Dimenhydrinate Injection Usp

Dimenhydrinate Injection Usp
SPL v5
SPL
SPL Set ID bc71539e-1a33-4709-8a24-c2894e8dbc1c
Routes
INTRAMUSCULAR INTRAVENOUS
Published
Effective Date 2025-01-15
Document Type 34391-3 HUMAN PRESCRIPTION DRUG LABEL

Drug Facts

Composition & Product

Active Ingredients
Chlortheophylline (0.05 mL)
Inactive Ingredients
Benzyl Alcohol Propylene Glycol Sodium Hydroxide Hydrochloric Acid Water

Identifiers & Packaging

Marketing Status
ANDA Active Since 2004-11-29

Description

Rx only

Indications and Usage

Dimenhydrinate Injection, USP is indicated for the prevention and treatment of nausea, vomiting, or vertigo of motion sickness.

Dosage and Administration

Dimenhydrinate in the injectable form is indicated when the oral form is impractical.

Contraindications

Neonates and patients with a history of hypersensitivity to dimenhydrinate or its components (diphenhydramine or 8-chlorotheophylline) should not be treated with dimenhydrinate. Note: This product contains Benzyl Alcohol. Benzyl Alcohol has been associated with a fatal “Gasping Syndrome” in premature infants and infants of low birth weight.

Adverse Reactions

The most frequent adverse reaction to dimenhydrinate is drowsiness. Dizziness may also occur. Symptoms of dry mouth, nose and throat, blurred vision, difficult or painful urination, headache, anorexia, nervousness, restlessness or insomnia (especially in pediatric patients), skin rash, thickening of bronchial secretions, tachycardia, epigastric distress, lassitude, excitation, and nausea have been reported.

How Supplied

DimenhyDRINATE Injection, USP, 50 mg/mL is available in multiple dose amber vials, as follows: Product Code Unit of Sale Strength Each 361601 NDC 63323-366-01 Unit of 25 50 mg per mL NDC 63323-366-00 1 mL in a 2 mL multiple dose vial Protect from light. Store at 20° to 25°C (68° to 77°F) [see USP Controlled Room Temperature]. The container closure is not made with natural rubber latex.


Medication Information

Indications and Usage

Dimenhydrinate Injection, USP is indicated for the prevention and treatment of nausea, vomiting, or vertigo of motion sickness.

Dosage and Administration

Dimenhydrinate in the injectable form is indicated when the oral form is impractical.

Contraindications

Neonates and patients with a history of hypersensitivity to dimenhydrinate or its components (diphenhydramine or 8-chlorotheophylline) should not be treated with dimenhydrinate.

Note: This product contains Benzyl Alcohol. Benzyl Alcohol has been associated with a fatal “Gasping Syndrome” in premature infants and infants of low birth weight.

Adverse Reactions

The most frequent adverse reaction to dimenhydrinate is drowsiness. Dizziness may also occur. Symptoms of dry mouth, nose and throat, blurred vision, difficult or painful urination, headache, anorexia, nervousness, restlessness or insomnia (especially in pediatric patients), skin rash, thickening of bronchial secretions, tachycardia, epigastric distress, lassitude, excitation, and nausea have been reported.

How Supplied

DimenhyDRINATE Injection, USP, 50 mg/mL is available in multiple dose amber vials, as follows:

Product Code

Unit of Sale

Strength

Each

361601

NDC 63323-366-01

Unit of 25

50 mg per mL

NDC 63323-366-00 1 mL in a 2 mL multiple dose vial

Protect from light.

Store at 20° to 25°C (68° to 77°F) [see USP Controlled Room Temperature].

The container closure is not made with natural rubber latex.

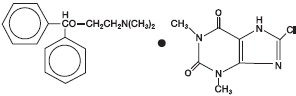
Description

Dimenhydrinate, an anti-nauseant/antiemetic, is the 8-chlorotheophylline salt of diphenhydramine. It contains not less than 53% and not more than 55.5% of diphenhydramine, and not less than 44% and not more than 47% of 8-chlorotheophylline, calculated on the dried basis. Chemically, it is 8-chlorotheophylline compound with 2(diphenylmethoxy)-N,N-dimethylethylamine (1:1), and the structural formula is:

C17H21NO•C7H7ClN4O2                               M.W. 469.96

Dimenhydrinate Injection, USP contains a sterile solution of Dimenhydrinate 50 mg/mL; Propylene Glycol 50%; Benzyl Alcohol 5% as preservative; and Water for Injection q.s. Sodium Hydroxide and/or Hydrochloric Acid may have been used to adjust pH.

Adults

Nausea or vomiting may be expected to be controlled for approximately 4 hours with 50 mg, and prevented by a similar dose every 4 hours. Its administration may be attended by some degree of drowsiness in some patients, and 100 mg every 4 hours may be given in conditions in which drowsiness is not objectionable or is even desirable.

For intramuscular administration, each milliliter (50 mg) of solution is injected as needed, but for intravenous administration, each milliliter (50 mg) of solution must be diluted in 10 mL of 0.9% Sodium Chloride Injection, USP and injected over a period of 2 minutes.

Section 42229-5

Rx only

Section 51945-4

PACKAGE LABEL - PRINCIPAL DISPLAY - Dimenhydrinate 1 mL Vial Label

NDC 63323-366-00          361601

DimenhyDRINATE

INJECTION, USP

50 mg per mL

For IM Use

For IV Use: See package insert.

Rx only

1 mL Multiple Dose Vial

PACKAGE LABEL - PRINCIPAL DISPLAY - Dimenhydrinate 1 mL Vial Tray Label

NDC 63323-366-01           361601

DimenhyDRINATE

INJECTION, USP

50 mg per mL

For IM Use

*For IV Use

Rx only

25 x 1 mL

Multiple Dose Vials

General

Drowsiness may be experienced by some patients, especially with high dosage. This effect frequently is not undesirable in conditions for which the drug is used.

Warnings

Caution should be used when dimenhydrinate is given in conjunction with certain antibiotics that may cause ototoxicity, since dimenhydrinate is capable of masking ototoxic symptoms, and an irreversible state may be reached.

This drug may impair the mental and/or physical abilities required for the performance of potentially hazardous tasks, such as driving a vehicle or operating machinery. The concomitant use of alcohol or other central nervous system depressants may have an additive effect. Therefore, patients should be warned accordingly.

Dimenhydrinate should be used with caution in patients having conditions which might be aggravated by anticholinergic therapy (i.e., prostatic hypertrophy, stenosing peptic ulcer, pyloroduodenal obstruction, bladder neck obstruction, narrow-angle glaucoma, bronchial asthma, or cardiac arrhythmias).

The preparation should not be injected intra-arterially.

Pediatric

For intramuscular administration, 1.25 mg/kg of body weight or 37.5 mg/m2 of body surface area is administered four times daily. The maximum dose should not exceed 300 mg daily (see   CONTRAINDICATIONS ).

Parenteral drug products should be inspected visually for particulate matter and discoloration prior to administration, whenever solution and container permit.

Pregnancy

Pregnancy Category B.

Reproduction studies have been performed in rats at doses up to 20 times the human dose, and in rabbits at doses up to 25 times the human dose (on a mg/kg basis), and have revealed no evidence of impaired fertility or harm to the fetus due to dimenhydrinate. There are no adequate and well-controlled studies in pregnant women. However, clinical studies in pregnant women have not indicated that dimenhydrinate increases the risk of abnormalities when administered in any trimester of pregnancy. It would appear that the possibility of fetal harm is remote when the drug is used during pregnancy. Nevertheless, because the studies in humans cannot rule out the possibility of harm, dimenhydrinate should be used during pregnancy only if clearly needed.

Overdosage

Drowsiness is the usual clinical side effect. Convulsions, coma, and respiratory depression may occur with massive overdosage. No specific antidote is known. If respiratory depression occurs, mechanically assisted respiration should be initiated and oxygen should be administered. Convulsions should be treated with appropriate doses of diazepam. Phenobarbital (5 to 6 mg/kg) may be given to control convulsions in pediatric patients.

The oral LD50 in mice and rats is 203 mg/kg and 1320 mg/kg, respectively. The intraperitoneal LD50 in mice is 149 mg/kg.

Nursing Mothers

Small amounts of dimenhydrinate are excreted in breast milk. Because of the potential for adverse reactions in nursing infants from dimenhydrinate, a decision should be made whether to discontinue nursing or to discontinue the drug, taking into account the importance of the drug to the mother.

Labor and Delivery

The safety of dimenhydrinate given during labor and delivery has not been established. Reports have indicated dimenhydrinate may have an oxytocic effect. Caution is advised when this effect is unwanted or in situations where it may prove detrimental.

Pediatric Patients

For infants and children especially, antihistamines in overdosage may cause hallucinations, convulsions, or death.

As in adults, antihistamines may diminish mental alertness in pediatric patients. In the young child, particularly, they may produce excitation (see   CONTRAINDICATIONS ).

Clinical Pharmacology

While the precise mode of action of dimenhydrinate is not known, it has a depressant action on hyperstimulated labyrinthine function.

Information for Patients

Because of the potential for drowsiness, patients taking dimenhydrinate should be cautioned against operating automobiles or dangerous machinery (see   WARNINGS ).

Carcinogenesis, Mutagenesis, Impairment of Fertility

Mutagenicity screening tests performed with dimenhydrinate, diphenhydramine, and 8-chlorotheophylline produced positive results in the bacterial systems and negative results in the mammalian systems. There are no human data that indicate dimenhydrinate is a carcinogen or mutagen or that it impairs fertility.


Structured Label Content

Adults

Nausea or vomiting may be expected to be controlled for approximately 4 hours with 50 mg, and prevented by a similar dose every 4 hours. Its administration may be attended by some degree of drowsiness in some patients, and 100 mg every 4 hours may be given in conditions in which drowsiness is not objectionable or is even desirable.

For intramuscular administration, each milliliter (50 mg) of solution is injected as needed, but for intravenous administration, each milliliter (50 mg) of solution must be diluted in 10 mL of 0.9% Sodium Chloride Injection, USP and injected over a period of 2 minutes.

Section 42229-5 (42229-5)

Rx only

Section 51945-4 (51945-4)

PACKAGE LABEL - PRINCIPAL DISPLAY - Dimenhydrinate 1 mL Vial Label

NDC 63323-366-00          361601

DimenhyDRINATE

INJECTION, USP

50 mg per mL

For IM Use

For IV Use: See package insert.

Rx only

1 mL Multiple Dose Vial

PACKAGE LABEL - PRINCIPAL DISPLAY - Dimenhydrinate 1 mL Vial Tray Label

NDC 63323-366-01           361601

DimenhyDRINATE

INJECTION, USP

50 mg per mL

For IM Use

*For IV Use

Rx only

25 x 1 mL

Multiple Dose Vials

General

Drowsiness may be experienced by some patients, especially with high dosage. This effect frequently is not undesirable in conditions for which the drug is used.

Warnings (WARNINGS)

Caution should be used when dimenhydrinate is given in conjunction with certain antibiotics that may cause ototoxicity, since dimenhydrinate is capable of masking ototoxic symptoms, and an irreversible state may be reached.

This drug may impair the mental and/or physical abilities required for the performance of potentially hazardous tasks, such as driving a vehicle or operating machinery. The concomitant use of alcohol or other central nervous system depressants may have an additive effect. Therefore, patients should be warned accordingly.

Dimenhydrinate should be used with caution in patients having conditions which might be aggravated by anticholinergic therapy (i.e., prostatic hypertrophy, stenosing peptic ulcer, pyloroduodenal obstruction, bladder neck obstruction, narrow-angle glaucoma, bronchial asthma, or cardiac arrhythmias).

The preparation should not be injected intra-arterially.

Pediatric

For intramuscular administration, 1.25 mg/kg of body weight or 37.5 mg/m2 of body surface area is administered four times daily. The maximum dose should not exceed 300 mg daily (see   CONTRAINDICATIONS ).

Parenteral drug products should be inspected visually for particulate matter and discoloration prior to administration, whenever solution and container permit.

Pregnancy

Pregnancy Category B.

Reproduction studies have been performed in rats at doses up to 20 times the human dose, and in rabbits at doses up to 25 times the human dose (on a mg/kg basis), and have revealed no evidence of impaired fertility or harm to the fetus due to dimenhydrinate. There are no adequate and well-controlled studies in pregnant women. However, clinical studies in pregnant women have not indicated that dimenhydrinate increases the risk of abnormalities when administered in any trimester of pregnancy. It would appear that the possibility of fetal harm is remote when the drug is used during pregnancy. Nevertheless, because the studies in humans cannot rule out the possibility of harm, dimenhydrinate should be used during pregnancy only if clearly needed.

Overdosage (OVERDOSAGE)

Drowsiness is the usual clinical side effect. Convulsions, coma, and respiratory depression may occur with massive overdosage. No specific antidote is known. If respiratory depression occurs, mechanically assisted respiration should be initiated and oxygen should be administered. Convulsions should be treated with appropriate doses of diazepam. Phenobarbital (5 to 6 mg/kg) may be given to control convulsions in pediatric patients.

The oral LD50 in mice and rats is 203 mg/kg and 1320 mg/kg, respectively. The intraperitoneal LD50 in mice is 149 mg/kg.

Description (DESCRIPTION)

Dimenhydrinate, an anti-nauseant/antiemetic, is the 8-chlorotheophylline salt of diphenhydramine. It contains not less than 53% and not more than 55.5% of diphenhydramine, and not less than 44% and not more than 47% of 8-chlorotheophylline, calculated on the dried basis. Chemically, it is 8-chlorotheophylline compound with 2(diphenylmethoxy)-N,N-dimethylethylamine (1:1), and the structural formula is:

C17H21NO•C7H7ClN4O2                               M.W. 469.96

Dimenhydrinate Injection, USP contains a sterile solution of Dimenhydrinate 50 mg/mL; Propylene Glycol 50%; Benzyl Alcohol 5% as preservative; and Water for Injection q.s. Sodium Hydroxide and/or Hydrochloric Acid may have been used to adjust pH.

How Supplied (HOW SUPPLIED)

DimenhyDRINATE Injection, USP, 50 mg/mL is available in multiple dose amber vials, as follows:

Product Code

Unit of Sale

Strength

Each

361601

NDC 63323-366-01

Unit of 25

50 mg per mL

NDC 63323-366-00 1 mL in a 2 mL multiple dose vial

Protect from light.

Store at 20° to 25°C (68° to 77°F) [see USP Controlled Room Temperature].

The container closure is not made with natural rubber latex.

Nursing Mothers

Small amounts of dimenhydrinate are excreted in breast milk. Because of the potential for adverse reactions in nursing infants from dimenhydrinate, a decision should be made whether to discontinue nursing or to discontinue the drug, taking into account the importance of the drug to the mother.

Adverse Reactions (ADVERSE REACTIONS)

The most frequent adverse reaction to dimenhydrinate is drowsiness. Dizziness may also occur. Symptoms of dry mouth, nose and throat, blurred vision, difficult or painful urination, headache, anorexia, nervousness, restlessness or insomnia (especially in pediatric patients), skin rash, thickening of bronchial secretions, tachycardia, epigastric distress, lassitude, excitation, and nausea have been reported.

Contraindications (CONTRAINDICATIONS)

Neonates and patients with a history of hypersensitivity to dimenhydrinate or its components (diphenhydramine or 8-chlorotheophylline) should not be treated with dimenhydrinate.

Note: This product contains Benzyl Alcohol. Benzyl Alcohol has been associated with a fatal “Gasping Syndrome” in premature infants and infants of low birth weight.

Labor and Delivery

The safety of dimenhydrinate given during labor and delivery has not been established. Reports have indicated dimenhydrinate may have an oxytocic effect. Caution is advised when this effect is unwanted or in situations where it may prove detrimental.

Pediatric Patients

For infants and children especially, antihistamines in overdosage may cause hallucinations, convulsions, or death.

As in adults, antihistamines may diminish mental alertness in pediatric patients. In the young child, particularly, they may produce excitation (see   CONTRAINDICATIONS ).

Clinical Pharmacology (CLINICAL PHARMACOLOGY)

While the precise mode of action of dimenhydrinate is not known, it has a depressant action on hyperstimulated labyrinthine function.

Indications and Usage (INDICATIONS AND USAGE)

Dimenhydrinate Injection, USP is indicated for the prevention and treatment of nausea, vomiting, or vertigo of motion sickness.

Information for Patients

Because of the potential for drowsiness, patients taking dimenhydrinate should be cautioned against operating automobiles or dangerous machinery (see   WARNINGS ).

Dosage and Administration (DOSAGE AND ADMINISTRATION)

Dimenhydrinate in the injectable form is indicated when the oral form is impractical.

Carcinogenesis, Mutagenesis, Impairment of Fertility

Mutagenicity screening tests performed with dimenhydrinate, diphenhydramine, and 8-chlorotheophylline produced positive results in the bacterial systems and negative results in the mammalian systems. There are no human data that indicate dimenhydrinate is a carcinogen or mutagen or that it impairs fertility.


Advanced Ingredient Data


Raw Label Data

All Sections (JSON)