These Highlights Do Not Include All The Information Needed To Use Tacrolimus Capsules Usp Safely And Effectively. See Full Prescribing Information For Tacrolimus Capsules Usp.

These Highlights Do Not Include All The Information Needed To Use Tacrolimus Capsules Usp Safely And Effectively. See Full Prescribing Information For Tacrolimus Capsules Usp.
SPL v14
SPL
SPL Set ID bd9fea26-0236-d437-c7df-4b7636210875
Route
ORAL
Published
Effective Date 2024-11-25
Document Type 34391-3 HUMAN PRESCRIPTION DRUG LABEL

Drug Facts

Composition & Product

Active Ingredients
Tacrolimus Anhydrous (0.5 mg)
Inactive Ingredients
Anhydrous Lactose Hypromellose 2910 (5 Mpa.s) Hypromellose 2910 (15 Mpa.s) Croscarmellose Sodium Magnesium Stearate Gelatin Titanium Dioxide Ferric Oxide Yellow

Identifiers & Packaging

Pill Appearance
Imprint: PBT;5;0 Shape: capsule Color: yellow Color: white Color: pink Size: 5 mm Size: 4 mm Score: 1
Marketing Status
ANDA Active Since 2016-02-26

Description

Increased risk for developing serious infections and malignancies with Tacrolimus Capsules USP or other immunosuppressants that may lead to hospitalization or death. ( 5.1 , 5.2 )

Indications and Usage

Tacrolimus Capsules USP is a calcineurin-inhibitor immuno-suppressant indicated for the prophylaxis of organ rejection in adult and pediatric patients receiving allogeneic liver, kidney, heart or lung transplants, in combination with other immunosuppressants. ( 1.1 )

Dosage and Administration

Administer capsules consistently with or without food. ( 2.1 ) Therapeutic drug monitoring is recommended. ( 2.1 , 2.6 ) Avoid eating grapefruit or drinking grapefruit juice. ( 2.1 ) See dosage adjustments for African-American patients ( 2.2 ), hepatic and renal impaired. ( 2.4 , 2.5 ) For complete dosing information see the Full Prescribing Information ADULT Patient Population Initial Oral Dosage (formulation) Whole Blood Trough Concentration Range Kidney Transplant With azathioprine 0.2 mg/kg/day capsules, divided in two doses, every 12 hours Month 1-3: 7-20 ng/mL Month 4-12: 5-15 ng/mL With MMF/IL-2 receptor antagonist 0.1 mg/kg/day capsules, divided in two doses, every   12 hours Month 1-12:  4-11 ng/mL Liver Transplant With corticosteroids only 0.1-0.15 mg/kg/day capsules, divided in two doses, every 12 hours Month 1-12: 5-20 ng/mL Heart Transplant With azathioprine or MMF 0.075 mg/kg/day capsules, divided in two doses, every 12 hours Month 1-3: 10-20 ng/mL Month ≥ 4: 5-15 ng/mL Lung Transplant With azathioprine or MMF 0.075 mg/kg/day 1 capsules, divided in two doses, every 12 hours Month 1-3: 10-20 ng/mL Month 4-12: 8-12 ng/mL MMF= Mycophenolate mofetil 1. Patients with cystic fibrosis may require higher doses due to lower bioavailability. 2. Dose at 0.1 mg/kg/day if antibody induction treatment is administered . PEDIATRIC Patient Population Initial Oral Dosage (formulation) Whole Blood Trough Concentration Range Kidney Transplant 0.3 mg/kg/day capsules divided in two doses, every 12 hours Month 1-12: 5-20 ng/mL Liver Transplant 0.15-0.2 mg/kg/day capsules divided in two doses, every 12 hours Month 1-12: 5-20 ng/mL Heart Transplant 0.3 mg/kg/day 2 capsules divided in two doses, every 12 hours Month 1-12: 5-20 ng/mL Lung Transplant 0.3 mg/kg/day 1, 2 capsules divided in two doses, every 12 hours Weeks 1-2: 10-20 ng/mL Week 2 to Month 12: 10-15 ng/mL

Warnings and Precautions

Not Interchangeable with Extended Release Tacrolimus Products- Medication Errors: Instruct patients or caregivers to recognize the appearance of Tacrolimus Capsules USP ( 5.3 ) New Onset Diabetes After Transplant: Monitor blood glucose. ( 5.4 ) Nephrotoxicity (acute and/or chronic): Reduce the dose; use caution with other nephrotoxic drugs. ( 5.5 ) Neurotoxicity: Including risk of Posterior Reversible Encephalopathy Syndrome (PRES); monitor for neurologic abnormalities; reduce or discontinue Tacrolimus Capsules USP. ( 5.6 ) Hyperkalemia: Monitor serum potassium levels. Consider carefully before using with other agents also associated with hyperkalemia. ( 5.7 ) Hypertension: May require antihypertensive therapy. Monitor relevant drug-drug interactions. ( 5.8 ) Anaphylactic Reactions with IV formulation: Observe patients receiving Tacrolimus injection for signs and symptoms of anaphylaxis. ( 5.9 ) Not recommended for use with Sirolimus: Not recommended in liver and heart transplant due to increased risk of serious adverse reactions. ( 5.10 ) Myocardial Hypertrophy: Consider dose reduction/ discontinuation. ( 5.13 ) Immunizations: Avoid live vaccines. ( 5.14 ) Pure Red Cell Aplasia: Consider discontinuation of Tacrolimus Capsules USP. ( 5.15 ) Thrombotic Microangiopathy, Including Hemolytic Uremic Syndrome and Thrombotic Thrombocytopenic Purpura: May occur, especially in patients with infections and certain concomitant medications. ( 5.16 )

Contraindications

Tacrolimus Capsules USP are contraindicated in patients with a hypersensitivity to tacrolimus. Tacrolimus injection is contraindicated in patients with a hypersensitivity to HCO-60 (polyoxyl 60 hydrogenated castor oil). Hypersensitivity symptoms reported include dyspnea, rash, pruritus, and acute respiratory distress syndrome [see Adverse Reactions ( 6 )]

Adverse Reactions

The following serious and otherwise important adverse drug reactions are discussed in greater detail in other sections of labeling: Lymphoma and Other Malignancies [see Warnings and Precautions ( 5.1 )] Serious Infections [see Warnings and Precautions ( 5.2 )] New Onset Diabetes After Transplant [see Warnings and Precautions ( 5.4 )] Nephrotoxicity [see Warnings and Precautions ( 5.5 )] Neurotoxicity [see Warnings and Precautions ( 5.6 )] Hyperkalemia [see Warnings and Precautions ( 5.7 )] Hypertension [see Warnings and Precautions ( 5.8 )] Anaphylactic Reactions with Tacrolimus Injection [see Warnings and Precautions ( 5.9 )] Myocardial Hypertrophy [see Warnings and Precautions ( 5.13 )] Pure Red Cell Aplasia [see Warnings and Precautions ( 5.15 )] Thrombotic Microangiopathy, Including Hemolytic Uremic Syndrome and Thrombotic Thrombocytopenic Purpura [ see Warnings and Precautions ( 5.16 )]

Drug Interactions

Tacrolimus Capsules USP, like other calcineurin inhibitors, can cause acute or chronic nephrotoxicity in transplant patients due to its vasoconstrictive effects on renal vasculature, toxic tubulopathy and tubular-interstitial effects. Nephrotoxicity was reported in clinical trials [see Adverse Reactions ( 6.1 )]. Acute renal impairment associated with tacrolimus toxicity can result in high serum creatinine, hyperkalemia, decreased secretion of urea and hyperuricemia, and is usually reversible. In patients with elevated serum creatinine and tacrolimus whole blood trough concentrations greater than the recommended range, consider dosage reduction or temporary interruption of tacrolimus administration. The risk for nephrotoxicity may increase when Tacrolimus Capsules USP is concomitantly administered with CYP3A inhibitors (by increasing tacrolimus whole blood concentrations) or drugs associated with nephrotoxicity (e.g., aminoglycosides, ganciclovir, amphotericin B, cisplatin, nucleotide reverse transcriptase inhibitors, protease inhibitors). When tacrolimus is used concurrently with other known nephrotoxic drugs, monitor renal functions and tacrolimus blood concentrations, and adjust doses of both tacrolimus and/or concomitant medications during concurrent use [see Drug Interactions ( 7.2 )] .


Medication Information

Warnings and Precautions

Not Interchangeable with Extended Release Tacrolimus Products- Medication Errors: Instruct patients or caregivers to recognize the appearance of Tacrolimus Capsules USP ( 5.3 ) New Onset Diabetes After Transplant: Monitor blood glucose. ( 5.4 ) Nephrotoxicity (acute and/or chronic): Reduce the dose; use caution with other nephrotoxic drugs. ( 5.5 ) Neurotoxicity: Including risk of Posterior Reversible Encephalopathy Syndrome (PRES); monitor for neurologic abnormalities; reduce or discontinue Tacrolimus Capsules USP. ( 5.6 ) Hyperkalemia: Monitor serum potassium levels. Consider carefully before using with other agents also associated with hyperkalemia. ( 5.7 ) Hypertension: May require antihypertensive therapy. Monitor relevant drug-drug interactions. ( 5.8 ) Anaphylactic Reactions with IV formulation: Observe patients receiving Tacrolimus injection for signs and symptoms of anaphylaxis. ( 5.9 ) Not recommended for use with Sirolimus: Not recommended in liver and heart transplant due to increased risk of serious adverse reactions. ( 5.10 ) Myocardial Hypertrophy: Consider dose reduction/ discontinuation. ( 5.13 ) Immunizations: Avoid live vaccines. ( 5.14 ) Pure Red Cell Aplasia: Consider discontinuation of Tacrolimus Capsules USP. ( 5.15 ) Thrombotic Microangiopathy, Including Hemolytic Uremic Syndrome and Thrombotic Thrombocytopenic Purpura: May occur, especially in patients with infections and certain concomitant medications. ( 5.16 )

Indications and Usage

Tacrolimus Capsules USP is a calcineurin-inhibitor immuno-suppressant indicated for the prophylaxis of organ rejection in adult and pediatric patients receiving allogeneic liver, kidney, heart or lung transplants, in combination with other immunosuppressants. ( 1.1 )

Dosage and Administration

Administer capsules consistently with or without food. ( 2.1 ) Therapeutic drug monitoring is recommended. ( 2.1 , 2.6 ) Avoid eating grapefruit or drinking grapefruit juice. ( 2.1 ) See dosage adjustments for African-American patients ( 2.2 ), hepatic and renal impaired. ( 2.4 , 2.5 ) For complete dosing information see the Full Prescribing Information ADULT Patient Population Initial Oral Dosage (formulation) Whole Blood Trough Concentration Range Kidney Transplant With azathioprine 0.2 mg/kg/day capsules, divided in two doses, every 12 hours Month 1-3: 7-20 ng/mL Month 4-12: 5-15 ng/mL With MMF/IL-2 receptor antagonist 0.1 mg/kg/day capsules, divided in two doses, every   12 hours Month 1-12:  4-11 ng/mL Liver Transplant With corticosteroids only 0.1-0.15 mg/kg/day capsules, divided in two doses, every 12 hours Month 1-12: 5-20 ng/mL Heart Transplant With azathioprine or MMF 0.075 mg/kg/day capsules, divided in two doses, every 12 hours Month 1-3: 10-20 ng/mL Month ≥ 4: 5-15 ng/mL Lung Transplant With azathioprine or MMF 0.075 mg/kg/day 1 capsules, divided in two doses, every 12 hours Month 1-3: 10-20 ng/mL Month 4-12: 8-12 ng/mL MMF= Mycophenolate mofetil 1. Patients with cystic fibrosis may require higher doses due to lower bioavailability. 2. Dose at 0.1 mg/kg/day if antibody induction treatment is administered . PEDIATRIC Patient Population Initial Oral Dosage (formulation) Whole Blood Trough Concentration Range Kidney Transplant 0.3 mg/kg/day capsules divided in two doses, every 12 hours Month 1-12: 5-20 ng/mL Liver Transplant 0.15-0.2 mg/kg/day capsules divided in two doses, every 12 hours Month 1-12: 5-20 ng/mL Heart Transplant 0.3 mg/kg/day 2 capsules divided in two doses, every 12 hours Month 1-12: 5-20 ng/mL Lung Transplant 0.3 mg/kg/day 1, 2 capsules divided in two doses, every 12 hours Weeks 1-2: 10-20 ng/mL Week 2 to Month 12: 10-15 ng/mL

Contraindications

Tacrolimus Capsules USP are contraindicated in patients with a hypersensitivity to tacrolimus. Tacrolimus injection is contraindicated in patients with a hypersensitivity to HCO-60 (polyoxyl 60 hydrogenated castor oil). Hypersensitivity symptoms reported include dyspnea, rash, pruritus, and acute respiratory distress syndrome [see Adverse Reactions ( 6 )]

Adverse Reactions

The following serious and otherwise important adverse drug reactions are discussed in greater detail in other sections of labeling: Lymphoma and Other Malignancies [see Warnings and Precautions ( 5.1 )] Serious Infections [see Warnings and Precautions ( 5.2 )] New Onset Diabetes After Transplant [see Warnings and Precautions ( 5.4 )] Nephrotoxicity [see Warnings and Precautions ( 5.5 )] Neurotoxicity [see Warnings and Precautions ( 5.6 )] Hyperkalemia [see Warnings and Precautions ( 5.7 )] Hypertension [see Warnings and Precautions ( 5.8 )] Anaphylactic Reactions with Tacrolimus Injection [see Warnings and Precautions ( 5.9 )] Myocardial Hypertrophy [see Warnings and Precautions ( 5.13 )] Pure Red Cell Aplasia [see Warnings and Precautions ( 5.15 )] Thrombotic Microangiopathy, Including Hemolytic Uremic Syndrome and Thrombotic Thrombocytopenic Purpura [ see Warnings and Precautions ( 5.16 )]

Drug Interactions

Tacrolimus Capsules USP, like other calcineurin inhibitors, can cause acute or chronic nephrotoxicity in transplant patients due to its vasoconstrictive effects on renal vasculature, toxic tubulopathy and tubular-interstitial effects. Nephrotoxicity was reported in clinical trials [see Adverse Reactions ( 6.1 )]. Acute renal impairment associated with tacrolimus toxicity can result in high serum creatinine, hyperkalemia, decreased secretion of urea and hyperuricemia, and is usually reversible. In patients with elevated serum creatinine and tacrolimus whole blood trough concentrations greater than the recommended range, consider dosage reduction or temporary interruption of tacrolimus administration. The risk for nephrotoxicity may increase when Tacrolimus Capsules USP is concomitantly administered with CYP3A inhibitors (by increasing tacrolimus whole blood concentrations) or drugs associated with nephrotoxicity (e.g., aminoglycosides, ganciclovir, amphotericin B, cisplatin, nucleotide reverse transcriptase inhibitors, protease inhibitors). When tacrolimus is used concurrently with other known nephrotoxic drugs, monitor renal functions and tacrolimus blood concentrations, and adjust doses of both tacrolimus and/or concomitant medications during concurrent use [see Drug Interactions ( 7.2 )] .

Description

Increased risk for developing serious infections and malignancies with Tacrolimus Capsules USP or other immunosuppressants that may lead to hospitalization or death. ( 5.1 , 5.2 )

Section 42229-5

Tacrolimus Capsules USP



(ta-KROE-li-mus)



Read this Patient Information before you start taking Tacrolimus Capsules USP and each time you get a refill. There may be new information. This information does not take the place of talking with your healthcare provider about your medical condition or your treatment.



What is the most important information I should know about Tacrolimus Capsules USP?



Tacrolimus Capsules USP can cause serious side effects, including:

  • Increased risk of cancer. People who take Tacrolimus Capsules USP have an increased risk of getting some kinds of cancer, including skin and lymph gland cancer (lymphoma).
  • Increased risk of infection.Tacrolimus Capsules USP is a medicine that affects your immune system. Tacrolimus Capsules USP can lower the ability of your immune system to fight infections. Serious infections can happen in people receiving Tacrolimus Capsules USP that can cause death. Call your healthcare provider right away if you have any symptoms of an infection, including:
    • fever
    • muscle aches
    • sweats or chills
    • warm, red, or painful areas on your skin
    • cough or flu-like symptoms

What is Tacrolimus Capsules USP?

  • Tacrolimus Capsules USP is a prescription medicine used with other medicines to help prevent organ rejection in people who have had a kidney, liver, heart or lung transplant.
  • Tacrolimus Capsules USP are types of tacrolimus immediate-release drugs and they are not the same as tacrolimus extended-release tablets or tacrolimus extended-release capsules. Your healthcare provider should decide what medicine is right for you.

Who should not take Tacrolimus Capsules USP?



Do not take Tacrolimus Capsules USP if you:



 are allergic to tacrolimus or any of the ingredients in Tacrolimus Capsules USP. See the end of this leaflet for a complete list of ingredients in Tacrolimus Capsules USP.



What should I tell my healthcare provider before taking Tacrolimus Capsules USP?



Before taking Tacrolimus Capsules USP, tell your healthcare provider about all of your medical conditions, including if you:

  • plan to receive any live vaccines. People taking Tacrolimus Capsules USP should not receive live vaccines
  • have or have had liver, kidney, or heart problems.
  • are pregnant or plan to become pregnant. Tacrolimus Capsules USP can harm your unborn baby.
    • If you are able to become pregnant, you should use effective birth control before and during treatment with Tacrolimus Capsules USP. Talk to your healthcare provider before starting treatment with Tacrolimus Capsules USP about birth control methods that may be right for you.
    • Males who have female partners who are able to become pregnant should also use effective birth control before and during treatment with Tacrolimus Capsules USP. Talk to your healthcare provider before starting treatment with Tacrolimus Capsules USP about birth control methods that may be right for you.
    • There is a pregnancy registry for females who become pregnant and males who have fathered a pregnancy during treatment with Tacrolimus Capsules USP. The purpose of this registry is to collect information about the health of you and your baby. To enroll in this voluntary registry, call 1-877-955-6877 or go to https://www.transplantpregnancyregistry.org/
  • are breastfeeding or plan to breastfeed. Tacrolimus Capsules USP passes into your breast milk. You and your healthcare provider should decide if you will breastfeed while taking Tacrolimus Capsules USP.

Tell your healthcare provider about all the medicines you take, and when you start a new medicine or stop taking a medicine, including prescription and over-the-counter medicines, vitamins, natural, herbal or nutritional supplements.

Especially tell your healthcare provider if you take:

  • sirolimus (RAPAMUNE): You should not take Tacrolimus Capsules USP if you take sirolimus
  • cyclosporine (GENGRAF, NEORAL, and SANDIMMUNE)
  • medicines called aminoglycosides that are used to treat bacterial infections
  • ganciclovir (CYTOVENE IV, VALCYTE)
  • amphotericin B (ABELCET, AMBISOME)
  • cisplatin
  • antiviral medicines called nucleoside reverse transcriptase inhibitors
  • antiviral medicines called protease inhibitors
  • water pill (diuretic)
  • medicine to treat high blood pressure
  • nelfinavir (VIRACEPT)
  • telaprevir (INCIVEK)
  • boceprevir
  • ritonavir (KALETRA, NORVIR, TECHNIVIE, VIEKIRA PAK, VIEKIRA XR)
  • letermovir (PREVYMIS)
  • ketoconazole
  • itraconazole (ONMEL, SPORANOX)
  • voriconazole (VFEND)
  • caspofungin (CANCIDAS)
  • clarithromycin (BIAXIN, BIAXIN XL, PREVPAC)
  • rifampin (RIFADIN, RIFAMATE, RIFATER, RIMACTANE)
  • rifabutin (MYCOBUTIN)
  • amiodarone (NEXTERONE, PACERONE)
  • cannabidiol (EPIDIOLEX)

Ask your healthcare provider or pharmacist if you are not sure if you take any of the medicines listed above. Tacrolimus Capsules USP may affect the way other medicines work, and other medicines may affect how Tacrolimus Capsules USP works.

Know the medicines you take. Keep a list of your medicines and show it to your healthcare provider and pharmacist when you get a new medicine.

How should I take Tacrolimus Capsules USP?

  • Take Tacrolimus Capsules USP exactly as your healthcare provider tells you to take it.
  • Your healthcare provider will tell you how much Tacrolimus Capsules USP to take and when to take it.
  • Your healthcare provider may change your Tacrolimus Capsules USP dose if needed. Do not stop taking or change your dose of Tacrolimus Capsules USP without talking to your healthcare provider
  • Take Tacrolimus Capsules USP with or without food.
  • Take Tacrolimus Capsules USP the same way every day. For example, if you choose to take Tacrolimus Capsules USP with food, you should always take Tacrolimus Capsules USP with food.
  • Take Tacrolimus Capsules USP at the same time each day, 12 hours apart. For example, if you take your first dose at 7:00 a.m., you should take your second dose at 7:00 p.m.
  • Taking Tacrolimus Capsules USP at the same time each day helps to keep the amount of medicine in your body at a steady level.
  • If you take too much Tacrolimus Capsules USP, call your healthcare provider or go to the nearest hospital emergency room right away.

Tacrolimus Capsules USP:

  • Do notopen or crush Tacrolimus Capsules USP

What should I avoid while taking Tacrolimus Capsules USP?

  • While you take Tacrolimus Capsules USP you should not receive any live vaccines.
  • Limit the amount of time you spend in sunlight and avoid exposure to ultraviolet (UV) light, such as tanning machines. Wear protective clothing and use a sunscreen with a high sun protection factor (SPF).
  • Do not eat grapefruit or drink grapefruit juice during treatment with Tacrolimus Capsules USP.

What are the possible side effects of Tacrolimus Capsules USP?



Tacrolimus Capsules USP may cause serious side effects, including:

  • See "What is the most important information I should know about Tacrolimus Capsules USP?"
  • problems from medicine errors.People who take Tacrolimus Capsules USP have sometimes been given the wrong type of tacrolimus product. Tacrolimus extended-release medicines are not the same as Tacrolimus Capsules USP and cannot be substituted for each other. Check your Tacrolimus Capsules USP when you get a new prescription and before you take it to make sure you have received Tacrolimus Capsules USP.
  • Check with the pharmacist and call your healthcare provider if you think you were given the wrong medicine.
  • high blood sugar (diabetes). Your healthcare provider may do blood tests to check for diabetes while you take Tacrolimus Capsules USP. Call your healthcare provider right away if you have any symptoms of high blood sugar, including:
    • frequent urination
    • drowsiness
    • increased thirst or hunger
    • loss of appetite
    • blurred vision
    • fruity smell on your breath
    • confusion
    • nausea, vomiting, or stomach pain
  • kidney problems. Kidney problems are a serious and common side effect of Tacrolimus Capsules USP. Your healthcare provider may do blood tests to check your kidney function while you take Tacrolimus Capsules USP
  • nervous system problems. Nervous system problems are a serious and common side effect of Tacrolimus Capsules USP. Call your healthcare provider right away if you get any of these symptoms while taking Tacrolimus Capsules USP. These could be signs of a serious nervous system problem:
    • headache
    • changes in behavior
    • confusion
    • coma
    • seizures
    • tremors
    • changes in your vision
    • numbness and tingling
  • high levels of potassium in your blood.Your healthcare provider may do blood tests to check your potassium level while you take Tacrolimus Capsules USP
  • high blood pressure. High blood pressure is a serious and common side effect of Tacrolimus Capsules USP. Your healthcare provider will monitor your blood pressure while you take Tacrolimus Capsules USP and may prescribe blood pressure medicine for you, if needed. Your healthcare provider may instruct you to check your blood pressure at home
  • changes in the electrical activity of your heart (QT prolongation).
  • heart problems (myocardial hypertrophy). Tell your healthcare provider right away if you get any of these symptoms of heart problems while taking Tacrolimus Capsules USP:
    • shortness of breath
    • feel lightheaded
    • chest pain
    • feel faint
  • severe low red blood cell count (anemia).
  • blood clotting problems: Tell your healthcare provider right away if you have fever and bruising under the skin that may appear as red dots, with or without unexplained tiredness, confusion, yellowing of the skin or eyes, decreased urination. When taken with sirolimus or everolimus, the risk of developing these symptoms may increase.

The most common side effects of Tacrolimus Capsules USP in people who have received a kidney, liver, heart or lung transplant are:

  • infections in general, including cytomegalovirus (CMV) infection
  • swelling of the hands, legs, ankles, or feet
  • weakness
  • tremors(shaking of the body)
  • pain
  • constipation
  • high levels of fat in your blood
  • diarrhea
  • high levels of potassium in your blood
  • headache
  • low red blood cell count (anemia)
  • stomach pain
  • low white blood cell count
  • trouble sleeping
  • fever
  • nausea
  • numbness or tingling in your hands and feet
  • high blood sugar (diabetes)
  • inflammation of your airway (bronchitis)
  • low levels of magnesium in your blood
  • fluid around your heart
  • low levels of phosphate in your blood

Tell your healthcare provider if you have any side effect that bothers you or that does not go away.



These are not all the possible side effects of Tacrolimus Capsules USP. For more information, ask your healthcare provider or pharmacist.



Call your healthcare provider for medical advice about side effects. You may report side effects to FDA at 1-800-FDA- 1088.



How should I store Tacrolimus Capsules USP?



Tacrolimus Capsules USP

  • Store Tacrolimus Capsules USP at room temperature between 68°F to 77°F (20°C to 25°C).

Keep Tacrolimus Capsules USP and all medicines out of the reach of children.



General information about the safe and effective use of Tacrolimus Capsules USP.

  • Medicines are sometimes prescribed for purposes other than those listed in a Patient Information leaflet. Do not use Tacrolimus Capsules USP for a condition for which it was not prescribed. Do not give Tacrolimus Capsules USP to other people, even if they have the same symptoms that you have. It may harm them. You can ask your pharmacist or healthcare provider for information about Tacrolimus Capsules USP that is written for health professionals.
  • This Patient Information leaflet summarizes the most important information about Tacrolimus Capsules USP. If you would like more information, talk to your healthcare provider.

What are the ingredients in Tacrolimus Capsules USP?



Active ingredient: Tacrolimus USP



Inactive ingredients:



Tacrolimus Capsules USP: croscarmellose sodium, hypromellose, lactose anhydrous, and magnesium stearate. The 0.5 mg capsule shell contains ferric oxide, gelatin, and titanium dioxide. The 1 mg capsule shell contains gelatin and titanium dioxide. The 5 mg capsule shell contains ferric oxide, gelatin, and titanium dioxide.



All other trademarks and registered trademarks are the property of their respective owners.



For more information, call Jubilant Cadista Pharmaceuticals Inc. at 800-313-4623 or www.cadista.com or FDA at 1-800-FDA-1088.



This Patient Information has been approved by the U.S. Food and Drug Administration.



HP/Drugs/MB/05/203



Marketed by:



Jubilant Cadista Pharmaceuticals Inc.



Yardley, PA 19067, USA.



Issued: 11/2024



Item Code: PPIT105

10 Overdosage

Limited overdosage experience is available. Acute overdosages of up to 30 times the intended dose have been reported. Almost all cases have been asymptomatic and all patients recovered with no sequelae. Acute overdosage was sometimes followed by adverse reactions consistent with those reported with the use of Tacrolimus Capsules USP [See Adverse Reactions (6.1, 6.2)] including tremors, abnormal renal function, hypertension, and peripheral edema; in one case of acute overdosage, transient urticaria and lethargy were observed. Based on the poor aqueous solubility and extensive erythrocyte and plasma protein binding, it is anticipated that tacrolimus is not dialyzable to any significant extent; there is no experience with charcoal hemoperfusion. The oral use of activated charcoal has been reported in treating acute overdoses, but experience has not been sufficient to warrant recommending its use. General supportive measures and treatment of specific symptoms should be followed in all cases of overdosage.

15 References

1. "OSHA Hazardous Drugs." OSHA http://www.osha.gov/SLTC/hazardousdrugs/index.html

8.1 Pregnancy

Pregnancy Exposure Registry



There is a pregnancy registry that monitors pregnancy outcomes in women exposed to Tacrolimus Capsules USP during pregnancy. The Transplantation Pregnancy Registry International (TPRI) is a voluntary pregnancy exposure registry that monitors outcomes of pregnancy in female transplant recipients and those fathered by male transplant recipients exposed to immunosuppressants including tacrolimus. Healthcare providers are encouraged to advise their patients to register by contacting the Transplantation Pregnancy Registry International at 1-877-955-6877 or https://www.transplantpregnancyregistry.org/.



Risk Summary



Tacrolimus can cause fetal harm when administered to a pregnant woman. Data from postmarketing surveillance and TPRI suggest that infants exposed to tacrolimus in utero are at a risk of prematurity, birth defects/congenital anomalies, low birth weight, and fetal distress [see Human Data]. Advise pregnant women of the potential risk to the fetus.



Administration of oral tacrolimus to pregnant rabbits and rats throughout the period of organogenesis was associated with maternal toxicity/lethality, and an increased incidence of abortion, malformation and embryofetal death at clinically relevant doses (0.5 to 6.9 times the recommended clinical dose range [0.2 to 0.075 mg/kg/day], on a mg/m2 basis). Administration of oral tacrolimus to pregnant rats after organogenesis and throughout lactation produced maternal toxicity, effects on parturition, reduced pup viability and reduced pup weight at clinically relevant doses (0.8 to 6.9 times the recommended clinical dose range, on a mg/m2 basis). Administration of oral tacrolimus to rats prior to mating, and throughout gestation and lactation produced maternal toxicity/lethality, marked effects on parturition, embryofetal loss, malformations, and reduced pup viability at clinically relevant doses (0.8 to 6.9 times the recommended clinical dose range, on a mg/m2 basis). Interventricular septal defects, hydronephrosis, craniofacial malformations and skeletal effects were observed in offspring that died [see Animal Data]



The background risk of major birth defects and miscarriage in the indicated population is unknown. In the U.S. general population, the estimated background risk of major birth defects and miscarriage in clinically recognized pregnancies is 2 to 4% and 15 to 20%, respectively.



Clinical Considerations



Disease-Associated Maternal and/or Embryo-Fetal Risk



Risks during pregnancy are increased in organ transplant recipients.



The risk of premature delivery following transplantation is increased. Pre-existing hypertension and diabetes confer additional risk to the pregnancy of an organ transplant recipient. Pre-gestational and gestational diabetes are associated with birth defects/congenital anomalies, hypertension, low birth weight and fetal death.



Cholestasis of pregnancy (COP) was reported in 7% of liver or liver-kidney (LK) transplant recipients, compared with approximately 1% of pregnancies in the general population. However, COP symptoms resolved postpartum and no long  term effects on the offspring were reported.



Maternal Adverse Reactions



Tacrolimus may increase hyperglycemia in pregnant women with diabetes (including gestational diabetes). Monitor maternal blood glucose levels regularly [see Warnings and Precautions (5.4)]



Tacrolimus may exacerbate hypertension in pregnant women and increase pre-eclampsia. Monitor and control blood pressure [see Warnings and Precautions (5.7, 5.8)]



Fetal/Neonatal Adverse Reactions



Renal dysfunction, transient neonatal hyperkalemia and low birth weight have been reported at the time of delivery in infants of mothers taking Tacrolimus.



Labor or Delivery



There is an increased risk for premature delivery (< 37 weeks) following transplantation and maternal exposure to Tacrolimus



Data

Human Data



There are no adequate and well controlled studies on the effects of tacrolimus in human pregnancy. Safety data from the TPRI and postmarketing surveillance suggest infants exposed to tacrolimus in utero have an increased risk for miscarriage, pre-term delivery (< 37 weeks), low birth weight (< 2500 g), birth defects/congenital anomalies and fetal distress.



TPRI reported 450 and 241 total pregnancies in kidney and liver transplant recipients exposed to tacrolimus, respectively. The TPRI pregnancy outcomes are summarized in Table 16. In the table below, the number of recipients exposed to tacrolimus concomitantly with mycophenolic acid (MPA) products during the preconception and first  trimester periods is high (27% and 29% for renal and liver transplant recipients, respectively). Because MPA products may also cause birth defects, the birth defect rate  may be confounded and this should be taken into consideration when reviewing the data, particularly for birth defects. Birth defects observed include cardiac malformations, craniofacial malformations, renal/urogenital disorders, skeletal abnormalities, neurological abnormalities and multiple malformations.



Table 16. TPRI Reported Pregnancy Outcomes in Transplant Recipients with Exposure to Tacrolimus

1 Includes multiple births and terminations.

2 Birth defect rate confounded by concomitant MPA products exposure in over half of offspring with birth defects.

Kidney

Liver

Pregnancy Outcomes1

462

253

Miscarriage

24.50%

25%

Live births

331

180

Pre-term delivery (< 37 weeks)

49%

42%

Low birth weight (< 2500 g)

42%

30%

Birth defects

8%2

5%

Additional information reported by TPRI in pregnant transplant patients receiving tacrolimus included diabetes during pregnancy in 9% of kidney recipients  and 13% of  liver recipients and hypertension during pregnancy in 53% of kidney recipients and 16.2% of liver recipients.

Animal Data

Administration of oral tacrolimus to pregnant rabbits throughout organogenesis produced maternal toxicity and abortion at 0.32 mg/kg (0.5 to 1.4 times the recommended clinical dose range [0.2 to 0.075 mg/kg/day], on a mg/m2 basis). At 1 mg/kg (1.6 to 4.3 times the recommended clinical dose range), embryofetal lethality and fetal  malformations (ventricular hypoplasia, interventricular septal defect, bulbous aortic arch, stenosis of ductus arteriosus, omphalocele, gallbladder agenesis, skeletal anomalies) were observed. Administration of 3.2 mg/kg oral tacrolimus (2.6 to 6.9 times the recommended clinical dose range) to pregnant rats throughout organogenesis produced maternal toxicity/lethality, embryofetal lethality and decreased fetal body weight in the offspring of C-sectioned dams; and decreased pup viability and interventricular septal defect in offspring of dams that delivered

In a peri-/postnatal development study, oral administration of tacrolimus to pregnant rats during late gestation (after organogenesis) and throughout lactation produced maternal toxicity, effects on parturition, and reduced pup viability at 3.2 mg/kg (2.6 to 6.9 times the recommended clinical dose range); among these pups that died early, an increased incidence of kidney hydronephrosis was observed. Reduced pup weight was observed at 1.0 mg/kg (0.8 to 2.2 times the recommended clinical dose range).

Administration of oral tacrolimus to rats prior to mating, and throughout gestation and lactation produced maternal toxicity/lethality, embryofetal loss and reduced pup viability at 3.2 mg/kg (2.6 to 6.9 times the recommended clinical dose range). Interventricular septal defects, hydronephrosis, craniofacial malformations and skeletal effects were observed in offspring that died. Effects on parturition (incomplete delivery of nonviable pups) were observed at 1 mg/kg (0.8 to 2.2 times the recommended clinical dose range) [see Nonclinical Toxicology (13.1)]

8.2 Lactation

Risk Summary



Controlled lactation studies have not been conducted in humans; however tacrolimus has been reported to be present in human milk. The effects of tacrolimus on the breastfed infant, or on milk production have not been assessed.  Tacrolimus is excreted in rat milk and in peri-/postnatal rat studies, exposure to tacrolimus during  the  postnatal period was associated with developmental toxicity in the offspring at clinically relevant doses [see Use in Specific Populations(8.1), Nonclinical Toxicology (13.1)]



The developmental and health benefits of breastfeeding should be considered along with the mother's clinical need for tacrolimus and any potential adverse effects on the breastfed child from tacrolimus or from the underlying maternal condition.

11 Description

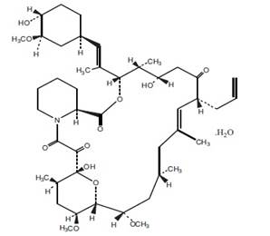
Tacrolimus, previously known as FK506, is the active ingredient in Tacrolimus Capsules USP. Tacrolimus is a calcineurin-inhibitor immunosuppressant produced by Streptomyces tsukubaensis. Chemically, tacrolimus is designated as [3S [3R*[E(1S*, 3S*,4S*)],4S*,5R*,8S*,9E,12R*,14R*,15S*,16R*,18S*,19S*,26aR*]] 5,6,8,11,12,13,14,15,16,17,18,19,24,25,26,26a-hexadecahydro-5,19-dihydroxy-3-[2-(4-hydroxy-3-methoxycyclohexyl)-1methylethenyl]-14,16-dimethoxy-4,10,12,18-tetramethyl-8-(2-propenyl)-15,19-epoxy-3H-pyrido[2,1-c][1,4]oxaazacyclotricosine-1,7,20,21(4H,23H)-tetrone, monohydrate.

The chemical structure of tacrolimus USP is:

Tacrolimus USP has an empirical formula of C44H69NO12H2O and a formula weight of 822.03. Tacrolimus appears as white to off white powder. It is soluble in acetone, chloroform, ethyl acetate and insoluble in water. Tacrolimus Capsules USP is available for oral administration as capsules (tacrolimus capsules) containing the equivalent of 0.5 mg, 1 mg or 5 mg of tacrolimus USP. Inactive ingredients include croscarmellose sodium NF, hypromellose USP, lactose anhydrous USNF, and magnesium stearate USNF. The 0.5 mg capsule shell contains ferric oxide, gelatin and titanium dioxide. The 1 mg capsule shell contains gelatin and titanium dioxide. The 5 mg capsule shell contains ferric oxide, gelatin, and titanium dioxide

7.3 Cannabidiol

The blood levels of tacrolimus may increase upon concomitant use with cannabidiol. When cannabidiol and Tacrolimus Capsules USP are co-administered, closely monitor for an increase in tacrolimus blood levels and for adverse reactions suggestive of tacrolimus toxicity. A dose reduction of Tacrolimus Capsules USP should be considered as needed when Tacrolimus Capsules USP is co-administered with cannabidiol [see Dosage and Administration ( 2.2 , 2.6 ) and Warnings and Precautions (5.17 )].

5.7 Hyperkalemia

Hyperkalemia has been reported with Tacrolimus Capsules USP use. Serum potassium levels should be monitored. Careful consideration should be given prior to use of other agents also associated with hyperkalemia (e.g., potassium-sparing diuretics, ACE inhibitors, angiotensin receptor blockers) during tacrolimus therapy [see Adverse Reactions (6.1)]. Monitor serum potassium levels periodically during treatment.

5.8 Hypertension

Hypertension is a common adverse effect of Tacrolimus Capsules USP therapy and may require antihypertensive therapy [see Adverse Reactions (6.1)]. The control of blood pressure can be accomplished with any of the common antihypertensive  agents, though careful consideration should be given prior to use of antihypertensive agents associated with  hyperkalemia (e.g., potassium-sparing diuretics, ACE inhibitors, angiotensin receptor blockers) [see Warnings and Precautions (5.7)].



Calcium-channel blocking agents may increase tacrolimus blood concentrations and therefore require dosage reduction of Tacrolimus [see Drug Interactions (7.2)]

17.7 Hyperkalemia

Inform patients that Tacrolimus Capsules USP can cause hyperkalemia. Monitoring of potassium levels may be necessary, especially with concomitant use of other drugs known to cause hyperkalemia [see Warnings and Precautions (5.7)].

17.8 Hypertension

Inform patients that Tacrolimus Capsules USP can cause high blood pressure which may require treatment with anti-hypertensive therapy. Advise patients to monitor their blood pressure [see Warnings and Precautions 5.8)]

5.6 Neurotoxicity

Tacrolimus Capsules USP may cause a spectrum of neurotoxicities. The most severe neurotoxicities include posterior reversible encephalopathy syndrome (PRES), delirium, seizure and coma; others include tremors, paresthesias, headache, mental status changes, and changes in motor and sensory functions [see Adverse Reactions (6.1, 6.2)]. As symptoms may be associated with tacrolimus whole blood trough concentrations at or above the recommended range, monitor for neurologic symptoms and consider dosage reduction or discontinuation of Tacrolimus Capsules USP if neurotoxicity occurs

8.4 Pediatric Use

Safety and effectiveness have been established in pediatric liver, kidney, heart, and lung transplant patients.



Liver transplantation:



Safety and efficacy using tacrolimus Granules in pediatric de novo liver transplant patients less than 16 years of age are based on evidence from active controlled studies that included 56 pediatric patients, 31 of which received tacrolimus and supported by two pharmacokinetic and safety studies in 151 children who received tacrolimus. Additionally, 122 pediatric patients were studied in an uncontrolled trial of tacrolimus in living related donor liver transplantation. Dose adjustments were made in the PK studies based on clinical status and whole blood concentrations. Pediatric patients generally required higher doses of tacrolimus to maintain blood trough concentrations of tacrolimus similar to adult patients [see Dosage and Administration (2.3), Adverse Reactions (6.1), Clinical Pharmacology (12.3) and Clinical Studies (14.2)]



Kidney and Heart Transplantation:



Use of Tacrolimus capsules and tacrolimus Granules in pediatric kidney and heart transplant patients is supported by adequate and well-controlled studies and pharmacokinetic data in adult kidney and heart transplant patients with additional pharmacokinetic data in pediatric kidney and heart transplant patients and safety data in pediatric liver transplant patients [see Dosage and Administration (2.3) and Clinical Pharmacology (12.3)].



Lung Transplantation



The use of Tacrolimus Capsules and Tacrolimus Granules in pediatric lung transplantation is supported by the experience in the U.S. Scientific Registry of Transplant Recipients (SRTR) including 450 pediatric patients receiving tacrolimus immediate-release products in combination with mycophenolate mofetil and 72 pediatric patients receiving tacrolimus immediate-release products in combination with azathioprine between 1999-2017.

8.5 Geriatric Use

Clinical trials of Tacrolimus Capsules USP did not include sufficient numbers of subjects aged 65 and over to determine whether they respond differently from younger subjects. Other reported clinical experience has not identified differences in responses between the elderly and younger patients. In general, dose selection for an elderly patient should be cautious, usually starting at the low end of the dosing range, reflecting the greater frequency of decreased hepatic, renal, or cardiac function, and of concomitant disease or other drug therapy.

17.6 Neurotoxicity

Inform patients that they are at risk of developing adverse neurologic reactions including seizure, altered mental status, and tremor. Advise patients to contact their physician should they develop vision changes, deliriums, or tremors [see Warnings and Precautions (5.6)]

5.14 Immunizations

Whenever possible, administer the complete complement of vaccines before transplantation and treatment with Tacrolimus Capsules USP.

The use of live vaccines should be avoided during treatment with tacrolimus; examples include (not limited to) the following: intranasal influenza, measles, mumps, rubella, oral polio, BCG, yellow fever, varicella, and TY21a typhoid vaccines.

Inactivated vaccines noted to be safe for administration after transplantation may not be sufficiently immunogenic during treatment with tacrolimus.

17.1 Administration

Advise the patient or caregiver to:

  • Inspect their Tacrolimus Capsules USP medicine when they receive a new prescription and before taking it. If the appearance of the capsule is not the same as usual, or if dosage instructions have changed, advise patients to contact their healthcare provider as soon as possible to make sure that they have the right medicine. Other tacrolimus products cannot be substituted for Tacrolimus Capsules USP.
  • Take Tacrolimus Capsules USP at the same 12-hour intervals every day to achieve consistent blood concentrations.
  • Take Tacrolimus Capsules USP consistently either with or without food because the presence and composition of food decreases the bioavailability of Tacrolimus Capsules USP.
  • Not to eat grapefruit or drink grapefruit juice in combination with Tacrolimus Capsules USP [see Drug Interactions (7.2)].
17.13 Immunizations

Inform patients that Tacrolimus Capsules USP can interfere with the usual response to immunizations and that they should avoid live vaccines [see Warnings and Precautions (5.14)]



All other trademarks and registered trademarks are the property of their respective owners.



Rx only



HP/Drugs/MB/05/203



Marketed by:



Jubilant Cadista Pharmaceuticals Inc.,



Yardley, PA 19067, USA.



Item code: PPIT104



Issued: 11/2024

17.5 Nephrotoxicity

Inform patients that Tacrolimus Capsules USP can have toxic effects on the kidney that should be monitored. Advise patients to attend all visits and complete all blood tests ordered by their medical team [see Warnings and Precautions (5.5)].

4 Contraindications

Tacrolimus Capsules USP are contraindicated in patients with a hypersensitivity to tacrolimus. Tacrolimus injection is contraindicated in patients with a hypersensitivity to HCO-60 (polyoxyl 60 hydrogenated castor oil). Hypersensitivity symptoms reported include dyspnea, rash, pruritus, and acute respiratory distress syndrome [see Adverse Reactions (6)]

6 Adverse Reactions

The following serious and otherwise important adverse drug reactions are discussed in greater detail in other sections of labeling:

  • Lymphoma and Other Malignancies [see Warnings and Precautions (5.1)]
  • Serious Infections [see Warnings and Precautions (5.2)]
  • New Onset Diabetes After Transplant [see Warnings and Precautions (5.4)]
  • Nephrotoxicity [see Warnings and Precautions (5.5)]
  • Neurotoxicity [see Warnings and Precautions (5.6)]
  • Hyperkalemia [see Warnings and Precautions (5.7)]
  • Hypertension [see Warnings and Precautions (5.8)]
  • Anaphylactic Reactions with Tacrolimus Injection[see Warnings and Precautions (5.9)]
  • Myocardial Hypertrophy [see Warnings and Precautions (5.13)]
  • Pure Red Cell Aplasia[see Warnings and Precautions (5.15)]
  • Thrombotic Microangiopathy, Including Hemolytic Uremic Syndrome and Thrombotic Thrombocytopenic Purpura [see Warnings and Precautions ( 5.16 )]
7 Drug Interactions
  • Mycophenolic Acid Products: Can increase MPA exposure after crossover from cyclosporine to tacrolimus; monitor for MPA-related adverse reactions and adjust MMF or MPA-dose as needed. (7.1)
  • Nelfinavir and Grapefruit Juice: Increased tacrolimus concentrations via CYP3A inhibition; avoid concomitant use. (7.2)
  • CYP3A Inhibitors: Increased tacrolimus concentrations; monitor concentrations and adjust tacrolimus dose as needed. (5.11,7.2)
  • CYP3A4 Inducers: Decreased tacrolimus concentrations; monitor concentrations and adjust tacrolimus dose as needed. (5.11,7.2)
  • Therapeutic drug monitoring and dose reduction for tacrolimus should be considered when tacrolimus is co-administered with cannabidiol (5.17, 7.3).
5.12 Qt Prolongation

Tacrolimus may prolong the QT/QTc interval and may cause Torsade de Pointes. Avoid tacrolimus in patients with congenital long QT syndrome. In patients with congestive heart failure, bradyarrhythmias, those taking certain antiarrhythmic medications or other medicinal products that lead to QT prolongation, and those with electrolyte disturbances such as hypokalemia, hypocalcemia, or hypomagnesemia, consider obtaining electrocardiograms and monitoring electrolytes (magnesium, potassium, calcium) periodically during treatment



When co-administering tacrolimus with other substrates and/or inhibitors of CYP3A4 that also have the potential to prolong the QT interval, a reduction in tacrolimus dose, frequent monitoring of tacrolimus whole blood concentrations, and monitoring for QT prolongation is recommended. Use of tacrolimus with amiodarone has been reported to result in increased tacrolimus whole blood concentrations with or without concurrent QT prolongation [see Drug Interactions (7.2)]

12.3 Pharmacokinetics

Tacrolimus activity is primarily due to the parent drug. The pharmacokinetic parameters (mean ± S.D.) of tacrolimus have been determined following intravenous (IV) and/or oral (PO) administration in healthy volunteers, and in kidney transplant, liver transplant, and heart transplant patients (Table 17)

Caption: Table 17. Pharmacokinetics Parameters (mean ± S.D.) of Tacrolimus in Healthy Volunteers and Patients

1.          Not applicable

2.          AUC0-inf

3.          Not available

4.          AUC0-t

5.          Determined after the first dose

6.          Median [range]

7.          AUC0-12

Population

N

          Route (Dose)

Parameters

Cmax (ng/mL)

Tmax (hr)

AUC (ng•hr/mL)

t1/2 (hr)

CI (L/hr/kg)

V (L/kg)

Healthy Volunteers

8

IV (0.025 mg/kg/4 hr)

1

1

6522 ± 156

34.2 ± 7.7

0.040 ± 0.009

1.91 ± 0.31

30

PO (5 mg) (granules)

35.6 ± 10.9

1.3 ± 0.5

3202 ± 164

32.1 ± 5.9

3

3

PO (5 mg) (capsules)

28.8 ± 8.9

1.5 ± 0.7

2662 ± 95

32.3 ± 8.8

3

3

Kidney Transplant Patients

26

IV (0.02 mg/kg/12 hr)

1

1

2942 ± 262

18.8 ± 16.7

0.083 ± 0.05

1.41 ± 0.66

PO (0.2 mg/kg/day)

19.2 ± 10.3

3

2032 ± 42

3

3

3

PO (0.3 mg/kg/day)

24.2 ± 15.8

1.5

288 2 ± 93

3

3

3

Liver Transplant Patients

17

IV (0.05 mg/kg/12 hr)

1

1

3300 2 ± 2130

11.7 ± 3.9

0.053 ± 0.017

0.85 ± .30

PO (0.3 mg/kg/day)

68.5 ± 30.0

2.3 ± 1.5

519 2 ± 179

3

3

3

Heart Transplant Patients

11

IV (0.01 mg/kg/day as a continuous infusion)

1

1

9544 ± 334

23.6 ± 9.22

0.051 ± 0.015

3

11

PO (0.075 mg/kg/day)5

14.7 ± 7.79

2.1 [0.5-6.0] 6

82.7 7 ± 63.2

1

3

3

14

PO (0.15 mg/kg/day)5

24.5 ± 13.7

1.5 [0.4-4.0] 6

1427 ± 116

1

3

3

Due to intersubject variability in tacrolimus pharmacokinetics, individualization of dosing regimen is necessary for optimal therapy [see Dosage and Administration (2.6)]. Pharmacokinetic data indicate that whole blood concentrations rather than plasma concentrations serve as the more appropriate sampling compartment to describe tacrolimus pharmacokinetics



Absorption



Absorption of tacrolimus from the gastrointestinal tract after oral administration is incomplete and variable. The absolute bioavailability of tacrolimus was 17 ± 10% in adult kidney transplant patients (N = 26), 22 ± 6% in adult liver transplant patients (N = 17), 23 ± 9% in adult heart transplant patients (N = 11) and 18 ± 5% in healthy volunteers (N = 16).



A single dose trial conducted in 32 healthy volunteers established the bioequivalence of the 1 mg and 5 mg capsules. Another single dose trial in 32 healthy volunteers established the bioequivalence of the 0.5 mg and 1 mg capsules. Tacrolimus maximum blood concentrations (Cmax) and area under the curve (AUC) appeared to increase in a dose- proportional fashion in 18 fasted healthy volunteers receiving a single oral dose of 3, 7, and 10 mg. In 18 kidney transplant patients, tacrolimus trough concentrations from 3 to 30 ng/mL measured at 10-12 hours post-dose (Cmin) correlated well with the AUC (correlation coefficient 0.93). In 24 liver transplant patients over a concentration range of 10 to 60 ng/mL, the correlation coefficient was 0.94. In 25 heart transplant patients over a concentration range of 2 to 24 ng/mL, the correlation coefficient was 0.89 after an oral dose of 0.075 or 0.15 mg/kg/day at steady-state.



In a healthy volunteer adult study, the systemic exposure to tacrolimus (AUC) for tacrolimus Granules was approximately 16% higher than that for tacrolimus capsules when administered as single doses. If pediatric patients are converted between formulations, therapeutic drug monitoring must be performed and dose adjustments made to ensure that systemic exposure to tacrolimus is maintained.



Food Effects



The rate and extent of tacrolimus absorption were greatest under fasted conditions. The presence and composition of food decreased both the rate and extent of tacrolimus absorption when administered to 15 healthy volunteers.



The effect was most pronounced with a high-fat meal (848 kcal, 46% fat): mean AUC and Cmax were decreased 37% and 77%, respectively; Tmax was lengthened 5-fold. A high-carbohydrate meal (668 kcal, 85% carbohydrate) decreased mean AUC and mean Cmax by 28% and 65%, respectively



In healthy volunteers (N = 16), the time of the meal also affected tacrolimus bioavailability. When given immediately following the meal, mean Cmax was reduced 71%, and mean AUC was reduced 39%, relative to the fasted condition. When administered 1.5 hours following the meal, mean Cmax was reduced 63%, and mean AUC was reduced 39%, relative to the fasted condition.



In 11 liver transplant patients, tacrolimus administered 15 minutes after a high fat (400 kcal, 34% fat) breakfast, resulted in decreased AUC (27 ± 18%) and Cmax (50 ± 19%), as compared to a fasted state.



Tacrolimus Capsules USP should be taken consistently every day either with or without food because the presence and composition of food decreases the bioavailability of tacrolimus [see Dosage and Administration (2.1)].



Distribution



The plasma protein binding of tacrolimus is approximately 99% and is independent of concentration over a range of 5-50 ng/mL. Tacrolimus is bound mainly to albumin and alpha-1-acid glycoprotein, and has a high level of association with erythrocytes. The distribution of tacrolimus between whole blood and plasma depends on several factors, such as hematocrit, temperature at the time of plasma separation, drug concentration, and plasma protein concentration. In a U.S. trial, the ratio of whole blood concentration to plasma concentration averaged 35 (range 12 to 67).



Elimination



Metabolism



Tacrolimus is extensively metabolized by the mixed-function oxidase system, primarily the cytochrome P-450 system (CYP3A4 and CYP3A5). A metabolic pathway leading to the formation of 8 possible metabolites has been proposed. Demethylation and hydroxylation were identified as the primary mechanisms of biotransformation in vitro. The major metabolite identified in incubations with human liver microsomes is 13-demethyl tacrolimus. In in vitro studies, a 31-demethyl metabolite has been reported to have the same activity as tacrolimus.



The mean clearance following IV administration of tacrolimus is 0.040, 0.083, and 0.053, and 0.051 L/hr/kg in healthy volunteers, adult kidney transplant patients, adult liver transplant patients, and adult heart transplant patients, respectively. In man, less than 1% of the dose administered is excreted unchanged in urine.



In a mass balance study of IV-administered radiolabeled tacrolimus to 6 healthy volunteers, the mean recovery of radiolabel was 77.8 ± 12.7%. Fecal elimination accounted for 92.4 ± 1.0% and the elimination half-life based on radioactivity was 48.1 ± 15.9 hours whereas it was 43.5 ± 11.6 hours based on tacrolimus concentrations. The mean clearance of radiolabel was 0.029 ± 0.015 L/hr/kg and clearance of tacrolimus was 0.029 ± 0.009 L/hr/kg. When administered PO, the mean recovery of the radiolabel was 94.9 ± 30.7%. Fecal elimination accounted for 92.6 ± 30.7%, urinary elimination accounted for 2.3 ± 1.1% and the elimination half-life based on radioactivity was 31.9 ± 10.5 hours whereas it was 48.4 ± 12.3 hours based on tacrolimus concentrations. The mean clearance of radiolabel was 0.226 ± 0.116 L/hr/kg and clearance of tacrolimus 0.172 ± 0.088 L/hr/kg.



Specific Populations



Pediatric Patients



Tacrolimus Capsules USP Pharmacokinetics in Pediatric Patients



Pharmacokinetics of tacrolimus have been studied in liver transplantation patients, 0.7 to 13.2 years of age. Following IV administration of a 0.037 mg/kg/day dose to 12 pediatric patients, mean terminal half-life, volume of distribution and clearance were 11.5 ± 3.8 hours, 2.6 ± 2.1 L/kg and 0.138 ± 0.071 L/hr/kg, respectively. Following oral administration to 9 patients, mean AUC and Cmax were 337 ± 167 ng·hr/mL and 48.4 ± 27.9 ng/mL, respectively. The absolute bioavailability was 31 ± 24%.



Pharmacokinetics of tacrolimus have also been studied in kidney transplantation patients, 8.2 ± 2.4 years of age. Following IV infusion of a 0.06 mg/kg/day to 12 pediatric patients (8 male and 4 female), mean terminal half-life and clearance were 10.2 ± 5.0 hours and 0.12 ± 0.04 L/hr/kg, respectively. Following oral administration to the same patients, mean AUC and Cmax were 181 ± 65 ng·hr/mL and 30 ± 11 ng/mL, respectively. The absolute bioavailability was 19 ± 14%.



Whole blood trough concentrations from 31 patients less than 12 years old showed that pediatric patients needed higher doses than adults to achieve similar tacrolimus trough concentrations [see Dosage and Administration (2.3)].



Tacrolimus Granules Pharmacokinetics in Pediatric Patients



A multicenter, open-label, single arm, pharmacokinetic study (OPTION, NCT01371331) was conducted using tacrolimus granules for oral suspension in pediatric patients undergoing de novo liver, kidney, or heart transplant. After an initial 24  hour continuous IV infusion of tacrolimus (0.025 mg/kg/hour) for 12 hours to 4 days, oral Tacrolimus Granules were dosed at 0.3 mg/kg/day in divided doses twice daily. Tacrolimus whole blood trough concentrations ranged from 5-15 ng/mL for the first month post-transplant, and 5-10 ng/mL thereafter. Two pharmacokinetic (PK) profiles, AUC, Cmax, Tmax and Ctrough, were taken after the first oral dose (Day 1) and at steady state (Day 7). Subsequent oral doses of Tacrolimus Granules were adjusted based on clinical evidence of efficacy, the whole-blood trough levels, and/or occurrence of adverse events. Of 52 patients enrolled, thirty-eight (38) had an evaluable PK profile. The mean pediatric age was 6.1 years for heart transplant, 1.1 years for liver transplant and 3.6 years for kidney transplant. Summary results of PK parameters are presented in Table 18



Caption: Table 18. Summary of Whole Blood PK Parameters of Tacrolimus after Administration of Tacrolimus Granules in Pediatric Patients

Population

N (age range)

Parameters

AUCtau [hr*ng/mL]

mean ± SD

Cmax [ng/mL]

mean ± SD

Tmax [hr]

mean ± S D

Ctrough [ng/mL]

mean ± SD

Heart Transplant Patients

12 (0.58-13 years)

Day 1

Day 7

224.13 ± 114.30

165.17 ± 39.12

45.61 ± 19.55

32.69 ± 9.78

2.95 ± 4.33

0.84 ± 0.44

12.60 ± 13.40

7.57 ± 1.80

Liver Transplant Patients

14 (0.33-12 years)

Day 1

Day 7

210.56 ± 84.01

195.08 ± 94.63

25.11 ± 10.78

30.52 ± 19.35

2.73 ± 1.84

1.71 ± 1.12

13.41 ± 7.11

9.71 ± 4.03

Kidney Transplant Patients

12 (2.42-11 years)

Day 1

Day 7

97.40 ± 36.77

208.32 ± 68.75

18.04 ± 8.10

36.63 ± 13.97

1.78 ± 0.88

1.09 ± 0.61

3.54 ± 1.45

8.92 ± 3.59

Renal and Hepatic Impairment Patients



The mean pharmacokinetic parameters for tacrolimus following single administrations to adult patients with renal and hepatic impairment are given in Table 19.

Table 19. Pharmacokinetics in Renal and Hepatic Impaired Adult Patients

1 corrected for bioavailability

2 1 patient did not receive the PO dose

Population (No. of Patients)

Dose

AUC0-t (ng-hr/mL)

t1/2 (hr)

V (L/kg)

CI (L/hr/kg)

Renal Impairment (n=12)

0.02 mg/kg/4hr IV

393±123 (t=60 hr)

26.3±9.2

1.07±0.20

0.038±0.014

Mild Hepatic Impairment (n=6)

0.02 mg/kg/4hr IV

367±107 (t=72 hr)

60.6±43.8 Range: 27.8-141

3.1±1.6

0.042±0.02

7.7 mg PO

488±320 (t=72 hr)

66.1±44.8 Range: 29.5-138

3.7±4.71

0.034±0.0191

Severe Hepatic Impairment (n=6, IV)

0.02 mg/kg/4hr IV (n=2)

762±204 (t=120hr)

198±158 Range: 81-436

3.9±1.0

0.017±0.013

0.01 mg/kg/8hr IV (n=4)

289±117 (t=144 hr)

(n=5, PO)2

8 mg PO (n=1)

658 (t=120 hr)

119±35 Range: 85-178

3.1±3.41

0.016±0.0111

5 mg PO (n=4)

533±156 (t=144 hr)

4 mg PO (n=1)

Patients with Renal Impairment



Tacrolimus pharmacokinetics following a single IV administration were determined in 12 patients (7 not on dialysis and 5 on dialysis, serum creatinine of 3.9 ± 1.6 and 12.0 ± 2.4 mg/dL, respectively) prior to their kidney transplant. The pharmacokinetic parameters obtained were similar for both groups. The mean clearance of tacrolimus in patients with renal dysfunction was similar to that in normal volunteers (Table 19) [see Dosage and Administration (2.2) and Use in Specific Populations (8.6)].



Patients with Hepatic Impairment



Tacrolimus pharmacokinetics have been determined in six patients with mild hepatic dysfunction (mean Pugh score: 6.2) following single IV and oral administrations. The mean clearance of tacrolimus in patients with mild hepatic dysfunction was not substantially different from that in normal volunteers (see previous table). Tacrolimus pharmacokinetics were studied in 6 patients with severe hepatic dysfunction (mean Pugh score: > 10). The mean clearance was substantially lower in patients with severe hepatic dysfunction, irrespective of the route of administration [see Dosage and Administration (2.5) and Use in Specific Populations (8.7)].



Patients with Cystic Fibrosis



Lower bioavailability of tacrolimus has been reported in patients with cystic fibrosis [see Dosage and Administration (2.2, 2.3)].



Racial or Ethnic Groups



The pharmacokinetics of tacrolimus have been studied following single IV and oral administration of Tacrolimus Capsules USP to 10 African-American, 12 Latino-American, and 12 Caucasian healthy volunteers. There were no significant pharmacokinetic differences among the three ethnic groups following a 4-hour IV infusion of 0.015 mg/kg. However, after single oral administration of 5 mg, mean (± SD) tacrolimus Cmax in African-Americans (23.6 ± 12.1 ng/mL) was significantly lower than in Caucasians (40.2 ± 12.6 ng/mL) and the Latino-Americans (36.2 ± 15.8 ng/mL) (p < 0.01). Mean AUC0-inf tended to be lower in African-Americans (203 ± 115 ng·hr/mL) than Caucasians (344 ± 186 ng·hr/mL) and Latino-Americans (274 ± 150 ng·hr/mL). The mean (± SD) absolute oral bioavailability (F) in African-Americans (12 ± 4.5%) and Latino-Americans (14 ± 7.4%) was significantly lower than in Caucasians (19 ± 5.8%, p = 0.011). There was no significant difference in mean terminal T1/2 among the three ethnic groups (range from approximately 25 to 30 hours). A retrospective comparison of African-American and Caucasian kidney transplant patients indicated that African-American patients required higher tacrolimus doses to attain similar trough concentrations [see Dosage and Administration (2.2)].



Male and Female Patients



A formal trial to evaluate the effect of gender on tacrolimus pharmacokinetics has not been conducted, however, there was no difference in dosing by gender in the kidney transplant trial. A retrospective comparison of pharmacokinetics in healthy volunteers, and in kidney, liver, and heart transplant patients indicated no gender-based differences.



Drug Interaction Studies



Frequent monitoring of whole blood concentrations and appropriate dosage adjustments of tacrolimus are recommended when concomitant use of the following drugs with tacrolimus is initiated or discontinued [see Drug Interactions (7)].

  • Telaprevir:In a single-dose study in 9 healthy volunteers, co-administration of tacrolimus (0.5 mg single dose) with telaprevir (750 mg three times daily for 13 days) increased the tacrolimus dose-normalized Cmaxby 9.3-fold and AUC  by 70-fold compared to tacrolimus alone [see Drug Interactions (7.2)].
  • Boceprevir:In a single-dose study in 12 subjects, co-administration of tacrolimus (0.5 mg single dose) with boceprevir (800 mg three times daily for 11 days) increased tacrolimus Cmaxby 9.9-fold and AUC by 17-fold compared to  tacrolimus alone[see Drug Interactions (7.2)].
  • Nelfinavir:Based on a clinical study of 5 liver transplant recipients, co-administration of tacrolimus with nelfinavir increased blood concentrations of tacrolimus significantly and, as a result, a reduction in the tacrolimus dose by an average of 16-fold was needed to maintain mean trough tacrolimus blood concentrations of 9.7 ng/mL. It is recommended to avoid concomitant use of Tacrolimus Capsules USP and nelfinavir unless the benefits outweigh the risks [see Drug Interactions (7.2)].
  • Rifampin:In a study of 6 normal volunteers, a significant decrease in tacrolimus oral bioavailability (14 ± 6% vs.7 ± 3%) was observed with concomitant rifampin administration (600 mg). In addition, there was a significant increase in tacrolimus clearance (0.036 ± 0.008 L/hr/kg vs. 0.053 ± 0.010 L/hr/kg) with concomitant rifampin administration [see Drug Interactions (7.2)]
  • Magnesium and Aluminum-hydroxide:In a single-dose crossover study in healthy volunteers, co-administration of tacrolimus and magnesium-aluminum-hydroxide resulted in a 21% increase in the mean tacrolimus AUC and a 10%  decrease in the mean tacrolimus Cmaxrelative to tacrolimus administration alone [see Drug Interactions (7.2)].
  • Ketoconazole:In a study of 6 normal volunteers, a significant increase in tacrolimus oral bioavailability (14 ± 5% vs. 30 ± 8%) was observed with concomitant ketoconazole administration (200 mg). The apparent oral clearance of tacrolimus during ketoconazole administration was significantly decreased compared to tacrolimus alone (0.430 ± 0.129 L/hr/kg vs. 0.148 ± 0.043 L/hr/kg). Overall, IV clearance of tacrolimus was not significantly changed by ketoconazole co-administration, although it was highly variable between patients[see Drug Interactions (7.2)].
  • Voriconazole(see complete prescribing information for VFEND):  Repeat oral dose administration of voriconazole (400 mg every 12 hours for one day, then 200 mg every 12 hours for 6 days) increased tacrolimus (0.1 mg/kg single  dose) Cmaxand AUCτin healthy subjects by an average of 2-fold (90% CI: 1.9, 2.5) and 3-fold (90% CI: 2.7, 3.8), respectively [see Drug Interactions (7.2)].
  • Posaconazole(see complete prescribing information for Noxafil):Repeat oral administration of posaconazole (400 mg twice daily for 7 days) increased tacrolimus (0.05 mg/kg single dose) Cmaxand AUC in healthy subjects by an average of 2-fold (90% CI: 2.01, 2.42) and 4.5-fold (90% CI 4.03, 5.19), respectively [see Drug Interactions (7.2)].
  • Caspofungin(see complete prescribing information for CANCIDAS):Caspofungin reduced the blood AUC0-12of tacrolimus by approximately 20%, peak blood concentration (Cmax) by 16%, and 12-hour blood concentration(C12hr) by  26% in healthy adult subjects when tacrolimus (2 doses of 0.1 mg/kg 12 hours apart) was administered on the 10th day of CANCIDAS 70 mg daily, as compared to results from a control period in which tacrolimus was administered alone [see Drug Interactions (7.2)] The Mechanism of interaction has not been confirmed.
7.1 Mycophenolic Acid

When tacrolimus is prescribed with a given dose of a mycophenolic acid (MPA) product, exposure to MPA is higher with tacrolimus co-administration than with cyclosporine co-administration because cyclosporine interrupts the enterohepatic recirculation of MPA while tacrolimus does not. Monitor for MPA-associated adverse reactions and reduce the dose of concomitantly administered mycophenolic acid products as needed.

8.8 Race Or Ethnicity

African-American patients may need to be titrated to higher dosages to attain comparable trough concentrations compared to Caucasian patients [see Dosage and Administration (2.2) and Clinical Pharmacology (12.3)]

African-American and Hispanic patients are at increased risk for new onset diabetes after transplant. Monitor blood glucose concentrations and treat appropriately [see Warnings and Precautions (5.4)]

5.2 Serious Infections

Patients receiving immunosuppressants, including Tacrolimus Capsules USP are at increased risk of developing bacterial, viral, fungal, and protozoal infections, including opportunistic infections. These infections may lead to serious, including fatal, outcomes. Serious viral infections reported include:

  • Polyomavirus-associated nephropathy (PVAN), mostly due to BK virus infection
  • JC virus-associated progressive multifocal leukoencephalopathy (PML)
  • Cytomegalovirus infections: CMV seronegative transplant patients who receive an organ from a CMV seropositive donor disease are at higher risk of developing CMV viremia and CMV disease.

Monitor for the development of infection and adjust the immunosuppressive regimen to balance the risk of rejection with the risk of infection [see Adverse Reactions (6.1, 6.2)]

8.7 Hepatic Impairment

The mean clearance of tacrolimus was substantially lower in patients with severe hepatic impairment (mean Child-Pugh score: > 10) compared to healthy volunteers with normal hepatic function. Close monitoring of tacrolimus trough concentrations is warranted in patients with hepatic impairment [see Clinical Pharmacology (12.3)]

The use of tacrolimus in liver transplant recipients experiencing post-transplant hepatic impairment may be associated with increased risk of developing renal insufficiency related to high whole blood trough concentrations of tacrolimus. These patients should be monitored closely and dosage adjustments should be considered. Some evidence suggests that lower doses should be used in these patients [see Dosage and Administration (2.5) and Clinical Pharmacology  (12.3)]

1 Indications and Usage

Tacrolimus Capsules USP is a calcineurin-inhibitor immuno-suppressant indicated for the prophylaxis of organ rejection in adult and pediatric patients receiving allogeneic liver, kidney, heart or lung transplants, in combination with other immunosuppressants. (1.1)

17.10 Drug Interactions

Instruct patients to tell their healthcare providers when they start or stop taking all the medicines, including prescription medicines and non-prescription medicines, natural or herbal remedies, nutritional supplements, and vitamins. Advise patients to avoid grapefruit and grapefruit juice [see Drug Interactions (7)]

12.1 Mechanism of Action

Tacrolimus binds to an intracellular protein, FKBP-12. A complex of tacrolimus-FKBP-12, calcium, calmodulin, and calcineurin (a ubiquitous mammalian intracellular  enzyme) is then formed, after which the phosphatase activity of calcineurin inhibited. Such inhibition prevents the dephosphorylation and translocation of various factors  such as the nuclear factor of activated T-cells (NF-AT), and nuclear factor kappa-light-chain enhancer of activated B-cells (NF-κB).

Tacrolimus inhibits the expression and/or production of several cytokines that include interleukin (IL)-1 beta, IL-2, IL-3, IL-4, IL-5, IL-6, IL-8, IL-10, gamma interferon,  tumor necrosis factor-alpha, and granulocyte macrophage colony stimulating factor. Tacrolimus also inhibits IL-2 receptor expression and nitric oxide release, induces  apoptosis and production of transforming growth factor beta that can lead to immunosuppressive activity. The net result is the inhibition of T-lymphocyte activation and proliferation as well as T-helper-cell-dependent B-cell response (i.e., immunosuppression).

14.4 Lung Transplantation

The efficacy and safety of Tacrolimus-based immunosuppression in primary lung transplantation were assessed in a noninterventional (observational) study using data from the U.S. Scientific Registry of Transplant Recipients (SRTR). The study analyzed outcomes based on discharge immunosuppression treatment regimen in recipients of a primary lung transplant between 1999 and 2017 who were alive at the time of discharge. In adult patients receiving tacrolimus immediate-release products in combination with MMF (n=15,478) or tacrolimus immediate-release products in combination with AZA (n=4,263), the one-year graft survival estimates from time of discharge were 90.9% and 90.8%, respectively. In pediatric patients receiving tacrolimus immediate-release products in combination with MMF (n= 450) or tacrolimus immediate-release products in combination with AZA (n=72), the one-year graft survival estimates from time of discharge were 91.7% and 84.7%, respectively.

14.2 Liver Transplantation

The safety and efficacy of tacrolimus-based immunosuppression following orthotopic liver transplantation were assessed in two prospective, randomized, non-blinded multicenter trials. The active control groups were treated with a cyclosporine-based immunosuppressive regimen (CsA/AZA). Both trials used concomitant adrenal corticosteroids as part of the immunosuppressive regimens. These trials compared patient and graft survival rates at 12 months following transplantation.

In one trial, 529 patients were enrolled at 12 clinical sites in the United States; prior to surgery, 263 were randomized to the tacrolimus-based immunosuppressive regimen and 266 to the CsA/AZA. In 10 of the 12 sites, the same CsA/AZA protocol was used, while 2 sites used different control protocols. This trial excluded patients with renal dysfunction, fulminant hepatic failure with Stage IV encephalopathy, and cancers; pediatric patients (≤12 years old) were allowed.

In the second trial, 545 patients were enrolled at 8 clinical sites in Europe; prior to surgery, 270 were randomized to the tacrolimus-based immunosuppressive regimen and 275 to CsA/AZA. In this trial, each center used its local standard CsA/AZA protocol in the active-control arm. This trial excluded pediatric patients, but did allow enrollment of subjects with renal dysfunction, fulminant hepatic failure in Stage IV encephalopathy, and cancers other than primary hepatic with metastases.

One-year patient survival and graft survival in the tacrolimus-based treatment groups were similar to those in the CsA/AZA treatment groups in both trials. The overall 1-year patient survival (CsA/AZA and tacrolimus-based treatment groups combined) was 88% in the U.S. trial and 78% in the European trial. The overall 1-year graft survival (CsA/AZA and tacrolimus-based treatment groups combined) was 81% in the U.S. trial and 73% in the European trial. In both trials, the median time to convert from IV to oral Tacrolimus Capsules USP dosing was 2 days.

Although there is a lack of direct correlation between tacrolimus concentrations and drug efficacy, data from clinical trials of liver transplant patients have shown an increasing incidence of adverse reactions with increasing trough blood concentrations. Most patients are stable when trough whole blood concentrations are maintained between 5 to 20 ng/mL. Long-term post-transplant patients often are maintained at the low end of this target range. Data from the U.S. clinical trial show that the median trough blood concentrations, measured at intervals from the second week to one year post-transplantation ranged from 9.8 ng/mL to 19.4 ng/mL.

Pediatric Liver Transplantation Using Tacrolimus Granules

The efficacy and safety of Tacrolimus Granules plus corticosteroids were compared with a triple regimen of cyclosporine/corticosteroids/azathioprine in a randomized, open-label study, in de novo pediatric liver transplant patients. The study was conducted outside the United States and enrolled patients aged 16 years or younger.  The distribution of pediatric patients by age was similar in both treatment groups, with a majority < 5 years. Patients were randomized to either tacrolimus for oral suspension 0.3 mg/kg/day (N = 91) or cyclosporine 10 mg/kg/day orally (N = 90) initiated 6 hours after completion of transplant surgery. Doses throughout the 1-year study period were adjusted to maintain whole blood trough levels within 5-20 ng/mL [see Dosage and Administration (2.3)]. Based on trough levels, doses of tacrolimus were adjusted to 0.17 mg/kg/day and 0.14 mg/kg/day by days 2 and 3, respectively. At 12 months, the incidence rate of BPAR, graft loss, death, or lost to follow-up was 52.7% in the tacrolimus group and 61.1% in the cyclosporine group (Table 27) .

Table 27. Key Efficacy Results at 12 Months in Pediatric Liver Transplant Recipients Receiving Tacrolimus Granules or Cyclosporine

1      95% confidence interval calculated using normal approximation.

Tacrolimus Granules (N = 91)

Cyclosporine (N = 90)

Overall Failure

48 (52.7%)

55 (61.1%)

Components of efficacy failure

BPAR

40 (44.0%)

49 (54.4%)

Graft loss

7 (7.7%)

13 (14.4%)

Graft loss excluding death

1 (1.1%)

6 (6.7%)

Mortality

6 (6.6%)

7 (7.8%)

Lost to follow-up

2 (2.2%)

0

Treatment Difference of efficacy failure compared to Cyclosporine (95% CI1)

-8.4% (-22.7%, 6.0%)

14.3 Heart Transplantation

Two open-label, randomized, comparative trials evaluated the safety and efficacy of tacrolimus-based and cyclosporine  based immunosuppression in primary orthotopic heart transplantation. In a trial conducted in Europe, 314 patients received a regimen of antibody induction, corticosteroids, and azathioprine in combination with tacrolimus or cyclosporine modified for 18 months. In a 3-arm trial conducted in the US, 331 patients received corticosteroids and tacrolimus plus sirolimus, tacrolimus plus mycophenolate mofetil (MMF) or cyclosporine modified plus MMF for 1 year.

In the European trial, patient/graft survival at 18 months post-transplant was similar between treatment arms, 92% in the tacrolimus group and 90% in the cyclosporine group. In the U.S. trial, patient and graft survival at 12 months was similar with 93% survival in the tacrolimus plus MMF group and 86% survival in the cyclosporine modified plus MMF group. In the European trial, the cyclosporine trough concentrations were above the pre-defined target range (i.e., 100 to 200 ng/mL) at Day 122 and beyond in 32% to 68% of the patients in the cyclosporine treatment arm, whereas the tacrolimus trough concentrations were within the pre-defined target range (i.e., 5 to 15 ng/mL) in 74% to 86% of the patients in the tacrolimus treatment arm. Data from this European trial indicate that from 1 week to 3 months post-transplant, approximately 80% of patients maintained trough concentrations between 8 to 20 ng/mL and, from 3 months through 18 months post-transplant, approximately 80% of patients maintained trough concentrations between 6 to 18 ng/mL.

The U.S. trial contained a third arm of a combination regimen of sirolimus, 2 mg per day, and full-dose tacrolimus; however, this regimen was associated with increased  risk of wound-healing complications, renal function impairment, and insulin-dependent post-transplant diabetes mellitus, and is not recommended [see Warnings and Precautions (5.10)]

16.4 Handling and Disposal

Tacrolimus can cause fetal harm. Tacrolimus Capsules USP should not be opened or crushed. Avoid inhalation or direct contact with skin or mucous membranes of the powder contained in Tacrolimus Capsules USP. If such contact occurs wash the skin thoroughly with soap and water; if ocular contact occurs, rinse eyes with water. In case a spill occurs, wipe the surface with a wet paper towel. Follow applicable special handling and disposal procedures1.

5 Warnings and Precautions
  • Not Interchangeable with Extended Release Tacrolimus Products- Medication Errors: Instruct patients or caregivers to recognize the appearance of Tacrolimus Capsules USP (5.3)
  • New Onset Diabetes After Transplant: Monitor blood glucose. (5.4)
  • Nephrotoxicity (acute and/or chronic): Reduce the dose; use caution with other nephrotoxic drugs. (5.5)
  • Neurotoxicity: Including risk of Posterior Reversible Encephalopathy Syndrome (PRES); monitor for neurologic abnormalities; reduce or discontinue Tacrolimus Capsules USP. (5.6)
  • Hyperkalemia: Monitor serum potassium levels. Consider carefully before using with other agents also associated with hyperkalemia. (5.7)
  • Hypertension: May require antihypertensive therapy. Monitor relevant drug-drug interactions. (5.8)
  • Anaphylactic Reactions with IV formulation: Observe patients receiving Tacrolimus injection for signs and symptoms of anaphylaxis. (5.9)
  • Not recommended for use with Sirolimus: Not recommended in liver and heart transplant due to increased risk of serious adverse reactions. (5.10)
  • Myocardial Hypertrophy: Consider dose reduction/ discontinuation. (5.13)
  • Immunizations: Avoid live vaccines. (5.14)
  • Pure Red Cell Aplasia: Consider discontinuation of Tacrolimus Capsules USP. (5.15)
  • Thrombotic Microangiopathy, Including Hemolytic Uremic Syndrome and Thrombotic Thrombocytopenic Purpura: May occur, especially in patients with infections and certain concomitant medications. (5.16)
5.15 Pure Red Cell Aplasia

Cases of pure red cell aplasia (PRCA) have been reported in patients treated with tacrolimus. A mechanism for tacrolimus-induced PRCA has not been elucidated. All patients reported risk factors for PRCA such as parvovirus B19 infection, underlying disease, or concomitant medications associated with PRCA. If PRCA is diagnosed, discontinuation of Tacrolimus Capsules USP should be considered [see Adverse Reactions (6.2)].

14.1 Kidney Transplantation

Tacrolimus /Azathioprine (AZA)

Tacrolimus-based immunosuppression in conjunction with azathioprine and corticosteroids following kidney transplantation was assessed in a randomized, multicenter, non-blinded, prospective trial. There were 412 kidney transplant patients enrolled at 19 clinical sites in the United States. Study therapy was initiated when renal function was stable as indicated by a serum creatinine ≤ 4 mg/dL (median of 4 days after transplantation, range 1 to 14 days). Patients less than 6 years of age were excluded.

There were 205 patients randomized to tacrolimus-based immunosuppression and 207 patients were randomized to cyclosporine-based immunosuppression. All patients received prophylactic induction therapy consisting of an antilymphocyte antibody preparation, corticosteroids, and azathioprine. Overall 1-year patient and graft survival was 96.1% and 89.6%, respectively.

Data from this trial of tacrolimus in conjunction with azathioprine indicate that during the first 3 months of that trial, 80% of the patients maintained trough concentrations  between 7-20 ng/mL, and then between 5-15 ng/mL, through 1 year.

Tacrolimus /Mycophenolate Mofetil (MMF)

Tacrolimus-based immunosuppression in conjunction with MMF, corticosteroids, and induction has been studied. In a randomized, open-label, multicenter trial (Study 1), 1589 kidney transplant patients received Tacrolimus (Group C, n = 401), sirolimus (Group D, n = 399), or one of two cyclosporine (CsA) regimens (Group A, n = 390 and Group B, n = 399) in combination with MMF and corticosteroids; all patients, except those in one of the two cyclosporine groups, also received induction with daclizumab. The trial was conducted outside the United States; the trial population was 93% Caucasian. In this trial, mortality at 12 months in patients receiving Tacrolimus/MMF was similar (3%) compared to patients receiving cyclosporine/MMF (3% and 2%) or sirolimus/MMF (3%). Patients in the Tacrolimus group exhibited higher estimated creatinine clearance rates (eCLcr) using the Cockcroft-Gault formula (Table 20) and experienced fewer efficacy failures, defined as biopsy-proven acute rejection (BPAR), graft loss, death, and/or lost to follow-up (Table 21) in comparison to each of the other three groups. Patients randomized to Tacrolimus/MMF were more likely to develop diarrhea and diabetes after the transplantation and experienced similar rates of infections compared to patients randomized to either cyclosporine/MMF regimen [see Adverse Reactions (6.1)].

Table 20. Estimated Creatinine Clearance at 12 Months (Study 1)

1 All death/graft loss (n = 41, 27, 23, and 42 in Groups A, B, C, and D) and patients whose last recorded creatinine values were prior to month 3 visit (n = 10, 9, 7, and 9 in Groups A, B, C, and D,  respectively) were imputed with Glomerular Filtration Rate (GFR) of 10 mL/min; a subject's last observed creatinine value from month 3 on was used for the remainder of subjects with missing creatinine  at month 12 (n = 11, 12, 15, and 19 for Groups A, B, C, and D, respectively). Weight was also imputed in the calculation of estimated GFR, if missing

2 Adjusted for multiple (6) pairwise comparisons using Bonferroni corrections.

Group

eCLcr[mL/min] at Month 121

N

MEAN

SD

MEDIAN

Treatment Difference with Group C (99.2%CI2)

(A) CsA/MMF/CS

390

56.5

25.8

56.9

- 8.6 (-13.7, -3.7)

(B) CsA/MMF/CS/Daclizumab

399

58.9

25.6

60.9

- 6.2 (-11.2, -1.2)

(C) Tac/MMF/CS/Daclizumab

401

65.1

27.4

66.2

-

(D) Siro/MMF/CS/Daclizumab

399

56.2

27.4

57.3

- 8.9 (-14.1, -3.9)

Total

1589

59.2

26.8

60.5

Key: CsA=Cyclosporine, CS=Corticosteroids, Tac=Tacrolimus, Siro=Sirolimus

Table 21. Incidence of BPAR, Graft Loss, Death, or Loss to Follow-up at 12 Months (Study 1)

1 Adjusted for multiple (6) pairwise comparisons using Bonferroni corrections.

Group A N=390

Group B N=399

Group C N=401

Group D N=399

Overall Failure

141 (36.2%)

126 (31.6%)

82 (20.4%)

185 (46.4%)

Components of efficacy failure

BPAR

113 (29.0%)

106 (26.6%)

60 (15.0%)

152 (38.1%)

Graft loss excluding death

28 (7.2%)

20 (5.0%)

12 (3.0%)

30 (7.5%)

Mortality

13 (3.3%)

7 (1.8%)

11 (2.7%)

12 (3.0%)

Lost to follow-up

5 (1.3%)

7 (1.8%)

5 (1.3%)

6 (1.5%)

Treatment Difference of efficacy failure compared to Group C

15.8%

11.2%

-

26.00%

(99.2% CI1)

(7.1%, 24.3%)

(2.7%, 19.5%)

(17.2%, 34.7%)

Key: Group A =CsA/MMF/CS, B =CsA/MMF/CS/Daclizumab, C=Tac/MMF/CS/Daclizumab, and D=Siro/MMF/CS/Daclizumab

The protocol-specified target tacrolimus trough concentrations (Ctrough,Tac) were 3-7 ng/mL; however, the observed median Ctroughs,Tac approximated 7 ng/mL throughout the 12-month trial (Table 22). Approximately 80% of patients maintained tacrolimus whole blood concentrations between 4-11 ng/mL through 1 year post-transplant

Table 22. Tacrolimus Whole Blood Trough Concentration Range (Study 1)

1    10 to 90th Percentile: range of Ctrough, Tac that excludes lowest 10% and highest 10% of Ctrough, Tac

Time

Median (P10-P901) tacrolimus whole blood trough concentrations range (ng/mL)

Day 30 (N=366)

6.9 (4.4 – 11.3)

Day 90 (N=351)

6.8 (4.1 – 10.7)

Day 180 (N=355)

6.5 (4.0 – 9.6)

Day 365 (N=346)

6.5 (3.8 – 10.0)

The protocol-specified target cyclosporine trough concentrations (Ctrough,CsA) for Group B were 50-100 ng/mL; however, the observed median Ctroughs,CsA approximated 100 ng/mL throughout the 12 month trial. The protocol-specified target Ctroughs,CsA for Group A were 150-300 ng/mL for the first 3 months and 100-200 ng/mL from month 4 to month 12; the observed median Ctroughs,CsA approximated 225 ng/mL for the first 3 months and 140 ng/mL from month 4 to month 12While patients in all groups started MMF at 1gram twice daily, the MMF dose was reduced to less than 2 g per day in 63% of patients in the tacrolimus treatment arm by month 12 (Table 23); approximately 50% of these MMF dose reductions were due to adverse reactions. By comparison, the MMF dose was reduced to less than 2 g per day in 49% and 45% of patients in the two cyclosporine arms (Group A and Group B, respectively), by month 12 and approximately 40% of MMF dose reductions were due to adverse reactions.

Table 23: MMF Dose Over Time in Tacrolimus/MMF (Group C) (Study 1)

1 Percentage of patients for each time-averaged MMF dose range during various treatment periods. Administration of 2 g per day of time-averaged MMF dose means that MMF dose was not reduced in those patients during the treatment periods.

Time period (Days)

Time-averaged MMF dose (grams per day)1

Less than 2.0

2

Greater than 2.0

0-30 (N=364)

37%

60%

2%

0-90 (N=373)

47%

51%

2%

0-180 (N=377)

56%

42%

2%

0-365 (N=380)

63%

36%

1%

Key: Time-averaged MMF dose = (total MMF dose) / (duration of treatment)

In a second randomized, open-label, multicenter trial (Study 2), 424 kidney transplant patients received Tacrolimus (N = 212) or cyclosporine (N = 212) in combination with MMF 1 gram twice daily, basiliximab induction, and corticosteroids. In this trial, the rate for the combined endpoint of BPAR, graft failure, death, and/or lost to follow-up at 12 months in theTacrolimus /MMF group was similar to the rate in the cyclosporine/MMF group. There was, however, an imbalance in mortality at 12 months in those patients receiving Tacrolimus /MMF (4%) compared to those receiving cyclosporine/MMF (2%), including cases attributed to over-immunosuppression (Table 24).

Table 24. Incidence of BPAR, Graft Loss, Death, or Loss to Follow-up at 12 Months (Study 2)

1      95% confidence interval calculated using Fisher's Exact Test

Tacrolimus /MMF (n=212)

Cyclosporine/MMF (n=212)

Overall Failure

32 (15.1%)

36 (17.0%)

Components of efficacy failure

BPAR

16 (7.5%)

29 (13.7%)

Graft loss excluding death

6 (2.8%)

4 (1.9%)

Mortality

9 (4.2%)

5 (2.4%)

Lost to follow-up

4 (1.9%)

1 (0.5%)

Treatment Difference of efficacy failure compared to Tacrolimus/MMF group (95% CI1)

-

1.9% (-5.2%, 9.0%)

The protocol-specified target tacrolimus whole blood trough concentrations (Ctrough,Tac) in Study 2 were 7-16 ng/mL for the first three months and 5-15 ng/mL thereafter.  The observed median Ctrough,Tac approximated 10 ng/mL during the first three months and 8 ng/mL from month 4 to month 12 (Table 25). Approximately 80% of patients  maintained tacrolimus whole blood trough concentrations between 6 to 16 ng/mL during months 1 through 3 and, then, between 5 to 12 ng/mL from month 4 through 1 year.

Table 25. Tacrolimus Whole Blood Trough Concentration Range (Study 2)

1           10 to 90th Percentile: range of Ctrough, Tac that excludes lowest 10% and highest 10% of Ctrough, Tac

Time

Median (P10-P901) tacrolimus whole blood trough concentrations range (ng/mL)

Day 30 (N=174)

10.5 (6.3 - 16.8)

Day 60 (N=179)

9.2 (5.9 - 15.3)

Day 120 (N=176)

8.3 (4.6 - 13.3)

Day 180 (N=171)

7.8 (5.5 - 13.2)

Day 365 (N=178)

7.1 (4.2 - 12.4)

The protocol-specified target cyclosporine whole blood concentrations (Ctrough,CsA) were 125 to 400 ng/mL for the first three months, and 100 to 300 ng/mL thereafter. The observed median Ctroughs, CsA approximated 280 ng/mL during the first three months and 190 ng/mL from month 4 to month 12.



Patients in both groups started MMF at 1 gram twice daily. The MMF dose was reduced to less than 2 grams per day by month 12 in 62% of patients in the Tacrolimus/ MMF group (Table 26) and in 47% of patients in the cyclosporine/MMF group. Approximately 63% and 55% of these MMF dose reductions were because of adverse reactions in the Tacrolimus/MMF group and the cyclosporine/MMF group, respectively [see Adverse Reactions (6.1)]

Table 26. MMF Dose Over Time in the Tacrolimus/MMF Group (Study 2)

1 Percentage of patients for each time-averaged MMF dose range during various treatment periods. Two grams per day of time- averaged MMF dose means that MMF dose was not reduced in those patients during the treatment periods.

Time Period (Days)

Time-averaged MMF dose (g/day)1

Less than 2.0

2

Greater than 2.0

0-30 (N=212)

25%

69%

6%

0-90 (N=212)

41%

53%

6%

0-180 (N=212)

52%

41%

7%

0-365 (N=212)

62%

34%

4%

Key: Time-averaged MMF dose = (total MMF dose) / (duration of treatment)

2 Dosage and Administration
  • Administer capsules consistently with or without food. (2.1)
  • Therapeutic drug monitoring is recommended. (2.1,2.6)
  • Avoid eating grapefruit or drinking grapefruit juice. (2.1)
  • See dosage adjustments for African-American patients (2.2), hepatic and renal impaired. (2.4, 2.5)
  • For complete dosing information see the Full Prescribing Information
ADULT

Patient Population

Initial Oral Dosage (formulation)

Whole Blood Trough Concentration Range

Kidney Transplant

With azathioprine

0.2 mg/kg/day capsules, divided in two doses, every 12 hours

Month 1-3: 7-20 ng/mL

Month 4-12: 5-15 ng/mL

With MMF/IL-2 receptor antagonist

0.1 mg/kg/day capsules, divided in two doses, every   12 hours

Month 1-12:  4-11 ng/mL

Liver Transplant

With corticosteroids only

0.1-0.15 mg/kg/day capsules, divided in two doses, every 12 hours

Month 1-12: 5-20 ng/mL

Heart Transplant

With azathioprine or MMF

0.075 mg/kg/day capsules, divided in two doses, every 12 hours

Month 1-3: 10-20 ng/mL Month ≥ 4: 5-15 ng/mL

Lung Transplant

With azathioprine or MMF

0.075 mg/kg/day1 capsules, divided in two doses, every 12 hours

Month 1-3: 10-20 ng/mL Month 4-12: 8-12 ng/mL

MMF= Mycophenolate mofetil

1. Patients with cystic fibrosis may require higher doses due to lower bioavailability.

2. Dose at 0.1 mg/kg/day if antibody induction treatment is administered .

PEDIATRIC

Patient Population

Initial Oral Dosage (formulation)

Whole Blood Trough Concentration Range

Kidney Transplant

0.3 mg/kg/day capsules divided in two doses, every 12 hours

Month 1-12: 5-20 ng/mL

Liver Transplant

0.15-0.2 mg/kg/day capsules divided in two doses, every 12 hours

Month 1-12: 5-20 ng/mL

Heart Transplant

0.3 mg/kg/day2 capsules divided in two doses, every 12 hours

Month 1-12: 5-20 ng/mL

Lung Transplant

0.3 mg/kg/day1, 2 capsules divided in two doses, every 12 hours

Weeks 1-2: 10-20 ng/mL

Week 2 to Month 12: 10-15 ng/mL

5.13 Myocardial Hypertrophy

Myocardial hypertrophy has been reported in infants, children, and adults, particularly those with high tacrolimus trough concentrations, and is generally manifested by echocardiographically demonstrated concentric increases in left ventricular posterior wall and interventricular septum thickness. This condition appears reversible in most cases following dose reduction or discontinuance of therapy. In patients who develop renal failure or clinical manifestations of ventricular dysfunction while receiving tacrolimus therapy, echocardiographic evaluation should be considered. If myocardial hypertrophy is diagnosed, dosage reduction or discontinuation of tacrolimus capsules should be  considered [see Adverse Reactions (6.2)].

8.6 Use in Renal Impairment

The pharmacokinetics of tacrolimus in patients with renal impairment was similar to that in healthy volunteers with normal renal function. However, consideration should be given to dosing tacrolimus at the lower end of the therapeutic dosing range in patients who have received a liver or heart transplant and have pre-existing renal impairment. Further reductions in dose below the targeted range may be required [see Dosage and Administration (2.4) and Clinical Pharmacology (12.3)]

16.1 Tacrolimus Capsules Usp

Tacrolimus Capsules USP, 0.5 mg: Light yellow color, oblong shape, size "5" hard gelatin capsules printed with "PBT" and "0.5" in red ink on cap and body respectively.



Capsules are supplied as follows:



NDC 43817-421-01               Bottle of 100



Tacrolimus Capsules USP, 1 mg: White color, oblong shape, size "5" hard gelatin capsules printed with "PBT" and "1.0" in red ink on cap and body respectively.



Capsules are supplied as follows:



NDC 43817-422-01               Bottle of 100



Tacrolimus Capsules USP, 5 mg: Pink color, oblong shape, size "4" hard gelatin capsules printed with "PBT" and "5.0" in red ink on cap and body respectively.



Capsules are supplied as follows:



NDC 43817-423-01               Bottle of 100



Note: Tacrolimus Capsules USP are not filled to maximum capsule capacity. Capsule contains labeled amount.



Store and Dispense



Store at 20°C to 25°C (77°F); excursions permitted to 15°C to 30°C (59°F to 86°F). [See USP Controlled Room Temperature].

17.12 Myocardial Hypertrophy

Inform patients to report symptoms of tiredness, swelling, and/or shortness of breath (heart failure).

3 Dosage Forms and Strengths

Tacrolimus Capsules USP are available in the following dosage form and strengths:



Oblong shape, hard gelatin capsules for oral administration contains Tacrolimus as follows:

  • Tacrolimus Capsules USP, 0.5 mg: Light yellow color, oblong shape, size "5" hard gelatin capsules printed with "PBT" and "0.5" in red ink on body and cap respectively.
  • Tacrolimus Capsules USP, 1 mg:  White color, oblong shape, size "5" hard gelatin capsules printed with "PBT" and "1.0" in red ink on body and cap respectively.
  • Tacrolimus Capsules USP, 5 mg: Pink color, oblong shape, size "4" hard gelatin capsules printed with "PBT" and "5.0" in red ink on body and cap respectively.
6.2 Postmarketing Experience

The following adverse reactions have been reported from worldwide marketing experience with tacrolimus. Because these reactions are reported voluntarily from a population of uncertain size it is not always possible to reliably estimate their frequency or establish a causal relationship to drug exposure. Decisions to include these reactions in labeling are typically based on one or more of the following factors: (1) seriousness of the reaction, (2) frequency of the reporting, or (3) strength of causal connection to the drug.

Other reactions include:

  • Cardiovascular: Atrial fibrillation, atrial flutter, cardiac arrhythmia, cardiac arrest, electrocardiogram T wave abnormal, flushing, myocardial infarction, myocardial ischemia, pericardial effusion, QT prolongation,Torsade de Pointesvenous thrombosis deep limb, ventricular extrasystoles, ventricular fibrillation, myocardial hypertrophy.
  • Gastrointestinal: Bile duct stenosis, colitis, enterocolitis, gastroenteritis, gastroesophageal reflux disease, hepatic cytolysis, hepatic necrosis, hepatotoxicity, impaired gastric emptying, liver fatty, mouth ulceration, pancreatitis hemorrhagic, pancreatitis necrotizing, stomach ulcer, veno-occlusive liver disease
  • Hemic/Lymphatic: Agranulocytosis, disseminated intravascular coagulation, hemolytic anemia, neutropenia, pancytopenia, thrombotic thrombocytopenic purpura, pure red cell aplasia, thrombotic microangiopathy.
  • Infections: Cases of progressive multifocal leukoencephalopathy (PML), sometimes fatal; polyoma virus- associated nephropathy, (PVAN) including graft loss.
  • Metabolic/Nutritional: Glycosuria, increased amylase including pancreatitis, weight decreased
  • Miscellaneous: Feeling hot and cold, feeling jittery, hot flushes, multi-organ failure, primary graft dysfunction
  • Musculoskeletal and Connective Tissue Disorders: Pain in extremity including Calcineurin-Inhibitor Induced Pain Syndrome (CIPS)
  • Nervous System: Carpal tunnel syndrome, cerebral infarction, hemiparesis, leukoencephalopathy, mental disorder, mutism, posterior reversible encephalopathy syndrome (PRES),progressive multifocal leukoencephalopathy (PML), quadriplegia, speech disorder, syncope
  • Respiratory: Acute respiratory distress syndrome, interstitial lung disease, lung infiltration, respiratory distress, respiratory failure
  • Skin: Stevens-Johnson syndrome, toxic epidermal necrolysis
  • Special Senses: Blindness, optic neuropathy, blindness cortical, hearing loss including deafness, photophobia
  • Urogenital: Acute renal failure, cystitis hemorrhagic, hemolytic-uremic syndrome

Postmarketing Adverse Reactions in Lung Transplantation.



Based on U.S. Scientific Registry of Transplant Recipients (SRTR) data, published clinical trials, and postmarketing reports, the safety profile for lung transplant patients treated with Tacrolimus Capsules USP is consistent with the safety profile in kidney, liver, and heart transplant patients treated with Tacrolimus Capsules USP. The primary adverse reactions described include renal dysfunction, infection, diabetes, gastrointestinal disturbances (e.g., diarrhea), hypertension, and neurological events (e.g., tremor). As expected, lung transplant patients have a higher incidence of pulmonary complications (e.g., pneumonia, bronchiolitis obliterans syndrome) than other solid organ transplant patients, which is in part due to the underlying disease and to the nature of the transplanted organ.

8 Use in Specific Populations
  • Pregnancy: Can cause fetal harm. Advise pregnant women of the potential risk to the fetus. (8.1,8.3)
17.9 Thrombotic Microangiopathy

Inform patients that Tacrolimus Capsules USP can cause blood clotting problems. The risk of this occurring increases when patients take Tacrolimus Capsules USP and sirolimus or everolimus concomitantly, or when patients develop certain infections. Advise them to seek medical attention promptly if they develop fever, petequiae or bruises, fatigue, confusion, jaundice, oliguria. [see Warnings and Precautions (5.16)].

2.6 Therapeutic Drug Monitoring

Monitoring of tacrolimus blood concentrations in conjunction with other laboratory and clinical parameters is considered an essential aid to patient management for the evaluation of rejection, toxicity, dose adjustments, and compliance. Whole blood trough concentration range can be found in Table 1.

Factors influencing frequency of monitoring include but are not limited to hepatic or renal dysfunction, the addition or discontinuation of potentially interacting drugs and the post-transplant time. Blood concentration monitoring is not a replacement for renal and liver function monitoring and tissue biopsies. Data from clinical trials show that tacrolimus whole blood concentrations were most variable during the first week post-transplantation.

The relative risks of toxicity and efficacy failure are related to tacrolimus whole blood trough concentrations. Therefore, monitoring of whole blood trough concentrations is recommended to assist in the clinical evaluation of toxicity and efficacy failure.

Methods commonly used for the assay of tacrolimus include high-performance liquid chromatography with tandem mass spectrometric detection (HPLC/MS/MS) and immunoassays. Immunoassays may react with metabolites as well as parent compound. Therefore, assay results obtained with immunoassays may have a positive bias relative to results of HPLC/MS. The bias may depend upon the specific assay and laboratory. Comparison of the concentrations in published literature to patient concentrations using the current assays must be made with detailed knowledge of the assay methods and biological matrices employed. Whole blood is the matrix of choice and specimens should be collected into tubes containing ethylene diamine tetraacetic acid (EDTA) anticoagulant. Heparin anticoagulation is not recommended because of the tendency to form clots on storage. Samples which are not analyzed immediately should be stored at room temperature or in a refrigerator and assayed within 7 days; see assay instructions for specifics. If samples are to be kept longer they should be deep frozen at -20°C. One study showed drug recovery > 90% for samples stored at -20°C for 6 months, with reduced recovery observed after 6 months.

6.1 Clinical Studies Experience

Because clinical trials are conducted under widely varying conditions, adverse reaction rates observed in the clinical trials of a drug cannot be directly compared to rates in the clinical trials of another drug and may not reflect the rates observed in practice. In addition, the clinical trials were not designed to establish comparative differences across study arms with regards to the adverse reactions discussed below.



Kidney Transplantation



The incidence of adverse reactions was determined in three randomized kidney transplant trials. One of the trials used azathioprine (AZA) and corticosteroids and two of the trials used mycophenolate mofetil (MMF) and corticosteroids concomitantly for maintenance immunosuppression.



Tacrolimus based immunosuppression in conjunction with azathioprine and corticosteroids following kidney transplantation was assessed in a trial where 205 patients received tacrolimus based immunosuppression and 207 patients received cyclosporine-based immunosuppression. The trial population had a mean age of 43 years (mean ± SD was 43 ± 13 years on tacrolimus and 44 ± 12 years on cyclosporine arm), the distribution was 61% male, and the composition was White (58%), African-American (25%), Hispanic (12%), and Other (5%). The 12-month post-transplant information from this trial is presented below.



The most common adverse reactions (≥ 30%) observed in tacrolimus-treated kidney transplant patients are: infection, tremor, hypertension, abnormal renal function, constipation, diarrhea, headache, abdominal pain, insomnia, nausea, hypomagnesemia, urinary tract infection, hypophosphatemia, peripheral edema, asthenia, pain, hyperlipidemia, hyperkalemia, and anemia. Based on reported adverse reactions terms related to decreased renal function, nephrotoxicity was reported in approximately 52% of kidney transplantation patients.



Adverse reactions that occurred in ≥15% of kidney transplant patients treated with tacrolimus in conjunction with azathioprine are presented below:

Table 4. Kidney Transplantation: Adverse Reactions Occurring in ≥ 15% of Patients Treated with Tacrolimus in Conjunction with Azathioprine (AZA)
Tacrolimus/AZA (N=205)

Cyclosporine/AZA (N=207)

Nervous System

Tremor

54%

34%

Headache

44%

38%

Insomnia

32%

30%

Paresthesia

23%

16%

Dizziness

19%

16%

Gastrointestinal

Diarrhea

44%

41%

Nausea

38%

36%

Constipation

35%

43%

Vomiting

29%

23%

Dyspepsia

28%

20%

Cardiovascular

Hypertension

50%

52%

Chest Pain

19%

13%

Urogenital

Creatinine Increased

45%

42%

Urinary Tract Infection

34%

35%

Metabolic and Nutritional

Hypophosphatemia

49%

53%

Hypomagnesemia

34%

17%

Hyperlipemia

31%

38%

Hyperkalemia

31%

32%

Diabetes Mellitus

24%

9%

Hypokalemia

22%

25%

Hyperglycemia

22%

16%

Edema

18%

19%

Hemic and Lymphatic

Anemia

30%

24%

Leukopenia

15%

17%

Miscellaneous

Infection

45%

49%

Peripheral Edema

36%

48%

Asthenia

34%

30%

Abdominal Pain

33%

31%

Pain

32%

30%

Fever

29%

29%

Back Pain

24%

20%

Respiratory System

Dyspnea

22%

18%

Cough Increased

18%

15%

Musculoskeletal

Arthralgia

25%

24%

Skin

Rash

17%

12%

Pruritus

15%

7%

Two trials were conducted for tacrolimus-based immunosuppression in conjunction with MMF and corticosteroids. In the non-US trial (Study 1), the incidence of adverse reactions was based on 1195 kidney transplant patients that received tacrolimus (Group C, n = 403), or one of two cyclosporine (CsA) regimens (Group A, n = 384 and Group B, n = 408) in combination with MMF and corticosteroids; all patients, except those in one of the two cyclosporine groups, also received induction with daclizumab. The trial population had a mean age of 46 years (range 17 to 76), the distribution was 65% male, and the composition was 93% Caucasian. The 12-month post-transplant information from this trial is presented below.



Adverse reactions that occurred in ≥10% of kidney transplant patients treated with tacrolimus in conjunction with MMF in Study 1 [Note: This trial was conducted entirely outside of the United States. Such trials often report a lower incidence of adverse reactions in comparison to U.S. trials] are presented below:

Table 5. Kidney Transplantation: Adverse Reactions Occurring in ≥10% of Patients Treated with Tacrolimus in Conjunction with MMF (Study 1)
Tacrolimus Capsules USP (Group C) (N=403)

Cyclosporine (Group A) (N=384)

Cyclosporine (Group B) (N=408)

Diarrhea

25%

16%

13%

Urinary tract infection

24%

28%

24%

Anemia

17%

19%

17%

Hypertension

13%

14%

12%

Leucopenia

13%

10%

10%

Edema peripheral

11%

12%

13%

Hyperlipidemia

10%

15%

13%

Key: Group A = CsA/MMF/CS, B = CsA/MMF/CS/Daclizumab, C = Tac/MMF/CS/Daclizumab

CsA = Cyclosporine, CS = Corticosteroids, Tac = Tacrolimus, MMF = mycophenolate mofetil

In the U.S. trial (Study 2) with tacrolimus-based immunosuppression in conjunction with MMF and corticosteroids, 424 kidney transplant patients received tacrolimus (n = 212) or cyclosporine (n = 212) in combination with MMF1 gram twice daily, basiliximab induction, and corticosteroids. The trial population had a mean age of 48 years (range 17 to 77), the distribution was 63% male, and the composition was White (74%), African-American (20%), Asian (3%), and Other (3%). The 12-month post-transplant information from this trial is presented below.



Adverse reactions that occurred in ≥ 15% of kidney transplant patients treated with tacrolimus in conjunction with MMF in Study 2 are presented below:

Table 6. Kidney Transplantation: Adverse Reactions Occurring in ≥15% of Patients Treated with Tacrolimus in Conjunction with MMF (Study 2)
Tacrolimus Capsules USP / MMF

(N=212)

Cyclosporine / MMF

(N=212)

Gastrointestinal Disorder

Diarrhea

44%

26%

Nausea

39%

47%

Constipation

36%

41%

Vomiting

26%

25%

Dyspepsia

18%

15%

Injury, Poisoning, and Procedural Complications

Post-Procedural Pain

29%

27%

Incision Site Complication

28%

23%

Graft Dysfunction

24%

18%

Metabolism and Nutrition Disorder

Hypomagnesemia

28%

22%

Hypophosphatemia

28%

21%

Hyperkalemia

26%

19%

Hyperglycemia

21%

15%

Hyperlipidemia

18%

25%

Hypokalemia

16%

18%

Nervous System Disorder

Tremor

34%

20%

Headache

24%

25%

Blood and Lymphatic System Disorders

Anemia

30%

28%

Leukopenia

16%

12%

Miscellaneous

Edema Peripheral

35%

46%

Hypertension

32%

35%

Insomnia

30%

21%

Urinary Tract Infection

26%

22%

Blood Creatinine Increased

23%

23%

Less frequently observed adverse reactions in kidney transplantation patients are described under the subsection "Less Frequently Reported Adverse Reactions (> 3%  and < 15%) in Liver, Kidney, and Heart Transplant Studies".



Liver Transplantation



There were two randomized comparative liver transplant trials. In the U.S. trial, 263 adult and pediatric patients received tacrolimus and steroids and 266 patients received cyclosporine-based immunosuppressive regimen (CsA/AZA).  The trial population had a mean age of 44 years (range 0.4 to 70), the distribution was 52% male, and the composition was White (78%), African-American (5%), Asian (2%), Hispanic (13%), and Other (2%). In the European trial, 270 patients received tacrolimus and steroids and 275 patients received CsA/AZA. The trial population had a mean age of 46 years (range 15 to 68), the distribution was 59% male, and the composition was White (95.4%), Black (1%), Asian (2%), and Other (2%).



The proportion of patients reporting more than one adverse event was > 99% in both the tacrolimus group and the CsA/AZA group. Precautions must be taken when comparing the incidence of adverse reactions in the U.S. trial to that in the European trial. The 12-month post-transplant information from the U.S. trial and from the European trial is presented below. The two trials also included different patient populations and patients were treated with immunosuppressive regimens of differing intensities. Adverse reactions reported in ≥ 15% in tacrolimus patients (combined trial results) are presented below for the two controlled trials in liver transplantation.



The most common adverse reactions (≥ 40%) observed in tacrolimus-treated liver transplant patients are: tremor, headache, diarrhea, hypertension, nausea, abnormal renal function, abdominal pain, insomnia, paresthesia, anemia, pain, fever, asthenia, hyperkalemia, hypomagnesemia, and hyperglycemia. These all occur with oral and IV administration of Tacrolimus and some may respond to a reduction in dosing (e.g., tremor, headache, paresthesia, hypertension). Diarrhea was sometimes associated with other gastrointestinal complaints such as nausea and vomiting. Based on reported adverse reactions terms related to decreased renal function, nephrotoxicity was reported in approximately 40% and 36% of liver transplantation patients receiving tacrolimus in the U.S. and European randomized trials.

Table 7. Liver Transplantation: Adverse Reactions Occurring in ≥ 15% of Patients Treated with Tacrolimus
U.S.TRIAL

EUROPEAN TRIAL

Tacrolimus (N=250)

Cyclosporine/AZA (N=250)

Tacrolimus (N=264)

Cyclosporine /AZA (N=265)

Nervous System

Headache

64%

60%

37%

26%

Insomnia

64%

68%

32%

23%

Tremor

56%

46%

48%

32%

Paresthesia

40%

30%

17%

17%

Gastrointestinal

Diarrhea

72%

47%

37%

27%

Nausea

46%

37%

32%

27%

LFT Abnormal

36%

30%

6%

5%

Anorexia

34%

24%

7%

5%

Vomiting

27%

15%

14%

11%

Constipation

24%

27%

23%

21%

Cardiovascular

Hypertension

47%

56%

38%

43%

Urogenital

Kidney Function Abnormal

40%

27%

36%

23%

Creatinine Increased

39%

25%

24%

19%

BUN Increased

30%

22%

12%

9%

Oliguria

18%

15%

19%

12%

Urinary Tract Infection

16%

18%

21%

19%

Metabolic and Nutritional

Hypomagnesemia

48%

45%

16%

9%

Hyperglycemia

47%

38%

33%

22%

Hyperkalemia

45%

26%

13%

9%

Hypokalemia

29%

34%

13%

16%

Hemic and Lymphatic

Anemia

47%

38%

5%

1%

Leukocytosis

32%

26%

8%

8%

Thrombocytopenia

24%

20%

14%

19%

Miscellaneous

Pain

63%

57%

24%

22%

Abdominal Pain

59%

54%

29%

22%

Asthenia

52%

48%

11%

7%

Fever

48%

56%

19%

22%

Back Pain

30%

29%

17%

17%

Ascites

27%

22%

7%

8%

Peripheral Edema

26%

26%

12%

14%

Respiratory System

Pleural Effusion

30%

32%

36%

35%

Dyspnea

29%

23%

5%

4%

Atelectasis

28%

30%

5%

4%

Skin and Appendages

Pruritus

36%

20%

15%

7%

Rash

24%

19%

10%

4%

Table 8. Pediatric Liver Transplantation: Adverse Reactions Occurring in > 10% of Patients Treated with Tacrolimus Granules (STUDY 01-13)
Tacrolimus Granules (N=91)

Cyclosporine (N=90)

Body as a Whole

Fever

46%

51%

Infection

25%

29%

Sepsis

22%

20%

CMV Infection

15%

24%

EBV Infection

26%

11%

Ascites

17%

20%

Peritonitis

12%

7%

Cardiovascular System

Hypertension

39%

47%

Digestive System

Liver Function Tests Abnormal

37%

28%

Diarrhea

26%

26%

Vomiting

15%

13%

Gastrointestinal Hemorrhage

11%

12%

Bile Duct Disorder

12%

8%

Gastroenteritis

12%

4%

Hemic and Lymphatic System

Anemia

29%

19%

Metabolic and Nutritional Disorders

Hypomagnesemia

40%

29%

Acidosis

26%

17%

Hyperkalemia

12%

10%

Respiratory System

Pleural Effusion

22%

19%

Bronchitis

11%

8%

Urogenital System

Kidney Function Abnormal

13%

14%

Less frequently observed adverse reactions in liver transplantation patients are described under the subsection "Less Frequently Reported Adverse Reactions (> 3% and < 15%) in Liver, Kidney, and Heart Transplant Studies"



Heart Transplantation



The incidence of adverse reactions was determined based on two trials in primary orthotopic heart transplantation. In a trial conducted in Europe, 314 patients received a regimen of antibody induction, corticosteroids, and azathioprine (AZA) in combination with Tacrolimus (n = 157) or cyclosporine (n = 157) for 18 months. The trial population had a mean age of 51 years (range 18 to 65), the distribution was 82% male, and the composition was White (96%), Black (3%), and other (1%).



The most common adverse reactions (≥ 15%) observed in tacrolimus-treated heart transplant patients are: abnormal renal function, hypertension, diabetes mellitus, CMV infection, tremor, hyperglycemia, leukopenia, infection, anemia, bronchitis, pericardial effusion, urinary tract infection, and hyperlipemia. Based on reported adverse reactions terms related to decreased renal function, nephrotoxicity was reported in approximately 59% of heart transplantation patients in the European trial.



Adverse reactions in heart transplant patients in the European trial are presented below:

Table 9. Heart Transplantation: Adverse Reactions Occurring in ≥ 15% of Patients Treated with Tacrolimus Capsules USP in Conjunction with Azathioprine (AZA)
Tacrolimus Capsules USP /AZA (n=157 )

Cyclosporine/AZA (n=157)

Cardiovascular System

Hypertension

62%

69%

Pericardial Effusion

15%

14%

Body as a Whole

CMV Infection

32%

30%

Infection

24%

21%

Metabolic and Nutritional Disorders

Diabetes Mellitus

26%

16%

Hyperglycemia

23%

17%

Hyperlipemia

18%

27%

Hemic and Lymphatic System

Anemia

50%

36%

Leukopenia

48%

39%

Urogenital System

Kidney Function Abnormal

56%

57%

Urinary Tract Infection

16%

12%

Respiratory System

Bronchitis

17%

18%

Nervous System

Tremor

15%

6%

In the European trial, the cyclosporine trough concentrations were above the pre-defined target range (i.e., 100 to 200 ng/mL) at Day 122 and beyond in 32% to 68% of the patients in the cyclosporine treatment arm, whereas the tacrolimus trough concentrations were within the pre-defined target range (i.e., 5 to 15 ng/mL) in 74% to 86% of the patients in the tacrolimus treatment arm.



In a U.S. trial, the incidence of adverse reactions was based on 331 heart transplant patients that received corticosteroids and tacrolimus in combination with sirolimus (n=109), tacrolimus in combination with MMF (n=107) or cyclosporine modified in combination with MMF (n=115) for 1 year. The trial population had a mean age of 53 years (range 18 to 75), the distribution was 78% male, and the composition was White (83%), African-American (13%) and other (4%).



Only selected targeted treatment-emergent adverse reactions were collected in the U.S. heart transplantation trial. Those reactions that were  reported  at a rate of 15%  or greater in patients treated with tacrolimus and MMF include the following: any target adverse reactions (99%), hypertension (89%), hyperglycemia requiring  antihyperglycemic therapy (70%), hypertriglyceridemia (65%), anemia (hemoglobin < 10.0 g/dL) (65%), fasting blood glucose > 140 mg/dL (on two separate occasions)  (61%), hypercholesterolemia (57%), hyperlipidemia (34%), WBCs < 3000 cells/mcL (34%), serious bacterial infections (30%), magnesium < 1.2 mEq/L (24%), platelet  count < 75,000 cells/mcL (19%), and other opportunistic infections (15%).



Other targeted treatment-emergent adverse reactions in tacrolimus-treated patients occurred at a rate of less than 15%, and include the following: Cushingoid features, impaired wound healing, hyperkalemia, Candida infection, and CMV infection/syndrome. Other less frequently observed adverse reactions in heart transplantation patients are described under the subsection "Less Frequently Reported Adverse Reactions (> 3% and < 15%) in Liver, Kidney and Heart Transplant Studies."



New Onset Diabetes After Transplant



Kidney Transplantation



New Onset Diabetes After Transplant (NODAT) is defined as a composite of fasting plasma glucose ≥ 126 mg/dL, HbA1C ≥ 6%, insulin use ≥ 30 days, or oral  hypoglycemic use. In a trial in kidney transplant patients (Study 2), NODAT was observed in 75% in the tacrolimus-treated and 61% in the NEORAL-treated patients without pre-transplant history of diabetes mellitus (Table 10) [see Clinical Studies (14.1)

Table 10. Incidence of New Onset Diabetes After Transplant at 1 year in Kidney Transplant Recipients in a Phase 3 Trial (Study 2)
Parameter

Treatment Group

Tacrolimus Capsules USP/MMF (n = 212)

 

Neoral / MMF (n = 212)

NODAT

112/150 (75%)

93/152 (61%)

Fasting Plasma Glucose ≥ 126 mg/dL

96/150 (64%)

80/152 (53%)

HbA1C ≥ 6%

59/150 (39%)

28/152 (18%)

Insulin Use ≥ 30 days

9/150 (6%)

4/152 (3%)

Oral Hypoglycemic Use

15/150 (10%)

5/152 (3%)

In early trials of tacrolimus, Post-Transplant Diabetes Mellitus (PTDM) was evaluated with a more limited criterion of "use of insulin for 30 or more consecutive  days with  < 5-day gap" in patients without a prior history of insulin-dependent diabetes mellitus or non-insulin dependent diabetes mellitus. Data are presented in Tables 11 to 14. PTDM was reported in 20% of Tacrolimus /Azathioprine (AZA)-treated kidney transplant patients without pre-transplant history of diabetes mellitus in a Phase 3 trial  (Table 11). The median time to onset of PTDM was 68 days. Insulin dependence was reversible in 15% of these PTDM patients at one year and in 50% at 2 years post-transplant. African-American and Hispanic kidney transplant patients were at an increased risk of development of PTDM (Table 12)

Table 11. Incidence of Post-Transplant Diabetes Mellitus and Insulin Use at 2 Years in Kidney Transplant Recipients in a Phase 3 Trial using Azathioprine (AZA)

1 Use of insulin for 30 or more consecutive days, with < 5 day gap, without a prior history of insulin-dependent diabetes mellitus or non-insulin dependent diabetes mellitus.

Status of PTDM1

Tacrolimus Capsules USP/AZA

CsA/AZA

Patients without pre-transplant history of diabetes mellitus.

                           151

   151

New onset PTDM1, 1st Year

30/151 (20%)

    6/151 (4%)

Still insulin dependent at one year in those without prior history of diabetes.

25/151 (17%)

   5/151 (3%)

New onset PTDM1 post 1 year

1

0

Patients with PTDM1 at 2 years

16/151 (11%)

  5/151 (3%)

Table 12. Development of Post-Transplant Diabetes Mellitus by Race or Ethnicity and by Treatment Group During First Year Post Kidney Transplantation in a Phase 3 Trial
Patient Race

Patients Who Developed PTDM 1

Tacrolimus Capsules USP

Cyclosporine

African-American

15/41 (37%)

3 (8%)

Hispanic

5/17 (29%)

1 (6%)

Caucasian

10/82 (12%)

1 (1%)

Other

0/11 (0%)

1 (10%)

Total

30/151 (20%)

6 (4%)

Liver Transplantation

Insulin-dependent PTDM was reported in 18% and 11% of tacrolimus-treated liver transplant patients and was reversible in 45% and 31% of these patients at 1 year post-transplant, in the U.S. and European randomized trials, respectively (Table 13). Hyperglycemia was associated with the use of tacrolimus in 47% and 33% of liver transplant recipients in the U.S. and European randomized trials, respectively, and may require treatment [see Adverse Reactions (6.1)]

Table 13. Incidence of Post-Transplant Diabetes Mellitus and Insulin Use at 1 Year in Liver Transplant Recipients

1Use of insulin for 30 or more consecutive days, with < 5 day gap, without a prior history of insulin-dependent diabetes mellitus or non-insulin dependent diabetes mellitus.

2 Patients without pre-transplant history of diabetes mellitus

Status of PTDM1

US Trial

European Trial

Tacrolimus Capsules USP

Cyclosporine

Tacrolimus Capsules USP

Cyclosporine

Patients at risk 2

239

236

239

249

New Onset PTDM1

42 (18%)

30 (13%)

26 (11%)

12 (5%)

Patients still on insulin at 1 year

23 (10%)

19 (8%)

18 (8%)

6 (2%)

Heart Transplantation



Insulin-dependent PTDM was reported in 13% and 22% of tacrolimus-treated heart transplant patients receiving mycophenolate mofetil (MMF) or azathioprine (AZA) and was reversible in 30% and 17% of these patients at one year post-transplant, in the U.S. and European randomized trials, respectively (Table 14). Hyperglycemia defined as two fasting plasma glucose levels ≥ 126 mg/dL was reported with the use of tacrolimus plus MMF or AZA in 32% and 35% of heart transplant recipients in the U.S. and European randomized trials, respectively, and may require treatment [see Adverse Reactions (6.1)]

Table 14. Incidence of Post-Transplant Diabetes Mellitus and Insulin Use at 1 Year in Heart Transplant Recipients

1 Use of insulin for 30 or more consecutive days without a prior history of insulin-dependent diabetes mellitus or non-insulin dependent diabetes mellitus.

2 Patients without pre-transplant history of diabetes mellitus.

3 7-12 months for the U.S. trial.

Status of PTDM1

US Trial

European Trial

Tacrolimus Capsules USP/MMF

Cyclosporine/MMF

Tacrolimus Capsules USP/AZA

Cyclosporine/AZA

Patients at risk2

75

83

132

138

New Onset PTDM1

10 (13%)

6 (7%)

29 (22%)

5 (4%)

Patients still on insulin at 1 year3

7 (9%)

1 (1%)

24 (18%)

4 (3%)

Less Frequently Reported Adverse Reactions (> 3% and < 15%) in Liver, Kidney, and Heart Transplant Studies

The following adverse reactions were reported in either liver, kidney, and/or heart transplant recipients who were treated with tacrolimus in clinical trials.

  • Nervous System: Abnormal dreams, agitation, amnesia, anxiety, confusion, convulsion, crying, depression, elevated mood, emotional lability, encephalopathy, hemorrhagic stroke, hallucinations, hypertonia, incoordination, monoparesis, myoclonus, nerve compression, nervousness, neuralgia, neuropathy, paralysis flaccid, psychomotor skills impaired, psychosis, quadriparesis, somnolence, thinking abnormal, vertigo, writing impaired
  • Special Senses: Abnormal vision, amblyopia, ear pain, otitis media, tinnitus
  • Gastrointestinal: Cholangitis, cholestatic jaundice, duodenitis, dysphagia, esophagitis, flatulence, gastritis, gastroesophagitis, gastrointestinal hemorrhage, GGT increase, GI disorder, GI perforation, hepatitis, hepatitis granulomatous, ileus, increased appetite, jaundice, liver damage, esophagitis ulcerative, oral moniliasis, pancreatic pseudocyst, stomatitis
  • Cardiovascular: Abnormal ECG, angina pectoris, arrhythmia, atrial fibrillation, atrial flutter, bradycardia, cardiac fibrillation, cardiopulmonary failure, congestive heart failure, deep thrombophlebitis, echocardiogram abnormal, electrocardiogram QRS complex abnormal, electrocardiogram ST segment abnormal, heart failure, heart rate decreased, hemorrhage, hypotension, phlebitis, postural hypotension, syncope, tachycardia, thrombosis, vasodilatation
  • Urogenital: Acute kidney failure, albuminuria, BK nephropathy, bladder spasm, cystitis, dysuria, hematuria, hydronephrosis, kidney failure, kidney tubular necrosis, nocturia, pyuria, toxic nephropathy, urge incontinence, urinary frequency, urinary incontinence, urinary retention, vaginitis
  • Metabolic/Nutritional: Acidosis, alkaline phosphatase increased, alkalosis, ALT (SGPT) increased, AST (SGOT) increased, bicarbonate decreased, bilirubinemia, dehydration, GGT increased, gout, healing abnormal, hypercalcemia, hypercholesterolemia, hyperphosphatemia, hyperuricemia, hypervolemia, hypocalcemia, hypoglycemia, hyponatremia, hypoproteinemia, lactic dehydrogenase increase, weight gain
  • Endocrine: Cushing's syndrome
  • Hemic/Lymphatic: Coagulation disorder, ecchymosis, hematocrit increased, hypochromic anemia, leukocytosis, polycythemia, prothrombin decreased, serum iron decreased
  • Miscellaneous: Abdomen enlarged, abscess, accidental injury, allergic reaction, cellulitis, chills, fall, flu syndrome, generalized edema, hernia, mobility decreased, peritonitis, photosensitivity reaction, sepsis, temperature intolerance, ulcer
  • Musculoskeletal: Arthralgia, cramps, generalized spasm, leg cramps, myalgia, myasthenia, osteoporosis
  • Respiratory: Asthma, emphysema, hiccups, lung function decreased, pharyngitis, pneumonia, pneumothorax, pulmonary edema, rhinitis, sinusitis, voice alteration
  • Skin: Acne, alopecia, exfoliative dermatitis, fungal dermatitis, herpes simplex, herpes zoster, hirsutism, neoplasm skin benign, skin discoloration, skin ulcer, sweating

Lung Transplantation



Adverse reactions in lung transplant patients were similar to those in kidney, liver, or heart transplant patients treated with Tacrolimus Capsules USP [see Adverse Reactions (6.2 )].

17.3 Increased Risk of Infection

Inform patients they are at increased risk of developing a variety of infections, including opportunistic infections, due to immunosuppression and to contact their physician if they develop any symptoms of infection such as fever, sweats or chills, cough or flu-like symptoms, muscle aches, or warm, red, painful areas on the skin [see Boxed Warnings and Warnings and Precautions (5.2)].

17 Patient Counseling Information

Advise the patient to read the FDA-approved patient labeling (Patient Information and Instructions for Use).

5.17 Cannabidiol Drug Interactions

When cannabidiol and Tacrolimus Capsules USP are co-administered, closely monitor for an increase in tacrolimus blood levels and for adverse reactions suggestive of tacrolimus toxicity. A dose reduction of Tacrolimus Capsules USP should be considered as needed when Tacrolimus Capsules USP is co-administered with cannabidiol [see Dosage and Administration (2.2, 2.6) and Drug Interactions (7.3)].

5.1 Lymphoma and Other Malignancies

Patients receiving immunosuppressants, including Tacrolimus Capsules USP are at increased risk of developing lymphomas and other malignancies, particularly of the skin. The risk appears to be related to the intensity and duration of immunosuppression rather than to the use of any specific agent.



As usual for patients with increased risk for skin cancer, examine patients for skin changes; exposure to sunlight and UV light should be limited by wearing protective clothing and using a broad-spectrum sunscreen with a high protection factor.



Post-transplant lymphoproliferative disorder (PTLD) has been reported in immunosuppressed organ transplant recipients. The majority of PTLD events appear related to Epstein-Barr virus (EBV) infection. The risk of PTLD appears greatest in those individuals who are EBV seronegative, a population which includes many young children. Monitor EBV serology during treatment.

Package Label.principal Display Panel

NDC 43817-421-01



Tacrolimus Capsules USP,



0.5 mg



Rx only



100 Capsules

label 0.5mg
5.4 New Onset Diabetes After Transplant

Tacrolimus Capsules USP was shown to cause new onset diabetes mellitus in clinical trials of kidney, liver, heart or lung transplantation. New onset diabetes after transplantation may be reversible in some patients. African-American and Hispanic kidney transplant patients are at an increased risk. Blood glucose concentrations should be monitored closely in patients using tacrolimus [see Adverse Reactions (6.1)]

17.4 New Onset Diabetes After Transplant

Inform patients that Tacrolimus Capsules USP can cause diabetes mellitus and should be advised to contact their physician if they develop frequent urination, increased thirst, or hunger [see Warnings and Precautions (5.4)].

7.2 Effects of Other Drugs On Tacrolimus

Table 15 displays the effects of other drugs on tacrolimus.

Table 15: Effects of Other Drugs/Substances on Tacrolimus1

1Tacrolimus dosage adjustment recommendation based on observed effect of co-administered drug on tacrolimus exposures [see Clinical Pharmacology (12.3)], literature reports of altered tacrolimus exposures, or the other drug's known CYP3A inhibitor/inducer status

2High dose or double strength grapefruit juice is a strong CYP3A inhibitor; low dose or single strength grapefruit juice is a moderate CYP3A inhibitor.

3Strong CYP3A inhibitor/inducer, based on reported effect on exposures to tacrolimus along with supporting in vitro CYP3A inhibitor/inducer data, or based on drug-drug interaction studies with midazolam (sensitive CYP3A probe substrate).

 Drug/Substance Class or Name

 Drug Interaction Effect

Recommendations

 

Grapefruit or grapefruit juice2

 May increase tacrolimus whole blood trough concentrations and increase the risk of serious adverse reactions (e.g., neurotoxicity, QT prolongation) [see Warnings and Precautions (5.6, 5.11, 5.12)]

Avoid grapefruit or grapefruit juice.

 Strong CYP3A Inducers3:

Antimycobacterials (e.g., rifampin, rifabutin),anticonvulsants (e.g., phenytoin, carbamazepine and phenobarbital), St John's Wort

 May decrease tacrolimus whole blood trough concentrations and increase the risk of rejection. [see Warnings and Precautions (5.11)]

 Increase tacrolimus dose and monitor tacrolimus whole blood trough concentrations [see Dosage and Administration (2.2, 2.6) and Clinical Pharmacology (12.3)]

 Strong CYP3A Inhibitors3:

Protease inhibitors (e.g, nelfinavir, telaprevir, boceprevir, ritonavir), azole antifungals (e.g., voriconazole, posaconazole, itraconazole, ketoconazole), antibiotics (e.g., clarithromycin, troleandomycin, chloramphenicol), nefazodone, letermovir, schisandra sphenanthera extracts

 May increase tacrolimus whole blood trough concentrations and increase the risk of serious adverse reactions (e.g., neurotoxicity, QT prolongation). A rapid sharp rise in tacrolimus levels may occur early, despite an immediate reduction of tacrolimus dose [see Warnings and Precautions (5.6, 5.11, 5.12)].

 Reduce tacrolimus dose (for voriconazole and posaconazole, give one-third of the original dose) and adjust dose based on tacrolimus whole blood trough concentrations [see Dosage and Administration (2.2, 2.6) and Clinical Pharmacology (12.3)]

Early and frequent monitoring of tacrolimus whole blood trough levels should start within 1-3 days and continue monitoring as necessary.

Mild or Moderate CYP3A Inhibitors: Clotrimazole, antibiotics (e.g., erythromycin, fluconazole), calcium channel blockers (e.g., verapamil, diltiazem, nifedipine, nicardipine), amiodarone, danazol, ethinyl estradiol, cimetidine, lansoprazole and omeprazole

May increase tacrolimus whole blood trough concentrations and increase the risk of serious adverse reactions (e.g., neurotoxicity, QT prolongation)

 [see Warnings and Precautions (5.6, 5.11, 5.12)]

 Monitor tacrolimus whole blood trough concentrations and reduce tacrolimus dose if needed [see Dosage and Administration (2.2, 2.6) and Clinical Pharmacology (12.3)]

Other drugs, such as: Magnesium and aluminum hydroxide antacids Metoclopramide

 May increase tacrolimus whole blood trough concentrations and increase the risk of serious adverse reactions (e.g., neurotoxicity, QT prolongation)[see Warnings and Precautions (5.6, 5.11, 5.12)]

 Monitor tacrolimus whole blood trough concentrations and reduce tacrolimus dose if needed [see Dosage and Administration (2.2, 2.6) and Clinical Pharmacology (12.3)]

 

Mild or Moderate CYP3A

Inducers Methylprednisolone, prednisone

May decrease tacrolimus concentrations

 Monitor tacrolimus whole blood trough concentrations and adjust tacrolimus dose if needed [see Dosage and Administration (2.2, 2.6)]

Caspofungin

May decrease tacrolimus whole blood trough concentrations

Monitor tacrolimus whole blood trough concentrations and adjust tacrolimus dose if needed [see Dosage and Administration (2.2, 2.6)] .

Direct Acting Antiviral (DAA) Therapy



The pharmacokinetics of tacrolimus may be impacted by changes in liver function during DAA therapy, related to clearance of HCV virus. Close monitoring and potential dose adjustment of Tacrolimus Capsules USP is warranted to ensure continued efficacy and safety [see Dosage and Administration (2.2, 2.6 )].

2.1 Important Administration Instructions

Tacrolimus Capsules USP should not be used without supervision by a physician with experience in immunosuppressive therapy.



Tacrolimus Capsules USP and Tacrolimus Granules are not interchangeable or substitutable for other tacrolimus extended-release products. This is because rate of absorption following the administration of an extended-release tacrolimus product is not equivalent to that of an immediate-release tacrolimus drug product. Under-or overexposure to tacrolimus may result in graft rejection or other serious adverse reactions. Changes between tacrolimus immediate-release and extended-release dosage forms must occur under physician supervision [see Warnings and Precautions (5.3)]



Intravenous Formulation - Administration Precautions due to Risk of Anaphylaxis



Intravenous use is recommended for patients who cannot tolerate oral formulations, and conversion from intravenous to oral tacrolimus capsules are recommended as soon as oral therapy can be tolerated to minimize the risk of anaphylactic reactions that occurred with injectables containing castor oil derivatives [see Warnings and Precautions (5.9)]



Oral Formulations (Capsules)



If patients are able to initiate oral therapy, the recommended starting doses should be initiated. Tacrolimus Capsules USP may be taken with or without food. However, since the presence of food affects the bioavailability of Tacrolimus Capsules USP, if taken with food, it should be taken consistently the same way each time [see Clinical Pharmacology (12.3)]



General Administration Instructions



Patients should not eat grapefruit or drink grapefruit juice in combination with Tacrolimus Capsules USP [see Drug Interactions (7.2)]



Tacrolimus Capsules USP should not be used simultaneously with cyclosporine. Tacrolimus Capsules USP or cyclosporine should be discontinued at least 24 hours before initiating the other. In the presence of elevated Tacrolimus Capsules USP or cyclosporine concentrations, dosing with the other drug usually should be further delayed.



Therapeutic drug monitoring (TDM) is recommended for all patients receiving Tacrolimus Capsules USP [see Dosage and Administration (2.6)]

17.11 Pregnancy, Lactation and Infertility

Inform women of childbearing potential that Tacrolimus Capsules USP can harm the fetus. Instruct male and female patients to discuss with their healthcare provider family planning options including appropriate contraception. Also, discuss with pregnant patients the risks and benefits of breastfeeding their infant [see Use in Specific Populations (8.1,8.2,8.3)].

Encourage female transplant patients who become pregnant and male patients who have fathered a pregnancy, exposed to immunosuppressants including tacrolimus, to enroll in the voluntary Transplantation Pregnancy Registry International. To enroll or register, patients can call the toll free number 1-877-955-6877 or https://www.transplantpregnancyregistry.org/ [see Use in Specific Populations (8.1)].

Based on animal studies, Tacrolimus Capsules USP may affect fertility in males and females [see Nonclinical Toxicology (13.1)].

5.10 Not Recommended for Use With Sirolimus

Tacrolimus Capsules USP is not recommended for use with sirolimus:

  • The use of sirolimus with Tacrolimus Capsules USP in studies of de novo liver transplant patients was associated with an excess mortality, graft loss, and hepatic artery thrombosis (HAT), and is not recommended.
  • The use of sirolimus (2 mg per day) with Tacrolimus Capsules USP in heart transplant patients in a U.S. trial was associated with increased risk of renal function impairment, wound healing complications, and insulin-dependent post-transplant diabetes mellitus, and is not recommended [see Clinical Studies (14.3)].
  • The use of sirolimus with Tacrolimus Capsules USP may increase the risk of thrombotic microangiopathy [see Warnings and Precautions(5.16)].
Warning: Malignancies and Serious Infections

Increased risk for developing serious infections and malignancies with Tacrolimus Capsules USP or other immunosuppressants that may lead to hospitalization or death. (5.1, 5.2)

8.3 Females and Males of Reproductive Potential

Contraception

Tacrolimus can cause fetal harm when administered to pregnant women. Advise female and male patients of reproductive potential to speak to their healthcare  provider  on family planning options including appropriate contraception  prior to starting treatment with tacrolimus [see Use in Specific Populations (8.1), Nonclinical Toxicology (13.1)]

Infertility

Based on findings in animals, male and female fertility may be compromised by treatment with tacrolimus [see Nonclinical Toxicology (13.1)]

17.2 Development of Lymphoma and Other Malignancies

Inform patients they are at increased risk of developing lymphomas and other malignancies, particularly of the skin, due to immunosuppression. Advise patients to limit exposure to sunlight and ultraviolet (UV) light by wearing protective clothing and using a broad spectrum with a high protection factor [see Boxed Warnings and Warnings and Precautions (5.1)].

5.9 Anaphylactic Reactions With Tacrolimus Injection

Anaphylactic reactions have occurred with injectables containing castor oil derivatives, including tacrolimus in a small percentage of patients (0.6%). The exact cause of these reactions is not known. Tacrolimus injection should be reserved for patients who are unable to take Tacrolimus Capsules USP orally. Monitor patients for anaphylaxis when using the intravenous route of administration [see Dosage and Administration (2.1)].

5.11 Interactions With Cyp3a4 Inhibitors and Inducers

When co-administering Tacrolimus Capsules USP with strong CYP3A4 inhibitors (e.g., telaprevir, boceprevir, ritonavir, ketoconazole, itraconazole, voriconazole, clarithromycin) and strong inducers (e.g., rifampin, rifabutin), adjustments in the dosing regimen of Tacrolimus Capsules USP and subsequent frequent monitoring of tacrolimus whole blood trough concentrations and tacrolimus-associated adverse reactions are recommended. A rapid, sharp rise in tacrolimus levels has been reported after co-administration with a strong CYP3A4 inhibitor, clarithromycin, despite an initial reduction of tacrolimus dose. Early and frequent monitoring of tacrolimus whole blood trough levels is recommended [see Drug Interactions (7.2)].

13.1 Carcinogenesis, Mutagenesis, Impairment of Fertility

Carcinogenesis



Carcinogenicity studies were conducted in male and female rats and mice. In the 80-week mouse oral study and in the 104-week rat oral study, no relationship of tumor incidence to tacrolimus dosage was found. The highest dose used in the mouse was 3.0 mg/kg/day (0.9 to 2.2 times the AUC at clinical doses of 0.075 to 0.2 mg/kg/day) and in the rat was 5.0 mg/kg/day (0.265 to 0.65 times the AUC at clinical doses of 0.075 to 0.2 mg/kg/day) [see Warnings and Precautions (5.1)].



A 104-week dermal carcinogenicity study was performed in mice with tacrolimus ointment (0.03% - 3%), equivalent to tacrolimus doses of 1.1-118 mg/kg/day or 3.3-354 mg/m2/day. In the study, the incidence of skin tumors was minimal and the topical application of tacrolimus was not associated with skin tumor formation under ambient room lighting. However, a statistically significant elevation in the incidence of pleomorphic lymphoma in high-dose male (25/50) and female animals (27/50) and in the incidence of undifferentiated lymphoma in high-dose female animals (13/50) was noted in the mouse dermal carcinogenicity study. Lymphomas were noted in the mouse dermal carcinogenicity study at a daily dose of 3.5 mg/kg (0.1% tacrolimus ointment). No drug-related tumors were noted in the mouse dermal carcinogenicity study at a daily dose of 1.1 mg/kg (0.03% tacrolimus ointment). The relevance of topical administration of tacrolimus in the setting of systemic tacrolimus use is unknown



The implications of these carcinogenicity studies to the human condition are limited; doses of tacrolimus were administered that likely induced immunosuppression in these animals, impairing their immune system's ability to inhibit unrelated carcinogenesis.



 Mutagenesis



No evidence of genotoxicity was seen in bacterial (Salmonella and E. coli) or mammalian (Chinese hamster lung-derived cells) in vitro assays of mutagenicity, the in vitro CHO/HGPRT assay of mutagenicity, or in vivo clastogenicity  assays performed in mice; tacrolimus did not cause unscheduled DNA synthesis in rodent hepatocytes



Impairment of Fertility



Tacrolimus, subcutaneously administered to male rats at paternally toxic doses of 2 mg/kg/day (1.6 to 4.3 times the recommended clinical dose range [0.2 to 0.075 mg/kg/day] on a mg/m2 basis) or 3 mg/kg/day (2.4 to 6.4 times the recommended clinical dose range) resulted in a dose-related decrease in sperm count. Tacrolimus, administered orally at 1.0 mg/kg (0.8 to 2.2 times the clinical dose range) to male and female rats, prior to and during mating, as well as to dams during gestation and lactation, was associated with embryolethality and adverse effects on female reproduction. Effects on female reproductive function (parturition) and embryolethal effects were indicated by a higher rate of pre-and post- implantation loss and increased numbers of undelivered and nonviable pups. When administered at 3.2 mg/kg (2.6 to 6.9 times the clinical dose range based on body surface area), tacrolimus was associated with maternal and paternal toxicity as well as reproductive toxicity including marked adverse effects on estrus cycles, parturition, pup viability, and pup malformations.

2.4 Dosage Modification for Patients With Renal Impairment

Due to its potential for nephrotoxicity, consider dosing Tacrolimus Capsules USP at the lower end of the therapeutic dosing range in patients who have received a liver, heart or lung transplant and have pre-existing renal impairment. Further reductions in dose below the targeted range may be required.



In kidney transplant patients with post-operative oliguria, the initial dose of Tacrolimus Capsules USP should be administered no sooner than 6 hours and within 24 hours  of transplantation, but may be delayed until renal function shows evidence of recovery [see Dosage and Administration (2.2), Warnings and Precautions (5.5), Use in Specific Populations (8.6), and Clinical Pharmacology (12.3)].

2.5 Dosage Modification for Patients With Hepatic Impairment

Due to the reduced clearance and prolonged half-life, patients with severe hepatic impairment (Child Pugh ≥ 10) may require lower doses of Tacrolimus. Close monitoring of blood concentrations is warranted.



The use of Tacrolimus Capsules USP in liver transplant recipients experiencing post-transplant hepatic impairment may be associated with increased risk of developing renal insufficiency related to high whole blood concentrations of Tacrolimus. These patients should be monitored closely and dosage adjustments should be considered. Some evidence suggests that lower doses should be used in these patients [see Dosage and Administration (2.2), Warnings and Precautions (5.5), Use in Specific Populations (8.7), and Clinical Pharmacology (12.3)]

5.5 Nephrotoxicity Due to Tacrolimus Capsules Usp and Drug Interactions

Tacrolimus Capsules USP, like other calcineurin inhibitors, can cause acute or chronic nephrotoxicity in transplant patients due to its vasoconstrictive effects on renal vasculature, toxic tubulopathy and tubular-interstitial effects. Nephrotoxicity was reported in clinical trials [see Adverse Reactions (6.1)].



Acute renal impairment associated with tacrolimus toxicity can result in high serum creatinine, hyperkalemia, decreased secretion of urea and hyperuricemia, and is usually reversible. In patients with elevated serum creatinine and tacrolimus whole blood trough concentrations greater than the recommended range, consider dosage reduction or temporary interruption of tacrolimus administration.



The risk for nephrotoxicity may increase when Tacrolimus Capsules USP is concomitantly administered with CYP3A inhibitors (by increasing tacrolimus whole blood concentrations) or drugs associated with nephrotoxicity (e.g., aminoglycosides, ganciclovir, amphotericin B, cisplatin, nucleotide reverse transcriptase inhibitors, protease inhibitors). When tacrolimus is used concurrently with other known nephrotoxic drugs, monitor renal functions and tacrolimus blood concentrations, and adjust doses of both tacrolimus and/or concomitant medications during concurrent use [see Drug Interactions (7.2)].

1.1 Prophylaxis of Organ Rejection in Kidney, Liver, Heart Or Lung Transplant

Tacrolimus Capsules USP is indicated for the prophylaxis of organ rejection, in adult and pediatric patients receiving allogeneic kidney transplant [see Clinical Studies (14.1)], liver transplants [see Clinical Studies (14.2)], heart transplant  [see Clinical Studies (14.3)], or lung transplant [see Clinical Studies (14.4)] in combination with other immunosuppressants.

5.3 Not Interchangeable With Extended Release Tacrolimus Products Medication Errors

Medication errors, including substitution and dispensing errors, between tacrolimus immediate-release products and tacrolimus extended-release products were reported outside the U.S. This led to serious adverse reactions, including graft rejection, or other adverse reactions due to under-or overexposure to tacrolimus. Tacrolimus Capsules USP is not interchangeable or substitutable with tacrolimus extended-release products. Changes between tacrolimus immediate-release and extended-release dosage forms must occur under physician supervision. Instruct patients and caregivers to recognize the appearance of Tacrolimus Capsules USP dosage forms [see Dosage Forms and Strengths (3)]and to confirm with the healthcare provider if a different product is dispensed.

2.3 Dosage Recommendatios for Pediatric Kidney, Liver, Heart Or Lung Transplant Patients

Oral formulation (capsules)



Pediatric patients in general need higher tacrolimus doses compared to adults: the higher dose requirements may decrease as the child grows older. Recommendations for the initial oral dosing for pediatric transplant patients and whole blood trough concentration range are shown in Table 3. Perform TDM to ensure that patients are  within the ranges listed in Table 3

Table 3. Summary of Initial Tacrolimus Capsules USP Dosage Recommendations and Whole Blood Trough Concentration Range in Children

1.             See Clinical Pharmacology (12.3), Tacrolimus Granules Pharmacokinetics in Pediatric Patients.

2.             See Clinical Studies (14.2), Liver Transplantation.

3              Dose at 0.1 mg/kg/day if antibody induction treatment is administered.

4.             Patients with cystic fibrosis may require higher doses due to lower bioavailability [See Clinical Pharmacology (12.3)]

Patient Population

Initial  Tacrolimus Capsules USP

Whole Blood Trough Concentration Range

Pediatric kidney transplant patients1

0.3 mg/kg/day capsules, divided in two doses, administered every 12 hours

Month 1-12: 5-20 ng/mL

Pediatric liver transplant patients2

0.15- 0.2 mg/kg/day capsules, divided in two doses, administered every 12 hours

Month 1-12: 5-20 ng/ mL

Pediatric heart transplant patients1

0.3 mg/kg/day3 capsules, divided in two doses, administered every 12 hours

Month 1-12: 5-20 ng/mL

Pediatric lung transplant

patients

0.3 mg/kg/day3, 4 capsules, divided in two doses, administered every 12 hours

Week 1-2: 5-20 ng/mL

Week 2 to Month 12: 10-15 ng/mL

In lung transplantation, cystic fibrosis patients may have a reduced bioavailability of orally administered tacrolimus resulting in the need for higher doses to achieve target tacrolimus trough concentrations. Monitor tacrolimus trough concentrations and adjust the dose accordingly.



For conversion of pediatric patients from Tacrolimus Granules to Tacrolimus Capsules USP or from Tacrolimus Capsules USP to Tacrolimus Granules, the total daily dose should remain the same. Following conversion from one formulation to another formulation of tacrolimus, therapeutic drug monitoring is recommended [see Dosage and Administration (2.6)].



Intravenous Injection:



If a patient is unable to receive an oral formulation, the patient may be started on Tacrolimus injection. For pediatric liver transplant patients, the intravenous dose is 0.03-0.05 mg/kg/day

2.2 Dosage Recommendation for Adult Kidney, Liver, Heart Or Lungtransplant Patients Capsules

Capsules



If patients are able to tolerate oral therapy, the recommended oral starting doses should be initiated. The initial dose of Tacrolimus Capsules USP should be administered no sooner than 6 hours after transplantation in the liver, heart or lung transplant patients. In kidney transplant patients, the initial dose of Tacrolimus Capsules USP may be administered within 24 hours of transplantation, but should be delayed until renal function has recovered.



The initial oral Tacrolimus Capsules USP dosage recommendations for adult patients with kidney, liver, heart or lung transplants and whole blood trough concentration range are shown in Table 1. Perform therapeutic drug monitoring (TDM) to ensure that patients are within the ranges listed in Table 1

Table 1. Summary of Initial Oral Tacrolimus Capsules USP Dosage Recommendations and Whole Blood Trough Concentration Range in Adults

1African-American patients may require higher doses compared to Caucasians (see Table 2)

2In a second smaller trial, the initial dose of tacrolimus was 0.15-0.2 mg/kg/day and observed tacrolimus concentrations were 6-16 ng/mL during month 1-3 and 5-12 ng/mL during month 4-12 [see Clinical Studies (14.1)]

3Patients with cystic fibrosis may require higher doses due to lower bioavailability [see Clinical Pharmacology (12.3)]

Patient Population

Tacrolimus Capsules USP1 Initial Oral Dosage

Whole Blood Trough Concentration Range

Kidney Transplant

With Azathioprine

0.2 mg/kg/day, divided in two doses, administered every 12 hours

Month 1-3: 7-20 ng/mL

Month 4-12: 5-15 ng/mL

With MMF/IL-2 receptor antagonist2

0.1 mg/kg/day, divided in two doses, administered every 12 hours

Month 1-12: 4-11 ng/mL

Liver Transplant

With corticosteroids only

0.10-0.15 mg/kg/day, divided in two doses, administered every 12 hours

Month 1-12: 5-20 ng/mL

Heart Transplant

With azathioprine or MMF

0.075 mg/kg/day, divided in two doses, administered every 12 hours

Month 1-3: 10-20 ng/mL

Month ≥ 4: 5-15 ng/mL

Lung Transplant

With azathioprine or MMF

0.075 mg/kg/day3, divided in two doses, administered every 12 hours

Month 1-3: 10-15 ng/mL

Month 4-12: 8-12 ng/mL

Dosage should be titrated based on clinical assessments of rejection and tolerability. Tacrolimus Capsules USP dosages lower than the recommended initial dosage may be sufficient as maintenance therapy. Adjunct therapy with adrenal corticosteroids is recommended early post-transplant.



The data in kidney transplant patients indicate that the African-American patients required a higher dose to attain comparable trough concentrations compared to Caucasian patients (Table 2) [see Use in Specific Populations (8.8) and Clinical Pharmacology (12.3)]

Table 2. Comparative Dose and Trough Concentrations Based on Race
Time After Transplant

Caucasian n=114

African American

 n=56

Dose (mg/kg)

Trough Concentrations (ng/mL)

Dose (mg/kg)

Trough Concentrations (ng/mL)

Day 7

0.18

12.0

0.23

10.9

Month 1

0.17

12.8

0.26

12.9

Month 6

0.14

11.8

0.24

11.5

Month 12

0.13

10.1

0.19

11.0

In lung transplantation, cystic fibrosis patients may have a reduced bioavailability of orally administered tacrolimus resulting in the need for higher doses to achieve target tacrolimus trough concentrations. Monitor Tacrolimus trough concentrations and adjust the dose accordingly.



Intravenous Injection



Tacrolimus injection should be used only as a continuous intravenous infusion and should be discontinued as soon as the patient can tolerate oral administration. The first dose of Tacrolimus Capsules USP should be given 8-12 hours after discontinuing the intravenous infusion.



The recommended starting dose of Tacrolimus injection is 0.03-0.05 mg/kg/day in kidney or liver transplant, 0.01 mg/kg/day in heart transplant, and 0.01-0.03 mg/kg/day in lung transplant given as a continuous intravenous infusion. Adult patients should receive doses at the lower end of the dosing range. Concomitant adrenal corticosteroid therapy is recommended early post-transplantation.



The whole blood trough concentration range described in Table 1 pertain to oral administration of Tacrolimus Capsules USP only; while monitoring tacrolimus concentrations in patients receiving Tacrolimus injection as a continuous intravenous infusion may have some utility, the observed concentrations will not  represent  comparable exposures to those estimated by the trough concentrations observed in patients on oral therapy.



Anaphylactic reactions have occurred with injectables containing castor oil derivatives, such as Tacrolimus injection. Therefore, monitoring for signs and symptoms of anaphylaxis is recommended [see Warnings and Precautions (5.9)]

5.16 Thrombotic Microangiopathy (including Hemolytic Uremic Syndrome and Thrombotic Thrombocytopenic Purpura)

Cases of thrombotic microangiopathy (TMA), including hemolytic uremic syndrome (HUS) and thrombotic thrombocytopenic purpura (TTP), have been reported in patients treated with Tacrolimus Capsules USP. TMA may have a multifactorial etiology. Risk factors for TMA that can occur in transplant patients include, for example, severe infections, graft-versus-host disease (GVHD), Human Leukocyte Antigen (HLA) mismatch, the use of calcineurin inhibitors and mammalian target of rapamycin (mTOR) inhibitors. These risk factors may, either alone or combined, contribute to the risk of TMA.



In patients with signs and symptoms of TMA, consider tacrolimus as a risk factor. Concurrent use of tacrolimus and mTOR inhibitors may contribute to the risk of TMA.


Structured Label Content

Section 42229-5 (42229-5)

Tacrolimus Capsules USP



(ta-KROE-li-mus)



Read this Patient Information before you start taking Tacrolimus Capsules USP and each time you get a refill. There may be new information. This information does not take the place of talking with your healthcare provider about your medical condition or your treatment.



What is the most important information I should know about Tacrolimus Capsules USP?



Tacrolimus Capsules USP can cause serious side effects, including:

  • Increased risk of cancer. People who take Tacrolimus Capsules USP have an increased risk of getting some kinds of cancer, including skin and lymph gland cancer (lymphoma).
  • Increased risk of infection.Tacrolimus Capsules USP is a medicine that affects your immune system. Tacrolimus Capsules USP can lower the ability of your immune system to fight infections. Serious infections can happen in people receiving Tacrolimus Capsules USP that can cause death. Call your healthcare provider right away if you have any symptoms of an infection, including:
    • fever
    • muscle aches
    • sweats or chills
    • warm, red, or painful areas on your skin
    • cough or flu-like symptoms

What is Tacrolimus Capsules USP?

  • Tacrolimus Capsules USP is a prescription medicine used with other medicines to help prevent organ rejection in people who have had a kidney, liver, heart or lung transplant.
  • Tacrolimus Capsules USP are types of tacrolimus immediate-release drugs and they are not the same as tacrolimus extended-release tablets or tacrolimus extended-release capsules. Your healthcare provider should decide what medicine is right for you.

Who should not take Tacrolimus Capsules USP?



Do not take Tacrolimus Capsules USP if you:



 are allergic to tacrolimus or any of the ingredients in Tacrolimus Capsules USP. See the end of this leaflet for a complete list of ingredients in Tacrolimus Capsules USP.



What should I tell my healthcare provider before taking Tacrolimus Capsules USP?



Before taking Tacrolimus Capsules USP, tell your healthcare provider about all of your medical conditions, including if you:

  • plan to receive any live vaccines. People taking Tacrolimus Capsules USP should not receive live vaccines
  • have or have had liver, kidney, or heart problems.
  • are pregnant or plan to become pregnant. Tacrolimus Capsules USP can harm your unborn baby.
    • If you are able to become pregnant, you should use effective birth control before and during treatment with Tacrolimus Capsules USP. Talk to your healthcare provider before starting treatment with Tacrolimus Capsules USP about birth control methods that may be right for you.
    • Males who have female partners who are able to become pregnant should also use effective birth control before and during treatment with Tacrolimus Capsules USP. Talk to your healthcare provider before starting treatment with Tacrolimus Capsules USP about birth control methods that may be right for you.
    • There is a pregnancy registry for females who become pregnant and males who have fathered a pregnancy during treatment with Tacrolimus Capsules USP. The purpose of this registry is to collect information about the health of you and your baby. To enroll in this voluntary registry, call 1-877-955-6877 or go to https://www.transplantpregnancyregistry.org/
  • are breastfeeding or plan to breastfeed. Tacrolimus Capsules USP passes into your breast milk. You and your healthcare provider should decide if you will breastfeed while taking Tacrolimus Capsules USP.

Tell your healthcare provider about all the medicines you take, and when you start a new medicine or stop taking a medicine, including prescription and over-the-counter medicines, vitamins, natural, herbal or nutritional supplements.

Especially tell your healthcare provider if you take:

  • sirolimus (RAPAMUNE): You should not take Tacrolimus Capsules USP if you take sirolimus
  • cyclosporine (GENGRAF, NEORAL, and SANDIMMUNE)
  • medicines called aminoglycosides that are used to treat bacterial infections
  • ganciclovir (CYTOVENE IV, VALCYTE)
  • amphotericin B (ABELCET, AMBISOME)
  • cisplatin
  • antiviral medicines called nucleoside reverse transcriptase inhibitors
  • antiviral medicines called protease inhibitors
  • water pill (diuretic)
  • medicine to treat high blood pressure
  • nelfinavir (VIRACEPT)
  • telaprevir (INCIVEK)
  • boceprevir
  • ritonavir (KALETRA, NORVIR, TECHNIVIE, VIEKIRA PAK, VIEKIRA XR)
  • letermovir (PREVYMIS)
  • ketoconazole
  • itraconazole (ONMEL, SPORANOX)
  • voriconazole (VFEND)
  • caspofungin (CANCIDAS)
  • clarithromycin (BIAXIN, BIAXIN XL, PREVPAC)
  • rifampin (RIFADIN, RIFAMATE, RIFATER, RIMACTANE)
  • rifabutin (MYCOBUTIN)
  • amiodarone (NEXTERONE, PACERONE)
  • cannabidiol (EPIDIOLEX)

Ask your healthcare provider or pharmacist if you are not sure if you take any of the medicines listed above. Tacrolimus Capsules USP may affect the way other medicines work, and other medicines may affect how Tacrolimus Capsules USP works.

Know the medicines you take. Keep a list of your medicines and show it to your healthcare provider and pharmacist when you get a new medicine.

How should I take Tacrolimus Capsules USP?

  • Take Tacrolimus Capsules USP exactly as your healthcare provider tells you to take it.
  • Your healthcare provider will tell you how much Tacrolimus Capsules USP to take and when to take it.
  • Your healthcare provider may change your Tacrolimus Capsules USP dose if needed. Do not stop taking or change your dose of Tacrolimus Capsules USP without talking to your healthcare provider
  • Take Tacrolimus Capsules USP with or without food.
  • Take Tacrolimus Capsules USP the same way every day. For example, if you choose to take Tacrolimus Capsules USP with food, you should always take Tacrolimus Capsules USP with food.
  • Take Tacrolimus Capsules USP at the same time each day, 12 hours apart. For example, if you take your first dose at 7:00 a.m., you should take your second dose at 7:00 p.m.
  • Taking Tacrolimus Capsules USP at the same time each day helps to keep the amount of medicine in your body at a steady level.
  • If you take too much Tacrolimus Capsules USP, call your healthcare provider or go to the nearest hospital emergency room right away.

Tacrolimus Capsules USP:

  • Do notopen or crush Tacrolimus Capsules USP

What should I avoid while taking Tacrolimus Capsules USP?

  • While you take Tacrolimus Capsules USP you should not receive any live vaccines.
  • Limit the amount of time you spend in sunlight and avoid exposure to ultraviolet (UV) light, such as tanning machines. Wear protective clothing and use a sunscreen with a high sun protection factor (SPF).
  • Do not eat grapefruit or drink grapefruit juice during treatment with Tacrolimus Capsules USP.

What are the possible side effects of Tacrolimus Capsules USP?



Tacrolimus Capsules USP may cause serious side effects, including:

  • See "What is the most important information I should know about Tacrolimus Capsules USP?"
  • problems from medicine errors.People who take Tacrolimus Capsules USP have sometimes been given the wrong type of tacrolimus product. Tacrolimus extended-release medicines are not the same as Tacrolimus Capsules USP and cannot be substituted for each other. Check your Tacrolimus Capsules USP when you get a new prescription and before you take it to make sure you have received Tacrolimus Capsules USP.
  • Check with the pharmacist and call your healthcare provider if you think you were given the wrong medicine.
  • high blood sugar (diabetes). Your healthcare provider may do blood tests to check for diabetes while you take Tacrolimus Capsules USP. Call your healthcare provider right away if you have any symptoms of high blood sugar, including:
    • frequent urination
    • drowsiness
    • increased thirst or hunger
    • loss of appetite
    • blurred vision
    • fruity smell on your breath
    • confusion
    • nausea, vomiting, or stomach pain
  • kidney problems. Kidney problems are a serious and common side effect of Tacrolimus Capsules USP. Your healthcare provider may do blood tests to check your kidney function while you take Tacrolimus Capsules USP
  • nervous system problems. Nervous system problems are a serious and common side effect of Tacrolimus Capsules USP. Call your healthcare provider right away if you get any of these symptoms while taking Tacrolimus Capsules USP. These could be signs of a serious nervous system problem:
    • headache
    • changes in behavior
    • confusion
    • coma
    • seizures
    • tremors
    • changes in your vision
    • numbness and tingling
  • high levels of potassium in your blood.Your healthcare provider may do blood tests to check your potassium level while you take Tacrolimus Capsules USP
  • high blood pressure. High blood pressure is a serious and common side effect of Tacrolimus Capsules USP. Your healthcare provider will monitor your blood pressure while you take Tacrolimus Capsules USP and may prescribe blood pressure medicine for you, if needed. Your healthcare provider may instruct you to check your blood pressure at home
  • changes in the electrical activity of your heart (QT prolongation).
  • heart problems (myocardial hypertrophy). Tell your healthcare provider right away if you get any of these symptoms of heart problems while taking Tacrolimus Capsules USP:
    • shortness of breath
    • feel lightheaded
    • chest pain
    • feel faint
  • severe low red blood cell count (anemia).
  • blood clotting problems: Tell your healthcare provider right away if you have fever and bruising under the skin that may appear as red dots, with or without unexplained tiredness, confusion, yellowing of the skin or eyes, decreased urination. When taken with sirolimus or everolimus, the risk of developing these symptoms may increase.

The most common side effects of Tacrolimus Capsules USP in people who have received a kidney, liver, heart or lung transplant are:

  • infections in general, including cytomegalovirus (CMV) infection
  • swelling of the hands, legs, ankles, or feet
  • weakness
  • tremors(shaking of the body)
  • pain
  • constipation
  • high levels of fat in your blood
  • diarrhea
  • high levels of potassium in your blood
  • headache
  • low red blood cell count (anemia)
  • stomach pain
  • low white blood cell count
  • trouble sleeping
  • fever
  • nausea
  • numbness or tingling in your hands and feet
  • high blood sugar (diabetes)
  • inflammation of your airway (bronchitis)
  • low levels of magnesium in your blood
  • fluid around your heart
  • low levels of phosphate in your blood

Tell your healthcare provider if you have any side effect that bothers you or that does not go away.



These are not all the possible side effects of Tacrolimus Capsules USP. For more information, ask your healthcare provider or pharmacist.



Call your healthcare provider for medical advice about side effects. You may report side effects to FDA at 1-800-FDA- 1088.



How should I store Tacrolimus Capsules USP?



Tacrolimus Capsules USP

  • Store Tacrolimus Capsules USP at room temperature between 68°F to 77°F (20°C to 25°C).

Keep Tacrolimus Capsules USP and all medicines out of the reach of children.



General information about the safe and effective use of Tacrolimus Capsules USP.

  • Medicines are sometimes prescribed for purposes other than those listed in a Patient Information leaflet. Do not use Tacrolimus Capsules USP for a condition for which it was not prescribed. Do not give Tacrolimus Capsules USP to other people, even if they have the same symptoms that you have. It may harm them. You can ask your pharmacist or healthcare provider for information about Tacrolimus Capsules USP that is written for health professionals.
  • This Patient Information leaflet summarizes the most important information about Tacrolimus Capsules USP. If you would like more information, talk to your healthcare provider.

What are the ingredients in Tacrolimus Capsules USP?



Active ingredient: Tacrolimus USP



Inactive ingredients:



Tacrolimus Capsules USP: croscarmellose sodium, hypromellose, lactose anhydrous, and magnesium stearate. The 0.5 mg capsule shell contains ferric oxide, gelatin, and titanium dioxide. The 1 mg capsule shell contains gelatin and titanium dioxide. The 5 mg capsule shell contains ferric oxide, gelatin, and titanium dioxide.



All other trademarks and registered trademarks are the property of their respective owners.



For more information, call Jubilant Cadista Pharmaceuticals Inc. at 800-313-4623 or www.cadista.com or FDA at 1-800-FDA-1088.



This Patient Information has been approved by the U.S. Food and Drug Administration.



HP/Drugs/MB/05/203



Marketed by:



Jubilant Cadista Pharmaceuticals Inc.



Yardley, PA 19067, USA.



Issued: 11/2024



Item Code: PPIT105

10 Overdosage (10 OVERDOSAGE)

Limited overdosage experience is available. Acute overdosages of up to 30 times the intended dose have been reported. Almost all cases have been asymptomatic and all patients recovered with no sequelae. Acute overdosage was sometimes followed by adverse reactions consistent with those reported with the use of Tacrolimus Capsules USP [See Adverse Reactions (6.1, 6.2)] including tremors, abnormal renal function, hypertension, and peripheral edema; in one case of acute overdosage, transient urticaria and lethargy were observed. Based on the poor aqueous solubility and extensive erythrocyte and plasma protein binding, it is anticipated that tacrolimus is not dialyzable to any significant extent; there is no experience with charcoal hemoperfusion. The oral use of activated charcoal has been reported in treating acute overdoses, but experience has not been sufficient to warrant recommending its use. General supportive measures and treatment of specific symptoms should be followed in all cases of overdosage.

15 References (15 REFERENCES)

1. "OSHA Hazardous Drugs." OSHA http://www.osha.gov/SLTC/hazardousdrugs/index.html

8.1 Pregnancy

Pregnancy Exposure Registry



There is a pregnancy registry that monitors pregnancy outcomes in women exposed to Tacrolimus Capsules USP during pregnancy. The Transplantation Pregnancy Registry International (TPRI) is a voluntary pregnancy exposure registry that monitors outcomes of pregnancy in female transplant recipients and those fathered by male transplant recipients exposed to immunosuppressants including tacrolimus. Healthcare providers are encouraged to advise their patients to register by contacting the Transplantation Pregnancy Registry International at 1-877-955-6877 or https://www.transplantpregnancyregistry.org/.



Risk Summary



Tacrolimus can cause fetal harm when administered to a pregnant woman. Data from postmarketing surveillance and TPRI suggest that infants exposed to tacrolimus in utero are at a risk of prematurity, birth defects/congenital anomalies, low birth weight, and fetal distress [see Human Data]. Advise pregnant women of the potential risk to the fetus.



Administration of oral tacrolimus to pregnant rabbits and rats throughout the period of organogenesis was associated with maternal toxicity/lethality, and an increased incidence of abortion, malformation and embryofetal death at clinically relevant doses (0.5 to 6.9 times the recommended clinical dose range [0.2 to 0.075 mg/kg/day], on a mg/m2 basis). Administration of oral tacrolimus to pregnant rats after organogenesis and throughout lactation produced maternal toxicity, effects on parturition, reduced pup viability and reduced pup weight at clinically relevant doses (0.8 to 6.9 times the recommended clinical dose range, on a mg/m2 basis). Administration of oral tacrolimus to rats prior to mating, and throughout gestation and lactation produced maternal toxicity/lethality, marked effects on parturition, embryofetal loss, malformations, and reduced pup viability at clinically relevant doses (0.8 to 6.9 times the recommended clinical dose range, on a mg/m2 basis). Interventricular septal defects, hydronephrosis, craniofacial malformations and skeletal effects were observed in offspring that died [see Animal Data]



The background risk of major birth defects and miscarriage in the indicated population is unknown. In the U.S. general population, the estimated background risk of major birth defects and miscarriage in clinically recognized pregnancies is 2 to 4% and 15 to 20%, respectively.



Clinical Considerations



Disease-Associated Maternal and/or Embryo-Fetal Risk



Risks during pregnancy are increased in organ transplant recipients.



The risk of premature delivery following transplantation is increased. Pre-existing hypertension and diabetes confer additional risk to the pregnancy of an organ transplant recipient. Pre-gestational and gestational diabetes are associated with birth defects/congenital anomalies, hypertension, low birth weight and fetal death.



Cholestasis of pregnancy (COP) was reported in 7% of liver or liver-kidney (LK) transplant recipients, compared with approximately 1% of pregnancies in the general population. However, COP symptoms resolved postpartum and no long  term effects on the offspring were reported.



Maternal Adverse Reactions



Tacrolimus may increase hyperglycemia in pregnant women with diabetes (including gestational diabetes). Monitor maternal blood glucose levels regularly [see Warnings and Precautions (5.4)]



Tacrolimus may exacerbate hypertension in pregnant women and increase pre-eclampsia. Monitor and control blood pressure [see Warnings and Precautions (5.7, 5.8)]



Fetal/Neonatal Adverse Reactions



Renal dysfunction, transient neonatal hyperkalemia and low birth weight have been reported at the time of delivery in infants of mothers taking Tacrolimus.



Labor or Delivery



There is an increased risk for premature delivery (< 37 weeks) following transplantation and maternal exposure to Tacrolimus



Data

Human Data



There are no adequate and well controlled studies on the effects of tacrolimus in human pregnancy. Safety data from the TPRI and postmarketing surveillance suggest infants exposed to tacrolimus in utero have an increased risk for miscarriage, pre-term delivery (< 37 weeks), low birth weight (< 2500 g), birth defects/congenital anomalies and fetal distress.



TPRI reported 450 and 241 total pregnancies in kidney and liver transplant recipients exposed to tacrolimus, respectively. The TPRI pregnancy outcomes are summarized in Table 16. In the table below, the number of recipients exposed to tacrolimus concomitantly with mycophenolic acid (MPA) products during the preconception and first  trimester periods is high (27% and 29% for renal and liver transplant recipients, respectively). Because MPA products may also cause birth defects, the birth defect rate  may be confounded and this should be taken into consideration when reviewing the data, particularly for birth defects. Birth defects observed include cardiac malformations, craniofacial malformations, renal/urogenital disorders, skeletal abnormalities, neurological abnormalities and multiple malformations.



Table 16. TPRI Reported Pregnancy Outcomes in Transplant Recipients with Exposure to Tacrolimus

1 Includes multiple births and terminations.

2 Birth defect rate confounded by concomitant MPA products exposure in over half of offspring with birth defects.

Kidney

Liver

Pregnancy Outcomes1

462

253

Miscarriage

24.50%

25%

Live births

331

180

Pre-term delivery (< 37 weeks)

49%

42%

Low birth weight (< 2500 g)

42%

30%

Birth defects

8%2

5%

Additional information reported by TPRI in pregnant transplant patients receiving tacrolimus included diabetes during pregnancy in 9% of kidney recipients  and 13% of  liver recipients and hypertension during pregnancy in 53% of kidney recipients and 16.2% of liver recipients.

Animal Data

Administration of oral tacrolimus to pregnant rabbits throughout organogenesis produced maternal toxicity and abortion at 0.32 mg/kg (0.5 to 1.4 times the recommended clinical dose range [0.2 to 0.075 mg/kg/day], on a mg/m2 basis). At 1 mg/kg (1.6 to 4.3 times the recommended clinical dose range), embryofetal lethality and fetal  malformations (ventricular hypoplasia, interventricular septal defect, bulbous aortic arch, stenosis of ductus arteriosus, omphalocele, gallbladder agenesis, skeletal anomalies) were observed. Administration of 3.2 mg/kg oral tacrolimus (2.6 to 6.9 times the recommended clinical dose range) to pregnant rats throughout organogenesis produced maternal toxicity/lethality, embryofetal lethality and decreased fetal body weight in the offspring of C-sectioned dams; and decreased pup viability and interventricular septal defect in offspring of dams that delivered

In a peri-/postnatal development study, oral administration of tacrolimus to pregnant rats during late gestation (after organogenesis) and throughout lactation produced maternal toxicity, effects on parturition, and reduced pup viability at 3.2 mg/kg (2.6 to 6.9 times the recommended clinical dose range); among these pups that died early, an increased incidence of kidney hydronephrosis was observed. Reduced pup weight was observed at 1.0 mg/kg (0.8 to 2.2 times the recommended clinical dose range).

Administration of oral tacrolimus to rats prior to mating, and throughout gestation and lactation produced maternal toxicity/lethality, embryofetal loss and reduced pup viability at 3.2 mg/kg (2.6 to 6.9 times the recommended clinical dose range). Interventricular septal defects, hydronephrosis, craniofacial malformations and skeletal effects were observed in offspring that died. Effects on parturition (incomplete delivery of nonviable pups) were observed at 1 mg/kg (0.8 to 2.2 times the recommended clinical dose range) [see Nonclinical Toxicology (13.1)]

8.2 Lactation

Risk Summary



Controlled lactation studies have not been conducted in humans; however tacrolimus has been reported to be present in human milk. The effects of tacrolimus on the breastfed infant, or on milk production have not been assessed.  Tacrolimus is excreted in rat milk and in peri-/postnatal rat studies, exposure to tacrolimus during  the  postnatal period was associated with developmental toxicity in the offspring at clinically relevant doses [see Use in Specific Populations(8.1), Nonclinical Toxicology (13.1)]



The developmental and health benefits of breastfeeding should be considered along with the mother's clinical need for tacrolimus and any potential adverse effects on the breastfed child from tacrolimus or from the underlying maternal condition.

11 Description (11 DESCRIPTION)

Tacrolimus, previously known as FK506, is the active ingredient in Tacrolimus Capsules USP. Tacrolimus is a calcineurin-inhibitor immunosuppressant produced by Streptomyces tsukubaensis. Chemically, tacrolimus is designated as [3S [3R*[E(1S*, 3S*,4S*)],4S*,5R*,8S*,9E,12R*,14R*,15S*,16R*,18S*,19S*,26aR*]] 5,6,8,11,12,13,14,15,16,17,18,19,24,25,26,26a-hexadecahydro-5,19-dihydroxy-3-[2-(4-hydroxy-3-methoxycyclohexyl)-1methylethenyl]-14,16-dimethoxy-4,10,12,18-tetramethyl-8-(2-propenyl)-15,19-epoxy-3H-pyrido[2,1-c][1,4]oxaazacyclotricosine-1,7,20,21(4H,23H)-tetrone, monohydrate.

The chemical structure of tacrolimus USP is:

Tacrolimus USP has an empirical formula of C44H69NO12H2O and a formula weight of 822.03. Tacrolimus appears as white to off white powder. It is soluble in acetone, chloroform, ethyl acetate and insoluble in water. Tacrolimus Capsules USP is available for oral administration as capsules (tacrolimus capsules) containing the equivalent of 0.5 mg, 1 mg or 5 mg of tacrolimus USP. Inactive ingredients include croscarmellose sodium NF, hypromellose USP, lactose anhydrous USNF, and magnesium stearate USNF. The 0.5 mg capsule shell contains ferric oxide, gelatin and titanium dioxide. The 1 mg capsule shell contains gelatin and titanium dioxide. The 5 mg capsule shell contains ferric oxide, gelatin, and titanium dioxide

7.3 Cannabidiol

The blood levels of tacrolimus may increase upon concomitant use with cannabidiol. When cannabidiol and Tacrolimus Capsules USP are co-administered, closely monitor for an increase in tacrolimus blood levels and for adverse reactions suggestive of tacrolimus toxicity. A dose reduction of Tacrolimus Capsules USP should be considered as needed when Tacrolimus Capsules USP is co-administered with cannabidiol [see Dosage and Administration ( 2.2 , 2.6 ) and Warnings and Precautions (5.17 )].

5.7 Hyperkalemia

Hyperkalemia has been reported with Tacrolimus Capsules USP use. Serum potassium levels should be monitored. Careful consideration should be given prior to use of other agents also associated with hyperkalemia (e.g., potassium-sparing diuretics, ACE inhibitors, angiotensin receptor blockers) during tacrolimus therapy [see Adverse Reactions (6.1)]. Monitor serum potassium levels periodically during treatment.

5.8 Hypertension

Hypertension is a common adverse effect of Tacrolimus Capsules USP therapy and may require antihypertensive therapy [see Adverse Reactions (6.1)]. The control of blood pressure can be accomplished with any of the common antihypertensive  agents, though careful consideration should be given prior to use of antihypertensive agents associated with  hyperkalemia (e.g., potassium-sparing diuretics, ACE inhibitors, angiotensin receptor blockers) [see Warnings and Precautions (5.7)].



Calcium-channel blocking agents may increase tacrolimus blood concentrations and therefore require dosage reduction of Tacrolimus [see Drug Interactions (7.2)]

17.7 Hyperkalemia

Inform patients that Tacrolimus Capsules USP can cause hyperkalemia. Monitoring of potassium levels may be necessary, especially with concomitant use of other drugs known to cause hyperkalemia [see Warnings and Precautions (5.7)].

17.8 Hypertension

Inform patients that Tacrolimus Capsules USP can cause high blood pressure which may require treatment with anti-hypertensive therapy. Advise patients to monitor their blood pressure [see Warnings and Precautions 5.8)]

5.6 Neurotoxicity

Tacrolimus Capsules USP may cause a spectrum of neurotoxicities. The most severe neurotoxicities include posterior reversible encephalopathy syndrome (PRES), delirium, seizure and coma; others include tremors, paresthesias, headache, mental status changes, and changes in motor and sensory functions [see Adverse Reactions (6.1, 6.2)]. As symptoms may be associated with tacrolimus whole blood trough concentrations at or above the recommended range, monitor for neurologic symptoms and consider dosage reduction or discontinuation of Tacrolimus Capsules USP if neurotoxicity occurs

8.4 Pediatric Use

Safety and effectiveness have been established in pediatric liver, kidney, heart, and lung transplant patients.



Liver transplantation:



Safety and efficacy using tacrolimus Granules in pediatric de novo liver transplant patients less than 16 years of age are based on evidence from active controlled studies that included 56 pediatric patients, 31 of which received tacrolimus and supported by two pharmacokinetic and safety studies in 151 children who received tacrolimus. Additionally, 122 pediatric patients were studied in an uncontrolled trial of tacrolimus in living related donor liver transplantation. Dose adjustments were made in the PK studies based on clinical status and whole blood concentrations. Pediatric patients generally required higher doses of tacrolimus to maintain blood trough concentrations of tacrolimus similar to adult patients [see Dosage and Administration (2.3), Adverse Reactions (6.1), Clinical Pharmacology (12.3) and Clinical Studies (14.2)]



Kidney and Heart Transplantation:



Use of Tacrolimus capsules and tacrolimus Granules in pediatric kidney and heart transplant patients is supported by adequate and well-controlled studies and pharmacokinetic data in adult kidney and heart transplant patients with additional pharmacokinetic data in pediatric kidney and heart transplant patients and safety data in pediatric liver transplant patients [see Dosage and Administration (2.3) and Clinical Pharmacology (12.3)].



Lung Transplantation



The use of Tacrolimus Capsules and Tacrolimus Granules in pediatric lung transplantation is supported by the experience in the U.S. Scientific Registry of Transplant Recipients (SRTR) including 450 pediatric patients receiving tacrolimus immediate-release products in combination with mycophenolate mofetil and 72 pediatric patients receiving tacrolimus immediate-release products in combination with azathioprine between 1999-2017.

8.5 Geriatric Use

Clinical trials of Tacrolimus Capsules USP did not include sufficient numbers of subjects aged 65 and over to determine whether they respond differently from younger subjects. Other reported clinical experience has not identified differences in responses between the elderly and younger patients. In general, dose selection for an elderly patient should be cautious, usually starting at the low end of the dosing range, reflecting the greater frequency of decreased hepatic, renal, or cardiac function, and of concomitant disease or other drug therapy.

17.6 Neurotoxicity

Inform patients that they are at risk of developing adverse neurologic reactions including seizure, altered mental status, and tremor. Advise patients to contact their physician should they develop vision changes, deliriums, or tremors [see Warnings and Precautions (5.6)]

5.14 Immunizations

Whenever possible, administer the complete complement of vaccines before transplantation and treatment with Tacrolimus Capsules USP.

The use of live vaccines should be avoided during treatment with tacrolimus; examples include (not limited to) the following: intranasal influenza, measles, mumps, rubella, oral polio, BCG, yellow fever, varicella, and TY21a typhoid vaccines.

Inactivated vaccines noted to be safe for administration after transplantation may not be sufficiently immunogenic during treatment with tacrolimus.

17.1 Administration

Advise the patient or caregiver to:

  • Inspect their Tacrolimus Capsules USP medicine when they receive a new prescription and before taking it. If the appearance of the capsule is not the same as usual, or if dosage instructions have changed, advise patients to contact their healthcare provider as soon as possible to make sure that they have the right medicine. Other tacrolimus products cannot be substituted for Tacrolimus Capsules USP.
  • Take Tacrolimus Capsules USP at the same 12-hour intervals every day to achieve consistent blood concentrations.
  • Take Tacrolimus Capsules USP consistently either with or without food because the presence and composition of food decreases the bioavailability of Tacrolimus Capsules USP.
  • Not to eat grapefruit or drink grapefruit juice in combination with Tacrolimus Capsules USP [see Drug Interactions (7.2)].
17.13 Immunizations

Inform patients that Tacrolimus Capsules USP can interfere with the usual response to immunizations and that they should avoid live vaccines [see Warnings and Precautions (5.14)]



All other trademarks and registered trademarks are the property of their respective owners.



Rx only



HP/Drugs/MB/05/203



Marketed by:



Jubilant Cadista Pharmaceuticals Inc.,



Yardley, PA 19067, USA.



Item code: PPIT104



Issued: 11/2024

17.5 Nephrotoxicity

Inform patients that Tacrolimus Capsules USP can have toxic effects on the kidney that should be monitored. Advise patients to attend all visits and complete all blood tests ordered by their medical team [see Warnings and Precautions (5.5)].

4 Contraindications (4 CONTRAINDICATIONS)

Tacrolimus Capsules USP are contraindicated in patients with a hypersensitivity to tacrolimus. Tacrolimus injection is contraindicated in patients with a hypersensitivity to HCO-60 (polyoxyl 60 hydrogenated castor oil). Hypersensitivity symptoms reported include dyspnea, rash, pruritus, and acute respiratory distress syndrome [see Adverse Reactions (6)]

6 Adverse Reactions (6 ADVERSE REACTIONS)

The following serious and otherwise important adverse drug reactions are discussed in greater detail in other sections of labeling:

  • Lymphoma and Other Malignancies [see Warnings and Precautions (5.1)]
  • Serious Infections [see Warnings and Precautions (5.2)]
  • New Onset Diabetes After Transplant [see Warnings and Precautions (5.4)]
  • Nephrotoxicity [see Warnings and Precautions (5.5)]
  • Neurotoxicity [see Warnings and Precautions (5.6)]
  • Hyperkalemia [see Warnings and Precautions (5.7)]
  • Hypertension [see Warnings and Precautions (5.8)]
  • Anaphylactic Reactions with Tacrolimus Injection[see Warnings and Precautions (5.9)]
  • Myocardial Hypertrophy [see Warnings and Precautions (5.13)]
  • Pure Red Cell Aplasia[see Warnings and Precautions (5.15)]
  • Thrombotic Microangiopathy, Including Hemolytic Uremic Syndrome and Thrombotic Thrombocytopenic Purpura [see Warnings and Precautions ( 5.16 )]
7 Drug Interactions (7 DRUG INTERACTIONS)
  • Mycophenolic Acid Products: Can increase MPA exposure after crossover from cyclosporine to tacrolimus; monitor for MPA-related adverse reactions and adjust MMF or MPA-dose as needed. (7.1)
  • Nelfinavir and Grapefruit Juice: Increased tacrolimus concentrations via CYP3A inhibition; avoid concomitant use. (7.2)
  • CYP3A Inhibitors: Increased tacrolimus concentrations; monitor concentrations and adjust tacrolimus dose as needed. (5.11,7.2)
  • CYP3A4 Inducers: Decreased tacrolimus concentrations; monitor concentrations and adjust tacrolimus dose as needed. (5.11,7.2)
  • Therapeutic drug monitoring and dose reduction for tacrolimus should be considered when tacrolimus is co-administered with cannabidiol (5.17, 7.3).
5.12 Qt Prolongation (5.12 QT Prolongation)

Tacrolimus may prolong the QT/QTc interval and may cause Torsade de Pointes. Avoid tacrolimus in patients with congenital long QT syndrome. In patients with congestive heart failure, bradyarrhythmias, those taking certain antiarrhythmic medications or other medicinal products that lead to QT prolongation, and those with electrolyte disturbances such as hypokalemia, hypocalcemia, or hypomagnesemia, consider obtaining electrocardiograms and monitoring electrolytes (magnesium, potassium, calcium) periodically during treatment



When co-administering tacrolimus with other substrates and/or inhibitors of CYP3A4 that also have the potential to prolong the QT interval, a reduction in tacrolimus dose, frequent monitoring of tacrolimus whole blood concentrations, and monitoring for QT prolongation is recommended. Use of tacrolimus with amiodarone has been reported to result in increased tacrolimus whole blood concentrations with or without concurrent QT prolongation [see Drug Interactions (7.2)]

12.3 Pharmacokinetics

Tacrolimus activity is primarily due to the parent drug. The pharmacokinetic parameters (mean ± S.D.) of tacrolimus have been determined following intravenous (IV) and/or oral (PO) administration in healthy volunteers, and in kidney transplant, liver transplant, and heart transplant patients (Table 17)

Caption: Table 17. Pharmacokinetics Parameters (mean ± S.D.) of Tacrolimus in Healthy Volunteers and Patients

1.          Not applicable

2.          AUC0-inf

3.          Not available

4.          AUC0-t

5.          Determined after the first dose

6.          Median [range]

7.          AUC0-12

Population

N

          Route (Dose)

Parameters

Cmax (ng/mL)

Tmax (hr)

AUC (ng•hr/mL)

t1/2 (hr)

CI (L/hr/kg)

V (L/kg)

Healthy Volunteers

8

IV (0.025 mg/kg/4 hr)

1

1

6522 ± 156

34.2 ± 7.7

0.040 ± 0.009

1.91 ± 0.31

30

PO (5 mg) (granules)

35.6 ± 10.9

1.3 ± 0.5

3202 ± 164

32.1 ± 5.9

3

3

PO (5 mg) (capsules)

28.8 ± 8.9

1.5 ± 0.7

2662 ± 95

32.3 ± 8.8

3

3

Kidney Transplant Patients

26

IV (0.02 mg/kg/12 hr)

1

1

2942 ± 262

18.8 ± 16.7

0.083 ± 0.05

1.41 ± 0.66

PO (0.2 mg/kg/day)

19.2 ± 10.3

3

2032 ± 42

3

3

3

PO (0.3 mg/kg/day)

24.2 ± 15.8

1.5

288 2 ± 93

3

3

3

Liver Transplant Patients

17

IV (0.05 mg/kg/12 hr)

1

1

3300 2 ± 2130

11.7 ± 3.9

0.053 ± 0.017

0.85 ± .30

PO (0.3 mg/kg/day)

68.5 ± 30.0

2.3 ± 1.5

519 2 ± 179

3

3

3

Heart Transplant Patients

11

IV (0.01 mg/kg/day as a continuous infusion)

1

1

9544 ± 334

23.6 ± 9.22

0.051 ± 0.015

3

11

PO (0.075 mg/kg/day)5

14.7 ± 7.79

2.1 [0.5-6.0] 6

82.7 7 ± 63.2

1

3

3

14

PO (0.15 mg/kg/day)5

24.5 ± 13.7

1.5 [0.4-4.0] 6

1427 ± 116

1

3

3

Due to intersubject variability in tacrolimus pharmacokinetics, individualization of dosing regimen is necessary for optimal therapy [see Dosage and Administration (2.6)]. Pharmacokinetic data indicate that whole blood concentrations rather than plasma concentrations serve as the more appropriate sampling compartment to describe tacrolimus pharmacokinetics



Absorption



Absorption of tacrolimus from the gastrointestinal tract after oral administration is incomplete and variable. The absolute bioavailability of tacrolimus was 17 ± 10% in adult kidney transplant patients (N = 26), 22 ± 6% in adult liver transplant patients (N = 17), 23 ± 9% in adult heart transplant patients (N = 11) and 18 ± 5% in healthy volunteers (N = 16).



A single dose trial conducted in 32 healthy volunteers established the bioequivalence of the 1 mg and 5 mg capsules. Another single dose trial in 32 healthy volunteers established the bioequivalence of the 0.5 mg and 1 mg capsules. Tacrolimus maximum blood concentrations (Cmax) and area under the curve (AUC) appeared to increase in a dose- proportional fashion in 18 fasted healthy volunteers receiving a single oral dose of 3, 7, and 10 mg. In 18 kidney transplant patients, tacrolimus trough concentrations from 3 to 30 ng/mL measured at 10-12 hours post-dose (Cmin) correlated well with the AUC (correlation coefficient 0.93). In 24 liver transplant patients over a concentration range of 10 to 60 ng/mL, the correlation coefficient was 0.94. In 25 heart transplant patients over a concentration range of 2 to 24 ng/mL, the correlation coefficient was 0.89 after an oral dose of 0.075 or 0.15 mg/kg/day at steady-state.



In a healthy volunteer adult study, the systemic exposure to tacrolimus (AUC) for tacrolimus Granules was approximately 16% higher than that for tacrolimus capsules when administered as single doses. If pediatric patients are converted between formulations, therapeutic drug monitoring must be performed and dose adjustments made to ensure that systemic exposure to tacrolimus is maintained.



Food Effects



The rate and extent of tacrolimus absorption were greatest under fasted conditions. The presence and composition of food decreased both the rate and extent of tacrolimus absorption when administered to 15 healthy volunteers.



The effect was most pronounced with a high-fat meal (848 kcal, 46% fat): mean AUC and Cmax were decreased 37% and 77%, respectively; Tmax was lengthened 5-fold. A high-carbohydrate meal (668 kcal, 85% carbohydrate) decreased mean AUC and mean Cmax by 28% and 65%, respectively



In healthy volunteers (N = 16), the time of the meal also affected tacrolimus bioavailability. When given immediately following the meal, mean Cmax was reduced 71%, and mean AUC was reduced 39%, relative to the fasted condition. When administered 1.5 hours following the meal, mean Cmax was reduced 63%, and mean AUC was reduced 39%, relative to the fasted condition.



In 11 liver transplant patients, tacrolimus administered 15 minutes after a high fat (400 kcal, 34% fat) breakfast, resulted in decreased AUC (27 ± 18%) and Cmax (50 ± 19%), as compared to a fasted state.



Tacrolimus Capsules USP should be taken consistently every day either with or without food because the presence and composition of food decreases the bioavailability of tacrolimus [see Dosage and Administration (2.1)].



Distribution



The plasma protein binding of tacrolimus is approximately 99% and is independent of concentration over a range of 5-50 ng/mL. Tacrolimus is bound mainly to albumin and alpha-1-acid glycoprotein, and has a high level of association with erythrocytes. The distribution of tacrolimus between whole blood and plasma depends on several factors, such as hematocrit, temperature at the time of plasma separation, drug concentration, and plasma protein concentration. In a U.S. trial, the ratio of whole blood concentration to plasma concentration averaged 35 (range 12 to 67).



Elimination



Metabolism



Tacrolimus is extensively metabolized by the mixed-function oxidase system, primarily the cytochrome P-450 system (CYP3A4 and CYP3A5). A metabolic pathway leading to the formation of 8 possible metabolites has been proposed. Demethylation and hydroxylation were identified as the primary mechanisms of biotransformation in vitro. The major metabolite identified in incubations with human liver microsomes is 13-demethyl tacrolimus. In in vitro studies, a 31-demethyl metabolite has been reported to have the same activity as tacrolimus.



The mean clearance following IV administration of tacrolimus is 0.040, 0.083, and 0.053, and 0.051 L/hr/kg in healthy volunteers, adult kidney transplant patients, adult liver transplant patients, and adult heart transplant patients, respectively. In man, less than 1% of the dose administered is excreted unchanged in urine.



In a mass balance study of IV-administered radiolabeled tacrolimus to 6 healthy volunteers, the mean recovery of radiolabel was 77.8 ± 12.7%. Fecal elimination accounted for 92.4 ± 1.0% and the elimination half-life based on radioactivity was 48.1 ± 15.9 hours whereas it was 43.5 ± 11.6 hours based on tacrolimus concentrations. The mean clearance of radiolabel was 0.029 ± 0.015 L/hr/kg and clearance of tacrolimus was 0.029 ± 0.009 L/hr/kg. When administered PO, the mean recovery of the radiolabel was 94.9 ± 30.7%. Fecal elimination accounted for 92.6 ± 30.7%, urinary elimination accounted for 2.3 ± 1.1% and the elimination half-life based on radioactivity was 31.9 ± 10.5 hours whereas it was 48.4 ± 12.3 hours based on tacrolimus concentrations. The mean clearance of radiolabel was 0.226 ± 0.116 L/hr/kg and clearance of tacrolimus 0.172 ± 0.088 L/hr/kg.



Specific Populations



Pediatric Patients



Tacrolimus Capsules USP Pharmacokinetics in Pediatric Patients



Pharmacokinetics of tacrolimus have been studied in liver transplantation patients, 0.7 to 13.2 years of age. Following IV administration of a 0.037 mg/kg/day dose to 12 pediatric patients, mean terminal half-life, volume of distribution and clearance were 11.5 ± 3.8 hours, 2.6 ± 2.1 L/kg and 0.138 ± 0.071 L/hr/kg, respectively. Following oral administration to 9 patients, mean AUC and Cmax were 337 ± 167 ng·hr/mL and 48.4 ± 27.9 ng/mL, respectively. The absolute bioavailability was 31 ± 24%.



Pharmacokinetics of tacrolimus have also been studied in kidney transplantation patients, 8.2 ± 2.4 years of age. Following IV infusion of a 0.06 mg/kg/day to 12 pediatric patients (8 male and 4 female), mean terminal half-life and clearance were 10.2 ± 5.0 hours and 0.12 ± 0.04 L/hr/kg, respectively. Following oral administration to the same patients, mean AUC and Cmax were 181 ± 65 ng·hr/mL and 30 ± 11 ng/mL, respectively. The absolute bioavailability was 19 ± 14%.



Whole blood trough concentrations from 31 patients less than 12 years old showed that pediatric patients needed higher doses than adults to achieve similar tacrolimus trough concentrations [see Dosage and Administration (2.3)].



Tacrolimus Granules Pharmacokinetics in Pediatric Patients



A multicenter, open-label, single arm, pharmacokinetic study (OPTION, NCT01371331) was conducted using tacrolimus granules for oral suspension in pediatric patients undergoing de novo liver, kidney, or heart transplant. After an initial 24  hour continuous IV infusion of tacrolimus (0.025 mg/kg/hour) for 12 hours to 4 days, oral Tacrolimus Granules were dosed at 0.3 mg/kg/day in divided doses twice daily. Tacrolimus whole blood trough concentrations ranged from 5-15 ng/mL for the first month post-transplant, and 5-10 ng/mL thereafter. Two pharmacokinetic (PK) profiles, AUC, Cmax, Tmax and Ctrough, were taken after the first oral dose (Day 1) and at steady state (Day 7). Subsequent oral doses of Tacrolimus Granules were adjusted based on clinical evidence of efficacy, the whole-blood trough levels, and/or occurrence of adverse events. Of 52 patients enrolled, thirty-eight (38) had an evaluable PK profile. The mean pediatric age was 6.1 years for heart transplant, 1.1 years for liver transplant and 3.6 years for kidney transplant. Summary results of PK parameters are presented in Table 18



Caption: Table 18. Summary of Whole Blood PK Parameters of Tacrolimus after Administration of Tacrolimus Granules in Pediatric Patients

Population

N (age range)

Parameters

AUCtau [hr*ng/mL]

mean ± SD

Cmax [ng/mL]

mean ± SD

Tmax [hr]

mean ± S D

Ctrough [ng/mL]

mean ± SD

Heart Transplant Patients

12 (0.58-13 years)

Day 1

Day 7

224.13 ± 114.30

165.17 ± 39.12

45.61 ± 19.55

32.69 ± 9.78

2.95 ± 4.33

0.84 ± 0.44

12.60 ± 13.40

7.57 ± 1.80

Liver Transplant Patients

14 (0.33-12 years)

Day 1

Day 7

210.56 ± 84.01

195.08 ± 94.63

25.11 ± 10.78

30.52 ± 19.35

2.73 ± 1.84

1.71 ± 1.12

13.41 ± 7.11

9.71 ± 4.03

Kidney Transplant Patients

12 (2.42-11 years)

Day 1

Day 7

97.40 ± 36.77

208.32 ± 68.75

18.04 ± 8.10

36.63 ± 13.97

1.78 ± 0.88

1.09 ± 0.61

3.54 ± 1.45

8.92 ± 3.59

Renal and Hepatic Impairment Patients



The mean pharmacokinetic parameters for tacrolimus following single administrations to adult patients with renal and hepatic impairment are given in Table 19.

Table 19. Pharmacokinetics in Renal and Hepatic Impaired Adult Patients

1 corrected for bioavailability

2 1 patient did not receive the PO dose

Population (No. of Patients)

Dose

AUC0-t (ng-hr/mL)

t1/2 (hr)

V (L/kg)

CI (L/hr/kg)

Renal Impairment (n=12)

0.02 mg/kg/4hr IV

393±123 (t=60 hr)

26.3±9.2

1.07±0.20

0.038±0.014

Mild Hepatic Impairment (n=6)

0.02 mg/kg/4hr IV

367±107 (t=72 hr)

60.6±43.8 Range: 27.8-141

3.1±1.6

0.042±0.02

7.7 mg PO

488±320 (t=72 hr)

66.1±44.8 Range: 29.5-138

3.7±4.71

0.034±0.0191

Severe Hepatic Impairment (n=6, IV)

0.02 mg/kg/4hr IV (n=2)

762±204 (t=120hr)

198±158 Range: 81-436

3.9±1.0

0.017±0.013

0.01 mg/kg/8hr IV (n=4)

289±117 (t=144 hr)

(n=5, PO)2

8 mg PO (n=1)

658 (t=120 hr)

119±35 Range: 85-178

3.1±3.41

0.016±0.0111

5 mg PO (n=4)

533±156 (t=144 hr)

4 mg PO (n=1)

Patients with Renal Impairment



Tacrolimus pharmacokinetics following a single IV administration were determined in 12 patients (7 not on dialysis and 5 on dialysis, serum creatinine of 3.9 ± 1.6 and 12.0 ± 2.4 mg/dL, respectively) prior to their kidney transplant. The pharmacokinetic parameters obtained were similar for both groups. The mean clearance of tacrolimus in patients with renal dysfunction was similar to that in normal volunteers (Table 19) [see Dosage and Administration (2.2) and Use in Specific Populations (8.6)].



Patients with Hepatic Impairment



Tacrolimus pharmacokinetics have been determined in six patients with mild hepatic dysfunction (mean Pugh score: 6.2) following single IV and oral administrations. The mean clearance of tacrolimus in patients with mild hepatic dysfunction was not substantially different from that in normal volunteers (see previous table). Tacrolimus pharmacokinetics were studied in 6 patients with severe hepatic dysfunction (mean Pugh score: > 10). The mean clearance was substantially lower in patients with severe hepatic dysfunction, irrespective of the route of administration [see Dosage and Administration (2.5) and Use in Specific Populations (8.7)].



Patients with Cystic Fibrosis



Lower bioavailability of tacrolimus has been reported in patients with cystic fibrosis [see Dosage and Administration (2.2, 2.3)].



Racial or Ethnic Groups



The pharmacokinetics of tacrolimus have been studied following single IV and oral administration of Tacrolimus Capsules USP to 10 African-American, 12 Latino-American, and 12 Caucasian healthy volunteers. There were no significant pharmacokinetic differences among the three ethnic groups following a 4-hour IV infusion of 0.015 mg/kg. However, after single oral administration of 5 mg, mean (± SD) tacrolimus Cmax in African-Americans (23.6 ± 12.1 ng/mL) was significantly lower than in Caucasians (40.2 ± 12.6 ng/mL) and the Latino-Americans (36.2 ± 15.8 ng/mL) (p < 0.01). Mean AUC0-inf tended to be lower in African-Americans (203 ± 115 ng·hr/mL) than Caucasians (344 ± 186 ng·hr/mL) and Latino-Americans (274 ± 150 ng·hr/mL). The mean (± SD) absolute oral bioavailability (F) in African-Americans (12 ± 4.5%) and Latino-Americans (14 ± 7.4%) was significantly lower than in Caucasians (19 ± 5.8%, p = 0.011). There was no significant difference in mean terminal T1/2 among the three ethnic groups (range from approximately 25 to 30 hours). A retrospective comparison of African-American and Caucasian kidney transplant patients indicated that African-American patients required higher tacrolimus doses to attain similar trough concentrations [see Dosage and Administration (2.2)].



Male and Female Patients



A formal trial to evaluate the effect of gender on tacrolimus pharmacokinetics has not been conducted, however, there was no difference in dosing by gender in the kidney transplant trial. A retrospective comparison of pharmacokinetics in healthy volunteers, and in kidney, liver, and heart transplant patients indicated no gender-based differences.



Drug Interaction Studies



Frequent monitoring of whole blood concentrations and appropriate dosage adjustments of tacrolimus are recommended when concomitant use of the following drugs with tacrolimus is initiated or discontinued [see Drug Interactions (7)].

  • Telaprevir:In a single-dose study in 9 healthy volunteers, co-administration of tacrolimus (0.5 mg single dose) with telaprevir (750 mg three times daily for 13 days) increased the tacrolimus dose-normalized Cmaxby 9.3-fold and AUC  by 70-fold compared to tacrolimus alone [see Drug Interactions (7.2)].
  • Boceprevir:In a single-dose study in 12 subjects, co-administration of tacrolimus (0.5 mg single dose) with boceprevir (800 mg three times daily for 11 days) increased tacrolimus Cmaxby 9.9-fold and AUC by 17-fold compared to  tacrolimus alone[see Drug Interactions (7.2)].
  • Nelfinavir:Based on a clinical study of 5 liver transplant recipients, co-administration of tacrolimus with nelfinavir increased blood concentrations of tacrolimus significantly and, as a result, a reduction in the tacrolimus dose by an average of 16-fold was needed to maintain mean trough tacrolimus blood concentrations of 9.7 ng/mL. It is recommended to avoid concomitant use of Tacrolimus Capsules USP and nelfinavir unless the benefits outweigh the risks [see Drug Interactions (7.2)].
  • Rifampin:In a study of 6 normal volunteers, a significant decrease in tacrolimus oral bioavailability (14 ± 6% vs.7 ± 3%) was observed with concomitant rifampin administration (600 mg). In addition, there was a significant increase in tacrolimus clearance (0.036 ± 0.008 L/hr/kg vs. 0.053 ± 0.010 L/hr/kg) with concomitant rifampin administration [see Drug Interactions (7.2)]
  • Magnesium and Aluminum-hydroxide:In a single-dose crossover study in healthy volunteers, co-administration of tacrolimus and magnesium-aluminum-hydroxide resulted in a 21% increase in the mean tacrolimus AUC and a 10%  decrease in the mean tacrolimus Cmaxrelative to tacrolimus administration alone [see Drug Interactions (7.2)].
  • Ketoconazole:In a study of 6 normal volunteers, a significant increase in tacrolimus oral bioavailability (14 ± 5% vs. 30 ± 8%) was observed with concomitant ketoconazole administration (200 mg). The apparent oral clearance of tacrolimus during ketoconazole administration was significantly decreased compared to tacrolimus alone (0.430 ± 0.129 L/hr/kg vs. 0.148 ± 0.043 L/hr/kg). Overall, IV clearance of tacrolimus was not significantly changed by ketoconazole co-administration, although it was highly variable between patients[see Drug Interactions (7.2)].
  • Voriconazole(see complete prescribing information for VFEND):  Repeat oral dose administration of voriconazole (400 mg every 12 hours for one day, then 200 mg every 12 hours for 6 days) increased tacrolimus (0.1 mg/kg single  dose) Cmaxand AUCτin healthy subjects by an average of 2-fold (90% CI: 1.9, 2.5) and 3-fold (90% CI: 2.7, 3.8), respectively [see Drug Interactions (7.2)].
  • Posaconazole(see complete prescribing information for Noxafil):Repeat oral administration of posaconazole (400 mg twice daily for 7 days) increased tacrolimus (0.05 mg/kg single dose) Cmaxand AUC in healthy subjects by an average of 2-fold (90% CI: 2.01, 2.42) and 4.5-fold (90% CI 4.03, 5.19), respectively [see Drug Interactions (7.2)].
  • Caspofungin(see complete prescribing information for CANCIDAS):Caspofungin reduced the blood AUC0-12of tacrolimus by approximately 20%, peak blood concentration (Cmax) by 16%, and 12-hour blood concentration(C12hr) by  26% in healthy adult subjects when tacrolimus (2 doses of 0.1 mg/kg 12 hours apart) was administered on the 10th day of CANCIDAS 70 mg daily, as compared to results from a control period in which tacrolimus was administered alone [see Drug Interactions (7.2)] The Mechanism of interaction has not been confirmed.
7.1 Mycophenolic Acid

When tacrolimus is prescribed with a given dose of a mycophenolic acid (MPA) product, exposure to MPA is higher with tacrolimus co-administration than with cyclosporine co-administration because cyclosporine interrupts the enterohepatic recirculation of MPA while tacrolimus does not. Monitor for MPA-associated adverse reactions and reduce the dose of concomitantly administered mycophenolic acid products as needed.

8.8 Race Or Ethnicity (8.8 Race or Ethnicity)

African-American patients may need to be titrated to higher dosages to attain comparable trough concentrations compared to Caucasian patients [see Dosage and Administration (2.2) and Clinical Pharmacology (12.3)]

African-American and Hispanic patients are at increased risk for new onset diabetes after transplant. Monitor blood glucose concentrations and treat appropriately [see Warnings and Precautions (5.4)]

5.2 Serious Infections

Patients receiving immunosuppressants, including Tacrolimus Capsules USP are at increased risk of developing bacterial, viral, fungal, and protozoal infections, including opportunistic infections. These infections may lead to serious, including fatal, outcomes. Serious viral infections reported include:

  • Polyomavirus-associated nephropathy (PVAN), mostly due to BK virus infection
  • JC virus-associated progressive multifocal leukoencephalopathy (PML)
  • Cytomegalovirus infections: CMV seronegative transplant patients who receive an organ from a CMV seropositive donor disease are at higher risk of developing CMV viremia and CMV disease.

Monitor for the development of infection and adjust the immunosuppressive regimen to balance the risk of rejection with the risk of infection [see Adverse Reactions (6.1, 6.2)]

8.7 Hepatic Impairment

The mean clearance of tacrolimus was substantially lower in patients with severe hepatic impairment (mean Child-Pugh score: > 10) compared to healthy volunteers with normal hepatic function. Close monitoring of tacrolimus trough concentrations is warranted in patients with hepatic impairment [see Clinical Pharmacology (12.3)]

The use of tacrolimus in liver transplant recipients experiencing post-transplant hepatic impairment may be associated with increased risk of developing renal insufficiency related to high whole blood trough concentrations of tacrolimus. These patients should be monitored closely and dosage adjustments should be considered. Some evidence suggests that lower doses should be used in these patients [see Dosage and Administration (2.5) and Clinical Pharmacology  (12.3)]

1 Indications and Usage (1 INDICATIONS AND USAGE)

Tacrolimus Capsules USP is a calcineurin-inhibitor immuno-suppressant indicated for the prophylaxis of organ rejection in adult and pediatric patients receiving allogeneic liver, kidney, heart or lung transplants, in combination with other immunosuppressants. (1.1)

17.10 Drug Interactions

Instruct patients to tell their healthcare providers when they start or stop taking all the medicines, including prescription medicines and non-prescription medicines, natural or herbal remedies, nutritional supplements, and vitamins. Advise patients to avoid grapefruit and grapefruit juice [see Drug Interactions (7)]

12.1 Mechanism of Action

Tacrolimus binds to an intracellular protein, FKBP-12. A complex of tacrolimus-FKBP-12, calcium, calmodulin, and calcineurin (a ubiquitous mammalian intracellular  enzyme) is then formed, after which the phosphatase activity of calcineurin inhibited. Such inhibition prevents the dephosphorylation and translocation of various factors  such as the nuclear factor of activated T-cells (NF-AT), and nuclear factor kappa-light-chain enhancer of activated B-cells (NF-κB).

Tacrolimus inhibits the expression and/or production of several cytokines that include interleukin (IL)-1 beta, IL-2, IL-3, IL-4, IL-5, IL-6, IL-8, IL-10, gamma interferon,  tumor necrosis factor-alpha, and granulocyte macrophage colony stimulating factor. Tacrolimus also inhibits IL-2 receptor expression and nitric oxide release, induces  apoptosis and production of transforming growth factor beta that can lead to immunosuppressive activity. The net result is the inhibition of T-lymphocyte activation and proliferation as well as T-helper-cell-dependent B-cell response (i.e., immunosuppression).

14.4 Lung Transplantation

The efficacy and safety of Tacrolimus-based immunosuppression in primary lung transplantation were assessed in a noninterventional (observational) study using data from the U.S. Scientific Registry of Transplant Recipients (SRTR). The study analyzed outcomes based on discharge immunosuppression treatment regimen in recipients of a primary lung transplant between 1999 and 2017 who were alive at the time of discharge. In adult patients receiving tacrolimus immediate-release products in combination with MMF (n=15,478) or tacrolimus immediate-release products in combination with AZA (n=4,263), the one-year graft survival estimates from time of discharge were 90.9% and 90.8%, respectively. In pediatric patients receiving tacrolimus immediate-release products in combination with MMF (n= 450) or tacrolimus immediate-release products in combination with AZA (n=72), the one-year graft survival estimates from time of discharge were 91.7% and 84.7%, respectively.

14.2 Liver Transplantation

The safety and efficacy of tacrolimus-based immunosuppression following orthotopic liver transplantation were assessed in two prospective, randomized, non-blinded multicenter trials. The active control groups were treated with a cyclosporine-based immunosuppressive regimen (CsA/AZA). Both trials used concomitant adrenal corticosteroids as part of the immunosuppressive regimens. These trials compared patient and graft survival rates at 12 months following transplantation.

In one trial, 529 patients were enrolled at 12 clinical sites in the United States; prior to surgery, 263 were randomized to the tacrolimus-based immunosuppressive regimen and 266 to the CsA/AZA. In 10 of the 12 sites, the same CsA/AZA protocol was used, while 2 sites used different control protocols. This trial excluded patients with renal dysfunction, fulminant hepatic failure with Stage IV encephalopathy, and cancers; pediatric patients (≤12 years old) were allowed.

In the second trial, 545 patients were enrolled at 8 clinical sites in Europe; prior to surgery, 270 were randomized to the tacrolimus-based immunosuppressive regimen and 275 to CsA/AZA. In this trial, each center used its local standard CsA/AZA protocol in the active-control arm. This trial excluded pediatric patients, but did allow enrollment of subjects with renal dysfunction, fulminant hepatic failure in Stage IV encephalopathy, and cancers other than primary hepatic with metastases.

One-year patient survival and graft survival in the tacrolimus-based treatment groups were similar to those in the CsA/AZA treatment groups in both trials. The overall 1-year patient survival (CsA/AZA and tacrolimus-based treatment groups combined) was 88% in the U.S. trial and 78% in the European trial. The overall 1-year graft survival (CsA/AZA and tacrolimus-based treatment groups combined) was 81% in the U.S. trial and 73% in the European trial. In both trials, the median time to convert from IV to oral Tacrolimus Capsules USP dosing was 2 days.

Although there is a lack of direct correlation between tacrolimus concentrations and drug efficacy, data from clinical trials of liver transplant patients have shown an increasing incidence of adverse reactions with increasing trough blood concentrations. Most patients are stable when trough whole blood concentrations are maintained between 5 to 20 ng/mL. Long-term post-transplant patients often are maintained at the low end of this target range. Data from the U.S. clinical trial show that the median trough blood concentrations, measured at intervals from the second week to one year post-transplantation ranged from 9.8 ng/mL to 19.4 ng/mL.

Pediatric Liver Transplantation Using Tacrolimus Granules

The efficacy and safety of Tacrolimus Granules plus corticosteroids were compared with a triple regimen of cyclosporine/corticosteroids/azathioprine in a randomized, open-label study, in de novo pediatric liver transplant patients. The study was conducted outside the United States and enrolled patients aged 16 years or younger.  The distribution of pediatric patients by age was similar in both treatment groups, with a majority < 5 years. Patients were randomized to either tacrolimus for oral suspension 0.3 mg/kg/day (N = 91) or cyclosporine 10 mg/kg/day orally (N = 90) initiated 6 hours after completion of transplant surgery. Doses throughout the 1-year study period were adjusted to maintain whole blood trough levels within 5-20 ng/mL [see Dosage and Administration (2.3)]. Based on trough levels, doses of tacrolimus were adjusted to 0.17 mg/kg/day and 0.14 mg/kg/day by days 2 and 3, respectively. At 12 months, the incidence rate of BPAR, graft loss, death, or lost to follow-up was 52.7% in the tacrolimus group and 61.1% in the cyclosporine group (Table 27) .

Table 27. Key Efficacy Results at 12 Months in Pediatric Liver Transplant Recipients Receiving Tacrolimus Granules or Cyclosporine

1      95% confidence interval calculated using normal approximation.

Tacrolimus Granules (N = 91)

Cyclosporine (N = 90)

Overall Failure

48 (52.7%)

55 (61.1%)

Components of efficacy failure

BPAR

40 (44.0%)

49 (54.4%)

Graft loss

7 (7.7%)

13 (14.4%)

Graft loss excluding death

1 (1.1%)

6 (6.7%)

Mortality

6 (6.6%)

7 (7.8%)

Lost to follow-up

2 (2.2%)

0

Treatment Difference of efficacy failure compared to Cyclosporine (95% CI1)

-8.4% (-22.7%, 6.0%)

14.3 Heart Transplantation

Two open-label, randomized, comparative trials evaluated the safety and efficacy of tacrolimus-based and cyclosporine  based immunosuppression in primary orthotopic heart transplantation. In a trial conducted in Europe, 314 patients received a regimen of antibody induction, corticosteroids, and azathioprine in combination with tacrolimus or cyclosporine modified for 18 months. In a 3-arm trial conducted in the US, 331 patients received corticosteroids and tacrolimus plus sirolimus, tacrolimus plus mycophenolate mofetil (MMF) or cyclosporine modified plus MMF for 1 year.

In the European trial, patient/graft survival at 18 months post-transplant was similar between treatment arms, 92% in the tacrolimus group and 90% in the cyclosporine group. In the U.S. trial, patient and graft survival at 12 months was similar with 93% survival in the tacrolimus plus MMF group and 86% survival in the cyclosporine modified plus MMF group. In the European trial, the cyclosporine trough concentrations were above the pre-defined target range (i.e., 100 to 200 ng/mL) at Day 122 and beyond in 32% to 68% of the patients in the cyclosporine treatment arm, whereas the tacrolimus trough concentrations were within the pre-defined target range (i.e., 5 to 15 ng/mL) in 74% to 86% of the patients in the tacrolimus treatment arm. Data from this European trial indicate that from 1 week to 3 months post-transplant, approximately 80% of patients maintained trough concentrations between 8 to 20 ng/mL and, from 3 months through 18 months post-transplant, approximately 80% of patients maintained trough concentrations between 6 to 18 ng/mL.

The U.S. trial contained a third arm of a combination regimen of sirolimus, 2 mg per day, and full-dose tacrolimus; however, this regimen was associated with increased  risk of wound-healing complications, renal function impairment, and insulin-dependent post-transplant diabetes mellitus, and is not recommended [see Warnings and Precautions (5.10)]

16.4 Handling and Disposal

Tacrolimus can cause fetal harm. Tacrolimus Capsules USP should not be opened or crushed. Avoid inhalation or direct contact with skin or mucous membranes of the powder contained in Tacrolimus Capsules USP. If such contact occurs wash the skin thoroughly with soap and water; if ocular contact occurs, rinse eyes with water. In case a spill occurs, wipe the surface with a wet paper towel. Follow applicable special handling and disposal procedures1.

5 Warnings and Precautions (5 WARNINGS AND PRECAUTIONS)
  • Not Interchangeable with Extended Release Tacrolimus Products- Medication Errors: Instruct patients or caregivers to recognize the appearance of Tacrolimus Capsules USP (5.3)
  • New Onset Diabetes After Transplant: Monitor blood glucose. (5.4)
  • Nephrotoxicity (acute and/or chronic): Reduce the dose; use caution with other nephrotoxic drugs. (5.5)
  • Neurotoxicity: Including risk of Posterior Reversible Encephalopathy Syndrome (PRES); monitor for neurologic abnormalities; reduce or discontinue Tacrolimus Capsules USP. (5.6)
  • Hyperkalemia: Monitor serum potassium levels. Consider carefully before using with other agents also associated with hyperkalemia. (5.7)
  • Hypertension: May require antihypertensive therapy. Monitor relevant drug-drug interactions. (5.8)
  • Anaphylactic Reactions with IV formulation: Observe patients receiving Tacrolimus injection for signs and symptoms of anaphylaxis. (5.9)
  • Not recommended for use with Sirolimus: Not recommended in liver and heart transplant due to increased risk of serious adverse reactions. (5.10)
  • Myocardial Hypertrophy: Consider dose reduction/ discontinuation. (5.13)
  • Immunizations: Avoid live vaccines. (5.14)
  • Pure Red Cell Aplasia: Consider discontinuation of Tacrolimus Capsules USP. (5.15)
  • Thrombotic Microangiopathy, Including Hemolytic Uremic Syndrome and Thrombotic Thrombocytopenic Purpura: May occur, especially in patients with infections and certain concomitant medications. (5.16)
5.15 Pure Red Cell Aplasia

Cases of pure red cell aplasia (PRCA) have been reported in patients treated with tacrolimus. A mechanism for tacrolimus-induced PRCA has not been elucidated. All patients reported risk factors for PRCA such as parvovirus B19 infection, underlying disease, or concomitant medications associated with PRCA. If PRCA is diagnosed, discontinuation of Tacrolimus Capsules USP should be considered [see Adverse Reactions (6.2)].

14.1 Kidney Transplantation

Tacrolimus /Azathioprine (AZA)

Tacrolimus-based immunosuppression in conjunction with azathioprine and corticosteroids following kidney transplantation was assessed in a randomized, multicenter, non-blinded, prospective trial. There were 412 kidney transplant patients enrolled at 19 clinical sites in the United States. Study therapy was initiated when renal function was stable as indicated by a serum creatinine ≤ 4 mg/dL (median of 4 days after transplantation, range 1 to 14 days). Patients less than 6 years of age were excluded.

There were 205 patients randomized to tacrolimus-based immunosuppression and 207 patients were randomized to cyclosporine-based immunosuppression. All patients received prophylactic induction therapy consisting of an antilymphocyte antibody preparation, corticosteroids, and azathioprine. Overall 1-year patient and graft survival was 96.1% and 89.6%, respectively.

Data from this trial of tacrolimus in conjunction with azathioprine indicate that during the first 3 months of that trial, 80% of the patients maintained trough concentrations  between 7-20 ng/mL, and then between 5-15 ng/mL, through 1 year.

Tacrolimus /Mycophenolate Mofetil (MMF)

Tacrolimus-based immunosuppression in conjunction with MMF, corticosteroids, and induction has been studied. In a randomized, open-label, multicenter trial (Study 1), 1589 kidney transplant patients received Tacrolimus (Group C, n = 401), sirolimus (Group D, n = 399), or one of two cyclosporine (CsA) regimens (Group A, n = 390 and Group B, n = 399) in combination with MMF and corticosteroids; all patients, except those in one of the two cyclosporine groups, also received induction with daclizumab. The trial was conducted outside the United States; the trial population was 93% Caucasian. In this trial, mortality at 12 months in patients receiving Tacrolimus/MMF was similar (3%) compared to patients receiving cyclosporine/MMF (3% and 2%) or sirolimus/MMF (3%). Patients in the Tacrolimus group exhibited higher estimated creatinine clearance rates (eCLcr) using the Cockcroft-Gault formula (Table 20) and experienced fewer efficacy failures, defined as biopsy-proven acute rejection (BPAR), graft loss, death, and/or lost to follow-up (Table 21) in comparison to each of the other three groups. Patients randomized to Tacrolimus/MMF were more likely to develop diarrhea and diabetes after the transplantation and experienced similar rates of infections compared to patients randomized to either cyclosporine/MMF regimen [see Adverse Reactions (6.1)].

Table 20. Estimated Creatinine Clearance at 12 Months (Study 1)

1 All death/graft loss (n = 41, 27, 23, and 42 in Groups A, B, C, and D) and patients whose last recorded creatinine values were prior to month 3 visit (n = 10, 9, 7, and 9 in Groups A, B, C, and D,  respectively) were imputed with Glomerular Filtration Rate (GFR) of 10 mL/min; a subject's last observed creatinine value from month 3 on was used for the remainder of subjects with missing creatinine  at month 12 (n = 11, 12, 15, and 19 for Groups A, B, C, and D, respectively). Weight was also imputed in the calculation of estimated GFR, if missing

2 Adjusted for multiple (6) pairwise comparisons using Bonferroni corrections.

Group

eCLcr[mL/min] at Month 121

N

MEAN

SD

MEDIAN

Treatment Difference with Group C (99.2%CI2)

(A) CsA/MMF/CS

390

56.5

25.8

56.9

- 8.6 (-13.7, -3.7)

(B) CsA/MMF/CS/Daclizumab

399

58.9

25.6

60.9

- 6.2 (-11.2, -1.2)

(C) Tac/MMF/CS/Daclizumab

401

65.1

27.4

66.2

-

(D) Siro/MMF/CS/Daclizumab

399

56.2

27.4

57.3

- 8.9 (-14.1, -3.9)

Total

1589

59.2

26.8

60.5

Key: CsA=Cyclosporine, CS=Corticosteroids, Tac=Tacrolimus, Siro=Sirolimus

Table 21. Incidence of BPAR, Graft Loss, Death, or Loss to Follow-up at 12 Months (Study 1)

1 Adjusted for multiple (6) pairwise comparisons using Bonferroni corrections.

Group A N=390

Group B N=399

Group C N=401

Group D N=399

Overall Failure

141 (36.2%)

126 (31.6%)

82 (20.4%)

185 (46.4%)

Components of efficacy failure

BPAR

113 (29.0%)

106 (26.6%)

60 (15.0%)

152 (38.1%)

Graft loss excluding death

28 (7.2%)

20 (5.0%)

12 (3.0%)

30 (7.5%)

Mortality

13 (3.3%)

7 (1.8%)

11 (2.7%)

12 (3.0%)

Lost to follow-up

5 (1.3%)

7 (1.8%)

5 (1.3%)

6 (1.5%)

Treatment Difference of efficacy failure compared to Group C

15.8%

11.2%

-

26.00%

(99.2% CI1)

(7.1%, 24.3%)

(2.7%, 19.5%)

(17.2%, 34.7%)

Key: Group A =CsA/MMF/CS, B =CsA/MMF/CS/Daclizumab, C=Tac/MMF/CS/Daclizumab, and D=Siro/MMF/CS/Daclizumab

The protocol-specified target tacrolimus trough concentrations (Ctrough,Tac) were 3-7 ng/mL; however, the observed median Ctroughs,Tac approximated 7 ng/mL throughout the 12-month trial (Table 22). Approximately 80% of patients maintained tacrolimus whole blood concentrations between 4-11 ng/mL through 1 year post-transplant

Table 22. Tacrolimus Whole Blood Trough Concentration Range (Study 1)

1    10 to 90th Percentile: range of Ctrough, Tac that excludes lowest 10% and highest 10% of Ctrough, Tac

Time

Median (P10-P901) tacrolimus whole blood trough concentrations range (ng/mL)

Day 30 (N=366)

6.9 (4.4 – 11.3)

Day 90 (N=351)

6.8 (4.1 – 10.7)

Day 180 (N=355)

6.5 (4.0 – 9.6)

Day 365 (N=346)

6.5 (3.8 – 10.0)

The protocol-specified target cyclosporine trough concentrations (Ctrough,CsA) for Group B were 50-100 ng/mL; however, the observed median Ctroughs,CsA approximated 100 ng/mL throughout the 12 month trial. The protocol-specified target Ctroughs,CsA for Group A were 150-300 ng/mL for the first 3 months and 100-200 ng/mL from month 4 to month 12; the observed median Ctroughs,CsA approximated 225 ng/mL for the first 3 months and 140 ng/mL from month 4 to month 12While patients in all groups started MMF at 1gram twice daily, the MMF dose was reduced to less than 2 g per day in 63% of patients in the tacrolimus treatment arm by month 12 (Table 23); approximately 50% of these MMF dose reductions were due to adverse reactions. By comparison, the MMF dose was reduced to less than 2 g per day in 49% and 45% of patients in the two cyclosporine arms (Group A and Group B, respectively), by month 12 and approximately 40% of MMF dose reductions were due to adverse reactions.

Table 23: MMF Dose Over Time in Tacrolimus/MMF (Group C) (Study 1)

1 Percentage of patients for each time-averaged MMF dose range during various treatment periods. Administration of 2 g per day of time-averaged MMF dose means that MMF dose was not reduced in those patients during the treatment periods.

Time period (Days)

Time-averaged MMF dose (grams per day)1

Less than 2.0

2

Greater than 2.0

0-30 (N=364)

37%

60%

2%

0-90 (N=373)

47%

51%

2%

0-180 (N=377)

56%

42%

2%

0-365 (N=380)

63%

36%

1%

Key: Time-averaged MMF dose = (total MMF dose) / (duration of treatment)

In a second randomized, open-label, multicenter trial (Study 2), 424 kidney transplant patients received Tacrolimus (N = 212) or cyclosporine (N = 212) in combination with MMF 1 gram twice daily, basiliximab induction, and corticosteroids. In this trial, the rate for the combined endpoint of BPAR, graft failure, death, and/or lost to follow-up at 12 months in theTacrolimus /MMF group was similar to the rate in the cyclosporine/MMF group. There was, however, an imbalance in mortality at 12 months in those patients receiving Tacrolimus /MMF (4%) compared to those receiving cyclosporine/MMF (2%), including cases attributed to over-immunosuppression (Table 24).

Table 24. Incidence of BPAR, Graft Loss, Death, or Loss to Follow-up at 12 Months (Study 2)

1      95% confidence interval calculated using Fisher's Exact Test

Tacrolimus /MMF (n=212)

Cyclosporine/MMF (n=212)

Overall Failure

32 (15.1%)

36 (17.0%)

Components of efficacy failure

BPAR

16 (7.5%)

29 (13.7%)

Graft loss excluding death

6 (2.8%)

4 (1.9%)

Mortality

9 (4.2%)

5 (2.4%)

Lost to follow-up

4 (1.9%)

1 (0.5%)

Treatment Difference of efficacy failure compared to Tacrolimus/MMF group (95% CI1)

-

1.9% (-5.2%, 9.0%)

The protocol-specified target tacrolimus whole blood trough concentrations (Ctrough,Tac) in Study 2 were 7-16 ng/mL for the first three months and 5-15 ng/mL thereafter.  The observed median Ctrough,Tac approximated 10 ng/mL during the first three months and 8 ng/mL from month 4 to month 12 (Table 25). Approximately 80% of patients  maintained tacrolimus whole blood trough concentrations between 6 to 16 ng/mL during months 1 through 3 and, then, between 5 to 12 ng/mL from month 4 through 1 year.

Table 25. Tacrolimus Whole Blood Trough Concentration Range (Study 2)

1           10 to 90th Percentile: range of Ctrough, Tac that excludes lowest 10% and highest 10% of Ctrough, Tac

Time

Median (P10-P901) tacrolimus whole blood trough concentrations range (ng/mL)

Day 30 (N=174)

10.5 (6.3 - 16.8)

Day 60 (N=179)

9.2 (5.9 - 15.3)

Day 120 (N=176)

8.3 (4.6 - 13.3)

Day 180 (N=171)

7.8 (5.5 - 13.2)

Day 365 (N=178)

7.1 (4.2 - 12.4)

The protocol-specified target cyclosporine whole blood concentrations (Ctrough,CsA) were 125 to 400 ng/mL for the first three months, and 100 to 300 ng/mL thereafter. The observed median Ctroughs, CsA approximated 280 ng/mL during the first three months and 190 ng/mL from month 4 to month 12.



Patients in both groups started MMF at 1 gram twice daily. The MMF dose was reduced to less than 2 grams per day by month 12 in 62% of patients in the Tacrolimus/ MMF group (Table 26) and in 47% of patients in the cyclosporine/MMF group. Approximately 63% and 55% of these MMF dose reductions were because of adverse reactions in the Tacrolimus/MMF group and the cyclosporine/MMF group, respectively [see Adverse Reactions (6.1)]

Table 26. MMF Dose Over Time in the Tacrolimus/MMF Group (Study 2)

1 Percentage of patients for each time-averaged MMF dose range during various treatment periods. Two grams per day of time- averaged MMF dose means that MMF dose was not reduced in those patients during the treatment periods.

Time Period (Days)

Time-averaged MMF dose (g/day)1

Less than 2.0

2

Greater than 2.0

0-30 (N=212)

25%

69%

6%

0-90 (N=212)

41%

53%

6%

0-180 (N=212)

52%

41%

7%

0-365 (N=212)

62%

34%

4%

Key: Time-averaged MMF dose = (total MMF dose) / (duration of treatment)

2 Dosage and Administration (2 DOSAGE AND ADMINISTRATION)
  • Administer capsules consistently with or without food. (2.1)
  • Therapeutic drug monitoring is recommended. (2.1,2.6)
  • Avoid eating grapefruit or drinking grapefruit juice. (2.1)
  • See dosage adjustments for African-American patients (2.2), hepatic and renal impaired. (2.4, 2.5)
  • For complete dosing information see the Full Prescribing Information
ADULT

Patient Population

Initial Oral Dosage (formulation)

Whole Blood Trough Concentration Range

Kidney Transplant

With azathioprine

0.2 mg/kg/day capsules, divided in two doses, every 12 hours

Month 1-3: 7-20 ng/mL

Month 4-12: 5-15 ng/mL

With MMF/IL-2 receptor antagonist

0.1 mg/kg/day capsules, divided in two doses, every   12 hours

Month 1-12:  4-11 ng/mL

Liver Transplant

With corticosteroids only

0.1-0.15 mg/kg/day capsules, divided in two doses, every 12 hours

Month 1-12: 5-20 ng/mL

Heart Transplant

With azathioprine or MMF

0.075 mg/kg/day capsules, divided in two doses, every 12 hours

Month 1-3: 10-20 ng/mL Month ≥ 4: 5-15 ng/mL

Lung Transplant

With azathioprine or MMF

0.075 mg/kg/day1 capsules, divided in two doses, every 12 hours

Month 1-3: 10-20 ng/mL Month 4-12: 8-12 ng/mL

MMF= Mycophenolate mofetil

1. Patients with cystic fibrosis may require higher doses due to lower bioavailability.

2. Dose at 0.1 mg/kg/day if antibody induction treatment is administered .

PEDIATRIC

Patient Population

Initial Oral Dosage (formulation)

Whole Blood Trough Concentration Range

Kidney Transplant

0.3 mg/kg/day capsules divided in two doses, every 12 hours

Month 1-12: 5-20 ng/mL

Liver Transplant

0.15-0.2 mg/kg/day capsules divided in two doses, every 12 hours

Month 1-12: 5-20 ng/mL

Heart Transplant

0.3 mg/kg/day2 capsules divided in two doses, every 12 hours

Month 1-12: 5-20 ng/mL

Lung Transplant

0.3 mg/kg/day1, 2 capsules divided in two doses, every 12 hours

Weeks 1-2: 10-20 ng/mL

Week 2 to Month 12: 10-15 ng/mL

5.13 Myocardial Hypertrophy

Myocardial hypertrophy has been reported in infants, children, and adults, particularly those with high tacrolimus trough concentrations, and is generally manifested by echocardiographically demonstrated concentric increases in left ventricular posterior wall and interventricular septum thickness. This condition appears reversible in most cases following dose reduction or discontinuance of therapy. In patients who develop renal failure or clinical manifestations of ventricular dysfunction while receiving tacrolimus therapy, echocardiographic evaluation should be considered. If myocardial hypertrophy is diagnosed, dosage reduction or discontinuation of tacrolimus capsules should be  considered [see Adverse Reactions (6.2)].

8.6 Use in Renal Impairment

The pharmacokinetics of tacrolimus in patients with renal impairment was similar to that in healthy volunteers with normal renal function. However, consideration should be given to dosing tacrolimus at the lower end of the therapeutic dosing range in patients who have received a liver or heart transplant and have pre-existing renal impairment. Further reductions in dose below the targeted range may be required [see Dosage and Administration (2.4) and Clinical Pharmacology (12.3)]

16.1 Tacrolimus Capsules Usp (16.1 Tacrolimus Capsules USP)

Tacrolimus Capsules USP, 0.5 mg: Light yellow color, oblong shape, size "5" hard gelatin capsules printed with "PBT" and "0.5" in red ink on cap and body respectively.



Capsules are supplied as follows:



NDC 43817-421-01               Bottle of 100



Tacrolimus Capsules USP, 1 mg: White color, oblong shape, size "5" hard gelatin capsules printed with "PBT" and "1.0" in red ink on cap and body respectively.



Capsules are supplied as follows:



NDC 43817-422-01               Bottle of 100



Tacrolimus Capsules USP, 5 mg: Pink color, oblong shape, size "4" hard gelatin capsules printed with "PBT" and "5.0" in red ink on cap and body respectively.



Capsules are supplied as follows:



NDC 43817-423-01               Bottle of 100



Note: Tacrolimus Capsules USP are not filled to maximum capsule capacity. Capsule contains labeled amount.



Store and Dispense



Store at 20°C to 25°C (77°F); excursions permitted to 15°C to 30°C (59°F to 86°F). [See USP Controlled Room Temperature].

17.12 Myocardial Hypertrophy

Inform patients to report symptoms of tiredness, swelling, and/or shortness of breath (heart failure).

3 Dosage Forms and Strengths (3 DOSAGE FORMS AND STRENGTHS)

Tacrolimus Capsules USP are available in the following dosage form and strengths:



Oblong shape, hard gelatin capsules for oral administration contains Tacrolimus as follows:

  • Tacrolimus Capsules USP, 0.5 mg: Light yellow color, oblong shape, size "5" hard gelatin capsules printed with "PBT" and "0.5" in red ink on body and cap respectively.
  • Tacrolimus Capsules USP, 1 mg:  White color, oblong shape, size "5" hard gelatin capsules printed with "PBT" and "1.0" in red ink on body and cap respectively.
  • Tacrolimus Capsules USP, 5 mg: Pink color, oblong shape, size "4" hard gelatin capsules printed with "PBT" and "5.0" in red ink on body and cap respectively.
6.2 Postmarketing Experience

The following adverse reactions have been reported from worldwide marketing experience with tacrolimus. Because these reactions are reported voluntarily from a population of uncertain size it is not always possible to reliably estimate their frequency or establish a causal relationship to drug exposure. Decisions to include these reactions in labeling are typically based on one or more of the following factors: (1) seriousness of the reaction, (2) frequency of the reporting, or (3) strength of causal connection to the drug.

Other reactions include:

  • Cardiovascular: Atrial fibrillation, atrial flutter, cardiac arrhythmia, cardiac arrest, electrocardiogram T wave abnormal, flushing, myocardial infarction, myocardial ischemia, pericardial effusion, QT prolongation,Torsade de Pointesvenous thrombosis deep limb, ventricular extrasystoles, ventricular fibrillation, myocardial hypertrophy.
  • Gastrointestinal: Bile duct stenosis, colitis, enterocolitis, gastroenteritis, gastroesophageal reflux disease, hepatic cytolysis, hepatic necrosis, hepatotoxicity, impaired gastric emptying, liver fatty, mouth ulceration, pancreatitis hemorrhagic, pancreatitis necrotizing, stomach ulcer, veno-occlusive liver disease
  • Hemic/Lymphatic: Agranulocytosis, disseminated intravascular coagulation, hemolytic anemia, neutropenia, pancytopenia, thrombotic thrombocytopenic purpura, pure red cell aplasia, thrombotic microangiopathy.
  • Infections: Cases of progressive multifocal leukoencephalopathy (PML), sometimes fatal; polyoma virus- associated nephropathy, (PVAN) including graft loss.
  • Metabolic/Nutritional: Glycosuria, increased amylase including pancreatitis, weight decreased
  • Miscellaneous: Feeling hot and cold, feeling jittery, hot flushes, multi-organ failure, primary graft dysfunction
  • Musculoskeletal and Connective Tissue Disorders: Pain in extremity including Calcineurin-Inhibitor Induced Pain Syndrome (CIPS)
  • Nervous System: Carpal tunnel syndrome, cerebral infarction, hemiparesis, leukoencephalopathy, mental disorder, mutism, posterior reversible encephalopathy syndrome (PRES),progressive multifocal leukoencephalopathy (PML), quadriplegia, speech disorder, syncope
  • Respiratory: Acute respiratory distress syndrome, interstitial lung disease, lung infiltration, respiratory distress, respiratory failure
  • Skin: Stevens-Johnson syndrome, toxic epidermal necrolysis
  • Special Senses: Blindness, optic neuropathy, blindness cortical, hearing loss including deafness, photophobia
  • Urogenital: Acute renal failure, cystitis hemorrhagic, hemolytic-uremic syndrome

Postmarketing Adverse Reactions in Lung Transplantation.



Based on U.S. Scientific Registry of Transplant Recipients (SRTR) data, published clinical trials, and postmarketing reports, the safety profile for lung transplant patients treated with Tacrolimus Capsules USP is consistent with the safety profile in kidney, liver, and heart transplant patients treated with Tacrolimus Capsules USP. The primary adverse reactions described include renal dysfunction, infection, diabetes, gastrointestinal disturbances (e.g., diarrhea), hypertension, and neurological events (e.g., tremor). As expected, lung transplant patients have a higher incidence of pulmonary complications (e.g., pneumonia, bronchiolitis obliterans syndrome) than other solid organ transplant patients, which is in part due to the underlying disease and to the nature of the transplanted organ.

8 Use in Specific Populations (8 USE IN SPECIFIC POPULATIONS)
  • Pregnancy: Can cause fetal harm. Advise pregnant women of the potential risk to the fetus. (8.1,8.3)
17.9 Thrombotic Microangiopathy

Inform patients that Tacrolimus Capsules USP can cause blood clotting problems. The risk of this occurring increases when patients take Tacrolimus Capsules USP and sirolimus or everolimus concomitantly, or when patients develop certain infections. Advise them to seek medical attention promptly if they develop fever, petequiae or bruises, fatigue, confusion, jaundice, oliguria. [see Warnings and Precautions (5.16)].

2.6 Therapeutic Drug Monitoring

Monitoring of tacrolimus blood concentrations in conjunction with other laboratory and clinical parameters is considered an essential aid to patient management for the evaluation of rejection, toxicity, dose adjustments, and compliance. Whole blood trough concentration range can be found in Table 1.

Factors influencing frequency of monitoring include but are not limited to hepatic or renal dysfunction, the addition or discontinuation of potentially interacting drugs and the post-transplant time. Blood concentration monitoring is not a replacement for renal and liver function monitoring and tissue biopsies. Data from clinical trials show that tacrolimus whole blood concentrations were most variable during the first week post-transplantation.

The relative risks of toxicity and efficacy failure are related to tacrolimus whole blood trough concentrations. Therefore, monitoring of whole blood trough concentrations is recommended to assist in the clinical evaluation of toxicity and efficacy failure.

Methods commonly used for the assay of tacrolimus include high-performance liquid chromatography with tandem mass spectrometric detection (HPLC/MS/MS) and immunoassays. Immunoassays may react with metabolites as well as parent compound. Therefore, assay results obtained with immunoassays may have a positive bias relative to results of HPLC/MS. The bias may depend upon the specific assay and laboratory. Comparison of the concentrations in published literature to patient concentrations using the current assays must be made with detailed knowledge of the assay methods and biological matrices employed. Whole blood is the matrix of choice and specimens should be collected into tubes containing ethylene diamine tetraacetic acid (EDTA) anticoagulant. Heparin anticoagulation is not recommended because of the tendency to form clots on storage. Samples which are not analyzed immediately should be stored at room temperature or in a refrigerator and assayed within 7 days; see assay instructions for specifics. If samples are to be kept longer they should be deep frozen at -20°C. One study showed drug recovery > 90% for samples stored at -20°C for 6 months, with reduced recovery observed after 6 months.

6.1 Clinical Studies Experience

Because clinical trials are conducted under widely varying conditions, adverse reaction rates observed in the clinical trials of a drug cannot be directly compared to rates in the clinical trials of another drug and may not reflect the rates observed in practice. In addition, the clinical trials were not designed to establish comparative differences across study arms with regards to the adverse reactions discussed below.



Kidney Transplantation



The incidence of adverse reactions was determined in three randomized kidney transplant trials. One of the trials used azathioprine (AZA) and corticosteroids and two of the trials used mycophenolate mofetil (MMF) and corticosteroids concomitantly for maintenance immunosuppression.



Tacrolimus based immunosuppression in conjunction with azathioprine and corticosteroids following kidney transplantation was assessed in a trial where 205 patients received tacrolimus based immunosuppression and 207 patients received cyclosporine-based immunosuppression. The trial population had a mean age of 43 years (mean ± SD was 43 ± 13 years on tacrolimus and 44 ± 12 years on cyclosporine arm), the distribution was 61% male, and the composition was White (58%), African-American (25%), Hispanic (12%), and Other (5%). The 12-month post-transplant information from this trial is presented below.



The most common adverse reactions (≥ 30%) observed in tacrolimus-treated kidney transplant patients are: infection, tremor, hypertension, abnormal renal function, constipation, diarrhea, headache, abdominal pain, insomnia, nausea, hypomagnesemia, urinary tract infection, hypophosphatemia, peripheral edema, asthenia, pain, hyperlipidemia, hyperkalemia, and anemia. Based on reported adverse reactions terms related to decreased renal function, nephrotoxicity was reported in approximately 52% of kidney transplantation patients.



Adverse reactions that occurred in ≥15% of kidney transplant patients treated with tacrolimus in conjunction with azathioprine are presented below:

Table 4. Kidney Transplantation: Adverse Reactions Occurring in ≥ 15% of Patients Treated with Tacrolimus in Conjunction with Azathioprine (AZA)
Tacrolimus/AZA (N=205)

Cyclosporine/AZA (N=207)

Nervous System

Tremor

54%

34%

Headache

44%

38%

Insomnia

32%

30%

Paresthesia

23%

16%

Dizziness

19%

16%

Gastrointestinal

Diarrhea

44%

41%

Nausea

38%

36%

Constipation

35%

43%

Vomiting

29%

23%

Dyspepsia

28%

20%

Cardiovascular

Hypertension

50%

52%

Chest Pain

19%

13%

Urogenital

Creatinine Increased

45%

42%

Urinary Tract Infection

34%

35%

Metabolic and Nutritional

Hypophosphatemia

49%

53%

Hypomagnesemia

34%

17%

Hyperlipemia

31%

38%

Hyperkalemia

31%

32%

Diabetes Mellitus

24%

9%

Hypokalemia

22%

25%

Hyperglycemia

22%

16%

Edema

18%

19%

Hemic and Lymphatic

Anemia

30%

24%

Leukopenia

15%

17%

Miscellaneous

Infection

45%

49%

Peripheral Edema

36%

48%

Asthenia

34%

30%

Abdominal Pain

33%

31%

Pain

32%

30%

Fever

29%

29%

Back Pain

24%

20%

Respiratory System

Dyspnea

22%

18%

Cough Increased

18%

15%

Musculoskeletal

Arthralgia

25%

24%

Skin

Rash

17%

12%

Pruritus

15%

7%

Two trials were conducted for tacrolimus-based immunosuppression in conjunction with MMF and corticosteroids. In the non-US trial (Study 1), the incidence of adverse reactions was based on 1195 kidney transplant patients that received tacrolimus (Group C, n = 403), or one of two cyclosporine (CsA) regimens (Group A, n = 384 and Group B, n = 408) in combination with MMF and corticosteroids; all patients, except those in one of the two cyclosporine groups, also received induction with daclizumab. The trial population had a mean age of 46 years (range 17 to 76), the distribution was 65% male, and the composition was 93% Caucasian. The 12-month post-transplant information from this trial is presented below.



Adverse reactions that occurred in ≥10% of kidney transplant patients treated with tacrolimus in conjunction with MMF in Study 1 [Note: This trial was conducted entirely outside of the United States. Such trials often report a lower incidence of adverse reactions in comparison to U.S. trials] are presented below:

Table 5. Kidney Transplantation: Adverse Reactions Occurring in ≥10% of Patients Treated with Tacrolimus in Conjunction with MMF (Study 1)
Tacrolimus Capsules USP (Group C) (N=403)

Cyclosporine (Group A) (N=384)

Cyclosporine (Group B) (N=408)

Diarrhea

25%

16%

13%

Urinary tract infection

24%

28%

24%

Anemia

17%

19%

17%

Hypertension

13%

14%

12%

Leucopenia

13%

10%

10%

Edema peripheral

11%

12%

13%

Hyperlipidemia

10%

15%

13%

Key: Group A = CsA/MMF/CS, B = CsA/MMF/CS/Daclizumab, C = Tac/MMF/CS/Daclizumab

CsA = Cyclosporine, CS = Corticosteroids, Tac = Tacrolimus, MMF = mycophenolate mofetil

In the U.S. trial (Study 2) with tacrolimus-based immunosuppression in conjunction with MMF and corticosteroids, 424 kidney transplant patients received tacrolimus (n = 212) or cyclosporine (n = 212) in combination with MMF1 gram twice daily, basiliximab induction, and corticosteroids. The trial population had a mean age of 48 years (range 17 to 77), the distribution was 63% male, and the composition was White (74%), African-American (20%), Asian (3%), and Other (3%). The 12-month post-transplant information from this trial is presented below.



Adverse reactions that occurred in ≥ 15% of kidney transplant patients treated with tacrolimus in conjunction with MMF in Study 2 are presented below:

Table 6. Kidney Transplantation: Adverse Reactions Occurring in ≥15% of Patients Treated with Tacrolimus in Conjunction with MMF (Study 2)
Tacrolimus Capsules USP / MMF

(N=212)

Cyclosporine / MMF

(N=212)

Gastrointestinal Disorder

Diarrhea

44%

26%

Nausea

39%

47%

Constipation

36%

41%

Vomiting

26%

25%

Dyspepsia

18%

15%

Injury, Poisoning, and Procedural Complications

Post-Procedural Pain

29%

27%

Incision Site Complication

28%

23%

Graft Dysfunction

24%

18%

Metabolism and Nutrition Disorder

Hypomagnesemia

28%

22%

Hypophosphatemia

28%

21%

Hyperkalemia

26%

19%

Hyperglycemia

21%

15%

Hyperlipidemia

18%

25%

Hypokalemia

16%

18%

Nervous System Disorder

Tremor

34%

20%

Headache

24%

25%

Blood and Lymphatic System Disorders

Anemia

30%

28%

Leukopenia

16%

12%

Miscellaneous

Edema Peripheral

35%

46%

Hypertension

32%

35%

Insomnia

30%

21%

Urinary Tract Infection

26%

22%

Blood Creatinine Increased

23%

23%

Less frequently observed adverse reactions in kidney transplantation patients are described under the subsection "Less Frequently Reported Adverse Reactions (> 3%  and < 15%) in Liver, Kidney, and Heart Transplant Studies".



Liver Transplantation



There were two randomized comparative liver transplant trials. In the U.S. trial, 263 adult and pediatric patients received tacrolimus and steroids and 266 patients received cyclosporine-based immunosuppressive regimen (CsA/AZA).  The trial population had a mean age of 44 years (range 0.4 to 70), the distribution was 52% male, and the composition was White (78%), African-American (5%), Asian (2%), Hispanic (13%), and Other (2%). In the European trial, 270 patients received tacrolimus and steroids and 275 patients received CsA/AZA. The trial population had a mean age of 46 years (range 15 to 68), the distribution was 59% male, and the composition was White (95.4%), Black (1%), Asian (2%), and Other (2%).



The proportion of patients reporting more than one adverse event was > 99% in both the tacrolimus group and the CsA/AZA group. Precautions must be taken when comparing the incidence of adverse reactions in the U.S. trial to that in the European trial. The 12-month post-transplant information from the U.S. trial and from the European trial is presented below. The two trials also included different patient populations and patients were treated with immunosuppressive regimens of differing intensities. Adverse reactions reported in ≥ 15% in tacrolimus patients (combined trial results) are presented below for the two controlled trials in liver transplantation.



The most common adverse reactions (≥ 40%) observed in tacrolimus-treated liver transplant patients are: tremor, headache, diarrhea, hypertension, nausea, abnormal renal function, abdominal pain, insomnia, paresthesia, anemia, pain, fever, asthenia, hyperkalemia, hypomagnesemia, and hyperglycemia. These all occur with oral and IV administration of Tacrolimus and some may respond to a reduction in dosing (e.g., tremor, headache, paresthesia, hypertension). Diarrhea was sometimes associated with other gastrointestinal complaints such as nausea and vomiting. Based on reported adverse reactions terms related to decreased renal function, nephrotoxicity was reported in approximately 40% and 36% of liver transplantation patients receiving tacrolimus in the U.S. and European randomized trials.

Table 7. Liver Transplantation: Adverse Reactions Occurring in ≥ 15% of Patients Treated with Tacrolimus
U.S.TRIAL

EUROPEAN TRIAL

Tacrolimus (N=250)

Cyclosporine/AZA (N=250)

Tacrolimus (N=264)

Cyclosporine /AZA (N=265)

Nervous System

Headache

64%

60%

37%

26%

Insomnia

64%

68%

32%

23%

Tremor

56%

46%

48%

32%

Paresthesia

40%

30%

17%

17%

Gastrointestinal

Diarrhea

72%

47%

37%

27%

Nausea

46%

37%

32%

27%

LFT Abnormal

36%

30%

6%

5%

Anorexia

34%

24%

7%

5%

Vomiting

27%

15%

14%

11%

Constipation

24%

27%

23%

21%

Cardiovascular

Hypertension

47%

56%

38%

43%

Urogenital

Kidney Function Abnormal

40%

27%

36%

23%

Creatinine Increased

39%

25%

24%

19%

BUN Increased

30%

22%

12%

9%

Oliguria

18%

15%

19%

12%

Urinary Tract Infection

16%

18%

21%

19%

Metabolic and Nutritional

Hypomagnesemia

48%

45%

16%

9%

Hyperglycemia

47%

38%

33%

22%

Hyperkalemia

45%

26%

13%

9%

Hypokalemia

29%

34%

13%

16%

Hemic and Lymphatic

Anemia

47%

38%

5%

1%

Leukocytosis

32%

26%

8%

8%

Thrombocytopenia

24%

20%

14%

19%

Miscellaneous

Pain

63%

57%

24%

22%

Abdominal Pain

59%

54%

29%

22%

Asthenia

52%

48%

11%

7%

Fever

48%

56%

19%

22%

Back Pain

30%

29%

17%

17%

Ascites

27%

22%

7%

8%

Peripheral Edema

26%

26%

12%

14%

Respiratory System

Pleural Effusion

30%

32%

36%

35%

Dyspnea

29%

23%

5%

4%

Atelectasis

28%

30%

5%

4%

Skin and Appendages

Pruritus

36%

20%

15%

7%

Rash

24%

19%

10%

4%

Table 8. Pediatric Liver Transplantation: Adverse Reactions Occurring in > 10% of Patients Treated with Tacrolimus Granules (STUDY 01-13)
Tacrolimus Granules (N=91)

Cyclosporine (N=90)

Body as a Whole

Fever

46%

51%

Infection

25%

29%

Sepsis

22%

20%

CMV Infection

15%

24%

EBV Infection

26%

11%

Ascites

17%

20%

Peritonitis

12%

7%

Cardiovascular System

Hypertension

39%

47%

Digestive System

Liver Function Tests Abnormal

37%

28%

Diarrhea

26%

26%

Vomiting

15%

13%

Gastrointestinal Hemorrhage

11%

12%

Bile Duct Disorder

12%

8%

Gastroenteritis

12%

4%

Hemic and Lymphatic System

Anemia

29%

19%

Metabolic and Nutritional Disorders

Hypomagnesemia

40%

29%

Acidosis

26%

17%

Hyperkalemia

12%

10%

Respiratory System

Pleural Effusion

22%

19%

Bronchitis

11%

8%

Urogenital System

Kidney Function Abnormal

13%

14%

Less frequently observed adverse reactions in liver transplantation patients are described under the subsection "Less Frequently Reported Adverse Reactions (> 3% and < 15%) in Liver, Kidney, and Heart Transplant Studies"



Heart Transplantation



The incidence of adverse reactions was determined based on two trials in primary orthotopic heart transplantation. In a trial conducted in Europe, 314 patients received a regimen of antibody induction, corticosteroids, and azathioprine (AZA) in combination with Tacrolimus (n = 157) or cyclosporine (n = 157) for 18 months. The trial population had a mean age of 51 years (range 18 to 65), the distribution was 82% male, and the composition was White (96%), Black (3%), and other (1%).



The most common adverse reactions (≥ 15%) observed in tacrolimus-treated heart transplant patients are: abnormal renal function, hypertension, diabetes mellitus, CMV infection, tremor, hyperglycemia, leukopenia, infection, anemia, bronchitis, pericardial effusion, urinary tract infection, and hyperlipemia. Based on reported adverse reactions terms related to decreased renal function, nephrotoxicity was reported in approximately 59% of heart transplantation patients in the European trial.



Adverse reactions in heart transplant patients in the European trial are presented below:

Table 9. Heart Transplantation: Adverse Reactions Occurring in ≥ 15% of Patients Treated with Tacrolimus Capsules USP in Conjunction with Azathioprine (AZA)
Tacrolimus Capsules USP /AZA (n=157 )

Cyclosporine/AZA (n=157)

Cardiovascular System

Hypertension

62%

69%

Pericardial Effusion

15%

14%

Body as a Whole

CMV Infection

32%

30%

Infection

24%

21%

Metabolic and Nutritional Disorders

Diabetes Mellitus

26%

16%

Hyperglycemia

23%

17%

Hyperlipemia

18%

27%

Hemic and Lymphatic System

Anemia

50%

36%

Leukopenia

48%

39%

Urogenital System

Kidney Function Abnormal

56%

57%

Urinary Tract Infection

16%

12%

Respiratory System

Bronchitis

17%

18%

Nervous System

Tremor

15%

6%

In the European trial, the cyclosporine trough concentrations were above the pre-defined target range (i.e., 100 to 200 ng/mL) at Day 122 and beyond in 32% to 68% of the patients in the cyclosporine treatment arm, whereas the tacrolimus trough concentrations were within the pre-defined target range (i.e., 5 to 15 ng/mL) in 74% to 86% of the patients in the tacrolimus treatment arm.



In a U.S. trial, the incidence of adverse reactions was based on 331 heart transplant patients that received corticosteroids and tacrolimus in combination with sirolimus (n=109), tacrolimus in combination with MMF (n=107) or cyclosporine modified in combination with MMF (n=115) for 1 year. The trial population had a mean age of 53 years (range 18 to 75), the distribution was 78% male, and the composition was White (83%), African-American (13%) and other (4%).



Only selected targeted treatment-emergent adverse reactions were collected in the U.S. heart transplantation trial. Those reactions that were  reported  at a rate of 15%  or greater in patients treated with tacrolimus and MMF include the following: any target adverse reactions (99%), hypertension (89%), hyperglycemia requiring  antihyperglycemic therapy (70%), hypertriglyceridemia (65%), anemia (hemoglobin < 10.0 g/dL) (65%), fasting blood glucose > 140 mg/dL (on two separate occasions)  (61%), hypercholesterolemia (57%), hyperlipidemia (34%), WBCs < 3000 cells/mcL (34%), serious bacterial infections (30%), magnesium < 1.2 mEq/L (24%), platelet  count < 75,000 cells/mcL (19%), and other opportunistic infections (15%).



Other targeted treatment-emergent adverse reactions in tacrolimus-treated patients occurred at a rate of less than 15%, and include the following: Cushingoid features, impaired wound healing, hyperkalemia, Candida infection, and CMV infection/syndrome. Other less frequently observed adverse reactions in heart transplantation patients are described under the subsection "Less Frequently Reported Adverse Reactions (> 3% and < 15%) in Liver, Kidney and Heart Transplant Studies."



New Onset Diabetes After Transplant



Kidney Transplantation



New Onset Diabetes After Transplant (NODAT) is defined as a composite of fasting plasma glucose ≥ 126 mg/dL, HbA1C ≥ 6%, insulin use ≥ 30 days, or oral  hypoglycemic use. In a trial in kidney transplant patients (Study 2), NODAT was observed in 75% in the tacrolimus-treated and 61% in the NEORAL-treated patients without pre-transplant history of diabetes mellitus (Table 10) [see Clinical Studies (14.1)

Table 10. Incidence of New Onset Diabetes After Transplant at 1 year in Kidney Transplant Recipients in a Phase 3 Trial (Study 2)
Parameter

Treatment Group

Tacrolimus Capsules USP/MMF (n = 212)

 

Neoral / MMF (n = 212)

NODAT

112/150 (75%)

93/152 (61%)

Fasting Plasma Glucose ≥ 126 mg/dL

96/150 (64%)

80/152 (53%)

HbA1C ≥ 6%

59/150 (39%)

28/152 (18%)

Insulin Use ≥ 30 days

9/150 (6%)

4/152 (3%)

Oral Hypoglycemic Use

15/150 (10%)

5/152 (3%)

In early trials of tacrolimus, Post-Transplant Diabetes Mellitus (PTDM) was evaluated with a more limited criterion of "use of insulin for 30 or more consecutive  days with  < 5-day gap" in patients without a prior history of insulin-dependent diabetes mellitus or non-insulin dependent diabetes mellitus. Data are presented in Tables 11 to 14. PTDM was reported in 20% of Tacrolimus /Azathioprine (AZA)-treated kidney transplant patients without pre-transplant history of diabetes mellitus in a Phase 3 trial  (Table 11). The median time to onset of PTDM was 68 days. Insulin dependence was reversible in 15% of these PTDM patients at one year and in 50% at 2 years post-transplant. African-American and Hispanic kidney transplant patients were at an increased risk of development of PTDM (Table 12)

Table 11. Incidence of Post-Transplant Diabetes Mellitus and Insulin Use at 2 Years in Kidney Transplant Recipients in a Phase 3 Trial using Azathioprine (AZA)

1 Use of insulin for 30 or more consecutive days, with < 5 day gap, without a prior history of insulin-dependent diabetes mellitus or non-insulin dependent diabetes mellitus.

Status of PTDM1

Tacrolimus Capsules USP/AZA

CsA/AZA

Patients without pre-transplant history of diabetes mellitus.

                           151

   151

New onset PTDM1, 1st Year

30/151 (20%)

    6/151 (4%)

Still insulin dependent at one year in those without prior history of diabetes.

25/151 (17%)

   5/151 (3%)

New onset PTDM1 post 1 year

1

0

Patients with PTDM1 at 2 years

16/151 (11%)

  5/151 (3%)

Table 12. Development of Post-Transplant Diabetes Mellitus by Race or Ethnicity and by Treatment Group During First Year Post Kidney Transplantation in a Phase 3 Trial
Patient Race

Patients Who Developed PTDM 1

Tacrolimus Capsules USP

Cyclosporine

African-American

15/41 (37%)

3 (8%)

Hispanic

5/17 (29%)

1 (6%)

Caucasian

10/82 (12%)

1 (1%)

Other

0/11 (0%)

1 (10%)

Total

30/151 (20%)

6 (4%)

Liver Transplantation

Insulin-dependent PTDM was reported in 18% and 11% of tacrolimus-treated liver transplant patients and was reversible in 45% and 31% of these patients at 1 year post-transplant, in the U.S. and European randomized trials, respectively (Table 13). Hyperglycemia was associated with the use of tacrolimus in 47% and 33% of liver transplant recipients in the U.S. and European randomized trials, respectively, and may require treatment [see Adverse Reactions (6.1)]

Table 13. Incidence of Post-Transplant Diabetes Mellitus and Insulin Use at 1 Year in Liver Transplant Recipients

1Use of insulin for 30 or more consecutive days, with < 5 day gap, without a prior history of insulin-dependent diabetes mellitus or non-insulin dependent diabetes mellitus.

2 Patients without pre-transplant history of diabetes mellitus

Status of PTDM1

US Trial

European Trial

Tacrolimus Capsules USP

Cyclosporine

Tacrolimus Capsules USP

Cyclosporine

Patients at risk 2

239

236

239

249

New Onset PTDM1

42 (18%)

30 (13%)

26 (11%)

12 (5%)

Patients still on insulin at 1 year

23 (10%)

19 (8%)

18 (8%)

6 (2%)

Heart Transplantation



Insulin-dependent PTDM was reported in 13% and 22% of tacrolimus-treated heart transplant patients receiving mycophenolate mofetil (MMF) or azathioprine (AZA) and was reversible in 30% and 17% of these patients at one year post-transplant, in the U.S. and European randomized trials, respectively (Table 14). Hyperglycemia defined as two fasting plasma glucose levels ≥ 126 mg/dL was reported with the use of tacrolimus plus MMF or AZA in 32% and 35% of heart transplant recipients in the U.S. and European randomized trials, respectively, and may require treatment [see Adverse Reactions (6.1)]

Table 14. Incidence of Post-Transplant Diabetes Mellitus and Insulin Use at 1 Year in Heart Transplant Recipients

1 Use of insulin for 30 or more consecutive days without a prior history of insulin-dependent diabetes mellitus or non-insulin dependent diabetes mellitus.

2 Patients without pre-transplant history of diabetes mellitus.

3 7-12 months for the U.S. trial.

Status of PTDM1

US Trial

European Trial

Tacrolimus Capsules USP/MMF

Cyclosporine/MMF

Tacrolimus Capsules USP/AZA

Cyclosporine/AZA

Patients at risk2

75

83

132

138

New Onset PTDM1

10 (13%)

6 (7%)

29 (22%)

5 (4%)

Patients still on insulin at 1 year3

7 (9%)

1 (1%)

24 (18%)

4 (3%)

Less Frequently Reported Adverse Reactions (> 3% and < 15%) in Liver, Kidney, and Heart Transplant Studies

The following adverse reactions were reported in either liver, kidney, and/or heart transplant recipients who were treated with tacrolimus in clinical trials.

  • Nervous System: Abnormal dreams, agitation, amnesia, anxiety, confusion, convulsion, crying, depression, elevated mood, emotional lability, encephalopathy, hemorrhagic stroke, hallucinations, hypertonia, incoordination, monoparesis, myoclonus, nerve compression, nervousness, neuralgia, neuropathy, paralysis flaccid, psychomotor skills impaired, psychosis, quadriparesis, somnolence, thinking abnormal, vertigo, writing impaired
  • Special Senses: Abnormal vision, amblyopia, ear pain, otitis media, tinnitus
  • Gastrointestinal: Cholangitis, cholestatic jaundice, duodenitis, dysphagia, esophagitis, flatulence, gastritis, gastroesophagitis, gastrointestinal hemorrhage, GGT increase, GI disorder, GI perforation, hepatitis, hepatitis granulomatous, ileus, increased appetite, jaundice, liver damage, esophagitis ulcerative, oral moniliasis, pancreatic pseudocyst, stomatitis
  • Cardiovascular: Abnormal ECG, angina pectoris, arrhythmia, atrial fibrillation, atrial flutter, bradycardia, cardiac fibrillation, cardiopulmonary failure, congestive heart failure, deep thrombophlebitis, echocardiogram abnormal, electrocardiogram QRS complex abnormal, electrocardiogram ST segment abnormal, heart failure, heart rate decreased, hemorrhage, hypotension, phlebitis, postural hypotension, syncope, tachycardia, thrombosis, vasodilatation
  • Urogenital: Acute kidney failure, albuminuria, BK nephropathy, bladder spasm, cystitis, dysuria, hematuria, hydronephrosis, kidney failure, kidney tubular necrosis, nocturia, pyuria, toxic nephropathy, urge incontinence, urinary frequency, urinary incontinence, urinary retention, vaginitis
  • Metabolic/Nutritional: Acidosis, alkaline phosphatase increased, alkalosis, ALT (SGPT) increased, AST (SGOT) increased, bicarbonate decreased, bilirubinemia, dehydration, GGT increased, gout, healing abnormal, hypercalcemia, hypercholesterolemia, hyperphosphatemia, hyperuricemia, hypervolemia, hypocalcemia, hypoglycemia, hyponatremia, hypoproteinemia, lactic dehydrogenase increase, weight gain
  • Endocrine: Cushing's syndrome
  • Hemic/Lymphatic: Coagulation disorder, ecchymosis, hematocrit increased, hypochromic anemia, leukocytosis, polycythemia, prothrombin decreased, serum iron decreased
  • Miscellaneous: Abdomen enlarged, abscess, accidental injury, allergic reaction, cellulitis, chills, fall, flu syndrome, generalized edema, hernia, mobility decreased, peritonitis, photosensitivity reaction, sepsis, temperature intolerance, ulcer
  • Musculoskeletal: Arthralgia, cramps, generalized spasm, leg cramps, myalgia, myasthenia, osteoporosis
  • Respiratory: Asthma, emphysema, hiccups, lung function decreased, pharyngitis, pneumonia, pneumothorax, pulmonary edema, rhinitis, sinusitis, voice alteration
  • Skin: Acne, alopecia, exfoliative dermatitis, fungal dermatitis, herpes simplex, herpes zoster, hirsutism, neoplasm skin benign, skin discoloration, skin ulcer, sweating

Lung Transplantation



Adverse reactions in lung transplant patients were similar to those in kidney, liver, or heart transplant patients treated with Tacrolimus Capsules USP [see Adverse Reactions (6.2 )].

17.3 Increased Risk of Infection

Inform patients they are at increased risk of developing a variety of infections, including opportunistic infections, due to immunosuppression and to contact their physician if they develop any symptoms of infection such as fever, sweats or chills, cough or flu-like symptoms, muscle aches, or warm, red, painful areas on the skin [see Boxed Warnings and Warnings and Precautions (5.2)].

17 Patient Counseling Information (17 PATIENT COUNSELING INFORMATION)

Advise the patient to read the FDA-approved patient labeling (Patient Information and Instructions for Use).

5.17 Cannabidiol Drug Interactions

When cannabidiol and Tacrolimus Capsules USP are co-administered, closely monitor for an increase in tacrolimus blood levels and for adverse reactions suggestive of tacrolimus toxicity. A dose reduction of Tacrolimus Capsules USP should be considered as needed when Tacrolimus Capsules USP is co-administered with cannabidiol [see Dosage and Administration (2.2, 2.6) and Drug Interactions (7.3)].

5.1 Lymphoma and Other Malignancies

Patients receiving immunosuppressants, including Tacrolimus Capsules USP are at increased risk of developing lymphomas and other malignancies, particularly of the skin. The risk appears to be related to the intensity and duration of immunosuppression rather than to the use of any specific agent.



As usual for patients with increased risk for skin cancer, examine patients for skin changes; exposure to sunlight and UV light should be limited by wearing protective clothing and using a broad-spectrum sunscreen with a high protection factor.



Post-transplant lymphoproliferative disorder (PTLD) has been reported in immunosuppressed organ transplant recipients. The majority of PTLD events appear related to Epstein-Barr virus (EBV) infection. The risk of PTLD appears greatest in those individuals who are EBV seronegative, a population which includes many young children. Monitor EBV serology during treatment.

Package Label.principal Display Panel (PACKAGE LABEL.PRINCIPAL DISPLAY PANEL)

NDC 43817-421-01



Tacrolimus Capsules USP,



0.5 mg



Rx only



100 Capsules

label 0.5mg
5.4 New Onset Diabetes After Transplant

Tacrolimus Capsules USP was shown to cause new onset diabetes mellitus in clinical trials of kidney, liver, heart or lung transplantation. New onset diabetes after transplantation may be reversible in some patients. African-American and Hispanic kidney transplant patients are at an increased risk. Blood glucose concentrations should be monitored closely in patients using tacrolimus [see Adverse Reactions (6.1)]

17.4 New Onset Diabetes After Transplant

Inform patients that Tacrolimus Capsules USP can cause diabetes mellitus and should be advised to contact their physician if they develop frequent urination, increased thirst, or hunger [see Warnings and Precautions (5.4)].

7.2 Effects of Other Drugs On Tacrolimus (7.2 Effects of Other Drugs on Tacrolimus)

Table 15 displays the effects of other drugs on tacrolimus.

Table 15: Effects of Other Drugs/Substances on Tacrolimus1

1Tacrolimus dosage adjustment recommendation based on observed effect of co-administered drug on tacrolimus exposures [see Clinical Pharmacology (12.3)], literature reports of altered tacrolimus exposures, or the other drug's known CYP3A inhibitor/inducer status

2High dose or double strength grapefruit juice is a strong CYP3A inhibitor; low dose or single strength grapefruit juice is a moderate CYP3A inhibitor.

3Strong CYP3A inhibitor/inducer, based on reported effect on exposures to tacrolimus along with supporting in vitro CYP3A inhibitor/inducer data, or based on drug-drug interaction studies with midazolam (sensitive CYP3A probe substrate).

 Drug/Substance Class or Name

 Drug Interaction Effect

Recommendations

 

Grapefruit or grapefruit juice2

 May increase tacrolimus whole blood trough concentrations and increase the risk of serious adverse reactions (e.g., neurotoxicity, QT prolongation) [see Warnings and Precautions (5.6, 5.11, 5.12)]

Avoid grapefruit or grapefruit juice.

 Strong CYP3A Inducers3:

Antimycobacterials (e.g., rifampin, rifabutin),anticonvulsants (e.g., phenytoin, carbamazepine and phenobarbital), St John's Wort

 May decrease tacrolimus whole blood trough concentrations and increase the risk of rejection. [see Warnings and Precautions (5.11)]

 Increase tacrolimus dose and monitor tacrolimus whole blood trough concentrations [see Dosage and Administration (2.2, 2.6) and Clinical Pharmacology (12.3)]

 Strong CYP3A Inhibitors3:

Protease inhibitors (e.g, nelfinavir, telaprevir, boceprevir, ritonavir), azole antifungals (e.g., voriconazole, posaconazole, itraconazole, ketoconazole), antibiotics (e.g., clarithromycin, troleandomycin, chloramphenicol), nefazodone, letermovir, schisandra sphenanthera extracts

 May increase tacrolimus whole blood trough concentrations and increase the risk of serious adverse reactions (e.g., neurotoxicity, QT prolongation). A rapid sharp rise in tacrolimus levels may occur early, despite an immediate reduction of tacrolimus dose [see Warnings and Precautions (5.6, 5.11, 5.12)].

 Reduce tacrolimus dose (for voriconazole and posaconazole, give one-third of the original dose) and adjust dose based on tacrolimus whole blood trough concentrations [see Dosage and Administration (2.2, 2.6) and Clinical Pharmacology (12.3)]

Early and frequent monitoring of tacrolimus whole blood trough levels should start within 1-3 days and continue monitoring as necessary.

Mild or Moderate CYP3A Inhibitors: Clotrimazole, antibiotics (e.g., erythromycin, fluconazole), calcium channel blockers (e.g., verapamil, diltiazem, nifedipine, nicardipine), amiodarone, danazol, ethinyl estradiol, cimetidine, lansoprazole and omeprazole

May increase tacrolimus whole blood trough concentrations and increase the risk of serious adverse reactions (e.g., neurotoxicity, QT prolongation)

 [see Warnings and Precautions (5.6, 5.11, 5.12)]

 Monitor tacrolimus whole blood trough concentrations and reduce tacrolimus dose if needed [see Dosage and Administration (2.2, 2.6) and Clinical Pharmacology (12.3)]

Other drugs, such as: Magnesium and aluminum hydroxide antacids Metoclopramide

 May increase tacrolimus whole blood trough concentrations and increase the risk of serious adverse reactions (e.g., neurotoxicity, QT prolongation)[see Warnings and Precautions (5.6, 5.11, 5.12)]

 Monitor tacrolimus whole blood trough concentrations and reduce tacrolimus dose if needed [see Dosage and Administration (2.2, 2.6) and Clinical Pharmacology (12.3)]

 

Mild or Moderate CYP3A

Inducers Methylprednisolone, prednisone

May decrease tacrolimus concentrations

 Monitor tacrolimus whole blood trough concentrations and adjust tacrolimus dose if needed [see Dosage and Administration (2.2, 2.6)]

Caspofungin

May decrease tacrolimus whole blood trough concentrations

Monitor tacrolimus whole blood trough concentrations and adjust tacrolimus dose if needed [see Dosage and Administration (2.2, 2.6)] .

Direct Acting Antiviral (DAA) Therapy



The pharmacokinetics of tacrolimus may be impacted by changes in liver function during DAA therapy, related to clearance of HCV virus. Close monitoring and potential dose adjustment of Tacrolimus Capsules USP is warranted to ensure continued efficacy and safety [see Dosage and Administration (2.2, 2.6 )].

2.1 Important Administration Instructions

Tacrolimus Capsules USP should not be used without supervision by a physician with experience in immunosuppressive therapy.



Tacrolimus Capsules USP and Tacrolimus Granules are not interchangeable or substitutable for other tacrolimus extended-release products. This is because rate of absorption following the administration of an extended-release tacrolimus product is not equivalent to that of an immediate-release tacrolimus drug product. Under-or overexposure to tacrolimus may result in graft rejection or other serious adverse reactions. Changes between tacrolimus immediate-release and extended-release dosage forms must occur under physician supervision [see Warnings and Precautions (5.3)]



Intravenous Formulation - Administration Precautions due to Risk of Anaphylaxis



Intravenous use is recommended for patients who cannot tolerate oral formulations, and conversion from intravenous to oral tacrolimus capsules are recommended as soon as oral therapy can be tolerated to minimize the risk of anaphylactic reactions that occurred with injectables containing castor oil derivatives [see Warnings and Precautions (5.9)]



Oral Formulations (Capsules)



If patients are able to initiate oral therapy, the recommended starting doses should be initiated. Tacrolimus Capsules USP may be taken with or without food. However, since the presence of food affects the bioavailability of Tacrolimus Capsules USP, if taken with food, it should be taken consistently the same way each time [see Clinical Pharmacology (12.3)]



General Administration Instructions



Patients should not eat grapefruit or drink grapefruit juice in combination with Tacrolimus Capsules USP [see Drug Interactions (7.2)]



Tacrolimus Capsules USP should not be used simultaneously with cyclosporine. Tacrolimus Capsules USP or cyclosporine should be discontinued at least 24 hours before initiating the other. In the presence of elevated Tacrolimus Capsules USP or cyclosporine concentrations, dosing with the other drug usually should be further delayed.



Therapeutic drug monitoring (TDM) is recommended for all patients receiving Tacrolimus Capsules USP [see Dosage and Administration (2.6)]

17.11 Pregnancy, Lactation and Infertility

Inform women of childbearing potential that Tacrolimus Capsules USP can harm the fetus. Instruct male and female patients to discuss with their healthcare provider family planning options including appropriate contraception. Also, discuss with pregnant patients the risks and benefits of breastfeeding their infant [see Use in Specific Populations (8.1,8.2,8.3)].

Encourage female transplant patients who become pregnant and male patients who have fathered a pregnancy, exposed to immunosuppressants including tacrolimus, to enroll in the voluntary Transplantation Pregnancy Registry International. To enroll or register, patients can call the toll free number 1-877-955-6877 or https://www.transplantpregnancyregistry.org/ [see Use in Specific Populations (8.1)].

Based on animal studies, Tacrolimus Capsules USP may affect fertility in males and females [see Nonclinical Toxicology (13.1)].

5.10 Not Recommended for Use With Sirolimus (5.10 Not Recommended for Use with Sirolimus)

Tacrolimus Capsules USP is not recommended for use with sirolimus:

  • The use of sirolimus with Tacrolimus Capsules USP in studies of de novo liver transplant patients was associated with an excess mortality, graft loss, and hepatic artery thrombosis (HAT), and is not recommended.
  • The use of sirolimus (2 mg per day) with Tacrolimus Capsules USP in heart transplant patients in a U.S. trial was associated with increased risk of renal function impairment, wound healing complications, and insulin-dependent post-transplant diabetes mellitus, and is not recommended [see Clinical Studies (14.3)].
  • The use of sirolimus with Tacrolimus Capsules USP may increase the risk of thrombotic microangiopathy [see Warnings and Precautions(5.16)].
Warning: Malignancies and Serious Infections (WARNING: MALIGNANCIES AND SERIOUS INFECTIONS)

Increased risk for developing serious infections and malignancies with Tacrolimus Capsules USP or other immunosuppressants that may lead to hospitalization or death. (5.1, 5.2)

8.3 Females and Males of Reproductive Potential

Contraception

Tacrolimus can cause fetal harm when administered to pregnant women. Advise female and male patients of reproductive potential to speak to their healthcare  provider  on family planning options including appropriate contraception  prior to starting treatment with tacrolimus [see Use in Specific Populations (8.1), Nonclinical Toxicology (13.1)]

Infertility

Based on findings in animals, male and female fertility may be compromised by treatment with tacrolimus [see Nonclinical Toxicology (13.1)]

17.2 Development of Lymphoma and Other Malignancies

Inform patients they are at increased risk of developing lymphomas and other malignancies, particularly of the skin, due to immunosuppression. Advise patients to limit exposure to sunlight and ultraviolet (UV) light by wearing protective clothing and using a broad spectrum with a high protection factor [see Boxed Warnings and Warnings and Precautions (5.1)].

5.9 Anaphylactic Reactions With Tacrolimus Injection (5.9 Anaphylactic Reactions with Tacrolimus Injection)

Anaphylactic reactions have occurred with injectables containing castor oil derivatives, including tacrolimus in a small percentage of patients (0.6%). The exact cause of these reactions is not known. Tacrolimus injection should be reserved for patients who are unable to take Tacrolimus Capsules USP orally. Monitor patients for anaphylaxis when using the intravenous route of administration [see Dosage and Administration (2.1)].

5.11 Interactions With Cyp3a4 Inhibitors and Inducers (5.11 Interactions with CYP3A4 Inhibitors and Inducers)

When co-administering Tacrolimus Capsules USP with strong CYP3A4 inhibitors (e.g., telaprevir, boceprevir, ritonavir, ketoconazole, itraconazole, voriconazole, clarithromycin) and strong inducers (e.g., rifampin, rifabutin), adjustments in the dosing regimen of Tacrolimus Capsules USP and subsequent frequent monitoring of tacrolimus whole blood trough concentrations and tacrolimus-associated adverse reactions are recommended. A rapid, sharp rise in tacrolimus levels has been reported after co-administration with a strong CYP3A4 inhibitor, clarithromycin, despite an initial reduction of tacrolimus dose. Early and frequent monitoring of tacrolimus whole blood trough levels is recommended [see Drug Interactions (7.2)].

13.1 Carcinogenesis, Mutagenesis, Impairment of Fertility

Carcinogenesis



Carcinogenicity studies were conducted in male and female rats and mice. In the 80-week mouse oral study and in the 104-week rat oral study, no relationship of tumor incidence to tacrolimus dosage was found. The highest dose used in the mouse was 3.0 mg/kg/day (0.9 to 2.2 times the AUC at clinical doses of 0.075 to 0.2 mg/kg/day) and in the rat was 5.0 mg/kg/day (0.265 to 0.65 times the AUC at clinical doses of 0.075 to 0.2 mg/kg/day) [see Warnings and Precautions (5.1)].



A 104-week dermal carcinogenicity study was performed in mice with tacrolimus ointment (0.03% - 3%), equivalent to tacrolimus doses of 1.1-118 mg/kg/day or 3.3-354 mg/m2/day. In the study, the incidence of skin tumors was minimal and the topical application of tacrolimus was not associated with skin tumor formation under ambient room lighting. However, a statistically significant elevation in the incidence of pleomorphic lymphoma in high-dose male (25/50) and female animals (27/50) and in the incidence of undifferentiated lymphoma in high-dose female animals (13/50) was noted in the mouse dermal carcinogenicity study. Lymphomas were noted in the mouse dermal carcinogenicity study at a daily dose of 3.5 mg/kg (0.1% tacrolimus ointment). No drug-related tumors were noted in the mouse dermal carcinogenicity study at a daily dose of 1.1 mg/kg (0.03% tacrolimus ointment). The relevance of topical administration of tacrolimus in the setting of systemic tacrolimus use is unknown



The implications of these carcinogenicity studies to the human condition are limited; doses of tacrolimus were administered that likely induced immunosuppression in these animals, impairing their immune system's ability to inhibit unrelated carcinogenesis.



 Mutagenesis



No evidence of genotoxicity was seen in bacterial (Salmonella and E. coli) or mammalian (Chinese hamster lung-derived cells) in vitro assays of mutagenicity, the in vitro CHO/HGPRT assay of mutagenicity, or in vivo clastogenicity  assays performed in mice; tacrolimus did not cause unscheduled DNA synthesis in rodent hepatocytes



Impairment of Fertility



Tacrolimus, subcutaneously administered to male rats at paternally toxic doses of 2 mg/kg/day (1.6 to 4.3 times the recommended clinical dose range [0.2 to 0.075 mg/kg/day] on a mg/m2 basis) or 3 mg/kg/day (2.4 to 6.4 times the recommended clinical dose range) resulted in a dose-related decrease in sperm count. Tacrolimus, administered orally at 1.0 mg/kg (0.8 to 2.2 times the clinical dose range) to male and female rats, prior to and during mating, as well as to dams during gestation and lactation, was associated with embryolethality and adverse effects on female reproduction. Effects on female reproductive function (parturition) and embryolethal effects were indicated by a higher rate of pre-and post- implantation loss and increased numbers of undelivered and nonviable pups. When administered at 3.2 mg/kg (2.6 to 6.9 times the clinical dose range based on body surface area), tacrolimus was associated with maternal and paternal toxicity as well as reproductive toxicity including marked adverse effects on estrus cycles, parturition, pup viability, and pup malformations.

2.4 Dosage Modification for Patients With Renal Impairment (2.4 Dosage Modification for Patients with Renal Impairment)

Due to its potential for nephrotoxicity, consider dosing Tacrolimus Capsules USP at the lower end of the therapeutic dosing range in patients who have received a liver, heart or lung transplant and have pre-existing renal impairment. Further reductions in dose below the targeted range may be required.



In kidney transplant patients with post-operative oliguria, the initial dose of Tacrolimus Capsules USP should be administered no sooner than 6 hours and within 24 hours  of transplantation, but may be delayed until renal function shows evidence of recovery [see Dosage and Administration (2.2), Warnings and Precautions (5.5), Use in Specific Populations (8.6), and Clinical Pharmacology (12.3)].

2.5 Dosage Modification for Patients With Hepatic Impairment (2.5 Dosage Modification for Patients with Hepatic Impairment)

Due to the reduced clearance and prolonged half-life, patients with severe hepatic impairment (Child Pugh ≥ 10) may require lower doses of Tacrolimus. Close monitoring of blood concentrations is warranted.



The use of Tacrolimus Capsules USP in liver transplant recipients experiencing post-transplant hepatic impairment may be associated with increased risk of developing renal insufficiency related to high whole blood concentrations of Tacrolimus. These patients should be monitored closely and dosage adjustments should be considered. Some evidence suggests that lower doses should be used in these patients [see Dosage and Administration (2.2), Warnings and Precautions (5.5), Use in Specific Populations (8.7), and Clinical Pharmacology (12.3)]

5.5 Nephrotoxicity Due to Tacrolimus Capsules Usp and Drug Interactions (5.5 Nephrotoxicity due to Tacrolimus Capsules USP and Drug Interactions)

Tacrolimus Capsules USP, like other calcineurin inhibitors, can cause acute or chronic nephrotoxicity in transplant patients due to its vasoconstrictive effects on renal vasculature, toxic tubulopathy and tubular-interstitial effects. Nephrotoxicity was reported in clinical trials [see Adverse Reactions (6.1)].



Acute renal impairment associated with tacrolimus toxicity can result in high serum creatinine, hyperkalemia, decreased secretion of urea and hyperuricemia, and is usually reversible. In patients with elevated serum creatinine and tacrolimus whole blood trough concentrations greater than the recommended range, consider dosage reduction or temporary interruption of tacrolimus administration.



The risk for nephrotoxicity may increase when Tacrolimus Capsules USP is concomitantly administered with CYP3A inhibitors (by increasing tacrolimus whole blood concentrations) or drugs associated with nephrotoxicity (e.g., aminoglycosides, ganciclovir, amphotericin B, cisplatin, nucleotide reverse transcriptase inhibitors, protease inhibitors). When tacrolimus is used concurrently with other known nephrotoxic drugs, monitor renal functions and tacrolimus blood concentrations, and adjust doses of both tacrolimus and/or concomitant medications during concurrent use [see Drug Interactions (7.2)].

1.1 Prophylaxis of Organ Rejection in Kidney, Liver, Heart Or Lung Transplant (1.1 Prophylaxis of Organ Rejection in Kidney, Liver, Heart or Lung Transplant)

Tacrolimus Capsules USP is indicated for the prophylaxis of organ rejection, in adult and pediatric patients receiving allogeneic kidney transplant [see Clinical Studies (14.1)], liver transplants [see Clinical Studies (14.2)], heart transplant  [see Clinical Studies (14.3)], or lung transplant [see Clinical Studies (14.4)] in combination with other immunosuppressants.

5.3 Not Interchangeable With Extended Release Tacrolimus Products Medication Errors (5.3 Not Interchangeable with Extended-Release Tacrolimus Products - Medication Errors)

Medication errors, including substitution and dispensing errors, between tacrolimus immediate-release products and tacrolimus extended-release products were reported outside the U.S. This led to serious adverse reactions, including graft rejection, or other adverse reactions due to under-or overexposure to tacrolimus. Tacrolimus Capsules USP is not interchangeable or substitutable with tacrolimus extended-release products. Changes between tacrolimus immediate-release and extended-release dosage forms must occur under physician supervision. Instruct patients and caregivers to recognize the appearance of Tacrolimus Capsules USP dosage forms [see Dosage Forms and Strengths (3)]and to confirm with the healthcare provider if a different product is dispensed.

2.3 Dosage Recommendatios for Pediatric Kidney, Liver, Heart Or Lung Transplant Patients (2.3 Dosage Recommendatios for Pediatric Kidney, Liver, Heart or Lung Transplant Patients)

Oral formulation (capsules)



Pediatric patients in general need higher tacrolimus doses compared to adults: the higher dose requirements may decrease as the child grows older. Recommendations for the initial oral dosing for pediatric transplant patients and whole blood trough concentration range are shown in Table 3. Perform TDM to ensure that patients are  within the ranges listed in Table 3

Table 3. Summary of Initial Tacrolimus Capsules USP Dosage Recommendations and Whole Blood Trough Concentration Range in Children

1.             See Clinical Pharmacology (12.3), Tacrolimus Granules Pharmacokinetics in Pediatric Patients.

2.             See Clinical Studies (14.2), Liver Transplantation.

3              Dose at 0.1 mg/kg/day if antibody induction treatment is administered.

4.             Patients with cystic fibrosis may require higher doses due to lower bioavailability [See Clinical Pharmacology (12.3)]

Patient Population

Initial  Tacrolimus Capsules USP

Whole Blood Trough Concentration Range

Pediatric kidney transplant patients1

0.3 mg/kg/day capsules, divided in two doses, administered every 12 hours

Month 1-12: 5-20 ng/mL

Pediatric liver transplant patients2

0.15- 0.2 mg/kg/day capsules, divided in two doses, administered every 12 hours

Month 1-12: 5-20 ng/ mL

Pediatric heart transplant patients1

0.3 mg/kg/day3 capsules, divided in two doses, administered every 12 hours

Month 1-12: 5-20 ng/mL

Pediatric lung transplant

patients

0.3 mg/kg/day3, 4 capsules, divided in two doses, administered every 12 hours

Week 1-2: 5-20 ng/mL

Week 2 to Month 12: 10-15 ng/mL

In lung transplantation, cystic fibrosis patients may have a reduced bioavailability of orally administered tacrolimus resulting in the need for higher doses to achieve target tacrolimus trough concentrations. Monitor tacrolimus trough concentrations and adjust the dose accordingly.



For conversion of pediatric patients from Tacrolimus Granules to Tacrolimus Capsules USP or from Tacrolimus Capsules USP to Tacrolimus Granules, the total daily dose should remain the same. Following conversion from one formulation to another formulation of tacrolimus, therapeutic drug monitoring is recommended [see Dosage and Administration (2.6)].



Intravenous Injection:



If a patient is unable to receive an oral formulation, the patient may be started on Tacrolimus injection. For pediatric liver transplant patients, the intravenous dose is 0.03-0.05 mg/kg/day

2.2 Dosage Recommendation for Adult Kidney, Liver, Heart Or Lungtransplant Patients Capsules (2.2 Dosage recommendation for Adult Kidney, Liver, Heart or LungTransplant Patients - Capsules)

Capsules



If patients are able to tolerate oral therapy, the recommended oral starting doses should be initiated. The initial dose of Tacrolimus Capsules USP should be administered no sooner than 6 hours after transplantation in the liver, heart or lung transplant patients. In kidney transplant patients, the initial dose of Tacrolimus Capsules USP may be administered within 24 hours of transplantation, but should be delayed until renal function has recovered.



The initial oral Tacrolimus Capsules USP dosage recommendations for adult patients with kidney, liver, heart or lung transplants and whole blood trough concentration range are shown in Table 1. Perform therapeutic drug monitoring (TDM) to ensure that patients are within the ranges listed in Table 1

Table 1. Summary of Initial Oral Tacrolimus Capsules USP Dosage Recommendations and Whole Blood Trough Concentration Range in Adults

1African-American patients may require higher doses compared to Caucasians (see Table 2)

2In a second smaller trial, the initial dose of tacrolimus was 0.15-0.2 mg/kg/day and observed tacrolimus concentrations were 6-16 ng/mL during month 1-3 and 5-12 ng/mL during month 4-12 [see Clinical Studies (14.1)]

3Patients with cystic fibrosis may require higher doses due to lower bioavailability [see Clinical Pharmacology (12.3)]

Patient Population

Tacrolimus Capsules USP1 Initial Oral Dosage

Whole Blood Trough Concentration Range

Kidney Transplant

With Azathioprine

0.2 mg/kg/day, divided in two doses, administered every 12 hours

Month 1-3: 7-20 ng/mL

Month 4-12: 5-15 ng/mL

With MMF/IL-2 receptor antagonist2

0.1 mg/kg/day, divided in two doses, administered every 12 hours

Month 1-12: 4-11 ng/mL

Liver Transplant

With corticosteroids only

0.10-0.15 mg/kg/day, divided in two doses, administered every 12 hours

Month 1-12: 5-20 ng/mL

Heart Transplant

With azathioprine or MMF

0.075 mg/kg/day, divided in two doses, administered every 12 hours

Month 1-3: 10-20 ng/mL

Month ≥ 4: 5-15 ng/mL

Lung Transplant

With azathioprine or MMF

0.075 mg/kg/day3, divided in two doses, administered every 12 hours

Month 1-3: 10-15 ng/mL

Month 4-12: 8-12 ng/mL

Dosage should be titrated based on clinical assessments of rejection and tolerability. Tacrolimus Capsules USP dosages lower than the recommended initial dosage may be sufficient as maintenance therapy. Adjunct therapy with adrenal corticosteroids is recommended early post-transplant.



The data in kidney transplant patients indicate that the African-American patients required a higher dose to attain comparable trough concentrations compared to Caucasian patients (Table 2) [see Use in Specific Populations (8.8) and Clinical Pharmacology (12.3)]

Table 2. Comparative Dose and Trough Concentrations Based on Race
Time After Transplant

Caucasian n=114

African American

 n=56

Dose (mg/kg)

Trough Concentrations (ng/mL)

Dose (mg/kg)

Trough Concentrations (ng/mL)

Day 7

0.18

12.0

0.23

10.9

Month 1

0.17

12.8

0.26

12.9

Month 6

0.14

11.8

0.24

11.5

Month 12

0.13

10.1

0.19

11.0

In lung transplantation, cystic fibrosis patients may have a reduced bioavailability of orally administered tacrolimus resulting in the need for higher doses to achieve target tacrolimus trough concentrations. Monitor Tacrolimus trough concentrations and adjust the dose accordingly.



Intravenous Injection



Tacrolimus injection should be used only as a continuous intravenous infusion and should be discontinued as soon as the patient can tolerate oral administration. The first dose of Tacrolimus Capsules USP should be given 8-12 hours after discontinuing the intravenous infusion.



The recommended starting dose of Tacrolimus injection is 0.03-0.05 mg/kg/day in kidney or liver transplant, 0.01 mg/kg/day in heart transplant, and 0.01-0.03 mg/kg/day in lung transplant given as a continuous intravenous infusion. Adult patients should receive doses at the lower end of the dosing range. Concomitant adrenal corticosteroid therapy is recommended early post-transplantation.



The whole blood trough concentration range described in Table 1 pertain to oral administration of Tacrolimus Capsules USP only; while monitoring tacrolimus concentrations in patients receiving Tacrolimus injection as a continuous intravenous infusion may have some utility, the observed concentrations will not  represent  comparable exposures to those estimated by the trough concentrations observed in patients on oral therapy.



Anaphylactic reactions have occurred with injectables containing castor oil derivatives, such as Tacrolimus injection. Therefore, monitoring for signs and symptoms of anaphylaxis is recommended [see Warnings and Precautions (5.9)]

5.16 Thrombotic Microangiopathy (including Hemolytic Uremic Syndrome and Thrombotic Thrombocytopenic Purpura) (5.16 Thrombotic Microangiopathy (Including Hemolytic Uremic Syndrome and Thrombotic Thrombocytopenic Purpura))

Cases of thrombotic microangiopathy (TMA), including hemolytic uremic syndrome (HUS) and thrombotic thrombocytopenic purpura (TTP), have been reported in patients treated with Tacrolimus Capsules USP. TMA may have a multifactorial etiology. Risk factors for TMA that can occur in transplant patients include, for example, severe infections, graft-versus-host disease (GVHD), Human Leukocyte Antigen (HLA) mismatch, the use of calcineurin inhibitors and mammalian target of rapamycin (mTOR) inhibitors. These risk factors may, either alone or combined, contribute to the risk of TMA.



In patients with signs and symptoms of TMA, consider tacrolimus as a risk factor. Concurrent use of tacrolimus and mTOR inhibitors may contribute to the risk of TMA.


Advanced Ingredient Data


Raw Label Data

All Sections (JSON)