Betamethasone Valerate

Betamethasone Valerate
SPL v7
SPL
SPL Set ID bfa4b6f5-3b66-430a-af41-60e3f12982bc
Route
TOPICAL
Published
Effective Date 2025-02-07
Document Type 34391-3 HUMAN PRESCRIPTION DRUG LABEL

Drug Facts

Composition & Product

Active Ingredients
Betamethasone (1 mg)
Inactive Ingredients
Mineral Oil Petrolatum Polyethylene Glycol 1000 Ceteareth-15 Cetyl Alcohol Stearyl Alcohol Propylene Glycol Water Phosphoric Acid Sodium Hydroxide Chlorocresol

Identifiers & Packaging

Pill Appearance
Color: white
Marketing Status
ANDA Active Since 1988-01-06

Description

Rx only FOR EXTERNAL USE ONLY. NOT FOR OPHTHALMIC USE.

Indications and Usage

Topical corticosteroids are indicated for the relief of the inflammatory and pruritic manifestations of corticosteroid-responsive dermatoses.

Dosage and Administration

Apply a thin film of Betamethasone Valerate Cream USP, 0.1% to the affected skin areas one to three times a day. Dosage once or twice a day is often effective.

Contraindications

Topical corticosteroids are contraindicated in those patients with a history of hypersensitivity to any of the components of the preparation.

Adverse Reactions

The following local adverse reactions are reported infrequently with topical corticosteroids, but may occur more frequently with the use of occlusive dressings. These reactions are listed in an approximate decreasing order of occurrence: burning, itching, irritation, dryness, folliculitis, hypertrichosis, acneiform eruptions, hypopigmentation, perioral dermatitis, allergic contact dermatitis, maceration of the skin, secondary infection, skin atrophy, striae and miliaria.

How Supplied

Betamethasone Valerate Cream USP, 0.1% is supplied in 15 gram (NDC 68788-7451-01) and 45 gram (NDC 68788-7451-04) tubes.


Medication Information

Indications and Usage

Topical corticosteroids are indicated for the relief of the inflammatory and pruritic manifestations of corticosteroid-responsive dermatoses.

Dosage and Administration

Apply a thin film of Betamethasone Valerate Cream USP, 0.1% to the affected skin areas one to three times a day. Dosage once or twice a day is often effective.

Contraindications

Topical corticosteroids are contraindicated in those patients with a history of hypersensitivity to any of the components of the preparation.

Adverse Reactions

The following local adverse reactions are reported infrequently with topical corticosteroids, but may occur more frequently with the use of occlusive dressings. These reactions are listed in an approximate decreasing order of occurrence: burning, itching, irritation, dryness, folliculitis, hypertrichosis, acneiform eruptions, hypopigmentation, perioral dermatitis, allergic contact dermatitis, maceration of the skin, secondary infection, skin atrophy, striae and miliaria.

How Supplied

Betamethasone Valerate Cream USP, 0.1% is supplied in 15 gram (NDC 68788-7451-01) and 45 gram (NDC 68788-7451-04) tubes.

Description

Betamethasone Valerate Cream USP, 0.1% contains betamethasone valerate USP, a synthetic adrenocorticosteroid for dermatologic use. Betamethasone, an analog of prednisolone, has a high degree of glucocorticoid activity and a slight degree of mineralocorticoid activity.

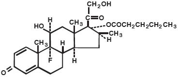
Betamethasone valerate is a white to practically white odorless crystalline powder practically insoluble in water, freely soluble in acetone and chloroform, soluble in alcohol, and slightly soluble in benzene and ether. Chemically it is 9-fluoro-11β,17,21-trihydroxy-16β-methylpregna-1, 4-diene-3,20-dione 17-valerate. The structural formula is:

Molecular Formula: C27H37FO6

Molecular Weight: 476.59

Each gram of Betamethasone Valerate Cream USP, 0.1% contains 1.2 mg betamethasone valerate (equivalent to 1 mg betamethasone) in a soft, white, hydrophilic cream of ceteareth-15, cetyl alcohol, mineral oil, polyethylene glycol 1000, propylene glycol, purified water, stearyl alcohol, white petrolatum, phosphoric acid and sodium hydroxide (for pH adjustment); chlorocresol is present as a preservative.

Section 42229-5

Rx only

FOR EXTERNAL USE ONLY. NOT FOR OPHTHALMIC USE.

Section 44425-7

Store at 20° to 25°C (68° to 77°F) [see USP Controlled Room Temperature].

General

Systemic absorption of topical corticosteroids has produced reversible hypothalamic-pituitary-adrenal (HPA) axis suppression, manifestations of Cushing's syndrome, hyperglycemia, and glucosuria in some patients.

Conditions which augment systemic absorption include the application of the more potent steroids, use over large surface areas, prolonged use, and the addition of occlusive dressings.

Therefore, patients receiving a large dose of a potent topical steroid applied to a large surface area should be evaluated periodically for evidence of HPA axis suppression by using the urinary free cortisol and ACTH stimulation tests. If HPA axis suppression is noted, an attempt should be made to withdraw the drug, to reduce the frequency of application, or to substitute a less potent steroid.

Recovery of HPA axis function is generally prompt and complete upon discontinuation of the drug. Infrequently, signs and symptoms of steroid withdrawal may occur, requiring supplemental systemic corticosteroids.

Pediatric patients may absorb proportionally larger amounts of topical corticosteroids and thus be more susceptible to systemic toxicity (see PRECAUTIONS-Pediatric Use ).

If irritation develops, topical corticosteroids should be discontinued and appropriate therapy instituted.

In the presence of dermatological infections, the use of an appropriate antifungal or antibacterial agent should be instituted. If a favorable response does not occur promptly, the corticosteroid should be discontinued until the infection has been adequately controlled.

Overdosage

Topically applied corticosteroids can be absorbed in sufficient amounts to produce systemic effects (see PRECAUTIONS ).

Pediatric Use

Pediatric patients may demonstrate greater susceptibility to topical corticosteroid-induced HPA axis suppression and Cushing's syndrome than mature patients because of a larger skin surface area to body weight ratio.

Hypothalamic-pituitary-adrenal (HPA) axis suppression, Cushing's syndrome, and intracranial hypertension have been reported in children receiving topical corticosteroids. Manifestations of adrenal suppression in children include linear growth retardation, delayed weight gain, low plasma cortisol levels, and absence of response to ACTH stimulation. Manifestations of intracranial hypertension include bulging fontanelles, headaches, and bilateral papilledema.

Administration of topical corticosteroids to pediatric patients should be limited to the least amount compatible with an effective therapeutic regimen. Chronic corticosteroid therapy may interfere with the growth and development of children.

Nursing Mothers

It is not known whether topical administration of corticosteroids could result in sufficient systemic absorption to produce detectable quantities in breast milk. Systemically administered corticosteroids are secreted into breast milk in quantities not likely to have a deleterious effect on the infant. Nevertheless, caution should be exercised when topical corticosteroids are administered to a nursing woman.

Laboratory Tests

The following tests may be helpful in evaluating the HPA axis suppression:

  •  
    Urinary free cortisol test
  •  
    ACTH stimulation test
Pharmacokinetics

The extent of percutaneous absorption of topical corticosteroids is determined by many factors including the vehicle, the integrity of the epidermal barrier, and the use of occlusive dressings.

Topical corticosteroids can be absorbed from normal intact skin. Inflammation and/or other disease processes in the skin increase percutaneous absorption. Occlusive dressings substantially increase the percutaneous absorption of topical corticosteroids. Thus, occlusive dressings may be a valuable therapeutic adjunct for treatment of resistant dermatoses.

Once absorbed through the skin, topical corticosteroids are handled through pharmacokinetic pathways similar to systemically administered corticosteroids. Corticosteroids are bound to plasma proteins in varying degrees. Corticosteroids are metabolized primarily in the liver and are then excreted by the kidneys. Some of the topical corticosteroids and their metabolites are also excreted into the bile.

Pregnancy Category C

Corticosteroids are generally teratogenic in laboratory animals when administered systemically at relatively low dosage levels. The more potent corticosteroids have been shown to be teratogenic after dermal application in laboratory animals. There are no adequate and well-controlled studies in pregnant women on teratogenic effects from topically applied corticosteroids. Therefore, topical corticosteroids should be used during pregnancy only if the potential benefit justifies the potential risk to the fetus. Drugs of this class should not be used extensively on pregnant patients, in large amounts, or for prolonged periods of time.

Clinical Pharmacology

Topical corticosteroids share anti-inflammatory, antipruritic and vasoconstrictive actions.

The mechanism of anti-inflammatory activity of the topical corticosteroids is unclear. Various laboratory methods, including vasoconstrictor assays, are used to compare and predict potencies and/or clinical efficacies of the topical corticosteroids. There is some evidence to suggest that a recognizable correlation exists between vasoconstrictor potency and therapeutic efficacy in man.

Information for Patients

Patients using topical corticosteroids should receive the following information and instructions:

  • 1.
    This medication is to be used as directed by the physician. It is for external use only. Avoid contact with the eyes.
  • 2.
    Patients should be advised not to use this medication for any disorder other than that for which it was prescribed.
  • 3.
    The treated skin should not be bandaged or otherwise covered or wrapped as to be occlusive unless directed by the physician.
  • 4.
    Patients should report any signs of local adverse reactions especially under occlusive dressing.
  • 5.
    Parents of pediatric patients should be advised not to use tight-fitting diapers or plastic pants on a child being treated in the diaper area, as these garments may constitute occlusive dressings.
Principal Display Panel

NDC 68788-7451

Betamethasone Valerate

Cream USP, 0.1%

FOR EXTERNAL USE ONLY.

NOT FOR OPHTHALMIC USE.

Rx only

Keep this and all medications out of the reach of children.

TARO

Relabeled by Preferred Pharmaceuticals, Inc.

Carcinogenesis, Mutagenesis, and Impairment of Fertility

Long-term animal studies have not been performed to evaluate the carcinogenic potential or the effect on fertility of topical corticosteroids.

Studies to determine mutagenicity with prednisolone and hydrocortisone have revealed negative results.


Structured Label Content

Section 42229-5 (42229-5)

Rx only

FOR EXTERNAL USE ONLY. NOT FOR OPHTHALMIC USE.

Section 44425-7 (44425-7)

Store at 20° to 25°C (68° to 77°F) [see USP Controlled Room Temperature].

General

Systemic absorption of topical corticosteroids has produced reversible hypothalamic-pituitary-adrenal (HPA) axis suppression, manifestations of Cushing's syndrome, hyperglycemia, and glucosuria in some patients.

Conditions which augment systemic absorption include the application of the more potent steroids, use over large surface areas, prolonged use, and the addition of occlusive dressings.

Therefore, patients receiving a large dose of a potent topical steroid applied to a large surface area should be evaluated periodically for evidence of HPA axis suppression by using the urinary free cortisol and ACTH stimulation tests. If HPA axis suppression is noted, an attempt should be made to withdraw the drug, to reduce the frequency of application, or to substitute a less potent steroid.

Recovery of HPA axis function is generally prompt and complete upon discontinuation of the drug. Infrequently, signs and symptoms of steroid withdrawal may occur, requiring supplemental systemic corticosteroids.

Pediatric patients may absorb proportionally larger amounts of topical corticosteroids and thus be more susceptible to systemic toxicity (see PRECAUTIONS-Pediatric Use ).

If irritation develops, topical corticosteroids should be discontinued and appropriate therapy instituted.

In the presence of dermatological infections, the use of an appropriate antifungal or antibacterial agent should be instituted. If a favorable response does not occur promptly, the corticosteroid should be discontinued until the infection has been adequately controlled.

Overdosage (OVERDOSAGE)

Topically applied corticosteroids can be absorbed in sufficient amounts to produce systemic effects (see PRECAUTIONS ).

Description (DESCRIPTION)

Betamethasone Valerate Cream USP, 0.1% contains betamethasone valerate USP, a synthetic adrenocorticosteroid for dermatologic use. Betamethasone, an analog of prednisolone, has a high degree of glucocorticoid activity and a slight degree of mineralocorticoid activity.

Betamethasone valerate is a white to practically white odorless crystalline powder practically insoluble in water, freely soluble in acetone and chloroform, soluble in alcohol, and slightly soluble in benzene and ether. Chemically it is 9-fluoro-11β,17,21-trihydroxy-16β-methylpregna-1, 4-diene-3,20-dione 17-valerate. The structural formula is:

Molecular Formula: C27H37FO6

Molecular Weight: 476.59

Each gram of Betamethasone Valerate Cream USP, 0.1% contains 1.2 mg betamethasone valerate (equivalent to 1 mg betamethasone) in a soft, white, hydrophilic cream of ceteareth-15, cetyl alcohol, mineral oil, polyethylene glycol 1000, propylene glycol, purified water, stearyl alcohol, white petrolatum, phosphoric acid and sodium hydroxide (for pH adjustment); chlorocresol is present as a preservative.

How Supplied (HOW SUPPLIED)

Betamethasone Valerate Cream USP, 0.1% is supplied in 15 gram (NDC 68788-7451-01) and 45 gram (NDC 68788-7451-04) tubes.

Pediatric Use

Pediatric patients may demonstrate greater susceptibility to topical corticosteroid-induced HPA axis suppression and Cushing's syndrome than mature patients because of a larger skin surface area to body weight ratio.

Hypothalamic-pituitary-adrenal (HPA) axis suppression, Cushing's syndrome, and intracranial hypertension have been reported in children receiving topical corticosteroids. Manifestations of adrenal suppression in children include linear growth retardation, delayed weight gain, low plasma cortisol levels, and absence of response to ACTH stimulation. Manifestations of intracranial hypertension include bulging fontanelles, headaches, and bilateral papilledema.

Administration of topical corticosteroids to pediatric patients should be limited to the least amount compatible with an effective therapeutic regimen. Chronic corticosteroid therapy may interfere with the growth and development of children.

Nursing Mothers

It is not known whether topical administration of corticosteroids could result in sufficient systemic absorption to produce detectable quantities in breast milk. Systemically administered corticosteroids are secreted into breast milk in quantities not likely to have a deleterious effect on the infant. Nevertheless, caution should be exercised when topical corticosteroids are administered to a nursing woman.

Laboratory Tests (Laboratory tests)

The following tests may be helpful in evaluating the HPA axis suppression:

  •  
    Urinary free cortisol test
  •  
    ACTH stimulation test
Pharmacokinetics

The extent of percutaneous absorption of topical corticosteroids is determined by many factors including the vehicle, the integrity of the epidermal barrier, and the use of occlusive dressings.

Topical corticosteroids can be absorbed from normal intact skin. Inflammation and/or other disease processes in the skin increase percutaneous absorption. Occlusive dressings substantially increase the percutaneous absorption of topical corticosteroids. Thus, occlusive dressings may be a valuable therapeutic adjunct for treatment of resistant dermatoses.

Once absorbed through the skin, topical corticosteroids are handled through pharmacokinetic pathways similar to systemically administered corticosteroids. Corticosteroids are bound to plasma proteins in varying degrees. Corticosteroids are metabolized primarily in the liver and are then excreted by the kidneys. Some of the topical corticosteroids and their metabolites are also excreted into the bile.

Adverse Reactions (ADVERSE REACTIONS)

The following local adverse reactions are reported infrequently with topical corticosteroids, but may occur more frequently with the use of occlusive dressings. These reactions are listed in an approximate decreasing order of occurrence: burning, itching, irritation, dryness, folliculitis, hypertrichosis, acneiform eruptions, hypopigmentation, perioral dermatitis, allergic contact dermatitis, maceration of the skin, secondary infection, skin atrophy, striae and miliaria.

Contraindications (CONTRAINDICATIONS)

Topical corticosteroids are contraindicated in those patients with a history of hypersensitivity to any of the components of the preparation.

Pregnancy Category C

Corticosteroids are generally teratogenic in laboratory animals when administered systemically at relatively low dosage levels. The more potent corticosteroids have been shown to be teratogenic after dermal application in laboratory animals. There are no adequate and well-controlled studies in pregnant women on teratogenic effects from topically applied corticosteroids. Therefore, topical corticosteroids should be used during pregnancy only if the potential benefit justifies the potential risk to the fetus. Drugs of this class should not be used extensively on pregnant patients, in large amounts, or for prolonged periods of time.

Clinical Pharmacology (CLINICAL PHARMACOLOGY)

Topical corticosteroids share anti-inflammatory, antipruritic and vasoconstrictive actions.

The mechanism of anti-inflammatory activity of the topical corticosteroids is unclear. Various laboratory methods, including vasoconstrictor assays, are used to compare and predict potencies and/or clinical efficacies of the topical corticosteroids. There is some evidence to suggest that a recognizable correlation exists between vasoconstrictor potency and therapeutic efficacy in man.

Indications and Usage (INDICATIONS AND USAGE)

Topical corticosteroids are indicated for the relief of the inflammatory and pruritic manifestations of corticosteroid-responsive dermatoses.

Information for Patients (Information For Patients)

Patients using topical corticosteroids should receive the following information and instructions:

  • 1.
    This medication is to be used as directed by the physician. It is for external use only. Avoid contact with the eyes.
  • 2.
    Patients should be advised not to use this medication for any disorder other than that for which it was prescribed.
  • 3.
    The treated skin should not be bandaged or otherwise covered or wrapped as to be occlusive unless directed by the physician.
  • 4.
    Patients should report any signs of local adverse reactions especially under occlusive dressing.
  • 5.
    Parents of pediatric patients should be advised not to use tight-fitting diapers or plastic pants on a child being treated in the diaper area, as these garments may constitute occlusive dressings.
Dosage and Administration (DOSAGE AND ADMINISTRATION)

Apply a thin film of Betamethasone Valerate Cream USP, 0.1% to the affected skin areas one to three times a day. Dosage once or twice a day is often effective.

Principal Display Panel (PRINCIPAL DISPLAY PANEL -)

NDC 68788-7451

Betamethasone Valerate

Cream USP, 0.1%

FOR EXTERNAL USE ONLY.

NOT FOR OPHTHALMIC USE.

Rx only

Keep this and all medications out of the reach of children.

TARO

Relabeled by Preferred Pharmaceuticals, Inc.

Carcinogenesis, Mutagenesis, and Impairment of Fertility

Long-term animal studies have not been performed to evaluate the carcinogenic potential or the effect on fertility of topical corticosteroids.

Studies to determine mutagenicity with prednisolone and hydrocortisone have revealed negative results.


Advanced Ingredient Data


Raw Label Data

All Sections (JSON)