These Highlights Do Not Include All The Information Needed To Use Emrelis Safely And Effectively. See Full Prescribing Information For Emrelis.

These Highlights Do Not Include All The Information Needed To Use Emrelis Safely And Effectively. See Full Prescribing Information For Emrelis.
SPL v3
SPL
SPL Set ID bc04f980-3957-4e35-ab81-8ec2ffe87215
Route
INTRAVENOUS
Published
Effective Date 2025-05-25
Document Type 34391-3 HUMAN PRESCRIPTION DRUG LABEL

Drug Facts

Composition & Product

Active Ingredients
Telisotuzumab Vedotin (20 mg)
Inactive Ingredients
Histidine Polysorbate 80 Sucrose Water Hydrochloric Acid

Identifiers & Packaging

Marketing Status
BLA Active Since 2025-05-14

Description

EMRELIS is indicated for the treatment of adult patients with locally advanced or metastatic, non-squamous non-small cell lung cancer (NSCLC) with high c-Met protein overexpression [≥50% of tumor cells with strong (3+) staining], as determined by an FDA-approved test [see Dosage and Administration ( 2.1 )] , who have received a prior systemic therapy . This indication is approved under accelerated approval based on overall response rate (ORR) and duration of response   (DOR) [see Clinical Studies ( 14 )] . Continued approval for this indication may be contingent upon verification and description of clinical benefit in a confirmatory trial(s).

Indications and Usage

EMRELIS is indicated for the treatment of adult patients with locally advanced or metastatic, non-squamous non-small cell lung cancer (NSCLC) with high c-Met protein overexpression [≥50% of tumor cells with strong (3+) staining], as determined by an FDA-approved test [see Dosage and Administration ( 2.1 )] , who have received a prior systemic therapy . This indication is approved under accelerated approval based on overall response rate (ORR) and duration of response   (DOR) [see Clinical Studies ( 14 )] . Continued approval for this indication may be contingent upon verification and description of clinical benefit in a confirmatory trial(s).

Dosage and Administration

For intravenous infusion only. ( 2.5 ) The recommended dosage of EMRELIS is 1.9 mg/kg administered intravenously every 2 weeks until disease progression or unacceptable toxicity. ( 2.2 ) Reconstitute and further dilute EMRELIS prior to intravenous infusion. ( 2.5 )

Warnings and Precautions

Peripheral Neuropathy : Monitor patients for new or worsening peripheral neuropathy. Withhold, reduce the dose, or permanently discontinue EMRELIS based on the severity. ( 5.1 ) I nterstitial Lung Disease (ILD)/ Pneumonitis : Severe, life-threatening or fatal ILD/pneumonitis may occur. Withhold or permanently discontinue EMRELIS based on the severity. ( 5.2 ) Ocular Surface Disorders : Monitor patients for signs or symptoms of ocular surface disorders, including vision changes. Withhold or permanently discontinue EMRELIS based on the severity. ( 5.3 ) Infusion - Related Reactions (IRR) : Monitor patients for IRR. Withhold, reduce the rate of infusion, or permanently discontinue EMRELIS based on the severity. For patients who experience IRR, administer premedications prior to subsequent infusions. ( 5.4 )  Embryo-Fetal Toxicity : Can cause fetal harm. Advise patients about the potential risk to a fetus and to use effective contraception. ( 5.5 )

Contraindications

None.

Adverse Reactions

The following clinically significant adverse reactions are described elsewhere in the labeling: Peripheral Neuropathy [see Warnings and Precautions ( 5.1 )] Interstitial Lung Disease (ILD)/Pneumonitis  [see Warnings and Precautions ( 5.2 )] Ocular Surface Disorders [see Warnings and Precautions ( 5.3 )] Infusion-Related Reactions (IRR) [see Warnings and Precautions ( 5.4 )]

Drug Interactions

S trong CYP3A I nhibitors : concomitant use with EMRELIS may increase the AUC of MMAE. Monitor for increased risk of adverse reactions to EMRELIS. ( 7.1 )

Storage and Handling

How Supplied EMRELIS (telisotuzumab vedotin-tllv) for injection is a sterile, preservative-free, white to off-white lyophilized powder, supplied in a glass single-dose vial. Carton of one 20 mg/vial (NDC 0074-1044-01) Carton of one 100 mg/vial (NDC 0074-1055-01) Storage and Handling Store refrigerated at 2 o C to 8 o C (36 o F to 46 o F) in original carton to protect from light. Do not freeze. Do not shake. Special Handling EMRELIS is a hazardous product. Follow special handling and disposal procedures. 1

How Supplied

How Supplied EMRELIS (telisotuzumab vedotin-tllv) for injection is a sterile, preservative-free, white to off-white lyophilized powder, supplied in a glass single-dose vial. Carton of one 20 mg/vial (NDC 0074-1044-01) Carton of one 100 mg/vial (NDC 0074-1055-01) Storage and Handling Store refrigerated at 2 o C to 8 o C (36 o F to 46 o F) in original carton to protect from light. Do not freeze. Do not shake. Special Handling EMRELIS is a hazardous product. Follow special handling and disposal procedures. 1


Medication Information

Warnings and Precautions

Peripheral Neuropathy : Monitor patients for new or worsening peripheral neuropathy. Withhold, reduce the dose, or permanently discontinue EMRELIS based on the severity. ( 5.1 ) I nterstitial Lung Disease (ILD)/ Pneumonitis : Severe, life-threatening or fatal ILD/pneumonitis may occur. Withhold or permanently discontinue EMRELIS based on the severity. ( 5.2 ) Ocular Surface Disorders : Monitor patients for signs or symptoms of ocular surface disorders, including vision changes. Withhold or permanently discontinue EMRELIS based on the severity. ( 5.3 ) Infusion - Related Reactions (IRR) : Monitor patients for IRR. Withhold, reduce the rate of infusion, or permanently discontinue EMRELIS based on the severity. For patients who experience IRR, administer premedications prior to subsequent infusions. ( 5.4 )  Embryo-Fetal Toxicity : Can cause fetal harm. Advise patients about the potential risk to a fetus and to use effective contraception. ( 5.5 )

Indications and Usage

EMRELIS is indicated for the treatment of adult patients with locally advanced or metastatic, non-squamous non-small cell lung cancer (NSCLC) with high c-Met protein overexpression [≥50% of tumor cells with strong (3+) staining], as determined by an FDA-approved test [see Dosage and Administration ( 2.1 )] , who have received a prior systemic therapy . This indication is approved under accelerated approval based on overall response rate (ORR) and duration of response   (DOR) [see Clinical Studies ( 14 )] . Continued approval for this indication may be contingent upon verification and description of clinical benefit in a confirmatory trial(s).

Dosage and Administration

For intravenous infusion only. ( 2.5 ) The recommended dosage of EMRELIS is 1.9 mg/kg administered intravenously every 2 weeks until disease progression or unacceptable toxicity. ( 2.2 ) Reconstitute and further dilute EMRELIS prior to intravenous infusion. ( 2.5 )

Contraindications

None.

Adverse Reactions

The following clinically significant adverse reactions are described elsewhere in the labeling: Peripheral Neuropathy [see Warnings and Precautions ( 5.1 )] Interstitial Lung Disease (ILD)/Pneumonitis  [see Warnings and Precautions ( 5.2 )] Ocular Surface Disorders [see Warnings and Precautions ( 5.3 )] Infusion-Related Reactions (IRR) [see Warnings and Precautions ( 5.4 )]

Drug Interactions

S trong CYP3A I nhibitors : concomitant use with EMRELIS may increase the AUC of MMAE. Monitor for increased risk of adverse reactions to EMRELIS. ( 7.1 )

Storage and Handling

How Supplied EMRELIS (telisotuzumab vedotin-tllv) for injection is a sterile, preservative-free, white to off-white lyophilized powder, supplied in a glass single-dose vial. Carton of one 20 mg/vial (NDC 0074-1044-01) Carton of one 100 mg/vial (NDC 0074-1055-01) Storage and Handling Store refrigerated at 2 o C to 8 o C (36 o F to 46 o F) in original carton to protect from light. Do not freeze. Do not shake. Special Handling EMRELIS is a hazardous product. Follow special handling and disposal procedures. 1

How Supplied

How Supplied EMRELIS (telisotuzumab vedotin-tllv) for injection is a sterile, preservative-free, white to off-white lyophilized powder, supplied in a glass single-dose vial. Carton of one 20 mg/vial (NDC 0074-1044-01) Carton of one 100 mg/vial (NDC 0074-1055-01) Storage and Handling Store refrigerated at 2 o C to 8 o C (36 o F to 46 o F) in original carton to protect from light. Do not freeze. Do not shake. Special Handling EMRELIS is a hazardous product. Follow special handling and disposal procedures. 1

Description

EMRELIS is indicated for the treatment of adult patients with locally advanced or metastatic, non-squamous non-small cell lung cancer (NSCLC) with high c-Met protein overexpression [≥50% of tumor cells with strong (3+) staining], as determined by an FDA-approved test [see Dosage and Administration ( 2.1 )] , who have received a prior systemic therapy . This indication is approved under accelerated approval based on overall response rate (ORR) and duration of response   (DOR) [see Clinical Studies ( 14 )] . Continued approval for this indication may be contingent upon verification and description of clinical benefit in a confirmatory trial(s).

2.

Table 3 contains the recommended premedications for patients who experience infusion-related reactions to EMRELIS, for subsequent infusions.

Table 3: Recommended Premedications for Patients Who Experience Infusion-Related Reactions
Medication Class E xamples or equivalent Dose Route of Administration Dosing Window Prior to EMRELIS Administration
H1 Antihistamine Diphenhydramine 25 to 50 mg Intravenously or orally Administer 30-60 minutes prior to each infusion
H2 Antihistamine Famotidine 20 mg Intravenously or orally Administer 30-60 minutes prior to each infusion
Antipyretic Acetaminophen 650 to 1,000 mg Intravenously or orally Administer 30-60 minutes prior to each infusion
Glucocorticoid Methylprednisolone

125 mg or equivalent Intravenously Administer 30-60 minutes prior to each infusion
5.

Based on the mechanism of action and findings in animals, EMRELIS can cause fetal harm when administered to a pregnant woman. The small molecule component of EMRELIS, MMAE, administered to rats caused adverse developmental outcomes, including embryo-fetal mortality and structural abnormalities, at exposures similar to those occurring clinically at the recommended dose.

Advise patients of the potential risk to a fetus. Advise females of reproductive potential to use effective contraception during treatment with EMRELIS and for 2 months after the last dose. Advise male patients with female partners of reproductive potential to use effective contraception during treatment with EMRELIS and for 4 months after the last dose [see Use in Specific Populations ( 8.1 , 8.3 )   and Clinical Pharmacology ( 12.1 )].  

5.3

EMRELIS can cause ocular surface disorders including blurred vision, visual impairment, keratitis, and dry eye.

In the safety population [see Adverse Reactions ( 6.1 )], ocular surface disorders occurred in 25% of patients treated with EMRELIS. The most common ocular surface disorders were blurred vision (15%), keratitis (11%), and dry eye (5%). Grade 3 ocular surface disorders occurred in 1.2% of patients [blurred vision (1.2%), and keratitis (0.6%)]. The median time to onset of ocular surface disorders was 47 days (range: 1 to 319 days).

Monitor patients for ocular surface disorders during treatment with EMRELIS. Withhold EMRELIS and refer patients to an eye care professional for an ophthalmic examination and treatment for patients who develop Grade ≥2 ocular toxicity. Withhold or permanently discontinue EMRELIS based on severity [see Dosage and Administration ( 2.3 )].

7.1

Strong CYP3A Inhibitors

Concomitant use with strong CYP3A inhibitors may increase unconjugated MMAE AUC [see Clinical Pharmacology ( 12.3 ) ], which may increase the risk of EMRELIS adverse reactions. Monitor patients for adverse reactions when EMRELIS is given concomitantly with strong CYP3A inhibitors.

8.6

Avoid use of EMRELIS in patients with moderate or severe hepatic impairment (total bilirubin >1.5 x ULN and any AST).

Patients with moderate or severe hepatic impairment are likely to have increased exposure to MMAE, which may increase the risk of adverse reactions. EMRELIS has not been studied in patients with moderate or severe hepatic impairment.

No dosage adjustment is recommended for patients with mild hepatic impairment (total bilirubin ≤ULN and AST >ULN or total bilirubin >ULN and ≤1.5 x ULN and any AST) [see Clinical Pharmacology ( 12.3 ) ].

12.1

Telisotuzumab vedotin-tllv is a c-Met-directed antibody drug conjugate (ADC). The antibody is a humanized IgG1κ directed against c-Met, the cell surface receptor for hepatocyte growth factor. The small molecule, MMAE, is a microtubule-disrupting agent, attached to the antibody via a protease cleavable linker. Following binding to c-Met-expressing cells, telisotuzumab vedotin-tllv undergoes internalization and intracellular cleavage of MMAE. MMAE disrupts the microtubule network of actively dividing cells, subsequently inducing cell cycle arrest and apoptotic cell death. Telisotuzumab vedotin-tllv exhibited antitumor activity in xenograft models of NSCLC.

12.2

Exposure Response Relationships

Exposure-response relationships for efficacy and time course of pharmacodynamic response have not been fully characterized.

Higher telisotuzumab vedotin-tllv exposure was associated with increased rates of Grade 3 peripheral neuropathy, and Grades 2 and 3 ocular surface disorders. Higher unconjugated MMAE exposure was associated with increased rates of Grade ≥3 adverse reactions and fatal adverse reactions.

Cardiac Electrophysiology

There is insufficient information to characterize the effect of telisotuzumab vedotin-tllv on the QT interval.

Section 42231-1
MEDICATION GUIDE

EMRELIS™ (EM-rell-is)

(telisotuzumab vedotin-tllv)

for injection, for intravenous use
What is the most important information I should know about EMRELIS?

EMRELIS can cause serious side effects, including:
  • Nerve problems in your hands or feet   (peripheral neuropathy). Nerve problems are common during treatment with EMRELIS and can also be severe. Tell your healthcare provider if you develop any new or worsening signs or symptoms of nerve problems, including:
  • numbness

  • tingling

  • burning sensation
  • pain or discomfort

  • muscle weakness

  • difficulty walking
  • Lung problems. EMRELIS can cause lung problems that may be severe, life-threatening or that may lead to death. Tell your healthcare provider right away if you develop new or worsening lung symptoms, including:
  • cough

  • trouble breathing or shortness of breath
  • fever

  • wheezing
  • Eye problems. Your healthcare provider may send you to an eye care professional to check your eyes if you develop eye problems. Tell your healthcare provider right away if you develop any new or worsening eye problems or vision changes, including:
  • blurred vision

  • dry eyes

  • sensitivity to light
  • eye pain or swelling

  • eye redness
  • Infusion-related reactions. EMRELIS can cause infusion reactions that can be severe or life-threatening. Tell your healthcare provider right away if you develop any signs and symptoms of infusion reactions, including:
  • itching or rash

  • shortness of breath or wheezing

  • flushing

  • chest discomfort

  • fever
  • back pain

  • chills

  • headache

  • nausea or vomiting

  • feel like passing out
Getting medical treatment right away may help keep these problems from becoming more serious. Your healthcare provider will check you for these problems during your treatment with EMRELIS and may provide treatment for your side effects. Your healthcare provider may also need to change your dose, temporarily stop, or completely stop treatment with EMRELIS if you have severe side effects.

See “What are the possible side effects of EMRELIS?” for more information about side effects.
What is EMRELIS?

EMRELIS is a prescription medicine used to treat adults with non-squamous non-small cell lung cancer (NSCLC):

  • that has spread to areas near the lungs (locally advanced) or to other parts of the body (metastatic), and

  • whose tumors have high c-Met protein overexpression, and

  • who have received a prior treatment.
Your healthcare provider will perform a test to make sure EMRELIS is right for you.

It is not known if EMRELIS is safe and effective in children.
Before receiving EMRELIS, tell your healthcare provider about all of your medical conditions, including if you:

  • have a history of nerve problems

  • have lung or breathing problems other than your lung cancer

  • have eye problems

  • have liver problems

  • are pregnant or plan to become pregnant. EMRELIS can harm your unborn baby.
Females who are able to become pregnant:

  • Your healthcare provider should do a pregnancy test before you start treatment with EMRELIS.

  • You should use effective birth control (contraception) during treatment and for 2 months after your last dose of EMRELIS.

  • Tell your healthcare provider if you become pregnant or think that you may be pregnant during treatment with EMRELIS.
Males with female partners who are able to become pregnant:

  • You should use an effective birth control during treatment and for 4 months after your last dose of EMRELIS.
  • are breastfeeding or plan to breastfeed. It is not known if EMRELIS passes into your breast milk. Do not breastfeed during treatment with EMRELIS and for 1 month after the last dose.
Tell your healthcare provider about all the medicines you take, including prescription and over-the-counter medicines, vitamins, and herbal supplements. Taking certain medicines with EMRELIS may increase your risk of side effects.
How will I receive EMRELIS?
  • Your healthcare provider will give you EMRELIS into your vein through an intravenous (IV) line over 30 minutes.

  • EMRELIS is given 1 time every 2 weeks.

  • Your healthcare provider will decide how many infusions of EMRELIS you will receive.
What are the possible side effects of EMRELIS?

EMRELIS can cause serious side effects, including:

  • See “What is the most important information I should know about EMRELIS?”
The most common side effects of EMRELIS include:
  • feeling tired
  • swelling in the feet, ankles, legs or hands
  • decreased appetite
The most common severe abnormal laboratory test results with EMRELIS include:
  • decreased white blood cell counts

  • increased blood sugar levels

  • increased blood liver enzyme levels

  • decreased blood phosphorus levels
  • decreased blood sodium levels

  • decreased red blood cell counts

  • decreased blood calcium levels
EMRELIS may cause fertility problems in females and males, which may affect the ability to have children. Talk to your healthcare provider if you have concerns about fertility.

These are not all the possible side effects of EMRELIS.

Call your doctor for medical advice about side effects. You may report side effects to FDA at 1-800-FDA-1088.
General information about the safe and effective use of EMRELIS.

Medicines are sometimes prescribed for purposes other than those listed in a Medication Guide. You can ask your pharmacist or healthcare provider for information about EMRELIS that is written for healthcare professionals.
What are the ingredients in EMRELIS?

Active ingredient: telisotuzumab vedotin-tllv

Inactive ingredients: histidine, polysorbate 80, sucrose. Hydrochloric acid added to adjust the pH.

Manufactured by: AbbVie Inc., North Chicago, IL 60064, USA

U.S. License Number: 1889

Marketed by: AbbVie Inc., North Chicago, IL 60064 U.S.A.

©2025 AbbVie. All rights reserved.

EMRELIS and its design are trademarks of AbbVie Inc.

For more information, go to www.EMRELIS.com or call 1-844-859-5760.

This Medication Guide has been approved by the U.S. Food and Drug Administration.              Issued: 05/2025

20090524

5.4 Infusion

EMRELIS can cause infusion-related reactions (IRR); signs and symptoms of IRR include dyspnea, flushing, chills, nausea, chest discomfort, and hypotension. The median time to onset of IRR was 28 days (range: 1 to 43 days). 

In the safety population, [see Adverse Reactions ( 6.1 )] , IRR occurred in 3% of patients treated with EMRELIS including Grade 3 in 1.2% and Grade 4 in 0.6%. IRR led to permanent discontinuation of EMRELIS in 0.6% of patients.

Monitor patients for signs and symptoms of infusion reactions during EMRELIS infusion. Withhold, reduce the rate of infusion, or permanently discontinue EMRELIS based on severity [see Dosage and Administration ( 2.3 )].  For patients who experience IRR, administer premedications prior to subsequent infusions.

15 References

1. "OSHA Hazardous Drugs." OSHA. http://www.osha.gov/SLTC/hazardousdrugs/index.html

8.1 Pregnancy

Risk Summary  

Based on the mechanism of action and findings in animals, EMRELIS can cause fetal harm when administered to a pregnant woman [see Clinical Pharmacology ( 12.1 )]. There are no available human data on EMRELIS use in pregnant women to inform a drug-associated risk. In an animal reproduction study, administration of the small molecule component of EMRELIS, MMAE, to pregnant rats during organogenesis resulted in embryo-fetal mortality and structural abnormalities at exposures similar to the clinical exposure at the recommended dose [see Data ]. Advise patients of the potential risks to a fetus.

In the U.S. general population, the estimated background risk of major birth defects and miscarriage in clinically recognized pregnancies is 2% to 4% and 15% to 20%, respectively.

Data

Animal Data

No embryo-fetal development studies in animals have been performed with telisotuzumab vedotin-tllv. In an embryo-fetal development study in pregnant rats, administration of two intravenous doses of MMAE, the small molecule component of EMRELIS, on gestational days 6 and 13 caused embryo-fetal mortality and structural abnormalities, including protruding tongue, agnathia, malrotated limbs, and gastroschisis compared to controls at a dose of 0.2 mg/kg (approximately 2 times the human area under the curve [AUC] at the recommended dose).

8.2 Lactation

Risk Summary

There are no data on the presence of telisotuzumab vedotin-tllv or MMAE in human milk, the effects on the breastfed child, or the effects on milk production. Because of the potential for serious adverse reactions in a breastfed child, advise lactating women not to breastfeed during treatment with EMRELIS and for 1 month after the last dose.

11 Description

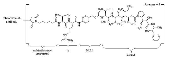
Telisotuzumab vedotin-tllv is a c-Met directed antibody-drug conjugate (ADC) comprised of a humanized immunoglobulin G1 kappa (IgG1κ) monoclonal antibody conjugated to the small molecule microtubule-disrupting agent, monomethyl auristatin E (MMAE), via a protease-cleavable valine-citrulline (vc) linker. The antibody is produced in a mammalian cell line (Chinese hamster ovary) and the drug-linker is produced by chemical synthesis. Each monoclonal antibody molecule carries an average of 3 MMAE molecules. Telisotuzumab vedotin-tllv has an approximate molecular weight of 152 kDa.

EMRELIS (telisotuzumab vedotin-tllv) for injection is a sterile, white to off-white, preservative-free, lyophilized powder in a single-dose vial for reconstitution and dilution prior to intravenous infusion. EMRELIS is supplied as 20 mg per vial or 100 mg per vial and requires reconstitution with Sterile Water for Injection, USP (1.1 mL and 5.2 mL, respectively) to obtain a concentration of 20 mg/mL [see Dosage and Administration ( 2.4 )]. Following reconstitution, each mL delivers 20 mg of telisotuzumab vedotin-tllv, and histidine (2.33 mg), polysorbate 80 (0.10 mg), sucrose (70.0 mg), and Water for Injection. Hydrochloric acid was added to adjust the pH to 6.0. 

8.4 Pediatric Use

Safety and effectiveness of EMRELIS have not been established in pediatric patients.

8.5 Geriatric Use

Of the 168 patients with previously treated EGFR wild-type non-squamous NSCLC with c-Met protein overexpression treated with EMRELIS in LUMINOSITY, 50% were ≥65 years of age and 12% were ≥75 years of age. No overall differences in safety or effectiveness were observed between older and younger patients.

12.6 Immunogenicity

The observed incidence of anti-drug antibodies is highly dependent on the sensitivity and specificity of the assay. Differences in assay methods preclude meaningful comparisons of the incidence of anti-drug antibodies in the study described below with the incidence of anti-drug antibodies in other studies, including those of EMRELIS or of other telisotuzumab products.

Following administration of EMRELIS in LUMINOSITY, 22% (60/269) of patients tested positive for treatment-emergent antibodies against telisotuzumab vedotin-tllv at one or more post-baseline time points. Of those who tested positive for anti-drug antibody, neutralizing antibodies were detected in 38% (23/60) of patients. Development of anti-drug antibodies and neutralizing antibodies resulted in a 17% decrease in clearance of telisotuzumab vedotin-tllv. There are insufficient data to assess whether the observed anti-telisotuzumab vedotin-tllv antibody-associated pharmacokinetic changes affect the safety and effectiveness of EMRELIS.

14 Clinical Studies

Previously Treated EGFR Wild-Type N on-squamous NSCLC with High   c-Met Protein Overexpression

LUMINOSITY

The efficacy of EMRELIS was evaluated in the LUMINOSITY study (NCT03539536), a multicenter, open-label, single-arm, multi-cohort clinical trial. Eligible patients were required to have locally advanced or metastatic NSCLC with c-Met protein overexpression and treatment with prior systemic therapy (including no more than one line of prior chemotherapy) in the locally advanced or metastatic setting. The study excluded patients who had received radiation therapy to the lungs <6 months prior to enrollment and patients who had a history of ILD/pneumonitis requiring treatment with steroids or ILD/pneumonitis within 3 months of the first dose.

Patients received EMRELIS at 1.9 mg/kg intravenously every 2 weeks until disease progression or unacceptable toxicity. The major efficacy outcome measure was overall response rate (ORR) according to Response Evaluation Criteria in Solid Tumors (RECIST) version 1.1 as assessed by a blinded independent central review (BICR). An additional efficacy outcome measure was duration of response (DOR) by BICR.

The efficacy population included 84 patients with non-squamous, EGFR wild-type NSCLC with high c-Met protein overexpression who had received prior systemic therapy. High c-Met protein overexpression was defined as ≥50% of tumor cells with strong (3+) membrane staining on archival or recent tissue samples by immunohistochemistry (IHC) and was determined by prospective testing at a central laboratory prior to enrollment using the MET (SP44) clinical trial assay (CTA). Of the 84 patients with high c-Met protein overexpression identified by central testing using the CTA, tissue samples from 38/84 (45%) patients were tested retrospectively using the VENTANA MET (SP44) RxDx assay. One sample was unevaluable. Of the 37 samples retested and evaluable, 32 (87%) samples were confirmed to have high c-Met protein overexpression, defined as ≥50% of tumor cells with strong (3+) membrane and/or cytoplasmic staining.

The median age was 64 years (range: 38 to 83 years); 75% were male; 61% were White, 1.2% were Black or African American, 38% were Asian; none were of Hispanic or Latino ethnicity. Twenty-five percent had an Eastern Cooperative Oncology Group Performance Status (ECOG PS) of 0 and 74% had ECOG PS of 1; 19% were never smokers, 68% were former smokers, and 13% were current smokers; 99% had Stage IV disease; and 19% of patients had previously treated brain metastases. The median number of lines of prior therapies was 1 (range 1 - 3); 73% of patients had one line, 24% had two lines, and 3.6% had three lines of prior systemic therapy; 96% of patients had prior platinum therapy, 82% had prior immunotherapy (anti-PD-1/PD-L1), 6% had prior targeted therapy, and 3.6% had prior MET tyrosine kinase inhibitor therapy.

Efficacy results are summarized in Table 8.

Table 8. Efficacy Results in LUMINOSITY for Patients with EGFR Wild-Type Non-squamous NSCLC with High c-Met Protein Overexpression
Efficacy Parameter     EMRELIS

N = 84
Confirmed Overall Response Rate (ORR), %

(95% CI) 
35

(24, 46)
     Complete Response,

%
0
     Partial Response,

%
35
Duration of Response N = 29
     Median, months

     (95% CI)
7.2

(4.2, 12)
     DOR ≥6 months,a % 59
     DOR ≥12 months,a  % 21
CI=confidence interval; DOR=duration of response

a  Based on observed duration of response in 29 responders.
4 Contraindications

None.

6 Adverse Reactions

The following clinically significant adverse reactions are described elsewhere in the labeling:

  • Peripheral Neuropathy [see Warnings and Precautions ( 5.1 )]

  • Interstitial Lung Disease (ILD)/Pneumonitis [see Warnings and Precautions ( 5.2 )]

  • Ocular Surface Disorders [see Warnings and Precautions ( 5.3 )]

  • Infusion-Related Reactions (IRR) [see Warnings and Precautions ( 5.4 )]
7 Drug Interactions

S trong CYP3A I nhibitors: concomitant use with EMRELIS may increase the AUC of MMAE. Monitor for increased risk of adverse reactions to EMRELIS. (7.1)

12.3 Pharmacokinetics

The exposure parameters of telisotuzumab vedotin-tllv (ADC) and unconjugated MMAE (cytotoxic component of EMRELIS) are summarized in Table 7. The plasma exposure of the ADC and unconjugated MMAE increased proportionally over a dose range of 1.2 to 3.3 mg/kg (0.64 to 1.7 times the approved recommended dose). ADC time to maximum plasma concentrations (Tmax) occurs at the end of intravenous infusion while MMAE Tmax occurs approximately 5 days after EMRELIS administration. Minimal accumulation of the ADC or MMAE occurs.

Table 7. Exposure Parameters of Telisotuzumab Vedotin-tllv (ADC) and Unconjugated MMAE at EMRELIS 1.9 mg/kg Every 2 Weeks
ADC Unconjugated MMAE
Cmax 29 (43) µg/mL 2.2 (53) ng/mL
AUC0- tau 2,130 (55) µg∙hr/mL 405 (64) ng∙hr/mL

Cmax = maximum concentration

AUC0- tau  = area under the concentration-time curve from time zero to 14 days (2 weeks)

Distribution

The estimated volume of distribution is 3.4 L (16.5%CV) for telisotuzumab vedotin-tllv. 

MMAE plasma protein binding ranges from 68% to 82% in vitro.

Elimination

The elimination half-life is approximately 3 days for the ADC and approximately 4 days for MMAE. The estimated clearance (CL) is 1.3 L/day (31.5%CV) for the ADC and 76 L/day (52.1%CV) for MMAE.

Metabolism

Telisotuzumab vedotin-tllv catabolism has not been studied in humans; however, it is expected to undergo catabolism to small peptides, amino acids, unconjugated MMAE, and unconjugated MMAE-related catabolites. MMAE is metabolized primarily by CYP3A4.

Specific Populations

No clinically significant differences in the pharmacokinetics of the ADC or unconjugated MMAE were observed based on age (30 to 87 years), sex, race (65% White, 32% Asian, and 3% Black), body weight (34 to 144 kg), mild or moderate renal impairment (CLcr 30 to 89 mL/min, estimated by Cockcroft-Gault), or mild hepatic impairment (total bilirubin ≤ULN and AST >ULN or total bilirubin >ULN and ≤1.5 x ULN and any AST). 

The effect of severe renal impairment (CLcr <30 mL/min), end-stage renal disease with or without dialysis, or moderate to severe hepatic impairment (total bilirubin >1.5 × ULN and any AST) on the pharmacokinetics of telisotuzumab vedotin-tllv or unconjugated MMAE is unknown.

Drug Interaction Studies

Clinical Studies and Model-Informed Approaches:

No clinical studies have evaluated the potential for drug-drug interactions. 

Strong CYP3A4 Inhibitor:

MMAE AUC is predicted to increase by 1.4-fold following concomitant administration of EMRELIS with ketoconazole (a strong CYP3A inhibitor). 

Strong CYP3A4 Inducer:

MMAE AUC is predicted to decrease by 70% following concomitant administration of EMRELIS with  rifampicin (a strong CYP3A inducer).

Sensitive CYP3A Substrate:

No clinically significant difference in the pharmacokinetics of midazolam (a sensitive CYP3A substrate) is predicted when used concomitantly with EMRELIS.

In Vitro Studies

Cytochrome P450 (CYP) Enzymes:

MMAE is a substrate and an inhibitor of CYP3A4/5.

Transporter Systems:

MMAE is a substrate of P-glycoprotein (P-gp).

2.1 Patient Selection

Select patients for treatment with EMRELIS based on the presence of high c-Met protein overexpression [≥50% of tumor cells with strong (3+) staining] in patients with non-squamous NSCLC [see Indications and Usage ( 1 ) and Clinical Studies ( 14 )].

Information on FDA-approved tests for the detection of high c-Met protein overexpression is available at: http://www.fda.gov/CompanionDiagnostics.

2.2 Recommended Dosage

The recommended dosage of EMRELIS is 1.9 mg/kg (up to a maximum of 190 mg for patients greater than or equal to 100 kg) administered as an intravenous infusion over 30 minutes every 2 weeks until disease progression or unacceptable toxicity.

1 Indications and Usage

EMRELIS is indicated for the treatment of adult patients with locally advanced or metastatic, non-squamous non-small cell lung cancer (NSCLC) with high c-Met protein overexpression [≥50% of tumor cells with strong (3+) staining], as determined by an FDA-approved test [see Dosage and Administration ( 2.1 )], who have received a prior systemic therapy.

This indication is approved under accelerated approval based on overall response rate (ORR) and duration of response (DOR) [see Clinical Studies ( 14 )]. Continued approval for this indication may be contingent upon verification and description of clinical benefit in a confirmatory trial(s).

Principal Display Panel

NDC 0074-1044-01

Emrelis™

(telisotuzumab vedotin-tllv)

For Injection

20 mg per vial

Hazardous Drug

For Intravenous Infusion after reconstitution

and dilution

Single-Dose Vial

Discard Unused Portion

Dispense the enclosed Medication Guide to

each patient

Rx Only

abbvie

2.3 Dosage Modifications

The recommended dose reductions for adverse reactions are provided in Table 1.

Table 1. Recommended Dose Reductions
Dose Reduction Recommended   Dosage
First 1.6 mg/kg every 2 weeks
Second 1.3 mg/kg every 2 weeks
Third 1 mg/kg every 2 weeks
Permanently discontinue EMRELIS in patients who are unable to tolerate 1 mg/kg.

The recommended dosage modifications of EMRELIS for adverse reactions are provided in Table 2.

Table 2. EMRELIS Dosage Modifications and Management for Adverse Reactions
Adverse Reaction Severity a Dosage Modification
Peripheral Neuropathy

[see Warnings and Precautions ( 5.1 )]
Grade 2 or 3
  • Withhold EMRELIS until recovery to Grade ≤1.

  • Resume EMRELIS at the next lower dose level.
Grade 4 Permanently discontinue EMRELIS.
Interstitial Lung Disease (ILD)/Pneumonitis

[see Warnings and Precautions ( 5.2 )]
Grade 1
  • Withhold EMRELIS and consider corticosteroids as soon as ILD/pneumonitis is suspected.

  • Resume EMRELIS upon radiographic resolution.
Grade ≥2 Permanently discontinue EMRELIS.
Keratitis

[see Warnings and Precautions ( 5.3 )]
Grade 2
  • Withhold EMRELIS.

  • Refer patients to an eye care professional for an ophthalmic examination and treatment (e.g., lubricating and/or steroidal eye drops).

  • Resume EMRELIS at the same dose at the discretion of the healthcare provider.
Grade 3 or 4
  • Refer patients to an eye care professional for an ophthalmic examination and treatment (e.g., lubricating and/or steroidal eye drops).

  • Permanently discontinue EMRELIS.
Infusion-Related Reactions (IRR)

[see Warnings and Precautions ( 5.4 )]
Grade 1-3
  • Interrupt EMRELIS infusion and administer supportive treatment.

  • Resume the infusion at a 50% rate reduction. Increase infusion rate as tolerated for subsequent doses.

  • For patients who experience an IRR, administer premedications prior to all future doses (see Table 3 ).
Grade 4
  • Permanently discontinue EMRELIS.

  • Administer supportive treatment.
Peripheral Edema

[see Adverse Reactions ( 6.1 )]

Grade ≥2 First occurrence

  • Withhold EMRELIS until recovery to Grade ≤1.

  • Resume EMRELIS at the same dose level.
Subsequent occurrence
  • Withhold EMRELIS until recovery to Grade ≤1.

  • Resume EMRELIS at the next lower dose level. 
Other

Adverse Reactions

[see Adverse Reactions ( 6.1 )]

Grade 3 First occurrence

  • Withhold EMRELIS until recovery to Grade ≤1.

  • Resume EMRELIS at the same dose.
Subsequent occurrence
  • Withhold EMRELIS until recovery to Grade ≤1.

  • Resume EMRELIS at the next lower dose level.
Grade 4
  • Permanently discontinue EMRELIS.
aAdverse reactions were graded using National Cancer Institute Common Terminology Criteria for Adverse Events (NCI CTCAE) version 4.03
5.1 Peripheral Neuropathy

EMRELIS can cause peripheral neuropathy, including peripheral sensory neuropathy and peripheral motor neuropathy.

In the safety population [see Adverse Reactions ( 6.1 )], peripheral neuropathy occurred in 51% of patients treated with EMRELIS, including Grade 3 in 11%. These adverse reactions included peripheral sensory neuropathy in 45% of patients and peripheral motor neuropathy in 9%. The median time to onset of peripheral neuropathy was 105 days (range: 1 to 472 days). Peripheral neuropathy led to permanent discontinuation of EMRELIS in 13% of patients. The median time to onset of peripheral neuropathy leading to treatment discontinuation was 249 days (range: 57 to 519 days). Of the 7 patients with motor neuropathy ongoing as of their last dose of EMRELIS, 6 had persistent Grade 1 or 2 symptoms 30 days after their last dose. 

Monitor patients for signs and symptoms of new or worsening peripheral neuropathy such as hypoesthesia, hyperesthesia, paresthesia, a burning sensation, neuropathic pain, or muscle weakness. Withhold, reduce the dose or permanently discontinue EMRELIS based on severity [see Dosage and Administration ( 2.3 )].

5 Warnings and Precautions
  • Peripheral Neuropathy: Monitor patients for new or worsening peripheral neuropathy. Withhold, reduce the dose, or permanently discontinue EMRELIS based on the severity. (5.1)

  • I nterstitial Lung Disease (ILD)/ Pneumonitis: Severe, life-threatening or fatal ILD/pneumonitis may occur. Withhold or permanently discontinue EMRELIS based on the severity. (5.2)

  • Ocular Surface Disorders: Monitor patients for signs or symptoms of ocular surface disorders, including vision changes. Withhold or permanently discontinue EMRELIS based on the severity. (5.3)

  • Infusion - Related Reactions (IRR): Monitor patients for IRR. Withhold, reduce the rate of infusion, or permanently discontinue EMRELIS based on the severity. For patients who experience IRR, administer premedications prior to subsequent infusions. (5.4

  • Embryo-Fetal Toxicity: Can cause fetal harm. Advise patients about the potential risk to a fetus and to use effective contraception. (5.5)
2 Dosage and Administration

For intravenous infusion only. (2.5)

  • The recommended dosage of EMRELIS is 1.9 mg/kg administered intravenously every 2 weeks until disease progression or unacceptable toxicity. (2.2)

  • Reconstitute and further dilute EMRELIS prior to intravenous infusion. (2.5)
3 Dosage Forms and Strengths

For injection: 20 mg or 100 mg of telisotuzumab vedotin-tllv as a white to off-white, lyophilized powder in a single-dose vial for reconstitution and further dilution.

5.2 Interstitial Lung Disease

EMRELIS can cause severe, life-threatening, or fatal interstitial lung disease (ILD)/pneumonitis.

In the safety population [see Adverse Reactions ( 6.1 )], ILD/pneumonitis occurred in 10% of patients treated with EMRELIS, including Grade 3 in 3% and Grade 4 in 0.6%. There were 3 fatal cases of ILD/pneumonitis in patients who received EMRELIS. The median time to onset of ILD/pneumonitis was 48 days (range: 23 to 85 days). ILD/pneumonitis led to permanent discontinuation of EMRELIS in 7% of patients. The median time to onset of ILD/pneumonitis leading to treatment discontinuation was 46 days (range: 23 to 85 days).

Advise patients to immediately report cough, dyspnea, fever, and/or any new or worsening respiratory symptoms. Monitor patients for signs and symptoms of ILD/pneumonitis. Withhold or permanently discontinue EMRELIS based on severity [see Dosage and Administration ( 2.3 )]. 

8 Use in Specific Populations
  • Severe or Moderate Hepatic I mpairment: Avoid use of EMRELIS. (8.6)

  • Lactation: Advise not to breastfeed. (8.2)

  • Infertility: May impair fertility. (8.3)
6.1 Clinical Trials Experience

Because clinical studies are conducted under widely varying conditions, adverse reaction rates observed in the clinical studies of a drug cannot be directly compared to rates in the clinical studies of another drug and may not reflect the rates observed in practice.

LUMINOSITY

The safety population described in WARNINGS AND PRECAUTIONS and below reflects exposure to EMRELIS in 168 patients with locally advanced or metastatic EGFR wild-type non-squamous NSCLC with c-Met protein overexpression who received EMRELIS as a single agent administered at 1.9 mg/kg intravenously every 2 weeks in the LUMINOSITY study [see Clinical Studies ( 14 )]. Among patients who received EMRELIS, 42% were exposed for 6 months or longer and 11% were exposed for greater than one year.

The median age of patients who received EMRELIS was 64.5 years (range: 33 to 83 years); 70% were male; 65% were White; 1.8% were Black or African American, 33% were Asian; and 0.6% were of Hispanic or Latino ethnicity.

Serious adverse reactions occurred in 35% of patients. Serious adverse reactions occurring in ≥2% of patients included ILD/pneumonitis (5%), pneumonia (5%), peripheral neuropathy (3.6%), and pleural effusion (2.4%). Fatal adverse reactions occurred in 5% of patients who received EMRELIS, including ILD/pneumonitis (1.8%), pneumonia (1.2%), sudden death (1.2%), noninfectious endocarditis (0.6%) and myocardial infarction (0.6%).

Permanent discontinuations of EMRELIS due to adverse reactions occurred in 30% of patients. Adverse reactions which resulted in permanent discontinuation of EMRELIS in ≥2% included peripheral neuropathy and ILD/pneumonitis.

Dosage interruptions due to adverse reactions occurred in 44% of patients. Adverse reactions which required dosage interruption in ≥2% of patients included peripheral neuropathy, fatigue, pneumonia, increased ALT, blurred vision, COVID-19, ILD/pneumonitis, and keratitis. 

Dose reductions due to adverse reactions occurred in 28% of patients. Adverse reactions which required dose reductions in ≥2% of patients included peripheral neuropathy, fatigue, and keratitis.

The most common adverse reactions (≥20%) were peripheral neuropathy, fatigue, decreased appetite, and peripheral edema.

The most common Grade 3 or 4 laboratory abnormalities (≥2%) were decreased lymphocytes, increased glucose, increased ALT, increased gamma glutamyl transferase, decreased phosphorus, decreased sodium, decreased hemoglobin and decreased calcium.

Table 5 summarizes the adverse reactions in LUMINOSITY.

Table 5. Adverse Reactions (≥10%) in Patients with EGFR Wild-Type Non-squamous NSCLC with c-Met Protein Overexpression in LUMINOSITY
Adverse Reaction EMRELIS

(N=168)
All Grades 1

%
Grade 3 or 4 1

%
Nervous system disorders
   Peripheral neuropathy2 51 11
General disorders and administration site conditions
   Fatigue2 29 3.6
   Peripheral edema2 22 1.8
Metabolism and nutrition disorders
   Decreased appetite 22 0.6
Gastrointestinal disorders
   Nausea 15 0
   Constipation 14 0.6
   Vomiting 10 0.6
Eye disorders
  Blurred vision3 15 1.2
  Keratitis4 11 0.6
Infections and infestations
   Pneumonia2 13 6
Respiratory, thoracic and mediastinal disorders
   ILD/pneumonitis2 10 3.6
1Events were graded using NCI CTCAE version 4.03.

2Grouped term.

3Includes vision blurred, visual acuity reduced, visual impairment.

4Includes corneal cyst, corneal disorder, corneal erosion, corneal edema, corneal opacity, keratitis, keratitis interstitial, punctate keratitis.

Other clinically relevant adverse reactions in <10% of patients who received EMRELIS included arthralgia, dizziness, dry eye, infusion-related reaction and photophobia.

Table 6 presents laboratory abnormalities in LUMINOSITY.

Table 6. Select Laboratory Abnormalities (≥10%) that Worsened from Baseline in Patients with EGFR Wild-Type Non-squamous NSCLC with c-Met Protein Overexpression in LUMINOSITY
Laboratory Abnormality EMRELIS

(N=168)
All Grades

%
Grade 3 or 4

%
Chemistry
Albumin decreased 61 0.6
Glucose increased 58 4.8
Calcium decreased 47 2.4
Alanine transaminase increased 41 4.8
Gamma glutamyl transferase increased 36 4.3
Aspartate aminotransferase increased 34 0.6
Phosphorus decreased 33 4.2
Sodium decreased 30 3.6
Alkaline phosphatase increased 30 0.6
Creatinine increased 16 1.2
Potassium decreased 14 1.2
Magnesium decreased 14 0.6
Glucose decreased 11 0
Magnesium increased 10 0
Hematology
Lymphocytes decreased 37 10
Hemoglobin decreased 35 3.6
White blood cells decreased 16 1.2
Platelets decreased 14 0.6
Neutrophils decreased 10 1.2

Percentages were calculated using patients with worsening laboratory values from baseline and the number of patients with both baseline and post-treatment measurements as the denominator.

17 Patient Counseling Information

Advise the patient to read the FDA-approved patient labeling (Medication Guide).

Peripheral Neuropathy

Advise patients that EMRELIS can cause peripheral neuropathy. Advise patients to report to their healthcare provider any new or worsening numbness or tingling of the hands or feet or any muscle weakness [see Warnings and Precautions ( 5.1 )].

ILD/Pneumonitis

Advise patients that EMRELIS can cause ILD/pneumonitis. Advise patients to immediately report to their healthcare provider any new or worsening respiratory symptoms [see Warnings and Precautions ( 5.2 )].

Ocular Surface Disorders

Advise patients that EMRELIS can cause ocular surface disorders. Advise patients to contact their healthcare provider any new or worsening ocular problems or vision changes [see Warnings and Precautions ( 5.3 )].

Infusion -Related Reactions

Advise patients that EMRELIS can cause infusion-related reactions. Advise patients to immediately contact their healthcare provider if they experience signs and symptoms of infusion reactions, including fever, chills, rash, or breathing problems [see Warnings and Precautions ( 5.4 )].

Embryo-Fetal Toxicity

Advise pregnant women and females of reproductive potential of the potential risk to a fetus. Advise female patients to contact their healthcare provider if they become pregnant, or if pregnancy is suspected, during treatment with EMRELIS [see Warnings and Precautions ( 5.5 ) and Use in Specific Populations ( 8.1 )].

Females and Males of Reproductive Potential

  • Advise females of reproductive potential to use effective contraception during treatment and for 2 months after the last dose [see Use in Specific Populations ( 8.3 )].

  • Advise male patients with female partners of reproductive potential to use effective contraception during treatment and for 4 months after the last dose [see Use in Specific Populations ( 8.3 )].

Lactation

Advise women not to breastfeed during treatment with EMRELIS and for 1 month after the last dose [see Use in Specific Populations ( 8.2 )].

Infertility

Advise males and females of reproductive potential that EMRELIS may impair fertility [see Nonclinical Toxicology ( 13 ) ].

EMRELIS™ [telisotuzumab vedotin-tllv]

Manufactured by:

AbbVie Inc.

North Chicago, IL 60064, U.S.A.

U.S. License No. 1889

© 2025 AbbVie. All rights reserved.

EMRELIS and its design are trademarks of AbbVie Inc.

20090524

16 How Supplied/storage and Handling

How Supplied

EMRELIS (telisotuzumab vedotin-tllv) for injection is a sterile, preservative-free, white to off-white lyophilized powder, supplied in a glass single-dose vial.

  • Carton of one 20 mg/vial (NDC 0074-1044-01)

  • Carton of one 100 mg/vial (NDC 0074-1055-01)

Storage and Handling

Store refrigerated at 2oC to 8oC (36oF to 46oF) in original carton to protect from light. Do not freeze. Do not shake.

Special Handling

EMRELIS is a hazardous product. Follow special handling and disposal procedures.1

8.3 Females and Males of Reproductive Potential

EMRELIS can cause fetal harm when administered to a pregnant woman [see  Use in Specific Populations ( 8.1 ) ].

Pregnancy Testing

Verify pregnancy status in females of reproductive potential prior to initiating EMRELIS treatment.

Contraception

Females

Advise females of reproductive potential to use effective contraception during treatment with EMRELIS and for 2 months after the last dose.

Males

Based on genotoxicity findings, advise male patients with female partners of reproductive potential to use effective contraception during treatment with EMRELIS and for 4 months after the last dose.

Infertility

Females

Based on findings in animal studies with MMAE-containing antibody-drug conjugates (ADCs), EMRELIS may impair female fertility. The effect on fertility is reversible [see Nonclinical Toxicology ( 13.1 )].

Males

Based on findings from animal studies, EMRELIS may impair male fertility. The reversibility of this effect is unknown [see Nonclinical Toxicology ( 13.1 )].

13.1 Carcinogenesis, Mutagenesis, Impairment of Fertility

Carcinogenesis

Carcinogenicity studies in animals have not been performed with telisotuzumab vedotin-tllv or the small molecule MMAE.

Mutagenesis

MMAE was positive for genotoxicity in the in vivo rat bone marrow micronucleus study through an aneugenic mechanism. MMAE was not mutagenic in the bacterial reverse mutation (Ames) assay or the L5178Y TK+/- mouse lymphoma forward mutation assay.

Impairment of Fertility

Fertility studies with telisotuzumab vedotin-tllv or MMAE have not been conducted. However, results of repeat-dose toxicity studies in rats and monkeys indicate the potential for telisotuzumab vedotin-tllv to impair male and female reproductive function and fertility.

In a 2-week repeat-dose toxicology study in rats, telisotuzumab vedotin-tllv administered at doses ≥6 mg/kg (≥12 times the human exposure [AUC] at the recommended dose) resulted in decreased number/degeneration of germ cells in the testes largely due to loss of spermatogonia. The reversibility of these findings was not assessed.

In a 4-week repeat-dose toxicology study in sexually immature monkeys, telisotuzumab vedotin-tllv administered at doses ≥3 mg/kg (≥4 times the human exposure [AUC] at the recommended dose) resulted in degeneration of granulosa cells and decreased number of tertiary follicles in the ovaries and degeneration/necrosis of endometrial glands in the uterus. There was evidence of reversibility after an 8-week recovery period.


Structured Label Content

2.

Table 3 contains the recommended premedications for patients who experience infusion-related reactions to EMRELIS, for subsequent infusions.

Table 3: Recommended Premedications for Patients Who Experience Infusion-Related Reactions
Medication Class E xamples or equivalent Dose Route of Administration Dosing Window Prior to EMRELIS Administration
H1 Antihistamine Diphenhydramine 25 to 50 mg Intravenously or orally Administer 30-60 minutes prior to each infusion
H2 Antihistamine Famotidine 20 mg Intravenously or orally Administer 30-60 minutes prior to each infusion
Antipyretic Acetaminophen 650 to 1,000 mg Intravenously or orally Administer 30-60 minutes prior to each infusion
Glucocorticoid Methylprednisolone

125 mg or equivalent Intravenously Administer 30-60 minutes prior to each infusion
5.

Based on the mechanism of action and findings in animals, EMRELIS can cause fetal harm when administered to a pregnant woman. The small molecule component of EMRELIS, MMAE, administered to rats caused adverse developmental outcomes, including embryo-fetal mortality and structural abnormalities, at exposures similar to those occurring clinically at the recommended dose.

Advise patients of the potential risk to a fetus. Advise females of reproductive potential to use effective contraception during treatment with EMRELIS and for 2 months after the last dose. Advise male patients with female partners of reproductive potential to use effective contraception during treatment with EMRELIS and for 4 months after the last dose [see Use in Specific Populations ( 8.1 , 8.3 )   and Clinical Pharmacology ( 12.1 )].  

5.3

EMRELIS can cause ocular surface disorders including blurred vision, visual impairment, keratitis, and dry eye.

In the safety population [see Adverse Reactions ( 6.1 )], ocular surface disorders occurred in 25% of patients treated with EMRELIS. The most common ocular surface disorders were blurred vision (15%), keratitis (11%), and dry eye (5%). Grade 3 ocular surface disorders occurred in 1.2% of patients [blurred vision (1.2%), and keratitis (0.6%)]. The median time to onset of ocular surface disorders was 47 days (range: 1 to 319 days).

Monitor patients for ocular surface disorders during treatment with EMRELIS. Withhold EMRELIS and refer patients to an eye care professional for an ophthalmic examination and treatment for patients who develop Grade ≥2 ocular toxicity. Withhold or permanently discontinue EMRELIS based on severity [see Dosage and Administration ( 2.3 )].

7.1

Strong CYP3A Inhibitors

Concomitant use with strong CYP3A inhibitors may increase unconjugated MMAE AUC [see Clinical Pharmacology ( 12.3 ) ], which may increase the risk of EMRELIS adverse reactions. Monitor patients for adverse reactions when EMRELIS is given concomitantly with strong CYP3A inhibitors.

8.6

Avoid use of EMRELIS in patients with moderate or severe hepatic impairment (total bilirubin >1.5 x ULN and any AST).

Patients with moderate or severe hepatic impairment are likely to have increased exposure to MMAE, which may increase the risk of adverse reactions. EMRELIS has not been studied in patients with moderate or severe hepatic impairment.

No dosage adjustment is recommended for patients with mild hepatic impairment (total bilirubin ≤ULN and AST >ULN or total bilirubin >ULN and ≤1.5 x ULN and any AST) [see Clinical Pharmacology ( 12.3 ) ].

12.1

Telisotuzumab vedotin-tllv is a c-Met-directed antibody drug conjugate (ADC). The antibody is a humanized IgG1κ directed against c-Met, the cell surface receptor for hepatocyte growth factor. The small molecule, MMAE, is a microtubule-disrupting agent, attached to the antibody via a protease cleavable linker. Following binding to c-Met-expressing cells, telisotuzumab vedotin-tllv undergoes internalization and intracellular cleavage of MMAE. MMAE disrupts the microtubule network of actively dividing cells, subsequently inducing cell cycle arrest and apoptotic cell death. Telisotuzumab vedotin-tllv exhibited antitumor activity in xenograft models of NSCLC.

12.2

Exposure Response Relationships

Exposure-response relationships for efficacy and time course of pharmacodynamic response have not been fully characterized.

Higher telisotuzumab vedotin-tllv exposure was associated with increased rates of Grade 3 peripheral neuropathy, and Grades 2 and 3 ocular surface disorders. Higher unconjugated MMAE exposure was associated with increased rates of Grade ≥3 adverse reactions and fatal adverse reactions.

Cardiac Electrophysiology

There is insufficient information to characterize the effect of telisotuzumab vedotin-tllv on the QT interval.

Section 42231-1 (42231-1)
MEDICATION GUIDE

EMRELIS™ (EM-rell-is)

(telisotuzumab vedotin-tllv)

for injection, for intravenous use
What is the most important information I should know about EMRELIS?

EMRELIS can cause serious side effects, including:
  • Nerve problems in your hands or feet   (peripheral neuropathy). Nerve problems are common during treatment with EMRELIS and can also be severe. Tell your healthcare provider if you develop any new or worsening signs or symptoms of nerve problems, including:
  • numbness

  • tingling

  • burning sensation
  • pain or discomfort

  • muscle weakness

  • difficulty walking
  • Lung problems. EMRELIS can cause lung problems that may be severe, life-threatening or that may lead to death. Tell your healthcare provider right away if you develop new or worsening lung symptoms, including:
  • cough

  • trouble breathing or shortness of breath
  • fever

  • wheezing
  • Eye problems. Your healthcare provider may send you to an eye care professional to check your eyes if you develop eye problems. Tell your healthcare provider right away if you develop any new or worsening eye problems or vision changes, including:
  • blurred vision

  • dry eyes

  • sensitivity to light
  • eye pain or swelling

  • eye redness
  • Infusion-related reactions. EMRELIS can cause infusion reactions that can be severe or life-threatening. Tell your healthcare provider right away if you develop any signs and symptoms of infusion reactions, including:
  • itching or rash

  • shortness of breath or wheezing

  • flushing

  • chest discomfort

  • fever
  • back pain

  • chills

  • headache

  • nausea or vomiting

  • feel like passing out
Getting medical treatment right away may help keep these problems from becoming more serious. Your healthcare provider will check you for these problems during your treatment with EMRELIS and may provide treatment for your side effects. Your healthcare provider may also need to change your dose, temporarily stop, or completely stop treatment with EMRELIS if you have severe side effects.

See “What are the possible side effects of EMRELIS?” for more information about side effects.
What is EMRELIS?

EMRELIS is a prescription medicine used to treat adults with non-squamous non-small cell lung cancer (NSCLC):

  • that has spread to areas near the lungs (locally advanced) or to other parts of the body (metastatic), and

  • whose tumors have high c-Met protein overexpression, and

  • who have received a prior treatment.
Your healthcare provider will perform a test to make sure EMRELIS is right for you.

It is not known if EMRELIS is safe and effective in children.
Before receiving EMRELIS, tell your healthcare provider about all of your medical conditions, including if you:

  • have a history of nerve problems

  • have lung or breathing problems other than your lung cancer

  • have eye problems

  • have liver problems

  • are pregnant or plan to become pregnant. EMRELIS can harm your unborn baby.
Females who are able to become pregnant:

  • Your healthcare provider should do a pregnancy test before you start treatment with EMRELIS.

  • You should use effective birth control (contraception) during treatment and for 2 months after your last dose of EMRELIS.

  • Tell your healthcare provider if you become pregnant or think that you may be pregnant during treatment with EMRELIS.
Males with female partners who are able to become pregnant:

  • You should use an effective birth control during treatment and for 4 months after your last dose of EMRELIS.
  • are breastfeeding or plan to breastfeed. It is not known if EMRELIS passes into your breast milk. Do not breastfeed during treatment with EMRELIS and for 1 month after the last dose.
Tell your healthcare provider about all the medicines you take, including prescription and over-the-counter medicines, vitamins, and herbal supplements. Taking certain medicines with EMRELIS may increase your risk of side effects.
How will I receive EMRELIS?
  • Your healthcare provider will give you EMRELIS into your vein through an intravenous (IV) line over 30 minutes.

  • EMRELIS is given 1 time every 2 weeks.

  • Your healthcare provider will decide how many infusions of EMRELIS you will receive.
What are the possible side effects of EMRELIS?

EMRELIS can cause serious side effects, including:

  • See “What is the most important information I should know about EMRELIS?”
The most common side effects of EMRELIS include:
  • feeling tired
  • swelling in the feet, ankles, legs or hands
  • decreased appetite
The most common severe abnormal laboratory test results with EMRELIS include:
  • decreased white blood cell counts

  • increased blood sugar levels

  • increased blood liver enzyme levels

  • decreased blood phosphorus levels
  • decreased blood sodium levels

  • decreased red blood cell counts

  • decreased blood calcium levels
EMRELIS may cause fertility problems in females and males, which may affect the ability to have children. Talk to your healthcare provider if you have concerns about fertility.

These are not all the possible side effects of EMRELIS.

Call your doctor for medical advice about side effects. You may report side effects to FDA at 1-800-FDA-1088.
General information about the safe and effective use of EMRELIS.

Medicines are sometimes prescribed for purposes other than those listed in a Medication Guide. You can ask your pharmacist or healthcare provider for information about EMRELIS that is written for healthcare professionals.
What are the ingredients in EMRELIS?

Active ingredient: telisotuzumab vedotin-tllv

Inactive ingredients: histidine, polysorbate 80, sucrose. Hydrochloric acid added to adjust the pH.

Manufactured by: AbbVie Inc., North Chicago, IL 60064, USA

U.S. License Number: 1889

Marketed by: AbbVie Inc., North Chicago, IL 60064 U.S.A.

©2025 AbbVie. All rights reserved.

EMRELIS and its design are trademarks of AbbVie Inc.

For more information, go to www.EMRELIS.com or call 1-844-859-5760.

This Medication Guide has been approved by the U.S. Food and Drug Administration.              Issued: 05/2025

20090524

5.4 Infusion

EMRELIS can cause infusion-related reactions (IRR); signs and symptoms of IRR include dyspnea, flushing, chills, nausea, chest discomfort, and hypotension. The median time to onset of IRR was 28 days (range: 1 to 43 days). 

In the safety population, [see Adverse Reactions ( 6.1 )] , IRR occurred in 3% of patients treated with EMRELIS including Grade 3 in 1.2% and Grade 4 in 0.6%. IRR led to permanent discontinuation of EMRELIS in 0.6% of patients.

Monitor patients for signs and symptoms of infusion reactions during EMRELIS infusion. Withhold, reduce the rate of infusion, or permanently discontinue EMRELIS based on severity [see Dosage and Administration ( 2.3 )].  For patients who experience IRR, administer premedications prior to subsequent infusions.

15 References (15 REFERENCES)

1. "OSHA Hazardous Drugs." OSHA. http://www.osha.gov/SLTC/hazardousdrugs/index.html

8.1 Pregnancy

Risk Summary  

Based on the mechanism of action and findings in animals, EMRELIS can cause fetal harm when administered to a pregnant woman [see Clinical Pharmacology ( 12.1 )]. There are no available human data on EMRELIS use in pregnant women to inform a drug-associated risk. In an animal reproduction study, administration of the small molecule component of EMRELIS, MMAE, to pregnant rats during organogenesis resulted in embryo-fetal mortality and structural abnormalities at exposures similar to the clinical exposure at the recommended dose [see Data ]. Advise patients of the potential risks to a fetus.

In the U.S. general population, the estimated background risk of major birth defects and miscarriage in clinically recognized pregnancies is 2% to 4% and 15% to 20%, respectively.

Data

Animal Data

No embryo-fetal development studies in animals have been performed with telisotuzumab vedotin-tllv. In an embryo-fetal development study in pregnant rats, administration of two intravenous doses of MMAE, the small molecule component of EMRELIS, on gestational days 6 and 13 caused embryo-fetal mortality and structural abnormalities, including protruding tongue, agnathia, malrotated limbs, and gastroschisis compared to controls at a dose of 0.2 mg/kg (approximately 2 times the human area under the curve [AUC] at the recommended dose).

8.2 Lactation

Risk Summary

There are no data on the presence of telisotuzumab vedotin-tllv or MMAE in human milk, the effects on the breastfed child, or the effects on milk production. Because of the potential for serious adverse reactions in a breastfed child, advise lactating women not to breastfeed during treatment with EMRELIS and for 1 month after the last dose.

11 Description (11 DESCRIPTION)

Telisotuzumab vedotin-tllv is a c-Met directed antibody-drug conjugate (ADC) comprised of a humanized immunoglobulin G1 kappa (IgG1κ) monoclonal antibody conjugated to the small molecule microtubule-disrupting agent, monomethyl auristatin E (MMAE), via a protease-cleavable valine-citrulline (vc) linker. The antibody is produced in a mammalian cell line (Chinese hamster ovary) and the drug-linker is produced by chemical synthesis. Each monoclonal antibody molecule carries an average of 3 MMAE molecules. Telisotuzumab vedotin-tllv has an approximate molecular weight of 152 kDa.

EMRELIS (telisotuzumab vedotin-tllv) for injection is a sterile, white to off-white, preservative-free, lyophilized powder in a single-dose vial for reconstitution and dilution prior to intravenous infusion. EMRELIS is supplied as 20 mg per vial or 100 mg per vial and requires reconstitution with Sterile Water for Injection, USP (1.1 mL and 5.2 mL, respectively) to obtain a concentration of 20 mg/mL [see Dosage and Administration ( 2.4 )]. Following reconstitution, each mL delivers 20 mg of telisotuzumab vedotin-tllv, and histidine (2.33 mg), polysorbate 80 (0.10 mg), sucrose (70.0 mg), and Water for Injection. Hydrochloric acid was added to adjust the pH to 6.0. 

8.4 Pediatric Use

Safety and effectiveness of EMRELIS have not been established in pediatric patients.

8.5 Geriatric Use

Of the 168 patients with previously treated EGFR wild-type non-squamous NSCLC with c-Met protein overexpression treated with EMRELIS in LUMINOSITY, 50% were ≥65 years of age and 12% were ≥75 years of age. No overall differences in safety or effectiveness were observed between older and younger patients.

12.6 Immunogenicity

The observed incidence of anti-drug antibodies is highly dependent on the sensitivity and specificity of the assay. Differences in assay methods preclude meaningful comparisons of the incidence of anti-drug antibodies in the study described below with the incidence of anti-drug antibodies in other studies, including those of EMRELIS or of other telisotuzumab products.

Following administration of EMRELIS in LUMINOSITY, 22% (60/269) of patients tested positive for treatment-emergent antibodies against telisotuzumab vedotin-tllv at one or more post-baseline time points. Of those who tested positive for anti-drug antibody, neutralizing antibodies were detected in 38% (23/60) of patients. Development of anti-drug antibodies and neutralizing antibodies resulted in a 17% decrease in clearance of telisotuzumab vedotin-tllv. There are insufficient data to assess whether the observed anti-telisotuzumab vedotin-tllv antibody-associated pharmacokinetic changes affect the safety and effectiveness of EMRELIS.

14 Clinical Studies (14 CLINICAL STUDIES)

Previously Treated EGFR Wild-Type N on-squamous NSCLC with High   c-Met Protein Overexpression

LUMINOSITY

The efficacy of EMRELIS was evaluated in the LUMINOSITY study (NCT03539536), a multicenter, open-label, single-arm, multi-cohort clinical trial. Eligible patients were required to have locally advanced or metastatic NSCLC with c-Met protein overexpression and treatment with prior systemic therapy (including no more than one line of prior chemotherapy) in the locally advanced or metastatic setting. The study excluded patients who had received radiation therapy to the lungs <6 months prior to enrollment and patients who had a history of ILD/pneumonitis requiring treatment with steroids or ILD/pneumonitis within 3 months of the first dose.

Patients received EMRELIS at 1.9 mg/kg intravenously every 2 weeks until disease progression or unacceptable toxicity. The major efficacy outcome measure was overall response rate (ORR) according to Response Evaluation Criteria in Solid Tumors (RECIST) version 1.1 as assessed by a blinded independent central review (BICR). An additional efficacy outcome measure was duration of response (DOR) by BICR.

The efficacy population included 84 patients with non-squamous, EGFR wild-type NSCLC with high c-Met protein overexpression who had received prior systemic therapy. High c-Met protein overexpression was defined as ≥50% of tumor cells with strong (3+) membrane staining on archival or recent tissue samples by immunohistochemistry (IHC) and was determined by prospective testing at a central laboratory prior to enrollment using the MET (SP44) clinical trial assay (CTA). Of the 84 patients with high c-Met protein overexpression identified by central testing using the CTA, tissue samples from 38/84 (45%) patients were tested retrospectively using the VENTANA MET (SP44) RxDx assay. One sample was unevaluable. Of the 37 samples retested and evaluable, 32 (87%) samples were confirmed to have high c-Met protein overexpression, defined as ≥50% of tumor cells with strong (3+) membrane and/or cytoplasmic staining.

The median age was 64 years (range: 38 to 83 years); 75% were male; 61% were White, 1.2% were Black or African American, 38% were Asian; none were of Hispanic or Latino ethnicity. Twenty-five percent had an Eastern Cooperative Oncology Group Performance Status (ECOG PS) of 0 and 74% had ECOG PS of 1; 19% were never smokers, 68% were former smokers, and 13% were current smokers; 99% had Stage IV disease; and 19% of patients had previously treated brain metastases. The median number of lines of prior therapies was 1 (range 1 - 3); 73% of patients had one line, 24% had two lines, and 3.6% had three lines of prior systemic therapy; 96% of patients had prior platinum therapy, 82% had prior immunotherapy (anti-PD-1/PD-L1), 6% had prior targeted therapy, and 3.6% had prior MET tyrosine kinase inhibitor therapy.

Efficacy results are summarized in Table 8.

Table 8. Efficacy Results in LUMINOSITY for Patients with EGFR Wild-Type Non-squamous NSCLC with High c-Met Protein Overexpression
Efficacy Parameter     EMRELIS

N = 84
Confirmed Overall Response Rate (ORR), %

(95% CI) 
35

(24, 46)
     Complete Response,

%
0
     Partial Response,

%
35
Duration of Response N = 29
     Median, months

     (95% CI)
7.2

(4.2, 12)
     DOR ≥6 months,a % 59
     DOR ≥12 months,a  % 21
CI=confidence interval; DOR=duration of response

a  Based on observed duration of response in 29 responders.
4 Contraindications (4 CONTRAINDICATIONS)

None.

6 Adverse Reactions (6 ADVERSE REACTIONS)

The following clinically significant adverse reactions are described elsewhere in the labeling:

  • Peripheral Neuropathy [see Warnings and Precautions ( 5.1 )]

  • Interstitial Lung Disease (ILD)/Pneumonitis [see Warnings and Precautions ( 5.2 )]

  • Ocular Surface Disorders [see Warnings and Precautions ( 5.3 )]

  • Infusion-Related Reactions (IRR) [see Warnings and Precautions ( 5.4 )]
7 Drug Interactions (7 DRUG INTERACTIONS)

S trong CYP3A I nhibitors: concomitant use with EMRELIS may increase the AUC of MMAE. Monitor for increased risk of adverse reactions to EMRELIS. (7.1)

12.3 Pharmacokinetics

The exposure parameters of telisotuzumab vedotin-tllv (ADC) and unconjugated MMAE (cytotoxic component of EMRELIS) are summarized in Table 7. The plasma exposure of the ADC and unconjugated MMAE increased proportionally over a dose range of 1.2 to 3.3 mg/kg (0.64 to 1.7 times the approved recommended dose). ADC time to maximum plasma concentrations (Tmax) occurs at the end of intravenous infusion while MMAE Tmax occurs approximately 5 days after EMRELIS administration. Minimal accumulation of the ADC or MMAE occurs.

Table 7. Exposure Parameters of Telisotuzumab Vedotin-tllv (ADC) and Unconjugated MMAE at EMRELIS 1.9 mg/kg Every 2 Weeks
ADC Unconjugated MMAE
Cmax 29 (43) µg/mL 2.2 (53) ng/mL
AUC0- tau 2,130 (55) µg∙hr/mL 405 (64) ng∙hr/mL

Cmax = maximum concentration

AUC0- tau  = area under the concentration-time curve from time zero to 14 days (2 weeks)

Distribution

The estimated volume of distribution is 3.4 L (16.5%CV) for telisotuzumab vedotin-tllv. 

MMAE plasma protein binding ranges from 68% to 82% in vitro.

Elimination

The elimination half-life is approximately 3 days for the ADC and approximately 4 days for MMAE. The estimated clearance (CL) is 1.3 L/day (31.5%CV) for the ADC and 76 L/day (52.1%CV) for MMAE.

Metabolism

Telisotuzumab vedotin-tllv catabolism has not been studied in humans; however, it is expected to undergo catabolism to small peptides, amino acids, unconjugated MMAE, and unconjugated MMAE-related catabolites. MMAE is metabolized primarily by CYP3A4.

Specific Populations

No clinically significant differences in the pharmacokinetics of the ADC or unconjugated MMAE were observed based on age (30 to 87 years), sex, race (65% White, 32% Asian, and 3% Black), body weight (34 to 144 kg), mild or moderate renal impairment (CLcr 30 to 89 mL/min, estimated by Cockcroft-Gault), or mild hepatic impairment (total bilirubin ≤ULN and AST >ULN or total bilirubin >ULN and ≤1.5 x ULN and any AST). 

The effect of severe renal impairment (CLcr <30 mL/min), end-stage renal disease with or without dialysis, or moderate to severe hepatic impairment (total bilirubin >1.5 × ULN and any AST) on the pharmacokinetics of telisotuzumab vedotin-tllv or unconjugated MMAE is unknown.

Drug Interaction Studies

Clinical Studies and Model-Informed Approaches:

No clinical studies have evaluated the potential for drug-drug interactions. 

Strong CYP3A4 Inhibitor:

MMAE AUC is predicted to increase by 1.4-fold following concomitant administration of EMRELIS with ketoconazole (a strong CYP3A inhibitor). 

Strong CYP3A4 Inducer:

MMAE AUC is predicted to decrease by 70% following concomitant administration of EMRELIS with  rifampicin (a strong CYP3A inducer).

Sensitive CYP3A Substrate:

No clinically significant difference in the pharmacokinetics of midazolam (a sensitive CYP3A substrate) is predicted when used concomitantly with EMRELIS.

In Vitro Studies

Cytochrome P450 (CYP) Enzymes:

MMAE is a substrate and an inhibitor of CYP3A4/5.

Transporter Systems:

MMAE is a substrate of P-glycoprotein (P-gp).

2.1 Patient Selection

Select patients for treatment with EMRELIS based on the presence of high c-Met protein overexpression [≥50% of tumor cells with strong (3+) staining] in patients with non-squamous NSCLC [see Indications and Usage ( 1 ) and Clinical Studies ( 14 )].

Information on FDA-approved tests for the detection of high c-Met protein overexpression is available at: http://www.fda.gov/CompanionDiagnostics.

2.2 Recommended Dosage

The recommended dosage of EMRELIS is 1.9 mg/kg (up to a maximum of 190 mg for patients greater than or equal to 100 kg) administered as an intravenous infusion over 30 minutes every 2 weeks until disease progression or unacceptable toxicity.

1 Indications and Usage (1 INDICATIONS AND USAGE)

EMRELIS is indicated for the treatment of adult patients with locally advanced or metastatic, non-squamous non-small cell lung cancer (NSCLC) with high c-Met protein overexpression [≥50% of tumor cells with strong (3+) staining], as determined by an FDA-approved test [see Dosage and Administration ( 2.1 )], who have received a prior systemic therapy.

This indication is approved under accelerated approval based on overall response rate (ORR) and duration of response (DOR) [see Clinical Studies ( 14 )]. Continued approval for this indication may be contingent upon verification and description of clinical benefit in a confirmatory trial(s).

Principal Display Panel (PRINCIPAL DISPLAY PANEL)

NDC 0074-1044-01

Emrelis™

(telisotuzumab vedotin-tllv)

For Injection

20 mg per vial

Hazardous Drug

For Intravenous Infusion after reconstitution

and dilution

Single-Dose Vial

Discard Unused Portion

Dispense the enclosed Medication Guide to

each patient

Rx Only

abbvie

2.3 Dosage Modifications

The recommended dose reductions for adverse reactions are provided in Table 1.

Table 1. Recommended Dose Reductions
Dose Reduction Recommended   Dosage
First 1.6 mg/kg every 2 weeks
Second 1.3 mg/kg every 2 weeks
Third 1 mg/kg every 2 weeks
Permanently discontinue EMRELIS in patients who are unable to tolerate 1 mg/kg.

The recommended dosage modifications of EMRELIS for adverse reactions are provided in Table 2.

Table 2. EMRELIS Dosage Modifications and Management for Adverse Reactions
Adverse Reaction Severity a Dosage Modification
Peripheral Neuropathy

[see Warnings and Precautions ( 5.1 )]
Grade 2 or 3
  • Withhold EMRELIS until recovery to Grade ≤1.

  • Resume EMRELIS at the next lower dose level.
Grade 4 Permanently discontinue EMRELIS.
Interstitial Lung Disease (ILD)/Pneumonitis

[see Warnings and Precautions ( 5.2 )]
Grade 1
  • Withhold EMRELIS and consider corticosteroids as soon as ILD/pneumonitis is suspected.

  • Resume EMRELIS upon radiographic resolution.
Grade ≥2 Permanently discontinue EMRELIS.
Keratitis

[see Warnings and Precautions ( 5.3 )]
Grade 2
  • Withhold EMRELIS.

  • Refer patients to an eye care professional for an ophthalmic examination and treatment (e.g., lubricating and/or steroidal eye drops).

  • Resume EMRELIS at the same dose at the discretion of the healthcare provider.
Grade 3 or 4
  • Refer patients to an eye care professional for an ophthalmic examination and treatment (e.g., lubricating and/or steroidal eye drops).

  • Permanently discontinue EMRELIS.
Infusion-Related Reactions (IRR)

[see Warnings and Precautions ( 5.4 )]
Grade 1-3
  • Interrupt EMRELIS infusion and administer supportive treatment.

  • Resume the infusion at a 50% rate reduction. Increase infusion rate as tolerated for subsequent doses.

  • For patients who experience an IRR, administer premedications prior to all future doses (see Table 3 ).
Grade 4
  • Permanently discontinue EMRELIS.

  • Administer supportive treatment.
Peripheral Edema

[see Adverse Reactions ( 6.1 )]

Grade ≥2 First occurrence

  • Withhold EMRELIS until recovery to Grade ≤1.

  • Resume EMRELIS at the same dose level.
Subsequent occurrence
  • Withhold EMRELIS until recovery to Grade ≤1.

  • Resume EMRELIS at the next lower dose level. 
Other

Adverse Reactions

[see Adverse Reactions ( 6.1 )]

Grade 3 First occurrence

  • Withhold EMRELIS until recovery to Grade ≤1.

  • Resume EMRELIS at the same dose.
Subsequent occurrence
  • Withhold EMRELIS until recovery to Grade ≤1.

  • Resume EMRELIS at the next lower dose level.
Grade 4
  • Permanently discontinue EMRELIS.
aAdverse reactions were graded using National Cancer Institute Common Terminology Criteria for Adverse Events (NCI CTCAE) version 4.03
5.1 Peripheral Neuropathy

EMRELIS can cause peripheral neuropathy, including peripheral sensory neuropathy and peripheral motor neuropathy.

In the safety population [see Adverse Reactions ( 6.1 )], peripheral neuropathy occurred in 51% of patients treated with EMRELIS, including Grade 3 in 11%. These adverse reactions included peripheral sensory neuropathy in 45% of patients and peripheral motor neuropathy in 9%. The median time to onset of peripheral neuropathy was 105 days (range: 1 to 472 days). Peripheral neuropathy led to permanent discontinuation of EMRELIS in 13% of patients. The median time to onset of peripheral neuropathy leading to treatment discontinuation was 249 days (range: 57 to 519 days). Of the 7 patients with motor neuropathy ongoing as of their last dose of EMRELIS, 6 had persistent Grade 1 or 2 symptoms 30 days after their last dose. 

Monitor patients for signs and symptoms of new or worsening peripheral neuropathy such as hypoesthesia, hyperesthesia, paresthesia, a burning sensation, neuropathic pain, or muscle weakness. Withhold, reduce the dose or permanently discontinue EMRELIS based on severity [see Dosage and Administration ( 2.3 )].

5 Warnings and Precautions (5 WARNINGS AND PRECAUTIONS)
  • Peripheral Neuropathy: Monitor patients for new or worsening peripheral neuropathy. Withhold, reduce the dose, or permanently discontinue EMRELIS based on the severity. (5.1)

  • I nterstitial Lung Disease (ILD)/ Pneumonitis: Severe, life-threatening or fatal ILD/pneumonitis may occur. Withhold or permanently discontinue EMRELIS based on the severity. (5.2)

  • Ocular Surface Disorders: Monitor patients for signs or symptoms of ocular surface disorders, including vision changes. Withhold or permanently discontinue EMRELIS based on the severity. (5.3)

  • Infusion - Related Reactions (IRR): Monitor patients for IRR. Withhold, reduce the rate of infusion, or permanently discontinue EMRELIS based on the severity. For patients who experience IRR, administer premedications prior to subsequent infusions. (5.4

  • Embryo-Fetal Toxicity: Can cause fetal harm. Advise patients about the potential risk to a fetus and to use effective contraception. (5.5)
2 Dosage and Administration (2 DOSAGE AND ADMINISTRATION)

For intravenous infusion only. (2.5)

  • The recommended dosage of EMRELIS is 1.9 mg/kg administered intravenously every 2 weeks until disease progression or unacceptable toxicity. (2.2)

  • Reconstitute and further dilute EMRELIS prior to intravenous infusion. (2.5)
3 Dosage Forms and Strengths (3 DOSAGE FORMS AND STRENGTHS)

For injection: 20 mg or 100 mg of telisotuzumab vedotin-tllv as a white to off-white, lyophilized powder in a single-dose vial for reconstitution and further dilution.

5.2 Interstitial Lung Disease

EMRELIS can cause severe, life-threatening, or fatal interstitial lung disease (ILD)/pneumonitis.

In the safety population [see Adverse Reactions ( 6.1 )], ILD/pneumonitis occurred in 10% of patients treated with EMRELIS, including Grade 3 in 3% and Grade 4 in 0.6%. There were 3 fatal cases of ILD/pneumonitis in patients who received EMRELIS. The median time to onset of ILD/pneumonitis was 48 days (range: 23 to 85 days). ILD/pneumonitis led to permanent discontinuation of EMRELIS in 7% of patients. The median time to onset of ILD/pneumonitis leading to treatment discontinuation was 46 days (range: 23 to 85 days).

Advise patients to immediately report cough, dyspnea, fever, and/or any new or worsening respiratory symptoms. Monitor patients for signs and symptoms of ILD/pneumonitis. Withhold or permanently discontinue EMRELIS based on severity [see Dosage and Administration ( 2.3 )]. 

8 Use in Specific Populations (8 USE IN SPECIFIC POPULATIONS)
  • Severe or Moderate Hepatic I mpairment: Avoid use of EMRELIS. (8.6)

  • Lactation: Advise not to breastfeed. (8.2)

  • Infertility: May impair fertility. (8.3)
6.1 Clinical Trials Experience

Because clinical studies are conducted under widely varying conditions, adverse reaction rates observed in the clinical studies of a drug cannot be directly compared to rates in the clinical studies of another drug and may not reflect the rates observed in practice.

LUMINOSITY

The safety population described in WARNINGS AND PRECAUTIONS and below reflects exposure to EMRELIS in 168 patients with locally advanced or metastatic EGFR wild-type non-squamous NSCLC with c-Met protein overexpression who received EMRELIS as a single agent administered at 1.9 mg/kg intravenously every 2 weeks in the LUMINOSITY study [see Clinical Studies ( 14 )]. Among patients who received EMRELIS, 42% were exposed for 6 months or longer and 11% were exposed for greater than one year.

The median age of patients who received EMRELIS was 64.5 years (range: 33 to 83 years); 70% were male; 65% were White; 1.8% were Black or African American, 33% were Asian; and 0.6% were of Hispanic or Latino ethnicity.

Serious adverse reactions occurred in 35% of patients. Serious adverse reactions occurring in ≥2% of patients included ILD/pneumonitis (5%), pneumonia (5%), peripheral neuropathy (3.6%), and pleural effusion (2.4%). Fatal adverse reactions occurred in 5% of patients who received EMRELIS, including ILD/pneumonitis (1.8%), pneumonia (1.2%), sudden death (1.2%), noninfectious endocarditis (0.6%) and myocardial infarction (0.6%).

Permanent discontinuations of EMRELIS due to adverse reactions occurred in 30% of patients. Adverse reactions which resulted in permanent discontinuation of EMRELIS in ≥2% included peripheral neuropathy and ILD/pneumonitis.

Dosage interruptions due to adverse reactions occurred in 44% of patients. Adverse reactions which required dosage interruption in ≥2% of patients included peripheral neuropathy, fatigue, pneumonia, increased ALT, blurred vision, COVID-19, ILD/pneumonitis, and keratitis. 

Dose reductions due to adverse reactions occurred in 28% of patients. Adverse reactions which required dose reductions in ≥2% of patients included peripheral neuropathy, fatigue, and keratitis.

The most common adverse reactions (≥20%) were peripheral neuropathy, fatigue, decreased appetite, and peripheral edema.

The most common Grade 3 or 4 laboratory abnormalities (≥2%) were decreased lymphocytes, increased glucose, increased ALT, increased gamma glutamyl transferase, decreased phosphorus, decreased sodium, decreased hemoglobin and decreased calcium.

Table 5 summarizes the adverse reactions in LUMINOSITY.

Table 5. Adverse Reactions (≥10%) in Patients with EGFR Wild-Type Non-squamous NSCLC with c-Met Protein Overexpression in LUMINOSITY
Adverse Reaction EMRELIS

(N=168)
All Grades 1

%
Grade 3 or 4 1

%
Nervous system disorders
   Peripheral neuropathy2 51 11
General disorders and administration site conditions
   Fatigue2 29 3.6
   Peripheral edema2 22 1.8
Metabolism and nutrition disorders
   Decreased appetite 22 0.6
Gastrointestinal disorders
   Nausea 15 0
   Constipation 14 0.6
   Vomiting 10 0.6
Eye disorders
  Blurred vision3 15 1.2
  Keratitis4 11 0.6
Infections and infestations
   Pneumonia2 13 6
Respiratory, thoracic and mediastinal disorders
   ILD/pneumonitis2 10 3.6
1Events were graded using NCI CTCAE version 4.03.

2Grouped term.

3Includes vision blurred, visual acuity reduced, visual impairment.

4Includes corneal cyst, corneal disorder, corneal erosion, corneal edema, corneal opacity, keratitis, keratitis interstitial, punctate keratitis.

Other clinically relevant adverse reactions in <10% of patients who received EMRELIS included arthralgia, dizziness, dry eye, infusion-related reaction and photophobia.

Table 6 presents laboratory abnormalities in LUMINOSITY.

Table 6. Select Laboratory Abnormalities (≥10%) that Worsened from Baseline in Patients with EGFR Wild-Type Non-squamous NSCLC with c-Met Protein Overexpression in LUMINOSITY
Laboratory Abnormality EMRELIS

(N=168)
All Grades

%
Grade 3 or 4

%
Chemistry
Albumin decreased 61 0.6
Glucose increased 58 4.8
Calcium decreased 47 2.4
Alanine transaminase increased 41 4.8
Gamma glutamyl transferase increased 36 4.3
Aspartate aminotransferase increased 34 0.6
Phosphorus decreased 33 4.2
Sodium decreased 30 3.6
Alkaline phosphatase increased 30 0.6
Creatinine increased 16 1.2
Potassium decreased 14 1.2
Magnesium decreased 14 0.6
Glucose decreased 11 0
Magnesium increased 10 0
Hematology
Lymphocytes decreased 37 10
Hemoglobin decreased 35 3.6
White blood cells decreased 16 1.2
Platelets decreased 14 0.6
Neutrophils decreased 10 1.2

Percentages were calculated using patients with worsening laboratory values from baseline and the number of patients with both baseline and post-treatment measurements as the denominator.

17 Patient Counseling Information (17 PATIENT COUNSELING INFORMATION)

Advise the patient to read the FDA-approved patient labeling (Medication Guide).

Peripheral Neuropathy

Advise patients that EMRELIS can cause peripheral neuropathy. Advise patients to report to their healthcare provider any new or worsening numbness or tingling of the hands or feet or any muscle weakness [see Warnings and Precautions ( 5.1 )].

ILD/Pneumonitis

Advise patients that EMRELIS can cause ILD/pneumonitis. Advise patients to immediately report to their healthcare provider any new or worsening respiratory symptoms [see Warnings and Precautions ( 5.2 )].

Ocular Surface Disorders

Advise patients that EMRELIS can cause ocular surface disorders. Advise patients to contact their healthcare provider any new or worsening ocular problems or vision changes [see Warnings and Precautions ( 5.3 )].

Infusion -Related Reactions

Advise patients that EMRELIS can cause infusion-related reactions. Advise patients to immediately contact their healthcare provider if they experience signs and symptoms of infusion reactions, including fever, chills, rash, or breathing problems [see Warnings and Precautions ( 5.4 )].

Embryo-Fetal Toxicity

Advise pregnant women and females of reproductive potential of the potential risk to a fetus. Advise female patients to contact their healthcare provider if they become pregnant, or if pregnancy is suspected, during treatment with EMRELIS [see Warnings and Precautions ( 5.5 ) and Use in Specific Populations ( 8.1 )].

Females and Males of Reproductive Potential

  • Advise females of reproductive potential to use effective contraception during treatment and for 2 months after the last dose [see Use in Specific Populations ( 8.3 )].

  • Advise male patients with female partners of reproductive potential to use effective contraception during treatment and for 4 months after the last dose [see Use in Specific Populations ( 8.3 )].

Lactation

Advise women not to breastfeed during treatment with EMRELIS and for 1 month after the last dose [see Use in Specific Populations ( 8.2 )].

Infertility

Advise males and females of reproductive potential that EMRELIS may impair fertility [see Nonclinical Toxicology ( 13 ) ].

EMRELIS™ [telisotuzumab vedotin-tllv]

Manufactured by:

AbbVie Inc.

North Chicago, IL 60064, U.S.A.

U.S. License No. 1889

© 2025 AbbVie. All rights reserved.

EMRELIS and its design are trademarks of AbbVie Inc.

20090524

16 How Supplied/storage and Handling (16 HOW SUPPLIED/STORAGE AND HANDLING)

How Supplied

EMRELIS (telisotuzumab vedotin-tllv) for injection is a sterile, preservative-free, white to off-white lyophilized powder, supplied in a glass single-dose vial.

  • Carton of one 20 mg/vial (NDC 0074-1044-01)

  • Carton of one 100 mg/vial (NDC 0074-1055-01)

Storage and Handling

Store refrigerated at 2oC to 8oC (36oF to 46oF) in original carton to protect from light. Do not freeze. Do not shake.

Special Handling

EMRELIS is a hazardous product. Follow special handling and disposal procedures.1

8.3 Females and Males of Reproductive Potential

EMRELIS can cause fetal harm when administered to a pregnant woman [see  Use in Specific Populations ( 8.1 ) ].

Pregnancy Testing

Verify pregnancy status in females of reproductive potential prior to initiating EMRELIS treatment.

Contraception

Females

Advise females of reproductive potential to use effective contraception during treatment with EMRELIS and for 2 months after the last dose.

Males

Based on genotoxicity findings, advise male patients with female partners of reproductive potential to use effective contraception during treatment with EMRELIS and for 4 months after the last dose.

Infertility

Females

Based on findings in animal studies with MMAE-containing antibody-drug conjugates (ADCs), EMRELIS may impair female fertility. The effect on fertility is reversible [see Nonclinical Toxicology ( 13.1 )].

Males

Based on findings from animal studies, EMRELIS may impair male fertility. The reversibility of this effect is unknown [see Nonclinical Toxicology ( 13.1 )].

13.1 Carcinogenesis, Mutagenesis, Impairment of Fertility

Carcinogenesis

Carcinogenicity studies in animals have not been performed with telisotuzumab vedotin-tllv or the small molecule MMAE.

Mutagenesis

MMAE was positive for genotoxicity in the in vivo rat bone marrow micronucleus study through an aneugenic mechanism. MMAE was not mutagenic in the bacterial reverse mutation (Ames) assay or the L5178Y TK+/- mouse lymphoma forward mutation assay.

Impairment of Fertility

Fertility studies with telisotuzumab vedotin-tllv or MMAE have not been conducted. However, results of repeat-dose toxicity studies in rats and monkeys indicate the potential for telisotuzumab vedotin-tllv to impair male and female reproductive function and fertility.

In a 2-week repeat-dose toxicology study in rats, telisotuzumab vedotin-tllv administered at doses ≥6 mg/kg (≥12 times the human exposure [AUC] at the recommended dose) resulted in decreased number/degeneration of germ cells in the testes largely due to loss of spermatogonia. The reversibility of these findings was not assessed.

In a 4-week repeat-dose toxicology study in sexually immature monkeys, telisotuzumab vedotin-tllv administered at doses ≥3 mg/kg (≥4 times the human exposure [AUC] at the recommended dose) resulted in degeneration of granulosa cells and decreased number of tertiary follicles in the ovaries and degeneration/necrosis of endometrial glands in the uterus. There was evidence of reversibility after an 8-week recovery period.


Advanced Ingredient Data


Raw Label Data

All Sections (JSON)