These Highlights Do Not Include All The Information Needed To Use Cephalexin Capsules Safely And Effectively. See Full Prescribing Information For Cephalexin Capsules

These Highlights Do Not Include All The Information Needed To Use Cephalexin Capsules Safely And Effectively. See Full Prescribing Information For Cephalexin Capsules
SPL v2
SPL
SPL Set ID bf9a6c06-11fd-4fb7-9cf5-e8e787758c1c
Route
ORAL
Published
Effective Date 2016-10-11
Document Type 34391-3 HUMAN PRESCRIPTION DRUG LABEL

Drug Facts

Composition & Product

Active Ingredients
Cephalexin Anhydrous (250 mg)
Inactive Ingredients
Silicon Dioxide Lactose, Unspecified Form Magnesium Stearate Sodium Starch Glycolate Type A Potato Talc Gelatin Titanium Dioxide Fd&c Blue No. 1 Fd&c Yellow No. 5 Shellac Alcohol Isopropyl Alcohol Butyl Alcohol Propylene Glycol Water Ammonia Potassium Hydroxide Ferrosoferric Oxide

Identifiers & Packaging

Pill Appearance
Imprint: CCC;500 Shape: capsule Color: green Color: white Size: 17 mm Size: 21 mm Score: 1
Marketing Status
ANDA Active Since 2010-10-15

Description

Cephalexin capsules, USP is a cephalosporin antibacterial drug indicated for the treatment of the following infections caused by susceptible isolates of designated bacteria: • Respiratory tract infection ( 1.1 ) • Otitis media ( 1.2 ) • Skin and skin structure infections ( 1.3 ) • Bone infections ( 1.4 ) • Genitourinary tract infections ( 1.5 ) To reduce the development of drug-resistant bacteria and maintain the effectiveness of Cephalexin capsules, USP and other antibacterial drugs, Cephalexin capsules, USP should be used only to treat infections that are proven or strongly suspected to be caused by bacteria. ( 1.6 )

Indications and Usage

Cephalexin capsules, USP is a cephalosporin antibacterial drug indicated for the treatment of the following infections caused by susceptible isolates of designated bacteria: • Respiratory tract infection ( 1.1 ) • Otitis media ( 1.2 ) • Skin and skin structure infections ( 1.3 ) • Bone infections ( 1.4 ) • Genitourinary tract infections ( 1.5 ) To reduce the development of drug-resistant bacteria and maintain the effectiveness of Cephalexin capsules, USP and other antibacterial drugs, Cephalexin capsules, USP should be used only to treat infections that are proven or strongly suspected to be caused by bacteria. ( 1.6 )

Dosage and Administration

Adults and patients at least 15 Years of age The usual dose is 250 mg every 6 hours, but a dose of 500 mg every 12 hours may be administered ( 2.1 ) Pediatric patients (over 1 year of age) • Otitis media: 75 to 100 mg/kg in equally divided doses every 6 hours ( 2.2 ) • All other indications: 25 to 50 mg/kg given in equally divided doses ( 2.2 ) • In severe infections: 50 to 100 mg/kg may be administered in equally divided doses ( 2.2 ) • Duration of therapy ranges from 7 to14 days depending on the infection type and severity. ( 2 ) • Dosage adjustment is required in patients with severe and end stage renal disease (ESRD) defined as creatinine clearance below 30 mL/min. ( 2.3 )

Warnings and Precautions

• Serious hypersensitivity (anaphylactic) reactions : Prior to use, inquire regarding history of hypersensitivity to beta-lactam antibacterial drugs. Discontinue the drug if signs or symptoms of an allergic reaction occur and institute supportive measures. ( 5.1 ) • Clostridium difficile -associated diarrhea (CDAD ): Evaluate if diarrhea occurs. ( 5.2 ) • Direct Coomb's Test Seroconversion : If anemia develops during or after cephalexin therapy, evaluate for drug-induced hemolytic anemia. ( 5.3 ) • Seizure Potential : Use lower dose in patients with renal impairment. ( 5.4 )

Contraindications

Cephalexin capsules are contraindicated in patients with known hypersensitivity to cephalexin or other members of the cephalosporin class of antibacterial drugs.

Adverse Reactions

The following serious events are described in greater detail in the Warning and Precautions section: • Hypersensitivity reactions [ see Warning and Precautions (5.1) ] • Clostridium difficile -associated diarrhea [ see Warnings and Precautions (5.2) ] • Direct Coombs' Test Seroconversion [ see Warnings and Precautions (5.3) ] • Seizure Potential [ see Warnings and Precautions (5.4) ] • Effect on Prothrombin Activity [ see Warnings and Precautions (5.5) ] • Development of Drug-Resistant Bacteria [ see Warnings and Precautions (5.6) ]

Drug Interactions

• Metformin: increased metformin concentrations. Monitor for hypoglycemia. ( 7.1 ) • Probenecid - The renal excretion of cephalexin is inhibited by probenecid. Co-administration of probenecid with cephalexin is not recommended. ( 7.2 ) • Administration of cephalexin may result in a false-positive reaction for glucose in the urine. ( 7.3 )

Storage and Handling

Cephalexin capsules, USP, are supplied as follows: • 250 mg Capsules, bottles of 500 – NDC 69778-930-04 • 500 mg Capsules, bottles of 500 – NDC 69778-931-04

How Supplied

Cephalexin capsules, USP, are supplied as follows: • 250 mg Capsules, bottles of 500 – NDC 69778-930-04 • 500 mg Capsules, bottles of 500 – NDC 69778-931-04


Medication Information

Warnings and Precautions

• Serious hypersensitivity (anaphylactic) reactions : Prior to use, inquire regarding history of hypersensitivity to beta-lactam antibacterial drugs. Discontinue the drug if signs or symptoms of an allergic reaction occur and institute supportive measures. ( 5.1 ) • Clostridium difficile -associated diarrhea (CDAD ): Evaluate if diarrhea occurs. ( 5.2 ) • Direct Coomb's Test Seroconversion : If anemia develops during or after cephalexin therapy, evaluate for drug-induced hemolytic anemia. ( 5.3 ) • Seizure Potential : Use lower dose in patients with renal impairment. ( 5.4 )

Indications and Usage

Cephalexin capsules, USP is a cephalosporin antibacterial drug indicated for the treatment of the following infections caused by susceptible isolates of designated bacteria: • Respiratory tract infection ( 1.1 ) • Otitis media ( 1.2 ) • Skin and skin structure infections ( 1.3 ) • Bone infections ( 1.4 ) • Genitourinary tract infections ( 1.5 ) To reduce the development of drug-resistant bacteria and maintain the effectiveness of Cephalexin capsules, USP and other antibacterial drugs, Cephalexin capsules, USP should be used only to treat infections that are proven or strongly suspected to be caused by bacteria. ( 1.6 )

Dosage and Administration

Adults and patients at least 15 Years of age The usual dose is 250 mg every 6 hours, but a dose of 500 mg every 12 hours may be administered ( 2.1 ) Pediatric patients (over 1 year of age) • Otitis media: 75 to 100 mg/kg in equally divided doses every 6 hours ( 2.2 ) • All other indications: 25 to 50 mg/kg given in equally divided doses ( 2.2 ) • In severe infections: 50 to 100 mg/kg may be administered in equally divided doses ( 2.2 ) • Duration of therapy ranges from 7 to14 days depending on the infection type and severity. ( 2 ) • Dosage adjustment is required in patients with severe and end stage renal disease (ESRD) defined as creatinine clearance below 30 mL/min. ( 2.3 )

Contraindications

Cephalexin capsules are contraindicated in patients with known hypersensitivity to cephalexin or other members of the cephalosporin class of antibacterial drugs.

Adverse Reactions

The following serious events are described in greater detail in the Warning and Precautions section: • Hypersensitivity reactions [ see Warning and Precautions (5.1) ] • Clostridium difficile -associated diarrhea [ see Warnings and Precautions (5.2) ] • Direct Coombs' Test Seroconversion [ see Warnings and Precautions (5.3) ] • Seizure Potential [ see Warnings and Precautions (5.4) ] • Effect on Prothrombin Activity [ see Warnings and Precautions (5.5) ] • Development of Drug-Resistant Bacteria [ see Warnings and Precautions (5.6) ]

Drug Interactions

• Metformin: increased metformin concentrations. Monitor for hypoglycemia. ( 7.1 ) • Probenecid - The renal excretion of cephalexin is inhibited by probenecid. Co-administration of probenecid with cephalexin is not recommended. ( 7.2 ) • Administration of cephalexin may result in a false-positive reaction for glucose in the urine. ( 7.3 )

Storage and Handling

Cephalexin capsules, USP, are supplied as follows: • 250 mg Capsules, bottles of 500 – NDC 69778-930-04 • 500 mg Capsules, bottles of 500 – NDC 69778-931-04

How Supplied

Cephalexin capsules, USP, are supplied as follows: • 250 mg Capsules, bottles of 500 – NDC 69778-930-04 • 500 mg Capsules, bottles of 500 – NDC 69778-931-04

Description

Cephalexin capsules, USP is a cephalosporin antibacterial drug indicated for the treatment of the following infections caused by susceptible isolates of designated bacteria: • Respiratory tract infection ( 1.1 ) • Otitis media ( 1.2 ) • Skin and skin structure infections ( 1.3 ) • Bone infections ( 1.4 ) • Genitourinary tract infections ( 1.5 ) To reduce the development of drug-resistant bacteria and maintain the effectiveness of Cephalexin capsules, USP and other antibacterial drugs, Cephalexin capsules, USP should be used only to treat infections that are proven or strongly suspected to be caused by bacteria. ( 1.6 )

Section 34077-8

Pregnancy Category B

There are no adequate and well-controlled studies in pregnant women. Because animal reproduction studies are not always predictive of human response, this drug should be used during pregnancy only if clearly needed.

Reproduction studies have been performed on mice and rats using oral doses of cephalexin monohydrate 0.6 and 1.5 times the maximum daily human dose (66 mg/kg/day) based upon body surface area basis, and have revealed no evidence of impaired fertility or harm to the fetus.

Section 42229-5

The usual dose of oral cephalexin capsules is 250 mg every 6 hours, but a dose of 500 mg every 12 hours may be administered. Treatment is administered for 7 to 14 days.

For more severe infections larger doses of oral cephalexin capsules may be needed, up to 4 grams daily in two to four equally divided doses.

Section 44425-7

Cephalexin capsules, USP should be stored at 25ºC (77ºF); excursions permitted to 15º to 30ºC (59º to 86ºF) [see USP Controlled Room Temperature].

Dispense in a tight, light-resistant container.

1.6 Usage

To reduce the development of drug-resistant bacteria and maintain the effectiveness of cephalexin capsules, USP and other antibacterial drugs, cephalexin capsules, USP should be used only to treat infections that are proven or strongly suspected to be caused by susceptible bacteria. When culture and susceptibility information is available, this information should be considered in selecting or modifying antibacterial therapy. In the absence of such data, local epidemiology and susceptibility patterns may contribute to the empiric selection of therapy.

7.1 Metformin

Administration of cephalexin with metformin results in increased plasma metformin concentrations and decreased renal clearance of metformin.

Careful patient monitoring and dose adjustment of metformin is recommended in patients concomitantly taking cephalexin and metformin [see Clinical Pharmacology (12.3)].

10. Overdosage

Symptoms of oral overdose may include nausea, vomiting, epigastric distress, diarrhea, and hematuria. In the event of an overdose, institute general supportive measures.

Forced diuresis, peritoneal dialysis, hemodialysis, or charcoal hemoperfusion have not been established as beneficial for an overdose of cephalexin.

15. References
  • 1.
    Clinical and Laboratory Standards Institute (CLSI). Methods for Dilution Antimicrobial Susceptibility Tests for Bacteria that Grow Aerobically; Approved Standard - Tenth Edition. CLSI document M07-A10, Clinical and Laboratory Standards Institute, 950 West Valley Road, Suite 2500, Wayne, Pennsylvania 19087, USA, 2015.
  • 2.
    Clinical and Laboratory Standards Institute (CLSI). Performance Standards for Antimicrobials Susceptibility Tests; Twenty-Fifth Informational Supplement. CLSI document M100-S25, Clinical and Laboratory Standards Institute, 950 West Valley Road, Suite 2500, Wayne, Pennsylvania 19087, USA, 2015.
  • 3.
    Clinical and Laboratory Standards Institute (CLSI). Performance Standards for Antimicrobial Disk Susceptibility Tests; Approved Standard - Twelfth Edition. CLSI document M02-A12, Clinical and Laboratory Standards Institute, 950 West Valley Road, Suite 2500, Wayne, Pennsylvania 19087, USA, 2015.
7.2 Probenecid

The renal excretion of cephalexin is inhibited by probenecid. Co-administration of probenecid with cephalexin is not recommended.

11. Description

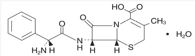
Cephalexin capsules, USP is a semisynthetic cephalosporin antibacterial drug intended for oral administration. It is 7-(D-α-Amino-α-phenylacetamido)-3-methyl-3-cephem-4-carboxylic acid monohydrate. Cephalexin has the molecular formula C16H17N3O4S∙H2O and the molecular weight is 365.41.

Cephalexin has the following structural formula:

Each capsule contains cephalexin monohydrate equivalent to 250 mg or 500 mg of cephalexin. The capsules also contain inactive ingredients: magnesium stearate, sodium starch glycolate, lactose monohydrate, talc, colloidal silicone dioxide. The capsule shells contain gelatin, titanium dioxide, FD&C Blue No. 1, FD&C Yellow No. 5. The imprinting ink components on 250 mg and 500 mg capsules: shellac, dehydrated alcohol, isopropyl alcohol, butyl alcohol, propylene glycol, purified water, strong ammonia solution, potassium hydroxide and black iron oxide.

1.2 Otitis Media

Cephalexin capsule, USP are indicated for the treatment of otitis media caused by susceptible isolates of Streptococcus pneumoniae, Haemophilus influenzae, Staphylococcus aureus, Streptococcus pyogenes, and Moraxella catarrhalis.

8.4 Pediatric Use

The safety and effectiveness of cephalexin in pediatric patients was established in clinical trials for the dosages described in the dosage and administration section [see Dosage and Administration (2.2) ].

8.5 Geriatric Use

Of the 701 subjects in 3 published clinical studies of cephalexin, 433 (62%) were 65 and over. No overall differences in safety or effectiveness were observed between these subjects and younger subjects, and other reported clinical experience has not identified differences in responses between the elderly and younger patients.

This drug is substantially excreted by the kidney, and the risk of toxic reactions to this drug may be greater in patients with impaired renal function. Because elderly patients are more likely to have decreased renal function, care should be taken in dose selection [see Warnings and Precautions (5.4) ].

1.4 Bone Infections

Cephalexin capsule, USP are indicated for the treatment of bone infections caused by susceptible isolates of Staphylococcus aureus and Proteus mirabilis.

8.3 Nursing Mothers

Cephalexin is excreted in human milk. Caution should be exercised when cephalexin is administered to a nursing woman.

4. Contraindications

Cephalexin capsules are contraindicated in patients with known hypersensitivity to cephalexin or other members of the cephalosporin class of antibacterial drugs.

6. Adverse Reactions

The following serious events are described in greater detail in the Warning and Precautions section:

7. Drug Interactions
  • Metformin: increased metformin concentrations. Monitor for hypoglycemia. (7.1)
  • Probenecid - The renal excretion of cephalexin is inhibited by probenecid. Co-administration of probenecid with cephalexin is not recommended. (7.2)
  • Administration of cephalexin may result in a false-positive reaction for glucose in the urine. (7.3)
8.6 Renal Impairment

Cephalexin should be administered with caution in the presence of impaired renal function (creatinine clearance < 30 mL/min, with or without dialysis). Under such conditions, careful clinical observation and laboratory studies renal function monitoring should be conducted because safe dosage may be lower than that usually recommended [see Dosage and Administration (2.3)].

5.4 Seizure Potential

Several cephalosporins have been implicated in triggering seizures, particularly in patients with renal impairment when the dosage was not reduced. If seizures occur, discontinue cephalexin. Anticonvulsant therapy can be given if clinically indicated.

1. Indications and Usage

Cephalexin capsules, USP is a cephalosporin antibacterial drug indicated for the treatment of the following infections caused by susceptible isolates of designated bacteria:

  • Respiratory tract infection (1.1)
  • Otitis media (1.2)
  • Skin and skin structure infections (1.3)
  • Bone infections (1.4)
  • Genitourinary tract infections (1.5)

To reduce the development of drug-resistant bacteria and maintain the effectiveness of Cephalexin capsules, USP and other antibacterial drugs, Cephalexin capsules, USP should be used only to treat infections that are proven or strongly suspected to be caused by bacteria. (1.6)

12.1 Mechanism of Action

Cephalexin is a cephalosporin antibacterial drug [see Microbiology (12.4)].

5.2 Clostridium Difficile

Clostridium difficile- associated diarrhea (CDAD) has been reported with use of nearly all antibacterial agents, including cephalexin, and may range in severity from mild diarrhea to fatal colitis. Treatment with antibacterial agents alters the normal flora of the colon leading to overgrowth of C. difficile.

C. difficile produces toxins A and B, which contribute to the development of CDAD. Hypertoxin-producing strains of C. difficile cause increased morbidity and mortality, as these infections can be refractory to antimicrobial therapy and may require colectomy. CDAD must be considered in all patients who present with diarrhea following antibiotic use. Careful medical history is necessary since CDAD has been reported to occur over two months after the administration of antibacterial agents.

If CDAD is suspected or confirmed, ongoing antibiotic use not directed against C. difficile may need to be discontinued. Appropriate fluid and electrolyte management, protein supplementation, antibiotic treatment of C. difficile, and surgical evaluation should be instituted as clinically indicated.

5. Warnings and Precautions
  • Serious hypersensitivity (anaphylactic) reactions: Prior to use, inquire regarding history of hypersensitivity to beta-lactam antibacterial drugs. Discontinue the drug if signs or symptoms of an allergic reaction occur and institute supportive measures. (5.1)
  • Clostridium difficile-associated diarrhea (CDAD): Evaluate if diarrhea occurs. (5.2)
  • Direct Coomb's Test Seroconversion: If anemia develops during or after cephalexin therapy, evaluate for drug-induced hemolytic anemia. (5.3)
  • Seizure Potential: Use lower dose in patients with renal impairment. (5.4)
2. Dosage and Administration

Adults and patients at least 15 Years of age

The usual dose is 250 mg every 6 hours, but a dose of 500 mg every 12 hours may be administered (2.1)

Pediatric patients (over 1 year of age)

  • Otitis media: 75 to 100 mg/kg in equally divided doses every 6 hours (2.2)
  • All other indications: 25 to 50 mg/kg given in equally divided doses (2.2)
  • In severe infections: 50 to 100 mg/kg may be administered in equally divided doses (2.2)
  • Duration of therapy ranges from 7 to14 days depending on the infection type and severity. (2)
  • Dosage adjustment is required in patients with severe and end stage renal disease (ESRD) defined as creatinine clearance below 30 mL/min. (2.3)
3. Dosage Forms and Strengths

Capsules: 250 mg and 500 mg (3)

5.1 Hypersensitivity Reactions

Allergic reactions in the form of rash, urticaria, angioedema, anaphylaxis, erythema multiforme, Stevens-Johnson syndrome, or toxic epidermal necrolysis have been reported with the use of cephalexin. Before therapy with cephalexin is instituted, inquire whether the patient has a history of hypersensitivity reactions to cephalexin, cephalosporins, penicillins, or other drugs. Cross-hypersensitivity among beta-lactam antibacterial drugs may occur in up to 10% of patients with a history of penicillin allergy.

If an allergic reaction to cephalexin occurs, discontinue the drug and institute appropriate treatment.

5.5 Prolonged Prothrombin Time

Cephalosporins may be associated with prolonged prothrombin time. Those at risk include patients with renal or hepatic impairment, or poor nutritional state, as well as patients receiving a protracted course of antibacterial therapy, and patients receiving anticoagulant therapy. Monitor prothrombin time in patients at risk and manage as indicated.

6.1 Clinical Trials Experience

Because clinical trials are conducted under widely varying conditions, adverse reaction rates observed in the clinical trials of a drug cannot be directly compared to rates in the clinical trials of another drug and may not reflect the rates observed in practice.

In clinical trials, the most frequent adverse reaction was diarrhea. Nausea and vomiting, dyspepsia, gastritis, and abdominal pain have also occurred. As with penicillins and other cephalosporins, transient hepatitis and cholestatic jaundice have been reported.

Other reactions have included hypersensitivity reactions, genital and anal pruritus, genital candidiasis, vaginitis and vaginal discharge, dizziness, fatigue, headache, agitation, confusion, hallucinations, arthralgia, arthritis, and joint disorder. Reversible interstitial nephritis has been reported. Eosinophilia, neutropenia, thrombocytopenia, hemolytic anemia, and slight elevations in aspartate transaminase (AST) and alanine transaminase (ALT) have been reported.

In addition to the adverse reactions listed above that have been observed in patients treated with cephalexin, the following adverse reactions and other altered laboratory tests have been reported for cephalosporin class antibacterial drugs:

Other Adverse Reactions: Fever, colitis, aplastic anemia, hemorrhage, renal dysfunction, and toxic nephropathy.

Altered Laboratory Tests: Prolonged prothrombin time, increased blood urea nitrogen (BUN), increased creatinine, elevated alkaline phosphatase, elevated bilirubin, elevated lactate dehydrogenase (LDH), pancytopenia, leukopenia, and agranulocytosis.

1.1 Respiratory Tract Infections

Cephalexin capsules, USP are indicated for the treatment of respiratory tract infections caused by susceptible isolates of Streptococcus pneumoniae and Streptococcus pyogenes.

1.5 Genitourinary Tract Infections

Cephalexin capsule, USP are indicated for the treatment of genitourinary tract infections, including acute prostatitis, caused by susceptible isolates of Escherichia coli, Proteus mirabilis, and Klebsiella pneumoniae.

17. Patient Counseling Information
  • Advise patients that allergic reactions, including serious allergic reactions, could occur and that serious reactions require immediate treatment. Ask the patient about any previous hypersensitivity reactions to cephalexin, other beta-lactams (including cephalosporins) or other allergens (5.1)
  • Advise patients that diarrhea is a common problem caused by antibacterial drugs and usually resolves when the drug is discontinued. Sometimes, frequent watery or bloody diarrhea may occur and may be a sign of a more serious intestinal infection. If severe watery or bloody diarrhea develops, advise patients to contact their healthcare provider.
  • Counsel patients that antibacterial drugs including cephalexin, should only be used to treat bacterial infections. They do not treat viral infections (e.g., the common cold). When cephalexin is prescribed to treat a bacterial infection, tell patients that although it is common to feel better early in the course of therapy, the medication should be taken exactly as directed. Skipping doses or not completing the full course of therapy may (1) decrease the effectiveness of the immediate treatment and (2) increase the likelihood that bacteria will develop resistance and will not be treatable by cephalexin or other antibacterial drugs in the future.
16. How Supplied/storage and Handling

Cephalexin capsules, USP, are supplied as follows:

  • 250 mg Capsules, bottles of 500 – NDC 69778-930-04
  • 500 mg Capsules, bottles of 500 – NDC 69778-931-04
1.3 Skin and Skin Structure Infections

Cephalexin capsule, USP are indicated for the treatment of skin and skin structure infections caused by susceptible isolates of the following Gram-positive bacteria: Staphylococcus aureus and Streptococcus pyogenes.

5.3 Direct Coombs' Test Seroconversion

Positive direct Coombs' tests have been reported during treatment with the cephalosporin antibacterial drugs including cephalexin. Acute intravascular hemolysis induced by cephalexin therapy has been reported. If anemia develops during or after cephalexin therapy, perform a diagnostic work-up for drug-induced hemolytic anemia, discontinue cephalexin and institute appropriate therapy.

5.6 Development of Drug Resistant Bacteria

Prescribing cephalexin in the absence of a proven or strongly suspected bacterial infection is unlikely to provide benefit to the patient and increases the risk of the development of drug-resistant bacteria.

Prolonged use of cephalexin may result in the overgrowth of nonsusceptible organisms. Careful observation of the patient is essential. If superinfection occurs during therapy, appropriate measures should be taken.

2.2 Pediatric Patients (over 1 Year of Age)

The recommended total daily dose of oral cephalexin capsules for pediatric patients is 25 to 50 mg/kg given in equally divided doses for 7 to 14 days. In the treatment of β-hemolytic streptococcal infections, duration of at least 10 days is recommended. In severe infections, a total daily dose of 50 to 100 mg/kg may be administered in equally divided doses.

For the treatment of otitis media, the recommended daily dose is 75 to 100 mg/kg given in equally divided doses.

7.3 Interaction With Laboratory Or Diagnostic Testing

A false-positive reaction may occur when testing for the presence of glucose in the urine using Benedict's solution or Fehling's solution.

Principal Display Panel 250 Mg Capsule Bottle Label

NDC 69778-930-04

Cephalexin

Capsules, USP

250 mg

Rx only

PHARMA-C

500 CAPSULES

Principal Display Panel 500 Mg Capsule Bottle Label

NDC 69778-931-04

Cephalexin

Capsules, USP

500 mg

Rx only

PHARMA-C

500 CAPSULES

13.1 Carcinogenesis, Mutagenesis, Impairment of Fertility

Lifetime studies in animals have not been performed to evaluate the carcinogenic potential of cephalexin. Tests to determine the mutagenic potential of cephalexin have not been performed. In male and female rats, fertility and reproductive performance were not affected by cephalexin oral doses up to 1.5 times the highest recommended human dose based upon body surface area.

2.3 Dosage Adjustments in Adult and Pediatric Patients At Least 15 Years of Age With Renal Impairment

Administer the following dosing regimens for cephalexin capsules to patients with impaired renal function [see Warnings and Precautions (5.4) and Use in Specific Populations (8.6) ].

Table 1. Recommended Dose Regimen for Patients with Renal Impairment
Renal function Dose regimen recommendation

Creatinine clearance ≥ 60 mL/min

No dose adjustment

Creatinine clearance 30 to 59 mL/min

No dose adjustment; maximum daily dose should not exceed 1 g

Creatinine clearance 15 to 29 mL/min

250 mg, every 8 hours or every 12 hours

Creatinine clearance 5 to 14 mL/min not yet on dialysis*

250 mg, every 24 hours

Creatinine clearance 1 to 4 mL/min not yet on dialysis*

250 mg, every 48 hours or every 60 hours


Structured Label Content

Section 34077-8 (34077-8)

Pregnancy Category B

There are no adequate and well-controlled studies in pregnant women. Because animal reproduction studies are not always predictive of human response, this drug should be used during pregnancy only if clearly needed.

Reproduction studies have been performed on mice and rats using oral doses of cephalexin monohydrate 0.6 and 1.5 times the maximum daily human dose (66 mg/kg/day) based upon body surface area basis, and have revealed no evidence of impaired fertility or harm to the fetus.

Section 42229-5 (42229-5)

The usual dose of oral cephalexin capsules is 250 mg every 6 hours, but a dose of 500 mg every 12 hours may be administered. Treatment is administered for 7 to 14 days.

For more severe infections larger doses of oral cephalexin capsules may be needed, up to 4 grams daily in two to four equally divided doses.

Section 44425-7 (44425-7)

Cephalexin capsules, USP should be stored at 25ºC (77ºF); excursions permitted to 15º to 30ºC (59º to 86ºF) [see USP Controlled Room Temperature].

Dispense in a tight, light-resistant container.

1.6 Usage

To reduce the development of drug-resistant bacteria and maintain the effectiveness of cephalexin capsules, USP and other antibacterial drugs, cephalexin capsules, USP should be used only to treat infections that are proven or strongly suspected to be caused by susceptible bacteria. When culture and susceptibility information is available, this information should be considered in selecting or modifying antibacterial therapy. In the absence of such data, local epidemiology and susceptibility patterns may contribute to the empiric selection of therapy.

7.1 Metformin

Administration of cephalexin with metformin results in increased plasma metformin concentrations and decreased renal clearance of metformin.

Careful patient monitoring and dose adjustment of metformin is recommended in patients concomitantly taking cephalexin and metformin [see Clinical Pharmacology (12.3)].

10. Overdosage (10. OVERDOSAGE)

Symptoms of oral overdose may include nausea, vomiting, epigastric distress, diarrhea, and hematuria. In the event of an overdose, institute general supportive measures.

Forced diuresis, peritoneal dialysis, hemodialysis, or charcoal hemoperfusion have not been established as beneficial for an overdose of cephalexin.

15. References (15. REFERENCES)
  • 1.
    Clinical and Laboratory Standards Institute (CLSI). Methods for Dilution Antimicrobial Susceptibility Tests for Bacteria that Grow Aerobically; Approved Standard - Tenth Edition. CLSI document M07-A10, Clinical and Laboratory Standards Institute, 950 West Valley Road, Suite 2500, Wayne, Pennsylvania 19087, USA, 2015.
  • 2.
    Clinical and Laboratory Standards Institute (CLSI). Performance Standards for Antimicrobials Susceptibility Tests; Twenty-Fifth Informational Supplement. CLSI document M100-S25, Clinical and Laboratory Standards Institute, 950 West Valley Road, Suite 2500, Wayne, Pennsylvania 19087, USA, 2015.
  • 3.
    Clinical and Laboratory Standards Institute (CLSI). Performance Standards for Antimicrobial Disk Susceptibility Tests; Approved Standard - Twelfth Edition. CLSI document M02-A12, Clinical and Laboratory Standards Institute, 950 West Valley Road, Suite 2500, Wayne, Pennsylvania 19087, USA, 2015.
7.2 Probenecid

The renal excretion of cephalexin is inhibited by probenecid. Co-administration of probenecid with cephalexin is not recommended.

11. Description (11. DESCRIPTION)

Cephalexin capsules, USP is a semisynthetic cephalosporin antibacterial drug intended for oral administration. It is 7-(D-α-Amino-α-phenylacetamido)-3-methyl-3-cephem-4-carboxylic acid monohydrate. Cephalexin has the molecular formula C16H17N3O4S∙H2O and the molecular weight is 365.41.

Cephalexin has the following structural formula:

Each capsule contains cephalexin monohydrate equivalent to 250 mg or 500 mg of cephalexin. The capsules also contain inactive ingredients: magnesium stearate, sodium starch glycolate, lactose monohydrate, talc, colloidal silicone dioxide. The capsule shells contain gelatin, titanium dioxide, FD&C Blue No. 1, FD&C Yellow No. 5. The imprinting ink components on 250 mg and 500 mg capsules: shellac, dehydrated alcohol, isopropyl alcohol, butyl alcohol, propylene glycol, purified water, strong ammonia solution, potassium hydroxide and black iron oxide.

1.2 Otitis Media

Cephalexin capsule, USP are indicated for the treatment of otitis media caused by susceptible isolates of Streptococcus pneumoniae, Haemophilus influenzae, Staphylococcus aureus, Streptococcus pyogenes, and Moraxella catarrhalis.

8.4 Pediatric Use

The safety and effectiveness of cephalexin in pediatric patients was established in clinical trials for the dosages described in the dosage and administration section [see Dosage and Administration (2.2) ].

8.5 Geriatric Use

Of the 701 subjects in 3 published clinical studies of cephalexin, 433 (62%) were 65 and over. No overall differences in safety or effectiveness were observed between these subjects and younger subjects, and other reported clinical experience has not identified differences in responses between the elderly and younger patients.

This drug is substantially excreted by the kidney, and the risk of toxic reactions to this drug may be greater in patients with impaired renal function. Because elderly patients are more likely to have decreased renal function, care should be taken in dose selection [see Warnings and Precautions (5.4) ].

1.4 Bone Infections

Cephalexin capsule, USP are indicated for the treatment of bone infections caused by susceptible isolates of Staphylococcus aureus and Proteus mirabilis.

8.3 Nursing Mothers

Cephalexin is excreted in human milk. Caution should be exercised when cephalexin is administered to a nursing woman.

4. Contraindications (4. CONTRAINDICATIONS)

Cephalexin capsules are contraindicated in patients with known hypersensitivity to cephalexin or other members of the cephalosporin class of antibacterial drugs.

6. Adverse Reactions (6. ADVERSE REACTIONS)

The following serious events are described in greater detail in the Warning and Precautions section:

7. Drug Interactions (7. DRUG INTERACTIONS)
  • Metformin: increased metformin concentrations. Monitor for hypoglycemia. (7.1)
  • Probenecid - The renal excretion of cephalexin is inhibited by probenecid. Co-administration of probenecid with cephalexin is not recommended. (7.2)
  • Administration of cephalexin may result in a false-positive reaction for glucose in the urine. (7.3)
8.6 Renal Impairment

Cephalexin should be administered with caution in the presence of impaired renal function (creatinine clearance < 30 mL/min, with or without dialysis). Under such conditions, careful clinical observation and laboratory studies renal function monitoring should be conducted because safe dosage may be lower than that usually recommended [see Dosage and Administration (2.3)].

5.4 Seizure Potential

Several cephalosporins have been implicated in triggering seizures, particularly in patients with renal impairment when the dosage was not reduced. If seizures occur, discontinue cephalexin. Anticonvulsant therapy can be given if clinically indicated.

1. Indications and Usage (1. INDICATIONS AND USAGE)

Cephalexin capsules, USP is a cephalosporin antibacterial drug indicated for the treatment of the following infections caused by susceptible isolates of designated bacteria:

  • Respiratory tract infection (1.1)
  • Otitis media (1.2)
  • Skin and skin structure infections (1.3)
  • Bone infections (1.4)
  • Genitourinary tract infections (1.5)

To reduce the development of drug-resistant bacteria and maintain the effectiveness of Cephalexin capsules, USP and other antibacterial drugs, Cephalexin capsules, USP should be used only to treat infections that are proven or strongly suspected to be caused by bacteria. (1.6)

12.1 Mechanism of Action

Cephalexin is a cephalosporin antibacterial drug [see Microbiology (12.4)].

5.2 Clostridium Difficile (5.2 Clostridium difficile)

Clostridium difficile- associated diarrhea (CDAD) has been reported with use of nearly all antibacterial agents, including cephalexin, and may range in severity from mild diarrhea to fatal colitis. Treatment with antibacterial agents alters the normal flora of the colon leading to overgrowth of C. difficile.

C. difficile produces toxins A and B, which contribute to the development of CDAD. Hypertoxin-producing strains of C. difficile cause increased morbidity and mortality, as these infections can be refractory to antimicrobial therapy and may require colectomy. CDAD must be considered in all patients who present with diarrhea following antibiotic use. Careful medical history is necessary since CDAD has been reported to occur over two months after the administration of antibacterial agents.

If CDAD is suspected or confirmed, ongoing antibiotic use not directed against C. difficile may need to be discontinued. Appropriate fluid and electrolyte management, protein supplementation, antibiotic treatment of C. difficile, and surgical evaluation should be instituted as clinically indicated.

5. Warnings and Precautions (5. WARNINGS AND PRECAUTIONS)
  • Serious hypersensitivity (anaphylactic) reactions: Prior to use, inquire regarding history of hypersensitivity to beta-lactam antibacterial drugs. Discontinue the drug if signs or symptoms of an allergic reaction occur and institute supportive measures. (5.1)
  • Clostridium difficile-associated diarrhea (CDAD): Evaluate if diarrhea occurs. (5.2)
  • Direct Coomb's Test Seroconversion: If anemia develops during or after cephalexin therapy, evaluate for drug-induced hemolytic anemia. (5.3)
  • Seizure Potential: Use lower dose in patients with renal impairment. (5.4)
2. Dosage and Administration (2. DOSAGE AND ADMINISTRATION)

Adults and patients at least 15 Years of age

The usual dose is 250 mg every 6 hours, but a dose of 500 mg every 12 hours may be administered (2.1)

Pediatric patients (over 1 year of age)

  • Otitis media: 75 to 100 mg/kg in equally divided doses every 6 hours (2.2)
  • All other indications: 25 to 50 mg/kg given in equally divided doses (2.2)
  • In severe infections: 50 to 100 mg/kg may be administered in equally divided doses (2.2)
  • Duration of therapy ranges from 7 to14 days depending on the infection type and severity. (2)
  • Dosage adjustment is required in patients with severe and end stage renal disease (ESRD) defined as creatinine clearance below 30 mL/min. (2.3)
3. Dosage Forms and Strengths (3. DOSAGE FORMS AND STRENGTHS)

Capsules: 250 mg and 500 mg (3)

5.1 Hypersensitivity Reactions

Allergic reactions in the form of rash, urticaria, angioedema, anaphylaxis, erythema multiforme, Stevens-Johnson syndrome, or toxic epidermal necrolysis have been reported with the use of cephalexin. Before therapy with cephalexin is instituted, inquire whether the patient has a history of hypersensitivity reactions to cephalexin, cephalosporins, penicillins, or other drugs. Cross-hypersensitivity among beta-lactam antibacterial drugs may occur in up to 10% of patients with a history of penicillin allergy.

If an allergic reaction to cephalexin occurs, discontinue the drug and institute appropriate treatment.

5.5 Prolonged Prothrombin Time

Cephalosporins may be associated with prolonged prothrombin time. Those at risk include patients with renal or hepatic impairment, or poor nutritional state, as well as patients receiving a protracted course of antibacterial therapy, and patients receiving anticoagulant therapy. Monitor prothrombin time in patients at risk and manage as indicated.

6.1 Clinical Trials Experience

Because clinical trials are conducted under widely varying conditions, adverse reaction rates observed in the clinical trials of a drug cannot be directly compared to rates in the clinical trials of another drug and may not reflect the rates observed in practice.

In clinical trials, the most frequent adverse reaction was diarrhea. Nausea and vomiting, dyspepsia, gastritis, and abdominal pain have also occurred. As with penicillins and other cephalosporins, transient hepatitis and cholestatic jaundice have been reported.

Other reactions have included hypersensitivity reactions, genital and anal pruritus, genital candidiasis, vaginitis and vaginal discharge, dizziness, fatigue, headache, agitation, confusion, hallucinations, arthralgia, arthritis, and joint disorder. Reversible interstitial nephritis has been reported. Eosinophilia, neutropenia, thrombocytopenia, hemolytic anemia, and slight elevations in aspartate transaminase (AST) and alanine transaminase (ALT) have been reported.

In addition to the adverse reactions listed above that have been observed in patients treated with cephalexin, the following adverse reactions and other altered laboratory tests have been reported for cephalosporin class antibacterial drugs:

Other Adverse Reactions: Fever, colitis, aplastic anemia, hemorrhage, renal dysfunction, and toxic nephropathy.

Altered Laboratory Tests: Prolonged prothrombin time, increased blood urea nitrogen (BUN), increased creatinine, elevated alkaline phosphatase, elevated bilirubin, elevated lactate dehydrogenase (LDH), pancytopenia, leukopenia, and agranulocytosis.

1.1 Respiratory Tract Infections

Cephalexin capsules, USP are indicated for the treatment of respiratory tract infections caused by susceptible isolates of Streptococcus pneumoniae and Streptococcus pyogenes.

1.5 Genitourinary Tract Infections

Cephalexin capsule, USP are indicated for the treatment of genitourinary tract infections, including acute prostatitis, caused by susceptible isolates of Escherichia coli, Proteus mirabilis, and Klebsiella pneumoniae.

17. Patient Counseling Information (17. PATIENT COUNSELING INFORMATION)
  • Advise patients that allergic reactions, including serious allergic reactions, could occur and that serious reactions require immediate treatment. Ask the patient about any previous hypersensitivity reactions to cephalexin, other beta-lactams (including cephalosporins) or other allergens (5.1)
  • Advise patients that diarrhea is a common problem caused by antibacterial drugs and usually resolves when the drug is discontinued. Sometimes, frequent watery or bloody diarrhea may occur and may be a sign of a more serious intestinal infection. If severe watery or bloody diarrhea develops, advise patients to contact their healthcare provider.
  • Counsel patients that antibacterial drugs including cephalexin, should only be used to treat bacterial infections. They do not treat viral infections (e.g., the common cold). When cephalexin is prescribed to treat a bacterial infection, tell patients that although it is common to feel better early in the course of therapy, the medication should be taken exactly as directed. Skipping doses or not completing the full course of therapy may (1) decrease the effectiveness of the immediate treatment and (2) increase the likelihood that bacteria will develop resistance and will not be treatable by cephalexin or other antibacterial drugs in the future.
16. How Supplied/storage and Handling (16. HOW SUPPLIED/STORAGE AND HANDLING)

Cephalexin capsules, USP, are supplied as follows:

  • 250 mg Capsules, bottles of 500 – NDC 69778-930-04
  • 500 mg Capsules, bottles of 500 – NDC 69778-931-04
1.3 Skin and Skin Structure Infections

Cephalexin capsule, USP are indicated for the treatment of skin and skin structure infections caused by susceptible isolates of the following Gram-positive bacteria: Staphylococcus aureus and Streptococcus pyogenes.

5.3 Direct Coombs' Test Seroconversion

Positive direct Coombs' tests have been reported during treatment with the cephalosporin antibacterial drugs including cephalexin. Acute intravascular hemolysis induced by cephalexin therapy has been reported. If anemia develops during or after cephalexin therapy, perform a diagnostic work-up for drug-induced hemolytic anemia, discontinue cephalexin and institute appropriate therapy.

5.6 Development of Drug Resistant Bacteria (5.6 Development of Drug-Resistant Bacteria)

Prescribing cephalexin in the absence of a proven or strongly suspected bacterial infection is unlikely to provide benefit to the patient and increases the risk of the development of drug-resistant bacteria.

Prolonged use of cephalexin may result in the overgrowth of nonsusceptible organisms. Careful observation of the patient is essential. If superinfection occurs during therapy, appropriate measures should be taken.

2.2 Pediatric Patients (over 1 Year of Age) (2.2 Pediatric Patients (over 1 year of age))

The recommended total daily dose of oral cephalexin capsules for pediatric patients is 25 to 50 mg/kg given in equally divided doses for 7 to 14 days. In the treatment of β-hemolytic streptococcal infections, duration of at least 10 days is recommended. In severe infections, a total daily dose of 50 to 100 mg/kg may be administered in equally divided doses.

For the treatment of otitis media, the recommended daily dose is 75 to 100 mg/kg given in equally divided doses.

7.3 Interaction With Laboratory Or Diagnostic Testing (7.3 Interaction With Laboratory or Diagnostic Testing)

A false-positive reaction may occur when testing for the presence of glucose in the urine using Benedict's solution or Fehling's solution.

Principal Display Panel 250 Mg Capsule Bottle Label (PRINCIPAL DISPLAY PANEL - 250 mg Capsule Bottle Label)

NDC 69778-930-04

Cephalexin

Capsules, USP

250 mg

Rx only

PHARMA-C

500 CAPSULES

Principal Display Panel 500 Mg Capsule Bottle Label (PRINCIPAL DISPLAY PANEL - 500 mg Capsule Bottle Label)

NDC 69778-931-04

Cephalexin

Capsules, USP

500 mg

Rx only

PHARMA-C

500 CAPSULES

13.1 Carcinogenesis, Mutagenesis, Impairment of Fertility

Lifetime studies in animals have not been performed to evaluate the carcinogenic potential of cephalexin. Tests to determine the mutagenic potential of cephalexin have not been performed. In male and female rats, fertility and reproductive performance were not affected by cephalexin oral doses up to 1.5 times the highest recommended human dose based upon body surface area.

2.3 Dosage Adjustments in Adult and Pediatric Patients At Least 15 Years of Age With Renal Impairment (2.3 Dosage Adjustments in Adult and Pediatric Patients at Least 15 Years of Age With Renal Impairment)

Administer the following dosing regimens for cephalexin capsules to patients with impaired renal function [see Warnings and Precautions (5.4) and Use in Specific Populations (8.6) ].

Table 1. Recommended Dose Regimen for Patients with Renal Impairment
Renal function Dose regimen recommendation

Creatinine clearance ≥ 60 mL/min

No dose adjustment

Creatinine clearance 30 to 59 mL/min

No dose adjustment; maximum daily dose should not exceed 1 g

Creatinine clearance 15 to 29 mL/min

250 mg, every 8 hours or every 12 hours

Creatinine clearance 5 to 14 mL/min not yet on dialysis*

250 mg, every 24 hours

Creatinine clearance 1 to 4 mL/min not yet on dialysis*

250 mg, every 48 hours or every 60 hours


Advanced Ingredient Data


Raw Label Data

All Sections (JSON)