These Highlights Do Not Include All The Information Needed To Use Metoprolol Tartrate Injection, Usp Safely And Effectively. See Full Prescribing Information For Metoprolol Tartrate Injection, Usp

These Highlights Do Not Include All The Information Needed To Use Metoprolol Tartrate Injection, Usp Safely And Effectively. See Full Prescribing Information For Metoprolol Tartrate Injection, Usp
SPL v3
SPL
SPL Set ID bfc8834e-1df8-170b-e053-2995a90a28f1
Route
INTRAVENOUS
Published
Effective Date 2020-12-30
Document Type 34391-3 HUMAN PRESCRIPTION DRUG LABEL

Drug Facts

Composition & Product

Active Ingredients
Metoprolol (45 mg)
Inactive Ingredients
Sodium Chloride Water

Identifiers & Packaging

Marketing Status
ANDA Active Since 2007-05-30

Description

Metoprolol Tartrate Injection, USP is indicated in the treatment of definite or suspected acute myocardial infarction in hemodynamically stable patients to reduce cardiovascular mortality when used in conjunction with oral metoprolol maintenance therapy.

Indications and Usage

Metoprolol Tartrate Injection, USP is indicated in the treatment of definite or suspected acute myocardial infarction in hemodynamically stable patients to reduce cardiovascular mortality when used in conjunction with oral metoprolol maintenance therapy.

Dosage and Administration

Parenteral drug products should be inspected visually for particulate matter and discoloration prior to administration, whenever solution and container permit. Initiate treatment in a coronary care or similar unit immediately after the patient’s hemodynamic condition has stabilized. Begin treatment in this early phase with the intravenous administration of three bolus injections of 5 mg of Metoprolol Tartrate Injection each; give the injections at approximately 2-minute intervals. During the intravenous administration of Metoprolol Tartrate Injection, monitor blood pressure, heart rate, and electrocardiogram. Transition to Oral Metoprolol: Following administration of Metoprolol Tartrate Injection, transition patients to an oral formulation of metoprolol. See prescribing information for oral metoprolol for dose selection.

Warnings and Precautions

Worsening cardiac failure may occur. ( 5.1 ) Bronchospastic Disease: Avoid beta blockers. ( 5.2 ) Pheochromocytoma: First initiate therapy with an alpha blocker. ( 5.3 ) May aggravate symptoms of arterial insufficiency. ( 5.4 )

Contraindications

Hypersensitivity to Metoprolol Tartrate Injection and related derivatives, or to any of the excipients; hypersensitivity to other beta blockers (cross sensitivity between beta blockers can occur). Metoprolol Tartrate Injection is contraindicated in patients with a heart rate <45 beats/min; second-and third-degree heart block (unless a functioning pacemaker is present); significant first-degree heart block (PR interval ≥0.24 sec); systolic blood pressure <100 mmHg; or decompensated cardiac failure.

Adverse Reactions

The following adverse reactions are described elsewhere in labeling: Worsening angina or myocardial infarction [see Warnings and Precautions (5) ] Worsening heart failure [see Warnings and Precautions (5) ] Worsening AV block [see Contraindications (4) ]

Drug Interactions

Catecholamine-depleting drugs may have an additive effect when given with beta-blocking agents. ( 7.1) Patients may be unresponsive to the usual doses of epinephrine used to treat allergic reaction. (7.2 ) CYP2D6 Inhibitors are likely to increase metoprolol concentration. ( 7.3 ) Concomitant use of glycosides, clonidine, and diltiazem and verapamil with beta-blockers can increase the risk of bradycardia. ( 7.4 ) Beta-blockers including metoprolol, may exacerbate the rebound hypertension that can follow the withdrawal of clonidine. ( 7.4 )

Storage and Handling

5 mL Single Dose Vials – each containing 5 mg of Metoprolol Tartrate, USP Carton of 10 vials.......................................................................................................................NDC 0143-9873-10 Carton of 25 vials.......................................................................................................................NDC 0143-9873-25 Also available in oversized vials (10 mL) with large mouth (20 mm) Carton of 10 vials.......................................................................................................................NDC 0143-9660-10 Store at 20° to 25°C (68° to 77°F) [see USP Controlled Room Temperature]. Protect from light and heat. Do not freeze. Retain in carton until time of use.

How Supplied

5 mL Single Dose Vials – each containing 5 mg of Metoprolol Tartrate, USP Carton of 10 vials.......................................................................................................................NDC 0143-9873-10 Carton of 25 vials.......................................................................................................................NDC 0143-9873-25 Also available in oversized vials (10 mL) with large mouth (20 mm) Carton of 10 vials.......................................................................................................................NDC 0143-9660-10 Store at 20° to 25°C (68° to 77°F) [see USP Controlled Room Temperature]. Protect from light and heat. Do not freeze. Retain in carton until time of use.


Medication Information

Warnings and Precautions

Worsening cardiac failure may occur. ( 5.1 ) Bronchospastic Disease: Avoid beta blockers. ( 5.2 ) Pheochromocytoma: First initiate therapy with an alpha blocker. ( 5.3 ) May aggravate symptoms of arterial insufficiency. ( 5.4 )

Indications and Usage

Metoprolol Tartrate Injection, USP is indicated in the treatment of definite or suspected acute myocardial infarction in hemodynamically stable patients to reduce cardiovascular mortality when used in conjunction with oral metoprolol maintenance therapy.

Dosage and Administration

Parenteral drug products should be inspected visually for particulate matter and discoloration prior to administration, whenever solution and container permit. Initiate treatment in a coronary care or similar unit immediately after the patient’s hemodynamic condition has stabilized. Begin treatment in this early phase with the intravenous administration of three bolus injections of 5 mg of Metoprolol Tartrate Injection each; give the injections at approximately 2-minute intervals. During the intravenous administration of Metoprolol Tartrate Injection, monitor blood pressure, heart rate, and electrocardiogram. Transition to Oral Metoprolol: Following administration of Metoprolol Tartrate Injection, transition patients to an oral formulation of metoprolol. See prescribing information for oral metoprolol for dose selection.

Contraindications

Hypersensitivity to Metoprolol Tartrate Injection and related derivatives, or to any of the excipients; hypersensitivity to other beta blockers (cross sensitivity between beta blockers can occur). Metoprolol Tartrate Injection is contraindicated in patients with a heart rate <45 beats/min; second-and third-degree heart block (unless a functioning pacemaker is present); significant first-degree heart block (PR interval ≥0.24 sec); systolic blood pressure <100 mmHg; or decompensated cardiac failure.

Adverse Reactions

The following adverse reactions are described elsewhere in labeling: Worsening angina or myocardial infarction [see Warnings and Precautions (5) ] Worsening heart failure [see Warnings and Precautions (5) ] Worsening AV block [see Contraindications (4) ]

Drug Interactions

Catecholamine-depleting drugs may have an additive effect when given with beta-blocking agents. ( 7.1) Patients may be unresponsive to the usual doses of epinephrine used to treat allergic reaction. (7.2 ) CYP2D6 Inhibitors are likely to increase metoprolol concentration. ( 7.3 ) Concomitant use of glycosides, clonidine, and diltiazem and verapamil with beta-blockers can increase the risk of bradycardia. ( 7.4 ) Beta-blockers including metoprolol, may exacerbate the rebound hypertension that can follow the withdrawal of clonidine. ( 7.4 )

Storage and Handling

5 mL Single Dose Vials – each containing 5 mg of Metoprolol Tartrate, USP Carton of 10 vials.......................................................................................................................NDC 0143-9873-10 Carton of 25 vials.......................................................................................................................NDC 0143-9873-25 Also available in oversized vials (10 mL) with large mouth (20 mm) Carton of 10 vials.......................................................................................................................NDC 0143-9660-10 Store at 20° to 25°C (68° to 77°F) [see USP Controlled Room Temperature]. Protect from light and heat. Do not freeze. Retain in carton until time of use.

How Supplied

5 mL Single Dose Vials – each containing 5 mg of Metoprolol Tartrate, USP Carton of 10 vials.......................................................................................................................NDC 0143-9873-10 Carton of 25 vials.......................................................................................................................NDC 0143-9873-25 Also available in oversized vials (10 mL) with large mouth (20 mm) Carton of 10 vials.......................................................................................................................NDC 0143-9660-10 Store at 20° to 25°C (68° to 77°F) [see USP Controlled Room Temperature]. Protect from light and heat. Do not freeze. Retain in carton until time of use.

Description

Metoprolol Tartrate Injection, USP is indicated in the treatment of definite or suspected acute myocardial infarction in hemodynamically stable patients to reduce cardiovascular mortality when used in conjunction with oral metoprolol maintenance therapy.

Section 42229-5

Manufactured by:

HIKMA FARMACÊUTICA (PORTUGAL), S.A.

Estrada do Rio da Mó, 8, 8A e 8B – Fervença – 2705-906 Terrugem SNT, PORTUGAL

Distributed by:

Hikma Pharmaceuticals USA Inc.

Berkeley Heights, NJ 07922

Revised: 12/2020

PIN155-WES/13

10 Overdosage

Signs and Symptoms -Overdosage of metoprolol may lead to severe bradycardia, hypotension, and cardiogenic shock. Clinical presentation can also include: atrioventricular block, heart failure, bronchospasm, hypoxia, impairment of consciousness/coma, nausea and vomiting.

Treatment – Consider treating the patient with intensive care. Patients with myocardial infarction or heart failure may be prone to significant hemodynamic instability. Beta-blocker overdose may result in significant resistance to resuscitation with adrenergic agents, including beta-agonists. On the basis of the pharmacologic actions of metoprolol, employ the following measures.

Hemodialysis is unlikely to make a useful contribution to metoprolol elimination [see Clinical Pharmacology (12.3)].

Bradycardia: Evaluate the need for atropine, adrenergic-stimulating drugs or pacemaker to treat bradycardia and conduction disorders.

Hypotension: Treat underlying bradycardia. Consider intravenous vasopressor infusion, such as dopamine or norepinephrine.

Heart failure and shock: May be treated when appropriate with suitable volume expansion, injection of glucagon (if necessary, followed by an intravenous infusion of glucagon), intravenous administration of adrenergic drugs such as dobutamine, with α1 receptor agonistic drugs added in presence of vasodilation.

Bronchospasm: Can usually be reversed by bronchodilators.

8.1 Pregnancy

Risk Summary

Available data from published observational studies have not demonstrated an association of adverse developmental outcomes with maternal use of metoprolol during pregnancy ( see Data). Untreated hypertension and heart failure during pregnancy can lead to adverse outcomes for the mother and the fetus (see Clinical Considerations). In animal reproduction studies, metoprolol has been shown to increase post-implantation loss and decrease neonatal survival in rats at oral dosages of 500 mg/kg/day, approximately 24 times the daily dose of 200 mg in a 60-kg patient on a mg/m 2 basis.

All pregnancies have a background risk of birth defect, loss, or other adverse outcomes. The estimated background risk of major birth defects and miscarriage for the indicated population is unknown. In the U.S. general population, the estimated background risk of major birth defects and miscarriage in clinically recognized pregnancies is 2 to 4% and 15 to 20%, respectively.

Clinical consideration

Disease-associated maternal and/or embryo/fetal risk

Hypertension in pregnancy increases the maternal risk for pre-eclampsia, gestational diabetes, premature delivery, and delivery complications (e.g., need for cesarean section, and postpartum hemorrhage). Hypertension increases the fetal risk for intrauterine growth restriction and intrauterine death. Pregnant women with hypertension should be carefully monitored and managed accordingly. Stroke volume and heart rate increase during pregnancy, increasing cardiac output, especially during the first trimester. There is a risk for preterm birth with pregnant women with chronic heart failure in 3 rd trimester of pregnancy.

Fetal/Neonatal adverse reactions

Metoprolol crosses the placenta. Neonates born to mothers who are receiving metoprolol during pregnancy, may be at risk for hypotension, hypoglycemia, bradycardia, and respiratory depression. Observe neonates for symptoms of hypotension, bradycardia, hypoglycemia and respiratory depression and manage accordingly.

Data

Human Data

Data from published observational studies did not demonstrate an association of major congenital malformations and use of metoprolol in pregnancy. The published literature has reported inconsistent findings of intrauterine growth retardation, preterm birth and perinatal mortality with maternal use of metoprolol during pregnancy; however, these studies have methodological limitations hindering interpretation. Methodological limitations include retrospective design, concomitant use of other medications, and other unadjusted confounders that may account for the study findings including the underlying disease in the mother. These observational studies cannot definitely establish or exclude any drug-associated risk during pregnancy.

Animal Data

Metoprolol has been shown to increase post-implantation loss and decrease neonatal survival in rats at oral dosages of 500 mg/kg/day, i.e., 24 times, on a mg/m 2 basis, the daily dose of 200 mg in a 60-kg patient.

No fetal abnormalities were observed when pregnant rats received metoprolol orally up to a dose of 200 mg/kg/day, i.e., 10 times, the daily dose of 200 mg in a 60-kg patient.

8.2 Lactation

Risk Summary

Limited available data from published literature report that metoprolol is present in human milk. The estimated daily infant dose of metoprolol received from breastmilk range from 0.05 mg to less than 1 mg. The estimated relative infant dosage was 0.5% to 2% of the mother's weight-adjusted dosage (see Data). No adverse reactions of metoprolol on the breastfed infant have been identified. There is no information regarding the effects of metoprolol on milk production.

Clinical consideration

Monitoring for adverse reactions

For a lactating woman who is a slow metabolizer of metoprolol, monitor the breastfed infant for bradycardia and other symptoms of beta blockade such as dry mouth, skin or eyes, diarrhea or constipation. In a report of 6 mothers taking metoprolol, none reported adverse effects in her breastfed infant.

Data

Limited published cases estimate the infant daily dose of metoprolol received from breast milk range from 0.05 mg to less than 1 mg.

In 2 women who were taking unspecified amount of metoprolol, milk samples were taken after one dose of metoprolol. The estimated amount of metoprolol and alpha-hydroxymetoprolol in breast milk is reported to be less than 2% of the mother's weight-adjusted dosage.

In a small study, breast milk was collected every 2 to 3 hours over one dosage interval, in three mothers (at least 3 months postpartum) who took metoprolol of unspecified amount. The average amount of metoprolol present in breast milk was 71.5 mcg/day (range 17.0 to 158.7). The average relative infant dosage was 0.5% of the mother's weight-adjusted dosage.

11 Description

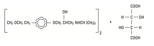
Metoprolol Tartrate Injection, USP is a selective beta 1-adrenoreceptor blocking agent, available in 5 mL and oversized 10 mL vials for intravenous administration. Each vial contains a sterile solution of Metoprolol Tartrate USP, 5 mg, and Sodium Chloride, USP, 45 mg, and Water for Injection, USP. Metoprolol Tartrate, USP is (±)-1-(Isopropylamino)-3-[p-(2methoxyethyl)phenoxy]-2-propanol L-(+)-tartrate (2:1) salt, and its structural formula is:

Metoprolol Tartrate USP is a white, practically odorless, crystalline powder with a molecular weight of 684.82. It is very soluble in water; freely soluble in methylene chloride, in chloroform, and in alcohol; slightly soluble in acetone; and insoluble in ether.

5.1 Bradycardia

Bradycardia, including sinus pause, heart block, and cardiac arrest have occurred with the use of Metoprolol Tartrate Injection. Patients with first-degree atrioventricular block, sinus node dysfunction, or conduction disorders may be at increased risk. Monitor heart rate and rhythm in patients receiving Metoprolol Tartrate Injection. If severe bradycardia develops, reduce or stop Metoprolol Tartrate Injection.



7.2 Epinephrine

While taking beta-blockers, patients with a history of severe anaphylactic reactions to a variety of allergens may be more reactive to repeated challenge and may be unresponsive to the usual doses of epinephrine used to treat an allergic reaction.

5.2 Heart Failure

Worsening cardiac failure may occur during metoprolol use. If such symptoms occur, increase diuretics and restore clinical stability before administering the next dose of metoprolol [see Dosage and Administration (2)]. Such episodes do not preclude subsequent successful titration of oral metoprolol.

8.4 Pediatric Use

Safety and effectiveness in pediatric patients have not been established.

8.5 Geriatric Use

In worldwide clinical trials of Metoprolol Tartrate Injection in myocardial infarction, where approximately 478 patients were over 65 years of age (0 over 75 years of age), no age-related differences in safety and effectiveness were found. Other reported clinical experience in myocardial infarction has not identified differences in response between the elderly and younger patients. However, greater sensitivity of some elderly individuals taking Metoprolol Tartrate Injection cannot be categorically ruled out. Therefore, in general, it is recommended that dosing proceed with caution in this population.

14 Clinical Studies

In a large (1,395 patients randomized), double-blind, placebo-controlled clinical study, Metoprolol Tartrate Injection was shown to reduce 3-month mortality by 36% in patients with suspected or definite myocardial infarction.

Patients were randomized and treated as soon as possible after their arrival in the hospital, once their clinical condition had stabilized and their hemodynamic status had been carefully evaluated. Subjects were ineligible if they had hypotension, bradycardia, peripheral signs of shock, and/or more than minimal basal rales as signs of congestive heart failure. Initial treatment consisted of intravenous followed by oral administration of Metoprolol Tartrate Injection or placebo, given in a coronary care or comparable unit. Oral maintenance therapy with Metoprolol Tartrate Injection or placebo was then continued for 3 months. After this double-blind period, all patients were given Metoprolol Tartrate Injection and followed up to 1 year.

The median delay from the onset of symptoms to the initiation of therapy was 8 hours in both the Metoprolol Tartrate Injection-and placebo-treatment groups. Among patients treated with Metoprolol Tartrate Injection, there were comparable reductions in 3-month mortality for those treated early (≤8 hours) and those in whom treatment was started later. Significant reductions in the incidence of ventricular fibrillation and in chest pain following initial intravenous therapy were also observed with Metoprolol Tartrate Injection and were independent of the interval between onset of symptoms and initiation of therapy.

In this study, patients treated with metoprolol received the drug both very early (intravenously) and during a subsequent 3-month period, while placebo patients received no beta-blocker treatment for this period. The study thus was able to show a benefit from the overall metoprolol regimen but cannot separate the benefit of very early intravenous treatment from the benefit of later beta-blocker therapy. Nonetheless, because the overall regimen showed a clear beneficial effect on survival without evidence of an early adverse effect on survival, one acceptable dosage regimen is the precise regimen used in the trial. Because the specific benefit of very early treatment remains to be defined however, it is also reasonable to administer the drug orally to patients at a later time as is recommended for certain other beta blockers.

4 Contraindications

Hypersensitivity to Metoprolol Tartrate Injection and related derivatives, or to any of the excipients; hypersensitivity to other beta blockers (cross sensitivity between beta blockers can occur).

Metoprolol Tartrate Injection is contraindicated in patients with a heart rate <45 beats/min; second-and third-degree heart block (unless a functioning pacemaker is present); significant first-degree heart block (PR interval ≥0.24 sec); systolic blood pressure <100 mmHg; or decompensated cardiac failure.

6 Adverse Reactions

The following adverse reactions are described elsewhere in labeling:

7 Drug Interactions
  • Catecholamine-depleting drugs may have an additive effect when given with beta-blocking agents. ( 7.1)
  • Patients may be unresponsive to the usual doses of epinephrine used to treat allergic reaction. (7.2)
  • CYP2D6 Inhibitors are likely to increase metoprolol concentration. ( 7.3)
  • Concomitant use of glycosides, clonidine, and diltiazem and verapamil with beta-blockers can increase the risk of bradycardia. ( 7.4)
  • Beta-blockers including metoprolol, may exacerbate the rebound hypertension that can follow the withdrawal of clonidine. ( 7.4)
5.4 Pheochromocytoma

If Metoprolol Tartrate is used in the setting of pheochromocytoma, it should be given in combination with an alpha blocker, and only after the alpha blocker has been initiated. Administration of beta-blockers alone in the setting of pheochromocytoma has been associated with a paradoxical increase in blood pressure due to the attenuation of beta-mediated vasodilatation in skeletal muscle.

12.2 Pharmacodynamics

When the drug was infused over a 10-minute period, in normal volunteers, maximum beta blockade was achieved at approximately 20 minutes. Equivalent maximal beta-blocking effect is achieved with oral and intravenous doses in the ratio of approximately 2.5:1. There is a linear relationship between the log of plasma levels and reduction of exercise heart rate.

In several studies of patients with acute myocardial infarction, intravenous followed by oral administration of Metoprolol Tartrate Injection caused a reduction in heart rate, systolic blood pressure and cardiac output. Stroke volume, diastolic blood pressure and pulmonary artery end diastolic pressure remained unchanged.

12.3 Pharmacokinetics

Distribution

About 12% of the drug is bound to human serum albumin. Metoprolol crosses the blood-brain barrier and has been reported in the CSF in a concentration 78% of the simultaneous plasma concentration.

Elimination

Elimination is mainly by biotransformation in the liver, and the plasma half-life ranges from approximately 3 to 7 hours.

Metabolism

Metoprolol is a racemic mixture of R-and S-enantiomers, and is primarily metabolized by CYP2D6. When administered orally, it exhibits stereoselective metabolism that is dependent on oxidation phenotype.

Excretion

Less than 5% of an oral dose of metoprolol is recovered unchanged in the urine; the rest is excreted by the kidneys as metabolites that appear to have no beta-blocking activity. Following intravenous administration of metoprolol, the urinary recovery of unchanged drug is approximately 10%.

Mean dialytic clearance of metoprolol following oral administration in patients receiving high-flux hemodialysis is 87 mL/min. Mean total systemic clearance of metoprolol following intravenous administration in patients with chronic renal failure is 1 L/min.

Drug Interactions

CYP2D6

Metoprolol is metabolized predominantly by CYP2D6. In healthy subjects with CYP2D6 extensive metabolizer phenotype, coadministration of quinidine 100 mg, a potent CYP2D6 inhibitor, and immediate-release metoprolol 200 mg tripled the concentration of S-metoprolol and doubled the metoprolol elimination half-life. In four patients with cardiovascular disease, coadministration of propafenone 150 mg t.i.d. with immediate-release metoprolol 50 mg t.i.d. resulted in steady-state concentration of metoprolol 2-to 5-fold what is seen with metoprolol alone. Extensive metabolizers who concomitantly use CYP2D6 inhibiting drugs will have increased (several-fold) metoprolol blood levels, decreasing metoprolol's cardioselectivity [see Drug Interactions (7.2)] .

12.5 Pharmacogenomics

CYP2D6 is absent in about 8% of Caucasians (poor metabolizers) and about 2% of most other populations. CYP2D6 can be inhibited by several drugs. Poor metabolizers of CYP2D6 will have increased (several-fold) metoprolol blood levels, decreasing metoprolol's cardioselectivity.

7.3 Cyp2d6 Inhibitors

Drugs that are strong inhibitors of CYP2D6, such as quinidine, fluoxetine, paroxetine, and propafenone, were shown to double metoprolol concentrations. While there is no information about moderate or weak inhibitors, these too are likely to increase metoprolol concentration. Increases in plasma concentration decrease the cardioselectivity of metoprolol [see Clinical Pharmacology (12.3)]. Monitor patients closely, when the combination cannot be avoided.

8.6 Hepatic Impairment

No studies have been performed with metoprolol in patients with hepatic impairment. Because metoprolol is metabolized by the liver, metoprolol blood levels are likely to increase substantially with poor hepatic function. Therefore, initiate therapy at doses lower than those recommended for a given indication.

1 Indications and Usage

Metoprolol Tartrate Injection, USP is indicated in the treatment of definite or suspected acute myocardial infarction in hemodynamically stable patients to reduce cardiovascular mortality when used in conjunction with oral metoprolol maintenance therapy.

Principal Display Panel

VIAL LABEL

Rx only



Metoprolol



Tartrate Injection, USP



5 mg per 5 mL



(1 mg/mL)



For Intravenous use ONLY



5 mL Single Dose Vial



OUTER PACKAGE

NDC 71872-7244-1

Rx only



Metoprolol



Tartrate Injection, USP



5 mg per 5 mL



(1 mg/mL)



Discard unused portion.



For Intravenous use ONLY



1 x 5 mL Single Dose Vial



12.1 Mechanism of Action

Metoprolol is a beta 1-selective (cardioselective) adrenergic receptor blocking agent. This preferential effect is not absolute, however, and at higher plasma concentrations, metoprolol also inhibits beta 2-adrenoreceptors, chiefly located in the bronchial and vascular musculature.

Metoprolol has no intrinsic sympathomimetic activity, and membrane-stabilizing activity is detectable only at plasma concentrations much greater than required for beta-blockade. Animal and human experiments indicate that metoprolol slows the sinus rate and decreases AV nodal conduction.

The relative beta 1-selectivity of metoprolol has been confirmed by the following: (1) In normal subjects, metoprolol is unable to reverse the beta 2-mediated vasodilating effects of epinephrine. This contrasts with the effect of nonselective beta-blockers, which completely reverse the vasodilating effects of epinephrine. (2) In asthmatic patients, metoprolol reduces FEV 1 and FVC significantly less than a nonselective beta-blocker, propranolol, at equivalent beta 1-receptor blocking doses.

The precise mechanism of action of Metoprolol Tartrate Injection in patients with suspected or definite myocardial infarction is not known.

5 Warnings and Precautions
  • Worsening cardiac failure may occur. ( 5.1)
  • Bronchospastic Disease: Avoid beta blockers. ( 5.2)
  • Pheochromocytoma: First initiate therapy with an alpha blocker. ( 5.3)
  • May aggravate symptoms of arterial insufficiency. ( 5.4)
5.3 Bronchospastic Disease

PATIENTS WITH BRONCHOSPASTIC DISEASES, IN GENERAL, SHOULD NOT RECEIVE BETA-BLOCKERS because they can exacerbate bronchospasm. Because of its relative beta 1 cardio-selectivity, however, metoprolol may be used in patients with bronchospastic disease for initial treatment of myocardial infarction. Bronchodilators, including beta 2-agonists, should be readily available or administered concomitantly [see Dosage and Administration (2)].

2 Dosage and Administration

Parenteral drug products should be inspected visually for particulate matter and discoloration prior to administration, whenever solution and container permit.

Initiate treatment in a coronary care or similar unit immediately after the patient’s hemodynamic condition has stabilized.

Begin treatment in this early phase with the intravenous administration of three bolus injections of 5 mg of Metoprolol Tartrate Injection each; give the injections at approximately 2-minute intervals. During the intravenous administration of Metoprolol Tartrate Injection, monitor blood pressure, heart rate, and electrocardiogram.

Transition to Oral Metoprolol:

Following administration of Metoprolol Tartrate Injection, transition patients to an oral formulation of metoprolol. See prescribing information for oral metoprolol for dose selection.

3 Dosage Forms and Strengths

Injection: 5 mg Metoprolol Tartrate as a clear liquid supplied in 5 mL single dose vials. Also available in oversized vials (10 mL) with large mouth (20 mm).

6.2 Post Marketing Experience

The following adverse reactions have been identified during post-approval use of metoprolol. Because these reactions are reported voluntarily from a population of uncertain size, it is not always possible to reliably estimate their frequency or establish a causal relationship to drug exposure.

Cardiovascular: Cold extremities, arterial insufficiency (usually of the Raynaud type), palpitations, peripheral edema, syncope, and hypotension.

Respiratory: Wheezing (bronchospasm), dyspnea.

Central Nervous System: Confusion, short-term memory loss, headache, nightmares, insomnia, nervousness, hallucinations.

Gastrointestinal: Nausea, dry mouth, constipation, flatulence, heartburn, hepatitis, vomiting.

Hypersensitive Reactions: Pruritus.

Miscellaneous: Musculoskeletal pain, arthritis, blurred vision, decreased libido, tinnitus, reversible alopecia, agranulocytosis, dry eyes, worsening of psoriasis, Peyronie’s disease, photosensitivity.

8 Use in Specific Populations

• Hepatic Impairment: Consider initiating Metoprolol Tartrate therapy at low doses while monitoring closely for adverse events. ( 8.6)

6.1 Clinical Trials Experience

Because clinical trials are conducted under widely varying conditions, adverse reaction rates observed in the clinical trials of a drug cannot be directly compared to rates in the clinical trials of another drug and may not reflect the rates observed in practice. The adverse reaction information from clinical trials does, however, provide a basis for identifying the adverse events that appear to be related to drug use and for approximating rates.

Myocardial Infarction

These adverse reactions were reported from treatment regimens where intravenous Metoprolol Tartrate Injection was administered, when tolerated.

Central Nervous System: Tiredness has been reported in about 1 of 100 patients. Vertigo, sleep disturbances, hallucinations, headache, dizziness, visual disturbances, confusion, and reduced libido have also been reported, but a drug relationship is not clear.

Cardiovascular: In a randomized comparison of Metoprolol Tartrate Injection and placebo, the following adverse reactions were reported:

Metoprolol Tartrate Injection

Placebo

Hypotension (systolic BP <90 mmHg)

27.4%

23.2%

Bradycardia (heart rate <40 beats/min)

15.9%

6.7%

Second-or third-degree heart block

4.7%

4.7%

First-degree heart block (P-R ≥0.26 sec)

5.3%

1.9%

Heart failure

27.5%

29.6%

Respiratory: Dyspnea of pulmonary origin has been reported in fewer than 1 of 100 patients.

Gastrointestinal: Nausea and abdominal pain have been reported in fewer than 1 of 100 patients.

Miscellaneous: Unstable diabetes and claudication have been reported.

5.5 Peripheral Vascular Disease

Beta-blockers can precipitate or aggravate symptoms of arterial insufficiency in patients with peripheral vascular disease.

17 Patient Counseling Information

Advise patients

(1) to avoid operating automobiles and machinery or engaging in other tasks requiring alertness until the patient’s response to therapy with Metoprolol Tartrate Injection has been determined;

(2) to contact the physician if any difficulty in breathing occurs; (3) to inform the physician or dentist before any type of surgery that he or she is taking Metoprolol Tartrate Injection.

Representative Serialization Image



16 How Supplied/storage and Handling

5 mL Single Dose Vials – each containing 5 mg of Metoprolol Tartrate, USP

Carton of 10 vials.......................................................................................................................NDC 0143-9873-10

Carton of 25 vials.......................................................................................................................NDC 0143-9873-25

Also available in oversized vials (10 mL) with large mouth (20 mm)

Carton of 10 vials.......................................................................................................................NDC 0143-9660-10

Store at 20° to 25°C (68° to 77°F) [see USP Controlled Room Temperature]. Protect from light and heat. Do not freeze.

Retain in carton until time of use.

7.5 Drugs That Decrease Blood Pressure

Concomitant administration of beta-blockers with other drugs known to decrease blood pressure may result in an enhanced hypotensive effect.

8.3 Females and Males of Reproductive Potential

Risk Summary

Based on the published literature, beta blockers (including metoprolol) may cause erectile dysfunction and inhibit sperm motility. In animal fertility studies, metoprolol has been associated with reversible adverse effects on spermatogenesis starting at oral dose level of 3.5 mg/kg in rats, which would correspond to a dose of 34 mg/day in humans in mg/m 2 equivalent, although other studies have shown no effect of metoprolol on reproductive performance in male rats. No evidence of impaired fertility due to metoprolol was observed in rats [see Nonclinical Toxicology (13.1)].

13.1 Carcinogenesis, Mutagenesis, Impairment of Fertility

Long-term studies in animals have been conducted to evaluate the carcinogenic potential of Metoprolol Tartrate. In 2-year studies in rats at three oral dosage levels of up to 800 mg/kg/day (39 times, on a mg/m 2 basis, the daily dose of 200 mg for a 60 kg patient), there was no increase in the development of spontaneously occurring benign or malignant neoplasms of any type. The only histologic changes that appeared to be drug related were an increased incidence of generally mild focal accumulation of foamy macrophages in pulmonary alveoli and a slight increase in biliary hyperplasia. In a 21-month study in Swiss albino mice at three oral dosage levels of up to 750 mg/kg/day (18 times, on a mg/m 2 basis, the daily dose of 200 mg for a 60 kg patient), benign lung tumors (small adenomas) occurred more frequently in female mice receiving the highest dose than in untreated control animals. There was no increase in malignant or total (benign plus malignant) lung tumors, nor in the overall incidence of tumors or malignant tumors. This 21-month study was repeated in CD-1 mice, and no statistically or biologically significant differences were observed between treated and control mice of either sex for any type of tumor.

All genotoxicity tests performed on Metoprolol Tartrate (a dominant lethal study in mice, chromosome studies in somatic cells, a Salmonella/mammalian-microsome mutagenicity test, and a nucleus anomaly test in somatic interphase nuclei) and metoprolol succinate (a Salmonella/mammalian-microsome mutagenicity test) were negative.

No evidence of impaired fertility due to Metoprolol Tartrate was observed in a study performed in rats at doses up to 24 times, on a mg/m 2 basis, the daily dose of 200 mg in a 60-kg patient.

7.1 Catecholamine Depleting Drugs and Monoamine Oxidate (mao) Inhibitors

Catecholamine depleting drugs (e.g., reserpine) and monoamine oxidase (MAO) inhibitors may have an additive effect when given with beta-blocking agents. Observe patients treated with metoprolol plus a catecholamine depletor for evidence of hypotension or marked bradycardia, which may produce vertigo, syncope, or postural hypotension

7.4 Digitalis, Clonidine, and Calcium Channel Blockers and Other Drugs That Decrease Heart Rate

Digitalis glycosides, clonidine, diltiazem and verapamil slow atrioventricular conduction and decrease heart rate. Concomitant administration of beta-blockers with these and other drugs known to decrease heart rate such as sphingosine-1-phosphate receptor modulators (e.g., fingolimod) may result in additive heart rate lowering effects.

If clonidine and metoprolol are coadministered, withdraw the metoprolol several days before the gradual withdrawal of clonidine because beta-blockers may exacerbate the rebound hypertension that can follow the withdrawal of clonidine. If replacing clonidine by beta-blocker therapy, delay the introduction of beta-blockers for several days after clonidine administration has stopped .


Structured Label Content

Section 42229-5 (42229-5)

Manufactured by:

HIKMA FARMACÊUTICA (PORTUGAL), S.A.

Estrada do Rio da Mó, 8, 8A e 8B – Fervença – 2705-906 Terrugem SNT, PORTUGAL

Distributed by:

Hikma Pharmaceuticals USA Inc.

Berkeley Heights, NJ 07922

Revised: 12/2020

PIN155-WES/13

10 Overdosage (10 OVERDOSAGE)

Signs and Symptoms -Overdosage of metoprolol may lead to severe bradycardia, hypotension, and cardiogenic shock. Clinical presentation can also include: atrioventricular block, heart failure, bronchospasm, hypoxia, impairment of consciousness/coma, nausea and vomiting.

Treatment – Consider treating the patient with intensive care. Patients with myocardial infarction or heart failure may be prone to significant hemodynamic instability. Beta-blocker overdose may result in significant resistance to resuscitation with adrenergic agents, including beta-agonists. On the basis of the pharmacologic actions of metoprolol, employ the following measures.

Hemodialysis is unlikely to make a useful contribution to metoprolol elimination [see Clinical Pharmacology (12.3)].

Bradycardia: Evaluate the need for atropine, adrenergic-stimulating drugs or pacemaker to treat bradycardia and conduction disorders.

Hypotension: Treat underlying bradycardia. Consider intravenous vasopressor infusion, such as dopamine or norepinephrine.

Heart failure and shock: May be treated when appropriate with suitable volume expansion, injection of glucagon (if necessary, followed by an intravenous infusion of glucagon), intravenous administration of adrenergic drugs such as dobutamine, with α1 receptor agonistic drugs added in presence of vasodilation.

Bronchospasm: Can usually be reversed by bronchodilators.

8.1 Pregnancy

Risk Summary

Available data from published observational studies have not demonstrated an association of adverse developmental outcomes with maternal use of metoprolol during pregnancy ( see Data). Untreated hypertension and heart failure during pregnancy can lead to adverse outcomes for the mother and the fetus (see Clinical Considerations). In animal reproduction studies, metoprolol has been shown to increase post-implantation loss and decrease neonatal survival in rats at oral dosages of 500 mg/kg/day, approximately 24 times the daily dose of 200 mg in a 60-kg patient on a mg/m 2 basis.

All pregnancies have a background risk of birth defect, loss, or other adverse outcomes. The estimated background risk of major birth defects and miscarriage for the indicated population is unknown. In the U.S. general population, the estimated background risk of major birth defects and miscarriage in clinically recognized pregnancies is 2 to 4% and 15 to 20%, respectively.

Clinical consideration

Disease-associated maternal and/or embryo/fetal risk

Hypertension in pregnancy increases the maternal risk for pre-eclampsia, gestational diabetes, premature delivery, and delivery complications (e.g., need for cesarean section, and postpartum hemorrhage). Hypertension increases the fetal risk for intrauterine growth restriction and intrauterine death. Pregnant women with hypertension should be carefully monitored and managed accordingly. Stroke volume and heart rate increase during pregnancy, increasing cardiac output, especially during the first trimester. There is a risk for preterm birth with pregnant women with chronic heart failure in 3 rd trimester of pregnancy.

Fetal/Neonatal adverse reactions

Metoprolol crosses the placenta. Neonates born to mothers who are receiving metoprolol during pregnancy, may be at risk for hypotension, hypoglycemia, bradycardia, and respiratory depression. Observe neonates for symptoms of hypotension, bradycardia, hypoglycemia and respiratory depression and manage accordingly.

Data

Human Data

Data from published observational studies did not demonstrate an association of major congenital malformations and use of metoprolol in pregnancy. The published literature has reported inconsistent findings of intrauterine growth retardation, preterm birth and perinatal mortality with maternal use of metoprolol during pregnancy; however, these studies have methodological limitations hindering interpretation. Methodological limitations include retrospective design, concomitant use of other medications, and other unadjusted confounders that may account for the study findings including the underlying disease in the mother. These observational studies cannot definitely establish or exclude any drug-associated risk during pregnancy.

Animal Data

Metoprolol has been shown to increase post-implantation loss and decrease neonatal survival in rats at oral dosages of 500 mg/kg/day, i.e., 24 times, on a mg/m 2 basis, the daily dose of 200 mg in a 60-kg patient.

No fetal abnormalities were observed when pregnant rats received metoprolol orally up to a dose of 200 mg/kg/day, i.e., 10 times, the daily dose of 200 mg in a 60-kg patient.

8.2 Lactation

Risk Summary

Limited available data from published literature report that metoprolol is present in human milk. The estimated daily infant dose of metoprolol received from breastmilk range from 0.05 mg to less than 1 mg. The estimated relative infant dosage was 0.5% to 2% of the mother's weight-adjusted dosage (see Data). No adverse reactions of metoprolol on the breastfed infant have been identified. There is no information regarding the effects of metoprolol on milk production.

Clinical consideration

Monitoring for adverse reactions

For a lactating woman who is a slow metabolizer of metoprolol, monitor the breastfed infant for bradycardia and other symptoms of beta blockade such as dry mouth, skin or eyes, diarrhea or constipation. In a report of 6 mothers taking metoprolol, none reported adverse effects in her breastfed infant.

Data

Limited published cases estimate the infant daily dose of metoprolol received from breast milk range from 0.05 mg to less than 1 mg.

In 2 women who were taking unspecified amount of metoprolol, milk samples were taken after one dose of metoprolol. The estimated amount of metoprolol and alpha-hydroxymetoprolol in breast milk is reported to be less than 2% of the mother's weight-adjusted dosage.

In a small study, breast milk was collected every 2 to 3 hours over one dosage interval, in three mothers (at least 3 months postpartum) who took metoprolol of unspecified amount. The average amount of metoprolol present in breast milk was 71.5 mcg/day (range 17.0 to 158.7). The average relative infant dosage was 0.5% of the mother's weight-adjusted dosage.

11 Description (11 DESCRIPTION)

Metoprolol Tartrate Injection, USP is a selective beta 1-adrenoreceptor blocking agent, available in 5 mL and oversized 10 mL vials for intravenous administration. Each vial contains a sterile solution of Metoprolol Tartrate USP, 5 mg, and Sodium Chloride, USP, 45 mg, and Water for Injection, USP. Metoprolol Tartrate, USP is (±)-1-(Isopropylamino)-3-[p-(2methoxyethyl)phenoxy]-2-propanol L-(+)-tartrate (2:1) salt, and its structural formula is:

Metoprolol Tartrate USP is a white, practically odorless, crystalline powder with a molecular weight of 684.82. It is very soluble in water; freely soluble in methylene chloride, in chloroform, and in alcohol; slightly soluble in acetone; and insoluble in ether.

5.1 Bradycardia

Bradycardia, including sinus pause, heart block, and cardiac arrest have occurred with the use of Metoprolol Tartrate Injection. Patients with first-degree atrioventricular block, sinus node dysfunction, or conduction disorders may be at increased risk. Monitor heart rate and rhythm in patients receiving Metoprolol Tartrate Injection. If severe bradycardia develops, reduce or stop Metoprolol Tartrate Injection.



7.2 Epinephrine

While taking beta-blockers, patients with a history of severe anaphylactic reactions to a variety of allergens may be more reactive to repeated challenge and may be unresponsive to the usual doses of epinephrine used to treat an allergic reaction.

5.2 Heart Failure

Worsening cardiac failure may occur during metoprolol use. If such symptoms occur, increase diuretics and restore clinical stability before administering the next dose of metoprolol [see Dosage and Administration (2)]. Such episodes do not preclude subsequent successful titration of oral metoprolol.

8.4 Pediatric Use

Safety and effectiveness in pediatric patients have not been established.

8.5 Geriatric Use

In worldwide clinical trials of Metoprolol Tartrate Injection in myocardial infarction, where approximately 478 patients were over 65 years of age (0 over 75 years of age), no age-related differences in safety and effectiveness were found. Other reported clinical experience in myocardial infarction has not identified differences in response between the elderly and younger patients. However, greater sensitivity of some elderly individuals taking Metoprolol Tartrate Injection cannot be categorically ruled out. Therefore, in general, it is recommended that dosing proceed with caution in this population.

14 Clinical Studies (14 CLINICAL STUDIES)

In a large (1,395 patients randomized), double-blind, placebo-controlled clinical study, Metoprolol Tartrate Injection was shown to reduce 3-month mortality by 36% in patients with suspected or definite myocardial infarction.

Patients were randomized and treated as soon as possible after their arrival in the hospital, once their clinical condition had stabilized and their hemodynamic status had been carefully evaluated. Subjects were ineligible if they had hypotension, bradycardia, peripheral signs of shock, and/or more than minimal basal rales as signs of congestive heart failure. Initial treatment consisted of intravenous followed by oral administration of Metoprolol Tartrate Injection or placebo, given in a coronary care or comparable unit. Oral maintenance therapy with Metoprolol Tartrate Injection or placebo was then continued for 3 months. After this double-blind period, all patients were given Metoprolol Tartrate Injection and followed up to 1 year.

The median delay from the onset of symptoms to the initiation of therapy was 8 hours in both the Metoprolol Tartrate Injection-and placebo-treatment groups. Among patients treated with Metoprolol Tartrate Injection, there were comparable reductions in 3-month mortality for those treated early (≤8 hours) and those in whom treatment was started later. Significant reductions in the incidence of ventricular fibrillation and in chest pain following initial intravenous therapy were also observed with Metoprolol Tartrate Injection and were independent of the interval between onset of symptoms and initiation of therapy.

In this study, patients treated with metoprolol received the drug both very early (intravenously) and during a subsequent 3-month period, while placebo patients received no beta-blocker treatment for this period. The study thus was able to show a benefit from the overall metoprolol regimen but cannot separate the benefit of very early intravenous treatment from the benefit of later beta-blocker therapy. Nonetheless, because the overall regimen showed a clear beneficial effect on survival without evidence of an early adverse effect on survival, one acceptable dosage regimen is the precise regimen used in the trial. Because the specific benefit of very early treatment remains to be defined however, it is also reasonable to administer the drug orally to patients at a later time as is recommended for certain other beta blockers.

4 Contraindications (4 CONTRAINDICATIONS)

Hypersensitivity to Metoprolol Tartrate Injection and related derivatives, or to any of the excipients; hypersensitivity to other beta blockers (cross sensitivity between beta blockers can occur).

Metoprolol Tartrate Injection is contraindicated in patients with a heart rate <45 beats/min; second-and third-degree heart block (unless a functioning pacemaker is present); significant first-degree heart block (PR interval ≥0.24 sec); systolic blood pressure <100 mmHg; or decompensated cardiac failure.

6 Adverse Reactions (6 ADVERSE REACTIONS)

The following adverse reactions are described elsewhere in labeling:

7 Drug Interactions (7 DRUG INTERACTIONS)
  • Catecholamine-depleting drugs may have an additive effect when given with beta-blocking agents. ( 7.1)
  • Patients may be unresponsive to the usual doses of epinephrine used to treat allergic reaction. (7.2)
  • CYP2D6 Inhibitors are likely to increase metoprolol concentration. ( 7.3)
  • Concomitant use of glycosides, clonidine, and diltiazem and verapamil with beta-blockers can increase the risk of bradycardia. ( 7.4)
  • Beta-blockers including metoprolol, may exacerbate the rebound hypertension that can follow the withdrawal of clonidine. ( 7.4)
5.4 Pheochromocytoma

If Metoprolol Tartrate is used in the setting of pheochromocytoma, it should be given in combination with an alpha blocker, and only after the alpha blocker has been initiated. Administration of beta-blockers alone in the setting of pheochromocytoma has been associated with a paradoxical increase in blood pressure due to the attenuation of beta-mediated vasodilatation in skeletal muscle.

12.2 Pharmacodynamics

When the drug was infused over a 10-minute period, in normal volunteers, maximum beta blockade was achieved at approximately 20 minutes. Equivalent maximal beta-blocking effect is achieved with oral and intravenous doses in the ratio of approximately 2.5:1. There is a linear relationship between the log of plasma levels and reduction of exercise heart rate.

In several studies of patients with acute myocardial infarction, intravenous followed by oral administration of Metoprolol Tartrate Injection caused a reduction in heart rate, systolic blood pressure and cardiac output. Stroke volume, diastolic blood pressure and pulmonary artery end diastolic pressure remained unchanged.

12.3 Pharmacokinetics

Distribution

About 12% of the drug is bound to human serum albumin. Metoprolol crosses the blood-brain barrier and has been reported in the CSF in a concentration 78% of the simultaneous plasma concentration.

Elimination

Elimination is mainly by biotransformation in the liver, and the plasma half-life ranges from approximately 3 to 7 hours.

Metabolism

Metoprolol is a racemic mixture of R-and S-enantiomers, and is primarily metabolized by CYP2D6. When administered orally, it exhibits stereoselective metabolism that is dependent on oxidation phenotype.

Excretion

Less than 5% of an oral dose of metoprolol is recovered unchanged in the urine; the rest is excreted by the kidneys as metabolites that appear to have no beta-blocking activity. Following intravenous administration of metoprolol, the urinary recovery of unchanged drug is approximately 10%.

Mean dialytic clearance of metoprolol following oral administration in patients receiving high-flux hemodialysis is 87 mL/min. Mean total systemic clearance of metoprolol following intravenous administration in patients with chronic renal failure is 1 L/min.

Drug Interactions

CYP2D6

Metoprolol is metabolized predominantly by CYP2D6. In healthy subjects with CYP2D6 extensive metabolizer phenotype, coadministration of quinidine 100 mg, a potent CYP2D6 inhibitor, and immediate-release metoprolol 200 mg tripled the concentration of S-metoprolol and doubled the metoprolol elimination half-life. In four patients with cardiovascular disease, coadministration of propafenone 150 mg t.i.d. with immediate-release metoprolol 50 mg t.i.d. resulted in steady-state concentration of metoprolol 2-to 5-fold what is seen with metoprolol alone. Extensive metabolizers who concomitantly use CYP2D6 inhibiting drugs will have increased (several-fold) metoprolol blood levels, decreasing metoprolol's cardioselectivity [see Drug Interactions (7.2)] .

12.5 Pharmacogenomics

CYP2D6 is absent in about 8% of Caucasians (poor metabolizers) and about 2% of most other populations. CYP2D6 can be inhibited by several drugs. Poor metabolizers of CYP2D6 will have increased (several-fold) metoprolol blood levels, decreasing metoprolol's cardioselectivity.

7.3 Cyp2d6 Inhibitors (7.3 CYP2D6 Inhibitors)

Drugs that are strong inhibitors of CYP2D6, such as quinidine, fluoxetine, paroxetine, and propafenone, were shown to double metoprolol concentrations. While there is no information about moderate or weak inhibitors, these too are likely to increase metoprolol concentration. Increases in plasma concentration decrease the cardioselectivity of metoprolol [see Clinical Pharmacology (12.3)]. Monitor patients closely, when the combination cannot be avoided.

8.6 Hepatic Impairment

No studies have been performed with metoprolol in patients with hepatic impairment. Because metoprolol is metabolized by the liver, metoprolol blood levels are likely to increase substantially with poor hepatic function. Therefore, initiate therapy at doses lower than those recommended for a given indication.

1 Indications and Usage (1 INDICATIONS AND USAGE)

Metoprolol Tartrate Injection, USP is indicated in the treatment of definite or suspected acute myocardial infarction in hemodynamically stable patients to reduce cardiovascular mortality when used in conjunction with oral metoprolol maintenance therapy.

Principal Display Panel (PRINCIPAL DISPLAY PANEL)

VIAL LABEL

Rx only



Metoprolol



Tartrate Injection, USP



5 mg per 5 mL



(1 mg/mL)



For Intravenous use ONLY



5 mL Single Dose Vial



OUTER PACKAGE

NDC 71872-7244-1

Rx only



Metoprolol



Tartrate Injection, USP



5 mg per 5 mL



(1 mg/mL)



Discard unused portion.



For Intravenous use ONLY



1 x 5 mL Single Dose Vial



12.1 Mechanism of Action

Metoprolol is a beta 1-selective (cardioselective) adrenergic receptor blocking agent. This preferential effect is not absolute, however, and at higher plasma concentrations, metoprolol also inhibits beta 2-adrenoreceptors, chiefly located in the bronchial and vascular musculature.

Metoprolol has no intrinsic sympathomimetic activity, and membrane-stabilizing activity is detectable only at plasma concentrations much greater than required for beta-blockade. Animal and human experiments indicate that metoprolol slows the sinus rate and decreases AV nodal conduction.

The relative beta 1-selectivity of metoprolol has been confirmed by the following: (1) In normal subjects, metoprolol is unable to reverse the beta 2-mediated vasodilating effects of epinephrine. This contrasts with the effect of nonselective beta-blockers, which completely reverse the vasodilating effects of epinephrine. (2) In asthmatic patients, metoprolol reduces FEV 1 and FVC significantly less than a nonselective beta-blocker, propranolol, at equivalent beta 1-receptor blocking doses.

The precise mechanism of action of Metoprolol Tartrate Injection in patients with suspected or definite myocardial infarction is not known.

5 Warnings and Precautions (5 WARNINGS AND PRECAUTIONS)
  • Worsening cardiac failure may occur. ( 5.1)
  • Bronchospastic Disease: Avoid beta blockers. ( 5.2)
  • Pheochromocytoma: First initiate therapy with an alpha blocker. ( 5.3)
  • May aggravate symptoms of arterial insufficiency. ( 5.4)
5.3 Bronchospastic Disease

PATIENTS WITH BRONCHOSPASTIC DISEASES, IN GENERAL, SHOULD NOT RECEIVE BETA-BLOCKERS because they can exacerbate bronchospasm. Because of its relative beta 1 cardio-selectivity, however, metoprolol may be used in patients with bronchospastic disease for initial treatment of myocardial infarction. Bronchodilators, including beta 2-agonists, should be readily available or administered concomitantly [see Dosage and Administration (2)].

2 Dosage and Administration (2 DOSAGE AND ADMINISTRATION)

Parenteral drug products should be inspected visually for particulate matter and discoloration prior to administration, whenever solution and container permit.

Initiate treatment in a coronary care or similar unit immediately after the patient’s hemodynamic condition has stabilized.

Begin treatment in this early phase with the intravenous administration of three bolus injections of 5 mg of Metoprolol Tartrate Injection each; give the injections at approximately 2-minute intervals. During the intravenous administration of Metoprolol Tartrate Injection, monitor blood pressure, heart rate, and electrocardiogram.

Transition to Oral Metoprolol:

Following administration of Metoprolol Tartrate Injection, transition patients to an oral formulation of metoprolol. See prescribing information for oral metoprolol for dose selection.

3 Dosage Forms and Strengths (3 DOSAGE FORMS AND STRENGTHS)

Injection: 5 mg Metoprolol Tartrate as a clear liquid supplied in 5 mL single dose vials. Also available in oversized vials (10 mL) with large mouth (20 mm).

6.2 Post Marketing Experience (6.2 Post-Marketing Experience)

The following adverse reactions have been identified during post-approval use of metoprolol. Because these reactions are reported voluntarily from a population of uncertain size, it is not always possible to reliably estimate their frequency or establish a causal relationship to drug exposure.

Cardiovascular: Cold extremities, arterial insufficiency (usually of the Raynaud type), palpitations, peripheral edema, syncope, and hypotension.

Respiratory: Wheezing (bronchospasm), dyspnea.

Central Nervous System: Confusion, short-term memory loss, headache, nightmares, insomnia, nervousness, hallucinations.

Gastrointestinal: Nausea, dry mouth, constipation, flatulence, heartburn, hepatitis, vomiting.

Hypersensitive Reactions: Pruritus.

Miscellaneous: Musculoskeletal pain, arthritis, blurred vision, decreased libido, tinnitus, reversible alopecia, agranulocytosis, dry eyes, worsening of psoriasis, Peyronie’s disease, photosensitivity.

8 Use in Specific Populations (8 USE IN SPECIFIC POPULATIONS)

• Hepatic Impairment: Consider initiating Metoprolol Tartrate therapy at low doses while monitoring closely for adverse events. ( 8.6)

6.1 Clinical Trials Experience

Because clinical trials are conducted under widely varying conditions, adverse reaction rates observed in the clinical trials of a drug cannot be directly compared to rates in the clinical trials of another drug and may not reflect the rates observed in practice. The adverse reaction information from clinical trials does, however, provide a basis for identifying the adverse events that appear to be related to drug use and for approximating rates.

Myocardial Infarction

These adverse reactions were reported from treatment regimens where intravenous Metoprolol Tartrate Injection was administered, when tolerated.

Central Nervous System: Tiredness has been reported in about 1 of 100 patients. Vertigo, sleep disturbances, hallucinations, headache, dizziness, visual disturbances, confusion, and reduced libido have also been reported, but a drug relationship is not clear.

Cardiovascular: In a randomized comparison of Metoprolol Tartrate Injection and placebo, the following adverse reactions were reported:

Metoprolol Tartrate Injection

Placebo

Hypotension (systolic BP <90 mmHg)

27.4%

23.2%

Bradycardia (heart rate <40 beats/min)

15.9%

6.7%

Second-or third-degree heart block

4.7%

4.7%

First-degree heart block (P-R ≥0.26 sec)

5.3%

1.9%

Heart failure

27.5%

29.6%

Respiratory: Dyspnea of pulmonary origin has been reported in fewer than 1 of 100 patients.

Gastrointestinal: Nausea and abdominal pain have been reported in fewer than 1 of 100 patients.

Miscellaneous: Unstable diabetes and claudication have been reported.

5.5 Peripheral Vascular Disease

Beta-blockers can precipitate or aggravate symptoms of arterial insufficiency in patients with peripheral vascular disease.

17 Patient Counseling Information (17 PATIENT COUNSELING INFORMATION)

Advise patients

(1) to avoid operating automobiles and machinery or engaging in other tasks requiring alertness until the patient’s response to therapy with Metoprolol Tartrate Injection has been determined;

(2) to contact the physician if any difficulty in breathing occurs; (3) to inform the physician or dentist before any type of surgery that he or she is taking Metoprolol Tartrate Injection.

Representative Serialization Image (REPRESENTATIVE SERIALIZATION IMAGE)



16 How Supplied/storage and Handling (16 HOW SUPPLIED/STORAGE AND HANDLING)

5 mL Single Dose Vials – each containing 5 mg of Metoprolol Tartrate, USP

Carton of 10 vials.......................................................................................................................NDC 0143-9873-10

Carton of 25 vials.......................................................................................................................NDC 0143-9873-25

Also available in oversized vials (10 mL) with large mouth (20 mm)

Carton of 10 vials.......................................................................................................................NDC 0143-9660-10

Store at 20° to 25°C (68° to 77°F) [see USP Controlled Room Temperature]. Protect from light and heat. Do not freeze.

Retain in carton until time of use.

7.5 Drugs That Decrease Blood Pressure (7.5 Drugs that Decrease Blood Pressure)

Concomitant administration of beta-blockers with other drugs known to decrease blood pressure may result in an enhanced hypotensive effect.

8.3 Females and Males of Reproductive Potential

Risk Summary

Based on the published literature, beta blockers (including metoprolol) may cause erectile dysfunction and inhibit sperm motility. In animal fertility studies, metoprolol has been associated with reversible adverse effects on spermatogenesis starting at oral dose level of 3.5 mg/kg in rats, which would correspond to a dose of 34 mg/day in humans in mg/m 2 equivalent, although other studies have shown no effect of metoprolol on reproductive performance in male rats. No evidence of impaired fertility due to metoprolol was observed in rats [see Nonclinical Toxicology (13.1)].

13.1 Carcinogenesis, Mutagenesis, Impairment of Fertility

Long-term studies in animals have been conducted to evaluate the carcinogenic potential of Metoprolol Tartrate. In 2-year studies in rats at three oral dosage levels of up to 800 mg/kg/day (39 times, on a mg/m 2 basis, the daily dose of 200 mg for a 60 kg patient), there was no increase in the development of spontaneously occurring benign or malignant neoplasms of any type. The only histologic changes that appeared to be drug related were an increased incidence of generally mild focal accumulation of foamy macrophages in pulmonary alveoli and a slight increase in biliary hyperplasia. In a 21-month study in Swiss albino mice at three oral dosage levels of up to 750 mg/kg/day (18 times, on a mg/m 2 basis, the daily dose of 200 mg for a 60 kg patient), benign lung tumors (small adenomas) occurred more frequently in female mice receiving the highest dose than in untreated control animals. There was no increase in malignant or total (benign plus malignant) lung tumors, nor in the overall incidence of tumors or malignant tumors. This 21-month study was repeated in CD-1 mice, and no statistically or biologically significant differences were observed between treated and control mice of either sex for any type of tumor.

All genotoxicity tests performed on Metoprolol Tartrate (a dominant lethal study in mice, chromosome studies in somatic cells, a Salmonella/mammalian-microsome mutagenicity test, and a nucleus anomaly test in somatic interphase nuclei) and metoprolol succinate (a Salmonella/mammalian-microsome mutagenicity test) were negative.

No evidence of impaired fertility due to Metoprolol Tartrate was observed in a study performed in rats at doses up to 24 times, on a mg/m 2 basis, the daily dose of 200 mg in a 60-kg patient.

7.1 Catecholamine Depleting Drugs and Monoamine Oxidate (mao) Inhibitors (7.1 Catecholamine Depleting Drugs and Monoamine Oxidate (MAO) Inhibitors)

Catecholamine depleting drugs (e.g., reserpine) and monoamine oxidase (MAO) inhibitors may have an additive effect when given with beta-blocking agents. Observe patients treated with metoprolol plus a catecholamine depletor for evidence of hypotension or marked bradycardia, which may produce vertigo, syncope, or postural hypotension

7.4 Digitalis, Clonidine, and Calcium Channel Blockers and Other Drugs That Decrease Heart Rate (7.4 Digitalis, Clonidine, and Calcium Channel Blockers and Other Drugs that Decrease Heart Rate)

Digitalis glycosides, clonidine, diltiazem and verapamil slow atrioventricular conduction and decrease heart rate. Concomitant administration of beta-blockers with these and other drugs known to decrease heart rate such as sphingosine-1-phosphate receptor modulators (e.g., fingolimod) may result in additive heart rate lowering effects.

If clonidine and metoprolol are coadministered, withdraw the metoprolol several days before the gradual withdrawal of clonidine because beta-blockers may exacerbate the rebound hypertension that can follow the withdrawal of clonidine. If replacing clonidine by beta-blocker therapy, delay the introduction of beta-blockers for several days after clonidine administration has stopped .


Advanced Ingredient Data


Raw Label Data

All Sections (JSON)