors per 1000 patients treated are provided in Table 1.

Table 1: Risk Differences of the Number of Patients of Suicidal Thoughts and Behaviors in the Pooled Placebo-Controlled Trials of Antidepressants in Pediatric and Adult Patients
Age Range Drug-Placebo Difference in Number of Patients of Suicidal Thoughts and Behaviors per 1000 Patients Treated
Increases Compared to Placebo
<18 years old 14 additional patients
18 to 24 years old 5 additional patients
Decreases Compared to Placebo
25 to 64 years old 1 fewer patient
≥65 years old 6 fewer patients

It is unknown whether the risk of suicidal thoughts and behaviors in children, adolescents, and young adults extends to longer-term use, i.e., beyond four months. However, there is substantial evidence from placebo-controlled maintenance trials in adults with MDD that antidepressants delay the recurrence of depression and that depression itself is a risk factor for suicidal thoughts and behaviors.

Monitor all antidepressant-treated patients for any indication for clinical worsening and emergence of suicidal thoughts and behaviors, especially during the initial few months of drug therapy, and at times of dosage changes. Counsel family members or caregivers of patients to monitor for changes in behavior and to alert the healthcare provider. Consider changing the therapeutic regimen, including possibly discontinuing Escitalopram Capsules, in patients whose depression is persistently worse, or who are experiencing emergent suicidal thoughts or behaviors.

2.5 Screen for Bipolar Disorder Prior to Starting Escitalopram Capsules

Prior to initiating treatment with Escitalopram Capsules or another antidepressant, screen patients for a personal family history of bipolar disorder, mania, or hypomania [see Warnings and Precautions (5.5)].

2.6 Switching Patients to Or From A Monoamine Oxidase Inhibitor Antidepressant (2.6 Switching Patients to or from a Monoamine Oxidase Inhibitor Antidepressant)

At least 14 days must elapse between discontinuation of a monoamine oxidase inhibitor (MAOI) antidepressant and initiation of Escitalopram Capsules. In addition, at least 14 days must elapse after stopping Escitalopram Capsules before starting an MAOI antidepressant [see Contraindications (4), Warnings and Precautions (5.2)].


Advanced Ingredient Data


Raw Label Data

All Sections (JSON)