These Highlights Do Not Include All The Information Needed To Use Asclera®

These Highlights Do Not Include All The Information Needed To Use Asclera®
SPL v26
SPL
SPL Set ID bb1f342b-5352-4059-a0b2-e60fd652fd28
Route
INTRAVENOUS
Published
Effective Date 2025-07-16
Document Type 34391-3 HUMAN PRESCRIPTION DRUG LABEL

Drug Facts

Composition & Product

Active Ingredients
Polidocanol (0.01000 g)
Inactive Ingredients
Alcohol Monobasic Potassium Phosphate Sodium Phosphate, Dibasic, Unspecified Form Water

Identifiers & Packaging

Marketing Status
NDA Active Since 2010-06-01

Description

Asclera ® (polidocanol) is indicated to sclerose uncomplicated spider veins (varicose veins ≤1 mm in diameter) and uncomplicated reticular veins (varicose veins 1 to 3 mm in diameter) in the lower extremity. Asclera has not been studied in varicose veins more than 3 mm in diameter.

Indications and Usage

Asclera ® (polidocanol) is indicated to sclerose uncomplicated spider veins (varicose veins ≤1 mm in diameter) and uncomplicated reticular veins (varicose veins 1 to 3 mm in diameter) in the lower extremity. Asclera has not been studied in varicose veins more than 3 mm in diameter.

Dosage and Administration

For intravenous use only. Parenteral drug products should be inspected visually for particulate matter and discoloration prior to administration, whenever solution and container permit. Do not use if particulate matter is seen or if the contents of the vial are discolored or if the vial is damaged in any way. For spider veins (varicose veins ≤1 mm in diameter), use Asclera 0.5%. For reticular veins (varicose veins 1 to 3 mm in diameter), use Asclera 1%. Use 0.1 to 0.3 mL per injection and no more than 10 mL per session. Use a syringe (glass or plastic) with a fine needle (typically, 26- or 30-gauge). Insert the needle tangentially into the vein and inject the solution slowly while the needle is still in the vein. Apply only gentle pressure during injection to prevent vein rupture. After the needle has been removed and the injection site has been covered, apply compression in the form of a stocking or bandage. After the treatment session, encourage the patient to walk for 15 to 20 minutes. Keep the patient under observation to detect any anaphylactic or allergic reaction [see Warnings and Precautions (5.3) ] . Maintain compression for 2 to 3 days after treatment of spider veins and for 5 to 7 days for reticular veins. For extensive varicosities, longer compression treatment with compression bandages or a gradient compression stocking of a higher compression class is recommended. Post-treatment compression is necessary to reduce the risk of deep vein thrombosis. Repeat treatments may be necessary if the extent of the varicose veins requires more than 10 mL. These treatments should be separated by 1 to 2 weeks. Small intravaricose thrombi that develop may be removed by microthrombectomy.

Warnings and Precautions

Be prepared to treat anaphylaxis. ( 5.1 ) Venous Thrombosis and Pulmonary Embolism. ( 5.2 ) Arterial Embolism. ( 5.3 ) Tissue ischemia and necrosis: Do not inject intra-arterially. ( 5.4 )

Contraindications

Asclera is contraindicated for patients with known allergy to polidocanol and patients with acute thromboembolic diseases.

Adverse Reactions

The most common adverse reactions occurring at least 3% more frequently than on placebo are mild local reactions at the site of injection. ( 6 ) To report SUSPECTED ADVERSE REACTIONS, contact Methapharm at 1-866-701-4636 or [email protected] or FDA at 1-800-FDA-1088 or www.fda.gov/medwatch .

Drug Interactions

No drug-drug interactions have been studied with Asclera.

Storage and Handling

Asclera (polidocanol) injection is a colorless to faintly greenish-yellow solution supplied in single-dose, sterile, preservative free ampules in the following packages: NDC 67850-140-05   Five 0.5 % ampules [10 mg/2 mL (5 mg/mL)] NDC 67850-141-05   Five 1 % ampules [20 mg/2 mL (10 mg/mL)] Each ampule is intended for immediate use in a single patient. Each unopened ampule is stable up to three years.

How Supplied

Asclera (polidocanol) injection is a colorless to faintly greenish-yellow solution supplied in single-dose, sterile, preservative free ampules in the following packages: NDC 67850-140-05   Five 0.5 % ampules [10 mg/2 mL (5 mg/mL)] NDC 67850-141-05   Five 1 % ampules [20 mg/2 mL (10 mg/mL)] Each ampule is intended for immediate use in a single patient. Each unopened ampule is stable up to three years.


Medication Information

Warnings and Precautions

Be prepared to treat anaphylaxis. ( 5.1 ) Venous Thrombosis and Pulmonary Embolism. ( 5.2 ) Arterial Embolism. ( 5.3 ) Tissue ischemia and necrosis: Do not inject intra-arterially. ( 5.4 )

Indications and Usage

Asclera ® (polidocanol) is indicated to sclerose uncomplicated spider veins (varicose veins ≤1 mm in diameter) and uncomplicated reticular veins (varicose veins 1 to 3 mm in diameter) in the lower extremity. Asclera has not been studied in varicose veins more than 3 mm in diameter.

Dosage and Administration

For intravenous use only. Parenteral drug products should be inspected visually for particulate matter and discoloration prior to administration, whenever solution and container permit. Do not use if particulate matter is seen or if the contents of the vial are discolored or if the vial is damaged in any way. For spider veins (varicose veins ≤1 mm in diameter), use Asclera 0.5%. For reticular veins (varicose veins 1 to 3 mm in diameter), use Asclera 1%. Use 0.1 to 0.3 mL per injection and no more than 10 mL per session. Use a syringe (glass or plastic) with a fine needle (typically, 26- or 30-gauge). Insert the needle tangentially into the vein and inject the solution slowly while the needle is still in the vein. Apply only gentle pressure during injection to prevent vein rupture. After the needle has been removed and the injection site has been covered, apply compression in the form of a stocking or bandage. After the treatment session, encourage the patient to walk for 15 to 20 minutes. Keep the patient under observation to detect any anaphylactic or allergic reaction [see Warnings and Precautions (5.3) ] . Maintain compression for 2 to 3 days after treatment of spider veins and for 5 to 7 days for reticular veins. For extensive varicosities, longer compression treatment with compression bandages or a gradient compression stocking of a higher compression class is recommended. Post-treatment compression is necessary to reduce the risk of deep vein thrombosis. Repeat treatments may be necessary if the extent of the varicose veins requires more than 10 mL. These treatments should be separated by 1 to 2 weeks. Small intravaricose thrombi that develop may be removed by microthrombectomy.

Contraindications

Asclera is contraindicated for patients with known allergy to polidocanol and patients with acute thromboembolic diseases.

Adverse Reactions

The most common adverse reactions occurring at least 3% more frequently than on placebo are mild local reactions at the site of injection. ( 6 ) To report SUSPECTED ADVERSE REACTIONS, contact Methapharm at 1-866-701-4636 or [email protected] or FDA at 1-800-FDA-1088 or www.fda.gov/medwatch .

Drug Interactions

No drug-drug interactions have been studied with Asclera.

Storage and Handling

Asclera (polidocanol) injection is a colorless to faintly greenish-yellow solution supplied in single-dose, sterile, preservative free ampules in the following packages: NDC 67850-140-05   Five 0.5 % ampules [10 mg/2 mL (5 mg/mL)] NDC 67850-141-05   Five 1 % ampules [20 mg/2 mL (10 mg/mL)] Each ampule is intended for immediate use in a single patient. Each unopened ampule is stable up to three years.

How Supplied

Asclera (polidocanol) injection is a colorless to faintly greenish-yellow solution supplied in single-dose, sterile, preservative free ampules in the following packages: NDC 67850-140-05   Five 0.5 % ampules [10 mg/2 mL (5 mg/mL)] NDC 67850-141-05   Five 1 % ampules [20 mg/2 mL (10 mg/mL)] Each ampule is intended for immediate use in a single patient. Each unopened ampule is stable up to three years.

Description

Asclera ® (polidocanol) is indicated to sclerose uncomplicated spider veins (varicose veins ≤1 mm in diameter) and uncomplicated reticular veins (varicose veins 1 to 3 mm in diameter) in the lower extremity. Asclera has not been studied in varicose veins more than 3 mm in diameter.

Section 42229-5

Risk Summary

The available data from case reports on use of polidocanol-containing products, including ASCLERA, in pregnant women have not identified any drug-associated risk for major birth defects, miscarriage, or adverse maternal or fetal outcomes. Although none of these risks have been identified, there is minimal benefit in treating uncomplicated spider veins and reticular veins in the lower extremity during pregnancy and lower extremity varicosities that develop during pregnancy as they may spontaneously regress postpartum. The animal reproduction studies were conducted in a manner to achieve systemic exposure, while the intended clinical use is local exposure at the injection site with minimal to no systemic exposure; therefore, these data are not relevant to the intended clinical use (see Data).

The estimated background risk of major birth defects and miscarriage for the indicated population is unknown. All pregnancies have a background risk of birth defect, loss, or other adverse outcomes. In the U.S. general population, the estimated background risk of major birth defects and miscarriage in clinically recognized pregnancies is 2 to 4% and 15 to 20%, respectively.

Section 44425-7

Store at 15°C to 30°C; (59°F to 86°F).

10 Overdosage

Overdose may result in a higher incidence of localized reactions such as necrosis.

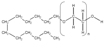
11 Description

Asclera is a sterile, nonpyrogenic, and colorless to faintly greenish-yellow solution of polidocanol for intravenous use as a sclerosing agent.

The active ingredient, polidocanol is a non-ionic detergent, consisting of two components, a polar hydrophilic (dodecyl alcohol) and an apolar hydrophobic (polyethylene oxide) chain. Polidocanol has the following structural formula:

C12H25(OCH2CH2)nOH Polyethylene glycol monododecyl ether Mean extent of polymerization (n) : Approximately 9 Mean molecular weight : Approximately 600

Each mL contains 5 mg (0.5%) or 10 mg (1.0%) polidocanol in water for injection with 5% (v/v) ethanol at pH 6.5-8.0; disodium hydrogen phosphate dihydrate (1.2 mg), potassium dihydrogen phosphate (0.43 mg).

5.1 Anaphylaxis

Severe allergic reactions have been reported following polidocanol use, including anaphylactic reactions, some of them fatal. Severe reactions are more frequent with use of larger volumes (> 3 mL). Minimize the dose of polidocanol. Be prepared to treat anaphylaxis appropriately.

Severe adverse local effects, including tissue necrosis, may occur following extravasation; therefore, take care in intravenous needle placement and use the smallest effective volume at each injection.

After the injection session is completed, apply compression with a stocking or bandage, and have the patient walk for 15-20 minutes. Keep the patient under supervision during this period to treat any anaphylactic or allergic reaction [see Dosage and Administration (2)].

8.4 Pediatric Use

The safety and effectiveness of Asclera in pediatric patients have not been established.

8.5 Geriatric Use

Clinical studies of Asclera did not include sufficient numbers of subjects aged 65 and over to determine whether they respond differently from younger subjects.

14 Clinical Studies

Asclera was evaluated in a multicenter, randomized, double-blind, placebo- and comparator-controlled trial (EASI-study) in patients with spider or reticular varicose veins. A total of 338 patients were treated with Asclera [0.5% for spider veins (n=94), 1% for reticular veins (n=86)], sodium tetradecyl sulfate (STS) 1% (n=105), or placebo (0.9% isotonic saline solution) (n=53) for either spider or reticular veins. Patients were predominately female, ranging in age from 19 to 70 years. All of them received an intravenous injection in the first treatment session; repeat injections were given three and six weeks later if the previous injection was evaluated as unsuccessful (defined as 1, 2 or 3 on a 5-point scale, see below). Patients returned at 12 and 26 weeks after the last injection for final assessments.

The primary effectiveness endpoint was improvement of veins judged by a blinded panel. Digital images of the selected treatment area were taken prior to injection, compared with those taken at 12 weeks post-treatment, and rated on a 5-point scale (1 = worse than before, 2 = same as before, 3 = moderate improvement, 4 = good improvement, 5 = complete treatment success); results are shown in Table 2.

Table 2: Improvement of veins in digital photographs after 12 weeks and 26 weeks
Treatment Group Polidocanol (n=155) STS (n=105) Placebo (n=53)
Digital Photograph Scores at 12 weeks
Mean ± SD 4.5
p <0.0001 compared to placebo (Wilcoxon-Mann-Whitney test)
± 0.7
4.5
± 0.7
2.2 ± 0.7
Digital Photograph Scores at 26 weeks
Mean ± SD 4.5
± 0.7
4.5
± 0.8
2.2 ± 0.7

The secondary efficacy criterion was the rate of treatment success, pre-defined as a score of 4 or 5 with patients scoring 1, 2, or 3 considered treatment failures; results are shown in Table 3.

Table 3: Treatment success rates at 12 weeks and 26 weeks
Treatment Success
Treatment success: Yes= Grade 4 to 5, No= Grade 1 to 3; derived from median of evaluation;
Polidocanol (n=155) STS (n=105) Placebo (n=53)
At 12 weeks (Visit 4)
Yes 95%
p<0.0001 compared to placebo.
92%
8%
No 5% 8% 92%
Missing 0.6% 0% 0%
At 26 weeks (Visit 5)
Yes 95%
91%
6%
No 5% 9% 94%

At 12 and 26 weeks, patients' judgement of the results was assessed by showing them the digital images of their treatment area taken at baseline and asking them to rate their satisfaction with their treatment using a verbal rating scale (1 = very unsatisfied; 2 = somewhat unsatisfied; 3 = slightly satisfied; 4 = satisfied and 5 = very satisfied); results are shown in Table 4.

Table 4: Patient satisfaction after 12 weeks and 26 weeks
Polidocanol (N=155) STS (N=105) Placebo (N=53)
Patient satisfaction with treatment after 12 weeks (Visit 4)
Satisfied or very satisfied 87%
p <0.0001 compared to STS and placebo
64% 14%
Patient satisfaction with treatment after 26 weeks (Visit 5)
Satisfied or very satisfied 84%
63% 16%
4 Contraindications

Asclera is contraindicated for patients with known allergy to polidocanol and patients with acute thromboembolic diseases.

6 Adverse Reactions

The most common adverse reactions occurring at least 3% more frequently than on placebo are mild local reactions at the site of injection. (6)

To report SUSPECTED ADVERSE REACTIONS, contact Methapharm at 1-866-701-4636 or

[email protected] or FDA at 1-800-FDA-1088 or
www.fda.gov/medwatch.

7 Drug Interactions

No drug-drug interactions have been studied with Asclera.

12.2 Pharmacodynamics

Polidocanol has a concentration- and volume-dependent damaging effect on the endothelium of blood vessels.

12.3 Pharmacokinetics

During the major effectiveness study (EASI-trial), scheduled blood samples were taken from a sub-group of 22 patients to measure plasma levels of polidocanol after Asclera treatment of spider and reticular veins. Low systemic blood levels of polidocanol were seen in some patients.

The mean t1/2 of polidocanol in 4 patients with evaluable data receiving 4.5 -18.0 mg was 1.5 h.

5.3 Arterial Embolism

Stroke, transient ischemic attack, myocardial infarction, and impaired cardiac function have been reported in close temporal relationship with polidocanol administration. These events may be caused by air embolism when using the product foamed with room air (high nitrogen concentration) or thromboembolism. The safety and efficacy of polidocanol foamed with room air has not been established and its use should be avoided.

1 Indications and Usage

Asclera® (polidocanol) is indicated to sclerose uncomplicated spider veins (varicose veins ≤1 mm in diameter) and uncomplicated reticular veins (varicose veins 1 to 3 mm in diameter) in the lower extremity. Asclera has not been studied in varicose veins more than 3 mm in diameter.

12.1 Mechanism of Action

The active ingredient of Asclera is polidocanol.

Polidocanol is a sclerosing agent that locally damages the endothelium of blood vessels. When injected intravenously, polidocanol induces endothelial damage. Platelets then aggregate at the site of damage and attach to the venous wall. Eventually, a dense network of platelets, cellular debris, and fibrin occludes the vessel. Finally, the occluded vein is replaced with connective fibrous tissue.

5 Warnings and Precautions
  • Be prepared to treat anaphylaxis. (5.1)
  • Venous Thrombosis and Pulmonary Embolism. (5.2)
  • Arterial Embolism. (5.3)
  • Tissue ischemia and necrosis: Do not inject intra-arterially. (5.4)
2 Dosage and Administration

For intravenous use only. Parenteral drug products should be inspected visually for particulate matter and discoloration prior to administration, whenever solution and container permit. Do not use if particulate matter is seen or if the contents of the vial are discolored or if the vial is damaged in any way.

For spider veins (varicose veins ≤1 mm in diameter), use Asclera 0.5%. For reticular veins (varicose veins 1 to 3 mm in diameter), use Asclera 1%. Use 0.1 to 0.3 mL per injection and no more than 10 mL per session.

Use a syringe (glass or plastic) with a fine needle (typically, 26- or 30-gauge). Insert the needle tangentially into the vein and inject the solution slowly while the needle is still in the vein. Apply only gentle pressure during injection to prevent vein rupture. After the needle has been removed and the injection site has been covered, apply compression in the form of a stocking or bandage. After the treatment session, encourage the patient to walk for 15 to 20 minutes. Keep the patient under observation to detect any anaphylactic or allergic reaction [see Warnings and Precautions (5.3)].

Maintain compression for 2 to 3 days after treatment of spider veins and for 5 to 7 days for reticular veins. For extensive varicosities, longer compression treatment with compression bandages or a gradient compression stocking of a higher compression class is recommended. Post-treatment compression is necessary to reduce the risk of deep vein thrombosis.

Repeat treatments may be necessary if the extent of the varicose veins requires more than 10 mL. These treatments should be separated by 1 to 2 weeks.

Small intravaricose thrombi that develop may be removed by microthrombectomy.

3 Dosage Forms and Strengths

Asclera (polidocanol) is an injection for intravenous use and is available as follows:

• 0.5% [10 mg/2 mL (5 mg/mL)] solution in 2 mL single-dose glass ampule

• 1% [20 mg/2 mL (10 mg/mL)] solution in 2 mL single-dose glass ampule

6.1 Clinical Study Experience

Because clinical trials are conducted under widely varying conditions, adverse reaction rates observed in the clinical trials of a drug cannot be directly compared to rates in the clinical trials of another drug and may not reflect the rates observed in practice.

In 5 controlled randomized clinical trials, Asclera has been administered to 401 patients with small or very small varicose veins (reticular and spider veins) and compared with another sclerosing agent and with placebo. Patients were 18 to 70 years old. The patient population was predominately female and consisted of Caucasian and Asian patients.

Table 1 shows adverse events more common with Asclera or sodium tetradecyl sulfate (STS) 1% than with placebo by at least 3% in the placebo-controlled EASI study [see Clinical Studies (14)]. All of these were injection site reactions and most were mild.

Table 1: Adverse Reactions in EASI-study
ASCLERA (180 patients) STS 1% (105 patients) Placebo (53 patients)
Injection site haematoma 42% 65% 19%
Injection site irritation 41% 73% 30%
Injection site discoloration 38% 74% 4%
Injection site pain 24% 31% 9%
Injection site pruritus 19% 27% 4%
Injection site warmth 16% 21% 6%
Neovascularisation 8% 20% 4%
Injection site thrombosis 6% 1% 0%

Ultrasound examinations at one week (±3 days) and 12 weeks (±2 weeks) after treatment did not reveal deep vein thrombosis in any treatment group.

5.4 Tissue Ischemia and Necrosis

Intra-arterial injection or extravasation of polidocanol can cause severe necrosis, ischemia or gangrene. Take care in intravenous needle placement and use the smallest effective volume at each injection site. After the injection session is completed, apply compression with a stocking or bandage and have patients walk for 15-20 minutes. If intra-arterial injection of polidocanol occurs, consult a vascular surgeon immediately.

17 Patient Counseling Information

Advise the patient to wear compression stockings or support hose on the treated legs continuously for 2 to 3 days and for 2 to 3 weeks during the daytime. Compression stockings or support hose should be thigh or knee high depending upon the area treated in order to provide adequate coverage.

Advise the patient to walk for 15 to 20 minutes immediately after the procedure and daily for the next few days.

For two to three days following treatment, advise the patient to avoid heavy exercise, sunbathing, long plane flights, and hot baths or sauna.

Distributed by:

Methapharm, Inc.

Boca Raton, FL 33433

Tel: 1-833-766-8346

www.asclera.com

Manufactured by:

Chemische Fabrik Kreussler & Co. GmbH

65203 Wiesbaden GERMANY

Asclera is a registered trademark of Chemische Fabrik Kreussler & Co. GmbH, 65203 Wiesbaden, GERMANY

16 How Supplied/storage and Handling

Asclera (polidocanol) injection is a colorless to faintly greenish-yellow solution supplied in single-dose, sterile, preservative free ampules in the following packages:



NDC 67850-140-05   Five 0.5 % ampules [10 mg/2 mL (5 mg/mL)]

NDC 67850-141-05   Five 1 % ampules [20 mg/2 mL (10 mg/mL)]



Each ampule is intended for immediate use in a single patient. Each unopened ampule is stable up to three years.

6.2 Post Marketing Safety Experience

The following adverse reactions have been reported during use of polidocanol in world-wide experience. Because these reactions are reported voluntarily from a population of uncertain size and without a control group, it is not possible to estimate their frequency reliably or to establish a causal relationship to drug exposure.

Immune system disorders: Anaphylactic shock, angioedema, urticaria generalized, asthma

Nervous system disorders: Cerebrovascular accident, migraine, paresthesia (local), loss of consciousness, confusional state, dizziness

Cardiac disorders: Cardiac arrest, palpitations

Vascular disorders: Deep vein thrombosis, pulmonary embolism, syncope vasovagal, circulatory collapse, vasculitis

Respiratory, thoracic and mediastinal disorders: Dyspnea

Skin and subcutaneous tissue disorders: Skin hyperpigmentation, dermatitis allergic, hypertrichosis (in the area of sclerotherapy)

General disorders and injection site conditions: Injection site necrosis, pyrexia, hot flush

Injury, poisoning and procedural complications: Nerve injury

5.2 Venous Thrombosis and Pulmonary Embolism

Asclera can cause venous thrombosis and subsequent pulmonary embolism or other thrombotic events. Follow administration instructions closely and monitor for signs of venous thrombosis after treatment. Patients with reduced mobility, history of deep vein thrombosis or pulmonary embolism, or recent (within 3 months) major surgery, prolonged hospitalization or pregnancy are at increased risk for developing thrombosis.

Principal Display Panel 10 Mg Ampule Carton

NDC 67850-140-05

ASCLERA ®

(polidocanol) Injection

10 mg per 2 mL

(5 mg per mL)

0.5%

For Intravenous Use Only

Rx Only

Single use: Discard unused portion

Contains:

5 ampules each containing 10 mg per 2 mL

Principal Display Panel 20 Mg Ampule Carton

NDC 67850-141-05

ASCLERA ®

(polidocanol) Injection

20 mg per 2 mL

(10 mg per mL)

1%

For Intravenous Use Only

Rx Only

Single use: Discard unused portion

Contains:

5 ampules each containing 20 mg per 2 mL

13.1 Carcinogenesis, Mutagenesis, Impairment of Fertility

Long-term studies to evaluate carcinogenic potential have not been conducted with polidocanol. Polidocanol was negative in bacterial reverse mutation assays in Salmonella and E. coli, and in a micronucleus assay conducted in mice. Polidocanol induced numerical chromosomal aberrations in cultured newborn Chinese hamster lung fibroblasts in the absence of metabolic activation.

Polidocanol did not affect reproductive performance (fertility) of rats when administered intermittently at dosages up to 10 mg/kg (approximately equal to the maximum human dose on the basis of body surface area).


Structured Label Content

Section 42229-5 (42229-5)

Risk Summary

The available data from case reports on use of polidocanol-containing products, including ASCLERA, in pregnant women have not identified any drug-associated risk for major birth defects, miscarriage, or adverse maternal or fetal outcomes. Although none of these risks have been identified, there is minimal benefit in treating uncomplicated spider veins and reticular veins in the lower extremity during pregnancy and lower extremity varicosities that develop during pregnancy as they may spontaneously regress postpartum. The animal reproduction studies were conducted in a manner to achieve systemic exposure, while the intended clinical use is local exposure at the injection site with minimal to no systemic exposure; therefore, these data are not relevant to the intended clinical use (see Data).

The estimated background risk of major birth defects and miscarriage for the indicated population is unknown. All pregnancies have a background risk of birth defect, loss, or other adverse outcomes. In the U.S. general population, the estimated background risk of major birth defects and miscarriage in clinically recognized pregnancies is 2 to 4% and 15 to 20%, respectively.

Section 44425-7 (44425-7)

Store at 15°C to 30°C; (59°F to 86°F).

10 Overdosage (10 OVERDOSAGE)

Overdose may result in a higher incidence of localized reactions such as necrosis.

11 Description (11 DESCRIPTION)

Asclera is a sterile, nonpyrogenic, and colorless to faintly greenish-yellow solution of polidocanol for intravenous use as a sclerosing agent.

The active ingredient, polidocanol is a non-ionic detergent, consisting of two components, a polar hydrophilic (dodecyl alcohol) and an apolar hydrophobic (polyethylene oxide) chain. Polidocanol has the following structural formula:

C12H25(OCH2CH2)nOH Polyethylene glycol monododecyl ether Mean extent of polymerization (n) : Approximately 9 Mean molecular weight : Approximately 600

Each mL contains 5 mg (0.5%) or 10 mg (1.0%) polidocanol in water for injection with 5% (v/v) ethanol at pH 6.5-8.0; disodium hydrogen phosphate dihydrate (1.2 mg), potassium dihydrogen phosphate (0.43 mg).

5.1 Anaphylaxis

Severe allergic reactions have been reported following polidocanol use, including anaphylactic reactions, some of them fatal. Severe reactions are more frequent with use of larger volumes (> 3 mL). Minimize the dose of polidocanol. Be prepared to treat anaphylaxis appropriately.

Severe adverse local effects, including tissue necrosis, may occur following extravasation; therefore, take care in intravenous needle placement and use the smallest effective volume at each injection.

After the injection session is completed, apply compression with a stocking or bandage, and have the patient walk for 15-20 minutes. Keep the patient under supervision during this period to treat any anaphylactic or allergic reaction [see Dosage and Administration (2)].

8.4 Pediatric Use

The safety and effectiveness of Asclera in pediatric patients have not been established.

8.5 Geriatric Use

Clinical studies of Asclera did not include sufficient numbers of subjects aged 65 and over to determine whether they respond differently from younger subjects.

14 Clinical Studies (14 CLINICAL STUDIES)

Asclera was evaluated in a multicenter, randomized, double-blind, placebo- and comparator-controlled trial (EASI-study) in patients with spider or reticular varicose veins. A total of 338 patients were treated with Asclera [0.5% for spider veins (n=94), 1% for reticular veins (n=86)], sodium tetradecyl sulfate (STS) 1% (n=105), or placebo (0.9% isotonic saline solution) (n=53) for either spider or reticular veins. Patients were predominately female, ranging in age from 19 to 70 years. All of them received an intravenous injection in the first treatment session; repeat injections were given three and six weeks later if the previous injection was evaluated as unsuccessful (defined as 1, 2 or 3 on a 5-point scale, see below). Patients returned at 12 and 26 weeks after the last injection for final assessments.

The primary effectiveness endpoint was improvement of veins judged by a blinded panel. Digital images of the selected treatment area were taken prior to injection, compared with those taken at 12 weeks post-treatment, and rated on a 5-point scale (1 = worse than before, 2 = same as before, 3 = moderate improvement, 4 = good improvement, 5 = complete treatment success); results are shown in Table 2.

Table 2: Improvement of veins in digital photographs after 12 weeks and 26 weeks
Treatment Group Polidocanol (n=155) STS (n=105) Placebo (n=53)
Digital Photograph Scores at 12 weeks
Mean ± SD 4.5
p <0.0001 compared to placebo (Wilcoxon-Mann-Whitney test)
± 0.7
4.5
± 0.7
2.2 ± 0.7
Digital Photograph Scores at 26 weeks
Mean ± SD 4.5
± 0.7
4.5
± 0.8
2.2 ± 0.7

The secondary efficacy criterion was the rate of treatment success, pre-defined as a score of 4 or 5 with patients scoring 1, 2, or 3 considered treatment failures; results are shown in Table 3.

Table 3: Treatment success rates at 12 weeks and 26 weeks
Treatment Success
Treatment success: Yes= Grade 4 to 5, No= Grade 1 to 3; derived from median of evaluation;
Polidocanol (n=155) STS (n=105) Placebo (n=53)
At 12 weeks (Visit 4)
Yes 95%
p<0.0001 compared to placebo.
92%
8%
No 5% 8% 92%
Missing 0.6% 0% 0%
At 26 weeks (Visit 5)
Yes 95%
91%
6%
No 5% 9% 94%

At 12 and 26 weeks, patients' judgement of the results was assessed by showing them the digital images of their treatment area taken at baseline and asking them to rate their satisfaction with their treatment using a verbal rating scale (1 = very unsatisfied; 2 = somewhat unsatisfied; 3 = slightly satisfied; 4 = satisfied and 5 = very satisfied); results are shown in Table 4.

Table 4: Patient satisfaction after 12 weeks and 26 weeks
Polidocanol (N=155) STS (N=105) Placebo (N=53)
Patient satisfaction with treatment after 12 weeks (Visit 4)
Satisfied or very satisfied 87%
p <0.0001 compared to STS and placebo
64% 14%
Patient satisfaction with treatment after 26 weeks (Visit 5)
Satisfied or very satisfied 84%
63% 16%
4 Contraindications (4 CONTRAINDICATIONS)

Asclera is contraindicated for patients with known allergy to polidocanol and patients with acute thromboembolic diseases.

6 Adverse Reactions (6 ADVERSE REACTIONS)

The most common adverse reactions occurring at least 3% more frequently than on placebo are mild local reactions at the site of injection. (6)

To report SUSPECTED ADVERSE REACTIONS, contact Methapharm at 1-866-701-4636 or

[email protected] or FDA at 1-800-FDA-1088 or
www.fda.gov/medwatch.

7 Drug Interactions (7 DRUG INTERACTIONS)

No drug-drug interactions have been studied with Asclera.

12.2 Pharmacodynamics

Polidocanol has a concentration- and volume-dependent damaging effect on the endothelium of blood vessels.

12.3 Pharmacokinetics

During the major effectiveness study (EASI-trial), scheduled blood samples were taken from a sub-group of 22 patients to measure plasma levels of polidocanol after Asclera treatment of spider and reticular veins. Low systemic blood levels of polidocanol were seen in some patients.

The mean t1/2 of polidocanol in 4 patients with evaluable data receiving 4.5 -18.0 mg was 1.5 h.

5.3 Arterial Embolism

Stroke, transient ischemic attack, myocardial infarction, and impaired cardiac function have been reported in close temporal relationship with polidocanol administration. These events may be caused by air embolism when using the product foamed with room air (high nitrogen concentration) or thromboembolism. The safety and efficacy of polidocanol foamed with room air has not been established and its use should be avoided.

1 Indications and Usage (1 INDICATIONS AND USAGE)

Asclera® (polidocanol) is indicated to sclerose uncomplicated spider veins (varicose veins ≤1 mm in diameter) and uncomplicated reticular veins (varicose veins 1 to 3 mm in diameter) in the lower extremity. Asclera has not been studied in varicose veins more than 3 mm in diameter.

12.1 Mechanism of Action

The active ingredient of Asclera is polidocanol.

Polidocanol is a sclerosing agent that locally damages the endothelium of blood vessels. When injected intravenously, polidocanol induces endothelial damage. Platelets then aggregate at the site of damage and attach to the venous wall. Eventually, a dense network of platelets, cellular debris, and fibrin occludes the vessel. Finally, the occluded vein is replaced with connective fibrous tissue.

5 Warnings and Precautions (5 WARNINGS AND PRECAUTIONS)
  • Be prepared to treat anaphylaxis. (5.1)
  • Venous Thrombosis and Pulmonary Embolism. (5.2)
  • Arterial Embolism. (5.3)
  • Tissue ischemia and necrosis: Do not inject intra-arterially. (5.4)
2 Dosage and Administration (2 DOSAGE AND ADMINISTRATION)

For intravenous use only. Parenteral drug products should be inspected visually for particulate matter and discoloration prior to administration, whenever solution and container permit. Do not use if particulate matter is seen or if the contents of the vial are discolored or if the vial is damaged in any way.

For spider veins (varicose veins ≤1 mm in diameter), use Asclera 0.5%. For reticular veins (varicose veins 1 to 3 mm in diameter), use Asclera 1%. Use 0.1 to 0.3 mL per injection and no more than 10 mL per session.

Use a syringe (glass or plastic) with a fine needle (typically, 26- or 30-gauge). Insert the needle tangentially into the vein and inject the solution slowly while the needle is still in the vein. Apply only gentle pressure during injection to prevent vein rupture. After the needle has been removed and the injection site has been covered, apply compression in the form of a stocking or bandage. After the treatment session, encourage the patient to walk for 15 to 20 minutes. Keep the patient under observation to detect any anaphylactic or allergic reaction [see Warnings and Precautions (5.3)].

Maintain compression for 2 to 3 days after treatment of spider veins and for 5 to 7 days for reticular veins. For extensive varicosities, longer compression treatment with compression bandages or a gradient compression stocking of a higher compression class is recommended. Post-treatment compression is necessary to reduce the risk of deep vein thrombosis.

Repeat treatments may be necessary if the extent of the varicose veins requires more than 10 mL. These treatments should be separated by 1 to 2 weeks.

Small intravaricose thrombi that develop may be removed by microthrombectomy.

3 Dosage Forms and Strengths (3 DOSAGE FORMS AND STRENGTHS)

Asclera (polidocanol) is an injection for intravenous use and is available as follows:

• 0.5% [10 mg/2 mL (5 mg/mL)] solution in 2 mL single-dose glass ampule

• 1% [20 mg/2 mL (10 mg/mL)] solution in 2 mL single-dose glass ampule

6.1 Clinical Study Experience

Because clinical trials are conducted under widely varying conditions, adverse reaction rates observed in the clinical trials of a drug cannot be directly compared to rates in the clinical trials of another drug and may not reflect the rates observed in practice.

In 5 controlled randomized clinical trials, Asclera has been administered to 401 patients with small or very small varicose veins (reticular and spider veins) and compared with another sclerosing agent and with placebo. Patients were 18 to 70 years old. The patient population was predominately female and consisted of Caucasian and Asian patients.

Table 1 shows adverse events more common with Asclera or sodium tetradecyl sulfate (STS) 1% than with placebo by at least 3% in the placebo-controlled EASI study [see Clinical Studies (14)]. All of these were injection site reactions and most were mild.

Table 1: Adverse Reactions in EASI-study
ASCLERA (180 patients) STS 1% (105 patients) Placebo (53 patients)
Injection site haematoma 42% 65% 19%
Injection site irritation 41% 73% 30%
Injection site discoloration 38% 74% 4%
Injection site pain 24% 31% 9%
Injection site pruritus 19% 27% 4%
Injection site warmth 16% 21% 6%
Neovascularisation 8% 20% 4%
Injection site thrombosis 6% 1% 0%

Ultrasound examinations at one week (±3 days) and 12 weeks (±2 weeks) after treatment did not reveal deep vein thrombosis in any treatment group.

5.4 Tissue Ischemia and Necrosis

Intra-arterial injection or extravasation of polidocanol can cause severe necrosis, ischemia or gangrene. Take care in intravenous needle placement and use the smallest effective volume at each injection site. After the injection session is completed, apply compression with a stocking or bandage and have patients walk for 15-20 minutes. If intra-arterial injection of polidocanol occurs, consult a vascular surgeon immediately.

17 Patient Counseling Information (17 PATIENT COUNSELING INFORMATION)

Advise the patient to wear compression stockings or support hose on the treated legs continuously for 2 to 3 days and for 2 to 3 weeks during the daytime. Compression stockings or support hose should be thigh or knee high depending upon the area treated in order to provide adequate coverage.

Advise the patient to walk for 15 to 20 minutes immediately after the procedure and daily for the next few days.

For two to three days following treatment, advise the patient to avoid heavy exercise, sunbathing, long plane flights, and hot baths or sauna.

Distributed by:

Methapharm, Inc.

Boca Raton, FL 33433

Tel: 1-833-766-8346

www.asclera.com

Manufactured by:

Chemische Fabrik Kreussler & Co. GmbH

65203 Wiesbaden GERMANY

Asclera is a registered trademark of Chemische Fabrik Kreussler & Co. GmbH, 65203 Wiesbaden, GERMANY

16 How Supplied/storage and Handling (16 HOW SUPPLIED/STORAGE AND HANDLING)

Asclera (polidocanol) injection is a colorless to faintly greenish-yellow solution supplied in single-dose, sterile, preservative free ampules in the following packages:



NDC 67850-140-05   Five 0.5 % ampules [10 mg/2 mL (5 mg/mL)]

NDC 67850-141-05   Five 1 % ampules [20 mg/2 mL (10 mg/mL)]



Each ampule is intended for immediate use in a single patient. Each unopened ampule is stable up to three years.

6.2 Post Marketing Safety Experience (6.2 Post-marketing Safety Experience)

The following adverse reactions have been reported during use of polidocanol in world-wide experience. Because these reactions are reported voluntarily from a population of uncertain size and without a control group, it is not possible to estimate their frequency reliably or to establish a causal relationship to drug exposure.

Immune system disorders: Anaphylactic shock, angioedema, urticaria generalized, asthma

Nervous system disorders: Cerebrovascular accident, migraine, paresthesia (local), loss of consciousness, confusional state, dizziness

Cardiac disorders: Cardiac arrest, palpitations

Vascular disorders: Deep vein thrombosis, pulmonary embolism, syncope vasovagal, circulatory collapse, vasculitis

Respiratory, thoracic and mediastinal disorders: Dyspnea

Skin and subcutaneous tissue disorders: Skin hyperpigmentation, dermatitis allergic, hypertrichosis (in the area of sclerotherapy)

General disorders and injection site conditions: Injection site necrosis, pyrexia, hot flush

Injury, poisoning and procedural complications: Nerve injury

5.2 Venous Thrombosis and Pulmonary Embolism

Asclera can cause venous thrombosis and subsequent pulmonary embolism or other thrombotic events. Follow administration instructions closely and monitor for signs of venous thrombosis after treatment. Patients with reduced mobility, history of deep vein thrombosis or pulmonary embolism, or recent (within 3 months) major surgery, prolonged hospitalization or pregnancy are at increased risk for developing thrombosis.

Principal Display Panel 10 Mg Ampule Carton (PRINCIPAL DISPLAY PANEL - 10 mg Ampule Carton)

NDC 67850-140-05

ASCLERA ®

(polidocanol) Injection

10 mg per 2 mL

(5 mg per mL)

0.5%

For Intravenous Use Only

Rx Only

Single use: Discard unused portion

Contains:

5 ampules each containing 10 mg per 2 mL

Principal Display Panel 20 Mg Ampule Carton (PRINCIPAL DISPLAY PANEL - 20 mg Ampule Carton)

NDC 67850-141-05

ASCLERA ®

(polidocanol) Injection

20 mg per 2 mL

(10 mg per mL)

1%

For Intravenous Use Only

Rx Only

Single use: Discard unused portion

Contains:

5 ampules each containing 20 mg per 2 mL

13.1 Carcinogenesis, Mutagenesis, Impairment of Fertility

Long-term studies to evaluate carcinogenic potential have not been conducted with polidocanol. Polidocanol was negative in bacterial reverse mutation assays in Salmonella and E. coli, and in a micronucleus assay conducted in mice. Polidocanol induced numerical chromosomal aberrations in cultured newborn Chinese hamster lung fibroblasts in the absence of metabolic activation.

Polidocanol did not affect reproductive performance (fertility) of rats when administered intermittently at dosages up to 10 mg/kg (approximately equal to the maximum human dose on the basis of body surface area).


Advanced Ingredient Data


Raw Label Data

All Sections (JSON)