These Highlights Do Not Include All The Information Needed To Use Risperidone Tablets Safely And Effectively. See Full Prescribing Information For Risperidone Tablets.

These Highlights Do Not Include All The Information Needed To Use Risperidone Tablets Safely And Effectively. See Full Prescribing Information For Risperidone Tablets.
SPL v20
SPL
SPL Set ID be388943-fe0c-4c82-ac8e-3df9f77b2891
Route
ORAL
Published
Effective Date 2025-03-11
Document Type 34391-3 HUMAN PRESCRIPTION DRUG LABEL

Drug Facts

Composition & Product

Active Ingredients
Risperidone (1 mg)
Inactive Ingredients
Silicon Dioxide Hypromellose, Unspecified Magnesium Stearate Microcrystalline Cellulose Sodium Lauryl Sulfate Sodium Starch Glycolate Type A Potato Lactose Monohydrate Polyethylene Glycol, Unspecified

Identifiers & Packaging

Pill Appearance
Imprint: RI3 Shape: round Color: white Size: 8 mm Score: 1
Marketing Status
ANDA Active Since 2014-03-28

Description

Warnings and Precautions ( 5.6 )                                                     1/2025

Indications and Usage

Risperidone tablets are an atypical antipsychotic indicated for: Treatment of schizophrenia ( 1.1 ) As monotherapy or adjunctive therapy with lithium or valproate, for the treatment of acute manic or mixed episodes associated with Bipolar I Disorder ( 1.2 ) Treatment of irritability associated with autistic disorder ( 1.3 )

Dosage and Administration

Table 1. Recommended Daily Dosage by Indication Initial Dose Titration (Increments) Target Dose Effective Dose Range Schizophrenia: adults ( 2.1 ) 2 mg 1 to 2 mg 4 to 8 mg 4 to 16 mg Schizophrenia: adolescents ( 2.2 ) 0.5 mg 0.5 to 1 mg 3 mg 1 to 6 mg Bipolar mania: adults ( 2.2 ) 2 to 3 mg 1 mg 1 to 6 mg 1 to 6 mg Bipolar mania: children and adolescents ( 2.2 ) 0.5 mg 0.5 to 1 mg 1 to 2.5 mg 1 to 6 mg Irritability in autistic disorder ( 2.3 ) 0.25 mg Can increase to 0.5 mg by Day 4: (body weight less than 20 kg)    0.5 mg Can increase to  1 mg by Day 4:  (body weight greater than or equal to 20 kg) After Day 4,  at intervals of > 2 weeks: 0.25 mg (body weight less than 20 kg)    0.5 mg  (body weight greater than or equal to 20 kg) 0.5 mg: (body weight less than 20 kg)    1 mg: (body weight greater than or equal to 20 kg) 0.5 to 3 mg Severe Renal and Hepatic Impairment in Adults: use a lower starting dose of 0.5 mg twice daily. May increase to dosages above 1.5 mg twice daily at intervals of one week or longer.

Warnings and Precautions

Cerebrovascular events, including stroke, in elderly patients with dementia-related psychosis: Risperidone tablets are not approved for use in patients with dementia-related psychosis ( 5.2 ) Neuroleptic Malignant Syndrome: Manage with immediate discontinuation of risperidone tablets and close monitoring. ( 5.3 ) Tardive dyskinesia: Consider discontinuing risperidone tablets if clinically indicated. ( 5.4 ) Metabolic Changes: Atypical antipsychotic drugs have been associated with metabolic changes that may increase cardiovascular / cerebrovascular risk. These metabolic changes include hyperglycemia, dyslipidemia, and weight gain. ( 5.5 ) Hyperglycemia and Diabetes Mellitus: Monitor patients for symptoms of hyperglycemia including polydipsia, polyuria, polyphagia and weakness. Monitor glucose regularly in patients with diabetes or at risk for diabetes. ( 5.5 ) Dyslipidemia: Undesirable alterations have been observed in patients treated with atypical antipsychotics. ( 5.5 ) Weight Gain : Significant weight gain has been reported. Monitor weight gain. ( 5.5 ) Hyperprolactinemia: Prolactin elevations occur and persist during chronic administration. ( 5.6 ) Orthostatic hypotension: For patients at risk, consider a lower starting dose and slower titration. ( 5.7 ) Leukopenia, Neutropenia, and Agranulocytosis: Perform complete blood counts in patients with a history of clinically significant low white blood cell count (WBC). Consider discontinuing risperidone tablets if a clinically significant decline in WBC occurs in the absence of other causative factors. ( 5.9 ) Potential for cognitive and motor impairment: Use caution when operating machinery. ( 5.10 ) Seizures: Use cautiously in patients with a history of seizures or with conditions that lower the seizure threshold. ( 5.11 )

Contraindications

Risperidone tablets are contraindicated in patients with a known hypersensitivity to either risperidone or paliperidone, or to any of the excipients in the risperidone tablets formulation. Hypersensitivity reactions, including anaphylactic reactions and angioedema, have been reported in patients treated with risperidone and in patients treated with paliperidone. Paliperidone is a metabolite of risperidone.

Adverse Reactions

Cerebrovascular adverse reactions (e.g., stroke, transient ischemic attack), including fatalities, were reported in patients (mean age 85 years; range 73-97) in trials of risperidone in elderly patients with dementia-related psychosis. In placebo-controlled trials, there was a significantly higher incidence of cerebrovascular adverse events in patients treated with risperidone compared to patients treated with placebo. Risperidone tablets are not approved for the treatment of patients with dementia-related psychosis. [see Boxed Warning  and Warnings and Precautions (5.1) ] .

Drug Interactions

When risperidone tablets are co-administered with enzyme inducers (e.g., carbamazepine), the dose of risperidone tablets should be increased up to double the patient’s usual dose. It may be necessary to decrease the risperidone tablets dose when enzyme inducers such as carbamazepine are discontinued [see Drug Interactions (7.1) ] . Similar effect may be expected with co-administration of risperidone tablets with other enzyme inducers (e.g., phenytoin, rifampin, and phenobarbital). When fluoxetine or paroxetine is co-administered with risperidone tablets, the dose of risperidone tablets should be reduced. The risperidone tablets dose should not exceed 8 mg per day in adults when co-administered with these drugs. When initiating therapy, risperidone tablets should be titrated slowly. It may be necessary to increase the risperidone tablets dose when enzyme inhibitors such as fluoxetine or paroxetine are discontinued [see Drug Interactions (7.1) ] .

Storage and Handling

Risperidone tablets should be stored at 20°C to 25°C (68°F to 77°F); excursions permitted between 15°C to 30°C (59°F to 86°F) [see USP controlled room temperature]. Protect from light and moisture. Keep out of reach of children.

How Supplied

Risperidone Tablets, USP 1 mg are white to off white, circular, biconvex, film-coated tablets, engraved with 'RI3' on one side and plain on other and are supplied as follows: Bottles of 7 Tablets NDC 43063-908-07 Bottles of 30 Tablets NDC 43063-908-30 Bottles of 60 Tablets NDC 43063-908-60


Medication Information

Warnings and Precautions

Cerebrovascular events, including stroke, in elderly patients with dementia-related psychosis: Risperidone tablets are not approved for use in patients with dementia-related psychosis ( 5.2 ) Neuroleptic Malignant Syndrome: Manage with immediate discontinuation of risperidone tablets and close monitoring. ( 5.3 ) Tardive dyskinesia: Consider discontinuing risperidone tablets if clinically indicated. ( 5.4 ) Metabolic Changes: Atypical antipsychotic drugs have been associated with metabolic changes that may increase cardiovascular / cerebrovascular risk. These metabolic changes include hyperglycemia, dyslipidemia, and weight gain. ( 5.5 ) Hyperglycemia and Diabetes Mellitus: Monitor patients for symptoms of hyperglycemia including polydipsia, polyuria, polyphagia and weakness. Monitor glucose regularly in patients with diabetes or at risk for diabetes. ( 5.5 ) Dyslipidemia: Undesirable alterations have been observed in patients treated with atypical antipsychotics. ( 5.5 ) Weight Gain : Significant weight gain has been reported. Monitor weight gain. ( 5.5 ) Hyperprolactinemia: Prolactin elevations occur and persist during chronic administration. ( 5.6 ) Orthostatic hypotension: For patients at risk, consider a lower starting dose and slower titration. ( 5.7 ) Leukopenia, Neutropenia, and Agranulocytosis: Perform complete blood counts in patients with a history of clinically significant low white blood cell count (WBC). Consider discontinuing risperidone tablets if a clinically significant decline in WBC occurs in the absence of other causative factors. ( 5.9 ) Potential for cognitive and motor impairment: Use caution when operating machinery. ( 5.10 ) Seizures: Use cautiously in patients with a history of seizures or with conditions that lower the seizure threshold. ( 5.11 )

Indications and Usage

Risperidone tablets are an atypical antipsychotic indicated for: Treatment of schizophrenia ( 1.1 ) As monotherapy or adjunctive therapy with lithium or valproate, for the treatment of acute manic or mixed episodes associated with Bipolar I Disorder ( 1.2 ) Treatment of irritability associated with autistic disorder ( 1.3 )

Dosage and Administration

Table 1. Recommended Daily Dosage by Indication Initial Dose Titration (Increments) Target Dose Effective Dose Range Schizophrenia: adults ( 2.1 ) 2 mg 1 to 2 mg 4 to 8 mg 4 to 16 mg Schizophrenia: adolescents ( 2.2 ) 0.5 mg 0.5 to 1 mg 3 mg 1 to 6 mg Bipolar mania: adults ( 2.2 ) 2 to 3 mg 1 mg 1 to 6 mg 1 to 6 mg Bipolar mania: children and adolescents ( 2.2 ) 0.5 mg 0.5 to 1 mg 1 to 2.5 mg 1 to 6 mg Irritability in autistic disorder ( 2.3 ) 0.25 mg Can increase to 0.5 mg by Day 4: (body weight less than 20 kg)    0.5 mg Can increase to  1 mg by Day 4:  (body weight greater than or equal to 20 kg) After Day 4,  at intervals of > 2 weeks: 0.25 mg (body weight less than 20 kg)    0.5 mg  (body weight greater than or equal to 20 kg) 0.5 mg: (body weight less than 20 kg)    1 mg: (body weight greater than or equal to 20 kg) 0.5 to 3 mg Severe Renal and Hepatic Impairment in Adults: use a lower starting dose of 0.5 mg twice daily. May increase to dosages above 1.5 mg twice daily at intervals of one week or longer.

Contraindications

Risperidone tablets are contraindicated in patients with a known hypersensitivity to either risperidone or paliperidone, or to any of the excipients in the risperidone tablets formulation. Hypersensitivity reactions, including anaphylactic reactions and angioedema, have been reported in patients treated with risperidone and in patients treated with paliperidone. Paliperidone is a metabolite of risperidone.

Adverse Reactions

Cerebrovascular adverse reactions (e.g., stroke, transient ischemic attack), including fatalities, were reported in patients (mean age 85 years; range 73-97) in trials of risperidone in elderly patients with dementia-related psychosis. In placebo-controlled trials, there was a significantly higher incidence of cerebrovascular adverse events in patients treated with risperidone compared to patients treated with placebo. Risperidone tablets are not approved for the treatment of patients with dementia-related psychosis. [see Boxed Warning  and Warnings and Precautions (5.1) ] .

Drug Interactions

When risperidone tablets are co-administered with enzyme inducers (e.g., carbamazepine), the dose of risperidone tablets should be increased up to double the patient’s usual dose. It may be necessary to decrease the risperidone tablets dose when enzyme inducers such as carbamazepine are discontinued [see Drug Interactions (7.1) ] . Similar effect may be expected with co-administration of risperidone tablets with other enzyme inducers (e.g., phenytoin, rifampin, and phenobarbital). When fluoxetine or paroxetine is co-administered with risperidone tablets, the dose of risperidone tablets should be reduced. The risperidone tablets dose should not exceed 8 mg per day in adults when co-administered with these drugs. When initiating therapy, risperidone tablets should be titrated slowly. It may be necessary to increase the risperidone tablets dose when enzyme inhibitors such as fluoxetine or paroxetine are discontinued [see Drug Interactions (7.1) ] .

Storage and Handling

Risperidone tablets should be stored at 20°C to 25°C (68°F to 77°F); excursions permitted between 15°C to 30°C (59°F to 86°F) [see USP controlled room temperature]. Protect from light and moisture. Keep out of reach of children.

How Supplied

Risperidone Tablets, USP 1 mg are white to off white, circular, biconvex, film-coated tablets, engraved with 'RI3' on one side and plain on other and are supplied as follows: Bottles of 7 Tablets NDC 43063-908-07 Bottles of 30 Tablets NDC 43063-908-30 Bottles of 60 Tablets NDC 43063-908-60

Description

Warnings and Precautions ( 5.6 )                                                     1/2025

Section 43683-2

Warnings and Precautions ( 5.6)                                                     1/2025



5.8 Falls

Somnolence, postural hypotension, motor and sensory instability have been reported with the use of antipsychotics, including risperidone tablets, which may lead to falls and, consequently, fractures or other fall-related injuries. For patients, particularly the elderly, with diseases, conditions, or medications that could exacerbate these effects, assess the risk of falls when initiating antipsychotic treatment and recurrently for patients on long-term antipsychotic therapy.

9.2 Abuse

Risperidone tablets have not been systematically studied in animals or humans for its potential for abuse. While the clinical trials did not reveal any tendency for any drug-seeking behavior, these observations were not systematic and it is not possible to predict on the basis of this limited experience the extent to which a CNS-active drug will be misused, diverted, and/or abused once marketed. Consequently, patients should be evaluated carefully for a history of drug abuse, and such patients should be observed closely for signs of risperidone tablets misuse or abuse (e.g., development of tolerance, increases in dose, drug-seeking behavior).

5.11 Seizures

During premarketing testing in adult patients with schizophrenia, seizures occurred in 0.3% (9/2607) of risperidone tablets-treated patients, two in association with hyponatremia. Risperidone tablets should be used cautiously in patients with a history of seizures.

5.13 Priapism

Priapism has been reported during postmarketing surveillance. Severe priapism may require surgical intervention.

8.1 Pregnancy

Pregnancy Exposure Registry

There is a pregnancy exposure registry that monitors pregnancy outcomes in women exposed to atypical antipsychotics, including risperidone, during pregnancy. Healthcare providers are encouraged to register patients by contacting the National Pregnancy Registry for Atypical Antipsychotics at 1-866-961-2388 or online at http://womensmentalhealth.org/clinical-and-research-programs/pregnancyregistry/.



Risk Summary

Neonates exposed to antipsychotic drugs during the third trimester of pregnancy are at risk for extrapyramidal and/or withdrawal symptoms following delivery (see Clinical Considerations). Overall, available data from published epidemiologic studies of pregnant women exposed to risperidone have not established a drug-associated risk of major birth defects, miscarriage, or adverse maternal or fetal outcomes (see Data).There are risks to the mother associated with untreated schizophrenia or bipolar I disorder and with exposure to antipsychotics, including risperidone, during pregnancy (see Clinical Considerations).



Oral administration of risperidone to pregnant mice caused cleft palate at doses 3 to 4 times the maximum recommended human dose (MRHD) with maternal toxicity observed at 4-times MRHD based on mg/m 2body surface area. Risperidone was not teratogenic in rats or rabbits at doses up to 6-times the MRHD based on mg/m 2body surface area. Increased stillbirths and decreased birth weight occurred after oral risperidone administration to pregnant rats at 1.5-times the MRHD based on mg/m 2body surface area. Learning was impaired in offspring of rats when the dams were dosed at 0.6-times the MRHD and offspring mortality increased at doses 0.1 to 3 times the MRHD based on mg/m 2body surface area.



The estimated background risk of major birth defects and miscarriage for the indicated population is unknown. All pregnancies have a background risk of birth defect, loss, or other adverse outcomes. In the U.S. general population, the estimated background risk of major birth defects and miscarriage in clinically recognized pregnancies is 2-4% and 15-20%, respectively.



Clinical Considerations

Disease-associated maternal and/or embryo/fetal risk

There is a risk to the mother from untreated schizophrenia or bipolar I disorder, including increased risk of relapse, hospitalization, and suicide. Schizophrenia and bipolar I disorder are associated with increased adverse perinatal outcomes, including preterm birth. It is not known if this is a direct result of the illness or other comorbid factors.



Fetal/Neonatal Adverse Reactions

Extrapyramidal and/or withdrawal symptoms, including agitation, hypertonia, hypotonia, tremor, somnolence, respiratory distress, and feeding disorder have been reported in neonates who were exposed to antipsychotic drugs, including risperidone, during the third trimester of pregnancy. These symptoms have varied in severity. Monitor neonates for extrapyramidal and/or withdrawal symptoms and manage symptoms appropriately. Some neonates recovered within hours or days without specific treatment; others required prolonged hospitalization.



Data

Human Data

Published data from observational studies, birth registries, and case reports on the use of atypical antipsychotics during pregnancy do not report a clear association with antipsychotics and major birth defects. A prospective observational study including 6 women treated with risperidone demonstrated placental passage of risperidone. A retrospective cohort study from a Medicaid database of 9258 women exposed to antipsychotics during pregnancy did not indicate an overall increased risk for major birth defects. There was a small increase in the risk of major birth defects (RR=1.26, 95% CI 1.02-1.56) and of cardiac malformations (RR=1.26, 95% CI 0.88-1.81) in a subgroup of 1566 women exposed to risperidone during the first trimester of pregnancy; however, there is no mechanism of action to explain the difference in malformation rates.



Animal Data

Oral administration of risperidone to pregnant mice during organogenesis caused cleft palate at 10 mg/kg/day which is 3 times the MRHD of 16 mg/day based on mg/m 2body surface area: maternal toxicity occurred at 4 times the MRHD. Risperidone was not teratogenic when administered orally to rats at 0.6 to 10 mg/kg/day and rabbits at 0.3 to 5 mg/kg/day, which are up to 6 times the MRHD of 16 mg/day risperidone based on mg/m 2body surface area. Learning was impaired in offspring of rats dosed orally throughout pregnancy at 1 mg/kg/day which is 0.6 times the MRHD and neuronal cell death increased in fetal brains of offspring of rats dosed during pregnancy at 1 and 2 mg/kg/day which are 0.6 and 1.2 times the MRHD based on mg/m 2body surface area; postnatal development and growth of the offspring were also delayed.



Rat offspring mortality increased during the first 4 days of lactation when pregnant rats were dosed throughout gestation at 0.16 to 5 mg/kg/day which are 0.1 to 3 times the MRHD of 16 mg/day based on mg/m 2body surface area. It is not known whether these deaths were due to a direct effect on the fetuses or pups or to effects on the dams; a no-effect dose could not be determined. The rate of stillbirths was increased at 2.5 mg/kg or 1.5 times the MRHD based on mg/m 2body surface area.



In a rat cross-fostering study the number of live offspring was decreased, the number of stillbirths increased, and the birth weight was decreased in offspring of drug-treated pregnant rats. In addition, the number of deaths increased by Day 1 among offspring of drug-treated pregnant rats, regardless of whether or not the offspring were cross-fostered. Risperidone also appeared to impair maternal behavior in that offspring body weight gain and survival (from Day 1 to 4 of lactation) were reduced in offspring born to control but reared by drug-treated dams. All of these effects occurred at 5 mg/kg which is 3 times the MRHD based on mg/m 2and the only dose tested in the study.

8.2 Lactation

Risk Summary

Limited data from published literature reports the presence of risperidone and its metabolite, 9-hydroxyrisperidone, in human breast milk at relative infant dose ranging between 2.3% and 4.7% of the maternal weight-adjusted dosage. There are reports of sedation, failure to thrive, jitteriness, and extrapyramidal symptoms (tremors and abnormal muscle movements) in breastfed infants exposed to risperidone (see Clinical Considerations).There is no information on the effects of risperidone on milk production. The developmental and health benefits of breastfeeding should be considered along with the mother’s clinical need for risperidone  and any potential adverse effects on the breastfed child from risperidone or from the mother’s underlying condition.



Clinical Considerations

Infants exposed to risperidone through breastmilk should be monitored for excess sedation, failure to thrive, jitteriness, and extrapyramidal symptoms (tremors and abnormal muscle movements).

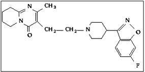
11 Description

Risperidone tablets, USP contain risperidone USP, an atypical antipsychotic belonging to the chemical class of benzisoxazole derivatives. The chemical designation is 3-[2-[4-(6-fluoro-1,2- benzisoxazol-3-yl)-1-piperidinyl]ethyl]-6,7,8,9-tetrahydro-2-methyl-4H-pyrido[1,2-a]pyrimidin-4-one. Its molecular formula is C 23H 27FN 4O 2and its molecular weight is 410.49. The structural formula is:



Risperidone USP is a white to slightly beige powder. It is practically insoluble in water, freely soluble in methylene chloride, and soluble in methanol and 0.1 NHCl.

Risperidone tablets, USP are for oral administration and available in 0.25 mg (orange), 0.5 mg (orange), 1 mg (white), 2 mg (yellow), 3 mg (orange), and 4 mg (brown) strengths. Risperidone tablets contain the following inactive ingredients: colloidal silicon dioxide, hypromellose, lactose monohydrate, magnesium stearate, microcrystalline cellulose, propylene glycol (except 1 mg), sodium lauryl sulphate, sodium starch glycolate and polyethylene glycol (1 mg). Tablets of 0.25 mg, 0.5 mg, 2 mg, 3 mg, and 4 mg also contain talc and titanium dioxide. 0.25 mg, 0.5 mg, and 3 mg tablets contain FD&C Yellow # 6 aluminum lake, the 2 mg tablets contain yellow iron oxide; the 4 mg tablets contain iron oxide red.

5.12 Dysphagia

Esophageal dysmotility and aspiration have been associated with antipsychotic drug use. Aspiration pneumonia is a common cause of morbidity and mortality in patients with advanced Alzheimer’s dementia. Risperidone tablets and other antipsychotic drugs should be used cautiously in patients at risk for aspiration pneumonia. [see  Boxed Warningand Warnings and Precautions (5.1)].

9.3 Dependence

Risperidone tablets have not been systematically studied in animals or humans for its potential for tolerance or physical dependence.

1.1 Schizophrenia

Risperidone tablets are indicated for the treatment of schizophrenia. Efficacy was established in 4 short-term trials in adults, 2 short-term trials in adolescents (ages 13 to 17 years), and one long-term maintenance trial in adults [see Clinical Studies (14.1)] .

1.2 Bipolar Mania

Monotherapy

Risperidone tablets are indicated for the treatment of acute manic or mixed episodes associated with Bipolar I Disorder. Efficacy was established in 2 short-term trials in adults and one short-term trial in children and adolescents (ages 10 to 17 years) [see Clinical Studies (14.2)]

Adjunctive Therapy

Risperidone tablets adjunctive therapy with lithium or valproate is indicated for the treatment of acute manic or mixed episodes associated with Bipolar I Disorder. Efficacy was established in one short-term trial in adults [see Clinical Studies (14.3)] .

16.1 How Supplied

Risperidone Tablets, USP 1 mgare white to off white, circular, biconvex, film-coated tablets, engraved with 'RI3' on one side and plain on other and are supplied as follows:

Bottles of 7 Tablets NDC 43063-908-07

Bottles of 30 Tablets NDC 43063-908-30

Bottles of 60 Tablets NDC 43063-908-60

2.1 Schizophrenia

Adults

Usual Initial Dose

Risperidone tablets can be administered once or twice daily. Initial dosing is 2 mg per day. May increase the dose at intervals of 24 hours or greater, in increments of 1 to 2 mg per day, as tolerated, to a recommended dose of 4 to 8 mg per day. In some patients, slower titration may be appropriate. Efficacy has been demonstrated in a range of 4 mg to 16 mg per day .However, doses above 6 mg per day for twice daily dosing were not demonstrated to be more efficacious than lower doses, were associated with more extrapyramidal symptoms and other adverse effects, and are generally not recommended. In a single study supporting once-daily dosing, the efficacy results were generally stronger for 8 mg than for 4 mg. The safety of doses above 16 mg per day has not been evaluated in clinical trials [see Clinical Studies (14.1)].

Adolescents

The initial dose is 0.5 mg once daily, administered as a single-daily dose in the morning or evening. The dose may be adjusted at intervals of 24 hours or greater, in increments of 0.5 mg or 1 mg per day, as tolerated, to a recommended dose of 3 mg per day. Although efficacy has been demonstrated in studies of adolescent patients with schizophrenia at doses between 1 mg and 6 mg per day, no additional benefit was observed above 3 mg per day, and higher doses were associated with more adverse events. Doses higher than 6 mg per day have not been studied.

Patients experiencing persistent somnolence may benefit from administering half the daily dose twice daily.

Maintenance Therapy

While it is unknown how long a patient with schizophrenia should remain on risperidone tablets, the effectiveness of risperidone tablets 2 mg per day to 8 mg per day at delaying relapse was demonstrated in a controlled trial in adult patients who had been clinically stable for at least 4 weeks and were then followed for a period of 1 to 2 years [see Clinical Studies (14.1)] . Both adult and adolescent patients who respond acutely should generally be maintained on their effective dose beyond the acute episode. Patients should be periodically reassessed to determine the need for maintenance treatment.

Reinitiation of Treatment in Patients Previously Discontinued

Although there are no data to specifically address reinitiation of treatment, it is recommended that after an interval off risperidone tablets, the initial titration schedule should be followed.

Switching From Other Antipsychotics

There are no systematically collected data to specifically address switching schizophrenic patients from other antipsychotics to risperidone tablets, or treating patients with concomitant antipsychotics.

2.2 Bipolar Mania

Usual Dose

Adults

The inital dose range is 2 mg to 3 mg per day. The dose may be adjusted at intervals of 24 hours or greater, in increments of 1 mg per day. The effective dose range is 1 mg to 6 mg per day, as studied in the short-term, placebo-controlled trials. In these trials, short-term (3 week) anti-manic efficacy was demonstrated in a flexible dosage range of 1 mg to 6 mg per day [see Clinical Studies (14.2, 14.3)] . Risperidone tablets doses higher than 6 mg per day were not studied.

Pediatrics

The inital dose is 0.5 mg once daily, administered as a single-daily dose in the morning or evening. The dose may be adjusted at intervals of 24 hours or greater, in increments of 0.5 mg or 1 mg per day, as tolerated, to the recommended target dose of 1 mg to 2.5 mg per day. Although efficacy has been demonstrated in studies of pediatric patients with bipolar mania at doses between 0.5 mg and 6 mg per day, no additional benefit was observed above 2.5 mg per day, and higher doses were associated with more adverse events. Doses higher than 6 mg per day have not been studied.

Patients experiencing persistent somnolence may benefit from administering half the daily dose twice daily.

Maintenance Therapy

There is no body of evidence available from controlled trials to guide a clinician in the longer-term management of a patient who improves during treatment of an acute manic episode with risperidone tablets. While it is generally agreed that pharmacological treatment beyond an acute response in mania is desirable, both for maintenance of the initial response and for prevention of new manic episodes, there are no systematically obtained data to support the use of risperidone tablets in such longer-term treatment (i.e., beyond 3 weeks). The physician who elects to use risperidone tablets for extended periods should periodically re-evaluate the long-term risks and benefits of the drug for the individual patient.

8.4 Pediatric Use

Approved Pediatric Indications

Schizophrenia

The efficacy and safety of risperidone tablets in the treatment of schizophrenia were demonstrated in 417 adolescents, aged 13 to 17 years, in two short-term (6 and 8 weeks, respectively) double-blind controlled trials [see Indications and Usage (1.1), Adverse Reactions (6.1), and Clinical Studies (14.1)] . Additional safety and efficacy information was also assessed in one long-term (6-month) open-label extension study in 284 of these adolescent patients with schizophrenia.

Safety and effectiveness of risperidone tablets in children less than 13 years of age with schizophrenia have not been established.

Bipolar I Disorder

The efficacy and safety of risperidone tablets in the short-term treatment of acute manic or mixed episodes associated with Bipolar I Disorder in 169 children and adolescent patients, aged 10 to 17 years, were demonstrated in one double-blind, placebo-controlled, 3-week trial [see Indications and Usage (1.2), Adverse Reactions (6.2), and Clinical Studies (14.2)] .

Safety and effectiveness of risperidone tablets in children less than 10 years of age with bipolar disorder have not been established.

Autistic Disorder

The efficacy and safety of risperidone tablets in the treatment of irritability associated with autistic disorder were established in two 8-week, double-blind, placebo-controlled trials in 156 children and adolescent patients, aged 5 to 16 years [see Indications and Usage (1.3)Adverse Reactions (6.1)and Clinical Studies (14.4)] . Additional safety information was also assessed in a long-term study in patients with autistic disorder, or in short- and long-term studies in more than 1200 pediatric patients with psychiatric disorders other than autistic disorder, schizophrenia, or bipolar mania who were of similar age and weight, and who received similar dosages of risperidone tablets as patients treated for irritability associated with autistic disorder.

A third study was a 6-week, multicenter, randomized, double-blind, placebo-controlled, fixed-dose study to evaluate the efficacy and safety of a lower than recommended dose of risperidone in subjects 5 to 17 years of age with autistic disorder and associated irritability, and related behavioral symptoms. There were two weight-based, fixed doses of risperidone (high-dose and low-dose). The high dose was 1.25 mg per day for patients weighing 20 to < 45 kg, and it was 1.75 mg per day for patients weighing ≥ 45 kg.The low dose was 0.125 mg per day for patients weighing 20 to < 45 kg, and it was 0.175 mg per day for patients weighing ≥ 45 kg. The study demonstrated the efficacy of high-dose risperidone, but it did not demonstrate efficacy for low-dose risperidone.

Adverse Reactions in Pediatric Patients

Tardive Dyskinesia

In clinical trials in 1885 children and adolescents treated with risperidone tablets, 2 (0.1%) patients were reported to have tardive dyskinesia, which resolved on discontinuation of risperidone tablets treatment [see also Warnings and Precautions (5.4)] .

Weight Gain

Weight gain has been observed in children and adolescents during treatment with risperidone tablets. Clinical monitoring of weight is recommended during treatment.

Data derive from short-term placebo-controlled trials and longer-term uncontrolled studies in pediatric patients (ages 5 to 17 years) with schizophrenia, bipolar disorder, autistic disorder, or other psychiatric disorders. In the short-term trials (3 to 8 weeks), the mean weight gain for risperidone tablets-treated patients was 2 kg, compared to 0.6 kg for placebo-treated patients. In these trials, approximately 33% of the risperidone tablets group had weight gain ≥7%, compared to 7% in the placebo group. In longer-term, uncontrolled, open-label pediatric studies, the mean weight gain was 5.5 kg at Week 24 and 8 kg at Week 48 [see Warnings and Precautions (5.5)and Adverse Reactions (6.1)].

Somnolence

Somnolence was frequently observed in placebo-controlled clinical trials of pediatric patients with autistic disorder. Most cases were mild or moderate in severity. These events were most often of early onset with peak incidence occurring during the first two weeks of treatment, and transient with a median duration of 16 days. Somnolence was the most commonly observed adverse reaction in the clinical trial of bipolar disorder in children and adolescents, as well as in the schizophrenia trials in adolescents. As was seen in the autistic disorder trials, these adverse reactions were most often of early onset and transient in duration  [see  Adverse Reactions (6.1, 6.2)] . Patients experiencing persistent somnolence may benefit from a change in dosing regimen [see Dosage & Administration (2.1, 2.2, and 2.3)] .

Hyperprolactinemia

Risperidone tablets have been shown to elevate prolactin levels in children and adolescents as well as in adults [see Warnings and Precautions (5.6)] . In double-blind, placebo-controlled studies of up to 8 weeks duration in children and adolescents (aged 5 to 17 years) with autistic disorder or psychiatric disorders other than autistic disorder, schizophrenia, or bipolar mania, 49% of patients who received risperidone tablets had elevated prolactin levels compared to 2% of patients who received placebo. Similarly, in placebo-controlled trials in children and adolescents (aged 10 to 17 years) with bipolar disorder, or adolescents (aged 13 to 17 years) with schizophrenia, 82–87% of patients who received risperidone tablets had elevated levels of prolactin compared to 3–7% of patients on placebo. Increases were dose-dependent and generally greater in females than in males across indications.

In clinical trials in 1885 children and adolescents, galactorrhea was reported in 0.8% of risperidone tablets-treated patients and gynecomastia was reported in 2.3% of risperidone tablets-treated patients.

Growth and Sexual Maturation

The long-term effects of risperidone tablets on growth and sexual maturation have not been fully evaluated in children and adolescents.

Juvenile Animal Studies

Juvenile dogs were treated with oral risperidone from weeks 10 to 50 of age (equivalent to the period of childhood through adolescence in humans), at doses of 0.31, 1.25, or 5 mg/kg/day, which are 1.2, 3.4, and 13.5 times the MRHD of  6 mg/day for children, based on mg/m 2body surface area. Bone length and density were decreased with a no-effect dose of 0.31 mg/kg/day; this dose produced plasma AUC of risperidone plus its active metabolite paliperidone (9-hydroxy-risperidone) that were similar to those in children and adolescents receiving the MRHD of 6 mg/day. In addition, sexual maturation was delayed at all doses in both males and females. The above effects showed little or no reversibility in females after a 12 week drug-free recovery period.



Juvenile rats, treated with oral risperidone from days 12 to 50 of age (equivalent to the period of infancy through adolescence in humans) showed impaired learning and memory performance (reversible only in females), with a no-effect dose of 0.63 mg/kg/day which is 0.5 times the MRHD of 6 mg/day for children, based on mg/m 2body surface area. This dose produced plasma AUC of risperidone plus paliperidone about half the exposure observed in humans at the MRHD. No other consistent effects on neurobehavioral or reproductive development were seen up to the highest tested dose of 1.25 mg/kg/day which is 1 time the MRHD and produced plasma AUC of risperidone plus paliperidone that were about two thirds of those observed in humans at the MRHD of 6 mg/day for children.

8.5 Geriatric Use

Clinical studies of risperidone tablets in the treatment of schizophrenia did not include sufficient numbers of patients aged 65 and over to determine whether or not they respond differently than younger patients. Other reported clinical experience has not identified differences in responses between elderly and younger patients. In general, a lower starting dose is recommended for an elderly patient, reflecting a decreased pharmacokinetic clearance in the elderly, as well as a greater frequency of decreased hepatic, renal, or cardiac function, and of concomitant disease or other drug therapy [see Clinical Pharmacology (12.3)and Dosage & Administration (2.4, 2.5)] . While elderly patients exhibit a greater tendency to orthostatic hypotension, its risk in the elderly may be minimized by limiting the initial dose to 0.5 mg twice daily followed by careful titration [see Warnings and Precautions (5.7)] . Monitoring of orthostatic vital signs should be considered in patients for whom this is of concern.

This drug is substantially excreted by the kidneys, and the risk of toxic reactions to this drug may be greater in patients with impaired renal function. Because elderly patients are more likely to have decreased renal function, care should be taken in dose selection, and it may be useful to monitor renal function [see Dosage & Administration (2.4)] .

14.1 Schizophrenia

Adults

Short-Term Efficacy

The efficacy of risperidone tablets in the treatment of schizophrenia was established in four short-term (4- to 8-week) controlled trials of psychotic inpatients who met DSM-III-R criteria for schizophrenia.

Several instruments were used for assessing psychiatric signs and symptoms in these studies, among them the Brief Psychiatric Rating Scale (BPRS), a multi-item inventory of general psychopathology traditionally used to evaluate the effects of drug treatment in schizophrenia. The BPRS psychosis cluster (conceptual disorganization, hallucinatory behavior, suspiciousness, and unusual thought content) is considered a particularly useful subset for assessing actively psychotic schizophrenic patients. A second traditional assessment, the Clinical Global Impression (CGI), reflects the impression of a skilled observer, fully familiar with the manifestations of schizophrenia, about the overall clinical state of the patient. In addition, the Positive and Negative Syndrome Scale (PANSS) and the Scale for Assessing Negative Symptoms (SANS) were employed. 

The results of the trials follow:

  • In a 6-week, placebo-controlled trial (n=160) involving titration of risperidone tablets in doses up to 10 mg/day (twice-daily schedule), risperidone tablets were generally superior to placebo on the BPRS total score, on the BPRS psychosis cluster, and marginally superior to placebo on the SANS. 
  • In an 8-week, placebo-controlled trial (n=513) involving 4 fixed doses of risperidone tablets (2 mg/day, 6 mg/day, 10 mg/day, and 16 mg/day, on a twice-daily schedule), all 4 risperidone tablets groups were generally superior to placebo on the BPRS total score, BPRS psychosis cluster, and CGI severity score; the 3 highest risperidone tablets dose groups were generally superior to placebo on the PANSS negative subscale. The most consistently positive responses on all measures were seen for the 6 mg dose group, and there was no suggestion of increased benefit from larger doses. 
  • In an 8-week, dose comparison trial (n=1356) involving 5 fixed doses of risperidone tablets (1 mg/day, 4 mg/day, 8 mg/day, 12 mg/day, and 16 mg/day, on a twice-daily schedule), the four highest risperidone tablets dose groups were generally superior to the 1 mg risperidone tablets dose group on BPRS total score, BPRS psychosis cluster, and CGI severity score. None of the dose groups were superior to the 1 mg group on the PANSS negative subscale. The most consistently positive responses were seen for the 4 mg dose group. 
  • In a 4-week, placebo-controlled dose comparison trial (n=246) involving 2 fixed doses of risperidone tablets (4 and 8 mg/day on a once-daily schedule), both risperidone tablets dose groups were generally superior to placebo on several PANSS measures, including a response measure (>20% reduction in PANSS total score), PANSS total score, and the BPRS psychosis cluster (derived from PANSS). The results were generally stronger for the 8 mg than for the 4 mg dose group. 

Long-Term Efficacy

In a longer-term trial, 365 adult outpatients predominantly meeting DSM-IV criteria for schizophrenia and who had been clinically stable for at least 4 weeks on an antipsychotic medication were randomized to risperidone tablets (2-8 mg/day) or to an active comparator, for 1 to 2 years of observation for relapse. Patients receiving risperidone tablets experienced a significantly longer time to relapse over this time period compared to those receiving the active comparator. 

Pediatrics

The efficacy of risperidone tablets in the treatment of schizophrenia in adolescents aged 13–17 years was demonstrated in two short-term (6 and 8 weeks), double-blind controlled trials. All patients met DSM-IV diagnostic criteria for schizophrenia and were experiencing an acute episode at time of enrollment. In the first trial (study #1), patients were randomized into one of three treatment groups: Risperidone tablets 1-3 mg/day (n = 55, mean modal dose = 2.6 mg), risperidone tablets 4-6 mg/day (n = 51, mean modal dose = 5.3 mg), or placebo (n = 54). In the second trial (study #2), patients were randomized to either risperidone tablets 0.15-0.6 mg/day (n = 132, mean modal dose = 0.5 mg) or risperidone tablets 1.5–6 mg/day (n = 125, mean modal dose = 4 mg). In all cases, study medication was initiated at 0.5 mg/day (with the exception of the 0.15-0.6 mg/day group in study #2, where the initial dose was 0.05 mg/day) and titrated to the target dosage range by approximately Day 7. Subsequently, dosage was increased to the maximum tolerated dose within the target dose range by Day 14. The primary efficacy variable in all studies was the mean change from baseline in total PANSS score.

Results of the studies demonstrated efficacy of risperidone tablets in all dose groups from 1-6 mg/day compared to placebo, as measured by significant reduction of total PANSS score. The efficacy on the primary parameter in the 1-3 mg/day group was comparable to the 4-6 mg/day group in study #1, and similar to the efficacy demonstrated in the 1.5–6 mg/day group in study #2. In study #2, the efficacy in the 1.5-6 mg/day group was statistically significantly greater than that in the 0.15-0.6 mg/day group. Doses higher than 3 mg/day did not reveal any trend towards greater efficacy.

4 Contraindications

Risperidone tablets are contraindicated in patients with a known hypersensitivity to either risperidone or paliperidone, or to any of the excipients in the risperidone tablets formulation. Hypersensitivity reactions, including anaphylactic reactions and angioedema, have been reported in patients treated with risperidone and in patients treated with paliperidone. Paliperidone is a metabolite of risperidone.

6 Adverse Reactions

The following are discussed in more detail in other sections of the labeling:



•  Increased mortality in elderly patients with dementia-related psychosis [see  Boxed Warningand Warnings and Precautions ( 5.1)]



• Cerebrovascular adverse events, including stroke, in elderly patients with dementia-related psychosis [see Warnings and Precautions ( 5.2)]



• Neuroleptic malignant syndrome [see Warnings and Precautions ( 5.3)]



• Tardive dyskinesia [see Warnings and Precautions ( 5.4)]



• Metabolic Changes (Hyperglycemia and diabetes mellitus, Dyslipidemia, and Weight Gain) [see Warnings and Precautions ( 5.5)]



• Hyperprolactinemia [see Warnings and Precautions ( 5.6)]



• Orthostatic hypotension [see Warnings and Precautions ( 5.7)]



• Falls [see Warnings and Precautions ( 5.8)]



• Leukopenia, neutropenia, and agranulocytosis [see Warnings and Precautions ( 5.9)]



• Potential for cognitive and motor impairment [see Warnings and Precautions ( 5.10)]



• Seizures [see Warnings and Precautions ( 5.11)]



• Dysphagia [see Warnings and Precautions ( 5.12)]



• Priapism [see Warnings and Precautions ( 5.13)]



• Disruption of body temperature regulation [see Warnings and Precautions ( 5.14)]

The most common adverse reactions in clinical trials (> 5% and twice placebo) were parkinsonism, akathisia, dystonia, tremor, sedation, dizziness, anxiety, blurred vision, nausea, vomiting, upper abdominal pain, stomach discomfort, dyspepsia, diarrhea, salivary hypersecretion, constipation, dry mouth, increased appetite, increased weight, fatigue, rash, nasal congestion, upper respiratory tract infection, nasopharyngitis, and pharyngolaryngeal pain.

The most common adverse reactions that were associated with discontinuation from clinical trials (causing discontinuation in >1% of adults and/or >2% of pediatrics) were nausea, somnolence, sedation, vomiting, dizziness, and akathisia [see Adverse Reactions, Discontinuations Due to Adverse Reactions ( 6.1)] .

The data described in this section are derived from a clinical trial database consisting of 9803 adult and pediatric patients exposed to one or more doses of risperidone tablets for the treatment of schizophrenia, bipolar mania, autistic disorder, and other psychiatric disorders in pediatrics and elderly patients with dementia. Of these 9803 patients, 2687 were patients who received risperidone tablets while participating in double-blind, placebo-controlled trials. The conditions and duration of treatment with risperidone tablets varied greatly and included (in overlapping categories) double-blind, fixed- and flexible-dose, placebo- or active-controlled studies and open-label phases of studies, inpatients and outpatients, and short-term (up to 12 weeks) and longer-term (up to 3 years) exposures. Safety was assessed by collecting adverse events and performing physical examinations, vital signs, body weights, laboratory analyses, and ECGs.

7 Drug Interactions
  • Carbamazepine and other enzyme inducers decrease plasma concentrations of risperidone. Increase the risperidone tablets dose up to double the patient’s usual dose. Titrate slowly. ( 7.1)
  • Fluoxetine, paroxetine, and other CYP 2D6 enzyme inhibitors increase plasma concentrations of risperidone. Reduce the initial dose. Do not exceed a final dose of 8 mg per day of risperidone tablets. ( 7.1)
8.6 Renal Impairment

In patients with moderate to severe (Clcr 59 to 15 mL/min) renal disease, clearance of the sum of risperidone and its active metabolite decreased by 60%, compared to young healthy subjects. Risperidone tablets doses should be reduced in patients with renal disease [see Dosage and Administration (2.4)] .

10.1 Human Experience

Premarketing experience included eight reports of acute risperidone tablets overdosage with estimated doses ranging from 20 to 300 mg and no fatalities. In general, reported signs and symptoms were those resulting from an exaggeration of the drug's known pharmacological effects, i.e., drowsiness and sedation, tachycardia and hypotension, and extrapyramidal symptoms. One case, involving an estimated overdose of 240 mg, was associated with hyponatremia, hypokalemia, prolonged QT, and widened QRS. Another case, involving an estimated overdose of 36 mg, was associated with a seizure.

Postmarketing experience includes reports of acute risperidone tablets overdosage, with estimated doses of up to 360 mg. In general, the most frequently reported signs and symptoms are those resulting from an exaggeration of the drug's known pharmacological effects, i.e., drowsiness, sedation, tachycardia, hypotension, and extrapyramidal symptoms. Other adverse reactions reported since market introduction related to risperidone tablets overdose include prolonged QT interval and convulsions. Torsade de pointes has been reported in association with combined overdose of risperidone tablets and paroxetine.

12.2 Pharmacodynamics

Risperidone is a monoaminergic antagonist with high affinity (Ki of 0.12 to 7.3 nM) for the serotonin Type 2 (5HT 2), dopamine Type 2 (D 2), α 1and α 2adrenergic, and H 1histaminergic receptors. Risperidone showed low to moderate affinity (Ki of 47 to 253 nM) for the serotonin 5HT 1C, 5HT 1D, and 5HT 1Areceptors, weak affinity (Ki of 620 to 800 nM) for the dopamine D 1and haloperidol-sensitive sigma site, and no affinity (when tested at concentrations >10 -5 M) for cholinergic muscarinic or β 1and β 2adrenergic receptors.

12.3 Pharmacokinetics

Absorption

Risperidone is well absorbed. The absolute oral bioavailability of risperidone is 70% (CV=25%). The relative oral bioavailability of risperidone from a tablet is 94% (CV=10%) when compared to a solution.

Plasma concentrations of risperidone, its major metabolite, 9-hydroxyrisperidone, and risperidone plus 9-hydroxyrisperidone are dose proportional over the dosing range of 1 to 16 mg daily (0.5 to 8 mg twice daily). Following oral administration of tablet, mean peak plasma concentrations of risperidone occurred at about 1 hour. Peak concentrations of 9-hydroxyrisperidone occurred at about 3 hours in extensive metabolizers, and 17 hours in poor metabolizers. Steady-state concentrations of risperidone are reached in 1 day in extensive metabolizers and would be expected to reach steady-state in about 5 days in poor metabolizers. Steady-state concentrations of 9-hydroxyrisperidone are reached in 5-6 days (measured in extensive metabolizers). 

Food Effect

Food does not affect either the rate or extent of absorption of risperidone. Thus, risperidone tablets can be given with or without meals. 

Distribution

Risperidone is rapidly distributed. The volume of distribution is 1-2 L/kg. In plasma, risperidone is bound to albumin and α 1-acid glycoprotein. The plasma protein binding of risperidone is approximately 90%, and that of its major metabolite, 9-hydroxyrisperidone, is 77%. Neither risperidone nor 9-hydroxyrisperidone displaces each other from plasma binding sites. High therapeutic concentrations of sulfamethazine (100 mcg/mL), warfarin (10 mcg/mL), and carbamazepine (10 mcg/mL) caused only a slight increase in the free fraction of risperidone at 10 ng/mL and 9-hydroxyrisperidone at 50 ng/mL, changes of unknown clinical significance. 

Elimination

Metabolism

Risperidone is extensively metabolized in the liver. The main metabolic pathway is through hydroxylation of risperidone to 9-hydroxyrisperidone by the enzyme, CYP 2D6. A minor metabolic pathway is through N-dealkylation. The main metabolite, 9-hydroxyrisperidone, has similar pharmacological activity as risperidone. Consequently, the clinical effect of the drug results from the combined concentrations of risperidone plus 9-hydroxyrisperidone.

CYP 2D6, also called debrisoquin hydroxylase, is the enzyme responsible for metabolism of many neuroleptics, antidepressants, antiarrhythmics, and other drugs. CYP 2D6 is subject to genetic polymorphism (about 6%-8% of Caucasians, and a very low percentage of Asians, have little or no activity and are “poor metabolizers”) and to inhibition by a variety of substrates and some non-substrates, notably quinidine. Extensive CYP 2D6 metabolizers convert risperidone rapidly into 9-hydroxyrisperidone, whereas poor CYP 2D6 metabolizers convert it much more slowly. Although extensive metabolizers have lower risperidone and higher 9-hydroxyrisperidone concentrations than poor metabolizers, the pharmacokinetics of risperidone and 9-hydroxyrisperidone combined, after single and multiple doses, are similar in extensive and poor metabolizers.

Excretion

Risperidone and its metabolites are eliminated via the urine and, to a much lesser extent, via the feces. As illustrated by a mass balance study of a single 1 mg oral dose of 14C-risperidone administered as solution to three healthy male volunteers, total recovery of radioactivity at 1 week was 84%, including 70% in the urine and 14% in the feces. 

The apparent half-life of risperidone was 3 hours (CV=30%) in extensive metabolizers and 20 hours (CV=40%) in poor metabolizers. The apparent half-life of 9-hydroxyrisperidone was about 21 hours (CV=20%) in extensive metabolizers and 30 hours (CV=25%) in poor metabolizers. The pharmacokinetics of risperidone and 9-hydroxyrisperidone combined, after single and multiple doses, were similar in extensive and poor metabolizers, with an overall mean elimination half-life of about 20 hours. 

Drug Interaction Studies

Risperidone could be subject to two kinds of drug-drug interactions. First, inhibitors of CYP 2D6 interfere with conversion of risperidone to 9-hydroxyrisperidone [see Drug Interactions ( 7)]. This occurs with quinidine, giving essentially all recipients a risperidone pharmacokinetic profile typical of poor metabolizers. The therapeutic benefits and adverse effects of risperidone in patients receiving quinidine have not been evaluated, but observations in a modest number (n≅70) of poor metabolizers given risperidone tablets do not suggest important differences between poor and extensive metabolizers. Second, co-administration of known enzyme inducers (e.g., carbamazepine, phenytoin, rifampin, and phenobarbital) with risperidone tablets may cause a decrease in the combined plasma concentrations of risperidone and 9-hydroxyrisperidone [see Drug Interactions ( 7)]. It would also be possible for risperidone to interfere with metabolism of other drugs metabolized by CYP 2D6. Relatively weak binding of risperidone to the enzyme suggests this is unlikely [see Drug Interactions ( 7)].

In vitrostudies indicate that risperidone is a relatively weak inhibitor of CYP 2D6. Therefore, risperidone tablets are not expected to substantially inhibit the clearance of drugs that are metabolized by this enzymatic pathway. In drug interaction studies, risperidone tablets did not significantly affect the pharmacokinetics of donepezil and galantamine, which are metabolized by CYP 2D6.

In vitrostudies demonstrated that drugs metabolized by other CYP isozymes, including 1A1, 1A2, 2C9, 2C19, and 3A4, are only weak inhibitors of risperidone metabolism.



Specific Populations

Renal and Hepatic Impairment

[See Use in Specific Populations (8.6  and 8.7) ].

Elderly

In healthy elderly subjects, renal clearance of both risperidone and 9-hydroxyrisperidone was decreased, and elimination half-lives were prolonged compared to young healthy subjects. Dosing should be modified accordingly in the elderly patients [see Use in Specific Populations (8.5) ]

Pediatric

The pharmacokinetics of risperidone and 9-hydroxyrisperidone in children were similar to those in adults after correcting for the difference in body weight. 

Race and Gender Effects

No specific pharmacokinetic study was conducted to investigate race and gender effects, but a population pharmacokinetic analysis did not identify important differences in the disposition of risperidone due to gender (whether corrected for body weight or not) or race.

5.5 Metabolic Changes

Atypical antipsychotic drugs have been associated with metabolic changes that may increase cardiovascular/cerebrovascular risk. These metabolic changes include hyperglycemia, dyslipidemia, and body weight gain. While all of the drugs in the class have been shown to produce some metabolic changes, each drug has its own specific risk profile.



Hyperglycemia and Diabetes Mellitus

Hyperglycemia and diabetes mellitus, in some cases extreme and associated with ketoacidosis or hyperosmolar coma or death, have been reported in patients treated with atypical antipsychotics including risperidone tablets. Assessment of the relationship between atypical antipsychotic use and glucose abnormalities is complicated by the possibility of an increased background risk of diabetes mellitus in patients with schizophrenia and the increasing incidence of diabetes mellitus in the general population. Given these confounders, the relationship between atypical antipsychotic use and hyperglycemia-related adverse events is not completely understood. However, epidemiological studies suggest an increased risk of treatment-emergent hyperglycemia-related adverse events in patients treated with the atypical antipsychotics. Precise risk estimates for hyperglycemia-related adverse events in patients treated with atypical antipsychotics are not available.



Patients with an established diagnosis of diabetes mellitus who are started on atypical antipsychotics, including risperidone tablets, should be monitored regularly for worsening of glucose control. Patients with risk factors for diabetes mellitus (e.g., obesity, family history of diabetes) who are starting treatment with atypical antipsychotics, including risperidone tablets, should undergo fasting blood glucose testing at the beginning of treatment and periodically during treatment. Any patient treated with atypical antipsychotics, including risperidone tablets, should be monitored for symptoms of hyperglycemia including polydipsia, polyuria, polyphagia, and weakness. Patients who develop symptoms of hyperglycemia during treatment with atypical antipsychotics, including risperidone tablets, should undergo fasting blood glucose testing. In some cases, hyperglycemia has resolved when the atypical antipsychotic, including risperidone tablets, was discontinued; however, some patients required continuation of anti-diabetic treatment despite discontinuation of risperidone tablets.



Pooled data from three double-blind, placebo-controlled schizophrenia studies and four double-blind, placebo-controlled bipolar monotherapy studies are presented in Table 2.

Table 2.    Change in Random Glucose from Seven Placebo-Controlled, 3- to 8-Week, Fixed- or Flexible-Dose Studies in Adult Subjects with Schizophrenia or Bipolar Mania
 

Risperidone Tablets

 

Placebo

1–8 mg/day

>8–16 mg/day

 

Mean change from baseline (mg/dL)

 

 

Serum Glucose

n=555

- 1.4

n=748

 

0.8

n=164

 

0.6

 

Proportion of patients with shifts

Serum Glucose

(<140 mg/dL to ≥200 mg/dL)

 

0.6%

(3/525)

 

0.4%

(3/702)

 

0%

(0/158)

In longer-term, controlled and uncontrolled studies, risperidone tablets were associated with a mean change in glucose of +2.8 mg/dL at Week 24 (n=151) and +4.1 mg/dL at Week 48 (n=50).



Data from the placebo-controlled 3- to 6-week study in children and adolescents with schizophrenia (13–17 years of age), bipolar mania (10–17 years of age), or autistic disorder (5 to 17 years of age) are presented in Table 3. 

Table 3.  Change in Fasting Glucose from Three Placebo-Controlled, 3- to 6-Week, Fixed-Dose   Studies in Children and Adolescents with Schizophrenia (13–17 years of age), Bipolar Mania (10–17 years of age), or Autistic Disorder (5 to 17 years of age)
 

Risperidone Tablets

 

Placebo

0.5-6 mg/day

 

Mean change from baseline (mg/dL)

 

 

Serum Glucose

n=76

 

-1.3

n=135

 

2.6

 

Proportion of patients with shifts

Serum Glucose

(<100 mg/dL to ≥126 mg/dL)

 

0%

(0/64)

 

0.8%

(1/120)



In longer-term, uncontrolled, open-label extension pediatric studies, risperidone tablets were associated with a mean change in fasting glucose of +5.2 mg/dL at Week 24 (n=119).



Dyslipidemia

Undesirable alterations in lipids have been observed in patients treated with atypical antipsychotics.



Pooled data from 7 placebo-controlled, 3- to 8- week, fixed- or flexible-dose studies in adult subjects with schizophrenia or bipolar mania are presented in Table 4.

Table 4. Change in Random Lipids from Seven Placebo-Controlled, 3- to 8-Week, Fixed- or Flexible -Dose Studies in Adult Subjects with Schizophrenia or Bipolar Mania
 

Risperidone Tablets

 

Placebo

1–8 mg/day

>8–16 mg/day

 

Mean change from baseline (mg/dL)

Cholesterol

n=559

n=742

n=156

Change from baseline

0.6

6.9

1.8

Triglycerides

n=183

n=307

n=123

Change from baseline

-17.4

-4.9

-8.3

 

 

Proportion of patients with shifts

Cholesterol

(<200 mg/dL to ≥240 mg/dL)

 

2.7%

(10/368)

 

4.3%

(22/516)

 

6.3%

(6/96)

Triglycerides

1.1%

2.7%

2.5%

(<500 mg/dL to ≥500 mg/dL)

(2/180)

(8/301)

(3/121)

In longer-term, controlled and uncontrolled studies, risperidone tablets were associated with a mean change in (a) non-fasting cholesterol of +4.4 mg/dL at Week 24 (n=231) and +5.5 mg/dL at Week 48 (n=86); and (b) non-fasting triglycerides of +19.9 mg/dL at Week 24 (n=52).



Pooled data from 3 placebo-controlled, 3- to 6-week, fixed-dose studies in children and adolescents with schizophrenia (13–17 years of age), bipolar mania (10–17 years of age), or autistic disorder (5–17 years of age) are presented in Table 5.

Table 5.    Change in Fasting Lipids from Three Placebo-Controlled, 3- to 6-Week, Fixed-Dose Studies in Children and Adolescents with Schizophrenia (13–17 Years of Age), Bipolar Mania (10–17 Years of Age), or Autistic Disorder (5 to 17 Years of Age)
 

Risperidone Tablets

 

Placebo

0.5-6 mg/day

 

Mean change from baseline (mg/dL)

Cholesterol

n=74

n=133

Change from baseline

0.3

 

-0.3

 

LDL

n=22

n=22

Change from baseline

3.7

 

0.5

HDL

n=22

n=22

Change from baseline

1.6

 

-1.9

Triglycerides

n=77

n=138

Change from baseline

-9.0

-2.6

 

Proportion of patients with shifts

Cholesterol

2.4%

3.8%

(<170 mg/dL to ≥200 mg/dL)

(1/42)

(3/80)

LDL

0%

0%

(<110 mg/dL to ≥130 mg/dL)

(0/16)

(0/16)

HDL

0%

10%

(≥40 mg/dL to <40 mg/dL)

(0/19)

(2/20)

Triglycerides

1.5%

7.1%

(<150 mg/dL to ≥200 mg/dL)

(1/65)

(8/113)

In longer-term, uncontrolled, open-label extension pediatric studies, risperidone tablets were associated with a mean change in (a) fasting cholesterol of +2.1 mg/dL at Week 24 (n=114); (b) fasting LDL of -0.2 mg/dL at Week 24 (n=103); (c) fasting HDL of +0.4 mg/dL at Week 24 (n=103); and (d) fasting triglycerides of +6.8 mg/dL at Week 24 (n=120).



Weight Gain

Weight gain has been observed with atypical antipsychotic use. Clinical monitoring of weight is recommended.



Data on mean changes in body weight and the proportion of subjects meeting a weight gain criterion of 7% or greater of body weight from 7 placebo-controlled, 3- to 8- week, fixed- or flexible-dose studies in adult subjects with schizophrenia or bipolar mania are presented in Table 6.

Table 6. Mean Change in Body Weight (kg) and the Proportion of Subjects with =7% Gain in Body Weight From Seven Placebo-Controlled, 3- to 8-Week, Fixed- or Flexible-Dose Studies in Adult Subjects With Schizophrenia or Bipolar Mania
 

Risperidone Tablets

 

Placebo

(n=597)

1–8 mg/day

(n=769)

>8–16 mg/day

(n=158)

Weight (kg)

Change from baseline

-0.3

0.7

2.2

Weight Gain

 

 

 

≥7% increase from baseline

2.9%

8.7%

20.9%

In longer-term, controlled and uncontrolled studies, risperidone tablets were associated with a mean change in weight of +4.3 kg at Week 24 (n=395) and +5.3 kg at Week 48 (n=203).



Data on mean changes in body weight and the proportion of subjects meeting the criterion of ≥7% gain in body weight from nine placebo-controlled, 3- to 8-week, fixed-dose studies in children and adolescents with schizophrenia (13–17 years of age), bipolar mania (10–17 years of age), autistic disorder (5–17 years of age), or other psychiatric disorders (5–17 years of age) are presented in Table 7.



Table 7.   Mean Change in Body Weight (kg) and the Proportion of Subjects With =7% Gain in Body Weight From Nine Placebo-Controlled, 3- to 8-Week, Fixed-Dose Studies in Children and Adolescents With Schizophrenia (13–17 Years of Age), Bipolar Mania (10–17 Years of Age), Autistic Disorder (5 to 17 Years of Age) or Other Psychiatric Disorders (5–17 Years of Age)
 

Placebo

Risperidone Tablets

0.5–6 mg/day

 

(n=375)

(n=448)

Weight (kg)

Change from baseline

0.6

2.0

Weight Gain

 

 

≥7% increase from baseline

6.9%

32.6%

In longer-term, uncontrolled, open-label extension pediatric studies, risperidone tablets were associated with a mean change in weight of +5.5 kg at Week 24 (n=748) and +8.0 kg at Week 48 (n=242).



In a long-term, open-label extension study in adolescent patients with schizophrenia, weight increase was reported as a treatment-emergent adverse event in 14% of patients. In 103 adolescent patients with schizophrenia, a mean increase of 9.0 kg was observed after 8 months of risperidone tablets treatment. The majority of that increase was observed within the first 6 months. The average percentiles at baseline and 8 months, respectively, were 56 and 72 for weight, 55 and 58 for height, and 51 and 71 for body mass index.



In long-term, open-label trials (studies in patients with autistic disorder or other psychiatric disorders), a mean increase of 7.5 kg after 12 months of risperidone tablets treatment was observed, which was higher than the expected normal weight gain (approximately 3 to 3.5 kg per year adjusted for age, based on Centers for Disease Control and Prevention normative data). The majority of that increase occurred within the first 6 months of exposure to risperidone tablets. The average percentiles at baseline and 12 months, respectively, were 49 and 60 for weight, 48 and 53 for height, and 50 and 62 for body mass index.



In one 3-week, placebo-controlled trial in children and adolescent patients with acute manic or mixed episodes of bipolar I disorder, increases in body weight were higher in the risperidone tablets groups than the placebo group, but not dose related (1.90 kg in the risperidone tablets 0.5–2.5 mg group, 1.44 kg in the risperidone tablets 3–6 mg group, and 0.65 kg in the placebo group). A similar trend was observed in the mean change from baseline in body mass index.



When treating pediatric patients with risperidone tablets for any indication, weight gain should be assessed against that expected with normal growth.

5.4 Tardive Dyskinesia

Tardive dyskinesia, a syndrome consisting of potentially irreversible, involuntary, dyskinetic movements, may develop in patients treated with antipsychotic drugs. Although the prevalence of the syndrome appears to be highest among the elderly, especially elderly women, it is impossible to predict which patients will develop the syndrome. Whether antipsychotic drug products differ in their potential to cause tardive dyskinesia is unknown.

The risk of developing tardive dyskinesia and the likelihood that it will become irreversible increase with the duration of treatment and the cumulative dose. The syndrome can develop after relatively brief treatment periods, even at low doses. It may also occur after discontinuation of treatment.

Tardive dyskinesia may remit, partially or completely, if antipsychotic treatment is discontinued. Antipsychotic treatment, itself, however, may suppress (or partially suppress) the signs and symptoms of the syndrome, possibly masking the underlying process. The effect that symptomatic suppression has upon the long-term course of the syndrome is unknown.

Given these considerations, risperidone tablets  should be prescribed in a manner that is most likely to minimize the occurrence of tardive dyskinesia. Chronic antipsychotic treatment should generally be reserved for patients: (1) who suffer from a chronic illness that is known to respond to antipsychotic drugs, and (2) for whom alternative, equally effective, but potentially less harmful treatments are not available or appropriate. In patients who do require chronic treatment, use the lowest dose and the shortest duration of treatment producing a satisfactory clinical response. Periodically reassess the need for continued treatment.

If signs and symptoms of tardive dyskinesia appear in a patient on risperidone tablets, drug discontinuation should be considered. However, some patients may require treatment with risperidone tablets despite the presence of the syndrome.

5.6 Hyperprolactinemia

As with other drugs that antagonize dopamine D2 receptors, risperidone tablets elevates prolactin levels and the elevation persists during chronic administration. Risperidone tablets are associated with higher levels of prolactin elevation than other antipsychotic agents.

Hyperprolactinemia may suppress hypothalamic GnRH, resulting in reduced pituitary gonadotropin secretion. This, in turn, may inhibit reproductive function by impairing gonadal steroidogenesis in both female and male patients. Galactorrhea, amenorrhea, gynecomastia, and impotence have been reported in patients receiving prolactin-elevating compounds. Long-standing hyperprolactinemia when associated with hypogonadism may lead to decreased bone density in both female and male subjects.

Tissuecultureexperiments indicate that approximately one-third of human breast cancers are prolactin dependent in vitro, a factor of potential importance if the prescription of these drugs is contemplated in a patient with previously detected breast cancer. An increase in pituitary gland, mammary gland, and pancreatic islet cell neoplasia (mammary adenocarcinomas, pituitary and pancreatic adenomas) was observed in the risperidone carcinogenicity studies conducted in mice and rats [see Nonclinical Toxicology ( 13.1)]. Published epidemiologic studies have shown inconsistent results when exploring the potential association between hyperprolactinemia and breast cancer.

8.7 Hepatic Impairment

While the pharmacokinetics of risperidone in subjects with liver disease were comparable to those in young healthy subjects, the mean free fraction of risperidone in plasma was increased by about 35% because of the diminished concentration of both albumin and α 1-acid glycoprotein. Risperidone tablets doses should be reduced in patients with liver disease [see Dosage and Administration (2.4)] .

1 Indications and Usage

Risperidone tablets are an atypical antipsychotic indicated for:

  • Treatment of schizophrenia ( 1.1)
  • As monotherapy or adjunctive therapy with lithium or valproate, for the treatment of acute manic or mixed episodes associated with Bipolar I Disorder ( 1.2)
  • Treatment of irritability associated with autistic disorder ( 1.3)
12.1 Mechanism of Action

The mechanism of action of risperidone in schizophrenia is unclear. The drug's therapeutic activity in schizophrenia could be mediated through a combination of dopamine Type 2 (D 2) and serotonin Type 2 (5HT 2) receptor antagonism. The clinical effect from risperidone results from the combined concentrations of risperidone and its major metabolite, 9-hydroxyrisperidone (paliperidone) [see Clinical Pharmacology ( 12.3)] . Antagonism at receptors other than D 2and 5HT 2may explain some of the other effects of risperidone [see Clinical Pharmacology ( 12.1)] .

9.1 Controlled Substance

Risperidone tablets are not a controlled substance.

16.2 Storage and Handling

Risperidone tablets should be stored at 20°C to 25°C (68°F to 77°F); excursions permitted between 15°C to 30°C (59°F to 86°F) [see USP controlled room temperature]. Protect from light and moisture.

Keep out of reach of children.

5 Warnings and Precautions
  • Cerebrovascular events, including stroke, in elderly patients with dementia-related psychosis: Risperidone tablets are not approved for use in patients with dementia-related psychosis ( 5.2)
  • Neuroleptic Malignant Syndrome: Manage with immediate discontinuation of risperidone tablets and close monitoring. ( 5.3)
  • Tardive dyskinesia: Consider discontinuing risperidone tablets if clinically indicated. ( 5.4)
  • Metabolic Changes: Atypical antipsychotic drugs have been associated with metabolic changes that may increase cardiovascular / cerebrovascular risk. These metabolic changes include hyperglycemia, dyslipidemia, and weight gain. ( 5.5)
    • Hyperglycemia and Diabetes Mellitus:Monitor patients for symptoms of hyperglycemia including polydipsia, polyuria, polyphagia and weakness. Monitor glucose regularly in patients with diabetes or at risk for diabetes. ( 5.5)
    • Dyslipidemia:Undesirable alterations have been observed in patients treated with atypical antipsychotics. ( 5.5)
    • Weight Gain: Significant weight gain has been reported. Monitor weight gain. ( 5.5)
  • Hyperprolactinemia: Prolactin elevations occur and persist during chronic administration. ( 5.6)
  • Orthostatic hypotension: For patients at risk, consider a lower starting dose and slower titration. ( 5.7)
  • Leukopenia, Neutropenia, and Agranulocytosis: Perform complete blood counts in patients with a history of clinically significant low white blood cell count (WBC). Consider discontinuing risperidone tablets if a clinically significant decline in WBC occurs in the absence of other causative factors. ( 5.9)
  • Potential for cognitive and motor impairment: Use caution when operating machinery. ( 5.10)
  • Seizures: Use cautiously in patients with a history of seizures or with conditions that lower the seizure threshold. ( 5.11)
2 Dosage and Administration


Table 1. Recommended Daily Dosage by Indication
Initial

Dose
Titration

(Increments)




Target Dose
Effective

Dose Range
Schizophrenia: adults ( 2.1)

2 mg

1 to 2 mg

4 to 8 mg

4 to 16 mg

Schizophrenia: adolescents ( 2.2)

0.5 mg

0.5 to 1 mg

3 mg

1 to 6 mg

Bipolar mania: adults ( 2.2)

2 to 3 mg

1 mg

1 to 6 mg

1 to 6 mg

Bipolar mania: children and adolescents ( 2.2)

0.5 mg

0.5 to 1 mg

1 to 2.5 mg

1 to 6 mg

Irritability in autistic disorder ( 2.3)

0.25 mg

Can increase to

0.5 mg by Day 4:

(body weight less

than 20 kg) 

 

0.5 mg

Can increase to

 1 mg by Day 4:

 (body weight

greater than or

equal to 20 kg)

After Day 4,

 at intervals of > 2 weeks:

0.25 mg

(body weight less

than 20 kg)

  

0.5 mg

 (body weight

greater than or

equal to 20 kg)

0.5 mg:

(body weight less

than 20 kg)

  

1 mg:

(body weight

greater than or

equal to 20 kg)

0.5 to 3 mg

Severe Renal and Hepatic Impairment in Adults: use a lower starting dose of 0.5 mg twice daily. May increase to dosages above 1.5 mg twice daily at intervals of one week or longer.

5.7 Orthostatic Hypotension

Risperidone tablets may induce orthostatic hypotension associated with dizziness, tachycardia, and in some patients, syncope, especially during the initial dose-titration period, probably reflecting its alpha-adrenergic antagonistic properties. Syncope was reported in 0.2% (6/2607) of risperidone tablets-treated patients in Phase 2 and 3 studies in adults with schizophrenia. The risk of orthostatic hypotension and syncope may be minimized by limiting the initial dose to 2 mg total (either once daily or 1 mg twice daily) in normal adults and 0.5 mg twice daily in the elderly and patients with renal or hepatic impairment [see Dosage and Administration ( 2.1, 2.4)] .

Monitoring of orthostatic vital signs should be considered in patients for whom this is of concern. A dose reduction should be considered if hypotension occurs. Risperidone tablets should be used with particular caution in patients with known cardiovascular disease (history of myocardial infarction or ischemia, heart failure, or conduction abnormalities), cerebrovascular disease, and conditions which would predispose patients to hypotension, e.g., dehydration and hypovolemia, and in the elderly and patients with renal or hepatic impairment. Monitoring of orthostatic vital signs should be considered if hypotension occurs. Clinically significant hypotension has been observed with concomitant use of risperidone tablets and antihypertensive medication.

3 Dosage Forms and Strengths

Risperidone tablets, USP are available in the following strengths and colors: 0.25 mg (orange), 0.5 mg (orange), 1 mg (white), 2 mg (yellow), 3 mg (orange), and 4 mg (brown). 0.25 mg, 0.5 mg, 1 mg and 2 mg are circular shaped. 3 mg are capsule shaped and 4 mg in ovaloid shaped. Risperidone tablets, USP are engraved with “RI1”, “RI2”, “RI3”, “RI4”, “RI5” and “RI6” on one side on “0.25”, “0.5”, “1”, “2”, “3” and “4” respectively and plain on other side.

6.2 Postmarketing Experience

The following adverse reactions have been identified during postapproval use of risperidone. Because these reactions are reported voluntarily from a population of uncertain size, it is not always possible to reliably estimate their frequency or establish a causal relationship to drug exposure. These adverse reactions include: alopecia, anaphylactic reaction, angioedema, atrial fibrillation, cardiopulmonary arrest, catatonia, diabetic ketoacidosis in patients with impaired glucose metabolism, dysgeusia, hypoglycemia, hypothermia, ileus, inappropriate antidiuretic hormone secretion, intestinal obstruction, jaundice, mania, pancreatitis, pituitary adenoma, precocious puberty, pulmonary embolism, QT prolongation, sleep apnea syndrome, somnambulism, Stevens-Johnson syndrome and toxic epidermal necrolysis (SJS/TEN), sudden death, thrombocytopenia, thrombotic thrombocytopenic purpura, urinary retention, and water intoxication.



Postmarketing cases of extrapyramidal symptoms (dystonia and dyskinesia) have been reported in patients concomitantly taking methylphenidate and risperidone when there was an increase or decrease in dosage, initiation, or discontinuation of either or both medications.

10.2 Management of Overdosage

For the most up to date information on the management of risperidone tablets overdosage, contact a certified poison control center (1-800-222-1222 or www.poison.org). Provide supportive care including close medical supervision and monitoring. Treatment should consist of general measures employed in the management of overdosage with any drug. Consider the possibility of multiple drug overdosage. Ensure an adequate airway, oxygenation, and ventilation. Monitor cardiac rhythm and vital signs. Use supportive and symptomatic measures. There is no specific antidote to risperidone tablets.

8 Use in Specific Populations
  • Pregnancy: May cause extrapyramidal and/or withdrawal symptoms in neonates with third trimester exposure. ( 8.1)
6.1 Clinical Trials Experience

Because clinical trials are conducted under widely varying conditions, adverse reaction rates observed in the clinical trials of a drug cannot be directly compared to rates in the clinical trials of another drug and may not reflect the rates observed in clinical practice.



Commonly-Observed Adverse Reactions in Double-Blind, Placebo-Controlled Clinical Trials – Schizophrenia

Adult Patients with Schizophrenia

Table 8 lists the adverse reactions reported in 2% or more of risperidone tablets-treated adult patients with schizophrenia in three 4- to 8-week, double-blind, placebo-controlled trials.

Table  8.  Adverse Reactions in ≥2% of Risperidone Tablets-Treated Adult Patients (and greater than placebo) with Schizophrenia in Double-Blind, Placebo-Controlled Trials
*Parkinsonism includes extrapyramidal disorder, musculoskeletal stiffness, parkinsonism, cogwheel    rigidity, akinesia, bradykinesia, hypokinesia, masked facies, muscle rigidity, and Parkinson's disease.   Akathisia includes akathisia and restlessness. Dystonia includes dystonia, muscle spasms, muscle   contractions involuntary, muscle contracture, oculogyration, tongue paralysis. Tremor includes tremor and parkinsonian rest tremor.


System/Organ Class


 Adverse Reaction

Percentage of Patients Reporting Reaction

Risperidone  Tablets 

 

2–8 mg per day

(N=366)

>8–16 mg per day

(N=198)

Placebo

(N=225)

Cardiac Disorders

  Tachycardia

1

3

0

Eye Disorders 

  Vision blurred

3

1

1

Gastrointestinal Disorders 

  Nausea

9

4

4

  Constipation

8

9

6

  Dyspepsia

8

6

5

  Dry mouth

4

0

1

  Abdominal discomfort

3

1

1

  Salivary hypersecretion

2

1

<1

  Diarrhea

2

1

1

General Disorders 

  Fatigue

3

1

0

  Chest pain

2

2

1

  Asthenia

2

1

<1

Infections and Infestations 

  Nasopharyngitis

3

4

3

  Upper respiratory tract infection

2

3

1

  Sinusitis

1

2

1

  Urinary tract infection

1

3

0

Investigations 

  Blood creatine phosphokinase increased

1

2

<1

  Heart rate increased

<1

2

0

Musculoskeletal and Connective Tissue

Disorders 

  Back pain

4

1

1

  Arthralgia

2

3

<1

  Pain in extremity

2

1

1

Nervous System Disorders

  Parkinsonism *

14

17

8

  Akathisia *

10

10

3

  Sedation

10 

5

2

  Dizziness

7

4

2

  Dystonia *

3

4

2

  Tremor *

2

3

1

  Dizziness postural

2

0

0

Psychiatric Disorders 

  Insomnia

32

25

27

  Anxiety

16

11

11

Respiratory, Thoracic and Mediastinal

Disorders 

  Nasal congestion

4

6

2

  Dyspnea

1

2

0

  Epistaxis

<1

2

0

Skin and Subcutaneous Tissue Disorders 

  Rash

1

4

1

  Dry skin

1

3

0

Vascular Disorders

  Orthostatic hypotension

2

1

0

Pediatric Patients with Schizophrenia

Table 9 lists the adverse reactions reported in 5% or more of risperidone tablets-treated pediatric patients with schizophrenia in a 6-week double-blind, placebo-controlled trial.  

Table 9. Adverse Reactions in ≥5% of Risperidone Tablets-Treated Pediatric Patients (and greater than placebo) with Schizophrenia in a Double-Blind Trial
*Parkinsonism includes extrapyramidal disorder, muscle rigidity, musculoskeletal stiffness, and hypokinesia. Akathisia includes akathisia and restlessness. Dystonia includes dystonia and oculogyration.




System/Organ Class


 Adverse Reaction

Percentage of Patients Reporting Reaction

Risperidone  Tablets 

 

1–3 mg per day

(N=55)

4–6 mg per day

(N=51)

Placebo

(N=54)

Gastrointestinal Disorders

  Salivary hypersecretion

0

10

2

Nervous System Disorders

  Sedation

24  

12  

4  

  Parkinsonism *

16

28

11

  Tremor

11

10

6

  Akathisia *

9

10

4

  Dizziness

7

14

2

  Dystonia *

2

6

0

Psychiatric Disorders

  Anxiety

7

6

0

Commonly-Observed Adverse Reactions in Double-Blind, Placebo-Controlled Clinical Trials –  Bipolar Mania

Adult Patients with Bipolar Mania

Table 10 lists the adverse reactions reported in 2% or more of risperidone tablets-treated adult patients with bipolar mania in four 3-week, double-blind, placebo-controlled monotherapy trials.

Table 10. Adverse Reactions in ≥2% of Risperidone Tablets-Treated Adult Patients (and greater than placebo) with Bipolar Mania in Double-Blind, Placebo-Controlled Monotherapy Trials
*Parkinsonism includes extrapyramidal disorder, parkinsonism, musculoskeletal stiffness, hypokinesia,    muscle rigidity, muscle tightness, bradykinesia, cogwheel rigidity. Akathisia includes akathisia and    restlessness. Tremor includes tremor and parkinsonian rest tremor. Dystonia includes dystonia, muscle   spasms, oculogyration, torticollis.




System/Organ Class


Adverse Reaction

Percentage of Patients Reporting Reaction

Risperidone Tablets 

1–6 mg per day

(N=448)

Placebo

(N=424)

Eye Disorders

  Vision blurred

2

1

Gastrointestinal Disorders

  Nausea

5

2

  Diarrhea

3

2

  Salivary hypersecretion

3

1

  Stomach discomfort

2

<1

General Disorders

  Fatigue

2

1

Nervous System Disorders

  Parkinsonism *

25

9

  Sedation

11  

4

  Akathisia *

9

3

  Tremor *

6

3

  Dizziness

6

5

  Dystonia *

5

1

  Lethargy

2

1

Table 11 lists the adverse reactions reported in 2% or more of risperidone tablets-treated adult patients with bipolar mania in two 3-week, double-blind, placebo-controlled adjuvant therapy trials.  

Table 11. Adverse Reactions in ≥2% of Risperidone Tablets-Treated Adult Patients (and greater than placebo) with Bipolar Mania in Double-Blind, Placebo-Controlled Adjunctive Therapy Trials 
  *Parkinsonism includes extrapyramidal disorder, hypokinesia and bradykinesia. Akathisia includes hyperkinesia and akathisia.




System/Organ Class


Adverse Reaction

Percentage of Patients Reporting Reaction

Risperidone Tablets + Mood Stabilizer

  (N=127)

Placebo + Mood Stabilizer

(N=126)

Cardiac Disorders

  Palpitations

2

0

Gastrointestinal Disorders

  Dyspepsia

9

8

  Nausea

6

4

  Diarrhea

6

4

  Salivary hypersecretion

2

0

General Disorders

  Chest pain

2

1

Infections and Infestations

  Urinary tract infection

2

1

Nervous System Disorders

  Parkinsonism *

14

4

  Sedation

9

4  

  Akathisia *

8

0

  Dizziness

7

2

  Tremor

6

2

  Lethargy

2

1

Psychiatric Disorders

  Anxiety

3

2

Respiratory, Thoracic and

Mediastinal Disorders

  Pharyngolaryngeal pain

5

2

  Cough

2

0

  Pediatric Patients with Bipolar Mania

Table 12 lists the adverse reactions reported in 5% or more of risperidone tablets-treated pediatric patients with bipolar mania in a 3-week double-blind, placebo-controlled trial.

Table 12.  Adverse Reactions in ≥5% of Risperidone Tablets-Treated Pediatric Patients (and greater than placebo) with Bipolar Mania in Double-Blind, Placebo-Controlled Trials
*Parkinsonism includes musculoskeletal stiffness, extrapyramidal disorder, bradykinesia, and nuchal rigidity. Dystonia includes dystonia, laryngospasm, and muscle spasms. Akathisia includes restlessness and akathisia.




System/Organ Class


  Adverse Reaction

Percentage of Patients Reporting Reaction

Risperidone  Tablets 

Placebo

(N=58) 

0.5–2.5 mg per day

(N=50) 

3–6 mg per day

(N=61) 

Eye Disorders 

  Vision blurred

4

7

0

Gastrointestinal Disorders 

  Abdominal pain upper

16

13

5

  Nausea

16

13

7

  Vomiting

10

10

5

  Diarrhea

8

7

2

  Dyspepsia

10

3

2

  Stomach discomfort

6

0

2

General Disorders 

  Fatigue

18

30

3

Metabolism and Nutrition Disorders 

  Increased appetite

4

7

2

Nervous System Disorders 

  Sedation

42

56

19

  Dizziness

16

13

5

  Parkinsonism *

6

12

3

  Dystonia *

6

5

0

  Akathisia *

0

8

2

Psychiatric Disorders 

  Anxiety

0

8

3

Respiratory, Thoracic and Mediastinal Disorders 

  Pharyngolaryngeal pain

10

3

5

Skin and Subcutaneous Tissue Disorders 

  Rash

0

7

2

Commonly-Observed Adverse Reactions in Double-Blind, Placebo-Controlled Clinical Trials - Autistic Disorder

Table 13 lists the adverse reactions reported in 5% or more of risperidone tablets-treated pediatric patients treated for irritability associated with autistic disorder in two 8-week, double-blind, placebo-controlled trials and one 6-week double-blind, placebo-controlled study.

Table 13.   Adverse Reactions in ≥ 5% of Risperidone Tablets-Treated Pediatric Patients (and greater than placebo) Treated for Irritability Associated with Autistic Disorder in Double-Blind, Placebo-Controlled Trials
*Parkinsonism includes musculoskeletal stiffness, extrapyramidal disorder, muscle rigidity, cogwheel rigidity, and muscle tightness.
  

System/Organ Class

  Adverse Reaction 

Percentage of Patients Reporting Reaction 

Risperidone Tablets 

0.5–4.0 mg per day

(N=107) 



Placebo


(N=115) 

Gastrointestinal Disorders 

  Vomiting 

20

17

  Constipation

17

6

  Dry mouth

10

4  

  Nausea

8

5

  Salivary hypersecretion

7

1

General Disorders and Administration Site Conditions 

 

 

  Fatigue

31

9

  Pyrexia

16

13

  Thirst

7

4

Infections and Infestations 

  Nasopharyngitis

19

9

  Rhinitis

9

7

  Upper respiratory tract infection

8

3

Investigations 

  Weight increased

8

2

Metabolism and Nutrition Disorders 

  Increased appetite

44

15

Nervous System Disorders 

  Sedation

63

15

  Drooling

12

4

  Headache

12

10

  Tremor

8

1

  Dizziness

8

2

  Parkinsonism *

8

1

Renal and Urinary Disorders 

  Enuresis

16

10

Respiratory, Thoracic and Mediastinal Disorders 

  Cough

17

12

  Rhinorrhea

12

10

  Nasal congestion

10

4

Skin and Subcutaneous Tissue Disorders 

  Rash

8

5

Other Adverse Reactions Observed During the Clinical Trial Evaluation of Risperidone

The following additional adverse reactions occurred across all placebo-controlled, active-controlled, and open-label studies of risperidone tablets in adults and pediatric patients.



Blood and Lymphatic System Disorders: anemia, granulocytopenia, neutropenia



Cardiac Disorders: sinus bradycardia, sinus tachycardia, atrioventricular block first degree, bundle branch block left, bundle branch block right, atrioventricular block



Ear and Labyrinth Disorders: ear pain, tinnitus



Endocrine Disorders: hyperprolactinemia



Eye Disorders: ocular hyperemia, eye discharge, conjunctivitis, eye rolling, eyelid edema, eye swelling, eyelid margin crusting, dry eye, lacrimation increased, photophobia, glaucoma, visual acuity reduced



Gastrointestinal Disorders: dysphagia, fecaloma, fecal incontinence, gastritis, lip swelling, cheilitis, aptyalism



General Disorders: edema peripheral, thirst, gait disturbance, influenza-like illness, pitting edema, edema, chills, sluggishness, malaise, chest discomfort, face edema, discomfort, generalized edema, drug withdrawal syndrome, peripheral coldness, feeling abnormal



Immune System Disorders: drug hypersensitivity



Infections and Infestations: pneumonia, influenza, ear infection, viral infection, pharyngitis, tonsillitis, bronchitis, eye infection, localized infection, cystitis, cellulitis, otitis media, onychomycosis, acarodermatitis, bronchopneumonia, respiratory tract infection, tracheobronchitis, otitis media chronic



Investigations: body temperature increased, blood prolactin increased, alanine aminotransferase increased, electrocardiogram abnormal, eosinophil count increased, white blood cell count decreased, blood glucose increased, hemoglobin decreased, hematocrit decreased, body temperature decreased, blood pressure decreased, transaminases increased



Metabolism and Nutrition Disorders: decreased appetite, polydipsia, anorexia



Musculoskeletal and Connective Tissue Disorders: joint stiffness, joint swelling, musculoskeletal chest pain, posture abnormal, myalgia, neck pain, muscular weakness, rhabdomyolysis



Nervous System Disorders: balance disorder, disturbance in attention, dysarthria, unresponsive to stimuli, depressed level of consciousness, movement disorder, transient ischemic attack, coordination abnormal, cerebrovascular accident, speech disorder, syncope,  loss of consciousness, hypoesthesia, tardive dyskinesia, dyskinesia, cerebral ischemia, cerebrovascular disorder, neuroleptic malignant syndrome, diabetic coma, head titubation



Psychiatric Disorders: agitation, blunted affect, confusional state, middle insomnia, nervousness, sleep disorder, listlessness, libido decreased, and anorgasmia



Renal and Urinary Disorders: enuresis, dysuria, pollakiuria, urinary incontinence



Reproductive System and Breast Disorders: menstruation irregular, amenorrhea, gynecomastia, galactorrhea, vaginal discharge, menstrual disorder, erectile dysfunction, retrograde ejaculation, ejaculation disorder, sexual dysfunction, breast enlargement



Respiratory, Thoracic, and Mediastinal Disorders: wheezing, pneumonia aspiration, sinus congestion, dysphonia, productive cough, pulmonary congestion, respiratory tract congestion, rales, respiratory disorder, hyperventilation, nasal edema



Skin and Subcutaneous Tissue Disorders: erythema, skin discoloration, skin lesion, pruritus, skin disorder, rash erythematous, rash papular, rash generalized, rash maculopapular, acne, hyperkeratosis, seborrheic dermatitis



Vascular Disorders: hypotension, flushing



Discontinuations Due to Adverse Reactions

Schizophrenia - Adults  

Approximately 7% (39/564) of risperidone tablets-treated patients in double-blind, placebo-controlled trials discontinued treatment due to an adverse reaction, compared with 4% (10/225) who were receiving placebo. The adverse reactions associated with discontinuation in 2 or more risperidone tablets-treated patients were:

Table 14.  Adverse Reactions Associated With Discontinuation in 2 or More Risperidone Tablets-Treated Adult Patients in Schizophrenia Trials
Adverse Reaction

Risperidone  Tablets 



Placebo   

(N=225
)  

2-8 mg/day

(N=366)


>8-16 mg/day

(N=198)


Dizziness                               

1.4%

1.0%

0%

Nausea                                   

1.4%

0%

0%

Vomiting

0.8%

0%

0%

Parkinsonism                       

0.8%

0%

0%

Somnolence                         

0.8%

0%

0%

Dystonia                              

0.5%

0%

0%

Agitation                                 

0.5%

0%

0%

Abdominal pain

0.5%

0%

0%

Orthostatic hypotension 

0.3%

0.5%

0%

Akathisia                               

0.3%

2.0%

0%

Discontinuation for extrapyramidal symptoms (including Parkinsonism, akathisia, dystonia, and tardive dyskinesia) was 1% in placebo-treated patients, and 3.4% in active control-treated patients in a double-blind, placebo- and active-controlled trial.

Schizophrenia – Pediatrics

Approximately 7% (7/106), of risperidone tablets-treated patients discontinued treatment due to an adverse reaction in a double-blind, placebo-controlled trial, compared with 4% (2/54) placebo-treated patients. The adverse reactions associated with discontinuation for at least one risperidone tablets-treated patient were dizziness (2%), somnolence (1%), sedation (1%), lethargy (1%), anxiety (1%), balance disorder (1%), hypotension (1%), and palpitation (1%).

Bipolar Mania – Adults

In double-blind, placebo-controlled trials with risperidone tablets as monotherapy, approximately 6% (25/448) of risperidone tablets-treated patients discontinued treatment due to an adverse event, compared with approximately 5% (19/424) of placebo-treated patients. The adverse reactions associated with discontinuation in risperidone tablets-treated patients were:

Table 15. Adverse Reactions Associated With Discontinuation in 2 or More Risperidone Tablets-Treated Adult Patients in Bipolar Mania Clinical Trials




Adverse Reaction
 

Risperidone  Tablets      

1-6 mg/day

(N=448)




Placebo

(N=448)


Parkinsonism

0.4%

0%

Lethargy                                           

0.2%

0%

Dizziness                                                

0.2%

0%

Alanine aminotransferase increased

0.2%

0.2%

Aspartate aminotransferase increased

0.2%

0.2%

Bipolar Mania – Pediatrics

In a double-blind, placebo-controlled trial 12% (13/111) of risperidone tablets-treated patients discontinued due to an adverse reaction, compared with 7% (4/58) of placebo-treated patients. The adverse reactions associated with discontinuation in more than one risperidone tablets-treated pediatric patient were nausea (3%), somnolence (2%), sedation (2%), and vomiting (2%).

Autistic Disorder – Pediatrics

In the two 8-week, placebo-controlled trials in pediatric patients treated for irritability associated with autistic disorder (n = 156), one risperidone tablets-treated patient discontinued due to an adverse reaction (Parkinsonism), and one placebo-treated patient discontinued due to an adverse event.

Dose Dependency of Adverse Reactions in Clinical Trials

Extrapyramidal Symptoms

Data from two fixed-dose trials in adults with schizophrenia provided evidence of dose-relatedness for extrapyramidal symptoms associated with risperidone tablets treatment.



Two methods were used to measure extrapyramidal symptoms (EPS) in an 8-week trial comparing 4 fixed doses of risperidone tablets (2, 6, 10, and 16 mg/day), including (1) a Parkinsonism score (mean change from baseline) from the Extrapyramidal Symptom Rating Scale, and (2) incidence of spontaneous complaints of EPS: 



Table 16.
Dose Groups  

Placebo  

Risperidone  Tablets

2 mg
 

Risperidone Tablets

6 mg
 

Risperidone Tablets

10 mg
 

Risperidone Tablets

16 mg
 

Parkinsonism 

1.2 

0.9 

1.8 

2.4 

2.6 

EPS Incidence

13% 

17% 

21% 

21% 

35% 

Similar methods were used to measure extrapyramidal symptoms (EPS) in an 8-week trial comparing 5 fixed doses of risperidone tablets (1, 4, 8, 12, and 16 mg/day):         



Table 17.
Dose Groups  

Risperidone Tablets

1 mg
 

Risperidone Tablets

4 mg
 

Risperidone Tablet s

8 mg
 

Risperidone Tablets

12 mg
 

Risperidone Tablets

16 mg
 

Parkinsonism 

0.6 

1.7 

2.4 

2.9 

4.1 

EPS Incidence

7% 

12% 

17% 

18% 

20% 

Dystonia

Class Effect:Symptoms of dystonia, prolonged abnormal contractions of muscle groups, may occur in susceptible individuals during the first few days of treatment. Dystonic symptoms include: spasm of the neck muscles, sometimes progressing to tightness of the throat, swallowing difficulty, difficulty breathing, and/or protrusion of the tongue. While these symptoms can occur at low doses, they occur more frequently and with greater severity with high potency and at higher doses of first generation antipsychotic drugs. An elevated risk of acute dystonia is observed in males and younger age groups.



Other Adverse Reactions

Adverse event data elicited by a checklist for side effects from a large study comparing 5 fixed doses of risperidone tablets (1, 4, 8, 12, and 16 mg/day) were explored for dose-relatedness of adverse events. A Cochran-Armitage Test for trend in these data revealed a positive trend (p<0.05) for the following adverse reactions: somnolence, vision abnormal, dizziness, palpitations, weight increase, erectile dysfunction, ejaculation disorder, sexual function abnormal, fatigue, and skin discoloration.



Changes in Body Weight

Weight gain was observed in short-term, controlled trials and longer-term uncontrolled studies in adult and pediatric patients [see Warnings and Precautions (5.5), Adverse Reactions (6), and Use in Specific Populations (8.4)].



Changes in ECG Parameters

Between-group comparisons for pooled placebo-controlled trials in adults revealed no statistically significant differences between risperidone and placebo in mean changes from baseline in ECG parameters, including QT, QTc, and PR intervals, and heart rate. When all risperidone tablets doses were pooled from randomized controlled trials in several indications, there was a mean increase in heart rate of 1 beat per minute compared to no change for placebo patients. In short-term schizophrenia trials, higher doses of risperidone (8-16 mg/day) were associated with a higher mean increase in heart rate compared to placebo (4-6 beats per minute). In pooled placebo-controlled acute mania trials in adults, there were small decreases in mean heart rate, similar among all treatment groups.

In the two placebo-controlled trials in children and adolescents with autistic disorder (aged 5 – 16 years) mean changes in heart rate were an increase of 8.4 beats per minute in the risperidone tablets groups and 6.5 beats per minute in the placebo group. There were no other notable ECG changes.



In a placebo-controlled acute mania trial in children and adolescents (aged 10 – 17 years), there were no significant changes in ECG parameters, other than the effect of risperidone tablets to transiently increase pulse rate (< 6 beats per minute). In two controlled schizophrenia trials in adolescents (aged 13 – 17 years), there were no clinically meaningful changes in ECG parameters including corrected QT intervals between treatment groups or within treatment groups over time.

14.2 Bipolar Mania Monotherapy

Adults

The efficacy of risperidone tablets in the treatment of acute manic or mixed episodes was established in two short-term (3-week) placebo-controlled trials in patients who met the DSM-IV criteria for Bipolar I Disorder with manic or mixed episodes. These trials included patients with or without psychotic features.

The primary rating instrument used for assessing manic symptoms in these trials was the Young Mania Rating Scale (YMRS), an 11-item clinician-rated scale traditionally used to assess the degree of manic symptomatology (irritability, disruptive/aggressive behavior, sleep, elevated mood, speech, increased activity, sexual interest, language/thought disorder, thought content, appearance, and insight) in a range from 0 (no manic features) to 60 (maximum score). The primary outcome in these trials was change from baseline in the YMRS total score. The results of the trials follow:



  • In one 3-week placebo-controlled trial (n=246), limited to patients with manic episodes, which involved a dose range of risperidone tablets 1-6 mg/day, once daily, starting at 3 mg/day (mean modal dose was 4.1 mg/day), risperidone tablets were superior to placebo in the reduction of YMRS total score.
  • In another 3-week placebo-controlled trial (n=286), which involved a dose range of 1-6 mg/day, once daily, starting at 3 mg/day (mean modal dose was 5.6 mg/day), risperidone tablets were superior to placebo in the reduction of YMRS total score.


Pediatrics

The efficacy of risperidone tablets in the treatment of mania in children or adolescents with Bipolar I disorder was demonstrated in a 3-week, randomized, double-blind, placebo-controlled, multicenter trial including patients ranging in ages from 10 to 17 years who were experiencing a manic or mixed episode of bipolar I disorder. Patients were randomized into one of three treatment groups: Risperidone tablets 0.5-2.5 mg/day (n = 50, mean modal dose = 1.9 mg), risperidone tablets 3-6 mg/day (n = 61, mean modal dose = 4.7 mg), or placebo (n = 58). In all cases, study medication was initiated at 0.5 mg/day and titrated to the target dosage range by Day 7, with further increases in dosage to the maximum tolerated dose within the targeted dose range by Day 10. The primary rating instrument used for assessing efficacy in this study was the mean change from baseline in the total YMRS score.

Results of this study demonstrated efficacy of risperidone tablets in both dose groups compared with placebo, as measured by significant reduction of total YMRS score. The efficacy on the primary parameter in the 3-6 mg/day dose group was comparable to the 0.5-2.5 mg/day dose group. Doses higher than 2.5 mg/day did not reveal any trend towards greater efficacy.

5.14 Body Temperature Regulation

Disruption of body temperature regulation has been attributed to antipsychotic agents. Both hyperthermia and hypothermia have been reported in association with oral risperidone tablets use. Caution is advised when prescribing for patients who will be exposed to temperature extremes.

17 Patient Counseling Information

Physicians are advised to discuss the following issues with patients for whom they prescribe risperidone tablets.

Neuroleptic Malignant Syndrome (NMS)

Counsel patients about a potentially fatal adverse reaction, Neuroleptic Malignant Syndrome (NMS), that has been reported in association with administration of antipsychotic drugs. Advise patients, family members, or caregivers to contact the healthcare provider or report to the emergency room if they experience signs and symptoms of NMS, including hyperpyrexia, muscle rigidity, altered mental status including delirium, and evidence of autonomic instability (irregular pulse or blood pressure, tachycardia, diaphoresis, and cardiac dysrhythmia) [see Warnings and Precautions ( 5.3)] .

Tardive Dyskinesia

Counsel patients on the signs and symptoms of tardive dyskinesia and to contact their healthcare provider if these abnormal movements occur [see Warnings and Precautions ( 5.4)] .

Metabolic Changes

Educate patients about the risk of metabolic changes, how to recognize symptoms of  hyperglycemia and diabetes mellitus, and the need for specific monitoring, including blood glucose, lipids, and weight [see Warnings and Precautions ( 5.5)] .

Orthostatic Hypotension

Educate patients about the risk of orthostatic hypotension and syncope, particularly at the time of initiating treatment, re-initiating treatment, or increasing the dose [see Warnings and Precautions ( 5.7)] .

Leukopenia/Neutropenia

Advise patients with a pre-existing low WBC or a history of drug induced leukopenia/neutropenia they should have their CBC monitored while taking risperdione tablets [see Warnings and Precautions ( 5.9)] .

Hyperprolactinemia

Counsel patients on signs and symptoms of hyperprolactinemia that may be associated with chronic use of risperdione tablets. Advise them to seek medical attention if they experience any of the following: amenorrhea or galactorrhea in females, erectile dysfunction or gynecomastia in males. [See Warnings and Precautions ( 5.6)] .

Interference with Cognitive and Motor Performance

Caution patients about performing activities requiring mental alertness, such as operating hazardous machinery, or operating a motor vehicle until they are reasonably certain that risperdione tablets therapy does not affect them adversely [see Warnings and Precautions ( 5.10)] .

Priapism

Advise patients of the possibility of painful or prolonged penile erections (priapism). Instruct the patient to seek immediate medical attention in the event of priapism [Warnings and Precautions ( 5.13)] .

Heat Exposure and Dehydration

Counsel patients regarding appropriate care in avoiding overheating and dehydration [see Warnings and Precautions ( 5.14)] .

Concomitant Medication

Advise patients to inform their healthcare providers if they are taking, or plan to take any prescription or over-the-counter drugs, as there is a potential for interactions [see Drug Interactions ( 7)] .

Alcohol

Advise patients to avoid alcohol while taking risperdione tablets   [see Drug Interactions ( 7.2)] .

Pregnancy

Advise patients to notify their healthcare provider if they become pregnant or intend to become pregnant during treatment with risperdione tablets. Advise patients that risperdione tablets  may cause extrapyramidal and/or withdrawal symptoms in a neonate. Advise patients that there is a pregnancy registry that monitors pregnancy outcomes in women exposed to risperdione tablets  during pregnancy [see Use in Specific Populations ( 8.1)] .

Lactation

Advise breastfeeding women using risperdione tablets to monitor infants for somnolence, failure to thrive, jitteriness, and extrapyramidal symptoms (tremors and abnormal muscle movements) and to seek medical care if they notice these signs [see Use in Specific Populations ( 8.2)] .

Infertility

Advise females of reproductive potential that risperdione tablets  may impair fertility due to an increase in serum prolactin levels. The effects on fertility are reversible [see Use in Specific Populations ( 8.3)].



Risperidone Tablets, USP



Marketed by:

Ajanta Pharma USA Inc.

Bridgewater, NJ 08807.

Made in India.

Revised: 03/2025

5.3 Neuroleptic Malignant Syndrome

Neuroleptic Malignant Syndrome (NMS), a potentially fatal symptom complex, has been reported in association with antipsychotic drugs. Clinical manifestations of NMS are hyperpyrexia, muscle rigidity, altered mental status including delirium, and autonomic instability (irregular pulse or blood pressure, tachycardia, diaphoresis, and cardiac dysrhythmia). Additional signs may include elevated creatine phosphokinase, myoglobinuria (rhabdomyolysis), and acute renal failure.

If NMS is suspected, immediately discontinue risperidone tablets and provide symptomatic treatment and monitoring.

7.1 Pharmacokinetic Related Interactions

The dose of risperidone tablets should be adjusted when used in combination with CYP2D6 enzyme inhibitors (e.g., fluoxetine, and paroxetine) and enzyme inducers (e.g., carbamazepine) [see Table 18 and Dosage and Administration (2.5)]. Dose adjustment is not recommended for risperidone tablets when co-administered with ranitidine, cimetidine, amitriptyline, or erythromycin [see Table 18 ].

Table 18. Summary of Effect of Coadministered Drugs on Exposure to Active Moiety (Risperidone + 9-Hydroxy-Risperidone) in Healthy Subjects or Patients with Schizophrenia
Coadministered Drug

Dosing Schedule Effect on Active Moiety

(Risperidone + 9- Hydroxy-

Risperidone (Ratio*)
Risperidone Dose

Recommendation
Coadministered Drug Risperidone AUC C max
Enzyme (CYP2D6) inhibitors
Fluoxetine 20 mg/day 2 or 3 mg twice daily 1.4 1.5

Re-evaluate dosing.

Do not exceed 8 mg/day
Paroxetine 10 mg/day 4 mg/day 1.3 -

Re-evaluate dosing.

Do not exceed 8 mg/day
20 mg/day 4 mg/day 1.6 -
40 mg/day 4 mg/day 1.8 -
Enzyme (CYP3A/ PgP inducers) Inducers
Carbamazepine 573 ± 168 mg/day

3 mg twice daily

0.51

0.55



Titrate dose upwards.

Do not exceed twice the patient’s usual dose
Enzyme (CYP3A) inhibitors
Ranitidine 150 mg twice daily 1 mg single dose 1.2 1.4 Dose adjustment not needed
Cimetidine 400 mg twice daily 1 mg single dose 1.1 1.3 Dose adjustment not needed
Erythromycin 500 mg four times daily 1 mg single dose 1.1 0.94 Dose adjustment not needed
Other Drugs
Amitriptyline 50 mg twice daily 3 mg twice daily 1.2 1.1 Dose adjustment not Needed
*Change relative to reference

Effect of Risperidone on other drugs

Lithium

Repeated oral doses of risperidone tablets (3 mg twice daily) did not affect the exposure (AUC) or peak plasma concentrations (C max) of lithium (n=13). Dose adjustment for lithium is not recommended.

Valproate

Repeated oral doses of risperidone tablets (4 mg once daily) did not affect the pre-dose or average plasma concentrations and exposure (AUC) of valproate (1000 mg/day in three divided doses) compared to placebo (n=21). However, there was a 20% increase in valproate peak plasma concentration (C max) after concomitant administration of risperidone tablets. Dose adjustment for valproate is not recommended.

Digoxin

Risperidone tablets (0.25 mg twice daily) did not show a clinically relevant effect on the pharmacokinetics of digoxin. Dose adjustment for digoxin is not recommended.

7.2 Pharmacodynamic Related Interactions

Centrally Acting Drugs and Alcohol

Given the primary CNS effects of risperidone, caution should be used when risperidone tablets are taken in combination with other centrally acting drugs and alcohol.

Drugs with Hypotensive Effects

Because of its potential for inducing hypotension, risperidone tablets may enhance the hypotensive effects of other therapeutic agents with this potential.

Levodopa and Dopamine Agonists

Risperidone tablets may antagonize the effects of levodopa and dopamine agonists.

Methylphenidate

Concomitant use with methylphenidate, when there is change in dosage of either medication, may increase the risk of extrapyramidal symptoms (EPS). Monitor for symptoms of EPS with concomitant use of risperidone tablets  and methylphenidate [see Adverse Reactions ( 6.2)].

Clozapine 

Chronic administration of clozapine with risperidone tablets may decrease the clearance of risperidone.

8.3 Females and Males of Reproductive Potential

Infertility

Females

Based on the pharmacologic action of risperidone (D 2receptor antagonism), treatment with risperidone may result in an increase in serum prolactin levels ,which may lead to a reversible reduction in fertility in females of reproductive potential [see Warnings and Precautions ( 5.6)].

5.9 Leukopenia, Neutropenia, and Agranulocytosis

Class Effect: In clinical trial and/or postmarketing experience, events of leukopenia/neutropenia have been reported temporally related to antipsychotic agents, including risperidone tablets. Agranulocytosis has also been reported.

Possible risk factors for leukopenia/neutropenia include pre-existing low white blood cell count (WBC) and history of drug-induced leukopenia/neutropenia. Patients with a history of a clinically significant low WBC or a drug-induced leukopenia/neutropenia should have their complete blood count (CBC) monitored frequently during the first few months of therapy and discontinuation of risperidone tablets should be considered at the first sign of a clinically significant decline in WBC in the absence of other causative factors.

Patients with clinically significant neutropenia should be carefully monitored for fever or other symptoms or signs of infection and treated promptly if such symptoms or signs occur. Patients with severe neutropenia (absolute neutrophil count <1000/mm 3) should discontinue risperidone tablets and have their WBC followed until recovery.

5.10 Potential for Cognitive and Motor Impairment

Somnolence was a commonly reported adverse reactions associated with risperidone tablets treatment, especially when ascertained by direct questioning of patients. This adverse reaction is dose-related, and in a study utilizing a checklist to detect adverse events, 41% of the high-dose patients (risperidone tablets 16 mg/day) reported somnolence compared to 16% of placebo patients. Direct questioning is more sensitive for detecting adverse events than spontaneous reporting, by which 8% of risperidone tablets 16 mg/day patients and 1% of placebo patients reported somnolence as an adverse reation. Since risperidone tablets have the potential to impair judgment, thinking, or motor skills, patients should be cautioned about operating hazardous machinery, including automobiles, until they are reasonably certain that risperidone tablets therapy does not affect them adversely.

1.3 Irritability Associated With Autistic Disorder

Risperidone tablets are indicated for the treatment of irritability associated with autistic disorder, including symptoms of aggression towards others, deliberate self-injuriousness, temper tantrums, and quickly changing moods. Efficacy was established in 3 short-term trials in children and adolescents (ages 5 to 17 years)   [see Clinical Studies (14.4)] .

14.4 Irritability Associated With Autistic Disorder

Short-Term Efficacy

The efficacy of risperidone tablets in the treatment of irritability associated with autistic disorder was established in two 8-week, placebo-controlled trials in children and adolescents (aged 5 to 16 years) who met the DSM-IV criteria for autistic disorder. Over 90% of these subjects were under 12 years of age and most weighed over 20 kg (16-104.3 kg).

Efficacy was evaluated using two assessment scales: the Aberrant Behavior Checklist (ABC) and the Clinical Global Impression - Change (CGI-C) scale. The primary outcome measure in both trials was the change from baseline to endpoint in the Irritability subscale of the ABC (ABC-I). The ABC-I subscale measured the emotional and behavioral symptoms of autism, including aggression towards others, deliberate self-injuriousness, temper tantrums, and quickly changing moods. The CGI-C rating at endpoint was a co-primary outcome measure in one of the studies.

The results of these trials are as follows:

  • In one of the 8-week, placebo-controlled trials, children and adolescents with autistic disorder (n=101), aged 5 to 16 years, received twice daily doses of placebo or risperidone tablets 0.5-3.5 mg/day on a weight-adjusted basis. Risperidone tablets, starting at 0.25 mg/day or 0.5 mg/day depending on baseline weight (< 20 kg and ≥ 20 kg, respectively) and titrated to clinical response (mean modal dose of 1.9 mg/day, equivalent to 0.06 mg/kg/day), significantly improved scores on the ABC-I subscale and on the CGI-C scale compared with placebo.
  • In the other 8-week, placebo-controlled trial in children with autistic disorder (n=55), aged 5 to 12 years, risperidone tablets 0.02 to 0.06 mg/kg/day given once or twice daily, starting at 0.01 mg/kg/day and titrated to clinical response (mean modal dose of 0.05 mg/kg/day, equivalent to 1.4 mg/day), significantly improved scores on the ABC-I subscale compared with placebo.

A third trial was a 6-week, multicenter, randomized, double blind, placebo-controlled, fixed-dose study to evaluate the efficacy and safety of a lower than recommended dose of risperidone in subjects (N=96) 5 to 17 years of age with autistic disorder (defined by DSM-IV criteria) and associated irritability and related behavioral symptoms. Approximately 77% of patients were younger than 12 years of age (mean age = 9), and 88% were male. Most patients (73%) weighed less than 45 kg (mean weight = 40 kg). Approximately 90% of patients were antipsychotic-naïve before entering the study.

There were two weight-based, fixed doses of risperidone (high-dose and low-dose). The high dose was 1.25 mg per day for patients weighing 20 to < 45 kg, and it was 1.75 mg per day for patients weighing ≥ 45 kg. The low dose was 0.125 mg per day for patients weighing 20 to < 45 kg, and it was 0.175 mg per day for patients weighing ≥ 45 kg. The dose was administered once daily in the morning, or in the evening if sedation occurred.

The primary efficacy endpoint was the mean change in the Aberrant Behavior Checklist – Irritability subscale (ABC-I) score from baseline to the end of Week 6. The study demonstrated the efficacy of high-dose risperidone, as measured by the mean change in ABC-I score. It did not demonstrate efficacy for low-dose risperidone. The mean baseline ABC-I scores were 29 in the placebo group (n = 35), 27 in the risperidone low-dose group (n = 30), and 28 in the risperidone high-dose group (n = 31). The mean changes in ABC-I scores were -3.5, -7.4, and -12.4 in the placebo, low-dose, and high-dose group respectively. The results in the high-dose group were statistically significant (p< 0.001) but not in the low-dose group (p=0.164).

Long-Term Efficacy

Following completion of the first 8-week double-blind study, 63 patients entered an open-label study extension where they were treated with risperidone tablets for 4 or 6 months (depending on whether they received risperidone tablets or placebo in the double-blind study). During this open-label treatment period, patients were maintained on a mean modal dose of risperidone tablets of 1.8-2.1 mg/day (equivalent to 0.05 - 0.07 mg/kg/day).

Patients who maintained their positive response to risperidone tablets (response was defined as ≥ 25% improvement on the ABC-I subscale and a CGI-C rating of ‘much improved’ or ‘very much improved’) during the 4-6 month open-label treatment phase for about 140 days, on average, were randomized to receive risperidone tablets or placebo during an 8-week, double-blind withdrawal study (n=39 of the 63 patients). A pre-planned interim analysis of data from patients who completed the withdrawal study (n=32), undertaken by an independent Data Safety Monitoring Board, demonstrated a significantly lower relapse rate in the risperidone tablets group compared with the placebo group. Based on the interim analysis results, the study was terminated due to demonstration of a statistically significant effect on relapse prevention. Relapse was defined as ≥ 25% worsening on the most recent assessment of the ABC-I subscale (in relation to baseline of the randomized withdrawal phase).

2.5 Dose Adjustments for Specific Drug Interactions

When risperidone tablets are co-administered with enzyme inducers (e.g., carbamazepine), the dose of risperidone tablets should be increased up to double the patient’s usual dose. It may be necessary to decrease the risperidone tablets dose when enzyme inducers such as carbamazepine are discontinued [see Drug Interactions (7.1)] . Similar effect may be expected with co-administration of risperidone tablets with other enzyme inducers (e.g., phenytoin, rifampin, and phenobarbital).

When fluoxetine or paroxetine is co-administered with risperidone tablets, the dose of risperidone tablets should be reduced. The risperidone tablets dose should not exceed 8 mg per day in adults when co-administered with these drugs. When initiating therapy, risperidone tablets should be titrated slowly. It may be necessary to increase the risperidone tablets dose when enzyme inhibitors such as fluoxetine or paroxetine are discontinued [see Drug Interactions (7.1)] .

Package Label.principal Display Panel 1mg Bottle Label

risperiDONE  Tablets, USP 

1 mg

Rx only

13.1 Carcinogenesis, Mutagenesis, Impairment of Fertility

Carcinogenesis 

Risperidone was administered in the diet at doses of 0.63, 2.5, and 10 mg/kg for 18 months to mice and for 25 months to rats. These doses are equivalent to approximately 0.2, 0.75, and 3 times (mice) and 0.4, 1.5, and 6 times (rats) the MRHD of 16 mg/day, based on mg/m 2  body surface area. A maximum tolerated dose was not achieved in male mice. There were statistically significant increases in pituitary gland adenomas, endocrine pancreas adenomas, and mammary gland adenocarcinomas. The table below summarizes the multiples of the human dose on a mg/m 2  (mg/kg) basis at which these tumors occurred.         



       



 

 

Multiples of Maximum Human

Dose in mg/m² (mg/kg)


Tumor Type

Species

Sex

Lowest Effect

Level


Highest No-

Effect Level


Pituitary adenomas

mouse

Female

0.75 (9.4)

0.2 (2.4)

Endocrine pancreas adenomas

rat

Male

1.5 (9.4)

0.4 (2.4)

Mammary gland adenocarcinomas

mouse

Female

0.2 (2.4)

none

 

rat

Female

0.4 (2.4)

none

 

rat

Male

6.0 (37.5)

1.5 (9.4)

Mammary gland neoplasm, Total

rat

Male

1.5 (9.4)

0.4 (2.4)



Antipsychotic drugs have been shown to chronically elevate prolactin levels in rodents. Serum prolactin levels were not measured during the risperidone carcinogenicity studies; however, measurements during subchronic toxicity studies showed that risperidone elevated serum prolactin levels 5-6 fold in mice and rats at the same doses used in the carcinogenicity studies. An increase in mammary, pituitary, and endocrine pancreas neoplasms has been found in rodents after chronic administration of other antipsychotic drugs and is considered to be prolactin-mediated. The relevance for human risk of the findings of prolactin-mediated endocrine tumors in rodents is unclear [see Warnings and Precautions ( 5.6)] .



Mutagenesis

No evidence of mutagenic or clastogenic potential for risperidone was found in the in vitrotests of Ames gene mutation, the mouse lymphoma assay, rat hepatocyte DNA-repair assay, the chromosomal aberration test in human lymphocytes, Chinese hamster ovary cells, or in the in vivooral micronucleus test in mice and the sex-linked recessive lethal test in Drosophila.



Impairment of Fertility

Oral risperidone (0.16 to 5 mg/kg) impaired mating, but not fertility, in rat reproductive studies at doses 0.1 to 3 times the MRHD of 16 mg/day based on mg/m 2body surface area. The effect appeared to be in females, since impaired mating behavior was not noted in the male fertility study. In a subchronic study in Beagle dogs in which risperidone was administered orally at doses of 0.31 to 5 mg/kg, sperm motility and concentration were decreased at doses 0.6 to 10 times the MRHD based on  mg/m 2body surface area. Dose-related decreases were also noted in serum testosterone at the same doses. Serum testosterone and sperm parameters partially recovered, but remained decreased after treatment was discontinued. A no-effect dose could not be determined in either rat or dog.

8.8 Patients With Parkinsons Disease Or Lewy Body Dementia

Patients with Parkinsons Disease or Dementia with Lewy Bodies can experience increased sensitivity to risperidone tablets. Manifestations can include confusion, obtundation, postural instability with frequent falls, extrapyramidal symptoms, and clinical features consistent with neuroleptic malignant syndrome.

2.4 Dosing in Patients With Severe Renal Or Hepatic Impairment

For patients with severe renal impairment (Clcr < 30 mL/min) or hepatic impairment (10-15 points on Child Pugh System), the initial starting dose is 0.5 mg twice daily. The dose may be increased in increments of 0.5 mg or less, administered twice daily. For doses above 1.5 mg twice daily, increase in intervals of one week or greater [see Use in Specific Populations (8.6and 8.7)] .

14.3 Bipolar Mania Adjunctive Therapy With Lithium Or Valproate

The efficacy of risperidone tablets with concomitant lithium or valproate in the treatment of acute manic or mixed episodes was established in one controlled trial in adult patients who met the DSM-IV criteria for Bipolar I Disorder. This trial included patients with or without psychotic features and with or without a rapid-cycling course. 

  • In this 3-week placebo-controlled combination trial, 148 in- or outpatients on lithium or valproate therapy with inadequately controlled manic or mixed symptoms were randomized to receive risperidone tablets, placebo, or an active comparator, in combination with their original therapy. Risperidone tablets, in a dose range of 1-6 mg/day, once daily, starting at 2 mg/day (mean modal dose of 3.8 mg/day), combined with lithium or valproate (in a therapeutic range of 0.6 mEq/L to 1.4 mEq/L or 50 mcg/mL to 120 mcg/mL, respectively) was superior to lithium or valproate alone in the reduction of YMRS total score. 

  • In a second 3-week placebo-controlled combination trial, 142 in- or outpatients on lithium, valproate, or carbamazepine therapy with inadequately controlled manic or mixed symptoms were randomized to receive risperidone tablets or placebo, in combination with their original therapy. Risperidone tablets, in a dose range of 1-6 mg/day, once daily, starting at 2 mg/day (mean modal dose of 3.7 mg/day), combined with lithium, valproate, or carbamazepine (in therapeutic ranges of 0.6 mEq/L to 1.4 mEq/L for lithium, 50 mcg/mL to 125 mcg/mL for valproate, or 4-12 mcg/mL for carbamazepine, respectively) was not superior to lithium, valproate, or carbamazepine alone in the reduction of YMRS total score. A possible explanation for the failure of this trial was induction of risperidone and 9-hydroxyrisperidone clearance by carbamazepine, leading to subtherapeutic levels of risperidone and 9-hydroxyrisperidone.

5.1 Increased Mortality in Elderly Patients With Dementia Related Psychosis

Elderly patients with dementia-related psychosis treated with antipsychotic drugs are at an increased risk of death. Analyses of 17 placebo-controlled trials (modal duration of 10 weeks), largely in patients taking atypical antipsychotic drugs, revealed a risk of death in drug-treated patients of between 1.6 to 1.7 times the risk of death in placebo-treated patients. Over the course of a typical 10-week controlled trial, the rate of death in drug-treated patients was about 4.5%, compared to a rate of about 2.6% in the placebo group. Although the causes of death were varied, most of the deaths appeared to be either cardiovascular (e.g., heart failure, sudden death) or infectious (e.g., pneumonia) in nature. Observational studies suggest that, similar to atypical antipsychotic drugs, treatment with conventional antipsychotic drugs may increase mortality. The extent to which the findings of increased mortality in observational studies may be attributed to the antipsychotic drug as opposed to some characteristic(s) of the patients is not clear.

In two of four placebo-controlled trials in elderly patients with dementia-related psychosis, a higher incidence of mortality was observed in patients treated with furosemide plus risperidone tablets when compared to patients treated with risperidone tablets alone or with placebo plus furosemide. No pathological mechanism has been identified to explain this finding, and no consistent pattern for cause of death was observed.

Risperidone tablets are not approved for the treatment of dementia-related psychosis [see Boxed Warning] .

Warning: Increased Mortality in Elderly Patients With Dementia Related Psychosis

Elderly patients with dementia-related psychosis treated with antipsychotic drugs are at an increased risk of death. Risperidone tablets are not approved for the treatment of patients with dementia-related psychosis. [see Warnings and Precautions (5.1)]

2.3 Irritability Associated With Autistic Disorder Pediatrics (children and Adolescents)

The dosage of risperidone tablets should be individualized according to the response and tolerability of the patient. The total daily dose of risperidone tablets can be administered once daily, or half the total daily dose can be administered twice daily.

For patients with body weight less than 20 kg, initiate dosing at 0.25 mg per day. For patients with body weight greater than or equal to 20 kg, initiate dosing at 0.5 mg per day. After a minimum of four days, the dose may be increased to the recommended dose of 0.5 mg per day for patients less than 20 kg and 1.0 mg per day for patients greater than or equal to 20 kg. Maintain this dose for a minimum of 14 days. In patients not achieving sufficient clinical response, the dose may be increased at intervals of 2 weeks or greater, in increments of 0.25 mg per day for patients less than 20 kg, or increments of 0.5 mg per day for patients greater than or equal to 20 kg. The effective dose range is 0.5 mg to 3 mg per day. No dosing data are available for children who weigh less than 15 kg.

Once sufficient clinical response has been achieved and maintained, consider gradually lowering the dose to achieve the optimal balance of efficacy and safety. The physician who elects to use risperidone tablets for extended periods should periodically re-evaluate the long-term risks and benefits of the drug for the individual patient.

Patients experiencing persistent somnolence may benefit from a once-daily dose administered at bedtime or administering half the daily dose twice daily, or a reduction of the dose.

5.2 Cerebrovascular Adverse Reactions, Including Stroke, in Elderly Patients With Dementia Related Psychosis

Cerebrovascular adverse reactions (e.g., stroke, transient ischemic attack), including fatalities, were reported in patients (mean age 85 years; range 73-97) in trials of risperidone in elderly patients with dementia-related psychosis. In placebo-controlled trials, there was a significantly higher incidence of cerebrovascular adverse events in patients treated with risperidone compared to patients treated with placebo. Risperidone tablets are not approved for the treatment of patients with dementia-related psychosis. [see Boxed Warning and Warnings and Precautions (5.1)] .


Structured Label Content

Section 43683-2 (43683-2)

Warnings and Precautions ( 5.6)                                                     1/2025



5.8 Falls

Somnolence, postural hypotension, motor and sensory instability have been reported with the use of antipsychotics, including risperidone tablets, which may lead to falls and, consequently, fractures or other fall-related injuries. For patients, particularly the elderly, with diseases, conditions, or medications that could exacerbate these effects, assess the risk of falls when initiating antipsychotic treatment and recurrently for patients on long-term antipsychotic therapy.

9.2 Abuse

Risperidone tablets have not been systematically studied in animals or humans for its potential for abuse. While the clinical trials did not reveal any tendency for any drug-seeking behavior, these observations were not systematic and it is not possible to predict on the basis of this limited experience the extent to which a CNS-active drug will be misused, diverted, and/or abused once marketed. Consequently, patients should be evaluated carefully for a history of drug abuse, and such patients should be observed closely for signs of risperidone tablets misuse or abuse (e.g., development of tolerance, increases in dose, drug-seeking behavior).

5.11 Seizures

During premarketing testing in adult patients with schizophrenia, seizures occurred in 0.3% (9/2607) of risperidone tablets-treated patients, two in association with hyponatremia. Risperidone tablets should be used cautiously in patients with a history of seizures.

5.13 Priapism

Priapism has been reported during postmarketing surveillance. Severe priapism may require surgical intervention.

8.1 Pregnancy

Pregnancy Exposure Registry

There is a pregnancy exposure registry that monitors pregnancy outcomes in women exposed to atypical antipsychotics, including risperidone, during pregnancy. Healthcare providers are encouraged to register patients by contacting the National Pregnancy Registry for Atypical Antipsychotics at 1-866-961-2388 or online at http://womensmentalhealth.org/clinical-and-research-programs/pregnancyregistry/.



Risk Summary

Neonates exposed to antipsychotic drugs during the third trimester of pregnancy are at risk for extrapyramidal and/or withdrawal symptoms following delivery (see Clinical Considerations). Overall, available data from published epidemiologic studies of pregnant women exposed to risperidone have not established a drug-associated risk of major birth defects, miscarriage, or adverse maternal or fetal outcomes (see Data).There are risks to the mother associated with untreated schizophrenia or bipolar I disorder and with exposure to antipsychotics, including risperidone, during pregnancy (see Clinical Considerations).



Oral administration of risperidone to pregnant mice caused cleft palate at doses 3 to 4 times the maximum recommended human dose (MRHD) with maternal toxicity observed at 4-times MRHD based on mg/m 2body surface area. Risperidone was not teratogenic in rats or rabbits at doses up to 6-times the MRHD based on mg/m 2body surface area. Increased stillbirths and decreased birth weight occurred after oral risperidone administration to pregnant rats at 1.5-times the MRHD based on mg/m 2body surface area. Learning was impaired in offspring of rats when the dams were dosed at 0.6-times the MRHD and offspring mortality increased at doses 0.1 to 3 times the MRHD based on mg/m 2body surface area.



The estimated background risk of major birth defects and miscarriage for the indicated population is unknown. All pregnancies have a background risk of birth defect, loss, or other adverse outcomes. In the U.S. general population, the estimated background risk of major birth defects and miscarriage in clinically recognized pregnancies is 2-4% and 15-20%, respectively.



Clinical Considerations

Disease-associated maternal and/or embryo/fetal risk

There is a risk to the mother from untreated schizophrenia or bipolar I disorder, including increased risk of relapse, hospitalization, and suicide. Schizophrenia and bipolar I disorder are associated with increased adverse perinatal outcomes, including preterm birth. It is not known if this is a direct result of the illness or other comorbid factors.



Fetal/Neonatal Adverse Reactions

Extrapyramidal and/or withdrawal symptoms, including agitation, hypertonia, hypotonia, tremor, somnolence, respiratory distress, and feeding disorder have been reported in neonates who were exposed to antipsychotic drugs, including risperidone, during the third trimester of pregnancy. These symptoms have varied in severity. Monitor neonates for extrapyramidal and/or withdrawal symptoms and manage symptoms appropriately. Some neonates recovered within hours or days without specific treatment; others required prolonged hospitalization.



Data

Human Data

Published data from observational studies, birth registries, and case reports on the use of atypical antipsychotics during pregnancy do not report a clear association with antipsychotics and major birth defects. A prospective observational study including 6 women treated with risperidone demonstrated placental passage of risperidone. A retrospective cohort study from a Medicaid database of 9258 women exposed to antipsychotics during pregnancy did not indicate an overall increased risk for major birth defects. There was a small increase in the risk of major birth defects (RR=1.26, 95% CI 1.02-1.56) and of cardiac malformations (RR=1.26, 95% CI 0.88-1.81) in a subgroup of 1566 women exposed to risperidone during the first trimester of pregnancy; however, there is no mechanism of action to explain the difference in malformation rates.



Animal Data

Oral administration of risperidone to pregnant mice during organogenesis caused cleft palate at 10 mg/kg/day which is 3 times the MRHD of 16 mg/day based on mg/m 2body surface area: maternal toxicity occurred at 4 times the MRHD. Risperidone was not teratogenic when administered orally to rats at 0.6 to 10 mg/kg/day and rabbits at 0.3 to 5 mg/kg/day, which are up to 6 times the MRHD of 16 mg/day risperidone based on mg/m 2body surface area. Learning was impaired in offspring of rats dosed orally throughout pregnancy at 1 mg/kg/day which is 0.6 times the MRHD and neuronal cell death increased in fetal brains of offspring of rats dosed during pregnancy at 1 and 2 mg/kg/day which are 0.6 and 1.2 times the MRHD based on mg/m 2body surface area; postnatal development and growth of the offspring were also delayed.



Rat offspring mortality increased during the first 4 days of lactation when pregnant rats were dosed throughout gestation at 0.16 to 5 mg/kg/day which are 0.1 to 3 times the MRHD of 16 mg/day based on mg/m 2body surface area. It is not known whether these deaths were due to a direct effect on the fetuses or pups or to effects on the dams; a no-effect dose could not be determined. The rate of stillbirths was increased at 2.5 mg/kg or 1.5 times the MRHD based on mg/m 2body surface area.



In a rat cross-fostering study the number of live offspring was decreased, the number of stillbirths increased, and the birth weight was decreased in offspring of drug-treated pregnant rats. In addition, the number of deaths increased by Day 1 among offspring of drug-treated pregnant rats, regardless of whether or not the offspring were cross-fostered. Risperidone also appeared to impair maternal behavior in that offspring body weight gain and survival (from Day 1 to 4 of lactation) were reduced in offspring born to control but reared by drug-treated dams. All of these effects occurred at 5 mg/kg which is 3 times the MRHD based on mg/m 2and the only dose tested in the study.

8.2 Lactation

Risk Summary

Limited data from published literature reports the presence of risperidone and its metabolite, 9-hydroxyrisperidone, in human breast milk at relative infant dose ranging between 2.3% and 4.7% of the maternal weight-adjusted dosage. There are reports of sedation, failure to thrive, jitteriness, and extrapyramidal symptoms (tremors and abnormal muscle movements) in breastfed infants exposed to risperidone (see Clinical Considerations).There is no information on the effects of risperidone on milk production. The developmental and health benefits of breastfeeding should be considered along with the mother’s clinical need for risperidone  and any potential adverse effects on the breastfed child from risperidone or from the mother’s underlying condition.



Clinical Considerations

Infants exposed to risperidone through breastmilk should be monitored for excess sedation, failure to thrive, jitteriness, and extrapyramidal symptoms (tremors and abnormal muscle movements).

11 Description (11 DESCRIPTION)

Risperidone tablets, USP contain risperidone USP, an atypical antipsychotic belonging to the chemical class of benzisoxazole derivatives. The chemical designation is 3-[2-[4-(6-fluoro-1,2- benzisoxazol-3-yl)-1-piperidinyl]ethyl]-6,7,8,9-tetrahydro-2-methyl-4H-pyrido[1,2-a]pyrimidin-4-one. Its molecular formula is C 23H 27FN 4O 2and its molecular weight is 410.49. The structural formula is:



Risperidone USP is a white to slightly beige powder. It is practically insoluble in water, freely soluble in methylene chloride, and soluble in methanol and 0.1 NHCl.

Risperidone tablets, USP are for oral administration and available in 0.25 mg (orange), 0.5 mg (orange), 1 mg (white), 2 mg (yellow), 3 mg (orange), and 4 mg (brown) strengths. Risperidone tablets contain the following inactive ingredients: colloidal silicon dioxide, hypromellose, lactose monohydrate, magnesium stearate, microcrystalline cellulose, propylene glycol (except 1 mg), sodium lauryl sulphate, sodium starch glycolate and polyethylene glycol (1 mg). Tablets of 0.25 mg, 0.5 mg, 2 mg, 3 mg, and 4 mg also contain talc and titanium dioxide. 0.25 mg, 0.5 mg, and 3 mg tablets contain FD&C Yellow # 6 aluminum lake, the 2 mg tablets contain yellow iron oxide; the 4 mg tablets contain iron oxide red.

5.12 Dysphagia

Esophageal dysmotility and aspiration have been associated with antipsychotic drug use. Aspiration pneumonia is a common cause of morbidity and mortality in patients with advanced Alzheimer’s dementia. Risperidone tablets and other antipsychotic drugs should be used cautiously in patients at risk for aspiration pneumonia. [see  Boxed Warningand Warnings and Precautions (5.1)].

9.3 Dependence

Risperidone tablets have not been systematically studied in animals or humans for its potential for tolerance or physical dependence.

1.1 Schizophrenia

Risperidone tablets are indicated for the treatment of schizophrenia. Efficacy was established in 4 short-term trials in adults, 2 short-term trials in adolescents (ages 13 to 17 years), and one long-term maintenance trial in adults [see Clinical Studies (14.1)] .

1.2 Bipolar Mania

Monotherapy

Risperidone tablets are indicated for the treatment of acute manic or mixed episodes associated with Bipolar I Disorder. Efficacy was established in 2 short-term trials in adults and one short-term trial in children and adolescents (ages 10 to 17 years) [see Clinical Studies (14.2)]

Adjunctive Therapy

Risperidone tablets adjunctive therapy with lithium or valproate is indicated for the treatment of acute manic or mixed episodes associated with Bipolar I Disorder. Efficacy was established in one short-term trial in adults [see Clinical Studies (14.3)] .

16.1 How Supplied

Risperidone Tablets, USP 1 mgare white to off white, circular, biconvex, film-coated tablets, engraved with 'RI3' on one side and plain on other and are supplied as follows:

Bottles of 7 Tablets NDC 43063-908-07

Bottles of 30 Tablets NDC 43063-908-30

Bottles of 60 Tablets NDC 43063-908-60

2.1 Schizophrenia

Adults

Usual Initial Dose

Risperidone tablets can be administered once or twice daily. Initial dosing is 2 mg per day. May increase the dose at intervals of 24 hours or greater, in increments of 1 to 2 mg per day, as tolerated, to a recommended dose of 4 to 8 mg per day. In some patients, slower titration may be appropriate. Efficacy has been demonstrated in a range of 4 mg to 16 mg per day .However, doses above 6 mg per day for twice daily dosing were not demonstrated to be more efficacious than lower doses, were associated with more extrapyramidal symptoms and other adverse effects, and are generally not recommended. In a single study supporting once-daily dosing, the efficacy results were generally stronger for 8 mg than for 4 mg. The safety of doses above 16 mg per day has not been evaluated in clinical trials [see Clinical Studies (14.1)].

Adolescents

The initial dose is 0.5 mg once daily, administered as a single-daily dose in the morning or evening. The dose may be adjusted at intervals of 24 hours or greater, in increments of 0.5 mg or 1 mg per day, as tolerated, to a recommended dose of 3 mg per day. Although efficacy has been demonstrated in studies of adolescent patients with schizophrenia at doses between 1 mg and 6 mg per day, no additional benefit was observed above 3 mg per day, and higher doses were associated with more adverse events. Doses higher than 6 mg per day have not been studied.

Patients experiencing persistent somnolence may benefit from administering half the daily dose twice daily.

Maintenance Therapy

While it is unknown how long a patient with schizophrenia should remain on risperidone tablets, the effectiveness of risperidone tablets 2 mg per day to 8 mg per day at delaying relapse was demonstrated in a controlled trial in adult patients who had been clinically stable for at least 4 weeks and were then followed for a period of 1 to 2 years [see Clinical Studies (14.1)] . Both adult and adolescent patients who respond acutely should generally be maintained on their effective dose beyond the acute episode. Patients should be periodically reassessed to determine the need for maintenance treatment.

Reinitiation of Treatment in Patients Previously Discontinued

Although there are no data to specifically address reinitiation of treatment, it is recommended that after an interval off risperidone tablets, the initial titration schedule should be followed.

Switching From Other Antipsychotics

There are no systematically collected data to specifically address switching schizophrenic patients from other antipsychotics to risperidone tablets, or treating patients with concomitant antipsychotics.

2.2 Bipolar Mania

Usual Dose

Adults

The inital dose range is 2 mg to 3 mg per day. The dose may be adjusted at intervals of 24 hours or greater, in increments of 1 mg per day. The effective dose range is 1 mg to 6 mg per day, as studied in the short-term, placebo-controlled trials. In these trials, short-term (3 week) anti-manic efficacy was demonstrated in a flexible dosage range of 1 mg to 6 mg per day [see Clinical Studies (14.2, 14.3)] . Risperidone tablets doses higher than 6 mg per day were not studied.

Pediatrics

The inital dose is 0.5 mg once daily, administered as a single-daily dose in the morning or evening. The dose may be adjusted at intervals of 24 hours or greater, in increments of 0.5 mg or 1 mg per day, as tolerated, to the recommended target dose of 1 mg to 2.5 mg per day. Although efficacy has been demonstrated in studies of pediatric patients with bipolar mania at doses between 0.5 mg and 6 mg per day, no additional benefit was observed above 2.5 mg per day, and higher doses were associated with more adverse events. Doses higher than 6 mg per day have not been studied.

Patients experiencing persistent somnolence may benefit from administering half the daily dose twice daily.

Maintenance Therapy

There is no body of evidence available from controlled trials to guide a clinician in the longer-term management of a patient who improves during treatment of an acute manic episode with risperidone tablets. While it is generally agreed that pharmacological treatment beyond an acute response in mania is desirable, both for maintenance of the initial response and for prevention of new manic episodes, there are no systematically obtained data to support the use of risperidone tablets in such longer-term treatment (i.e., beyond 3 weeks). The physician who elects to use risperidone tablets for extended periods should periodically re-evaluate the long-term risks and benefits of the drug for the individual patient.

8.4 Pediatric Use

Approved Pediatric Indications

Schizophrenia

The efficacy and safety of risperidone tablets in the treatment of schizophrenia were demonstrated in 417 adolescents, aged 13 to 17 years, in two short-term (6 and 8 weeks, respectively) double-blind controlled trials [see Indications and Usage (1.1), Adverse Reactions (6.1), and Clinical Studies (14.1)] . Additional safety and efficacy information was also assessed in one long-term (6-month) open-label extension study in 284 of these adolescent patients with schizophrenia.

Safety and effectiveness of risperidone tablets in children less than 13 years of age with schizophrenia have not been established.

Bipolar I Disorder

The efficacy and safety of risperidone tablets in the short-term treatment of acute manic or mixed episodes associated with Bipolar I Disorder in 169 children and adolescent patients, aged 10 to 17 years, were demonstrated in one double-blind, placebo-controlled, 3-week trial [see Indications and Usage (1.2), Adverse Reactions (6.2), and Clinical Studies (14.2)] .

Safety and effectiveness of risperidone tablets in children less than 10 years of age with bipolar disorder have not been established.

Autistic Disorder

The efficacy and safety of risperidone tablets in the treatment of irritability associated with autistic disorder were established in two 8-week, double-blind, placebo-controlled trials in 156 children and adolescent patients, aged 5 to 16 years [see Indications and Usage (1.3)Adverse Reactions (6.1)and Clinical Studies (14.4)] . Additional safety information was also assessed in a long-term study in patients with autistic disorder, or in short- and long-term studies in more than 1200 pediatric patients with psychiatric disorders other than autistic disorder, schizophrenia, or bipolar mania who were of similar age and weight, and who received similar dosages of risperidone tablets as patients treated for irritability associated with autistic disorder.

A third study was a 6-week, multicenter, randomized, double-blind, placebo-controlled, fixed-dose study to evaluate the efficacy and safety of a lower than recommended dose of risperidone in subjects 5 to 17 years of age with autistic disorder and associated irritability, and related behavioral symptoms. There were two weight-based, fixed doses of risperidone (high-dose and low-dose). The high dose was 1.25 mg per day for patients weighing 20 to < 45 kg, and it was 1.75 mg per day for patients weighing ≥ 45 kg.The low dose was 0.125 mg per day for patients weighing 20 to < 45 kg, and it was 0.175 mg per day for patients weighing ≥ 45 kg. The study demonstrated the efficacy of high-dose risperidone, but it did not demonstrate efficacy for low-dose risperidone.

Adverse Reactions in Pediatric Patients

Tardive Dyskinesia

In clinical trials in 1885 children and adolescents treated with risperidone tablets, 2 (0.1%) patients were reported to have tardive dyskinesia, which resolved on discontinuation of risperidone tablets treatment [see also Warnings and Precautions (5.4)] .

Weight Gain

Weight gain has been observed in children and adolescents during treatment with risperidone tablets. Clinical monitoring of weight is recommended during treatment.

Data derive from short-term placebo-controlled trials and longer-term uncontrolled studies in pediatric patients (ages 5 to 17 years) with schizophrenia, bipolar disorder, autistic disorder, or other psychiatric disorders. In the short-term trials (3 to 8 weeks), the mean weight gain for risperidone tablets-treated patients was 2 kg, compared to 0.6 kg for placebo-treated patients. In these trials, approximately 33% of the risperidone tablets group had weight gain ≥7%, compared to 7% in the placebo group. In longer-term, uncontrolled, open-label pediatric studies, the mean weight gain was 5.5 kg at Week 24 and 8 kg at Week 48 [see Warnings and Precautions (5.5)and Adverse Reactions (6.1)].

Somnolence

Somnolence was frequently observed in placebo-controlled clinical trials of pediatric patients with autistic disorder. Most cases were mild or moderate in severity. These events were most often of early onset with peak incidence occurring during the first two weeks of treatment, and transient with a median duration of 16 days. Somnolence was the most commonly observed adverse reaction in the clinical trial of bipolar disorder in children and adolescents, as well as in the schizophrenia trials in adolescents. As was seen in the autistic disorder trials, these adverse reactions were most often of early onset and transient in duration  [see  Adverse Reactions (6.1, 6.2)] . Patients experiencing persistent somnolence may benefit from a change in dosing regimen [see Dosage & Administration (2.1, 2.2, and 2.3)] .

Hyperprolactinemia

Risperidone tablets have been shown to elevate prolactin levels in children and adolescents as well as in adults [see Warnings and Precautions (5.6)] . In double-blind, placebo-controlled studies of up to 8 weeks duration in children and adolescents (aged 5 to 17 years) with autistic disorder or psychiatric disorders other than autistic disorder, schizophrenia, or bipolar mania, 49% of patients who received risperidone tablets had elevated prolactin levels compared to 2% of patients who received placebo. Similarly, in placebo-controlled trials in children and adolescents (aged 10 to 17 years) with bipolar disorder, or adolescents (aged 13 to 17 years) with schizophrenia, 82–87% of patients who received risperidone tablets had elevated levels of prolactin compared to 3–7% of patients on placebo. Increases were dose-dependent and generally greater in females than in males across indications.

In clinical trials in 1885 children and adolescents, galactorrhea was reported in 0.8% of risperidone tablets-treated patients and gynecomastia was reported in 2.3% of risperidone tablets-treated patients.

Growth and Sexual Maturation

The long-term effects of risperidone tablets on growth and sexual maturation have not been fully evaluated in children and adolescents.

Juvenile Animal Studies

Juvenile dogs were treated with oral risperidone from weeks 10 to 50 of age (equivalent to the period of childhood through adolescence in humans), at doses of 0.31, 1.25, or 5 mg/kg/day, which are 1.2, 3.4, and 13.5 times the MRHD of  6 mg/day for children, based on mg/m 2body surface area. Bone length and density were decreased with a no-effect dose of 0.31 mg/kg/day; this dose produced plasma AUC of risperidone plus its active metabolite paliperidone (9-hydroxy-risperidone) that were similar to those in children and adolescents receiving the MRHD of 6 mg/day. In addition, sexual maturation was delayed at all doses in both males and females. The above effects showed little or no reversibility in females after a 12 week drug-free recovery period.



Juvenile rats, treated with oral risperidone from days 12 to 50 of age (equivalent to the period of infancy through adolescence in humans) showed impaired learning and memory performance (reversible only in females), with a no-effect dose of 0.63 mg/kg/day which is 0.5 times the MRHD of 6 mg/day for children, based on mg/m 2body surface area. This dose produced plasma AUC of risperidone plus paliperidone about half the exposure observed in humans at the MRHD. No other consistent effects on neurobehavioral or reproductive development were seen up to the highest tested dose of 1.25 mg/kg/day which is 1 time the MRHD and produced plasma AUC of risperidone plus paliperidone that were about two thirds of those observed in humans at the MRHD of 6 mg/day for children.

8.5 Geriatric Use

Clinical studies of risperidone tablets in the treatment of schizophrenia did not include sufficient numbers of patients aged 65 and over to determine whether or not they respond differently than younger patients. Other reported clinical experience has not identified differences in responses between elderly and younger patients. In general, a lower starting dose is recommended for an elderly patient, reflecting a decreased pharmacokinetic clearance in the elderly, as well as a greater frequency of decreased hepatic, renal, or cardiac function, and of concomitant disease or other drug therapy [see Clinical Pharmacology (12.3)and Dosage & Administration (2.4, 2.5)] . While elderly patients exhibit a greater tendency to orthostatic hypotension, its risk in the elderly may be minimized by limiting the initial dose to 0.5 mg twice daily followed by careful titration [see Warnings and Precautions (5.7)] . Monitoring of orthostatic vital signs should be considered in patients for whom this is of concern.

This drug is substantially excreted by the kidneys, and the risk of toxic reactions to this drug may be greater in patients with impaired renal function. Because elderly patients are more likely to have decreased renal function, care should be taken in dose selection, and it may be useful to monitor renal function [see Dosage & Administration (2.4)] .

14.1 Schizophrenia

Adults

Short-Term Efficacy

The efficacy of risperidone tablets in the treatment of schizophrenia was established in four short-term (4- to 8-week) controlled trials of psychotic inpatients who met DSM-III-R criteria for schizophrenia.

Several instruments were used for assessing psychiatric signs and symptoms in these studies, among them the Brief Psychiatric Rating Scale (BPRS), a multi-item inventory of general psychopathology traditionally used to evaluate the effects of drug treatment in schizophrenia. The BPRS psychosis cluster (conceptual disorganization, hallucinatory behavior, suspiciousness, and unusual thought content) is considered a particularly useful subset for assessing actively psychotic schizophrenic patients. A second traditional assessment, the Clinical Global Impression (CGI), reflects the impression of a skilled observer, fully familiar with the manifestations of schizophrenia, about the overall clinical state of the patient. In addition, the Positive and Negative Syndrome Scale (PANSS) and the Scale for Assessing Negative Symptoms (SANS) were employed. 

The results of the trials follow:

  • In a 6-week, placebo-controlled trial (n=160) involving titration of risperidone tablets in doses up to 10 mg/day (twice-daily schedule), risperidone tablets were generally superior to placebo on the BPRS total score, on the BPRS psychosis cluster, and marginally superior to placebo on the SANS. 
  • In an 8-week, placebo-controlled trial (n=513) involving 4 fixed doses of risperidone tablets (2 mg/day, 6 mg/day, 10 mg/day, and 16 mg/day, on a twice-daily schedule), all 4 risperidone tablets groups were generally superior to placebo on the BPRS total score, BPRS psychosis cluster, and CGI severity score; the 3 highest risperidone tablets dose groups were generally superior to placebo on the PANSS negative subscale. The most consistently positive responses on all measures were seen for the 6 mg dose group, and there was no suggestion of increased benefit from larger doses. 
  • In an 8-week, dose comparison trial (n=1356) involving 5 fixed doses of risperidone tablets (1 mg/day, 4 mg/day, 8 mg/day, 12 mg/day, and 16 mg/day, on a twice-daily schedule), the four highest risperidone tablets dose groups were generally superior to the 1 mg risperidone tablets dose group on BPRS total score, BPRS psychosis cluster, and CGI severity score. None of the dose groups were superior to the 1 mg group on the PANSS negative subscale. The most consistently positive responses were seen for the 4 mg dose group. 
  • In a 4-week, placebo-controlled dose comparison trial (n=246) involving 2 fixed doses of risperidone tablets (4 and 8 mg/day on a once-daily schedule), both risperidone tablets dose groups were generally superior to placebo on several PANSS measures, including a response measure (>20% reduction in PANSS total score), PANSS total score, and the BPRS psychosis cluster (derived from PANSS). The results were generally stronger for the 8 mg than for the 4 mg dose group. 

Long-Term Efficacy

In a longer-term trial, 365 adult outpatients predominantly meeting DSM-IV criteria for schizophrenia and who had been clinically stable for at least 4 weeks on an antipsychotic medication were randomized to risperidone tablets (2-8 mg/day) or to an active comparator, for 1 to 2 years of observation for relapse. Patients receiving risperidone tablets experienced a significantly longer time to relapse over this time period compared to those receiving the active comparator. 

Pediatrics

The efficacy of risperidone tablets in the treatment of schizophrenia in adolescents aged 13–17 years was demonstrated in two short-term (6 and 8 weeks), double-blind controlled trials. All patients met DSM-IV diagnostic criteria for schizophrenia and were experiencing an acute episode at time of enrollment. In the first trial (study #1), patients were randomized into one of three treatment groups: Risperidone tablets 1-3 mg/day (n = 55, mean modal dose = 2.6 mg), risperidone tablets 4-6 mg/day (n = 51, mean modal dose = 5.3 mg), or placebo (n = 54). In the second trial (study #2), patients were randomized to either risperidone tablets 0.15-0.6 mg/day (n = 132, mean modal dose = 0.5 mg) or risperidone tablets 1.5–6 mg/day (n = 125, mean modal dose = 4 mg). In all cases, study medication was initiated at 0.5 mg/day (with the exception of the 0.15-0.6 mg/day group in study #2, where the initial dose was 0.05 mg/day) and titrated to the target dosage range by approximately Day 7. Subsequently, dosage was increased to the maximum tolerated dose within the target dose range by Day 14. The primary efficacy variable in all studies was the mean change from baseline in total PANSS score.

Results of the studies demonstrated efficacy of risperidone tablets in all dose groups from 1-6 mg/day compared to placebo, as measured by significant reduction of total PANSS score. The efficacy on the primary parameter in the 1-3 mg/day group was comparable to the 4-6 mg/day group in study #1, and similar to the efficacy demonstrated in the 1.5–6 mg/day group in study #2. In study #2, the efficacy in the 1.5-6 mg/day group was statistically significantly greater than that in the 0.15-0.6 mg/day group. Doses higher than 3 mg/day did not reveal any trend towards greater efficacy.

4 Contraindications (4 CONTRAINDICATIONS)

Risperidone tablets are contraindicated in patients with a known hypersensitivity to either risperidone or paliperidone, or to any of the excipients in the risperidone tablets formulation. Hypersensitivity reactions, including anaphylactic reactions and angioedema, have been reported in patients treated with risperidone and in patients treated with paliperidone. Paliperidone is a metabolite of risperidone.

6 Adverse Reactions (6 ADVERSE REACTIONS)

The following are discussed in more detail in other sections of the labeling:



•  Increased mortality in elderly patients with dementia-related psychosis [see  Boxed Warningand Warnings and Precautions ( 5.1)]



• Cerebrovascular adverse events, including stroke, in elderly patients with dementia-related psychosis [see Warnings and Precautions ( 5.2)]



• Neuroleptic malignant syndrome [see Warnings and Precautions ( 5.3)]



• Tardive dyskinesia [see Warnings and Precautions ( 5.4)]



• Metabolic Changes (Hyperglycemia and diabetes mellitus, Dyslipidemia, and Weight Gain) [see Warnings and Precautions ( 5.5)]



• Hyperprolactinemia [see Warnings and Precautions ( 5.6)]



• Orthostatic hypotension [see Warnings and Precautions ( 5.7)]



• Falls [see Warnings and Precautions ( 5.8)]



• Leukopenia, neutropenia, and agranulocytosis [see Warnings and Precautions ( 5.9)]



• Potential for cognitive and motor impairment [see Warnings and Precautions ( 5.10)]



• Seizures [see Warnings and Precautions ( 5.11)]



• Dysphagia [see Warnings and Precautions ( 5.12)]



• Priapism [see Warnings and Precautions ( 5.13)]



• Disruption of body temperature regulation [see Warnings and Precautions ( 5.14)]

The most common adverse reactions in clinical trials (> 5% and twice placebo) were parkinsonism, akathisia, dystonia, tremor, sedation, dizziness, anxiety, blurred vision, nausea, vomiting, upper abdominal pain, stomach discomfort, dyspepsia, diarrhea, salivary hypersecretion, constipation, dry mouth, increased appetite, increased weight, fatigue, rash, nasal congestion, upper respiratory tract infection, nasopharyngitis, and pharyngolaryngeal pain.

The most common adverse reactions that were associated with discontinuation from clinical trials (causing discontinuation in >1% of adults and/or >2% of pediatrics) were nausea, somnolence, sedation, vomiting, dizziness, and akathisia [see Adverse Reactions, Discontinuations Due to Adverse Reactions ( 6.1)] .

The data described in this section are derived from a clinical trial database consisting of 9803 adult and pediatric patients exposed to one or more doses of risperidone tablets for the treatment of schizophrenia, bipolar mania, autistic disorder, and other psychiatric disorders in pediatrics and elderly patients with dementia. Of these 9803 patients, 2687 were patients who received risperidone tablets while participating in double-blind, placebo-controlled trials. The conditions and duration of treatment with risperidone tablets varied greatly and included (in overlapping categories) double-blind, fixed- and flexible-dose, placebo- or active-controlled studies and open-label phases of studies, inpatients and outpatients, and short-term (up to 12 weeks) and longer-term (up to 3 years) exposures. Safety was assessed by collecting adverse events and performing physical examinations, vital signs, body weights, laboratory analyses, and ECGs.

7 Drug Interactions (7 DRUG INTERACTIONS)
  • Carbamazepine and other enzyme inducers decrease plasma concentrations of risperidone. Increase the risperidone tablets dose up to double the patient’s usual dose. Titrate slowly. ( 7.1)
  • Fluoxetine, paroxetine, and other CYP 2D6 enzyme inhibitors increase plasma concentrations of risperidone. Reduce the initial dose. Do not exceed a final dose of 8 mg per day of risperidone tablets. ( 7.1)
8.6 Renal Impairment

In patients with moderate to severe (Clcr 59 to 15 mL/min) renal disease, clearance of the sum of risperidone and its active metabolite decreased by 60%, compared to young healthy subjects. Risperidone tablets doses should be reduced in patients with renal disease [see Dosage and Administration (2.4)] .

10.1 Human Experience

Premarketing experience included eight reports of acute risperidone tablets overdosage with estimated doses ranging from 20 to 300 mg and no fatalities. In general, reported signs and symptoms were those resulting from an exaggeration of the drug's known pharmacological effects, i.e., drowsiness and sedation, tachycardia and hypotension, and extrapyramidal symptoms. One case, involving an estimated overdose of 240 mg, was associated with hyponatremia, hypokalemia, prolonged QT, and widened QRS. Another case, involving an estimated overdose of 36 mg, was associated with a seizure.

Postmarketing experience includes reports of acute risperidone tablets overdosage, with estimated doses of up to 360 mg. In general, the most frequently reported signs and symptoms are those resulting from an exaggeration of the drug's known pharmacological effects, i.e., drowsiness, sedation, tachycardia, hypotension, and extrapyramidal symptoms. Other adverse reactions reported since market introduction related to risperidone tablets overdose include prolonged QT interval and convulsions. Torsade de pointes has been reported in association with combined overdose of risperidone tablets and paroxetine.

12.2 Pharmacodynamics

Risperidone is a monoaminergic antagonist with high affinity (Ki of 0.12 to 7.3 nM) for the serotonin Type 2 (5HT 2), dopamine Type 2 (D 2), α 1and α 2adrenergic, and H 1histaminergic receptors. Risperidone showed low to moderate affinity (Ki of 47 to 253 nM) for the serotonin 5HT 1C, 5HT 1D, and 5HT 1Areceptors, weak affinity (Ki of 620 to 800 nM) for the dopamine D 1and haloperidol-sensitive sigma site, and no affinity (when tested at concentrations >10 -5 M) for cholinergic muscarinic or β 1and β 2adrenergic receptors.

12.3 Pharmacokinetics

Absorption

Risperidone is well absorbed. The absolute oral bioavailability of risperidone is 70% (CV=25%). The relative oral bioavailability of risperidone from a tablet is 94% (CV=10%) when compared to a solution.

Plasma concentrations of risperidone, its major metabolite, 9-hydroxyrisperidone, and risperidone plus 9-hydroxyrisperidone are dose proportional over the dosing range of 1 to 16 mg daily (0.5 to 8 mg twice daily). Following oral administration of tablet, mean peak plasma concentrations of risperidone occurred at about 1 hour. Peak concentrations of 9-hydroxyrisperidone occurred at about 3 hours in extensive metabolizers, and 17 hours in poor metabolizers. Steady-state concentrations of risperidone are reached in 1 day in extensive metabolizers and would be expected to reach steady-state in about 5 days in poor metabolizers. Steady-state concentrations of 9-hydroxyrisperidone are reached in 5-6 days (measured in extensive metabolizers). 

Food Effect

Food does not affect either the rate or extent of absorption of risperidone. Thus, risperidone tablets can be given with or without meals. 

Distribution

Risperidone is rapidly distributed. The volume of distribution is 1-2 L/kg. In plasma, risperidone is bound to albumin and α 1-acid glycoprotein. The plasma protein binding of risperidone is approximately 90%, and that of its major metabolite, 9-hydroxyrisperidone, is 77%. Neither risperidone nor 9-hydroxyrisperidone displaces each other from plasma binding sites. High therapeutic concentrations of sulfamethazine (100 mcg/mL), warfarin (10 mcg/mL), and carbamazepine (10 mcg/mL) caused only a slight increase in the free fraction of risperidone at 10 ng/mL and 9-hydroxyrisperidone at 50 ng/mL, changes of unknown clinical significance. 

Elimination

Metabolism

Risperidone is extensively metabolized in the liver. The main metabolic pathway is through hydroxylation of risperidone to 9-hydroxyrisperidone by the enzyme, CYP 2D6. A minor metabolic pathway is through N-dealkylation. The main metabolite, 9-hydroxyrisperidone, has similar pharmacological activity as risperidone. Consequently, the clinical effect of the drug results from the combined concentrations of risperidone plus 9-hydroxyrisperidone.

CYP 2D6, also called debrisoquin hydroxylase, is the enzyme responsible for metabolism of many neuroleptics, antidepressants, antiarrhythmics, and other drugs. CYP 2D6 is subject to genetic polymorphism (about 6%-8% of Caucasians, and a very low percentage of Asians, have little or no activity and are “poor metabolizers”) and to inhibition by a variety of substrates and some non-substrates, notably quinidine. Extensive CYP 2D6 metabolizers convert risperidone rapidly into 9-hydroxyrisperidone, whereas poor CYP 2D6 metabolizers convert it much more slowly. Although extensive metabolizers have lower risperidone and higher 9-hydroxyrisperidone concentrations than poor metabolizers, the pharmacokinetics of risperidone and 9-hydroxyrisperidone combined, after single and multiple doses, are similar in extensive and poor metabolizers.

Excretion

Risperidone and its metabolites are eliminated via the urine and, to a much lesser extent, via the feces. As illustrated by a mass balance study of a single 1 mg oral dose of 14C-risperidone administered as solution to three healthy male volunteers, total recovery of radioactivity at 1 week was 84%, including 70% in the urine and 14% in the feces. 

The apparent half-life of risperidone was 3 hours (CV=30%) in extensive metabolizers and 20 hours (CV=40%) in poor metabolizers. The apparent half-life of 9-hydroxyrisperidone was about 21 hours (CV=20%) in extensive metabolizers and 30 hours (CV=25%) in poor metabolizers. The pharmacokinetics of risperidone and 9-hydroxyrisperidone combined, after single and multiple doses, were similar in extensive and poor metabolizers, with an overall mean elimination half-life of about 20 hours. 

Drug Interaction Studies

Risperidone could be subject to two kinds of drug-drug interactions. First, inhibitors of CYP 2D6 interfere with conversion of risperidone to 9-hydroxyrisperidone [see Drug Interactions ( 7)]. This occurs with quinidine, giving essentially all recipients a risperidone pharmacokinetic profile typical of poor metabolizers. The therapeutic benefits and adverse effects of risperidone in patients receiving quinidine have not been evaluated, but observations in a modest number (n≅70) of poor metabolizers given risperidone tablets do not suggest important differences between poor and extensive metabolizers. Second, co-administration of known enzyme inducers (e.g., carbamazepine, phenytoin, rifampin, and phenobarbital) with risperidone tablets may cause a decrease in the combined plasma concentrations of risperidone and 9-hydroxyrisperidone [see Drug Interactions ( 7)]. It would also be possible for risperidone to interfere with metabolism of other drugs metabolized by CYP 2D6. Relatively weak binding of risperidone to the enzyme suggests this is unlikely [see Drug Interactions ( 7)].

In vitrostudies indicate that risperidone is a relatively weak inhibitor of CYP 2D6. Therefore, risperidone tablets are not expected to substantially inhibit the clearance of drugs that are metabolized by this enzymatic pathway. In drug interaction studies, risperidone tablets did not significantly affect the pharmacokinetics of donepezil and galantamine, which are metabolized by CYP 2D6.

In vitrostudies demonstrated that drugs metabolized by other CYP isozymes, including 1A1, 1A2, 2C9, 2C19, and 3A4, are only weak inhibitors of risperidone metabolism.



Specific Populations

Renal and Hepatic Impairment

[See Use in Specific Populations (8.6  and 8.7) ].

Elderly

In healthy elderly subjects, renal clearance of both risperidone and 9-hydroxyrisperidone was decreased, and elimination half-lives were prolonged compared to young healthy subjects. Dosing should be modified accordingly in the elderly patients [see Use in Specific Populations (8.5) ]

Pediatric

The pharmacokinetics of risperidone and 9-hydroxyrisperidone in children were similar to those in adults after correcting for the difference in body weight. 

Race and Gender Effects

No specific pharmacokinetic study was conducted to investigate race and gender effects, but a population pharmacokinetic analysis did not identify important differences in the disposition of risperidone due to gender (whether corrected for body weight or not) or race.

5.5 Metabolic Changes

Atypical antipsychotic drugs have been associated with metabolic changes that may increase cardiovascular/cerebrovascular risk. These metabolic changes include hyperglycemia, dyslipidemia, and body weight gain. While all of the drugs in the class have been shown to produce some metabolic changes, each drug has its own specific risk profile.



Hyperglycemia and Diabetes Mellitus

Hyperglycemia and diabetes mellitus, in some cases extreme and associated with ketoacidosis or hyperosmolar coma or death, have been reported in patients treated with atypical antipsychotics including risperidone tablets. Assessment of the relationship between atypical antipsychotic use and glucose abnormalities is complicated by the possibility of an increased background risk of diabetes mellitus in patients with schizophrenia and the increasing incidence of diabetes mellitus in the general population. Given these confounders, the relationship between atypical antipsychotic use and hyperglycemia-related adverse events is not completely understood. However, epidemiological studies suggest an increased risk of treatment-emergent hyperglycemia-related adverse events in patients treated with the atypical antipsychotics. Precise risk estimates for hyperglycemia-related adverse events in patients treated with atypical antipsychotics are not available.



Patients with an established diagnosis of diabetes mellitus who are started on atypical antipsychotics, including risperidone tablets, should be monitored regularly for worsening of glucose control. Patients with risk factors for diabetes mellitus (e.g., obesity, family history of diabetes) who are starting treatment with atypical antipsychotics, including risperidone tablets, should undergo fasting blood glucose testing at the beginning of treatment and periodically during treatment. Any patient treated with atypical antipsychotics, including risperidone tablets, should be monitored for symptoms of hyperglycemia including polydipsia, polyuria, polyphagia, and weakness. Patients who develop symptoms of hyperglycemia during treatment with atypical antipsychotics, including risperidone tablets, should undergo fasting blood glucose testing. In some cases, hyperglycemia has resolved when the atypical antipsychotic, including risperidone tablets, was discontinued; however, some patients required continuation of anti-diabetic treatment despite discontinuation of risperidone tablets.



Pooled data from three double-blind, placebo-controlled schizophrenia studies and four double-blind, placebo-controlled bipolar monotherapy studies are presented in Table 2.

Table 2.    Change in Random Glucose from Seven Placebo-Controlled, 3- to 8-Week, Fixed- or Flexible-Dose Studies in Adult Subjects with Schizophrenia or Bipolar Mania
 

Risperidone Tablets

 

Placebo

1–8 mg/day

>8–16 mg/day

 

Mean change from baseline (mg/dL)

 

 

Serum Glucose

n=555

- 1.4

n=748

 

0.8

n=164

 

0.6

 

Proportion of patients with shifts

Serum Glucose

(<140 mg/dL to ≥200 mg/dL)

 

0.6%

(3/525)

 

0.4%

(3/702)

 

0%

(0/158)

In longer-term, controlled and uncontrolled studies, risperidone tablets were associated with a mean change in glucose of +2.8 mg/dL at Week 24 (n=151) and +4.1 mg/dL at Week 48 (n=50).



Data from the placebo-controlled 3- to 6-week study in children and adolescents with schizophrenia (13–17 years of age), bipolar mania (10–17 years of age), or autistic disorder (5 to 17 years of age) are presented in Table 3. 

Table 3.  Change in Fasting Glucose from Three Placebo-Controlled, 3- to 6-Week, Fixed-Dose   Studies in Children and Adolescents with Schizophrenia (13–17 years of age), Bipolar Mania (10–17 years of age), or Autistic Disorder (5 to 17 years of age)
 

Risperidone Tablets

 

Placebo

0.5-6 mg/day

 

Mean change from baseline (mg/dL)

 

 

Serum Glucose

n=76

 

-1.3

n=135

 

2.6

 

Proportion of patients with shifts

Serum Glucose

(<100 mg/dL to ≥126 mg/dL)

 

0%

(0/64)

 

0.8%

(1/120)



In longer-term, uncontrolled, open-label extension pediatric studies, risperidone tablets were associated with a mean change in fasting glucose of +5.2 mg/dL at Week 24 (n=119).



Dyslipidemia

Undesirable alterations in lipids have been observed in patients treated with atypical antipsychotics.



Pooled data from 7 placebo-controlled, 3- to 8- week, fixed- or flexible-dose studies in adult subjects with schizophrenia or bipolar mania are presented in Table 4.

Table 4. Change in Random Lipids from Seven Placebo-Controlled, 3- to 8-Week, Fixed- or Flexible -Dose Studies in Adult Subjects with Schizophrenia or Bipolar Mania
 

Risperidone Tablets

 

Placebo

1–8 mg/day

>8–16 mg/day

 

Mean change from baseline (mg/dL)

Cholesterol

n=559

n=742

n=156

Change from baseline

0.6

6.9

1.8

Triglycerides

n=183

n=307

n=123

Change from baseline

-17.4

-4.9

-8.3

 

 

Proportion of patients with shifts

Cholesterol

(<200 mg/dL to ≥240 mg/dL)

 

2.7%

(10/368)

 

4.3%

(22/516)

 

6.3%

(6/96)

Triglycerides

1.1%

2.7%

2.5%

(<500 mg/dL to ≥500 mg/dL)

(2/180)

(8/301)

(3/121)

In longer-term, controlled and uncontrolled studies, risperidone tablets were associated with a mean change in (a) non-fasting cholesterol of +4.4 mg/dL at Week 24 (n=231) and +5.5 mg/dL at Week 48 (n=86); and (b) non-fasting triglycerides of +19.9 mg/dL at Week 24 (n=52).



Pooled data from 3 placebo-controlled, 3- to 6-week, fixed-dose studies in children and adolescents with schizophrenia (13–17 years of age), bipolar mania (10–17 years of age), or autistic disorder (5–17 years of age) are presented in Table 5.

Table 5.    Change in Fasting Lipids from Three Placebo-Controlled, 3- to 6-Week, Fixed-Dose Studies in Children and Adolescents with Schizophrenia (13–17 Years of Age), Bipolar Mania (10–17 Years of Age), or Autistic Disorder (5 to 17 Years of Age)
 

Risperidone Tablets

 

Placebo

0.5-6 mg/day

 

Mean change from baseline (mg/dL)

Cholesterol

n=74

n=133

Change from baseline

0.3

 

-0.3

 

LDL

n=22

n=22

Change from baseline

3.7

 

0.5

HDL

n=22

n=22

Change from baseline

1.6

 

-1.9

Triglycerides

n=77

n=138

Change from baseline

-9.0

-2.6

 

Proportion of patients with shifts

Cholesterol

2.4%

3.8%

(<170 mg/dL to ≥200 mg/dL)

(1/42)

(3/80)

LDL

0%

0%

(<110 mg/dL to ≥130 mg/dL)

(0/16)

(0/16)

HDL

0%

10%

(≥40 mg/dL to <40 mg/dL)

(0/19)

(2/20)

Triglycerides

1.5%

7.1%

(<150 mg/dL to ≥200 mg/dL)

(1/65)

(8/113)

In longer-term, uncontrolled, open-label extension pediatric studies, risperidone tablets were associated with a mean change in (a) fasting cholesterol of +2.1 mg/dL at Week 24 (n=114); (b) fasting LDL of -0.2 mg/dL at Week 24 (n=103); (c) fasting HDL of +0.4 mg/dL at Week 24 (n=103); and (d) fasting triglycerides of +6.8 mg/dL at Week 24 (n=120).



Weight Gain

Weight gain has been observed with atypical antipsychotic use. Clinical monitoring of weight is recommended.



Data on mean changes in body weight and the proportion of subjects meeting a weight gain criterion of 7% or greater of body weight from 7 placebo-controlled, 3- to 8- week, fixed- or flexible-dose studies in adult subjects with schizophrenia or bipolar mania are presented in Table 6.

Table 6. Mean Change in Body Weight (kg) and the Proportion of Subjects with =7% Gain in Body Weight From Seven Placebo-Controlled, 3- to 8-Week, Fixed- or Flexible-Dose Studies in Adult Subjects With Schizophrenia or Bipolar Mania
 

Risperidone Tablets

 

Placebo

(n=597)

1–8 mg/day

(n=769)

>8–16 mg/day

(n=158)

Weight (kg)

Change from baseline

-0.3

0.7

2.2

Weight Gain

 

 

 

≥7% increase from baseline

2.9%

8.7%

20.9%

In longer-term, controlled and uncontrolled studies, risperidone tablets were associated with a mean change in weight of +4.3 kg at Week 24 (n=395) and +5.3 kg at Week 48 (n=203).



Data on mean changes in body weight and the proportion of subjects meeting the criterion of ≥7% gain in body weight from nine placebo-controlled, 3- to 8-week, fixed-dose studies in children and adolescents with schizophrenia (13–17 years of age), bipolar mania (10–17 years of age), autistic disorder (5–17 years of age), or other psychiatric disorders (5–17 years of age) are presented in Table 7.



Table 7.   Mean Change in Body Weight (kg) and the Proportion of Subjects With =7% Gain in Body Weight From Nine Placebo-Controlled, 3- to 8-Week, Fixed-Dose Studies in Children and Adolescents With Schizophrenia (13–17 Years of Age), Bipolar Mania (10–17 Years of Age), Autistic Disorder (5 to 17 Years of Age) or Other Psychiatric Disorders (5–17 Years of Age)
 

Placebo

Risperidone Tablets

0.5–6 mg/day

 

(n=375)

(n=448)

Weight (kg)

Change from baseline

0.6

2.0

Weight Gain

 

 

≥7% increase from baseline

6.9%

32.6%

In longer-term, uncontrolled, open-label extension pediatric studies, risperidone tablets were associated with a mean change in weight of +5.5 kg at Week 24 (n=748) and +8.0 kg at Week 48 (n=242).



In a long-term, open-label extension study in adolescent patients with schizophrenia, weight increase was reported as a treatment-emergent adverse event in 14% of patients. In 103 adolescent patients with schizophrenia, a mean increase of 9.0 kg was observed after 8 months of risperidone tablets treatment. The majority of that increase was observed within the first 6 months. The average percentiles at baseline and 8 months, respectively, were 56 and 72 for weight, 55 and 58 for height, and 51 and 71 for body mass index.



In long-term, open-label trials (studies in patients with autistic disorder or other psychiatric disorders), a mean increase of 7.5 kg after 12 months of risperidone tablets treatment was observed, which was higher than the expected normal weight gain (approximately 3 to 3.5 kg per year adjusted for age, based on Centers for Disease Control and Prevention normative data). The majority of that increase occurred within the first 6 months of exposure to risperidone tablets. The average percentiles at baseline and 12 months, respectively, were 49 and 60 for weight, 48 and 53 for height, and 50 and 62 for body mass index.



In one 3-week, placebo-controlled trial in children and adolescent patients with acute manic or mixed episodes of bipolar I disorder, increases in body weight were higher in the risperidone tablets groups than the placebo group, but not dose related (1.90 kg in the risperidone tablets 0.5–2.5 mg group, 1.44 kg in the risperidone tablets 3–6 mg group, and 0.65 kg in the placebo group). A similar trend was observed in the mean change from baseline in body mass index.



When treating pediatric patients with risperidone tablets for any indication, weight gain should be assessed against that expected with normal growth.

5.4 Tardive Dyskinesia

Tardive dyskinesia, a syndrome consisting of potentially irreversible, involuntary, dyskinetic movements, may develop in patients treated with antipsychotic drugs. Although the prevalence of the syndrome appears to be highest among the elderly, especially elderly women, it is impossible to predict which patients will develop the syndrome. Whether antipsychotic drug products differ in their potential to cause tardive dyskinesia is unknown.

The risk of developing tardive dyskinesia and the likelihood that it will become irreversible increase with the duration of treatment and the cumulative dose. The syndrome can develop after relatively brief treatment periods, even at low doses. It may also occur after discontinuation of treatment.

Tardive dyskinesia may remit, partially or completely, if antipsychotic treatment is discontinued. Antipsychotic treatment, itself, however, may suppress (or partially suppress) the signs and symptoms of the syndrome, possibly masking the underlying process. The effect that symptomatic suppression has upon the long-term course of the syndrome is unknown.

Given these considerations, risperidone tablets  should be prescribed in a manner that is most likely to minimize the occurrence of tardive dyskinesia. Chronic antipsychotic treatment should generally be reserved for patients: (1) who suffer from a chronic illness that is known to respond to antipsychotic drugs, and (2) for whom alternative, equally effective, but potentially less harmful treatments are not available or appropriate. In patients who do require chronic treatment, use the lowest dose and the shortest duration of treatment producing a satisfactory clinical response. Periodically reassess the need for continued treatment.

If signs and symptoms of tardive dyskinesia appear in a patient on risperidone tablets, drug discontinuation should be considered. However, some patients may require treatment with risperidone tablets despite the presence of the syndrome.

5.6 Hyperprolactinemia

As with other drugs that antagonize dopamine D2 receptors, risperidone tablets elevates prolactin levels and the elevation persists during chronic administration. Risperidone tablets are associated with higher levels of prolactin elevation than other antipsychotic agents.

Hyperprolactinemia may suppress hypothalamic GnRH, resulting in reduced pituitary gonadotropin secretion. This, in turn, may inhibit reproductive function by impairing gonadal steroidogenesis in both female and male patients. Galactorrhea, amenorrhea, gynecomastia, and impotence have been reported in patients receiving prolactin-elevating compounds. Long-standing hyperprolactinemia when associated with hypogonadism may lead to decreased bone density in both female and male subjects.

Tissuecultureexperiments indicate that approximately one-third of human breast cancers are prolactin dependent in vitro, a factor of potential importance if the prescription of these drugs is contemplated in a patient with previously detected breast cancer. An increase in pituitary gland, mammary gland, and pancreatic islet cell neoplasia (mammary adenocarcinomas, pituitary and pancreatic adenomas) was observed in the risperidone carcinogenicity studies conducted in mice and rats [see Nonclinical Toxicology ( 13.1)]. Published epidemiologic studies have shown inconsistent results when exploring the potential association between hyperprolactinemia and breast cancer.

8.7 Hepatic Impairment

While the pharmacokinetics of risperidone in subjects with liver disease were comparable to those in young healthy subjects, the mean free fraction of risperidone in plasma was increased by about 35% because of the diminished concentration of both albumin and α 1-acid glycoprotein. Risperidone tablets doses should be reduced in patients with liver disease [see Dosage and Administration (2.4)] .

1 Indications and Usage (1 INDICATIONS AND USAGE)

Risperidone tablets are an atypical antipsychotic indicated for:

  • Treatment of schizophrenia ( 1.1)
  • As monotherapy or adjunctive therapy with lithium or valproate, for the treatment of acute manic or mixed episodes associated with Bipolar I Disorder ( 1.2)
  • Treatment of irritability associated with autistic disorder ( 1.3)
12.1 Mechanism of Action

The mechanism of action of risperidone in schizophrenia is unclear. The drug's therapeutic activity in schizophrenia could be mediated through a combination of dopamine Type 2 (D 2) and serotonin Type 2 (5HT 2) receptor antagonism. The clinical effect from risperidone results from the combined concentrations of risperidone and its major metabolite, 9-hydroxyrisperidone (paliperidone) [see Clinical Pharmacology ( 12.3)] . Antagonism at receptors other than D 2and 5HT 2may explain some of the other effects of risperidone [see Clinical Pharmacology ( 12.1)] .

9.1 Controlled Substance

Risperidone tablets are not a controlled substance.

16.2 Storage and Handling

Risperidone tablets should be stored at 20°C to 25°C (68°F to 77°F); excursions permitted between 15°C to 30°C (59°F to 86°F) [see USP controlled room temperature]. Protect from light and moisture.

Keep out of reach of children.

5 Warnings and Precautions (5 WARNINGS AND PRECAUTIONS)
  • Cerebrovascular events, including stroke, in elderly patients with dementia-related psychosis: Risperidone tablets are not approved for use in patients with dementia-related psychosis ( 5.2)
  • Neuroleptic Malignant Syndrome: Manage with immediate discontinuation of risperidone tablets and close monitoring. ( 5.3)
  • Tardive dyskinesia: Consider discontinuing risperidone tablets if clinically indicated. ( 5.4)
  • Metabolic Changes: Atypical antipsychotic drugs have been associated with metabolic changes that may increase cardiovascular / cerebrovascular risk. These metabolic changes include hyperglycemia, dyslipidemia, and weight gain. ( 5.5)
    • Hyperglycemia and Diabetes Mellitus:Monitor patients for symptoms of hyperglycemia including polydipsia, polyuria, polyphagia and weakness. Monitor glucose regularly in patients with diabetes or at risk for diabetes. ( 5.5)
    • Dyslipidemia:Undesirable alterations have been observed in patients treated with atypical antipsychotics. ( 5.5)
    • Weight Gain: Significant weight gain has been reported. Monitor weight gain. ( 5.5)
  • Hyperprolactinemia: Prolactin elevations occur and persist during chronic administration. ( 5.6)
  • Orthostatic hypotension: For patients at risk, consider a lower starting dose and slower titration. ( 5.7)
  • Leukopenia, Neutropenia, and Agranulocytosis: Perform complete blood counts in patients with a history of clinically significant low white blood cell count (WBC). Consider discontinuing risperidone tablets if a clinically significant decline in WBC occurs in the absence of other causative factors. ( 5.9)
  • Potential for cognitive and motor impairment: Use caution when operating machinery. ( 5.10)
  • Seizures: Use cautiously in patients with a history of seizures or with conditions that lower the seizure threshold. ( 5.11)
2 Dosage and Administration (2 DOSAGE AND ADMINISTRATION)


Table 1. Recommended Daily Dosage by Indication
Initial

Dose
Titration

(Increments)




Target Dose
Effective

Dose Range
Schizophrenia: adults ( 2.1)

2 mg

1 to 2 mg

4 to 8 mg

4 to 16 mg

Schizophrenia: adolescents ( 2.2)

0.5 mg

0.5 to 1 mg

3 mg

1 to 6 mg

Bipolar mania: adults ( 2.2)

2 to 3 mg

1 mg

1 to 6 mg

1 to 6 mg

Bipolar mania: children and adolescents ( 2.2)

0.5 mg

0.5 to 1 mg

1 to 2.5 mg

1 to 6 mg

Irritability in autistic disorder ( 2.3)

0.25 mg

Can increase to

0.5 mg by Day 4:

(body weight less

than 20 kg) 

 

0.5 mg

Can increase to

 1 mg by Day 4:

 (body weight

greater than or

equal to 20 kg)

After Day 4,

 at intervals of > 2 weeks:

0.25 mg

(body weight less

than 20 kg)

  

0.5 mg

 (body weight

greater than or

equal to 20 kg)

0.5 mg:

(body weight less

than 20 kg)

  

1 mg:

(body weight

greater than or

equal to 20 kg)

0.5 to 3 mg

Severe Renal and Hepatic Impairment in Adults: use a lower starting dose of 0.5 mg twice daily. May increase to dosages above 1.5 mg twice daily at intervals of one week or longer.

5.7 Orthostatic Hypotension

Risperidone tablets may induce orthostatic hypotension associated with dizziness, tachycardia, and in some patients, syncope, especially during the initial dose-titration period, probably reflecting its alpha-adrenergic antagonistic properties. Syncope was reported in 0.2% (6/2607) of risperidone tablets-treated patients in Phase 2 and 3 studies in adults with schizophrenia. The risk of orthostatic hypotension and syncope may be minimized by limiting the initial dose to 2 mg total (either once daily or 1 mg twice daily) in normal adults and 0.5 mg twice daily in the elderly and patients with renal or hepatic impairment [see Dosage and Administration ( 2.1, 2.4)] .

Monitoring of orthostatic vital signs should be considered in patients for whom this is of concern. A dose reduction should be considered if hypotension occurs. Risperidone tablets should be used with particular caution in patients with known cardiovascular disease (history of myocardial infarction or ischemia, heart failure, or conduction abnormalities), cerebrovascular disease, and conditions which would predispose patients to hypotension, e.g., dehydration and hypovolemia, and in the elderly and patients with renal or hepatic impairment. Monitoring of orthostatic vital signs should be considered if hypotension occurs. Clinically significant hypotension has been observed with concomitant use of risperidone tablets and antihypertensive medication.

3 Dosage Forms and Strengths (3 DOSAGE FORMS AND STRENGTHS)

Risperidone tablets, USP are available in the following strengths and colors: 0.25 mg (orange), 0.5 mg (orange), 1 mg (white), 2 mg (yellow), 3 mg (orange), and 4 mg (brown). 0.25 mg, 0.5 mg, 1 mg and 2 mg are circular shaped. 3 mg are capsule shaped and 4 mg in ovaloid shaped. Risperidone tablets, USP are engraved with “RI1”, “RI2”, “RI3”, “RI4”, “RI5” and “RI6” on one side on “0.25”, “0.5”, “1”, “2”, “3” and “4” respectively and plain on other side.

6.2 Postmarketing Experience

The following adverse reactions have been identified during postapproval use of risperidone. Because these reactions are reported voluntarily from a population of uncertain size, it is not always possible to reliably estimate their frequency or establish a causal relationship to drug exposure. These adverse reactions include: alopecia, anaphylactic reaction, angioedema, atrial fibrillation, cardiopulmonary arrest, catatonia, diabetic ketoacidosis in patients with impaired glucose metabolism, dysgeusia, hypoglycemia, hypothermia, ileus, inappropriate antidiuretic hormone secretion, intestinal obstruction, jaundice, mania, pancreatitis, pituitary adenoma, precocious puberty, pulmonary embolism, QT prolongation, sleep apnea syndrome, somnambulism, Stevens-Johnson syndrome and toxic epidermal necrolysis (SJS/TEN), sudden death, thrombocytopenia, thrombotic thrombocytopenic purpura, urinary retention, and water intoxication.



Postmarketing cases of extrapyramidal symptoms (dystonia and dyskinesia) have been reported in patients concomitantly taking methylphenidate and risperidone when there was an increase or decrease in dosage, initiation, or discontinuation of either or both medications.

10.2 Management of Overdosage

For the most up to date information on the management of risperidone tablets overdosage, contact a certified poison control center (1-800-222-1222 or www.poison.org). Provide supportive care including close medical supervision and monitoring. Treatment should consist of general measures employed in the management of overdosage with any drug. Consider the possibility of multiple drug overdosage. Ensure an adequate airway, oxygenation, and ventilation. Monitor cardiac rhythm and vital signs. Use supportive and symptomatic measures. There is no specific antidote to risperidone tablets.

8 Use in Specific Populations (8 USE IN SPECIFIC POPULATIONS)
  • Pregnancy: May cause extrapyramidal and/or withdrawal symptoms in neonates with third trimester exposure. ( 8.1)
6.1 Clinical Trials Experience

Because clinical trials are conducted under widely varying conditions, adverse reaction rates observed in the clinical trials of a drug cannot be directly compared to rates in the clinical trials of another drug and may not reflect the rates observed in clinical practice.



Commonly-Observed Adverse Reactions in Double-Blind, Placebo-Controlled Clinical Trials – Schizophrenia

Adult Patients with Schizophrenia

Table 8 lists the adverse reactions reported in 2% or more of risperidone tablets-treated adult patients with schizophrenia in three 4- to 8-week, double-blind, placebo-controlled trials.

Table  8.  Adverse Reactions in ≥2% of Risperidone Tablets-Treated Adult Patients (and greater than placebo) with Schizophrenia in Double-Blind, Placebo-Controlled Trials
*Parkinsonism includes extrapyramidal disorder, musculoskeletal stiffness, parkinsonism, cogwheel    rigidity, akinesia, bradykinesia, hypokinesia, masked facies, muscle rigidity, and Parkinson's disease.   Akathisia includes akathisia and restlessness. Dystonia includes dystonia, muscle spasms, muscle   contractions involuntary, muscle contracture, oculogyration, tongue paralysis. Tremor includes tremor and parkinsonian rest tremor.


System/Organ Class


 Adverse Reaction

Percentage of Patients Reporting Reaction

Risperidone  Tablets 

 

2–8 mg per day

(N=366)

>8–16 mg per day

(N=198)

Placebo

(N=225)

Cardiac Disorders

  Tachycardia

1

3

0

Eye Disorders 

  Vision blurred

3

1

1

Gastrointestinal Disorders 

  Nausea

9

4

4

  Constipation

8

9

6

  Dyspepsia

8

6

5

  Dry mouth

4

0

1

  Abdominal discomfort

3

1

1

  Salivary hypersecretion

2

1

<1

  Diarrhea

2

1

1

General Disorders 

  Fatigue

3

1

0

  Chest pain

2

2

1

  Asthenia

2

1

<1

Infections and Infestations 

  Nasopharyngitis

3

4

3

  Upper respiratory tract infection

2

3

1

  Sinusitis

1

2

1

  Urinary tract infection

1

3

0

Investigations 

  Blood creatine phosphokinase increased

1

2

<1

  Heart rate increased

<1

2

0

Musculoskeletal and Connective Tissue

Disorders 

  Back pain

4

1

1

  Arthralgia

2

3

<1

  Pain in extremity

2

1

1

Nervous System Disorders

  Parkinsonism *

14

17

8

  Akathisia *

10

10

3

  Sedation

10 

5

2

  Dizziness

7

4

2

  Dystonia *

3

4

2

  Tremor *

2

3

1

  Dizziness postural

2

0

0

Psychiatric Disorders 

  Insomnia

32

25

27

  Anxiety

16

11

11

Respiratory, Thoracic and Mediastinal

Disorders 

  Nasal congestion

4

6

2

  Dyspnea

1

2

0

  Epistaxis

<1

2

0

Skin and Subcutaneous Tissue Disorders 

  Rash

1

4

1

  Dry skin

1

3

0

Vascular Disorders

  Orthostatic hypotension

2

1

0

Pediatric Patients with Schizophrenia

Table 9 lists the adverse reactions reported in 5% or more of risperidone tablets-treated pediatric patients with schizophrenia in a 6-week double-blind, placebo-controlled trial.  

Table 9. Adverse Reactions in ≥5% of Risperidone Tablets-Treated Pediatric Patients (and greater than placebo) with Schizophrenia in a Double-Blind Trial
*Parkinsonism includes extrapyramidal disorder, muscle rigidity, musculoskeletal stiffness, and hypokinesia. Akathisia includes akathisia and restlessness. Dystonia includes dystonia and oculogyration.




System/Organ Class


 Adverse Reaction

Percentage of Patients Reporting Reaction

Risperidone  Tablets 

 

1–3 mg per day

(N=55)

4–6 mg per day

(N=51)

Placebo

(N=54)

Gastrointestinal Disorders

  Salivary hypersecretion

0

10

2

Nervous System Disorders

  Sedation

24  

12  

4  

  Parkinsonism *

16

28

11

  Tremor

11

10

6

  Akathisia *

9

10

4

  Dizziness

7

14

2

  Dystonia *

2

6

0

Psychiatric Disorders

  Anxiety

7

6

0

Commonly-Observed Adverse Reactions in Double-Blind, Placebo-Controlled Clinical Trials –  Bipolar Mania

Adult Patients with Bipolar Mania

Table 10 lists the adverse reactions reported in 2% or more of risperidone tablets-treated adult patients with bipolar mania in four 3-week, double-blind, placebo-controlled monotherapy trials.

Table 10. Adverse Reactions in ≥2% of Risperidone Tablets-Treated Adult Patients (and greater than placebo) with Bipolar Mania in Double-Blind, Placebo-Controlled Monotherapy Trials
*Parkinsonism includes extrapyramidal disorder, parkinsonism, musculoskeletal stiffness, hypokinesia,    muscle rigidity, muscle tightness, bradykinesia, cogwheel rigidity. Akathisia includes akathisia and    restlessness. Tremor includes tremor and parkinsonian rest tremor. Dystonia includes dystonia, muscle   spasms, oculogyration, torticollis.




System/Organ Class


Adverse Reaction

Percentage of Patients Reporting Reaction

Risperidone Tablets 

1–6 mg per day

(N=448)

Placebo

(N=424)

Eye Disorders

  Vision blurred

2

1

Gastrointestinal Disorders

  Nausea

5

2

  Diarrhea

3

2

  Salivary hypersecretion

3

1

  Stomach discomfort

2

<1

General Disorders

  Fatigue

2

1

Nervous System Disorders

  Parkinsonism *

25

9

  Sedation

11  

4

  Akathisia *

9

3

  Tremor *

6

3

  Dizziness

6

5

  Dystonia *

5

1

  Lethargy

2

1

Table 11 lists the adverse reactions reported in 2% or more of risperidone tablets-treated adult patients with bipolar mania in two 3-week, double-blind, placebo-controlled adjuvant therapy trials.  

Table 11. Adverse Reactions in ≥2% of Risperidone Tablets-Treated Adult Patients (and greater than placebo) with Bipolar Mania in Double-Blind, Placebo-Controlled Adjunctive Therapy Trials 
  *Parkinsonism includes extrapyramidal disorder, hypokinesia and bradykinesia. Akathisia includes hyperkinesia and akathisia.




System/Organ Class


Adverse Reaction

Percentage of Patients Reporting Reaction

Risperidone Tablets + Mood Stabilizer

  (N=127)

Placebo + Mood Stabilizer

(N=126)

Cardiac Disorders

  Palpitations

2

0

Gastrointestinal Disorders

  Dyspepsia

9

8

  Nausea

6

4

  Diarrhea

6

4

  Salivary hypersecretion

2

0

General Disorders

  Chest pain

2

1

Infections and Infestations

  Urinary tract infection

2

1

Nervous System Disorders

  Parkinsonism *

14

4

  Sedation

9

4  

  Akathisia *

8

0

  Dizziness

7

2

  Tremor

6

2

  Lethargy

2

1

Psychiatric Disorders

  Anxiety

3

2

Respiratory, Thoracic and

Mediastinal Disorders

  Pharyngolaryngeal pain

5

2

  Cough

2

0

  Pediatric Patients with Bipolar Mania

Table 12 lists the adverse reactions reported in 5% or more of risperidone tablets-treated pediatric patients with bipolar mania in a 3-week double-blind, placebo-controlled trial.

Table 12.  Adverse Reactions in ≥5% of Risperidone Tablets-Treated Pediatric Patients (and greater than placebo) with Bipolar Mania in Double-Blind, Placebo-Controlled Trials
*Parkinsonism includes musculoskeletal stiffness, extrapyramidal disorder, bradykinesia, and nuchal rigidity. Dystonia includes dystonia, laryngospasm, and muscle spasms. Akathisia includes restlessness and akathisia.




System/Organ Class


  Adverse Reaction

Percentage of Patients Reporting Reaction

Risperidone  Tablets 

Placebo

(N=58) 

0.5–2.5 mg per day

(N=50) 

3–6 mg per day

(N=61) 

Eye Disorders 

  Vision blurred

4

7

0

Gastrointestinal Disorders 

  Abdominal pain upper

16

13

5

  Nausea

16

13

7

  Vomiting

10

10

5

  Diarrhea

8

7

2

  Dyspepsia

10

3

2

  Stomach discomfort

6

0

2

General Disorders 

  Fatigue

18

30

3

Metabolism and Nutrition Disorders 

  Increased appetite

4

7

2

Nervous System Disorders 

  Sedation

42

56

19

  Dizziness

16

13

5

  Parkinsonism *

6

12

3

  Dystonia *

6

5

0

  Akathisia *

0

8

2

Psychiatric Disorders 

  Anxiety

0

8

3

Respiratory, Thoracic and Mediastinal Disorders 

  Pharyngolaryngeal pain

10

3

5

Skin and Subcutaneous Tissue Disorders 

  Rash

0

7

2

Commonly-Observed Adverse Reactions in Double-Blind, Placebo-Controlled Clinical Trials - Autistic Disorder

Table 13 lists the adverse reactions reported in 5% or more of risperidone tablets-treated pediatric patients treated for irritability associated with autistic disorder in two 8-week, double-blind, placebo-controlled trials and one 6-week double-blind, placebo-controlled study.

Table 13.   Adverse Reactions in ≥ 5% of Risperidone Tablets-Treated Pediatric Patients (and greater than placebo) Treated for Irritability Associated with Autistic Disorder in Double-Blind, Placebo-Controlled Trials
*Parkinsonism includes musculoskeletal stiffness, extrapyramidal disorder, muscle rigidity, cogwheel rigidity, and muscle tightness.
  

System/Organ Class

  Adverse Reaction 

Percentage of Patients Reporting Reaction 

Risperidone Tablets 

0.5–4.0 mg per day

(N=107) 



Placebo


(N=115) 

Gastrointestinal Disorders 

  Vomiting 

20

17

  Constipation

17

6

  Dry mouth

10

4  

  Nausea

8

5

  Salivary hypersecretion

7

1

General Disorders and Administration Site Conditions 

 

 

  Fatigue

31

9

  Pyrexia

16

13

  Thirst

7

4

Infections and Infestations 

  Nasopharyngitis

19

9

  Rhinitis

9

7

  Upper respiratory tract infection

8

3

Investigations 

  Weight increased

8

2

Metabolism and Nutrition Disorders 

  Increased appetite

44

15

Nervous System Disorders 

  Sedation

63

15

  Drooling

12

4

  Headache

12

10

  Tremor

8

1

  Dizziness

8

2

  Parkinsonism *

8

1

Renal and Urinary Disorders 

  Enuresis

16

10

Respiratory, Thoracic and Mediastinal Disorders 

  Cough

17

12

  Rhinorrhea

12

10

  Nasal congestion

10

4

Skin and Subcutaneous Tissue Disorders 

  Rash

8

5

Other Adverse Reactions Observed During the Clinical Trial Evaluation of Risperidone

The following additional adverse reactions occurred across all placebo-controlled, active-controlled, and open-label studies of risperidone tablets in adults and pediatric patients.



Blood and Lymphatic System Disorders: anemia, granulocytopenia, neutropenia



Cardiac Disorders: sinus bradycardia, sinus tachycardia, atrioventricular block first degree, bundle branch block left, bundle branch block right, atrioventricular block



Ear and Labyrinth Disorders: ear pain, tinnitus



Endocrine Disorders: hyperprolactinemia



Eye Disorders: ocular hyperemia, eye discharge, conjunctivitis, eye rolling, eyelid edema, eye swelling, eyelid margin crusting, dry eye, lacrimation increased, photophobia, glaucoma, visual acuity reduced



Gastrointestinal Disorders: dysphagia, fecaloma, fecal incontinence, gastritis, lip swelling, cheilitis, aptyalism



General Disorders: edema peripheral, thirst, gait disturbance, influenza-like illness, pitting edema, edema, chills, sluggishness, malaise, chest discomfort, face edema, discomfort, generalized edema, drug withdrawal syndrome, peripheral coldness, feeling abnormal



Immune System Disorders: drug hypersensitivity



Infections and Infestations: pneumonia, influenza, ear infection, viral infection, pharyngitis, tonsillitis, bronchitis, eye infection, localized infection, cystitis, cellulitis, otitis media, onychomycosis, acarodermatitis, bronchopneumonia, respiratory tract infection, tracheobronchitis, otitis media chronic



Investigations: body temperature increased, blood prolactin increased, alanine aminotransferase increased, electrocardiogram abnormal, eosinophil count increased, white blood cell count decreased, blood glucose increased, hemoglobin decreased, hematocrit decreased, body temperature decreased, blood pressure decreased, transaminases increased



Metabolism and Nutrition Disorders: decreased appetite, polydipsia, anorexia



Musculoskeletal and Connective Tissue Disorders: joint stiffness, joint swelling, musculoskeletal chest pain, posture abnormal, myalgia, neck pain, muscular weakness, rhabdomyolysis



Nervous System Disorders: balance disorder, disturbance in attention, dysarthria, unresponsive to stimuli, depressed level of consciousness, movement disorder, transient ischemic attack, coordination abnormal, cerebrovascular accident, speech disorder, syncope,  loss of consciousness, hypoesthesia, tardive dyskinesia, dyskinesia, cerebral ischemia, cerebrovascular disorder, neuroleptic malignant syndrome, diabetic coma, head titubation



Psychiatric Disorders: agitation, blunted affect, confusional state, middle insomnia, nervousness, sleep disorder, listlessness, libido decreased, and anorgasmia



Renal and Urinary Disorders: enuresis, dysuria, pollakiuria, urinary incontinence



Reproductive System and Breast Disorders: menstruation irregular, amenorrhea, gynecomastia, galactorrhea, vaginal discharge, menstrual disorder, erectile dysfunction, retrograde ejaculation, ejaculation disorder, sexual dysfunction, breast enlargement



Respiratory, Thoracic, and Mediastinal Disorders: wheezing, pneumonia aspiration, sinus congestion, dysphonia, productive cough, pulmonary congestion, respiratory tract congestion, rales, respiratory disorder, hyperventilation, nasal edema



Skin and Subcutaneous Tissue Disorders: erythema, skin discoloration, skin lesion, pruritus, skin disorder, rash erythematous, rash papular, rash generalized, rash maculopapular, acne, hyperkeratosis, seborrheic dermatitis



Vascular Disorders: hypotension, flushing



Discontinuations Due to Adverse Reactions

Schizophrenia - Adults  

Approximately 7% (39/564) of risperidone tablets-treated patients in double-blind, placebo-controlled trials discontinued treatment due to an adverse reaction, compared with 4% (10/225) who were receiving placebo. The adverse reactions associated with discontinuation in 2 or more risperidone tablets-treated patients were:

Table 14.  Adverse Reactions Associated With Discontinuation in 2 or More Risperidone Tablets-Treated Adult Patients in Schizophrenia Trials
Adverse Reaction

Risperidone  Tablets 



Placebo   

(N=225
)  

2-8 mg/day

(N=366)


>8-16 mg/day

(N=198)


Dizziness                               

1.4%

1.0%

0%

Nausea                                   

1.4%

0%

0%

Vomiting

0.8%

0%

0%

Parkinsonism                       

0.8%

0%

0%

Somnolence                         

0.8%

0%

0%

Dystonia                              

0.5%

0%

0%

Agitation                                 

0.5%

0%

0%

Abdominal pain

0.5%

0%

0%

Orthostatic hypotension 

0.3%

0.5%

0%

Akathisia                               

0.3%

2.0%

0%

Discontinuation for extrapyramidal symptoms (including Parkinsonism, akathisia, dystonia, and tardive dyskinesia) was 1% in placebo-treated patients, and 3.4% in active control-treated patients in a double-blind, placebo- and active-controlled trial.

Schizophrenia – Pediatrics

Approximately 7% (7/106), of risperidone tablets-treated patients discontinued treatment due to an adverse reaction in a double-blind, placebo-controlled trial, compared with 4% (2/54) placebo-treated patients. The adverse reactions associated with discontinuation for at least one risperidone tablets-treated patient were dizziness (2%), somnolence (1%), sedation (1%), lethargy (1%), anxiety (1%), balance disorder (1%), hypotension (1%), and palpitation (1%).

Bipolar Mania – Adults

In double-blind, placebo-controlled trials with risperidone tablets as monotherapy, approximately 6% (25/448) of risperidone tablets-treated patients discontinued treatment due to an adverse event, compared with approximately 5% (19/424) of placebo-treated patients. The adverse reactions associated with discontinuation in risperidone tablets-treated patients were:

Table 15. Adverse Reactions Associated With Discontinuation in 2 or More Risperidone Tablets-Treated Adult Patients in Bipolar Mania Clinical Trials




Adverse Reaction
 

Risperidone  Tablets      

1-6 mg/day

(N=448)




Placebo

(N=448)


Parkinsonism

0.4%

0%

Lethargy                                           

0.2%

0%

Dizziness                                                

0.2%

0%

Alanine aminotransferase increased

0.2%

0.2%

Aspartate aminotransferase increased

0.2%

0.2%

Bipolar Mania – Pediatrics

In a double-blind, placebo-controlled trial 12% (13/111) of risperidone tablets-treated patients discontinued due to an adverse reaction, compared with 7% (4/58) of placebo-treated patients. The adverse reactions associated with discontinuation in more than one risperidone tablets-treated pediatric patient were nausea (3%), somnolence (2%), sedation (2%), and vomiting (2%).

Autistic Disorder – Pediatrics

In the two 8-week, placebo-controlled trials in pediatric patients treated for irritability associated with autistic disorder (n = 156), one risperidone tablets-treated patient discontinued due to an adverse reaction (Parkinsonism), and one placebo-treated patient discontinued due to an adverse event.

Dose Dependency of Adverse Reactions in Clinical Trials

Extrapyramidal Symptoms

Data from two fixed-dose trials in adults with schizophrenia provided evidence of dose-relatedness for extrapyramidal symptoms associated with risperidone tablets treatment.



Two methods were used to measure extrapyramidal symptoms (EPS) in an 8-week trial comparing 4 fixed doses of risperidone tablets (2, 6, 10, and 16 mg/day), including (1) a Parkinsonism score (mean change from baseline) from the Extrapyramidal Symptom Rating Scale, and (2) incidence of spontaneous complaints of EPS: 



Table 16.
Dose Groups  

Placebo  

Risperidone  Tablets

2 mg
 

Risperidone Tablets

6 mg
 

Risperidone Tablets

10 mg
 

Risperidone Tablets

16 mg
 

Parkinsonism 

1.2 

0.9 

1.8 

2.4 

2.6 

EPS Incidence

13% 

17% 

21% 

21% 

35% 

Similar methods were used to measure extrapyramidal symptoms (EPS) in an 8-week trial comparing 5 fixed doses of risperidone tablets (1, 4, 8, 12, and 16 mg/day):         



Table 17.
Dose Groups  

Risperidone Tablets

1 mg
 

Risperidone Tablets

4 mg
 

Risperidone Tablet s

8 mg
 

Risperidone Tablets

12 mg
 

Risperidone Tablets

16 mg
 

Parkinsonism 

0.6 

1.7 

2.4 

2.9 

4.1 

EPS Incidence

7% 

12% 

17% 

18% 

20% 

Dystonia

Class Effect:Symptoms of dystonia, prolonged abnormal contractions of muscle groups, may occur in susceptible individuals during the first few days of treatment. Dystonic symptoms include: spasm of the neck muscles, sometimes progressing to tightness of the throat, swallowing difficulty, difficulty breathing, and/or protrusion of the tongue. While these symptoms can occur at low doses, they occur more frequently and with greater severity with high potency and at higher doses of first generation antipsychotic drugs. An elevated risk of acute dystonia is observed in males and younger age groups.



Other Adverse Reactions

Adverse event data elicited by a checklist for side effects from a large study comparing 5 fixed doses of risperidone tablets (1, 4, 8, 12, and 16 mg/day) were explored for dose-relatedness of adverse events. A Cochran-Armitage Test for trend in these data revealed a positive trend (p<0.05) for the following adverse reactions: somnolence, vision abnormal, dizziness, palpitations, weight increase, erectile dysfunction, ejaculation disorder, sexual function abnormal, fatigue, and skin discoloration.



Changes in Body Weight

Weight gain was observed in short-term, controlled trials and longer-term uncontrolled studies in adult and pediatric patients [see Warnings and Precautions (5.5), Adverse Reactions (6), and Use in Specific Populations (8.4)].



Changes in ECG Parameters

Between-group comparisons for pooled placebo-controlled trials in adults revealed no statistically significant differences between risperidone and placebo in mean changes from baseline in ECG parameters, including QT, QTc, and PR intervals, and heart rate. When all risperidone tablets doses were pooled from randomized controlled trials in several indications, there was a mean increase in heart rate of 1 beat per minute compared to no change for placebo patients. In short-term schizophrenia trials, higher doses of risperidone (8-16 mg/day) were associated with a higher mean increase in heart rate compared to placebo (4-6 beats per minute). In pooled placebo-controlled acute mania trials in adults, there were small decreases in mean heart rate, similar among all treatment groups.

In the two placebo-controlled trials in children and adolescents with autistic disorder (aged 5 – 16 years) mean changes in heart rate were an increase of 8.4 beats per minute in the risperidone tablets groups and 6.5 beats per minute in the placebo group. There were no other notable ECG changes.



In a placebo-controlled acute mania trial in children and adolescents (aged 10 – 17 years), there were no significant changes in ECG parameters, other than the effect of risperidone tablets to transiently increase pulse rate (< 6 beats per minute). In two controlled schizophrenia trials in adolescents (aged 13 – 17 years), there were no clinically meaningful changes in ECG parameters including corrected QT intervals between treatment groups or within treatment groups over time.

14.2 Bipolar Mania Monotherapy (14.2 Bipolar Mania - Monotherapy)

Adults

The efficacy of risperidone tablets in the treatment of acute manic or mixed episodes was established in two short-term (3-week) placebo-controlled trials in patients who met the DSM-IV criteria for Bipolar I Disorder with manic or mixed episodes. These trials included patients with or without psychotic features.

The primary rating instrument used for assessing manic symptoms in these trials was the Young Mania Rating Scale (YMRS), an 11-item clinician-rated scale traditionally used to assess the degree of manic symptomatology (irritability, disruptive/aggressive behavior, sleep, elevated mood, speech, increased activity, sexual interest, language/thought disorder, thought content, appearance, and insight) in a range from 0 (no manic features) to 60 (maximum score). The primary outcome in these trials was change from baseline in the YMRS total score. The results of the trials follow:



  • In one 3-week placebo-controlled trial (n=246), limited to patients with manic episodes, which involved a dose range of risperidone tablets 1-6 mg/day, once daily, starting at 3 mg/day (mean modal dose was 4.1 mg/day), risperidone tablets were superior to placebo in the reduction of YMRS total score.
  • In another 3-week placebo-controlled trial (n=286), which involved a dose range of 1-6 mg/day, once daily, starting at 3 mg/day (mean modal dose was 5.6 mg/day), risperidone tablets were superior to placebo in the reduction of YMRS total score.


Pediatrics

The efficacy of risperidone tablets in the treatment of mania in children or adolescents with Bipolar I disorder was demonstrated in a 3-week, randomized, double-blind, placebo-controlled, multicenter trial including patients ranging in ages from 10 to 17 years who were experiencing a manic or mixed episode of bipolar I disorder. Patients were randomized into one of three treatment groups: Risperidone tablets 0.5-2.5 mg/day (n = 50, mean modal dose = 1.9 mg), risperidone tablets 3-6 mg/day (n = 61, mean modal dose = 4.7 mg), or placebo (n = 58). In all cases, study medication was initiated at 0.5 mg/day and titrated to the target dosage range by Day 7, with further increases in dosage to the maximum tolerated dose within the targeted dose range by Day 10. The primary rating instrument used for assessing efficacy in this study was the mean change from baseline in the total YMRS score.

Results of this study demonstrated efficacy of risperidone tablets in both dose groups compared with placebo, as measured by significant reduction of total YMRS score. The efficacy on the primary parameter in the 3-6 mg/day dose group was comparable to the 0.5-2.5 mg/day dose group. Doses higher than 2.5 mg/day did not reveal any trend towards greater efficacy.

5.14 Body Temperature Regulation

Disruption of body temperature regulation has been attributed to antipsychotic agents. Both hyperthermia and hypothermia have been reported in association with oral risperidone tablets use. Caution is advised when prescribing for patients who will be exposed to temperature extremes.

17 Patient Counseling Information (17 PATIENT COUNSELING INFORMATION)

Physicians are advised to discuss the following issues with patients for whom they prescribe risperidone tablets.

Neuroleptic Malignant Syndrome (NMS)

Counsel patients about a potentially fatal adverse reaction, Neuroleptic Malignant Syndrome (NMS), that has been reported in association with administration of antipsychotic drugs. Advise patients, family members, or caregivers to contact the healthcare provider or report to the emergency room if they experience signs and symptoms of NMS, including hyperpyrexia, muscle rigidity, altered mental status including delirium, and evidence of autonomic instability (irregular pulse or blood pressure, tachycardia, diaphoresis, and cardiac dysrhythmia) [see Warnings and Precautions ( 5.3)] .

Tardive Dyskinesia

Counsel patients on the signs and symptoms of tardive dyskinesia and to contact their healthcare provider if these abnormal movements occur [see Warnings and Precautions ( 5.4)] .

Metabolic Changes

Educate patients about the risk of metabolic changes, how to recognize symptoms of  hyperglycemia and diabetes mellitus, and the need for specific monitoring, including blood glucose, lipids, and weight [see Warnings and Precautions ( 5.5)] .

Orthostatic Hypotension

Educate patients about the risk of orthostatic hypotension and syncope, particularly at the time of initiating treatment, re-initiating treatment, or increasing the dose [see Warnings and Precautions ( 5.7)] .

Leukopenia/Neutropenia

Advise patients with a pre-existing low WBC or a history of drug induced leukopenia/neutropenia they should have their CBC monitored while taking risperdione tablets [see Warnings and Precautions ( 5.9)] .

Hyperprolactinemia

Counsel patients on signs and symptoms of hyperprolactinemia that may be associated with chronic use of risperdione tablets. Advise them to seek medical attention if they experience any of the following: amenorrhea or galactorrhea in females, erectile dysfunction or gynecomastia in males. [See Warnings and Precautions ( 5.6)] .

Interference with Cognitive and Motor Performance

Caution patients about performing activities requiring mental alertness, such as operating hazardous machinery, or operating a motor vehicle until they are reasonably certain that risperdione tablets therapy does not affect them adversely [see Warnings and Precautions ( 5.10)] .

Priapism

Advise patients of the possibility of painful or prolonged penile erections (priapism). Instruct the patient to seek immediate medical attention in the event of priapism [Warnings and Precautions ( 5.13)] .

Heat Exposure and Dehydration

Counsel patients regarding appropriate care in avoiding overheating and dehydration [see Warnings and Precautions ( 5.14)] .

Concomitant Medication

Advise patients to inform their healthcare providers if they are taking, or plan to take any prescription or over-the-counter drugs, as there is a potential for interactions [see Drug Interactions ( 7)] .

Alcohol

Advise patients to avoid alcohol while taking risperdione tablets   [see Drug Interactions ( 7.2)] .

Pregnancy

Advise patients to notify their healthcare provider if they become pregnant or intend to become pregnant during treatment with risperdione tablets. Advise patients that risperdione tablets  may cause extrapyramidal and/or withdrawal symptoms in a neonate. Advise patients that there is a pregnancy registry that monitors pregnancy outcomes in women exposed to risperdione tablets  during pregnancy [see Use in Specific Populations ( 8.1)] .

Lactation

Advise breastfeeding women using risperdione tablets to monitor infants for somnolence, failure to thrive, jitteriness, and extrapyramidal symptoms (tremors and abnormal muscle movements) and to seek medical care if they notice these signs [see Use in Specific Populations ( 8.2)] .

Infertility

Advise females of reproductive potential that risperdione tablets  may impair fertility due to an increase in serum prolactin levels. The effects on fertility are reversible [see Use in Specific Populations ( 8.3)].



Risperidone Tablets, USP



Marketed by:

Ajanta Pharma USA Inc.

Bridgewater, NJ 08807.

Made in India.

Revised: 03/2025

5.3 Neuroleptic Malignant Syndrome

Neuroleptic Malignant Syndrome (NMS), a potentially fatal symptom complex, has been reported in association with antipsychotic drugs. Clinical manifestations of NMS are hyperpyrexia, muscle rigidity, altered mental status including delirium, and autonomic instability (irregular pulse or blood pressure, tachycardia, diaphoresis, and cardiac dysrhythmia). Additional signs may include elevated creatine phosphokinase, myoglobinuria (rhabdomyolysis), and acute renal failure.

If NMS is suspected, immediately discontinue risperidone tablets and provide symptomatic treatment and monitoring.

7.1 Pharmacokinetic Related Interactions (7.1 Pharmacokinetic-related Interactions)

The dose of risperidone tablets should be adjusted when used in combination with CYP2D6 enzyme inhibitors (e.g., fluoxetine, and paroxetine) and enzyme inducers (e.g., carbamazepine) [see Table 18 and Dosage and Administration (2.5)]. Dose adjustment is not recommended for risperidone tablets when co-administered with ranitidine, cimetidine, amitriptyline, or erythromycin [see Table 18 ].

Table 18. Summary of Effect of Coadministered Drugs on Exposure to Active Moiety (Risperidone + 9-Hydroxy-Risperidone) in Healthy Subjects or Patients with Schizophrenia
Coadministered Drug

Dosing Schedule Effect on Active Moiety

(Risperidone + 9- Hydroxy-

Risperidone (Ratio*)
Risperidone Dose

Recommendation
Coadministered Drug Risperidone AUC C max
Enzyme (CYP2D6) inhibitors
Fluoxetine 20 mg/day 2 or 3 mg twice daily 1.4 1.5

Re-evaluate dosing.

Do not exceed 8 mg/day
Paroxetine 10 mg/day 4 mg/day 1.3 -

Re-evaluate dosing.

Do not exceed 8 mg/day
20 mg/day 4 mg/day 1.6 -
40 mg/day 4 mg/day 1.8 -
Enzyme (CYP3A/ PgP inducers) Inducers
Carbamazepine 573 ± 168 mg/day

3 mg twice daily

0.51

0.55



Titrate dose upwards.

Do not exceed twice the patient’s usual dose
Enzyme (CYP3A) inhibitors
Ranitidine 150 mg twice daily 1 mg single dose 1.2 1.4 Dose adjustment not needed
Cimetidine 400 mg twice daily 1 mg single dose 1.1 1.3 Dose adjustment not needed
Erythromycin 500 mg four times daily 1 mg single dose 1.1 0.94 Dose adjustment not needed
Other Drugs
Amitriptyline 50 mg twice daily 3 mg twice daily 1.2 1.1 Dose adjustment not Needed
*Change relative to reference

Effect of Risperidone on other drugs

Lithium

Repeated oral doses of risperidone tablets (3 mg twice daily) did not affect the exposure (AUC) or peak plasma concentrations (C max) of lithium (n=13). Dose adjustment for lithium is not recommended.

Valproate

Repeated oral doses of risperidone tablets (4 mg once daily) did not affect the pre-dose or average plasma concentrations and exposure (AUC) of valproate (1000 mg/day in three divided doses) compared to placebo (n=21). However, there was a 20% increase in valproate peak plasma concentration (C max) after concomitant administration of risperidone tablets. Dose adjustment for valproate is not recommended.

Digoxin

Risperidone tablets (0.25 mg twice daily) did not show a clinically relevant effect on the pharmacokinetics of digoxin. Dose adjustment for digoxin is not recommended.

7.2 Pharmacodynamic Related Interactions (7.2 Pharmacodynamic-related Interactions)

Centrally Acting Drugs and Alcohol

Given the primary CNS effects of risperidone, caution should be used when risperidone tablets are taken in combination with other centrally acting drugs and alcohol.

Drugs with Hypotensive Effects

Because of its potential for inducing hypotension, risperidone tablets may enhance the hypotensive effects of other therapeutic agents with this potential.

Levodopa and Dopamine Agonists

Risperidone tablets may antagonize the effects of levodopa and dopamine agonists.

Methylphenidate

Concomitant use with methylphenidate, when there is change in dosage of either medication, may increase the risk of extrapyramidal symptoms (EPS). Monitor for symptoms of EPS with concomitant use of risperidone tablets  and methylphenidate [see Adverse Reactions ( 6.2)].

Clozapine 

Chronic administration of clozapine with risperidone tablets may decrease the clearance of risperidone.

8.3 Females and Males of Reproductive Potential

Infertility

Females

Based on the pharmacologic action of risperidone (D 2receptor antagonism), treatment with risperidone may result in an increase in serum prolactin levels ,which may lead to a reversible reduction in fertility in females of reproductive potential [see Warnings and Precautions ( 5.6)].

5.9 Leukopenia, Neutropenia, and Agranulocytosis

Class Effect: In clinical trial and/or postmarketing experience, events of leukopenia/neutropenia have been reported temporally related to antipsychotic agents, including risperidone tablets. Agranulocytosis has also been reported.

Possible risk factors for leukopenia/neutropenia include pre-existing low white blood cell count (WBC) and history of drug-induced leukopenia/neutropenia. Patients with a history of a clinically significant low WBC or a drug-induced leukopenia/neutropenia should have their complete blood count (CBC) monitored frequently during the first few months of therapy and discontinuation of risperidone tablets should be considered at the first sign of a clinically significant decline in WBC in the absence of other causative factors.

Patients with clinically significant neutropenia should be carefully monitored for fever or other symptoms or signs of infection and treated promptly if such symptoms or signs occur. Patients with severe neutropenia (absolute neutrophil count <1000/mm 3) should discontinue risperidone tablets and have their WBC followed until recovery.

5.10 Potential for Cognitive and Motor Impairment

Somnolence was a commonly reported adverse reactions associated with risperidone tablets treatment, especially when ascertained by direct questioning of patients. This adverse reaction is dose-related, and in a study utilizing a checklist to detect adverse events, 41% of the high-dose patients (risperidone tablets 16 mg/day) reported somnolence compared to 16% of placebo patients. Direct questioning is more sensitive for detecting adverse events than spontaneous reporting, by which 8% of risperidone tablets 16 mg/day patients and 1% of placebo patients reported somnolence as an adverse reation. Since risperidone tablets have the potential to impair judgment, thinking, or motor skills, patients should be cautioned about operating hazardous machinery, including automobiles, until they are reasonably certain that risperidone tablets therapy does not affect them adversely.

1.3 Irritability Associated With Autistic Disorder (1.3 Irritability Associated with Autistic Disorder)

Risperidone tablets are indicated for the treatment of irritability associated with autistic disorder, including symptoms of aggression towards others, deliberate self-injuriousness, temper tantrums, and quickly changing moods. Efficacy was established in 3 short-term trials in children and adolescents (ages 5 to 17 years)   [see Clinical Studies (14.4)] .

14.4 Irritability Associated With Autistic Disorder (14.4 Irritability Associated with Autistic Disorder)

Short-Term Efficacy

The efficacy of risperidone tablets in the treatment of irritability associated with autistic disorder was established in two 8-week, placebo-controlled trials in children and adolescents (aged 5 to 16 years) who met the DSM-IV criteria for autistic disorder. Over 90% of these subjects were under 12 years of age and most weighed over 20 kg (16-104.3 kg).

Efficacy was evaluated using two assessment scales: the Aberrant Behavior Checklist (ABC) and the Clinical Global Impression - Change (CGI-C) scale. The primary outcome measure in both trials was the change from baseline to endpoint in the Irritability subscale of the ABC (ABC-I). The ABC-I subscale measured the emotional and behavioral symptoms of autism, including aggression towards others, deliberate self-injuriousness, temper tantrums, and quickly changing moods. The CGI-C rating at endpoint was a co-primary outcome measure in one of the studies.

The results of these trials are as follows:

  • In one of the 8-week, placebo-controlled trials, children and adolescents with autistic disorder (n=101), aged 5 to 16 years, received twice daily doses of placebo or risperidone tablets 0.5-3.5 mg/day on a weight-adjusted basis. Risperidone tablets, starting at 0.25 mg/day or 0.5 mg/day depending on baseline weight (< 20 kg and ≥ 20 kg, respectively) and titrated to clinical response (mean modal dose of 1.9 mg/day, equivalent to 0.06 mg/kg/day), significantly improved scores on the ABC-I subscale and on the CGI-C scale compared with placebo.
  • In the other 8-week, placebo-controlled trial in children with autistic disorder (n=55), aged 5 to 12 years, risperidone tablets 0.02 to 0.06 mg/kg/day given once or twice daily, starting at 0.01 mg/kg/day and titrated to clinical response (mean modal dose of 0.05 mg/kg/day, equivalent to 1.4 mg/day), significantly improved scores on the ABC-I subscale compared with placebo.

A third trial was a 6-week, multicenter, randomized, double blind, placebo-controlled, fixed-dose study to evaluate the efficacy and safety of a lower than recommended dose of risperidone in subjects (N=96) 5 to 17 years of age with autistic disorder (defined by DSM-IV criteria) and associated irritability and related behavioral symptoms. Approximately 77% of patients were younger than 12 years of age (mean age = 9), and 88% were male. Most patients (73%) weighed less than 45 kg (mean weight = 40 kg). Approximately 90% of patients were antipsychotic-naïve before entering the study.

There were two weight-based, fixed doses of risperidone (high-dose and low-dose). The high dose was 1.25 mg per day for patients weighing 20 to < 45 kg, and it was 1.75 mg per day for patients weighing ≥ 45 kg. The low dose was 0.125 mg per day for patients weighing 20 to < 45 kg, and it was 0.175 mg per day for patients weighing ≥ 45 kg. The dose was administered once daily in the morning, or in the evening if sedation occurred.

The primary efficacy endpoint was the mean change in the Aberrant Behavior Checklist – Irritability subscale (ABC-I) score from baseline to the end of Week 6. The study demonstrated the efficacy of high-dose risperidone, as measured by the mean change in ABC-I score. It did not demonstrate efficacy for low-dose risperidone. The mean baseline ABC-I scores were 29 in the placebo group (n = 35), 27 in the risperidone low-dose group (n = 30), and 28 in the risperidone high-dose group (n = 31). The mean changes in ABC-I scores were -3.5, -7.4, and -12.4 in the placebo, low-dose, and high-dose group respectively. The results in the high-dose group were statistically significant (p< 0.001) but not in the low-dose group (p=0.164).

Long-Term Efficacy

Following completion of the first 8-week double-blind study, 63 patients entered an open-label study extension where they were treated with risperidone tablets for 4 or 6 months (depending on whether they received risperidone tablets or placebo in the double-blind study). During this open-label treatment period, patients were maintained on a mean modal dose of risperidone tablets of 1.8-2.1 mg/day (equivalent to 0.05 - 0.07 mg/kg/day).

Patients who maintained their positive response to risperidone tablets (response was defined as ≥ 25% improvement on the ABC-I subscale and a CGI-C rating of ‘much improved’ or ‘very much improved’) during the 4-6 month open-label treatment phase for about 140 days, on average, were randomized to receive risperidone tablets or placebo during an 8-week, double-blind withdrawal study (n=39 of the 63 patients). A pre-planned interim analysis of data from patients who completed the withdrawal study (n=32), undertaken by an independent Data Safety Monitoring Board, demonstrated a significantly lower relapse rate in the risperidone tablets group compared with the placebo group. Based on the interim analysis results, the study was terminated due to demonstration of a statistically significant effect on relapse prevention. Relapse was defined as ≥ 25% worsening on the most recent assessment of the ABC-I subscale (in relation to baseline of the randomized withdrawal phase).

2.5 Dose Adjustments for Specific Drug Interactions

When risperidone tablets are co-administered with enzyme inducers (e.g., carbamazepine), the dose of risperidone tablets should be increased up to double the patient’s usual dose. It may be necessary to decrease the risperidone tablets dose when enzyme inducers such as carbamazepine are discontinued [see Drug Interactions (7.1)] . Similar effect may be expected with co-administration of risperidone tablets with other enzyme inducers (e.g., phenytoin, rifampin, and phenobarbital).

When fluoxetine or paroxetine is co-administered with risperidone tablets, the dose of risperidone tablets should be reduced. The risperidone tablets dose should not exceed 8 mg per day in adults when co-administered with these drugs. When initiating therapy, risperidone tablets should be titrated slowly. It may be necessary to increase the risperidone tablets dose when enzyme inhibitors such as fluoxetine or paroxetine are discontinued [see Drug Interactions (7.1)] .

Package Label.principal Display Panel 1mg Bottle Label (PACKAGE LABEL.PRINCIPAL DISPLAY PANEL-1MG BOTTLE LABEL)

risperiDONE  Tablets, USP 

1 mg

Rx only

13.1 Carcinogenesis, Mutagenesis, Impairment of Fertility

Carcinogenesis 

Risperidone was administered in the diet at doses of 0.63, 2.5, and 10 mg/kg for 18 months to mice and for 25 months to rats. These doses are equivalent to approximately 0.2, 0.75, and 3 times (mice) and 0.4, 1.5, and 6 times (rats) the MRHD of 16 mg/day, based on mg/m 2  body surface area. A maximum tolerated dose was not achieved in male mice. There were statistically significant increases in pituitary gland adenomas, endocrine pancreas adenomas, and mammary gland adenocarcinomas. The table below summarizes the multiples of the human dose on a mg/m 2  (mg/kg) basis at which these tumors occurred.         



       



 

 

Multiples of Maximum Human

Dose in mg/m² (mg/kg)


Tumor Type

Species

Sex

Lowest Effect

Level


Highest No-

Effect Level


Pituitary adenomas

mouse

Female

0.75 (9.4)

0.2 (2.4)

Endocrine pancreas adenomas

rat

Male

1.5 (9.4)

0.4 (2.4)

Mammary gland adenocarcinomas

mouse

Female

0.2 (2.4)

none

 

rat

Female

0.4 (2.4)

none

 

rat

Male

6.0 (37.5)

1.5 (9.4)

Mammary gland neoplasm, Total

rat

Male

1.5 (9.4)

0.4 (2.4)



Antipsychotic drugs have been shown to chronically elevate prolactin levels in rodents. Serum prolactin levels were not measured during the risperidone carcinogenicity studies; however, measurements during subchronic toxicity studies showed that risperidone elevated serum prolactin levels 5-6 fold in mice and rats at the same doses used in the carcinogenicity studies. An increase in mammary, pituitary, and endocrine pancreas neoplasms has been found in rodents after chronic administration of other antipsychotic drugs and is considered to be prolactin-mediated. The relevance for human risk of the findings of prolactin-mediated endocrine tumors in rodents is unclear [see Warnings and Precautions ( 5.6)] .



Mutagenesis

No evidence of mutagenic or clastogenic potential for risperidone was found in the in vitrotests of Ames gene mutation, the mouse lymphoma assay, rat hepatocyte DNA-repair assay, the chromosomal aberration test in human lymphocytes, Chinese hamster ovary cells, or in the in vivooral micronucleus test in mice and the sex-linked recessive lethal test in Drosophila.



Impairment of Fertility

Oral risperidone (0.16 to 5 mg/kg) impaired mating, but not fertility, in rat reproductive studies at doses 0.1 to 3 times the MRHD of 16 mg/day based on mg/m 2body surface area. The effect appeared to be in females, since impaired mating behavior was not noted in the male fertility study. In a subchronic study in Beagle dogs in which risperidone was administered orally at doses of 0.31 to 5 mg/kg, sperm motility and concentration were decreased at doses 0.6 to 10 times the MRHD based on  mg/m 2body surface area. Dose-related decreases were also noted in serum testosterone at the same doses. Serum testosterone and sperm parameters partially recovered, but remained decreased after treatment was discontinued. A no-effect dose could not be determined in either rat or dog.

8.8 Patients With Parkinsons Disease Or Lewy Body Dementia (8.8 Patients with Parkinsons Disease or Lewy Body Dementia)

Patients with Parkinsons Disease or Dementia with Lewy Bodies can experience increased sensitivity to risperidone tablets. Manifestations can include confusion, obtundation, postural instability with frequent falls, extrapyramidal symptoms, and clinical features consistent with neuroleptic malignant syndrome.

2.4 Dosing in Patients With Severe Renal Or Hepatic Impairment (2.4 Dosing in Patients with Severe Renal or Hepatic Impairment)

For patients with severe renal impairment (Clcr < 30 mL/min) or hepatic impairment (10-15 points on Child Pugh System), the initial starting dose is 0.5 mg twice daily. The dose may be increased in increments of 0.5 mg or less, administered twice daily. For doses above 1.5 mg twice daily, increase in intervals of one week or greater [see Use in Specific Populations (8.6and 8.7)] .

14.3 Bipolar Mania Adjunctive Therapy With Lithium Or Valproate (14.3 Bipolar Mania - Adjunctive Therapy with Lithium or Valproate)

The efficacy of risperidone tablets with concomitant lithium or valproate in the treatment of acute manic or mixed episodes was established in one controlled trial in adult patients who met the DSM-IV criteria for Bipolar I Disorder. This trial included patients with or without psychotic features and with or without a rapid-cycling course. 

  • In this 3-week placebo-controlled combination trial, 148 in- or outpatients on lithium or valproate therapy with inadequately controlled manic or mixed symptoms were randomized to receive risperidone tablets, placebo, or an active comparator, in combination with their original therapy. Risperidone tablets, in a dose range of 1-6 mg/day, once daily, starting at 2 mg/day (mean modal dose of 3.8 mg/day), combined with lithium or valproate (in a therapeutic range of 0.6 mEq/L to 1.4 mEq/L or 50 mcg/mL to 120 mcg/mL, respectively) was superior to lithium or valproate alone in the reduction of YMRS total score. 

  • In a second 3-week placebo-controlled combination trial, 142 in- or outpatients on lithium, valproate, or carbamazepine therapy with inadequately controlled manic or mixed symptoms were randomized to receive risperidone tablets or placebo, in combination with their original therapy. Risperidone tablets, in a dose range of 1-6 mg/day, once daily, starting at 2 mg/day (mean modal dose of 3.7 mg/day), combined with lithium, valproate, or carbamazepine (in therapeutic ranges of 0.6 mEq/L to 1.4 mEq/L for lithium, 50 mcg/mL to 125 mcg/mL for valproate, or 4-12 mcg/mL for carbamazepine, respectively) was not superior to lithium, valproate, or carbamazepine alone in the reduction of YMRS total score. A possible explanation for the failure of this trial was induction of risperidone and 9-hydroxyrisperidone clearance by carbamazepine, leading to subtherapeutic levels of risperidone and 9-hydroxyrisperidone.

5.1 Increased Mortality in Elderly Patients With Dementia Related Psychosis (5.1 Increased Mortality in Elderly Patients with Dementia-Related Psychosis)

Elderly patients with dementia-related psychosis treated with antipsychotic drugs are at an increased risk of death. Analyses of 17 placebo-controlled trials (modal duration of 10 weeks), largely in patients taking atypical antipsychotic drugs, revealed a risk of death in drug-treated patients of between 1.6 to 1.7 times the risk of death in placebo-treated patients. Over the course of a typical 10-week controlled trial, the rate of death in drug-treated patients was about 4.5%, compared to a rate of about 2.6% in the placebo group. Although the causes of death were varied, most of the deaths appeared to be either cardiovascular (e.g., heart failure, sudden death) or infectious (e.g., pneumonia) in nature. Observational studies suggest that, similar to atypical antipsychotic drugs, treatment with conventional antipsychotic drugs may increase mortality. The extent to which the findings of increased mortality in observational studies may be attributed to the antipsychotic drug as opposed to some characteristic(s) of the patients is not clear.

In two of four placebo-controlled trials in elderly patients with dementia-related psychosis, a higher incidence of mortality was observed in patients treated with furosemide plus risperidone tablets when compared to patients treated with risperidone tablets alone or with placebo plus furosemide. No pathological mechanism has been identified to explain this finding, and no consistent pattern for cause of death was observed.

Risperidone tablets are not approved for the treatment of dementia-related psychosis [see Boxed Warning] .

Warning: Increased Mortality in Elderly Patients With Dementia Related Psychosis (WARNING: INCREASED MORTALITY IN ELDERLY PATIENTS WITH DEMENTIA-RELATED PSYCHOSIS)

Elderly patients with dementia-related psychosis treated with antipsychotic drugs are at an increased risk of death. Risperidone tablets are not approved for the treatment of patients with dementia-related psychosis. [see Warnings and Precautions (5.1)]

2.3 Irritability Associated With Autistic Disorder Pediatrics (children and Adolescents) (2.3 Irritability Associated with Autistic Disorder - Pediatrics (Children and Adolescents))

The dosage of risperidone tablets should be individualized according to the response and tolerability of the patient. The total daily dose of risperidone tablets can be administered once daily, or half the total daily dose can be administered twice daily.

For patients with body weight less than 20 kg, initiate dosing at 0.25 mg per day. For patients with body weight greater than or equal to 20 kg, initiate dosing at 0.5 mg per day. After a minimum of four days, the dose may be increased to the recommended dose of 0.5 mg per day for patients less than 20 kg and 1.0 mg per day for patients greater than or equal to 20 kg. Maintain this dose for a minimum of 14 days. In patients not achieving sufficient clinical response, the dose may be increased at intervals of 2 weeks or greater, in increments of 0.25 mg per day for patients less than 20 kg, or increments of 0.5 mg per day for patients greater than or equal to 20 kg. The effective dose range is 0.5 mg to 3 mg per day. No dosing data are available for children who weigh less than 15 kg.

Once sufficient clinical response has been achieved and maintained, consider gradually lowering the dose to achieve the optimal balance of efficacy and safety. The physician who elects to use risperidone tablets for extended periods should periodically re-evaluate the long-term risks and benefits of the drug for the individual patient.

Patients experiencing persistent somnolence may benefit from a once-daily dose administered at bedtime or administering half the daily dose twice daily, or a reduction of the dose.

5.2 Cerebrovascular Adverse Reactions, Including Stroke, in Elderly Patients With Dementia Related Psychosis (5.2 Cerebrovascular Adverse Reactions, Including Stroke, in Elderly Patients with Dementia-Related Psychosis)

Cerebrovascular adverse reactions (e.g., stroke, transient ischemic attack), including fatalities, were reported in patients (mean age 85 years; range 73-97) in trials of risperidone in elderly patients with dementia-related psychosis. In placebo-controlled trials, there was a significantly higher incidence of cerebrovascular adverse events in patients treated with risperidone compared to patients treated with placebo. Risperidone tablets are not approved for the treatment of patients with dementia-related psychosis. [see Boxed Warning and Warnings and Precautions (5.1)] .


Advanced Ingredient Data


Raw Label Data

All Sections (JSON)