Betamethasone Dipropionate

Betamethasone Dipropionate
SPL v7
SPL
SPL Set ID bc12c828-54ba-411d-b752-9b735f7adf63
Route
TOPICAL
Published
Effective Date 2019-11-11
Document Type 34391-3 HUMAN PRESCRIPTION DRUG LABEL

Drug Facts

Composition & Product

Active Ingredients
Betamethasone (0.5 mg)
Inactive Ingredients
Ceteth-20 Cetostearyl Alcohol Mineral Oil Propylene Glycol Water Sodium Phosphate, Monobasic, Unspecified Form Petrolatum Chlorocresol Phosphoric Acid Sodium Hydroxide

Identifiers & Packaging

Pill Appearance
Color: white
Marketing Status
ANDA Active Since 1992-04-30

Description

FOR DERMATOLOGIC USE ONLY. NOT FOR OPHTHALMIC USE. Rx only

Indications and Usage

Betamethasone dipropionate cream is a medium-potency corticosteroid indicated for relief of the inflammatory and pruritic manifestations of corticosteroid responsive dermatoses in patients 13 years and older.

Dosage and Administration

Apply a thin film of betamethasone dipropionate cream USP, 0.05% to the affected skin areas once daily. In some cases, twice-daily dosage may be necessary. Betamethasone dipropionate cream USP, 0.05% should not be used with occlusive dressings.

Contraindications

Betamethasone dipropionate cream is contraindicated in patients who are hypersensitive to betamethasone dipropionate, to other corticosteroids, or to any ingredient in this preparation.

Adverse Reactions

The following local adverse reactions are reported infrequently when betamethasone dipropionate cream USP, 0.05% is used as recommended in the DOSAGE AND ADMINISTRATION section. These reactions are listed in an approximate decreasing order of occurrence: burning, itching, irritation, dryness, folliculitis, hypertrichosis, acneiform eruptions, hypopigmentation, perioral dermatitis, allergic contact dermatitis, maceration of the skin, secondary infections, skin atrophy, striae and miliaria. Adverse reactions reported to be possibly or probably related to treatment with betamethasone dipropionate cream during a pedatric clinical study include signs of skin atrophy (brusing, shininess). Skin atrophy occurred in 3 of 63 (5%) patients, a 3-year old, a 5-year old, and a 7-year old. Systemic absorption of topical corticosteroids has produced reversible hypothalamic-pituitary-adrenal (HPA) axis suppression, manifestations of Cushing's syndrome, hyperglycemia, and glucosuria in some patients.

How Supplied

Betamethasone Dipropionate Cream USP, 0.05% is supplied in 15 gram (NDC 51672-1274-1) and 45 gram (NDC 51672-1274-6) tubes.


Medication Information

Indications and Usage

Betamethasone dipropionate cream is a medium-potency corticosteroid indicated for relief of the inflammatory and pruritic manifestations of corticosteroid responsive dermatoses in patients 13 years and older.

Dosage and Administration

Apply a thin film of betamethasone dipropionate cream USP, 0.05% to the affected skin areas once daily. In some cases, twice-daily dosage may be necessary.

Betamethasone dipropionate cream USP, 0.05% should not be used with occlusive dressings.

Contraindications

Betamethasone dipropionate cream is contraindicated in patients who are hypersensitive to betamethasone dipropionate, to other corticosteroids, or to any ingredient in this preparation.

Adverse Reactions

The following local adverse reactions are reported infrequently when betamethasone dipropionate cream USP, 0.05% is used as recommended in the DOSAGE AND ADMINISTRATIONsection. These reactions are listed in an approximate decreasing order of occurrence: burning, itching, irritation, dryness, folliculitis, hypertrichosis, acneiform eruptions, hypopigmentation, perioral dermatitis, allergic contact dermatitis, maceration of the skin, secondary infections, skin atrophy, striae and miliaria. Adverse reactions reported to be possibly or probably related to treatment with betamethasone dipropionate cream during a pedatric clinical study include signs of skin atrophy (brusing, shininess). Skin atrophy occurred in 3 of 63 (5%) patients, a 3-year old, a 5-year old, and a 7-year old.

Systemic absorption of topical corticosteroids has produced reversible hypothalamic-pituitary-adrenal (HPA) axis suppression, manifestations of Cushing's syndrome, hyperglycemia, and glucosuria in some patients.

How Supplied

Betamethasone Dipropionate Cream USP, 0.05% is supplied in 15 gram (NDC 51672-1274-1) and 45 gram (NDC 51672-1274-6) tubes.

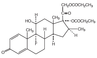
Description

Betamethasone Dipropionate Cream USP, 0.05% contains betamethasone dipropionate, USP, a synthetic adrenocorticosteroid, for dermatologic use. Betamethasone, an analog of prednisolone, has a high degree of glucocorticoid activity and a slight mineralocorticoid activity.

Betamethasone dipropionate is the 17, 21-dipropionate ester of betamethasone.

Betamethasone dipropionate is a white to creamy white, odorless crystalline powder, insoluble in water.

Chemically, it is 9-Fluoro-11β,17,21-trihydroxy-16β-methylpregna-1,4-diene-3,20-dione 17,21-dipropionate. The structural formula is:

Each gram of Betamethasone Dipropionate Cream USP, 0.05% contains: 0.643 mg betamethasone dipropionate USP (equivalent to 0.5 mg betamethasone), in a hydrophilic emollient cream consisting of cetomacrogol 1000, cetostearyl alcohol, mineral oil, propylene glycol, purified water, sodium phosphate monobasic, white petrolatum, chlorocresol as preservative, and phosphoric acid and/or sodium hydroxide for pH adjustment.

Section 42229-5

FOR DERMATOLOGIC USE ONLY. NOT FOR OPHTHALMIC USE.

Rx only

Section 44425-7

Store at 20° to 25°C (68° to 77°F)[see USP Controlled Room Temperature].

General

Systemic absorption of topical corticosteroids has produced reversible hypothalamic-pituitary-adrenal (HPA) axis suppression, manifestations of Cushing's syndrome, hyperglycemia, and glucosuria in some patients.

Conditions which augment systemic absorption include the application of the more potent steroids, use over large surface areas, prolonged use, and the addition of occlusive dressings. Use of more than one corticosteriod-containing product at the same time may increase total systemic glucocorticoid exposure. (See DOSAGE AND ADMINISTRATION .)

Therefore, patients receiving a large dose of a potent topical steroid applied to a large surface area should be evaluated periodically for evidence of HPA axis suppression by using the urinary free cortisol and ACTH stimulation tests. If HPA axis suppression is noted, an attempt should be made to withdraw the drug, to reduce the frequency of application, or to substitute a less potent steroid.

Recovery of HPA axis function is generally prompt and complete upon discontinuation of the drug. In an open-label pediatric study of 43 evaluable patients, of the 10 subjects who showed evidence of suppression, 2 subjects were tested 2 weeks after discontinuation of betamethasone dipropionate cream, 0.05%, and 1 of the 2 (50%) had complete recovery of HPA axis function.

Infrequently, signs and symptoms of steroid withdrawal may occur, requiring supplemental systemic corticosteroids.

Pediatric patients may absorb proportionally larger amounts of topical corticosteroids and thus be more susceptible to systemic toxicity (See PRECAUTIONS - Pediatric Use ). If irritation develops, topical corticosteroids should be discontinued and appropriate therapy instituted.

In the presence of dermatological infections, the use of an appropriate antifungal or antibacterial agent should be instituted. If a favorable response does not occur promptly, the corticosteroid should be discontinued until the infection has been adequately controlled.

Overdosage

Topically applied corticosteroids can be absorbed in sufficient amounts to produce systemic effects (See PRECAUTIONS ).

Pediatric Use

Use of betamethasone dipropionate cream, 0.05%, in pediatric patients 12 years of age and younger is not recommended. (See CLINICAL PHARMACOLOGY and ADVERSE REACTIONS .)

In an open-label study, 10 of 43 (23%) evaluable pediatric patients (aged 2 years to 12 years old) using betamethasone dipropionate cream for treatment of atopic dermatitis for 2 to 3 weeks demonstrated HPA axis suppression. The proportion of patients with adrenal suppression in this study was progressively greater, the younger the age group. (See CLINICAL PHARMACOLOGY - Pharmacokinetics .)

Pediatric patients may demonstrate greater susceptibility to topical corticosteroid-induced HPA axis suppression and Cushing's syndrome than mature patients because of a larger skin surface area to body weight ratio.The study described above supports this premise, as suppression in 9 to 12 year olds, and 2 to 5 year olds was 14%, 23%, and 30%, respectively.

Hypothalamic-pituitary-adrenal (HPA) axis suppression, Cushing's syndrome, and intracranial hypertension have been reported in pediatric patients receiving topical corticosteroids. Manifestations of adrenal suppression in pediatric patients include linear growth retardation, delayed weight gain, low plasma cortisol levels, and absence of response to ACTH stimulation. Manifestations of intracranial hypertension include bulging fontanelles, headaches and bilateral papilledema.

Administration of topical corticosteroids to pediatric patients should be limited to the least amount compatible with an effective therapeutic regimen. Chronic corticosteroid therapy may interfere with the growth and development of pediatric patients.

Nursing Mothers

It is not known whether topical administration of corticosteroids could result in sufficient systemic absorption to produce detectable quantities in breast milk. Systemically administered corticosteroids are secreted into breast milk in quantities not likely to have a deleterious effect on the infant. Nevertheless, caution should be exercised when topical corticosteroids are prescribed for a nursing woman.

Laboratory Tests

The following tests may be helpful in evaluating HPA axis suppression:

  • Urinary free cortisol test
  • ACTH stimulation test
Pharmacokinetics

The extent of percutaneous absorption of topical corticosteroids is determined by many factors including the vehicle, the integrity of the epidermal barrier, and the use of occlusive dressings. (See DOSAGE AND ADMINISTRATION ).

Topical corticosteroids can be absorbed through normal intact skin. Inflammation and/or other disease processes in the skin increase percutaneous absorption. Occlusive dressings substantially increase the percutaneous absorption of topical corticosteroids (See DOSAGE AND ADMINISTRATION ).

Once absorbed through the skin, topical corticosteroids are handled through pharmacokinetic pathways similar to systemically administered corticosteroids. Corticosteroids are bound to plasma proteins in varying degrees. Corticosteroids are metabolized primarily in the liver and are then excreted by the kidneys. Some of the topical corticosteroids and their metabolites are also excreted into the bile.

Sixty-three pediatric patients ages 1 to 12 years, with atopic dermatitis, were enrolled in an open-label, hypothalamic-pituitary-adrenal (HPA) axis safety study. Betamethasone dipropionate cream was applied twice daily for 2 to 3 weeks over a mean body surface area of 40% (range 35% to 90%). In 10 of 43 (23%) evaluable patients, adrenal suppression was indicated by either a ≤ 5 mcg/dL pre-stimulation cortisol, or a cosyntropin post-stimulation cortisol ≤ 18 mcg/dL and/or an increase of < 7 mcg/dL from the baseline cortisol. Studies performed with betamethasone dipropionate cream indicate that it is in the medium range of potency as compared with other topical corticosteroids.

Pregnancy Category C

Corticosteroids are generally teratogenic in laboratory animals when administered systemically at relatively low dosage levels.

Betamethasone dipropionate has been shown to be teratogenic in rabbits when given by the intramuscular route at doses of 0.05 mg/kg. This dose is approximately 0.03 fold the estimated maximum human dose based on a mg/m 2comparison. The abnormalities observed included umbilical hernias, cephalocele and cleft palates.

Some corticosteroids have been shown to be teratogenic after dermal application in laboratory animals. There are no adequate and well-controlled studies in pregnant women on teratogenic effects from topically applied corticosteroids.

Therefore, topical corticosteroids should be used during pregnancy only if the potential benefit justifies the potential risk to the fetus. Drugs of this class should not be used extensively on pregnant patients, in large amounts, or for prolonged periods of time.

Clinical Pharmacology

The corticosteroids are a class of compounds comprising steroid hormones, secreted by the adrenal cortex and their synthetic analogs. In pharmacologic doses corticosteroids are used primarily for their anti-inflammatory and/or immunosuppressive effects.

Topical corticosteroids, such as betamethasone dipropionate, are effective in the treatment of corticosteroid-responsive dermatoses primarily because of their anti-inflammatory, antipruritic, and vasoconstrictive actions. However, while the physiologic, pharmacologic, and clinical effects of the corticosteroids are well known, the exact mechanisms of their actions in each disease are uncertain. Betamethasone dipropionate, a corticosteroid, has been shown to have topical (dermatologic) and systemic pharmacologic and metabolic effects characteristic of this class of drugs.

Information for Patients

This information is intended to aid in the safe and effective use of this medication. It is not a disclosure of all possible adverse or intended effects.

Patients using topical corticosteroids should receive the following information and instructions:

  • This medication is to be used as directed by the physician. It is for external use only. Avoid contact with the eyes.
  • Patients should be advised not to use this medication for any disorder other than that for which it was prescribed.
  • The treated skin area should not be bandaged or otherwise covered or wrapped as to be occlusive. (See DOSAGE AND ADMINISTRATION .)
  • Patients should report any signs of local adverse reactions.
  • Other corticosteroid-containing products should not be used with betamethasone dipropionate cream without first talking to your physician.
Principal Display Panel 15 G Tube Carton

NDC 51672-1274-1

15 g

Betamethasone

Dipropionate

Cream USP, 0.05%

(potency expressed as betamethasone)

FOR DERMATOLOGIC USE ONLY.

NOT FOR OPHTHALMIC USE.

Rx only

Keep this and all medications out of the reach of children.

TARO

Carcinogenesis, Mutagenesis, and Impairment of Fertility

Long-term animal studies have not been performed to evaluate the carcinogenic potential of betamethasone dipropionate.

Betamethasone was negative in the bacterial mutagenicity assay (Salmonella typhimuriumand Escherichia coli), and in the mammalian cell mutagenicity assay (CHO/HGPRT). It as positive in the in-vitrohuman lymphocyte chromosome aberration assay, and equivocal in the in-vivomouse bone marrow micronucleus assay. This pattern of response is similar to that of dexamethasone and hydrocortisone.

Reproductive studies with betamethasone dipropionate carried out in rabbits at doses of 1.0 mg/kg by the intramuscular route and in mice up to 33 mg/kg by the intramuscular route indicated no impairment of fertility except for dose-related increases in fetal resorption rates in both species. These doses are approximately 0.5 and 4 fold the estimated maximum human dose based on a mg/m 2comparison, respectively.


Structured Label Content

Section 42229-5 (42229-5)

FOR DERMATOLOGIC USE ONLY. NOT FOR OPHTHALMIC USE.

Rx only

Section 44425-7 (44425-7)

Store at 20° to 25°C (68° to 77°F)[see USP Controlled Room Temperature].

General

Systemic absorption of topical corticosteroids has produced reversible hypothalamic-pituitary-adrenal (HPA) axis suppression, manifestations of Cushing's syndrome, hyperglycemia, and glucosuria in some patients.

Conditions which augment systemic absorption include the application of the more potent steroids, use over large surface areas, prolonged use, and the addition of occlusive dressings. Use of more than one corticosteriod-containing product at the same time may increase total systemic glucocorticoid exposure. (See DOSAGE AND ADMINISTRATION .)

Therefore, patients receiving a large dose of a potent topical steroid applied to a large surface area should be evaluated periodically for evidence of HPA axis suppression by using the urinary free cortisol and ACTH stimulation tests. If HPA axis suppression is noted, an attempt should be made to withdraw the drug, to reduce the frequency of application, or to substitute a less potent steroid.

Recovery of HPA axis function is generally prompt and complete upon discontinuation of the drug. In an open-label pediatric study of 43 evaluable patients, of the 10 subjects who showed evidence of suppression, 2 subjects were tested 2 weeks after discontinuation of betamethasone dipropionate cream, 0.05%, and 1 of the 2 (50%) had complete recovery of HPA axis function.

Infrequently, signs and symptoms of steroid withdrawal may occur, requiring supplemental systemic corticosteroids.

Pediatric patients may absorb proportionally larger amounts of topical corticosteroids and thus be more susceptible to systemic toxicity (See PRECAUTIONS - Pediatric Use ). If irritation develops, topical corticosteroids should be discontinued and appropriate therapy instituted.

In the presence of dermatological infections, the use of an appropriate antifungal or antibacterial agent should be instituted. If a favorable response does not occur promptly, the corticosteroid should be discontinued until the infection has been adequately controlled.

Overdosage (OVERDOSAGE)

Topically applied corticosteroids can be absorbed in sufficient amounts to produce systemic effects (See PRECAUTIONS ).

Description (DESCRIPTION)

Betamethasone Dipropionate Cream USP, 0.05% contains betamethasone dipropionate, USP, a synthetic adrenocorticosteroid, for dermatologic use. Betamethasone, an analog of prednisolone, has a high degree of glucocorticoid activity and a slight mineralocorticoid activity.

Betamethasone dipropionate is the 17, 21-dipropionate ester of betamethasone.

Betamethasone dipropionate is a white to creamy white, odorless crystalline powder, insoluble in water.

Chemically, it is 9-Fluoro-11β,17,21-trihydroxy-16β-methylpregna-1,4-diene-3,20-dione 17,21-dipropionate. The structural formula is:

Each gram of Betamethasone Dipropionate Cream USP, 0.05% contains: 0.643 mg betamethasone dipropionate USP (equivalent to 0.5 mg betamethasone), in a hydrophilic emollient cream consisting of cetomacrogol 1000, cetostearyl alcohol, mineral oil, propylene glycol, purified water, sodium phosphate monobasic, white petrolatum, chlorocresol as preservative, and phosphoric acid and/or sodium hydroxide for pH adjustment.

How Supplied (HOW SUPPLIED)

Betamethasone Dipropionate Cream USP, 0.05% is supplied in 15 gram (NDC 51672-1274-1) and 45 gram (NDC 51672-1274-6) tubes.

Pediatric Use

Use of betamethasone dipropionate cream, 0.05%, in pediatric patients 12 years of age and younger is not recommended. (See CLINICAL PHARMACOLOGY and ADVERSE REACTIONS .)

In an open-label study, 10 of 43 (23%) evaluable pediatric patients (aged 2 years to 12 years old) using betamethasone dipropionate cream for treatment of atopic dermatitis for 2 to 3 weeks demonstrated HPA axis suppression. The proportion of patients with adrenal suppression in this study was progressively greater, the younger the age group. (See CLINICAL PHARMACOLOGY - Pharmacokinetics .)

Pediatric patients may demonstrate greater susceptibility to topical corticosteroid-induced HPA axis suppression and Cushing's syndrome than mature patients because of a larger skin surface area to body weight ratio.The study described above supports this premise, as suppression in 9 to 12 year olds, and 2 to 5 year olds was 14%, 23%, and 30%, respectively.

Hypothalamic-pituitary-adrenal (HPA) axis suppression, Cushing's syndrome, and intracranial hypertension have been reported in pediatric patients receiving topical corticosteroids. Manifestations of adrenal suppression in pediatric patients include linear growth retardation, delayed weight gain, low plasma cortisol levels, and absence of response to ACTH stimulation. Manifestations of intracranial hypertension include bulging fontanelles, headaches and bilateral papilledema.

Administration of topical corticosteroids to pediatric patients should be limited to the least amount compatible with an effective therapeutic regimen. Chronic corticosteroid therapy may interfere with the growth and development of pediatric patients.

Nursing Mothers

It is not known whether topical administration of corticosteroids could result in sufficient systemic absorption to produce detectable quantities in breast milk. Systemically administered corticosteroids are secreted into breast milk in quantities not likely to have a deleterious effect on the infant. Nevertheless, caution should be exercised when topical corticosteroids are prescribed for a nursing woman.

Laboratory Tests

The following tests may be helpful in evaluating HPA axis suppression:

  • Urinary free cortisol test
  • ACTH stimulation test
Pharmacokinetics

The extent of percutaneous absorption of topical corticosteroids is determined by many factors including the vehicle, the integrity of the epidermal barrier, and the use of occlusive dressings. (See DOSAGE AND ADMINISTRATION ).

Topical corticosteroids can be absorbed through normal intact skin. Inflammation and/or other disease processes in the skin increase percutaneous absorption. Occlusive dressings substantially increase the percutaneous absorption of topical corticosteroids (See DOSAGE AND ADMINISTRATION ).

Once absorbed through the skin, topical corticosteroids are handled through pharmacokinetic pathways similar to systemically administered corticosteroids. Corticosteroids are bound to plasma proteins in varying degrees. Corticosteroids are metabolized primarily in the liver and are then excreted by the kidneys. Some of the topical corticosteroids and their metabolites are also excreted into the bile.

Sixty-three pediatric patients ages 1 to 12 years, with atopic dermatitis, were enrolled in an open-label, hypothalamic-pituitary-adrenal (HPA) axis safety study. Betamethasone dipropionate cream was applied twice daily for 2 to 3 weeks over a mean body surface area of 40% (range 35% to 90%). In 10 of 43 (23%) evaluable patients, adrenal suppression was indicated by either a ≤ 5 mcg/dL pre-stimulation cortisol, or a cosyntropin post-stimulation cortisol ≤ 18 mcg/dL and/or an increase of < 7 mcg/dL from the baseline cortisol. Studies performed with betamethasone dipropionate cream indicate that it is in the medium range of potency as compared with other topical corticosteroids.

Adverse Reactions (ADVERSE REACTIONS)

The following local adverse reactions are reported infrequently when betamethasone dipropionate cream USP, 0.05% is used as recommended in the DOSAGE AND ADMINISTRATIONsection. These reactions are listed in an approximate decreasing order of occurrence: burning, itching, irritation, dryness, folliculitis, hypertrichosis, acneiform eruptions, hypopigmentation, perioral dermatitis, allergic contact dermatitis, maceration of the skin, secondary infections, skin atrophy, striae and miliaria. Adverse reactions reported to be possibly or probably related to treatment with betamethasone dipropionate cream during a pedatric clinical study include signs of skin atrophy (brusing, shininess). Skin atrophy occurred in 3 of 63 (5%) patients, a 3-year old, a 5-year old, and a 7-year old.

Systemic absorption of topical corticosteroids has produced reversible hypothalamic-pituitary-adrenal (HPA) axis suppression, manifestations of Cushing's syndrome, hyperglycemia, and glucosuria in some patients.

Contraindications (CONTRAINDICATIONS)

Betamethasone dipropionate cream is contraindicated in patients who are hypersensitive to betamethasone dipropionate, to other corticosteroids, or to any ingredient in this preparation.

Pregnancy Category C

Corticosteroids are generally teratogenic in laboratory animals when administered systemically at relatively low dosage levels.

Betamethasone dipropionate has been shown to be teratogenic in rabbits when given by the intramuscular route at doses of 0.05 mg/kg. This dose is approximately 0.03 fold the estimated maximum human dose based on a mg/m 2comparison. The abnormalities observed included umbilical hernias, cephalocele and cleft palates.

Some corticosteroids have been shown to be teratogenic after dermal application in laboratory animals. There are no adequate and well-controlled studies in pregnant women on teratogenic effects from topically applied corticosteroids.

Therefore, topical corticosteroids should be used during pregnancy only if the potential benefit justifies the potential risk to the fetus. Drugs of this class should not be used extensively on pregnant patients, in large amounts, or for prolonged periods of time.

Clinical Pharmacology (CLINICAL PHARMACOLOGY)

The corticosteroids are a class of compounds comprising steroid hormones, secreted by the adrenal cortex and their synthetic analogs. In pharmacologic doses corticosteroids are used primarily for their anti-inflammatory and/or immunosuppressive effects.

Topical corticosteroids, such as betamethasone dipropionate, are effective in the treatment of corticosteroid-responsive dermatoses primarily because of their anti-inflammatory, antipruritic, and vasoconstrictive actions. However, while the physiologic, pharmacologic, and clinical effects of the corticosteroids are well known, the exact mechanisms of their actions in each disease are uncertain. Betamethasone dipropionate, a corticosteroid, has been shown to have topical (dermatologic) and systemic pharmacologic and metabolic effects characteristic of this class of drugs.

Indications and Usage (INDICATIONS AND USAGE)

Betamethasone dipropionate cream is a medium-potency corticosteroid indicated for relief of the inflammatory and pruritic manifestations of corticosteroid responsive dermatoses in patients 13 years and older.

Information for Patients

This information is intended to aid in the safe and effective use of this medication. It is not a disclosure of all possible adverse or intended effects.

Patients using topical corticosteroids should receive the following information and instructions:

  • This medication is to be used as directed by the physician. It is for external use only. Avoid contact with the eyes.
  • Patients should be advised not to use this medication for any disorder other than that for which it was prescribed.
  • The treated skin area should not be bandaged or otherwise covered or wrapped as to be occlusive. (See DOSAGE AND ADMINISTRATION .)
  • Patients should report any signs of local adverse reactions.
  • Other corticosteroid-containing products should not be used with betamethasone dipropionate cream without first talking to your physician.
Dosage and Administration (DOSAGE AND ADMINISTRATION)

Apply a thin film of betamethasone dipropionate cream USP, 0.05% to the affected skin areas once daily. In some cases, twice-daily dosage may be necessary.

Betamethasone dipropionate cream USP, 0.05% should not be used with occlusive dressings.

Principal Display Panel 15 G Tube Carton (PRINCIPAL DISPLAY PANEL - 15 g Tube Carton)

NDC 51672-1274-1

15 g

Betamethasone

Dipropionate

Cream USP, 0.05%

(potency expressed as betamethasone)

FOR DERMATOLOGIC USE ONLY.

NOT FOR OPHTHALMIC USE.

Rx only

Keep this and all medications out of the reach of children.

TARO

Carcinogenesis, Mutagenesis, and Impairment of Fertility

Long-term animal studies have not been performed to evaluate the carcinogenic potential of betamethasone dipropionate.

Betamethasone was negative in the bacterial mutagenicity assay (Salmonella typhimuriumand Escherichia coli), and in the mammalian cell mutagenicity assay (CHO/HGPRT). It as positive in the in-vitrohuman lymphocyte chromosome aberration assay, and equivocal in the in-vivomouse bone marrow micronucleus assay. This pattern of response is similar to that of dexamethasone and hydrocortisone.

Reproductive studies with betamethasone dipropionate carried out in rabbits at doses of 1.0 mg/kg by the intramuscular route and in mice up to 33 mg/kg by the intramuscular route indicated no impairment of fertility except for dose-related increases in fetal resorption rates in both species. These doses are approximately 0.5 and 4 fold the estimated maximum human dose based on a mg/m 2comparison, respectively.


Advanced Ingredient Data


Raw Label Data

All Sections (JSON)