These Highlights Do Not Include All The Information Needed To Use Atropine Sulfate Ophthalmic Solution Safely And Effectively. See Full Prescribing Information For Atropine Sulfate Ophthalmic Solution

These Highlights Do Not Include All The Information Needed To Use Atropine Sulfate Ophthalmic Solution Safely And Effectively. See Full Prescribing Information For Atropine Sulfate Ophthalmic Solution
SPL v4
SPL
SPL Set ID bfdb85b2-86d0-4f32-a8fa-272af48a191c
Route
OPHTHALMIC
Published
Effective Date 2024-05-24
Document Type 34391-3 HUMAN PRESCRIPTION DRUG LABEL

Drug Facts

Composition & Product

Active Ingredients
Atropine (10 mg)
Inactive Ingredients
Benzalkonium Chloride Boric Acid Sodium Hydroxide Hydrochloric Acid Hypromellose, Unspecified Water

Identifiers & Packaging

Marketing Status
ANDA Active Since 2024-05-24

Description

Atropine sulfate ophthalmic solution 1% is indicated for:

Indications and Usage

Atropine sulfate ophthalmic solution 1% is indicated for:

Dosage and Administration

In individuals from three (3) months of age or greater 1 drop topically to the cul-de-sac of the conjunctiva, forty minutes prior to the intended maximal dilation time (2.1) In individuals 3 years of age or greater, doses may be repeated up to twice daily as needed. (2.2)

Warnings and Precautions

Photophobia and blurred vision due to pupil unresponsiveness and cycloplegia may last up to 2 weeks. (5.1) Risk of blood pressure increase from systemic absorption (5.2) Increased adverse drug reaction susceptibility with certain central nervous system conditions (5.3)

Contraindications

Atropine sulfate ophthalmic solution should not be used in anyone who has demonstrated a previous hypersensitivity or known allergic reaction to any ingredient of the formulation because it may recur.

Adverse Reactions

The following adverse reactions are described below and elsewhere in the labeling: Photophobia and Blurred Vision [see Warnings and Precautions (5.1)] Elevation in Blood Pressure [see Warnings and Precautions (5.2)] Increased Adverse Drug Reaction Susceptibility with Certain Central Nervous System Conditions [see Warnings and Precautions (5.3)] The following adverse reactions have been identified following use of atropine sulfate ophthalmic solution. Because these reactions are reported voluntarily from a population of uncertain size, it is not always possible to reliably estimate their frequency or establish a causal relationship to drug exposure.

Drug Interactions

The use of atropine and monoamine oxidase inhibitors (MAOI) is generally not recommended because of the potential to precipitate hypertensive crisis. (7) See 17 for PATIENT COUNSELING INFORMATION.

Storage and Handling

Atropine sulfate ophthalmic solution, USP 1% is supplied sterile in natural LDPE bottle with natural LDPE nozzle and red HDPE cap as follows: 5 mL filled in 10 mL bottles         NDC 70069- 716 -01 Storage: Store atropine sulfate ophthalmic solution, USP 1% at 2°–25°C (36°–77°F).

How Supplied

Atropine sulfate ophthalmic solution, USP 1% is supplied sterile in natural LDPE bottle with natural LDPE nozzle and red HDPE cap as follows: 5 mL filled in 10 mL bottles         NDC 70069- 716 -01 Storage: Store atropine sulfate ophthalmic solution, USP 1% at 2°–25°C (36°–77°F).


Medication Information

Warnings and Precautions

Photophobia and blurred vision due to pupil unresponsiveness and cycloplegia may last up to 2 weeks. (5.1) Risk of blood pressure increase from systemic absorption (5.2) Increased adverse drug reaction susceptibility with certain central nervous system conditions (5.3)

Indications and Usage

Atropine sulfate ophthalmic solution 1% is indicated for:

Dosage and Administration

In individuals from three (3) months of age or greater 1 drop topically to the cul-de-sac of the conjunctiva, forty minutes prior to the intended maximal dilation time (2.1) In individuals 3 years of age or greater, doses may be repeated up to twice daily as needed. (2.2)

Contraindications

Atropine sulfate ophthalmic solution should not be used in anyone who has demonstrated a previous hypersensitivity or known allergic reaction to any ingredient of the formulation because it may recur.

Adverse Reactions

The following adverse reactions are described below and elsewhere in the labeling: Photophobia and Blurred Vision [see Warnings and Precautions (5.1)] Elevation in Blood Pressure [see Warnings and Precautions (5.2)] Increased Adverse Drug Reaction Susceptibility with Certain Central Nervous System Conditions [see Warnings and Precautions (5.3)] The following adverse reactions have been identified following use of atropine sulfate ophthalmic solution. Because these reactions are reported voluntarily from a population of uncertain size, it is not always possible to reliably estimate their frequency or establish a causal relationship to drug exposure.

Drug Interactions

The use of atropine and monoamine oxidase inhibitors (MAOI) is generally not recommended because of the potential to precipitate hypertensive crisis. (7) See 17 for PATIENT COUNSELING INFORMATION.

Storage and Handling

Atropine sulfate ophthalmic solution, USP 1% is supplied sterile in natural LDPE bottle with natural LDPE nozzle and red HDPE cap as follows: 5 mL filled in 10 mL bottles         NDC 70069- 716 -01 Storage: Store atropine sulfate ophthalmic solution, USP 1% at 2°–25°C (36°–77°F).

How Supplied

Atropine sulfate ophthalmic solution, USP 1% is supplied sterile in natural LDPE bottle with natural LDPE nozzle and red HDPE cap as follows: 5 mL filled in 10 mL bottles         NDC 70069- 716 -01 Storage: Store atropine sulfate ophthalmic solution, USP 1% at 2°–25°C (36°–77°F).

Description

Atropine sulfate ophthalmic solution 1% is indicated for:

10 Overdosage

In the event of accidental ingestion or toxic overdosage with atropine sulfate ophthalmic solution supportive care may include a short acting barbiturate or diazepam as needed to control marked excitement and convulsions. Large doses for sedation should be avoided because central depressant action may coincide with the depression occurring late in atropine poisoning. Central stimulants are not recommended.

Physostigmine, given by slow intravenous injection of 1 to 4 mg (0.5 to 1 mg in pediatric populations), rapidly abolishes delirium and coma caused by large doses of atropine. Since physostigmine is rapidly destroyed, the patient may again lapse into coma after one to two hours, and repeated doses may be required.

Artificial respiration with oxygen may be necessary. Cooling measures may be needed to help to reduce fever, especially in pediatric populations.

The fatal pediatric and adult doses of atropine are not known.

8.1 Pregnancy

Risk Summary

There are no adequate and well-controlled studies with atropine sulfate ophthalmic solution 1% administration in pregnant women to inform a drug-associated risk. Adequate animal development and reproduction studies have not been conducted with atropine sulfate. In humans, 1% atropine sulfate is systemically bioavailable following topical ocular administration [see Clinical Pharmacology (12.3)]. Atropine sulfate ophthalmic solution 1% should only be used during pregnancy if the potential benefit justifies the potential risk to the fetus.

8.2 Lactation

There is no information to inform risk regarding the presence of atropine in human milk following ocular administration of atropine sulfate ophthalmic solution 1% to the mother. The effects on breastfed infants and the effects on milk production are also unknown. The developmental and health benefits of breastfeeding should be considered along with the mother's clinical need for atropine sulfate ophthalmic solution 1% and any potential adverse effects on the breastfed child from atropine sulfate ophthalmic solution 1%.

11 Description

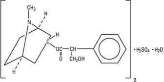
Atropine sulfate ophthalmic solution, USP 1% is a sterile topical ophthalmic solution. Each mL of atropine sulfate ophthalmic solution, USP 1% contains 10 mg of atropine sulfate monohydrate equivalent to 9.7 mg/mL of atropine sulfate or 8.3 mg of atropine. Atropine sulfate monohydrate is designated chemically as benzeneacetic acid, α-(hydroxymethyl)-,8-methyl-8-aza-bicyclo-[3.2.1]oct-3-yl ester, endo-(+)-, sulfate(2:1) (salt), monohydrate. Its molecular formula is (C17H23NO3)2 • H2SO4 • H2O and it is represented by the chemical structure:

Atropine sulfate monohydrate is colorless, almost white to white solid and has a molecular weight of 694.83.

Atropine sulfate ophthalmic solution, USP 1% has a pH of 3.5 to 6.0.

Active ingredient: atropine sulfate monohydrate 1%

Preservative: benzalkonium chloride 0.01%

Inactive ingredients: hypromellose, boric acid, sodium hydroxide and/or hydrochloric acid (to adjust pH), water for injection.

Spl Unclassified

Manufactured for:

Somerset Therapeutics, LLC

Somerset, NJ 08873

Customer Care # 1-800-417-9175

Made in India

Code No.: KR/DRUGS/KTK/28/289/97

1200814

ST-ATP/P/00

8.4 Pediatric Use

Due to the potential for systemic absorption of atropine sulfate ophthalmic solution the use of atropine sulfate ophthalmic solution 1% in children under the age of 3 months is not recommended and the use in children under 3 years of age should be limited to no more than one drop per eye per day. Safety and efficacy in children above the age of 3 months has been established in adequate and well controlled trials.

8.5 Geriatric Use

No overall differences in safety or effectiveness have been observed between elderly and adult patients.

14 Clinical Studies

Topical administration of atropine sulfate ophthalmic solution 1% results in mydriasis and/or cycloplegia, with efficacy demonstrated in both adults and children. The maximum effect for mydriasis is achieved in about 30–40 minutes after administration, with recovery after approximately 7–10 days. The maximum effect for cycloplegia is achieved within 60–180 minutes after administration, with recovery after approximately 7–12 days.

4 Contraindications

Atropine sulfate ophthalmic solution should not be used in anyone who has demonstrated a previous hypersensitivity or known allergic reaction to any ingredient of the formulation because it may recur.

6 Adverse Reactions

The following adverse reactions are described below and elsewhere in the labeling:

  • Photophobia and Blurred Vision [see Warnings and Precautions (5.1)]
  • Elevation in Blood Pressure [see Warnings and Precautions (5.2)]
  • Increased Adverse Drug Reaction Susceptibility with Certain Central Nervous System Conditions [see Warnings and Precautions (5.3)]

The following adverse reactions have been identified following use of atropine sulfate ophthalmic solution. Because these reactions are reported voluntarily from a population of uncertain size, it is not always possible to reliably estimate their frequency or establish a causal relationship to drug exposure.

7 Drug Interactions

The use of atropine and monoamine oxidase inhibitors (MAOI) is generally not recommended because of the potential to precipitate hypertensive crisis. (7)

See 17 for PATIENT COUNSELING INFORMATION.

12.2 Pharmacodynamics

The onset of action after administration of atropine sulfate ophthalmic solution 1% generally occurs in minutes with maximal effect seen in hours and the effect can last multiple days [see Clinical Studies (14)].

12.3 Pharmacokinetics

In a study of healthy subjects, after topical ocular administration of 30 µL of atropine sulfate ophthalmic solution, 1%, the mean (± SD) systemic bioavailability of l-hyoscyamine was reported to be approximately 64 ± 29% (range 19% to 95%) as compared to intravenous administration of atropine sulfate. The mean (± SD) time to maximum plasma concentration (Tmax) was approximately 28 ± 27 minutes (range 3 to 60 minutes), and the mean (±SD) peak plasma concentration (Cmax) of l-hyoscyamine was 288 ± 73 pg/mL. The mean (±SD) plasma half-life was reported to be approximately 2.5 ± 0.8 hours.

In a separate study of patients undergoing ocular surgery, after topical ocular administration of 40 µL of atropine sulfate ophthalmic solution, 1%, the mean (± SD) plasma Cmax of l-hyoscyamine was 860 ± 402 pg/mL.

1 Indications and Usage

Atropine sulfate ophthalmic solution 1% is indicated for:

12.1 Mechanism of Action

Atropine acts as a competitive antagonist of the parasympathetic (and sympathetic) acetylcholine muscarinic receptors. Topical atropine on the eye induces mydriasis by inhibiting contraction of the circular pupillary sphincter muscle normally stimulated by acetylcholine. This inhibition allows the countering radial pupillary dilator muscle to contract which results in dilation of the pupil. Additionally, atropine induces cycloplegia by paralysis of the ciliary muscle which controls accommodation while viewing objects.

5 Warnings and Precautions
  • Photophobia and blurred vision due to pupil unresponsiveness and cycloplegia may last up to 2 weeks. (5.1)
  • Risk of blood pressure increase from systemic absorption (5.2)
  • Increased adverse drug reaction susceptibility with certain central nervous system conditions (5.3)
2 Dosage and Administration
  • In individuals from three (3) months of age or greater 1 drop topically to the cul-de-sac of the conjunctiva, forty minutes prior to the intended maximal dilation time (2.1)
  • In individuals 3 years of age or greater, doses may be repeated up to twice daily as needed. (2.2)
3 Dosage Forms and Strengths

Ophthalmic solution: 1% atropine sulfate, USP (10mg/mL)

6.1 Ocular Adverse Reactions

Eye pain and stinging occurs upon instillation of atropine sulfate ophthalmic solution. Other commonly occurring adverse reactions include blurred vision, photophobia, superficial keratitis and decreased lacrimation. Allergic reactions such as papillary conjunctivitis, contact dermatitis, and eyelid edema may also occur less commonly.

6.2 Systemic Adverse Reactions

Systemic effects of atropine are related to its anti-muscarinic activity. Systemic adverse events reported include dryness of skin, mouth, and throat from decreased secretions from mucus membranes; drowsiness; restlessness, irritability or delirium from stimulation of the central nervous system; tachycardia; flushed skin of the face and neck.

5.2 Elevation of Blood Pressure

Elevation in blood pressure from systemic absorption has been reported following conjunctival instillation of recommended doses of atropine sulfate ophthalmic solution, 1%.

7.1 Monoamine Oxidase Inhibitors

The use of atropine and monoamine oxidase inhibitors (MAOI) is generally not recommended because of the potential to precipitate hypertensive crisis.

17 Patient Counseling Information
  • Advise patients not to drive or engage in other hazardous activities while pupils are dilated.
  • Advise patient that they may experience blurry vision and sensitivity to light and should protect their eyes in bright illumination during dilation. These effects may last up to a couple weeks.
  • Advise patients that they may experience drowsiness.
  • Advise patients not to touch the dispenser tip to any surface, as this may contaminate the solution.
5.1 Photophobia and Blurred Vision

Photophobia and blurred vision due to pupil unresponsiveness and cycloplegia may last up to 2 weeks.

16 How Supplied/storage and Handling

Atropine sulfate ophthalmic solution, USP 1% is supplied sterile in natural LDPE bottle with natural LDPE nozzle and red HDPE cap as follows:

  • 5 mL filled in 10 mL bottles         NDC 70069-716 -01

Storage: Store atropine sulfate ophthalmic solution, USP 1% at 2°–25°C (36°–77°F).

Package Label.principal Display Panel

Container Label

NDC 70069-716-01

ATROPINE SULFATE OPHTHALMIC SOLUTION 1%

Sterile

FOR TOPICAL OPHTHALMIC USE

Rx only

5 mL

Carton Label

NDC 70069-716-01

ATROPINE SULFATE OPHTHALMIC SOLUTION 1%

Sterile

FOR TOPICAL OPHTHALMIC USE

Rx only

5 mL

13.1 Carcinogenesis, Mutagenesis, Impairment of Fertility

Atropine sulfate was negative in the Salmonella/microsome mutagenicity test. Studies to evaluate carcinogenicity and impairment of fertility have not been conducted.

5.3 Increased Adverse Drug Reaction Susceptibility With Certain Central Nervous System Conditions

Individuals with Down syndrome, spastic paralysis, or brain damage are particularly susceptible to central nervous system disturbances, cardiopulmonary, and gastrointestinal toxicity from systemic absorption of atropine.


Structured Label Content

10 Overdosage (10 OVERDOSAGE)

In the event of accidental ingestion or toxic overdosage with atropine sulfate ophthalmic solution supportive care may include a short acting barbiturate or diazepam as needed to control marked excitement and convulsions. Large doses for sedation should be avoided because central depressant action may coincide with the depression occurring late in atropine poisoning. Central stimulants are not recommended.

Physostigmine, given by slow intravenous injection of 1 to 4 mg (0.5 to 1 mg in pediatric populations), rapidly abolishes delirium and coma caused by large doses of atropine. Since physostigmine is rapidly destroyed, the patient may again lapse into coma after one to two hours, and repeated doses may be required.

Artificial respiration with oxygen may be necessary. Cooling measures may be needed to help to reduce fever, especially in pediatric populations.

The fatal pediatric and adult doses of atropine are not known.

8.1 Pregnancy

Risk Summary

There are no adequate and well-controlled studies with atropine sulfate ophthalmic solution 1% administration in pregnant women to inform a drug-associated risk. Adequate animal development and reproduction studies have not been conducted with atropine sulfate. In humans, 1% atropine sulfate is systemically bioavailable following topical ocular administration [see Clinical Pharmacology (12.3)]. Atropine sulfate ophthalmic solution 1% should only be used during pregnancy if the potential benefit justifies the potential risk to the fetus.

8.2 Lactation

There is no information to inform risk regarding the presence of atropine in human milk following ocular administration of atropine sulfate ophthalmic solution 1% to the mother. The effects on breastfed infants and the effects on milk production are also unknown. The developmental and health benefits of breastfeeding should be considered along with the mother's clinical need for atropine sulfate ophthalmic solution 1% and any potential adverse effects on the breastfed child from atropine sulfate ophthalmic solution 1%.

11 Description (11 DESCRIPTION)

Atropine sulfate ophthalmic solution, USP 1% is a sterile topical ophthalmic solution. Each mL of atropine sulfate ophthalmic solution, USP 1% contains 10 mg of atropine sulfate monohydrate equivalent to 9.7 mg/mL of atropine sulfate or 8.3 mg of atropine. Atropine sulfate monohydrate is designated chemically as benzeneacetic acid, α-(hydroxymethyl)-,8-methyl-8-aza-bicyclo-[3.2.1]oct-3-yl ester, endo-(+)-, sulfate(2:1) (salt), monohydrate. Its molecular formula is (C17H23NO3)2 • H2SO4 • H2O and it is represented by the chemical structure:

Atropine sulfate monohydrate is colorless, almost white to white solid and has a molecular weight of 694.83.

Atropine sulfate ophthalmic solution, USP 1% has a pH of 3.5 to 6.0.

Active ingredient: atropine sulfate monohydrate 1%

Preservative: benzalkonium chloride 0.01%

Inactive ingredients: hypromellose, boric acid, sodium hydroxide and/or hydrochloric acid (to adjust pH), water for injection.

Spl Unclassified (SPL UNCLASSIFIED)

Manufactured for:

Somerset Therapeutics, LLC

Somerset, NJ 08873

Customer Care # 1-800-417-9175

Made in India

Code No.: KR/DRUGS/KTK/28/289/97

1200814

ST-ATP/P/00

8.4 Pediatric Use

Due to the potential for systemic absorption of atropine sulfate ophthalmic solution the use of atropine sulfate ophthalmic solution 1% in children under the age of 3 months is not recommended and the use in children under 3 years of age should be limited to no more than one drop per eye per day. Safety and efficacy in children above the age of 3 months has been established in adequate and well controlled trials.

8.5 Geriatric Use

No overall differences in safety or effectiveness have been observed between elderly and adult patients.

14 Clinical Studies (14 CLINICAL STUDIES)

Topical administration of atropine sulfate ophthalmic solution 1% results in mydriasis and/or cycloplegia, with efficacy demonstrated in both adults and children. The maximum effect for mydriasis is achieved in about 30–40 minutes after administration, with recovery after approximately 7–10 days. The maximum effect for cycloplegia is achieved within 60–180 minutes after administration, with recovery after approximately 7–12 days.

4 Contraindications (4 CONTRAINDICATIONS)

Atropine sulfate ophthalmic solution should not be used in anyone who has demonstrated a previous hypersensitivity or known allergic reaction to any ingredient of the formulation because it may recur.

6 Adverse Reactions (6 ADVERSE REACTIONS)

The following adverse reactions are described below and elsewhere in the labeling:

  • Photophobia and Blurred Vision [see Warnings and Precautions (5.1)]
  • Elevation in Blood Pressure [see Warnings and Precautions (5.2)]
  • Increased Adverse Drug Reaction Susceptibility with Certain Central Nervous System Conditions [see Warnings and Precautions (5.3)]

The following adverse reactions have been identified following use of atropine sulfate ophthalmic solution. Because these reactions are reported voluntarily from a population of uncertain size, it is not always possible to reliably estimate their frequency or establish a causal relationship to drug exposure.

7 Drug Interactions (7 DRUG INTERACTIONS)

The use of atropine and monoamine oxidase inhibitors (MAOI) is generally not recommended because of the potential to precipitate hypertensive crisis. (7)

See 17 for PATIENT COUNSELING INFORMATION.

12.2 Pharmacodynamics

The onset of action after administration of atropine sulfate ophthalmic solution 1% generally occurs in minutes with maximal effect seen in hours and the effect can last multiple days [see Clinical Studies (14)].

12.3 Pharmacokinetics

In a study of healthy subjects, after topical ocular administration of 30 µL of atropine sulfate ophthalmic solution, 1%, the mean (± SD) systemic bioavailability of l-hyoscyamine was reported to be approximately 64 ± 29% (range 19% to 95%) as compared to intravenous administration of atropine sulfate. The mean (± SD) time to maximum plasma concentration (Tmax) was approximately 28 ± 27 minutes (range 3 to 60 minutes), and the mean (±SD) peak plasma concentration (Cmax) of l-hyoscyamine was 288 ± 73 pg/mL. The mean (±SD) plasma half-life was reported to be approximately 2.5 ± 0.8 hours.

In a separate study of patients undergoing ocular surgery, after topical ocular administration of 40 µL of atropine sulfate ophthalmic solution, 1%, the mean (± SD) plasma Cmax of l-hyoscyamine was 860 ± 402 pg/mL.

1 Indications and Usage (1 INDICATIONS AND USAGE)

Atropine sulfate ophthalmic solution 1% is indicated for:

12.1 Mechanism of Action

Atropine acts as a competitive antagonist of the parasympathetic (and sympathetic) acetylcholine muscarinic receptors. Topical atropine on the eye induces mydriasis by inhibiting contraction of the circular pupillary sphincter muscle normally stimulated by acetylcholine. This inhibition allows the countering radial pupillary dilator muscle to contract which results in dilation of the pupil. Additionally, atropine induces cycloplegia by paralysis of the ciliary muscle which controls accommodation while viewing objects.

5 Warnings and Precautions (5 WARNINGS AND PRECAUTIONS)
  • Photophobia and blurred vision due to pupil unresponsiveness and cycloplegia may last up to 2 weeks. (5.1)
  • Risk of blood pressure increase from systemic absorption (5.2)
  • Increased adverse drug reaction susceptibility with certain central nervous system conditions (5.3)
2 Dosage and Administration (2 DOSAGE AND ADMINISTRATION)
  • In individuals from three (3) months of age or greater 1 drop topically to the cul-de-sac of the conjunctiva, forty minutes prior to the intended maximal dilation time (2.1)
  • In individuals 3 years of age or greater, doses may be repeated up to twice daily as needed. (2.2)
3 Dosage Forms and Strengths (3 DOSAGE FORMS AND STRENGTHS)

Ophthalmic solution: 1% atropine sulfate, USP (10mg/mL)

6.1 Ocular Adverse Reactions

Eye pain and stinging occurs upon instillation of atropine sulfate ophthalmic solution. Other commonly occurring adverse reactions include blurred vision, photophobia, superficial keratitis and decreased lacrimation. Allergic reactions such as papillary conjunctivitis, contact dermatitis, and eyelid edema may also occur less commonly.

6.2 Systemic Adverse Reactions

Systemic effects of atropine are related to its anti-muscarinic activity. Systemic adverse events reported include dryness of skin, mouth, and throat from decreased secretions from mucus membranes; drowsiness; restlessness, irritability or delirium from stimulation of the central nervous system; tachycardia; flushed skin of the face and neck.

5.2 Elevation of Blood Pressure

Elevation in blood pressure from systemic absorption has been reported following conjunctival instillation of recommended doses of atropine sulfate ophthalmic solution, 1%.

7.1 Monoamine Oxidase Inhibitors

The use of atropine and monoamine oxidase inhibitors (MAOI) is generally not recommended because of the potential to precipitate hypertensive crisis.

17 Patient Counseling Information (17 PATIENT COUNSELING INFORMATION)
  • Advise patients not to drive or engage in other hazardous activities while pupils are dilated.
  • Advise patient that they may experience blurry vision and sensitivity to light and should protect their eyes in bright illumination during dilation. These effects may last up to a couple weeks.
  • Advise patients that they may experience drowsiness.
  • Advise patients not to touch the dispenser tip to any surface, as this may contaminate the solution.
5.1 Photophobia and Blurred Vision

Photophobia and blurred vision due to pupil unresponsiveness and cycloplegia may last up to 2 weeks.

16 How Supplied/storage and Handling (16 HOW SUPPLIED/STORAGE AND HANDLING)

Atropine sulfate ophthalmic solution, USP 1% is supplied sterile in natural LDPE bottle with natural LDPE nozzle and red HDPE cap as follows:

  • 5 mL filled in 10 mL bottles         NDC 70069-716 -01

Storage: Store atropine sulfate ophthalmic solution, USP 1% at 2°–25°C (36°–77°F).

Package Label.principal Display Panel (PACKAGE LABEL.PRINCIPAL DISPLAY PANEL)

Container Label

NDC 70069-716-01

ATROPINE SULFATE OPHTHALMIC SOLUTION 1%

Sterile

FOR TOPICAL OPHTHALMIC USE

Rx only

5 mL

Carton Label

NDC 70069-716-01

ATROPINE SULFATE OPHTHALMIC SOLUTION 1%

Sterile

FOR TOPICAL OPHTHALMIC USE

Rx only

5 mL

13.1 Carcinogenesis, Mutagenesis, Impairment of Fertility

Atropine sulfate was negative in the Salmonella/microsome mutagenicity test. Studies to evaluate carcinogenicity and impairment of fertility have not been conducted.

5.3 Increased Adverse Drug Reaction Susceptibility With Certain Central Nervous System Conditions (5.3 Increased Adverse Drug Reaction Susceptibility with Certain Central Nervous System Conditions)

Individuals with Down syndrome, spastic paralysis, or brain damage are particularly susceptible to central nervous system disturbances, cardiopulmonary, and gastrointestinal toxicity from systemic absorption of atropine.


Advanced Ingredient Data


Raw Label Data

All Sections (JSON)