Lincocin®

Lincocin®
SPL v29
SPL
SPL Set ID c01906fa-2c73-4c13-9765-2fd06628d263
Routes
INTRAMUSCULAR INTRAVENOUS SUBCONJUNCTIVAL
Published
Effective Date 2023-03-02
Document Type 34391-3 HUMAN PRESCRIPTION DRUG LABEL

Drug Facts

Composition & Product

Active Ingredients
Lincomycin (300 mg)
Inactive Ingredients
Benzyl Alcohol

Identifiers & Packaging

Marketing Status
NDA Completed Since 2023-04-18 Until 2025-06-30

Description

Sterile Solution for Intramuscular and Intravenous Use To reduce the development of drug-resistant bacteria and maintain the effectiveness of LINCOCIN and other antibacterial drugs, LINCOCIN should be used only to treat or prevent infections that are proven or strongly suspected to be caused by bacteria.

Indications and Usage

LINCOCIN is indicated in the treatment of serious infections due to susceptible strains of streptococci, pneumococci, and staphylococci. Its use should be reserved for penicillin-allergic patients or other patients for whom, in the judgment of the physician, a penicillin is inappropriate. Because of the risk of CDAD, as described in the BOXED WARNING , before selecting lincomycin the physician should consider the nature of the infection and the suitability of other alternatives. Indicated surgical procedures should be performed in conjunction with antibacterial therapy. LINCOCIN may be administered concomitantly with other antimicrobial agents when indicated. LINCOCIN is not indicated in the treatment of minor bacterial infections or viral infections. To reduce the development of drug-resistant bacteria and maintain the effectiveness of LINCOCIN and other antibacterial drugs, LINCOCIN should be used only to treat or prevent infections that are proven or strongly suspected to be caused by susceptible bacteria. When culture and susceptibility information are available, they should be considered in selecting or modifying antibacterial therapy. In the absence of such data, local epidemiology and susceptibility patterns may contribute to the empiric selection of therapy.

Dosage and Administration

If significant diarrhea occurs during therapy, LINCOCIN should be discontinued. (see BOXED WARNING )

Contraindications

LINCOCIN is contraindicated in patients previously found to be hypersensitive to lincomycin or clindamycin.

Adverse Reactions

The following adverse reactions have been reported with the use of lincomycin.

Drug Interactions

Lincomycin has been shown to have neuromuscular blocking properties that may enhance the action of other neuromuscular blocking agents; therefore, it should be used with caution in patients receiving such agents.

How Supplied

LINCOCIN (lincomycin injection, USP) is available as a sterile, clear, and colorless solution in the following strength and package sizes: Unit of Sale Concentration NDC 0009-0555-01 or NDC 0009-0104-04 600 mg/2 mL 2 mL multiple-dose vial (300 mg/mL) NDC 0009-0107-04 3,000 mg/10 mL 10 mL multiple-dose vial (300 mg/mL) Each mL of LINCOCIN contains 300 mg lincomycin (equivalent to 340 mg lincomycin hydrochloride, USP); also benzyl alcohol, 9.45 mg added as preservative.


Medication Information

Indications and Usage

LINCOCIN is indicated in the treatment of serious infections due to susceptible strains of streptococci, pneumococci, and staphylococci. Its use should be reserved for penicillin-allergic patients or other patients for whom, in the judgment of the physician, a penicillin is inappropriate. Because of the risk of CDAD, as described in the BOXED WARNING , before selecting lincomycin the physician should consider the nature of the infection and the suitability of other alternatives.

Indicated surgical procedures should be performed in conjunction with antibacterial therapy.

LINCOCIN may be administered concomitantly with other antimicrobial agents when indicated.

LINCOCIN is not indicated in the treatment of minor bacterial infections or viral infections.

To reduce the development of drug-resistant bacteria and maintain the effectiveness of LINCOCIN and other antibacterial drugs, LINCOCIN should be used only to treat or prevent infections that are proven or strongly suspected to be caused by susceptible bacteria. When culture and susceptibility information are available, they should be considered in selecting or modifying antibacterial therapy. In the absence of such data, local epidemiology and susceptibility patterns may contribute to the empiric selection of therapy.

Dosage and Administration

If significant diarrhea occurs during therapy, LINCOCIN should be discontinued. (see BOXED WARNING )

Contraindications

LINCOCIN is contraindicated in patients previously found to be hypersensitive to lincomycin or clindamycin.

Adverse Reactions

The following adverse reactions have been reported with the use of lincomycin.

Drug Interactions

Lincomycin has been shown to have neuromuscular blocking properties that may enhance the action of other neuromuscular blocking agents; therefore, it should be used with caution in patients receiving such agents.

How Supplied

LINCOCIN (lincomycin injection, USP) is available as a sterile, clear, and colorless solution in the following strength and package sizes:

Unit of Sale Concentration

NDC 0009-0555-01 or NDC 0009-0104-04

600 mg/2 mL

2 mL multiple-dose vial

(300 mg/mL)

NDC 0009-0107-04

3,000 mg/10 mL

10 mL multiple-dose vial

(300 mg/mL)

Each mL of LINCOCIN contains 300 mg lincomycin (equivalent to 340 mg lincomycin hydrochloride, USP); also benzyl alcohol, 9.45 mg added as preservative.

Description

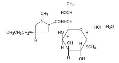
LINCOCIN (lincomycin injection, USP) is a sterile solution containing lincomycin hydrochloride which is the monohydrated salt of lincomycin, a lincosamide antibacterial produced by the growth of a member of the lincolnensis group of Streptomyces lincolnensis (Fam. Streptomycetaceae). The chemical name for lincomycin hydrochloride is Methyl 6,8-dideoxy-6-(1-methyl-trans-4-propyl-L-2-pyrolidinecarboxamido)-1-thio-D-erythro-α-D-galacto-octopyranoside monohydrochloride monohydrate. The molecular formula of lincomycin hydrochloride is C18H34N2O6S.HCl.H2O and the molecular weight is 461.01.

The structural formula is represented below:

Lincomycin hydrochloride is a white or practically white, crystalline powder and is odorless or has a faint odor. Its solutions are acid and are dextrorotatory. Lincomycin hydrochloride is freely soluble in water; soluble in dimethylformamide and very slightly soluble in acetone.

LINCOCIN contains lincomycin hydrochloride in a sterile, clear, colorless solution with benzyl alcohol used as a preservative 9.45 mg/mL, and water for injection.

LINCOCIN is a sterile solution for intramuscular and intravenous use. LINCOCIN is supplied in 2 mL and 10 mL multiple-dose vials containing 300 mg/mL of lincomycin (equivalent to 340 mg/mL of lincomycin hydrochloride, USP).

Adults

Serious infections—600 mg (2 mL) intramuscularly every 24 hours. More severe infections—600 mg (2 mL) intramuscularly every 12 hours or more often.

Section 42229-5

Sterile Solution for Intramuscular and Intravenous Use

To reduce the development of drug-resistant bacteria and maintain the effectiveness of LINCOCIN and other antibacterial drugs, LINCOCIN should be used only to treat or prevent infections that are proven or strongly suspected to be caused by bacteria.

Section 44425-7

Store at controlled room temperature 20° to 25°C (68° to 77°F) [see USP].

General

Review of experience to date suggests that a subgroup of older patients with associated severe illness may tolerate diarrhea less well. When LINCOCIN is indicated in these patients, they should be carefully monitored for change in bowel frequency.

LINCOCIN should be prescribed with caution in individuals with a history of gastrointestinal disease, particularly colitis.

LINCOCIN should be used with caution in patients with a history of asthma or significant allergies.

Certain infections may require incision and drainage or other indicated surgical procedures in addition to antibacterial therapy.

The use of LINCOCIN may result in overgrowth of nonsusceptible organisms, particularly yeasts. Should superinfections occur, appropriate measures should be taken as indicated by the clinical situation. When patients with pre-existing Candida infections require therapy with LINCOCIN, concomitant antifungal treatment should be given.

The serum half-life of lincomycin may be prolonged in patients with severe renal impairment compared to patients with normal renal function. In patients with hepatic impairment, serum half-life may be twofold longer than in patients with normal hepatic function.

Patients with severe renal impairment and/or hepatic impairment should be dosed with caution and serum lincomycin concentrations monitored during high-dose therapy. (see DOSAGE AND ADMINISTRATION )

Lincomycin MUST be diluted prior to intravenous infusion. For intravenous infusion, infuse over at least 60 minutes as directed in the DOSAGE AND ADMINISTRATION Section. Do NOT administer as an intravenous bolus. Severe cardiopulmonary reactions have occurred at greater than the recommended concentration and rate.

Prescribing LINCOCIN in the absence of a proven or strongly suspected bacterial infection or a prophylactic indication is unlikely to provide benefit to the patient and increases the risk of the development of drug-resistant bacteria.

Warning

Clostridioides difficile associated diarrhea (CDAD) has been reported with use of nearly all antibacterial agents, including LINCOCIN and may range in severity from mild diarrhea to fatal colitis. Treatment with antibacterial agents alters the normal flora of the colon leading to overgrowth of C. difficile.

Because lincomycin therapy has been associated with severe colitis which may end fatally, it should be reserved for serious infections where less toxic antimicrobial agents are inappropriate, as described in the INDICATIONS AND USAGE section. It should not be used in patients with nonbacterial infections such as most upper respiratory tract infections.

C. difficile produces toxins A and B which contribute to the development of CDAD. Hypertoxin producing strains of C. difficile cause increased morbidity and mortality, as these infections can be refractory to antimicrobial therapy and may require colectomy. CDAD must be considered in all patients who present with diarrhea following antibacterial use. Careful medical history is necessary since CDAD has been reported to occur over two months after the administration of antibacterial agents.

If CDAD is suspected or confirmed, ongoing antibacterial use not directed against C. difficile may need to be discontinued. Appropriate fluid and electrolyte management, protein supplementation, antibacterial treatment of C. difficile, and surgical evaluation should be instituted as clinically indicated.

Warnings
Pregnancy

There are no adequate and well-controlled studies in pregnant women. LINCOCIN Sterile Solution contains benzyl alcohol as a preservative. Benzyl alcohol can cross the placenta. See WARNINGS . LINCOCIN should be used during pregnancy only if clearly needed.

Overdosage

Serum concentrations of lincomycin are not appreciably affected by hemodialysis and peritoneal dialysis.

Resistance

Cross resistance has been demonstrated between clindamycin and lincomycin. Resistance is most often due to methylation of specific nucleotides in the 23S RNA of the 50S ribosomal subunit, which can determine cross resistance to macrolides and streptogramins B (MLSB phenotype). Macrolide-resistant isolates of these organisms should be tested for inducible resistance to lincomycin/clindamycin using the D-zone test or other appropriate method.

Pediatric Use

LINCOCIN contains benzyl alcohol as a preservative. Benzyl alcohol has been associated with a fatal "Gasping Syndrome" in premature infants. See WARNINGS . Safety and effectiveness in pediatric patients below the age of one month have not been established. (see DOSAGE AND ADMINISTRATION )

Nursing Mothers

Lincomycin has been reported to appear in human milk in concentrations of 0.5 to 2.4 mcg/mL. Because of the potential for serious adverse reactions in nursing infants from LINCOCIN, a decision should be made whether to discontinue nursing, or to discontinue the drug, taking into account the importance of the drug to the mother.

Hypersensitivity

Severe hypersensitivity reactions, including anaphylactic reactions and severe cutaneous adverse reactions (SCAR) such as Stevens-Johnson syndrome (SJS), toxic epidermal necrolysis (TEN), acute generalized exanthematous pustulosis (AGEP), and erythema multiforme (EM) have been reported in patients receiving LINCOCIN therapy. If an anaphylactic reaction or severe skin reaction occurs, LINCOCIN should be discontinued and appropriate therapy should be initiated. (see ADVERSE REACTIONS )

Laboratory Tests

During prolonged therapy with LINCOCIN, periodic liver and kidney function tests and blood counts should be performed.

Cardiac Disorders

Cardio-respiratory arrest (see DOSAGE AND ADMINISTRATION )

Vascular Disorders

Hypotension (see DOSAGE AND ADMINISTRATION ), thrombophlebitis

Animal Pharmacology

In vivo experimental animal studies demonstrated the effectiveness of LINCOCIN preparations (lincomycin) in protecting animals infected with Streptococcus viridans,β-hemolytic Streptococcus, Staphylococcus aureus, Streptococcus pneumoniae and Leptospira pomona. It was ineffective in Klebsiella, Pasteurella, Pseudomonas, Salmonella and Shigella infections.

Mechanism of Action

Lincomycin inhibits bacterial protein synthesis by binding to the 23S RNA of the 50S subunit of the bacterial ribosome. Lincomycin is predominantly bacteriostatic in vitro.

Teratogenic Effects

In a study with 60 pregnant women, cord serum concentrations were approximately 25% of the maternal serum concentrations, indicating that lincomycin crosses the placenta, and no substantial accumulation occurred in the amniotic fluid. Experience with 345 obstetrical patients receiving LINCOCIN revealed no ill effects related to pregnancy.

There was no evidence of teratogenicity when lincomycin was administered in diet to pregnant Sprague Dawley rats during the period of major organogenesis at doses up to 5000 mg/kg (approximately 6 times the maximum recommended human dose [MRHD], respectively, based on body surface area comparison).

Neurologic Disorders

Headache, dizziness, somnolence

Clinical Pharmacology

Intramuscular administration of a single dose of 600 mg of lincomycin produces average peak serum concentrations of 11.6 mcg/mL at 60 minutes and maintains therapeutic concentrations for 17 to 20 hours for most susceptible gram-positive organisms. Urinary excretion after this dose ranges from 1.8 to 24.8 percent (mean: 17.3 percent).

A two hour intravenous infusion of 600 mg of lincomycin achieves average peak serum concentrations of 15.9 mcg/mL and maintains therapeutic concentrations for 14 hours for most susceptible gram-positive organisms. Urinary excretion ranges from 4.9 to 30.3 percent (mean: 13.8 percent).

The biological half-life after intramuscular or intravenous administration is 5.4 ± 1.0 hours. The serum half-life of lincomycin may be prolonged in patients with severe renal impairment compared to patients with normal renal function. In patients with hepatic impairment, serum half-life may be twofold longer than in patients with normal hepatic function. Hemodialysis and peritoneal dialysis are not effective in removing lincomycin from the serum.

Tissue distribution studies indicate that bile is an important route of excretion. Significant concentrations have been demonstrated in most body tissues. Although lincomycin appears to diffuse into cerebrospinal fluid (CSF), concentrations of lincomycin in the CSF appear inadequate for the treatment of meningitis.

Antimicrobial Activity

Lincomycin has been shown to be active against most strains of the following bacteria both in vitro and in clinical infections: (see INDICATIONS AND USAGE ).

  Staphylococcus aureus

  Streptococcus pneumoniae

The following in vitro data are available, but their clinical significance is unknown.

Lincomycin has been shown to be active in vitro against the following microorganisms; however, the safety and efficacy of LINCOCIN in treating clinical infections due to these organisms have not been established in adequate and well controlled trials.

Gram-positive bacteria:

  Corynebacterium diphtheriae

  Streptococcus pyogenes

  Viridans group streptococci

Anaerobic bacteria:

  Clostridium tetani

  Clostridium perfringens

Nonteratogenic Effects

Reproduction studies performed in rats administered oral lincomycin in diet for 2 weeks prior to mating, throughout pregnancy and lactation, revealed no adverse effects on survival of offspring from birth to weaning at doses up to 1000 mg/kg (1.2 times the MRHD based on body surface area comparison) up to 2 generations.

Susceptibility Testing

For specific information regarding susceptibility test interpretive criteria and associated test methods and quality control standards recognized by FDA for this drug, please see: https://www.fda.gov/STIC.

Hepatobiliary Disorders

Jaundice, liver function test abnormal, transaminases increased

Immune System Disorders

Anaphylactic reaction (see WARNINGS ), angioedema, serum sickness

Clostridioides Difficile

Clostridioides difficile associated diarrhea (CDAD) has been reported with use of nearly all antibacterial agents, including Lincomycin, and may range in severity from mild diarrhea to fatal colitis. Treatment with antibacterial agents alters the normal flora of the colon leading to overgrowth of C. difficile.

C. difficile produces toxins A and B which contribute to the development of CDAD. Hypertoxin producing strains of C. difficile cause increased morbidity and mortality, as these infections can be refractory to antimicrobial therapy and may require colectomy. CDAD must be considered in all patients who present with diarrhea following antibacterial use. Careful medical history is necessary since CDAD has been reported to occur over two months after the administration of antibacterial agents.

If CDAD is suspected or confirmed, ongoing antibacterial use not directed against C. difficile may need to be discontinued. Appropriate fluid and electrolyte management, protein supplementation, antibacterial treatment of C. difficile, and surgical evaluation should be instituted as clinically indicated.

Information for Patients

Patients should be counseled that antibacterial drugs including LINCOCIN should only be used to treat bacterial infections. They do not treat viral infections (e.g., the common cold). When LINCOCIN is prescribed to treat a bacterial infection, patients should be told that although it is common to feel better early in the course of therapy, the medication should be taken exactly as directed. Skipping doses or not completing the full course of therapy may (1) decrease the effectiveness of the immediate treatment and (2) increase the likelihood that bacteria will develop resistance and will not be treatable by LINCOCIN or other antibacterial drugs in the future.

Diarrhea is a common problem caused by antibacterial which usually ends when the antibacterial is discontinued. Sometimes after starting treatment with an antibacterial, patients can develop watery and bloody stools (with or without stomach cramps and fever) even as late as two or more months after taking the last dose of the antibacterial. If this occurs, patients should contact their physician as soon as possible.

Physical Compatibilities

Physically compatible for 24 hours at room temperature unless otherwise indicated.

Infusion Solutions

5% Dextrose Injection

10% Dextrose Injection

5% Dextrose and 0.9% Sodium Chloride Injection

10% Dextrose and 0.9% Sodium Chloride Injection

Ringer's Injection

1/6 M Sodium Lactate Injection

Travert 10%-Electrolyte No. 1

Dextran in Saline 6% w/v

Vitamins in Infusion Solutions

B-Complex

B-Complex with Ascorbic Acid

Antibacterial in Infusion Solutions

Penicillin G Sodium (Satisfactory for 4 hours)

Cephalothin

Tetracycline HCl

Cephaloridine

Colistimethate (Satisfactory for 4 hours)

Ampicillin

Methicillin

Chloramphenicol

Polymyxin B Sulfate

Physically Incompatible with:

Novobiocin

Kanamycin

IT SHOULD BE EMPHASIZED THAT THE COMPATIBLE AND INCOMPATIBLE DETERMINATIONS ARE PHYSICAL OBSERVATIONS ONLY, NOT CHEMICAL DETERMINATIONS. ADEQUATE CLINICAL EVALUATION OF THE SAFETY AND EFFICACY OF THESE COMBINATIONS HAS NOT BEEN PERFORMED.

Subconjunctival Injection

0.25 mL (75 mg) injected subconjunctivally will result in ocular fluid concentrations of antibacterial (lasting for at least 5 hours) sufficient for most susceptible pathogens.

Gastrointestinal Disorders

Diarrhea, nausea, vomiting, glossitis, stomatitis, abdominal pain, abdominal discomfort

Event has been reported with intravenous injection.
, anal pruritus

Ear and Labyrinth Disorders

Vertigo, tinnitus

Infections and Infestations

Vaginal infection, pseudomembranous colitis, Clostridioides difficile colitis (see WARNINGS )

Renal and Urinary Disorders

Renal impairment, oliguria, proteinuria, azotemia

Patients With Renal Impairment

When therapy with LINCOCIN is required in individuals with severe renal impairment, an appropriate dose is 25 to 30% of that recommended for patients with normally functioning kidneys (see PRECAUTIONS ).

Parenteral drug products should be inspected visually for particulate matter and discoloration prior to administration, whenever solution and container permit.

Inadequate for Use in Meningitis

Although lincomycin appears to diffuse into cerebrospinal fluid, concentrations of lincomycin in the CSF may be inadequate for the treatment of meningitis.

Blood and Lymphatic System Disorders

Pancytopenia, agranulocytosis, aplastic anemia, leukopenia, neutropenia, thrombocytopenic purpura

Pediatric Patients Over 1 Month of Age

Serious infections—one intramuscular injection of 10 mg/kg (5 mg/lb) every 24 hours. More severe infections—one intramuscular injection of 10 mg/kg (5 mg/lb) every 12 hours or more often.

Skin and Subcutaneous Tissue Disorders

Toxic epidermal necrolysis, Stevens-Johnson syndrome, acute generalized exanthematous pustulosis, dermatitis bullous, dermatitis exfoliative, erythema multiforme (see WARNINGS), rash, urticaria, pruritus

Principal Display Panel 10 Ml Vial Label

Pfizer

NDC 0009-0107-04

Lincocin®

lincomycin injection, USP

3,000 mg/10 mL

(300 mg/mL)*

For intramuscular or

intravenous use

Rx only

10 mL Multiple-Dose Vial

Principal Display Panel 2 Ml Vial Carton

Pfizer

NDC 0009-0555-01

Lincocin®

lincomycin

injection, USP

300 mg/mL*

For intramuscular

or intravenous use

1-2 mL Vial

Rx only

Principal Display Panel 1 2 Ml Vial Label

Pfizer

NDC 0009-0555-01

Lincocin ®

lincomycin

injection, USP

300 mg/mL

1-2 mL Vial

Rx only

Principal Display Panel 10 Ml Vial Carton

Pfizer

NDC 0009-0107-04

Lincocin®

lincomycin

injection, USP

3,000 mg/10 mL

(300 mg/mL)*

For intramuscular

or intravenous use

Rx only

One 10 mL Multiple-Dose Vial

Principal Display Panel 2 Ml Vial Label 0009 0104

Pfizer

NDC 0009-0104-04

Lincocin®

lincomycin injection, USP

600 mg/2 mL

(300 mg/mL)

2 mL Multiple-Dose Vial

Carcinogenesis, Mutagenesis, Impairment of Fertility

The carcinogenic potential of lincomycin has not been evaluated.

Lincomycin was not found to be mutagenic in the Ames Salmonella reversion assay or the V79 Chinese hamster lung cells at the HGPRT locus. It did not induce DNA strand breaks in V79 Chinese hamster lung cells as measured by alkaline elution or chromosomal abnormalities in cultured human lymphocytes. In vivo, lincomycin was negative in both the rat and mouse micronucleus assays and it did not induce sex-linked recessive lethal mutations in the offspring of male Drosophila. However, lincomycin did cause unscheduled DNA syntheses in freshly isolated rat hepatocytes.

Impairment of fertility was not observed in male or female rats given oral 300 mg/kg doses of lincomycin (0.36 times the highest recommended human dose based on mg/m2).

General Disorders and Administration Site Conditions

Injection site abscess sterile

Reported with intramuscular injection.
, injection site induration
, injection site pain
, injection site irritation

Principal Display Panel 2 Ml Vial Carton 0009 0104

Pfizer

NDC 0009-0104-04

Lincocin®

lincomycin

injection, USP

600 mg/2 mL

(300 mg/mL)*

For intramuscular

or intravenous use

Rx only

One 2 mL Multiple-Dose Vial

Benzyl Alcohol Toxicity in Pediatric Patients (gasping Syndrome)

LINCOCIN contains benzyl alcohol as a preservative.

The preservative benzyl alcohol has been associated with serious adverse events, including the "gasping syndrome", and death in pediatric patients. Although normal therapeutic doses of this product ordinarily deliver amounts of benzyl alcohol that are substantially lower than those reported in association with the "gasping syndrome", the minimum amount of benzyl alcohol at which toxicity may occur is not known. The risk of benzyl alcohol toxicity depends on the quantity administered and the liver and kidneys' capacity to detoxify the chemical. Premature and low-birth weight infants may be more likely to develop toxicity.


Structured Label Content

Adults

Serious infections—600 mg (2 mL) intramuscularly every 24 hours. More severe infections—600 mg (2 mL) intramuscularly every 12 hours or more often.

Section 42229-5 (42229-5)

Sterile Solution for Intramuscular and Intravenous Use

To reduce the development of drug-resistant bacteria and maintain the effectiveness of LINCOCIN and other antibacterial drugs, LINCOCIN should be used only to treat or prevent infections that are proven or strongly suspected to be caused by bacteria.

Section 44425-7 (44425-7)

Store at controlled room temperature 20° to 25°C (68° to 77°F) [see USP].

General

Review of experience to date suggests that a subgroup of older patients with associated severe illness may tolerate diarrhea less well. When LINCOCIN is indicated in these patients, they should be carefully monitored for change in bowel frequency.

LINCOCIN should be prescribed with caution in individuals with a history of gastrointestinal disease, particularly colitis.

LINCOCIN should be used with caution in patients with a history of asthma or significant allergies.

Certain infections may require incision and drainage or other indicated surgical procedures in addition to antibacterial therapy.

The use of LINCOCIN may result in overgrowth of nonsusceptible organisms, particularly yeasts. Should superinfections occur, appropriate measures should be taken as indicated by the clinical situation. When patients with pre-existing Candida infections require therapy with LINCOCIN, concomitant antifungal treatment should be given.

The serum half-life of lincomycin may be prolonged in patients with severe renal impairment compared to patients with normal renal function. In patients with hepatic impairment, serum half-life may be twofold longer than in patients with normal hepatic function.

Patients with severe renal impairment and/or hepatic impairment should be dosed with caution and serum lincomycin concentrations monitored during high-dose therapy. (see DOSAGE AND ADMINISTRATION )

Lincomycin MUST be diluted prior to intravenous infusion. For intravenous infusion, infuse over at least 60 minutes as directed in the DOSAGE AND ADMINISTRATION Section. Do NOT administer as an intravenous bolus. Severe cardiopulmonary reactions have occurred at greater than the recommended concentration and rate.

Prescribing LINCOCIN in the absence of a proven or strongly suspected bacterial infection or a prophylactic indication is unlikely to provide benefit to the patient and increases the risk of the development of drug-resistant bacteria.

Warning (WARNING)

Clostridioides difficile associated diarrhea (CDAD) has been reported with use of nearly all antibacterial agents, including LINCOCIN and may range in severity from mild diarrhea to fatal colitis. Treatment with antibacterial agents alters the normal flora of the colon leading to overgrowth of C. difficile.

Because lincomycin therapy has been associated with severe colitis which may end fatally, it should be reserved for serious infections where less toxic antimicrobial agents are inappropriate, as described in the INDICATIONS AND USAGE section. It should not be used in patients with nonbacterial infections such as most upper respiratory tract infections.

C. difficile produces toxins A and B which contribute to the development of CDAD. Hypertoxin producing strains of C. difficile cause increased morbidity and mortality, as these infections can be refractory to antimicrobial therapy and may require colectomy. CDAD must be considered in all patients who present with diarrhea following antibacterial use. Careful medical history is necessary since CDAD has been reported to occur over two months after the administration of antibacterial agents.

If CDAD is suspected or confirmed, ongoing antibacterial use not directed against C. difficile may need to be discontinued. Appropriate fluid and electrolyte management, protein supplementation, antibacterial treatment of C. difficile, and surgical evaluation should be instituted as clinically indicated.

Warnings (WARNINGS)
Pregnancy

There are no adequate and well-controlled studies in pregnant women. LINCOCIN Sterile Solution contains benzyl alcohol as a preservative. Benzyl alcohol can cross the placenta. See WARNINGS . LINCOCIN should be used during pregnancy only if clearly needed.

Overdosage (OVERDOSAGE)

Serum concentrations of lincomycin are not appreciably affected by hemodialysis and peritoneal dialysis.

Resistance

Cross resistance has been demonstrated between clindamycin and lincomycin. Resistance is most often due to methylation of specific nucleotides in the 23S RNA of the 50S ribosomal subunit, which can determine cross resistance to macrolides and streptogramins B (MLSB phenotype). Macrolide-resistant isolates of these organisms should be tested for inducible resistance to lincomycin/clindamycin using the D-zone test or other appropriate method.

Description (DESCRIPTION)

LINCOCIN (lincomycin injection, USP) is a sterile solution containing lincomycin hydrochloride which is the monohydrated salt of lincomycin, a lincosamide antibacterial produced by the growth of a member of the lincolnensis group of Streptomyces lincolnensis (Fam. Streptomycetaceae). The chemical name for lincomycin hydrochloride is Methyl 6,8-dideoxy-6-(1-methyl-trans-4-propyl-L-2-pyrolidinecarboxamido)-1-thio-D-erythro-α-D-galacto-octopyranoside monohydrochloride monohydrate. The molecular formula of lincomycin hydrochloride is C18H34N2O6S.HCl.H2O and the molecular weight is 461.01.

The structural formula is represented below:

Lincomycin hydrochloride is a white or practically white, crystalline powder and is odorless or has a faint odor. Its solutions are acid and are dextrorotatory. Lincomycin hydrochloride is freely soluble in water; soluble in dimethylformamide and very slightly soluble in acetone.

LINCOCIN contains lincomycin hydrochloride in a sterile, clear, colorless solution with benzyl alcohol used as a preservative 9.45 mg/mL, and water for injection.

LINCOCIN is a sterile solution for intramuscular and intravenous use. LINCOCIN is supplied in 2 mL and 10 mL multiple-dose vials containing 300 mg/mL of lincomycin (equivalent to 340 mg/mL of lincomycin hydrochloride, USP).

How Supplied (HOW SUPPLIED)

LINCOCIN (lincomycin injection, USP) is available as a sterile, clear, and colorless solution in the following strength and package sizes:

Unit of Sale Concentration

NDC 0009-0555-01 or NDC 0009-0104-04

600 mg/2 mL

2 mL multiple-dose vial

(300 mg/mL)

NDC 0009-0107-04

3,000 mg/10 mL

10 mL multiple-dose vial

(300 mg/mL)

Each mL of LINCOCIN contains 300 mg lincomycin (equivalent to 340 mg lincomycin hydrochloride, USP); also benzyl alcohol, 9.45 mg added as preservative.

Pediatric Use

LINCOCIN contains benzyl alcohol as a preservative. Benzyl alcohol has been associated with a fatal "Gasping Syndrome" in premature infants. See WARNINGS . Safety and effectiveness in pediatric patients below the age of one month have not been established. (see DOSAGE AND ADMINISTRATION )

Nursing Mothers

Lincomycin has been reported to appear in human milk in concentrations of 0.5 to 2.4 mcg/mL. Because of the potential for serious adverse reactions in nursing infants from LINCOCIN, a decision should be made whether to discontinue nursing, or to discontinue the drug, taking into account the importance of the drug to the mother.

Hypersensitivity

Severe hypersensitivity reactions, including anaphylactic reactions and severe cutaneous adverse reactions (SCAR) such as Stevens-Johnson syndrome (SJS), toxic epidermal necrolysis (TEN), acute generalized exanthematous pustulosis (AGEP), and erythema multiforme (EM) have been reported in patients receiving LINCOCIN therapy. If an anaphylactic reaction or severe skin reaction occurs, LINCOCIN should be discontinued and appropriate therapy should be initiated. (see ADVERSE REACTIONS )

Laboratory Tests

During prolonged therapy with LINCOCIN, periodic liver and kidney function tests and blood counts should be performed.

Adverse Reactions (ADVERSE REACTIONS)

The following adverse reactions have been reported with the use of lincomycin.

Contraindications (CONTRAINDICATIONS)

LINCOCIN is contraindicated in patients previously found to be hypersensitive to lincomycin or clindamycin.

Cardiac Disorders (Cardiac disorders)

Cardio-respiratory arrest (see DOSAGE AND ADMINISTRATION )

Drug Interactions

Lincomycin has been shown to have neuromuscular blocking properties that may enhance the action of other neuromuscular blocking agents; therefore, it should be used with caution in patients receiving such agents.

Vascular Disorders (Vascular disorders)

Hypotension (see DOSAGE AND ADMINISTRATION ), thrombophlebitis

Animal Pharmacology (ANIMAL PHARMACOLOGY)

In vivo experimental animal studies demonstrated the effectiveness of LINCOCIN preparations (lincomycin) in protecting animals infected with Streptococcus viridans,β-hemolytic Streptococcus, Staphylococcus aureus, Streptococcus pneumoniae and Leptospira pomona. It was ineffective in Klebsiella, Pasteurella, Pseudomonas, Salmonella and Shigella infections.

Mechanism of Action

Lincomycin inhibits bacterial protein synthesis by binding to the 23S RNA of the 50S subunit of the bacterial ribosome. Lincomycin is predominantly bacteriostatic in vitro.

Teratogenic Effects

In a study with 60 pregnant women, cord serum concentrations were approximately 25% of the maternal serum concentrations, indicating that lincomycin crosses the placenta, and no substantial accumulation occurred in the amniotic fluid. Experience with 345 obstetrical patients receiving LINCOCIN revealed no ill effects related to pregnancy.

There was no evidence of teratogenicity when lincomycin was administered in diet to pregnant Sprague Dawley rats during the period of major organogenesis at doses up to 5000 mg/kg (approximately 6 times the maximum recommended human dose [MRHD], respectively, based on body surface area comparison).

Neurologic Disorders (Neurologic disorders)

Headache, dizziness, somnolence

Clinical Pharmacology (CLINICAL PHARMACOLOGY)

Intramuscular administration of a single dose of 600 mg of lincomycin produces average peak serum concentrations of 11.6 mcg/mL at 60 minutes and maintains therapeutic concentrations for 17 to 20 hours for most susceptible gram-positive organisms. Urinary excretion after this dose ranges from 1.8 to 24.8 percent (mean: 17.3 percent).

A two hour intravenous infusion of 600 mg of lincomycin achieves average peak serum concentrations of 15.9 mcg/mL and maintains therapeutic concentrations for 14 hours for most susceptible gram-positive organisms. Urinary excretion ranges from 4.9 to 30.3 percent (mean: 13.8 percent).

The biological half-life after intramuscular or intravenous administration is 5.4 ± 1.0 hours. The serum half-life of lincomycin may be prolonged in patients with severe renal impairment compared to patients with normal renal function. In patients with hepatic impairment, serum half-life may be twofold longer than in patients with normal hepatic function. Hemodialysis and peritoneal dialysis are not effective in removing lincomycin from the serum.

Tissue distribution studies indicate that bile is an important route of excretion. Significant concentrations have been demonstrated in most body tissues. Although lincomycin appears to diffuse into cerebrospinal fluid (CSF), concentrations of lincomycin in the CSF appear inadequate for the treatment of meningitis.

Indications and Usage (INDICATIONS AND USAGE)

LINCOCIN is indicated in the treatment of serious infections due to susceptible strains of streptococci, pneumococci, and staphylococci. Its use should be reserved for penicillin-allergic patients or other patients for whom, in the judgment of the physician, a penicillin is inappropriate. Because of the risk of CDAD, as described in the BOXED WARNING , before selecting lincomycin the physician should consider the nature of the infection and the suitability of other alternatives.

Indicated surgical procedures should be performed in conjunction with antibacterial therapy.

LINCOCIN may be administered concomitantly with other antimicrobial agents when indicated.

LINCOCIN is not indicated in the treatment of minor bacterial infections or viral infections.

To reduce the development of drug-resistant bacteria and maintain the effectiveness of LINCOCIN and other antibacterial drugs, LINCOCIN should be used only to treat or prevent infections that are proven or strongly suspected to be caused by susceptible bacteria. When culture and susceptibility information are available, they should be considered in selecting or modifying antibacterial therapy. In the absence of such data, local epidemiology and susceptibility patterns may contribute to the empiric selection of therapy.

Antimicrobial Activity

Lincomycin has been shown to be active against most strains of the following bacteria both in vitro and in clinical infections: (see INDICATIONS AND USAGE ).

  Staphylococcus aureus

  Streptococcus pneumoniae

The following in vitro data are available, but their clinical significance is unknown.

Lincomycin has been shown to be active in vitro against the following microorganisms; however, the safety and efficacy of LINCOCIN in treating clinical infections due to these organisms have not been established in adequate and well controlled trials.

Gram-positive bacteria:

  Corynebacterium diphtheriae

  Streptococcus pyogenes

  Viridans group streptococci

Anaerobic bacteria:

  Clostridium tetani

  Clostridium perfringens

Nonteratogenic Effects

Reproduction studies performed in rats administered oral lincomycin in diet for 2 weeks prior to mating, throughout pregnancy and lactation, revealed no adverse effects on survival of offspring from birth to weaning at doses up to 1000 mg/kg (1.2 times the MRHD based on body surface area comparison) up to 2 generations.

Susceptibility Testing

For specific information regarding susceptibility test interpretive criteria and associated test methods and quality control standards recognized by FDA for this drug, please see: https://www.fda.gov/STIC.

Hepatobiliary Disorders (Hepatobiliary disorders)

Jaundice, liver function test abnormal, transaminases increased

Immune System Disorders (Immune system disorders)

Anaphylactic reaction (see WARNINGS ), angioedema, serum sickness

Clostridioides Difficile (Clostridioides difficile)

Clostridioides difficile associated diarrhea (CDAD) has been reported with use of nearly all antibacterial agents, including Lincomycin, and may range in severity from mild diarrhea to fatal colitis. Treatment with antibacterial agents alters the normal flora of the colon leading to overgrowth of C. difficile.

C. difficile produces toxins A and B which contribute to the development of CDAD. Hypertoxin producing strains of C. difficile cause increased morbidity and mortality, as these infections can be refractory to antimicrobial therapy and may require colectomy. CDAD must be considered in all patients who present with diarrhea following antibacterial use. Careful medical history is necessary since CDAD has been reported to occur over two months after the administration of antibacterial agents.

If CDAD is suspected or confirmed, ongoing antibacterial use not directed against C. difficile may need to be discontinued. Appropriate fluid and electrolyte management, protein supplementation, antibacterial treatment of C. difficile, and surgical evaluation should be instituted as clinically indicated.

Information for Patients

Patients should be counseled that antibacterial drugs including LINCOCIN should only be used to treat bacterial infections. They do not treat viral infections (e.g., the common cold). When LINCOCIN is prescribed to treat a bacterial infection, patients should be told that although it is common to feel better early in the course of therapy, the medication should be taken exactly as directed. Skipping doses or not completing the full course of therapy may (1) decrease the effectiveness of the immediate treatment and (2) increase the likelihood that bacteria will develop resistance and will not be treatable by LINCOCIN or other antibacterial drugs in the future.

Diarrhea is a common problem caused by antibacterial which usually ends when the antibacterial is discontinued. Sometimes after starting treatment with an antibacterial, patients can develop watery and bloody stools (with or without stomach cramps and fever) even as late as two or more months after taking the last dose of the antibacterial. If this occurs, patients should contact their physician as soon as possible.

Physical Compatibilities (PHYSICAL COMPATIBILITIES)

Physically compatible for 24 hours at room temperature unless otherwise indicated.

Infusion Solutions

5% Dextrose Injection

10% Dextrose Injection

5% Dextrose and 0.9% Sodium Chloride Injection

10% Dextrose and 0.9% Sodium Chloride Injection

Ringer's Injection

1/6 M Sodium Lactate Injection

Travert 10%-Electrolyte No. 1

Dextran in Saline 6% w/v

Vitamins in Infusion Solutions

B-Complex

B-Complex with Ascorbic Acid

Antibacterial in Infusion Solutions

Penicillin G Sodium (Satisfactory for 4 hours)

Cephalothin

Tetracycline HCl

Cephaloridine

Colistimethate (Satisfactory for 4 hours)

Ampicillin

Methicillin

Chloramphenicol

Polymyxin B Sulfate

Physically Incompatible with:

Novobiocin

Kanamycin

IT SHOULD BE EMPHASIZED THAT THE COMPATIBLE AND INCOMPATIBLE DETERMINATIONS ARE PHYSICAL OBSERVATIONS ONLY, NOT CHEMICAL DETERMINATIONS. ADEQUATE CLINICAL EVALUATION OF THE SAFETY AND EFFICACY OF THESE COMBINATIONS HAS NOT BEEN PERFORMED.

Dosage and Administration (DOSAGE AND ADMINISTRATION)

If significant diarrhea occurs during therapy, LINCOCIN should be discontinued. (see BOXED WARNING )

Subconjunctival Injection (SUBCONJUNCTIVAL INJECTION)

0.25 mL (75 mg) injected subconjunctivally will result in ocular fluid concentrations of antibacterial (lasting for at least 5 hours) sufficient for most susceptible pathogens.

Gastrointestinal Disorders (Gastrointestinal disorders)

Diarrhea, nausea, vomiting, glossitis, stomatitis, abdominal pain, abdominal discomfort

Event has been reported with intravenous injection.
, anal pruritus

Ear and Labyrinth Disorders (Ear and labyrinth disorders)

Vertigo, tinnitus

Infections and Infestations (Infections and infestations)

Vaginal infection, pseudomembranous colitis, Clostridioides difficile colitis (see WARNINGS )

Renal and Urinary Disorders (Renal and urinary disorders)

Renal impairment, oliguria, proteinuria, azotemia

Patients With Renal Impairment (Patients with Renal Impairment)

When therapy with LINCOCIN is required in individuals with severe renal impairment, an appropriate dose is 25 to 30% of that recommended for patients with normally functioning kidneys (see PRECAUTIONS ).

Parenteral drug products should be inspected visually for particulate matter and discoloration prior to administration, whenever solution and container permit.

Inadequate for Use in Meningitis

Although lincomycin appears to diffuse into cerebrospinal fluid, concentrations of lincomycin in the CSF may be inadequate for the treatment of meningitis.

Blood and Lymphatic System Disorders (Blood and lymphatic system disorders)

Pancytopenia, agranulocytosis, aplastic anemia, leukopenia, neutropenia, thrombocytopenic purpura

Pediatric Patients Over 1 Month of Age (Pediatric patients over 1 month of age)

Serious infections—one intramuscular injection of 10 mg/kg (5 mg/lb) every 24 hours. More severe infections—one intramuscular injection of 10 mg/kg (5 mg/lb) every 12 hours or more often.

Skin and Subcutaneous Tissue Disorders (Skin and subcutaneous tissue disorders)

Toxic epidermal necrolysis, Stevens-Johnson syndrome, acute generalized exanthematous pustulosis, dermatitis bullous, dermatitis exfoliative, erythema multiforme (see WARNINGS), rash, urticaria, pruritus

Principal Display Panel 10 Ml Vial Label (PRINCIPAL DISPLAY PANEL - 10 mL Vial Label)

Pfizer

NDC 0009-0107-04

Lincocin®

lincomycin injection, USP

3,000 mg/10 mL

(300 mg/mL)*

For intramuscular or

intravenous use

Rx only

10 mL Multiple-Dose Vial

Principal Display Panel 2 Ml Vial Carton (PRINCIPAL DISPLAY PANEL - 2 mL Vial Carton)

Pfizer

NDC 0009-0555-01

Lincocin®

lincomycin

injection, USP

300 mg/mL*

For intramuscular

or intravenous use

1-2 mL Vial

Rx only

Principal Display Panel 1 2 Ml Vial Label (PRINCIPAL DISPLAY PANEL - 1-2 mL Vial Label)

Pfizer

NDC 0009-0555-01

Lincocin ®

lincomycin

injection, USP

300 mg/mL

1-2 mL Vial

Rx only

Principal Display Panel 10 Ml Vial Carton (PRINCIPAL DISPLAY PANEL - 10 mL Vial Carton)

Pfizer

NDC 0009-0107-04

Lincocin®

lincomycin

injection, USP

3,000 mg/10 mL

(300 mg/mL)*

For intramuscular

or intravenous use

Rx only

One 10 mL Multiple-Dose Vial

Principal Display Panel 2 Ml Vial Label 0009 0104 (PRINCIPAL DISPLAY PANEL - 2 mL Vial Label 0009-0104)

Pfizer

NDC 0009-0104-04

Lincocin®

lincomycin injection, USP

600 mg/2 mL

(300 mg/mL)

2 mL Multiple-Dose Vial

Carcinogenesis, Mutagenesis, Impairment of Fertility

The carcinogenic potential of lincomycin has not been evaluated.

Lincomycin was not found to be mutagenic in the Ames Salmonella reversion assay or the V79 Chinese hamster lung cells at the HGPRT locus. It did not induce DNA strand breaks in V79 Chinese hamster lung cells as measured by alkaline elution or chromosomal abnormalities in cultured human lymphocytes. In vivo, lincomycin was negative in both the rat and mouse micronucleus assays and it did not induce sex-linked recessive lethal mutations in the offspring of male Drosophila. However, lincomycin did cause unscheduled DNA syntheses in freshly isolated rat hepatocytes.

Impairment of fertility was not observed in male or female rats given oral 300 mg/kg doses of lincomycin (0.36 times the highest recommended human dose based on mg/m2).

General Disorders and Administration Site Conditions (General disorders and administration site conditions)

Injection site abscess sterile

Reported with intramuscular injection.
, injection site induration
, injection site pain
, injection site irritation

Principal Display Panel 2 Ml Vial Carton 0009 0104 (PRINCIPAL DISPLAY PANEL - 2 mL Vial Carton 0009-0104)

Pfizer

NDC 0009-0104-04

Lincocin®

lincomycin

injection, USP

600 mg/2 mL

(300 mg/mL)*

For intramuscular

or intravenous use

Rx only

One 2 mL Multiple-Dose Vial

Benzyl Alcohol Toxicity in Pediatric Patients (gasping Syndrome) (Benzyl Alcohol Toxicity in Pediatric Patients (Gasping Syndrome))

LINCOCIN contains benzyl alcohol as a preservative.

The preservative benzyl alcohol has been associated with serious adverse events, including the "gasping syndrome", and death in pediatric patients. Although normal therapeutic doses of this product ordinarily deliver amounts of benzyl alcohol that are substantially lower than those reported in association with the "gasping syndrome", the minimum amount of benzyl alcohol at which toxicity may occur is not known. The risk of benzyl alcohol toxicity depends on the quantity administered and the liver and kidneys' capacity to detoxify the chemical. Premature and low-birth weight infants may be more likely to develop toxicity.


Advanced Ingredient Data


Raw Label Data

All Sections (JSON)