These Highlights Do Not Include All The Information Needed To Use Trazimera Safely And Effectively. See Full Prescribing Information For Trazimera.

These Highlights Do Not Include All The Information Needed To Use Trazimera Safely And Effectively. See Full Prescribing Information For Trazimera.
SPL v8
SPL
SPL Set ID b9c5e894-27d2-4245-a653-df986fed3c56
Route
INTRAVENOUS
Published
Effective Date 2020-11-30
Document Type 34391-3 HUMAN PRESCRIPTION DRUG LABEL

Drug Facts

Composition & Product

Active Ingredients
Trastuzumab (420 mg)
Inactive Ingredients
Sucrose Histidine Monohydrochloride Monohydrate Histidine Polysorbate 20 Water Benzyl Alcohol

Identifiers & Packaging

Marketing Status
BLA Active Since 2021-03-10

Description

WARNING: CARDIOMYOPATHY, INFUSION REACTIONS, EMBRYO-FETAL TOXICITY, and PULMONARY TOXICITY See full prescribing information for complete boxed warning Cardiomyopathy: Trastuzumab products can result in subclinical and clinical cardiac failure manifesting as CHF, and decreased LVEF, with greatest risk when administered concurrently with anthracyclines. Evaluate cardiac function prior to and during treatment. Discontinue TRAZIMERA for cardiomyopathy. ( 2.5 , 5.1 ) Infusion Reactions, Pulmonary Toxicity: Discontinue TRAZIMERA for anaphylaxis, angioedema, interstitial pneumonitis, or acute respiratory distress syndrome. ( 5.2 , 5.4 ) Embryo-Fetal Toxicity: Exposure to trastuzumab products during pregnancy can result in oligohydramnios, in some cases complicated by pulmonary hypoplasia and neonatal death. Advise patients of these risks and the need for effective contraception. ( 5.3 , 8.1 , 8.3 )

Indications and Usage

TRAZIMERA is a HER2/neu receptor antagonist indicated in adults for: • The treatment of HER2-overexpressing breast cancer. ( 1.1 , 1.2 ) • The treatment of HER2-overexpressing metastatic gastric or gastroesophageal junction adenocarcinoma. ( 1.3 ) Select patients for therapy based on an FDA-approved companion diagnostic for a trastuzumab product. ( 1 , 2.2 )

Dosage and Administration

For intravenous (IV) infusion only. Do not administer as an intravenous push or bolus. TRAZIMERA has different dosage and administration instructions than subcutaneous trastuzumab products. ( 2.3 ) Do not substitute TRAZIMERA (trastuzumab-qyyp) for or with ado-trastuzumab emtansine or fam-trastuzumab deruxtecan. ( 2.3 ) Perform HER2 testing using FDA-approved tests by laboratories with demonstrated proficiency. ( 1 , 2.2 ) Adjuvant Treatment of HER2-Overexpressing Breast Cancer ( 2.2 ) Administer at either: • Initial dose of 4 mg/kg over 90 minutes intravenous infusion, then 2 mg/kg over 30 minutes intravenous infusion weekly for 12 weeks (with paclitaxel or docetaxel) or 18 weeks (with docetaxel and carboplatin). One week after the last weekly dose of TRAZIMERA, administer 6 mg/kg as an intravenous infusion over 30 to 90 minutes every three weeks to complete a total of 52 weeks of therapy, or • Initial dose of 8 mg/kg over 90 minutes intravenous infusion, then 6 mg/kg over 30 to 90 minutes intravenous infusion every three weeks for 52 weeks. Metastatic HER2-Overexpressing Breast Cancer ( 2.3 ) • Initial dose of 4 mg/kg as a 90 minutes intravenous infusion followed by subsequent weekly doses of 2 mg/kg as 30 minutes intravenous infusions. Metastatic HER2-Overexpressing Gastric Cancer ( 2.3 ) • Initial dose of 8 mg/kg over 90 minutes intravenous infusion, followed by 6 mg/kg over 30 to 90 minutes intravenous infusion every 3 weeks.

Warnings and Precautions

• Exacerbation of Chemotherapy-Induced Neutropenia. ( 5.5 , 6.1 )

Contraindications

None.

Adverse Reactions

The following adverse reactions are discussed in greater detail in other sections of the label: • Cardiomyopathy [see Warnings and Precautions (5.1) ] • Infusion Reactions [see Warnings and Precautions (5.2) ] • Embryo-Fetal Toxicity [see Warnings and Precautions (5.3) ] • Pulmonary Toxicity [see Warnings and Precautions (5.4) ] • Exacerbation of Chemotherapy-Induced Neutropenia [see Warnings and Precautions (5.5) ]

Drug Interactions

Anthracyclines Patients who receive anthracycline after stopping trastuzumab products may be at increased risk of cardiac dysfunction because of trastuzumab products estimated long washout period [see Clinical Pharmacology (12.3) ] . If possible, avoid anthracycline-based therapy for up to 7 months after stopping trastuzumab products. If anthracyclines are used, closely monitor the patient's cardiac function.

Storage and Handling

420 mg Multiple-dose vial TRAZIMERA (trastuzumab-qyyp) for injection 420 mg/vial is supplied in a multiple-dose vial as a sterile, white lyophilized powder. Each carton contains one multiple-dose vial of TRAZIMERA and one vial (20 mL) of Bacteriostatic Water for Injection (BWFI) containing 1.1% benzyl alcohol as a preservative. NDC 0069-0305-01. 150 mg Single-dose vial TRAZIMERA (trastuzumab-qyyp) for injection 150 mg/vial is supplied in a single-dose vial as a sterile, white lyophilized powder. Each carton contains one single-dose vial of TRAZIMERA. NDC 0069-0308-01. Store TRAZIMERA vials in the refrigerator at 2°C to 8°C (36°F to 46°F) in the original carton to protect from light. If needed, unopened TRAZIMERA vials may be removed from the refrigerator and stored at room temperature up to 30°C (86°F) for a single period of up to 3 months in the original carton to protect from light. Once removed from the refrigerator, do not return to the refrigerator and discard after 3 months or by the expiration date stamped on the vial, whichever occurs first. Write the revised expiration date in the space provided on the carton labeling.

How Supplied

420 mg Multiple-dose vial TRAZIMERA (trastuzumab-qyyp) for injection 420 mg/vial is supplied in a multiple-dose vial as a sterile, white lyophilized powder. Each carton contains one multiple-dose vial of TRAZIMERA and one vial (20 mL) of Bacteriostatic Water for Injection (BWFI) containing 1.1% benzyl alcohol as a preservative. NDC 0069-0305-01. 150 mg Single-dose vial TRAZIMERA (trastuzumab-qyyp) for injection 150 mg/vial is supplied in a single-dose vial as a sterile, white lyophilized powder. Each carton contains one single-dose vial of TRAZIMERA. NDC 0069-0308-01. Store TRAZIMERA vials in the refrigerator at 2°C to 8°C (36°F to 46°F) in the original carton to protect from light. If needed, unopened TRAZIMERA vials may be removed from the refrigerator and stored at room temperature up to 30°C (86°F) for a single period of up to 3 months in the original carton to protect from light. Once removed from the refrigerator, do not return to the refrigerator and discard after 3 months or by the expiration date stamped on the vial, whichever occurs first. Write the revised expiration date in the space provided on the carton labeling.


Medication Information

Warnings and Precautions

• Exacerbation of Chemotherapy-Induced Neutropenia. ( 5.5 , 6.1 )

Indications and Usage

TRAZIMERA is a HER2/neu receptor antagonist indicated in adults for: • The treatment of HER2-overexpressing breast cancer. ( 1.1 , 1.2 ) • The treatment of HER2-overexpressing metastatic gastric or gastroesophageal junction adenocarcinoma. ( 1.3 ) Select patients for therapy based on an FDA-approved companion diagnostic for a trastuzumab product. ( 1 , 2.2 )

Dosage and Administration

For intravenous (IV) infusion only. Do not administer as an intravenous push or bolus. TRAZIMERA has different dosage and administration instructions than subcutaneous trastuzumab products. ( 2.3 ) Do not substitute TRAZIMERA (trastuzumab-qyyp) for or with ado-trastuzumab emtansine or fam-trastuzumab deruxtecan. ( 2.3 ) Perform HER2 testing using FDA-approved tests by laboratories with demonstrated proficiency. ( 1 , 2.2 ) Adjuvant Treatment of HER2-Overexpressing Breast Cancer ( 2.2 ) Administer at either: • Initial dose of 4 mg/kg over 90 minutes intravenous infusion, then 2 mg/kg over 30 minutes intravenous infusion weekly for 12 weeks (with paclitaxel or docetaxel) or 18 weeks (with docetaxel and carboplatin). One week after the last weekly dose of TRAZIMERA, administer 6 mg/kg as an intravenous infusion over 30 to 90 minutes every three weeks to complete a total of 52 weeks of therapy, or • Initial dose of 8 mg/kg over 90 minutes intravenous infusion, then 6 mg/kg over 30 to 90 minutes intravenous infusion every three weeks for 52 weeks. Metastatic HER2-Overexpressing Breast Cancer ( 2.3 ) • Initial dose of 4 mg/kg as a 90 minutes intravenous infusion followed by subsequent weekly doses of 2 mg/kg as 30 minutes intravenous infusions. Metastatic HER2-Overexpressing Gastric Cancer ( 2.3 ) • Initial dose of 8 mg/kg over 90 minutes intravenous infusion, followed by 6 mg/kg over 30 to 90 minutes intravenous infusion every 3 weeks.

Contraindications

None.

Adverse Reactions

The following adverse reactions are discussed in greater detail in other sections of the label: • Cardiomyopathy [see Warnings and Precautions (5.1) ] • Infusion Reactions [see Warnings and Precautions (5.2) ] • Embryo-Fetal Toxicity [see Warnings and Precautions (5.3) ] • Pulmonary Toxicity [see Warnings and Precautions (5.4) ] • Exacerbation of Chemotherapy-Induced Neutropenia [see Warnings and Precautions (5.5) ]

Drug Interactions

Anthracyclines Patients who receive anthracycline after stopping trastuzumab products may be at increased risk of cardiac dysfunction because of trastuzumab products estimated long washout period [see Clinical Pharmacology (12.3) ] . If possible, avoid anthracycline-based therapy for up to 7 months after stopping trastuzumab products. If anthracyclines are used, closely monitor the patient's cardiac function.

Storage and Handling

420 mg Multiple-dose vial TRAZIMERA (trastuzumab-qyyp) for injection 420 mg/vial is supplied in a multiple-dose vial as a sterile, white lyophilized powder. Each carton contains one multiple-dose vial of TRAZIMERA and one vial (20 mL) of Bacteriostatic Water for Injection (BWFI) containing 1.1% benzyl alcohol as a preservative. NDC 0069-0305-01. 150 mg Single-dose vial TRAZIMERA (trastuzumab-qyyp) for injection 150 mg/vial is supplied in a single-dose vial as a sterile, white lyophilized powder. Each carton contains one single-dose vial of TRAZIMERA. NDC 0069-0308-01. Store TRAZIMERA vials in the refrigerator at 2°C to 8°C (36°F to 46°F) in the original carton to protect from light. If needed, unopened TRAZIMERA vials may be removed from the refrigerator and stored at room temperature up to 30°C (86°F) for a single period of up to 3 months in the original carton to protect from light. Once removed from the refrigerator, do not return to the refrigerator and discard after 3 months or by the expiration date stamped on the vial, whichever occurs first. Write the revised expiration date in the space provided on the carton labeling.

How Supplied

420 mg Multiple-dose vial TRAZIMERA (trastuzumab-qyyp) for injection 420 mg/vial is supplied in a multiple-dose vial as a sterile, white lyophilized powder. Each carton contains one multiple-dose vial of TRAZIMERA and one vial (20 mL) of Bacteriostatic Water for Injection (BWFI) containing 1.1% benzyl alcohol as a preservative. NDC 0069-0305-01. 150 mg Single-dose vial TRAZIMERA (trastuzumab-qyyp) for injection 150 mg/vial is supplied in a single-dose vial as a sterile, white lyophilized powder. Each carton contains one single-dose vial of TRAZIMERA. NDC 0069-0308-01. Store TRAZIMERA vials in the refrigerator at 2°C to 8°C (36°F to 46°F) in the original carton to protect from light. If needed, unopened TRAZIMERA vials may be removed from the refrigerator and stored at room temperature up to 30°C (86°F) for a single period of up to 3 months in the original carton to protect from light. Once removed from the refrigerator, do not return to the refrigerator and discard after 3 months or by the expiration date stamped on the vial, whichever occurs first. Write the revised expiration date in the space provided on the carton labeling.

Description

WARNING: CARDIOMYOPATHY, INFUSION REACTIONS, EMBRYO-FETAL TOXICITY, and PULMONARY TOXICITY See full prescribing information for complete boxed warning Cardiomyopathy: Trastuzumab products can result in subclinical and clinical cardiac failure manifesting as CHF, and decreased LVEF, with greatest risk when administered concurrently with anthracyclines. Evaluate cardiac function prior to and during treatment. Discontinue TRAZIMERA for cardiomyopathy. ( 2.5 , 5.1 ) Infusion Reactions, Pulmonary Toxicity: Discontinue TRAZIMERA for anaphylaxis, angioedema, interstitial pneumonitis, or acute respiratory distress syndrome. ( 5.2 , 5.4 ) Embryo-Fetal Toxicity: Exposure to trastuzumab products during pregnancy can result in oligohydramnios, in some cases complicated by pulmonary hypoplasia and neonatal death. Advise patients of these risks and the need for effective contraception. ( 5.3 , 8.1 , 8.3 )

Section 42229-5

Cardiomyopathy

Administration of trastuzumab products can result in sub-clinical and clinical cardiac failure. The incidence and severity was highest in patients receiving trastuzumab with anthracycline-containing chemotherapy regimens.

Evaluate left ventricular function in all patients prior to and during treatment with TRAZIMERA. Discontinue TRAZIMERA treatment in patients receiving adjuvant therapy and withhold TRAZIMERA in patients with metastatic disease for clinically significant decrease in left ventricular function [see Dosage and Administration (2.5) and Warnings and Precautions (5.1)].

Section 43683-2

Dosage and Administration, Evaluation and Testing

Before Initiating TRAZIMERA (2.1)

8/2025

11 Description

Trastuzumab-qyyp is a humanized IgG1 kappa monoclonal antibody that selectively binds with high affinity to the extracellular domain of the human epidermal growth factor receptor 2 protein, HER2. Trastuzumab-qyyp is produced by recombinant DNA technology in a mammalian cell (Chinese Hamster Ovary) culture.

TRAZIMERA (trastuzumab-qyyp) for injection is a sterile, white, preservative-free lyophilized powder with a cake-like appearance, for intravenous administration.

Each multiple-dose vial of TRAZIMERA delivers 420 mg trastuzumab-qyyp, 7.9 mg L-histidine, 9.5 mg L-histidine HCl monohydrate, 1.7 mg polysorbate 20, and 386 mg sucrose. Reconstitution with 20 mL of the appropriate diluent (BWFI or SWFI) yields a solution containing 21 mg/mL trastuzumab-qyyp that delivers 20 mL (420 mg trastuzumab-qyyp), at a pH of approximately 6. If TRAZIMERA is reconstituted with SWFI without preservative, the reconstituted solution is considered single-dose.

Each single-dose vial of TRAZIMERA delivers 150 mg trastuzumab-qyyp, 2.8 mg L-histidine, 3.4 mg L-histidine HCl monohydrate, 0.6 mg polysorbate 20, and 138 mg sucrose. Reconstitution with 7.4 mL of SWFI yields a solution containing 21 mg/mL trastuzumab-qyyp that delivers 7.15 mL (150 mg trastuzumab-qyyp), at a pH of approximately 6.

8.4 Pediatric Use

The safety and effectiveness of TRAZIMERA in pediatric patients have not been established.

8.5 Geriatric Use

Trastuzumab has been administered to 386 patients who were 65 years of age or over (253 in the adjuvant treatment and 133 in metastatic breast cancer treatment settings). The risk of cardiac dysfunction was increased in geriatric patients as compared to younger patients in both those receiving treatment for metastatic disease in H0648g and H0649g, or adjuvant therapy in NSABP B31 and NCCTG N9831. Limitations in data collection and differences in study design of the 4 studies of trastuzumab in adjuvant treatment of breast cancer preclude a determination of whether the toxicity profile of trastuzumab in older patients is different from younger patients. The reported clinical experience is not adequate to determine whether the efficacy improvements (ORR, TTP, OS, DFS) of trastuzumab treatment in older patients is different from that observed in patients < 65 years of age for metastatic disease and adjuvant treatment.

In ToGA (metastatic gastric cancer), of the 294 patients treated with trastuzumab, 108 (37%) were 65 years of age or older, while 13 (4.4%) were 75 and over. No overall differences in safety or effectiveness were observed.

5.1 Cardiomyopathy

Trastuzumab products can cause left ventricular cardiac dysfunction, arrhythmias, hypertension, disabling cardiac failure, cardiomyopathy, and cardiac death [see Boxed Warning]. Trastuzumab products can also cause asymptomatic decline in left ventricular ejection fraction (LVEF).

There is a 4 to 6 fold increase in the incidence of symptomatic myocardial dysfunction among patients receiving trastuzumab products as a single agent or in combination therapy compared with those not receiving trastuzumab products. The highest absolute incidence occurs when a trastuzumab product is administered with an anthracycline.

Withhold TRAZIMERA for ≥ 16% absolute decrease in LVEF from pre-treatment values or an LVEF value below institutional limits of normal and ≥ 10% absolute decrease in LVEF from pretreatment values [see Dosage and Administration (2.5)]. The safety of continuation or resumption of trastuzumab products in patients with trastuzumab product-induced left ventricular cardiac dysfunction has not been studied.

Patients who receive anthracycline after stopping trastuzumab products may also be at increased risk of cardiac dysfunction [see Drug Interactions (7) and Clinical Pharmacology (12.3)].

12.6 Immunogenicity

The observed incidence of anti-drug antibodies is highly dependent on the sensitivity and specificity of the assay. Differences in assay methods preclude meaningful comparisons of the incidence of anti-drug antibodies in the studies described below with the incidence of anti-drug antibodies in other studies, including those of trastuzumab or of other trastuzumab products.

Among 903 women with metastatic breast cancer, human anti-human antibody (HAHA) to trastuzumab was detected in one patient using an enzyme-linked immunosorbent assay (ELISA). This patient did not experience an allergic reaction. Samples for assessment of HAHA were not collected in studies of adjuvant breast cancer.

The clinical relevance of the development of anti-trastuzumab antibodies after treatment with trastuzumab is not known.

4 Contraindications

None.

6 Adverse Reactions

The following adverse reactions are discussed in greater detail in other sections of the label:

7 Drug Interactions

Anthracyclines

Patients who receive anthracycline after stopping trastuzumab products may be at increased risk of cardiac dysfunction because of trastuzumab products estimated long washout period [see Clinical Pharmacology (12.3)]. If possible, avoid anthracycline-based therapy for up to 7 months after stopping trastuzumab products. If anthracyclines are used, closely monitor the patient's cardiac function.

12.2 Pharmacodynamics

Trastuzumab product exposure-response relationships and the time course of pharmacodynamic responses are not fully characterized.

12.3 Pharmacokinetics

The pharmacokinetics of trastuzumab were evaluated in a pooled population pharmacokinetic (PK) model analysis of 1,582 subjects with primarily breast cancer and metastatic gastric cancer (MGC) receiving intravenous trastuzumab. Total trastuzumab clearance increases with decreasing concentrations due to parallel linear and non-linear elimination pathways.

Although the average trastuzumab exposure was higher following the first cycle in breast cancer patients receiving the once every three weeks schedule compared to the weekly schedule of trastuzumab, the average steady-state exposure was essentially the same at both dosages. The average trastuzumab exposure following the first cycle and at steady state as well as the time to steady state was higher in breast cancer patients compared to MGC patients at the same dosage; however, the reason for this exposure difference is unknown. Additional predicted trastuzumab exposure and PK parameters following the first trastuzumab cycle and at steady state exposure are described in Tables 7 and 8, respectively.

Population PK based simulations indicate that following discontinuation of trastuzumab, concentrations in at least 95% of breast cancer patients and MGC patients will decrease to approximately 3% of the population predicted steady-state trough serum concentration (approximately 97% washout) by 7 months [see Warnings and Precautions (5.1) and Use in Specific Populations (8.1, 8.3)].

Table 7: Population Predicted Cycle 1 PK Exposures (Median with 5th to 95th Percentiles) in Breast Cancer and MGC Patients

Schedule

Primary tumor type

N

Cmin

(µg/mL)

Cmax

(µg/mL)

AUC0-21 days

(µg.day/mL)

8 mg/kg + 6 mg/kg q3w

Breast cancer

1195

29.4

(5.8 to 59.5)

178

(117 to 291)

1373

(736 to 2245)

MGC

274

23.1

(6.1 to 50.3)

132

(84.2 to 225)

1109

(588 to 1938)

4 mg/kg + 2 mg/kg qw

Breast cancer

1195

37.7

(12.3 to 70.9)

88.3

(58 to 144)

1066

(586 to 1754)

Table 8: Population Predicted Steady State PK Exposures (Median with 5th to 95th Percentiles) in Breast Cancer and MGC Patients

Schedule

Primary tumor type

N

Cmin,ss

Steady-state trough serum concentration of trastuzumab.


(µg/mL)

Cmax,ss

Maximum steady-state serum concentration of trastuzumab.


(µg/mL)

AUCss, 0-21 days

(µg.day/mL)

Time to steady-state (week)

Total CL range at steady-state (L/day)

8 mg/kg + 6 mg/kg q3w

Breast cancer

1195

47.4

(5 to 115)

179

(107 to 309)

1794

(673 to 3618)

12

0.173 to 0.283

MGC

274

32.9

(6.1 to 88.9)

131

(72.5 to 251)

1338

(557 to 2875)

9

0.189 to 0.337

4 mg/kg + 2 mg/kg qw

Breast cancer

1195

66.1

(14.9 to 142)

109

(51.0 to 209)

1765

(647 to 3578)

12

0.201 to 0.244

2.2 Patient Selection

Select patients based on HER2 protein overexpression or HER2 gene amplification in tumor specimens [see Indications and Usage (1) and Clinical Studies (14)]. Assessment of HER2 protein overexpression and HER2 gene amplification should be performed using FDA-approved tests specific for breast or gastric cancers by laboratories with demonstrated proficiency. Information on the FDA-approved tests for the detection of HER2 protein overexpression and HER2 gene amplification is available at: http://www.fda.gov/CompanionDiagnostics.

Assessment of HER2 protein overexpression and HER2 gene amplification in metastatic gastric cancer should be performed using FDA-approved tests specifically for gastric cancers due to differences in gastric vs. breast histopathology, including incomplete membrane staining and more frequent heterogeneous expression of HER2 seen in gastric cancers.

Improper assay performance, including use of suboptimally fixed tissue, failure to utilize specified reagents, deviation from specific assay instructions, and failure to include appropriate controls for assay validation, can lead to unreliable results.

2.3 Recommended Dosage
  • TRAZIMERA is for intravenous infusion only. Do not administer as an intravenous push or bolus.
  • TRAZIMERA has different dosage and administration instructions than subcutaneous trastuzumab products.
  • Do not mix TRAZIMERA with other drugs.
  • Do not substitute TRAZIMERA (trastuzumab-qyyp) for or with ado-trastuzumab emtansine or fam-trastuzumab deruxtecan.
5.2 Infusion Reactions

Infusion reactions consist of a symptom complex characterized by fever and chills, and on occasion included nausea, vomiting, pain (in some cases at tumor sites), headache, dizziness, dyspnea, hypotension, rash, and asthenia [see Adverse Reactions (6.1)].

In post-marketing reports, serious and fatal infusion reactions have been reported. Severe reactions, which include bronchospasm, anaphylaxis, angioedema, hypoxia, and severe hypotension, were usually reported during or immediately following the initial infusion. However, the onset and clinical course were variable, including progressive worsening, initial improvement followed by clinical deterioration, or delayed post-infusion events with rapid clinical deterioration. For fatal events, death occurred within hours to days following a serious infusion reaction.

Interrupt TRAZIMERA infusion in all patients experiencing dyspnea, clinically significant hypotension, and intervention of medical therapy administered (which may include epinephrine, corticosteroids, diphenhydramine, bronchodilators, and oxygen). Patients should be evaluated and carefully monitored until complete resolution of signs and symptoms. Permanent discontinuation should be strongly considered in all patients with severe infusion reactions.

There are no data regarding the most appropriate method of identification of patients who may safely be retreated with trastuzumab products after experiencing a severe infusion reaction. Prior to resumption of trastuzumab infusion, the majority of patients who experienced a severe infusion reaction were pre-medicated with antihistamines and/or corticosteroids. While some patients tolerated trastuzumab infusions, others had recurrent severe infusion reactions despite pre-medications.

5.4 Pulmonary Toxicity

Trastuzumab product use can result in serious and fatal pulmonary toxicity. Pulmonary toxicity includes dyspnea, interstitial pneumonitis, pulmonary infiltrates, pleural effusions, non-cardiogenic pulmonary edema, pulmonary insufficiency and hypoxia, acute respiratory distress syndrome, and pulmonary fibrosis. Such events can occur as sequelae of infusion reactions [see Warnings and Precautions (5.2)]. Patients with symptomatic intrinsic lung disease or with extensive tumor involvement of the lungs, resulting in dyspnea at rest, appear to have more severe toxicity.

1 Indications and Usage

TRAZIMERA is a HER2/neu receptor antagonist indicated in adults for:

  • The treatment of HER2-overexpressing breast cancer. (1.1, 1.2)
  • The treatment of HER2-overexpressing metastatic gastric or gastroesophageal junction adenocarcinoma. (1.3)

Select patients for therapy based on an FDA-approved companion diagnostic for a trastuzumab product. (1, 2.2)

12.1 Mechanism of Action

The HER2 (or c-erbB2) proto-oncogene encodes a transmembrane receptor protein of 185 kDa, which is structurally related to the epidermal growth factor receptor. Trastuzumab products have been shown, in both in vitro assays and in animals, to inhibit the proliferation of human tumor cells that overexpress HER2.

Trastuzumab products are mediators of antibody-dependent cellular cytotoxicity (ADCC). In vitro, trastuzumab product-mediated ADCC has been shown to be preferentially exerted on HER2 overexpressing cancer cells compared with cancer cells that do not overexpress HER2.

5.3 Embryo Fetal Toxicity

Trastuzumab products can cause fetal harm when administered to a pregnant woman. In post-marketing reports, use of trastuzumab during pregnancy resulted in cases of oligohydramnios and oligohydramnios sequence manifesting as pulmonary hypoplasia, skeletal abnormalities, and neonatal death.

Verify the pregnancy status of females of reproductive potential prior to the initiation of TRAZIMERA. Advise pregnant women and females of reproductive potential that exposure to TRAZIMERA during pregnancy or within 7 months prior to conception can result in fetal harm. Advise females of reproductive potential to use effective contraception during treatment and for 7 months following the last dose of TRAZIMERA [see Use in Specific Populations (8.1, 8.3) and Clinical Pharmacology (12.3)].

1.1 Adjuvant Breast Cancer

TRAZIMERA is indicated in adults for adjuvant treatment of HER2-overexpressing node positive or node negative (ER/PR negative or with one high risk feature [see Clinical Studies (14.1)]) breast cancer

  • as part of a treatment regimen consisting of doxorubicin, cyclophosphamide, and either paclitaxel or docetaxel
  • as part of a treatment regimen with docetaxel and carboplatin
  • as a single agent following multi-modality anthracycline based therapy.

Select patients for therapy based on an FDA-approved companion diagnostic for a trastuzumab product [see Dosage and Administration (2.2)].

5 Warnings and Precautions
  • Exacerbation of Chemotherapy-Induced Neutropenia. (5.5, 6.1)
14.1 Adjuvant Breast Cancer

The safety and efficacy of trastuzumab in women receiving adjuvant chemotherapy for HER2 overexpressing breast cancer were evaluated in an integrated analysis of two randomized, open-label, clinical trials (NSABP B31 and NCCTG N9831) with a total of 4063 women at the protocol-specified final overall survival analysis, a third randomized, open-label, clinical trial (HERA) with a total of 3386 women at definitive Disease-Free Survival analysis for one-year trastuzumab treatment versus observation, and a fourth randomized, open-label clinical trial with a total of 3222 patients (BCIRG006).

2 Dosage and Administration

For intravenous (IV) infusion only. Do not administer as an intravenous push or bolus. TRAZIMERA has different dosage and administration instructions than subcutaneous trastuzumab products. ( 2.3 )

Do not substitute TRAZIMERA (trastuzumab-qyyp) for or with ado-trastuzumab emtansine or fam-trastuzumab deruxtecan. (2.3)

Perform HER2 testing using FDA-approved tests by laboratories with demonstrated proficiency. (1, 2.2)



Adjuvant Treatment of HER2-Overexpressing Breast Cancer (2.2)

Administer at either:

  • Initial dose of 4 mg/kg over 90 minutes intravenous infusion, then 2 mg/kg over 30 minutes intravenous infusion weekly for 12 weeks (with paclitaxel or docetaxel) or 18 weeks (with docetaxel and carboplatin). One week after the last weekly dose of TRAZIMERA, administer 6 mg/kg as an intravenous infusion over 30 to 90 minutes every three weeks to complete a total of 52 weeks of therapy, or
  • Initial dose of 8 mg/kg over 90 minutes intravenous infusion, then 6 mg/kg over 30 to 90 minutes intravenous infusion every three weeks for 52 weeks.

Metastatic HER2-Overexpressing Breast Cancer ( 2.3 )

  • Initial dose of 4 mg/kg as a 90 minutes intravenous infusion followed by subsequent weekly doses of 2 mg/kg as 30 minutes intravenous infusions.

Metastatic HER2-Overexpressing Gastric Cancer ( 2.3 )

  • Initial dose of 8 mg/kg over 90 minutes intravenous infusion, followed by 6 mg/kg over 30 to 90 minutes intravenous infusion every 3 weeks.
1.2 Metastatic Breast Cancer

TRAZIMERA is indicated in adults:

  • In combination with paclitaxel for first-line treatment of HER2-overexpressing metastatic breast cancer
  • As a single agent for treatment of HER2-overexpressing breast cancer in patients who have received one or more chemotherapy regimens for metastatic disease.

Select patients for therapy based on an FDA-approved companion diagnostic for a trastuzumab product [see Dosage and Administration (2.2)].

2.6 Preparation Instructions

To prevent medication errors, it is important to check the vial labels to ensure that the drug being prepared and administered is TRAZIMERA (trastuzumab-qyyp) and not ado-trastuzumab emtansine or fam-trastuzumab deruxtecan.

3 Dosage Forms and Strengths
  • For injection: 150 mg of TRAZIMERA as a white lyophilized powder in a single-dose vial.
  • For injection: 420 mg of TRAZIMERA as a white lyophilized powder in a multiple-dose vial.
1.3 Metastatic Gastric Cancer

TRAZIMERA is indicated in adults, in combination with cisplatin and capecitabine or 5-fluorouracil, for the treatment of patients with HER2-overexpressing metastatic gastric or gastroesophageal junction adenocarcinoma who have not received prior treatment for metastatic disease.

Select patients for therapy based on an FDA-approved companion diagnostic for a trastuzumab product [see Dosage and Administration (2.2)].

14.2 Metastatic Breast Cancer

The safety and efficacy of trastuzumab in treatment of women with metastatic breast cancer were studied in a randomized, controlled clinical trial in combination with chemotherapy (H0648g, n = 469 patients) and an open-label single agent clinical trial (H0649g, n = 222 patients). Both trials studied patients with metastatic breast cancer whose tumors overexpress the HER2 protein. Patients were eligible if they had 2 or 3 levels of overexpression (based on a 0 to 3 scale) by immunohistochemical assessment of tumor tissue performed by a central testing lab.

6.2 Post Marketing Experience

The following adverse reactions have been identified during post-approval use of trastuzumab products. Because these reactions are reported voluntarily from a population of uncertain size, it is not always possible to reliably estimate their frequency or establish a causal relationship to drug exposure.

  • Infusion reaction [see Warnings and Precautions (5.2)]
  • Oligohydramnios or oligohydramnios sequence, including pulmonary hypoplasia, skeletal abnormalities, and neonatal death [see Warnings and Precautions (5.3)]
  • Glomerulopathy [see Adverse Reactions (6.1)]
  • Immune thrombocytopenia
  • Tumor lysis syndrome (TLS): Cases of possible TLS have been reported in patients treated with trastuzumab products. Patients with significant tumor burden (e.g. bulky metastases) may be at a higher risk. Patients could present with hyperuricemia, hyperphosphatemia, and acute renal failure which may represent possible TLS. Providers should consider additional monitoring and/or treatment as clinically indicated.
8 Use in Specific Populations

Females and Males of Reproductive Potential: Verify the pregnancy status of females prior to initiation of TRAZIMERA. (8.3)

14.3 Metastatic Gastric Cancer

The safety and efficacy of trastuzumab in combination with cisplatin and a fluoropyrimidine (capecitabine or 5-fluorouracil) were studied in patients previously untreated for metastatic gastric or gastroesophageal junction adenocarcinoma (ToGA). In this open-label, multi-center trial, 594 patients were randomized 1:1 to trastuzumab in combination with cisplatin and a fluoropyrimidine (FC+H) or chemotherapy alone (FC). Randomization was stratified by extent of disease (metastatic vs. locally advanced), primary site (gastric vs. gastroesophageal junction), tumor measurability (yes vs. no), ECOG performance status (0,1 vs. 2), and fluoropyrimidine (capecitabine vs. 5-fluorouracil). All patients were either HER2 gene amplified (FISH+) or HER2 overexpressing (IHC 3+). Patients were also required to have adequate cardiac function (e.g., LVEF > 50%).

On the trastuzumab-containing arm, trastuzumab was administered as an IV infusion at an initial dose of 8 mg/kg followed by 6 mg/kg every 3 weeks until disease progression. On both study arms cisplatin was administered at a dose of 80 mg/m2 Day 1 every 3 weeks for 6 cycles as a 2 hour IV infusion. On both study arms, capecitabine was administered at 1000 mg/m2 dose orally twice daily (total daily dose 2000 mg/m2) for 14 days of each 21 day cycle for 6 cycles. Alternatively, continuous intravenous infusion (CIV) 5-fluorouracil was administered at a dose of 800 mg/m2/day from Day 1 through Day 5 every three weeks for 6 cycles.

The median age of the study population was 60 years (range: 21 to 83); 76% were male; 53% were Asian, 38% Caucasian, 5% Hispanic, 5% other racial/ethnic groups; 91% had ECOG PS of 0 or 1; 82% had primary gastric cancer and 18% had primary gastroesophageal adenocarcinoma. Of these patients, 23% had undergone prior gastrectomy, 7% had received prior neoadjuvant and/or adjuvant therapy, and 2% had received prior radiotherapy.

The main outcome measure of ToGA was overall survival (OS), analyzed by the unstratified log-rank test. The final OS analysis based on 351 deaths was statistically significant (nominal significance level of 0.0193). An updated OS analysis was conducted at one year after the final analysis. The efficacy results of both the final and the updated analyses are summarized in Table 13 and Figure 7.

Table 12: Overall Survival in ToGA (ITT Population)

FC

FC = capecitabine vs. 5-fluorouracil.
+ Trastuzumab Arm

N = 298

FC

Arm

N = 296

Overall Survival (interim analysis)

 N (%)

167 (56.0%)

184 (62.2%)

 Median (months)

13.5

11.0

 95% CI

(11.7, 15.7)

(9.4, 12.5)

 Hazard Ratio

0.73

 95% CI

(0.60, 0.91)

 p-value

Two sided p-value comparing with the nominal significance level of 0.0193.

0.0038

Overall Survival (updated)

 N (%)

221 (74.2%)

227 (76.7%)

 Median (months)

13.1

11.7

 95% CI

(11.9, 15.1)

(10.3, 13.0)

 Hazard Ratio

0.80

 95% CI

(0.67, 0.97)

Figure 7

Updated Overall Survival in Patients with Metastatic Gastric Cancer (ToGA)

  •  

An exploratory analysis of OS in patients based on HER2 gene amplification (FISH) and protein overexpression (IHC) testing is summarized in Table 14.

Table 13: Exploratory Analyses by HER2 Status Using Updated Overall Survival Results

FC

(N = 296)

Two patients on the FC arm who were FISH+ but IHC status unknown were excluded from the exploratory subgroup analyses.

FC + H

(N = 298)

Five patients on the trastuzumab-containing arm who were FISH+, but IHC status unknown were excluded from the exploratory subgroup analyses.

FISH+ / IHC 0, 1+ subgroup (N=133)

 No. Deaths / n (%)

57/71 (80%)

56/62 (90%)

 Median OS Duration (mos.)

8.8

8.3

 95% CI (mos.)

(6.4, 11.7)

(6.2, 10.7)

 Hazard ratio (95% CI)

1.33 (0.92, 1.92)

FISH+ / IHC2+ subgroup (N=160)

 No. Deaths / n (%)

65/80 (81%)

64/80 (80%)

 Median OS Duration (mos.)

10.8

12.3

 95% CI (mos.)

(6.8, 12.8)

(9.5, 15.7)

 Hazard ratio (95% CI)

0.78 (0.55, 1.10)

FISH+ or FISH- / IHC3+

Includes 6 patients on chemotherapy arm, 10 patients on trastuzumab arm with FISH-, IHC3+ and 8 patients on chemotherapy arm, 8 patients on trastuzumab arm with FISH status unknown, IHC 3+.
subgroup (N=294)

 No. Deaths / n (%)

104/143 (73%)

96/151 (64%)

 Median OS Duration (mos.)

13.2

18.0

 95% CI (mos.)

(11.5, 15.2)

(15.5, 21.2)

 Hazard ratio (95% CI)

0.66 (0.50, 0.87)

6.1 Clinical Trials Experience

Because clinical trials are conducted under widely varying conditions, adverse reaction rates observed in the clinical trials of a drug cannot be directly compared to rates in the clinical trials of another drug and may not reflect the rates observed in practice.

The most common adverse reactions in patients receiving trastuzumab products in the adjuvant and metastatic breast cancer setting are fever, nausea, vomiting, infusion reactions, diarrhea, infections, increased cough, headache, fatigue, dyspnea, rash, neutropenia, anemia, and myalgia. Adverse reactions requiring interruption or discontinuation of trastuzumab product treatment include CHF, significant decline in left ventricular cardiac function, severe infusion reactions, and pulmonary toxicity [see Dosage and Administration (2.5)].

In the metastatic gastric cancer setting, the most common adverse reactions (≥ 10%) that were increased (≥ 5% difference) in the trastuzumab arm as compared to the chemotherapy alone arm were neutropenia, diarrhea, fatigue, anemia, stomatitis, weight loss, upper respiratory tract infections, fever, thrombocytopenia, mucosal inflammation, nasopharyngitis, and dysgeusia. The most common adverse reactions which resulted in discontinuation of treatment on the trastuzumab-containing arm in the absence of disease progression were infection, diarrhea, and febrile neutropenia.

Adjuvant Breast Cancer

The information below reflects exposure to one-year trastuzumab therapy across three randomized, open-label studies, NSABP B31, NCCTG N9831, and HERA, with (n = 3678) or without (n = 3363) trastuzumab in the adjuvant treatment of breast cancer.

HERA

Table 3 reflects exposure to trastuzumab in 1678 patients in HERA; the median treatment duration was 51 weeks and median number of infusions was 18 [see Clinical Studies (14.1)].

Table 3: Adverse Reactions (≥ 1%) in HERA (All Grades)
The incidence of Grade 3 or higher adverse reactions was < 1% in both arms for each listed term.

Adverse Reactions

Trastuzumab

(n = 1678)

%

Observation

(n = 1708)

%

Nervous System

 Headache

10

3

 Paresthesia

2

0.6

Musculoskeletal

 Arthralgia

8

6

 Back pain

5

3

 Myalgia

4

1

 Bone pain

3

2

 Muscle spasm

3

0.2

Infections

 Nasopharyngitis

8

3

 Urinary tract infection

3

0.8

Gastrointestinal

 Diarrhea

7

1

 Nausea

6

1

 Vomiting

3.5

0.6

 Constipation

2

1

 Dyspepsia

2

0.5

 Upper abdominal pain

2

1

General

 Pyrexia

6

0.4

 Peripheral edema

5

2

 Chills

5

0

 Asthenia

4.5

2

 Influenza-like illness

2

0.2

Respiratory Thoracic Mediastinal

 Cough

5

2

 Influenza

4

0.5

 Dyspnea

3

2

 URI

3

1

 Rhinitis

2

0.4

 Pharyngolaryngeal pain

2

0.5

 Sinusitis

2

0.3

 Epistaxis

2

0.06

Cardiac

 Hypertension

4

2

 Dizziness

4

2

 Ejection fraction decreased

3.5

0.6

 Palpitations

3

0.7

 Cardiac arrhythmias

Higher level grouping term.

3

1

 Cardiac failure (congestive)

2

0.3

Skin & Subcutaneous Tissue

 Rash

4

0.6

 Nail disorders

2

0

 Pruritus

2

0.6

Clinically relevant adverse reactions in < 1% of patients who received trastuzumab in HERA included hypersensitivity (0.6%), cardiac failure (0.5%), cardiac disorder (0.3%), interstitial pneumonitis (0.2%), pulmonary hypertension (0.2%), ventricular disorder (0.2%), autoimmune thyroiditis (0.3%), and sudden death (0.06%).

Adjuvant Treatment of Breast Cancer with Trastuzumab Beyond One Year

Extending adjuvant treatment beyond one year is not recommended [see Dosage and Administration (2.3)]. In HERA, a comparison of trastuzumab administered once every 3 weeks for two years versus one year was performed. The rate of asymptomatic cardiac dysfunction was increased in the 2-year trastuzumab compared to the 1-year trastuzumab treatment arm (8.1% versus 4.6%, respectively). More patients experienced at least one adverse reaction of Grade 3 or higher in the 2-year trastuzumab treatment arm (20.4%) compared with the one-year trastuzumab treatment arm (16.3%).

NSABP B31 and NCCTG N9831

The safety data from NSABP B31 and NCCTG N9831 were obtained from 3655 patients, of whom 2000 received trastuzumab; the median treatment duration was 51 weeks [see Clinical Studies (14.1)].

In NSABP B31, only Grade 3 to 5 adverse events, treatment-related Grade 2 events, and Grade 2 to 5 dyspnea were collected during and for up to 3 months following protocol-specified treatment. The following non-cardiac adverse reactions of Grade 2 to 5 occurred at an incidence of at least 2% greater among patients receiving trastuzumab plus chemotherapy as compared to chemotherapy alone: fatigue (29.5% vs. 22.4%), infection (24.0% vs. 12.8%), hot flashes (17.1% vs. 15%), anemia (12.3% vs. 6.7%), dyspnea (11.8% vs. 4.6%), rash/desquamation (10.9% vs. 7.6%), leukopenia (10.5% vs. 8.4%), neutropenia (6.4% vs. 4.3%), headache (6.2% vs. 3.8%), pain (5.5% vs. 3%), edema (4.7% vs. 2.7%), and insomnia (4.3% vs. 1.5%). The majority of these events were Grade 2 in severity.

In NCCTG N9831, data collection was limited to the following investigator-attributed treatment-related adverse reactions: NCI-CTC Grade 4 and 5 hematologic toxicities, Grade 3 to 5 non-hematologic toxicities, selected Grade 2 to 5 toxicities associated with taxanes (myalgia, arthralgias, nail changes, motor neuropathy, and sensory neuropathy) and Grade 1 to 5 cardiac toxicities occurring during chemotherapy and/or trastuzumab treatment. The following non-cardiac adverse reactions of Grade 2 to 5 occurred at an incidence of at least 2% greater among patients receiving trastuzumab plus chemotherapy as compared to chemotherapy alone: arthralgia (12.2% vs. 9.1%), nail changes (11.5% vs. 6.8%), dyspnea (2.4% vs. 0.2%), and diarrhea (2.2% vs. 0%). The majority of these events were Grade 2 in severity.

BCIRG006

Safety data from BCIRG006 reflect exposure to trastuzumab as part of an adjuvant treatment regimen from 2124 patients receiving at least one dose of study treatment [AC-TH: n = 1068; TCH: n = 1056]. The overall median treatment duration was 54 weeks in both the AC-TH and TCH arms. The median number of infusions was 26 in the AC-TH arm and 30 in the TCH arm, including weekly infusions during the chemotherapy phase and once every three weeks dosing in the monotherapy period [see Clinical Studies (14.1)]. In BCIRG006, the toxicity profile was similar to that reported in NSABP B31, NCCTG N9831, and HERA with the exception of a lower incidence of CHF in the TCH arm.

Metastatic Breast Cancer Studies

The safety of trastuzumab was evaluated in one randomized, open-label study (H0648g) of chemotherapy with (n = 235) or without (n = 234) intravenous trastuzumab in patients with metastatic breast cancer, and in one single-arm study (H0649g) in patients with metastatic breast cancer (n = 222) [see Clinical Studies (14.1)]. Patients received 4 mg/kg initial dose of trastuzumab followed by 2 mg/kg weekly. In H0648g, 58% of patients received trastuzumab for ≥ 6 months and 9% received trastuzumab for ≥ 12 months, respectively. In H0649g, 31% of patients received trastuzumab for ≥ 6 months and 16% received trastuzumab for ≥ 12 months, respectively.

Table 4 shows the adverse reactions (≥ 5%) in patients from H0648g and H0649g.

Table 4: Adverse Reactions
Data for trastuzumab single agent were from 4 studies, including 213 patients from H0649g.
(≥ 5%) in the Trastuzumab Arms in H0648g and H0649g

Trastuzumab

n = 352

%

Trastuzumab + Paclitaxel

n = 91

%

Paclitaxel n = 95

%

Trastuzumab + AC

Anthracycline (doxorubicin or epirubicin) and cyclophosphamide.


n = 143

%

AC



n = 135

%

General

 

 

 

 

 

 Pain

47

61

62

57

42

 Asthenia

42

62

57

54

55

 Fever

36

49

23

56

34

 Chills

32

41

4

35

11

 Headache

26

36

28

44

31

 Abdominal pain

22

34

22

23

18

 Back pain

22

34

30

27

15

 Infection

20

47

27

47

31

 Flu syndrome

10

12

5

12

6

 Accidental injury

6

13

3

9

4

 Allergic reaction

3

8

2

4

2

Gastrointestinal

 Nausea

33

51

9

76

77

 Diarrhea

25

45

29

45

26

 Vomiting

23

37

28

53

49

 Anorexia

14

24

16

31

26

 Nausea and vomiting

8

14

11

18

9

Respiratory

 Cough increased

26

41

22

43

29

 Dyspnea

22

27

26

42

25

 Rhinitis

14

22

5

22

16

 Pharyngitis

12

22

14

30

18

 Sinusitis

9

21

7

13

6

Skin

 Rash

18

38

18

27

17

 Herpes simplex

2

12

3

7

9

 Acne

2

11

3

3

< 1

Nervous

 Insomnia

14

25

13

29

15

 Dizziness

13

22

24

24

18

 Paresthesia

9

48

39

17

11

 Depression

6

12

13

20

12

 Peripheral neuritis

2

23

16

2

2

 Neuropathy

1

13

5

4

4

Metabolic

 Peripheral edema

10

22

20

20

17

 Edema

8

10

8

11

5

Cardiovascular

 Congestive heart failure

7

11

1

28

7

 Tachycardia

5

12

4

10

5

Musculoskeletal

 Bone pain

7

24

18

7

7

 Arthralgia

6

37

21

8

9

Urogenital

 Urinary tract infection

5

18

14

13

7

Blood and Lymphatic

 Anemia

4

14

9

36

26

 Leukopenia

3

24

17

52

34

Metastatic Gastric Cancer

The safety of trastuzumab was evaluated in patients with previously untreated for metastatic gastric or gastroesophageal junction adenocarcinoma in an open label, multi-center trial (ToGA) [see Clinical Studies (14.3)]. Patients were randomized (1:1) to receive trastuzumab in combination with cisplatin and a fluoropyrimidine (FC+H) (n=294) or chemotherapy alone (FC) (n=290). Patients in the trastuzumab plus chemotherapy arm received trastuzumab 8 mg/kg administered on Day 1 (prior to chemotherapy) followed by 6 mg/kg every 21 days until disease progression. Cisplatin was administered at 80 mg/m2 on Day 1 and the fluoropyrimidine was administered as either capecitabine 1000 mg/m2 orally twice a day on Days 1 to 14 or 5-fluorouracil 800 mg/m2/day as a continuous intravenous infusion Days 1 through 5. Chemotherapy was administered for six 21-day cycles. Median duration of trastuzumab treatment was 21 weeks and the median number of trastuzumab infusions administered was eight.

Table 5: Adverse Reactions (All Grades ≥ 5% or Grade 3-4 ≥ 1% between Arms) in ToGA

Adverse Reactions

Trastuzumab + FC

(N = 294)

%

FC

(N = 290)

%

All Grades

Grades 3-4

All Grades

Grades 3-4

Investigations

 Neutropenia

78

34

73

29

 Hypokalemia

28

10

24

6

 Anemia

28

12

21

10

 Thrombocytopenia

16

5

11

3

Blood and Lymphatic System Disorders

 Febrile Neutropenia

5

3

Gastrointestinal Disorders

 Diarrhea

37

9

28

4

 Stomatitis

24

1

15

2

 Dysphagia

6

2

3

< 1

General

 Fatigue

35

4

28

2

 Fever

18

1

12

0

 Mucosal Inflammation

13

2

6

1

 Chills

8

< 1

0

0

Metabolism and Nutrition Disorders

 Weight Decrease

23

2

14

2

Infections and Infestations

 Upper Respiratory Tract Infections

19

0

10

0

 Nasopharyngitis

13

0

6

0

Renal and Urinary Disorders

 Renal Failure and Impairment

18

3

15

2

Nervous System Disorders

 Dysgeusia

10

0

5

0

The following subsections provide additional detail regarding adverse reactions observed in clinical trials of adjuvant breast cancer, metastatic breast cancer, metastatic gastric cancer, or post-marketing experience.

Cardiomyopathy

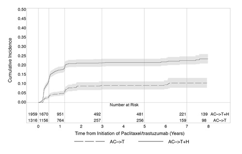
Serial measurement of cardiac function (LVEF) was obtained in clinical trials in the adjuvant treatment of breast cancer. In HERA, the median duration of follow-up was 12.6 months (12.4 months in the observation arm; 12.6 months in the 1-year trastuzumab arm); and in NSABP B31 and NCCTG N9831, 7.9 years in the AC-T arm, 8.3 years in the AC-TH arm. Following initiation of trastuzumab therapy, the incidence of new-onset dose-limiting myocardial dysfunction was higher among patients receiving trastuzumab and paclitaxel as compared to those receiving paclitaxel alone in NSABP B31 and NCCTG N9831, and in patients receiving one-year trastuzumab monotherapy compared to observation in HERA (see Table 6, Figures 1 and 2). The incidence of new-onset cardiac dysfunction, as measured by LVEF, remained similar when compared to the analysis performed at a median follow-up of 2.0 years in the AC-TH arm. This analysis showed evidence of reversibility of left ventricular dysfunction, with 64.5% of patients who experienced symptomatic CHF in the AC-TH group being asymptomatic at latest follow-up, and 90.3% having full or partial LVEF recovery.

Table 6: Myocardial Dysfunction (by LVEF) in NSABP B31, NCCTG N9831, HERA and BCIRG006
For NSABP B31, NCCTG N9831 and HERA, events are counted from the beginning of trastuzumab treatment. For BCIRG006, events are counted from the date of randomization.

Study and Arm

LVEF < 50%

and Decrease from Baseline

LVEF Decrease

LVEF

< 50%

≥ 10% decrease

≥ 16% decrease

< 20% and ≥ 10%

≥ 20%

NSABP B31 & NCCTG N9831

NSABP B31 and NCCTG N9831 regimens: doxorubicin and cyclophosphamide followed by paclitaxel (AC→T) or paclitaxel plus trastuzumab (AC→TH).
Median duration of follow-up for NSABP B31 and NCCTG N9831 combined was 8.3 years in the AC→TH arm.

AC→TH

(n = 1856)

23.1%

(428)

18.5%

(344)

11.2%

(208)

37.9%

(703)

8.9%

(166)

AC→T

(n = 1170)

11.7%

(137)

7.0%

(82)

3.0%

(35)

22.1%

(259)

3.4%

(40)

HERA

Median follow-up duration of 12.6 months in the one-year trastuzumab treatment arm.

Trastuzumab

(n = 1678)

8.6%

(144)

7.0%

(118)

3.8%

(64)

22.4%

(376)

3.5%

(59)

Observation

(n = 1708)

2.7%

(46)

2.0%

(35)

1.2%

(20)

11.9%

(204)

1.2%

(21)

BCIRG006

BCIRG006 regimens: doxorubicin and cyclophosphamide followed by docetaxel (AC→T) or docetaxel plus trastuzumab (AC→TH); docetaxel and carboplatin plus trastuzumab (TCH).

TCH

(n = 1056)

8.5%

(90)

5.9%

(62)

3.3%

(35)

34.5%

(364)

6.3%

(67)

AC→TH

(n = 1068)

17%

(182)

13.3%

(142)

9.8%

(105)

44.3%

(473)

13.2%

(141)

AC→T

(n = 1050)

9.5%

(100)

6.6%

(69)

3.3%

(35)

34%

(357)

5.5%

(58)

Figure 1

NSABP B31 and NCCTG N9831: Cumulative Incidence of Time to First LVEF Decline of ≥ 10 Percentage Points from Baseline and to Below 50% with Death as a Competing Risk Event

Time 0 is initiation of paclitaxel or trastuzumab + paclitaxel therapy.

Figure 2

HERA: Cumulative Incidence of Time to First LVEF Decline of ≥ 10 Percentage Points from Baseline and to Below 50% with Death as a Competing Risk Event

Time 0 is the date of randomization.

Figure 3

BCIRG006: Cumulative Incidence of Time to First LVEF Decline of ≥ 10 Percentage Points from Baseline and to Below 50% with Death as a Competing Risk Event



Time 0 is the date of randomization.

The incidence of congestive heart failure among patients in the metastatic breast cancer trials was classified for severity using the New York Heart Association classification system (I–IV, where IV is the most severe level of cardiac failure) (see Table 2). In the metastatic breast cancer trials, the probability of cardiac dysfunction was highest in patients who received trastuzumab concurrently with anthracyclines.

In ToGA, 5% of patients in the trastuzumab plus chemotherapy arm compared to 1.1% of patients in the chemotherapy alone arm had LVEF value below 50% with a ≥ 10% absolute decrease in LVEF from pretreatment values.

Infusion Reactions

During the first infusion with trastuzumab, the symptoms most commonly reported were chills and fever, occurring in approximately 40% of patients in clinical trials. Symptoms were treated with acetaminophen, diphenhydramine, and meperidine (with or without reduction in the rate of trastuzumab infusion); permanent discontinuation of trastuzumab for infusion reactions was required in < 1% of patients. Other signs and/or symptoms may include nausea, vomiting, pain (in some cases at tumor sites), rigors, headache, dizziness, dyspnea, hypotension, elevated blood pressure, rash, and asthenia. Infusion reactions occurred in 21% and 35% of patients, and were severe in 1.4% and 9% of patients, on second or subsequent trastuzumab infusions administered as monotherapy or in combination with chemotherapy, respectively. In the post-marketing setting, severe infusion reactions, including hypersensitivity, anaphylaxis, and angioedema have been reported.

Anemia

In randomized controlled clinical trials, the overall incidence of anemia (30% vs. 21% [H0648g]), of selected NCI-CTC Grade 2 to 5 anemia (12.3% vs. 6.7% [NSABP B31]), and of anemia requiring transfusions (0.1% vs. 0 patients [NCCTG N9831]) were increased in patients receiving trastuzumab and chemotherapy compared with those receiving chemotherapy alone. Following the administration of trastuzumab as a single agent (H0649g), the incidence of NCI-CTC Grade 3 anemia was < 1%. In ToGA (metastatic gastric cancer), on the trastuzumab containing arm as compared to the chemotherapy alone arm, the overall incidence of anemia was 28% compared to 21% and of NCI-CTC Grade 3/4 anemia was 12.2% compared to 10.3%.

Neutropenia

In randomized controlled clinical trials in the adjuvant setting, the incidence of selected NCI-CTC Grade 4 to 5 neutropenia (1.7% vs. 0.8% [NCCTG N9831]) and of selected Grade 2 to 5 neutropenia (6.4% vs. 4.3% [NSABP B31]) were increased in patients receiving trastuzumab and chemotherapy compared with those receiving chemotherapy alone. In a randomized, controlled trial in patients with metastatic breast cancer, the incidences of NCI-CTC Grade 3/4 neutropenia (32% vs. 22%) and of febrile neutropenia (23% vs. 17%) were also increased in patients randomized to trastuzumab in combination with myelosuppressive chemotherapy as compared to chemotherapy alone. In ToGA (metastatic gastric cancer) on the trastuzumab containing arm as compared to the chemotherapy alone arm, the incidence of NCI-CTC Grade 3/4 neutropenia was 36.8% compared to 28.9%; febrile neutropenia 5.1% compared to 2.8%.

Infection

The overall incidences of infection (46% vs. 30% [H0648g]), of selected NCI-CTC Grade 2 to 5 infection/febrile neutropenia (24.3% vs. 13.4% [NSABP B31]) and of selected Grade 3 to 5 infection/febrile neutropenia (2.9% vs. 1.4% [NCCTG N9831]) were higher in patients receiving trastuzumab and chemotherapy compared with those receiving chemotherapy alone. The most common site of infections in the adjuvant setting involved the upper respiratory tract, skin, and urinary tract.

In BCIRG006, the overall incidence of infection was higher with the addition of trastuzumab to AC-T but not to TCH [44% (AC-TH), 37% (TCH), 38% (AC-T)]. The incidences of NCI-CTC Grade 3 to 4 infection were similar [25% (AC-TH), 21% (TCH), 23% (AC-T)] across the three arms.

In a randomized, controlled trial in treatment of metastatic breast cancer, the reported incidence of febrile neutropenia was higher (23% vs. 17%) in patients receiving trastuzumab in combination with myelosuppressive chemotherapy as compared to chemotherapy alone.

Pulmonary Toxicity

Adjuvant Breast Cancer

Among women receiving adjuvant therapy for breast cancer, the incidence of selected NCI-CTC Grade 2 to 5 pulmonary toxicity (14.3% vs. 5.4% [NSABP B31]) and of selected NCI-CTC Grade 3 to 5 pulmonary toxicity and spontaneous reported Grade 2 dyspnea (3.4% vs. 0.9% [NCCTG N9831]) was higher in patients receiving trastuzumab and chemotherapy compared with chemotherapy alone. The most common pulmonary toxicity was dyspnea (NCI-CTC Grade 2 to 5: 11.8% vs. 4.6% [NSABP B31]; NCI-CTC Grade 2 to 5: 2.4% vs. 0.2% [NCCTG N9831]).

Pneumonitis/pulmonary infiltrates occurred in 0.7% of patients receiving trastuzumab compared with 0.3% of those receiving chemotherapy alone. Fatal respiratory failure occurred in 3 patients receiving trastuzumab, one as a component of multi-organ system failure, as compared to 1 patient receiving chemotherapy alone.

In HERA, there were 4 cases of interstitial pneumonitis in the one-year trastuzumab treatment arm compared to none in the observation arm at a median follow-up duration of 12.6 months.

Metastatic Breast Cancer

Among women receiving trastuzumab for treatment of metastatic breast cancer, the incidence of pulmonary toxicity was also increased. Pulmonary adverse events have been reported in the post-marketing experience as part of the symptom complex of infusion reactions. Pulmonary events include bronchospasm, hypoxia, dyspnea, pulmonary infiltrates, pleural effusions, non-cardiogenic pulmonary edema, and acute respiratory distress syndrome. For a detailed description, see Warnings and Precautions (5.4).

Thrombosis/Embolism

In 4 randomized, controlled clinical trials, the incidence of thrombotic adverse events was higher in patients receiving trastuzumab and chemotherapy compared to chemotherapy alone in three studies (2.6% vs. 1.5% [NSABP B31], 2.5% and 3.7% vs. 2.2% [BCIRG006] and 2.1% vs. 0% [H0648g]).

Diarrhea

Among women receiving adjuvant therapy for breast cancer, the incidence of NCI-CTC Grade 2 to 5 diarrhea (6.7% vs. 5.4% [NSABP B31]) and of NCI-CTC Grade 3 to 5 diarrhea (2.2% vs. 0% [NCCTG N9831]), and of Grade 1 to 4 diarrhea (7% vs. 1% [HERA; one-year trastuzumab treatment at 12.6 months median duration of follow-up]) were higher in patients receiving trastuzumab as compared to controls. In BCIRG006, the incidence of Grade 3 to 4 diarrhea was higher [5.7% AC-TH, 5.5% TCH vs. 3.0% AC-T] and of Grade 1 to 4 was higher [51% AC-TH, 63% TCH vs. 43% AC-T] among women receiving trastuzumab. Of patients receiving trastuzumab as a single agent for the treatment of metastatic breast cancer, 25% experienced diarrhea. An increased incidence of diarrhea was observed in patients receiving trastuzumab in combination with chemotherapy for treatment of metastatic breast cancer.

Renal Toxicity

In ToGA (metastatic gastric cancer) on the trastuzumab-containing arm as compared to the chemotherapy alone arm the incidence of renal impairment was 18% compared to 14.5%. Severe (Grade 3/4) renal failure was 2.7% on the trastuzumab-containing arm compared to 1.7% on the chemotherapy only arm. Treatment discontinuation for renal insufficiency/failure was 2% on the trastuzumab-containing arm and 0.3% on the chemotherapy only arm.

In the post-marketing setting, rare cases of nephrotic syndrome with pathologic evidence of glomerulopathy have been reported. The time to onset ranged from 4 months to approximately 18 months from initiation of trastuzumab therapy. Pathologic findings included membranous glomerulonephritis, focal glomerulosclerosis, and fibrillary glomerulonephritis. Complications included volume overload and congestive heart failure.

2.4 Important Dosing Considerations

Missed Dose

If the patient has missed a dose of TRAZIMERA by one week or less, then the usual maintenance dose (weekly schedule: 2 mg/kg; once every three weeks schedule: 6 mg/kg) should be administered as soon as possible. Do not wait until the next planned cycle. Subsequent TRAZIMERA maintenance doses should be administered 7 days or 21 days later according to the weekly or once every three weeks schedules, respectively.

If the patient has missed a dose of TRAZIMERA by more than one week, a re-loading dose of TRAZIMERA should be administered over approximately 90 minutes (weekly schedule: 4 mg/kg; once every three weeks schedule: 8 mg/kg) as soon as possible. Subsequent TRAZIMERA maintenance doses (weekly schedule: 2 mg/kg; once every three weeks schedule: 6 mg/kg) should be administered 7 days or 21 days later according to the weekly or once every three weeks schedules, respectively.

16 How Supplied/storage and Handling

420 mg Multiple-dose vial

TRAZIMERA (trastuzumab-qyyp) for injection 420 mg/vial is supplied in a multiple-dose vial as a sterile, white lyophilized powder. Each carton contains one multiple-dose vial of TRAZIMERA and one vial (20 mL) of Bacteriostatic Water for Injection (BWFI) containing 1.1% benzyl alcohol as a preservative.

NDC 0069-0305-01.

150 mg Single-dose vial

TRAZIMERA (trastuzumab-qyyp) for injection 150 mg/vial is supplied in a single-dose vial as a sterile, white lyophilized powder. Each carton contains one single-dose vial of TRAZIMERA.

NDC 0069-0308-01.

Store TRAZIMERA vials in the refrigerator at 2°C to 8°C (36°F to 46°F) in the original carton to protect from light.

If needed, unopened TRAZIMERA vials may be removed from the refrigerator and stored at room temperature up to 30°C (86°F) for a single period of up to 3 months in the original carton to protect from light. Once removed from the refrigerator, do not return to the refrigerator and discard after 3 months or by the expiration date stamped on the vial, whichever occurs first. Write the revised expiration date in the space provided on the carton labeling.

Principal Display Panel Kit Carton

NDC 0069-0305-01

Trazimera™

(trastuzumab-qyyp)

For Injection

420 mg/vial

For intravenous infusion after reconstitution

Multiple-dose vial

Rx only

Pfizer Oncology

Principal Display Panel 20 Ml Vial Label

BACTERIOSTATIC WATER FOR INJECTION

NOT FOR USE IN NEWBORNS

NDC 0069-0307-01

For Drug Diluent Use Only

Use 20 mL as DILUENT for reconstitution of

Trazimera

Each mL contains: 1.1% benzyl alcohol;

Water for Injection q.s. pH 4.5 to 8.0

See enclosed full prescribing information.

Use only if solution is clear and seal intact.

Sterile. Nonpyrogenic.

Store at controlled room temperature

2°C to 30°C (36°F to 86°F).

20 mL VIAL

PAA140335

Principal Display Panel 150 Mg Vial Label

NDC 0069-0308-01

Rx only

Trazimera™

(trastuzumab-qyyp)

For Injection

Mfg. by Pfizer Ireland

Pharmaceuticals

Cork, Ireland

US License No. 2060

150 mg/vial

For intravenous infusion after reconstitution

Single-dose vial

For Reconstitution, Dilution and Dosage: See Prescribing Information.

Storage: Refrigerate at 2°C to 8°C (36°F to 46°F) in the original carton

to protect from light. Unopened vial can be stored up to 30°C (86°F) for

a single period of up to 3 months but not exceeding the expiry date.

Discard after ____/____/____. Do Not Freeze. Do Not Shake After

Reconstitution. Discard unused reconstituted solution after 24 hours.

Principal Display Panel 420 Mg Vial Label

NDC 0069-0306-01

Rx only

Trazimera™

(trastuzumab-qyyp)

For Injection

Mfg. by

Pfizer Ireland Pharmaceuticals

Cork, Ireland

US License No. 2060

420 mg/vial

For intravenous infusion after reconstitution

Multiple-dose vial

Reconstitution, Dosage, and Administration: For IV administration only.

See prescribing information for preparation instructions, dosage, and administration.

Storage: Refrigerate at 2°C to 8°C (36°F to 46°F). Unopened vial can be stored up to 30°C

(86°F) for a single period of up to 3 months but not exceeding the expiry date.

Reconstitute with 20 mL Bacteriostatic Water for Injection (1.1% benzyl alcohol) to yield a

21 mg/mL multiple-dose solution that delivers 20 mL (420 mg trastuzumab-qyyp). Store

reconstituted solution in refrigerator at 2°C to 8°C (36°F to 46°F). Do Not Freeze.

Do Not Shake After Reconstitution. Discard unused reconstituted solution after 28 days.

Discard after ____/____/____

Principal Display Panel 150 Mg Vial Carton

NDC 0069-0308-01

Trazimera™

(trastuzumab-qyyp)

For Injection

150 mg/vial

For intravenous infusion after

reconstitution

Single-dose vial

Rx only

Pfizer Oncology

2.5 Dosage Modifications for Adverse Reactions

Infusion Reactions

[See Boxed Warning and Warnings and Precautions (5.2)]

  • Decrease the rate of infusion for mild or moderate infusion reactions
  • Interrupt the infusion in patients with dyspnea or clinically significant hypotension
  • Discontinue TRAZIMERA for severe or life-threatening infusion reactions.

Cardiomyopathy

[See Boxed Warning, Warnings and Precautions (5.1)]

Assess left ventricular ejection fraction (LVEF) prior to initiation of TRAZIMERA and at regular intervals during treatment. Withhold TRAZIMERA dosing for at least 4 weeks for either of the following:

  • ≥ 16% absolute decrease in LVEF from pre-treatment values
  • LVEF below institutional limits of normal and ≥ 10% absolute decrease in LVEF from pretreatment values.

TRAZIMERA may be resumed if, within 4 to 8 weeks, the LVEF returns to normal limits and the absolute decrease from baseline is ≤ 15%.

Permanently discontinue TRAZIMERA for a persistent (> 8 weeks) LVEF decline or for suspension of TRAZIMERA dosing on more than 3 occasions for cardiomyopathy.

5.5 Exacerbation of Chemotherapy Induced Neutropenia

In randomized, controlled clinical trials, the per-patient incidences of NCI-CTC Grade 3 to 4 neutropenia and of febrile neutropenia were higher in patients receiving trastuzumab in combination with myelosuppressive chemotherapy as compared to those who received chemotherapy alone. The incidence of septic death was similar among patients who received trastuzumab and those who did not [see Adverse Reactions (6.1)].

2.1 Evaluation and Testing Before Initiating Trazimera

Assess left ventricular ejection fraction (LVEF) prior to initiation of TRAZIMERA and at regular intervals during treatment [see Boxed Warning , Dosage and Administration (2.5) and Warnings and Precautions (5.1)] .

Verify the pregnancy status of females of reproductive potential prior to the initiation of TRAZIMERA [see Warnings and Precautions (5.3) and Use in Specific Populations (8.1, 8.3)].

13.1 Carcinogenesis, Mutagenesis, Impairment of Fertility

Trastuzumab products have not been tested for carcinogenic potential.

No evidence of mutagenic activity was observed when trastuzumab was tested in the standard Ames bacterial and human peripheral blood lymphocyte mutagenicity assays at concentrations of up to 5000 mcg/mL. In an in vivo micronucleus assay, no evidence of chromosomal damage to mouse bone marrow cells was observed following bolus intravenous doses of up to 118 mg/kg of trastuzumab.

A fertility study was conducted in female cynomolgus monkeys at doses up to 25 times the weekly recommended human dose of 2 mg/kg of trastuzumab and has revealed no evidence of impaired fertility, as measured by menstrual cycle duration and female sex hormone levels.

Warning: Cardiomyopathy, Infusion Reactions, Embryo Fetal Toxicity, and Pulmonary Toxicity

WARNING: CARDIOMYOPATHY, INFUSION REACTIONS, EMBRYO-FETAL TOXICITY, and PULMONARY TOXICITY

See full prescribing information for complete boxed warning

Cardiomyopathy: Trastuzumab products can result in subclinical and clinical cardiac failure manifesting as CHF, and decreased LVEF, with greatest risk when administered concurrently with anthracyclines. Evaluate cardiac function prior to and during treatment. Discontinue TRAZIMERA for cardiomyopathy. (2.5, 5.1)

Infusion Reactions, Pulmonary Toxicity: Discontinue TRAZIMERA for anaphylaxis, angioedema, interstitial pneumonitis, or acute respiratory distress syndrome. (5.2, 5.4)

Embryo-Fetal Toxicity: Exposure to trastuzumab products during pregnancy can result in oligohydramnios, in some cases complicated by pulmonary hypoplasia and neonatal death. Advise patients of these risks and the need for effective contraception. (5.3, 8.1, 8.3)


Structured Label Content

Section 42229-5 (42229-5)

Cardiomyopathy

Administration of trastuzumab products can result in sub-clinical and clinical cardiac failure. The incidence and severity was highest in patients receiving trastuzumab with anthracycline-containing chemotherapy regimens.

Evaluate left ventricular function in all patients prior to and during treatment with TRAZIMERA. Discontinue TRAZIMERA treatment in patients receiving adjuvant therapy and withhold TRAZIMERA in patients with metastatic disease for clinically significant decrease in left ventricular function [see Dosage and Administration (2.5) and Warnings and Precautions (5.1)].

Section 43683-2 (43683-2)

Dosage and Administration, Evaluation and Testing

Before Initiating TRAZIMERA (2.1)

8/2025

11 Description (11 DESCRIPTION)

Trastuzumab-qyyp is a humanized IgG1 kappa monoclonal antibody that selectively binds with high affinity to the extracellular domain of the human epidermal growth factor receptor 2 protein, HER2. Trastuzumab-qyyp is produced by recombinant DNA technology in a mammalian cell (Chinese Hamster Ovary) culture.

TRAZIMERA (trastuzumab-qyyp) for injection is a sterile, white, preservative-free lyophilized powder with a cake-like appearance, for intravenous administration.

Each multiple-dose vial of TRAZIMERA delivers 420 mg trastuzumab-qyyp, 7.9 mg L-histidine, 9.5 mg L-histidine HCl monohydrate, 1.7 mg polysorbate 20, and 386 mg sucrose. Reconstitution with 20 mL of the appropriate diluent (BWFI or SWFI) yields a solution containing 21 mg/mL trastuzumab-qyyp that delivers 20 mL (420 mg trastuzumab-qyyp), at a pH of approximately 6. If TRAZIMERA is reconstituted with SWFI without preservative, the reconstituted solution is considered single-dose.

Each single-dose vial of TRAZIMERA delivers 150 mg trastuzumab-qyyp, 2.8 mg L-histidine, 3.4 mg L-histidine HCl monohydrate, 0.6 mg polysorbate 20, and 138 mg sucrose. Reconstitution with 7.4 mL of SWFI yields a solution containing 21 mg/mL trastuzumab-qyyp that delivers 7.15 mL (150 mg trastuzumab-qyyp), at a pH of approximately 6.

8.4 Pediatric Use

The safety and effectiveness of TRAZIMERA in pediatric patients have not been established.

8.5 Geriatric Use

Trastuzumab has been administered to 386 patients who were 65 years of age or over (253 in the adjuvant treatment and 133 in metastatic breast cancer treatment settings). The risk of cardiac dysfunction was increased in geriatric patients as compared to younger patients in both those receiving treatment for metastatic disease in H0648g and H0649g, or adjuvant therapy in NSABP B31 and NCCTG N9831. Limitations in data collection and differences in study design of the 4 studies of trastuzumab in adjuvant treatment of breast cancer preclude a determination of whether the toxicity profile of trastuzumab in older patients is different from younger patients. The reported clinical experience is not adequate to determine whether the efficacy improvements (ORR, TTP, OS, DFS) of trastuzumab treatment in older patients is different from that observed in patients < 65 years of age for metastatic disease and adjuvant treatment.

In ToGA (metastatic gastric cancer), of the 294 patients treated with trastuzumab, 108 (37%) were 65 years of age or older, while 13 (4.4%) were 75 and over. No overall differences in safety or effectiveness were observed.

5.1 Cardiomyopathy

Trastuzumab products can cause left ventricular cardiac dysfunction, arrhythmias, hypertension, disabling cardiac failure, cardiomyopathy, and cardiac death [see Boxed Warning]. Trastuzumab products can also cause asymptomatic decline in left ventricular ejection fraction (LVEF).

There is a 4 to 6 fold increase in the incidence of symptomatic myocardial dysfunction among patients receiving trastuzumab products as a single agent or in combination therapy compared with those not receiving trastuzumab products. The highest absolute incidence occurs when a trastuzumab product is administered with an anthracycline.

Withhold TRAZIMERA for ≥ 16% absolute decrease in LVEF from pre-treatment values or an LVEF value below institutional limits of normal and ≥ 10% absolute decrease in LVEF from pretreatment values [see Dosage and Administration (2.5)]. The safety of continuation or resumption of trastuzumab products in patients with trastuzumab product-induced left ventricular cardiac dysfunction has not been studied.

Patients who receive anthracycline after stopping trastuzumab products may also be at increased risk of cardiac dysfunction [see Drug Interactions (7) and Clinical Pharmacology (12.3)].

12.6 Immunogenicity

The observed incidence of anti-drug antibodies is highly dependent on the sensitivity and specificity of the assay. Differences in assay methods preclude meaningful comparisons of the incidence of anti-drug antibodies in the studies described below with the incidence of anti-drug antibodies in other studies, including those of trastuzumab or of other trastuzumab products.

Among 903 women with metastatic breast cancer, human anti-human antibody (HAHA) to trastuzumab was detected in one patient using an enzyme-linked immunosorbent assay (ELISA). This patient did not experience an allergic reaction. Samples for assessment of HAHA were not collected in studies of adjuvant breast cancer.

The clinical relevance of the development of anti-trastuzumab antibodies after treatment with trastuzumab is not known.

4 Contraindications (4 CONTRAINDICATIONS)

None.

6 Adverse Reactions (6 ADVERSE REACTIONS)

The following adverse reactions are discussed in greater detail in other sections of the label:

7 Drug Interactions (7 DRUG INTERACTIONS)

Anthracyclines

Patients who receive anthracycline after stopping trastuzumab products may be at increased risk of cardiac dysfunction because of trastuzumab products estimated long washout period [see Clinical Pharmacology (12.3)]. If possible, avoid anthracycline-based therapy for up to 7 months after stopping trastuzumab products. If anthracyclines are used, closely monitor the patient's cardiac function.

12.2 Pharmacodynamics

Trastuzumab product exposure-response relationships and the time course of pharmacodynamic responses are not fully characterized.

12.3 Pharmacokinetics

The pharmacokinetics of trastuzumab were evaluated in a pooled population pharmacokinetic (PK) model analysis of 1,582 subjects with primarily breast cancer and metastatic gastric cancer (MGC) receiving intravenous trastuzumab. Total trastuzumab clearance increases with decreasing concentrations due to parallel linear and non-linear elimination pathways.

Although the average trastuzumab exposure was higher following the first cycle in breast cancer patients receiving the once every three weeks schedule compared to the weekly schedule of trastuzumab, the average steady-state exposure was essentially the same at both dosages. The average trastuzumab exposure following the first cycle and at steady state as well as the time to steady state was higher in breast cancer patients compared to MGC patients at the same dosage; however, the reason for this exposure difference is unknown. Additional predicted trastuzumab exposure and PK parameters following the first trastuzumab cycle and at steady state exposure are described in Tables 7 and 8, respectively.

Population PK based simulations indicate that following discontinuation of trastuzumab, concentrations in at least 95% of breast cancer patients and MGC patients will decrease to approximately 3% of the population predicted steady-state trough serum concentration (approximately 97% washout) by 7 months [see Warnings and Precautions (5.1) and Use in Specific Populations (8.1, 8.3)].

Table 7: Population Predicted Cycle 1 PK Exposures (Median with 5th to 95th Percentiles) in Breast Cancer and MGC Patients

Schedule

Primary tumor type

N

Cmin

(µg/mL)

Cmax

(µg/mL)

AUC0-21 days

(µg.day/mL)

8 mg/kg + 6 mg/kg q3w

Breast cancer

1195

29.4

(5.8 to 59.5)

178

(117 to 291)

1373

(736 to 2245)

MGC

274

23.1

(6.1 to 50.3)

132

(84.2 to 225)

1109

(588 to 1938)

4 mg/kg + 2 mg/kg qw

Breast cancer

1195

37.7

(12.3 to 70.9)

88.3

(58 to 144)

1066

(586 to 1754)

Table 8: Population Predicted Steady State PK Exposures (Median with 5th to 95th Percentiles) in Breast Cancer and MGC Patients

Schedule

Primary tumor type

N

Cmin,ss

Steady-state trough serum concentration of trastuzumab.


(µg/mL)

Cmax,ss

Maximum steady-state serum concentration of trastuzumab.


(µg/mL)

AUCss, 0-21 days

(µg.day/mL)

Time to steady-state (week)

Total CL range at steady-state (L/day)

8 mg/kg + 6 mg/kg q3w

Breast cancer

1195

47.4

(5 to 115)

179

(107 to 309)

1794

(673 to 3618)

12

0.173 to 0.283

MGC

274

32.9

(6.1 to 88.9)

131

(72.5 to 251)

1338

(557 to 2875)

9

0.189 to 0.337

4 mg/kg + 2 mg/kg qw

Breast cancer

1195

66.1

(14.9 to 142)

109

(51.0 to 209)

1765

(647 to 3578)

12

0.201 to 0.244

2.2 Patient Selection

Select patients based on HER2 protein overexpression or HER2 gene amplification in tumor specimens [see Indications and Usage (1) and Clinical Studies (14)]. Assessment of HER2 protein overexpression and HER2 gene amplification should be performed using FDA-approved tests specific for breast or gastric cancers by laboratories with demonstrated proficiency. Information on the FDA-approved tests for the detection of HER2 protein overexpression and HER2 gene amplification is available at: http://www.fda.gov/CompanionDiagnostics.

Assessment of HER2 protein overexpression and HER2 gene amplification in metastatic gastric cancer should be performed using FDA-approved tests specifically for gastric cancers due to differences in gastric vs. breast histopathology, including incomplete membrane staining and more frequent heterogeneous expression of HER2 seen in gastric cancers.

Improper assay performance, including use of suboptimally fixed tissue, failure to utilize specified reagents, deviation from specific assay instructions, and failure to include appropriate controls for assay validation, can lead to unreliable results.

2.3 Recommended Dosage
  • TRAZIMERA is for intravenous infusion only. Do not administer as an intravenous push or bolus.
  • TRAZIMERA has different dosage and administration instructions than subcutaneous trastuzumab products.
  • Do not mix TRAZIMERA with other drugs.
  • Do not substitute TRAZIMERA (trastuzumab-qyyp) for or with ado-trastuzumab emtansine or fam-trastuzumab deruxtecan.
5.2 Infusion Reactions

Infusion reactions consist of a symptom complex characterized by fever and chills, and on occasion included nausea, vomiting, pain (in some cases at tumor sites), headache, dizziness, dyspnea, hypotension, rash, and asthenia [see Adverse Reactions (6.1)].

In post-marketing reports, serious and fatal infusion reactions have been reported. Severe reactions, which include bronchospasm, anaphylaxis, angioedema, hypoxia, and severe hypotension, were usually reported during or immediately following the initial infusion. However, the onset and clinical course were variable, including progressive worsening, initial improvement followed by clinical deterioration, or delayed post-infusion events with rapid clinical deterioration. For fatal events, death occurred within hours to days following a serious infusion reaction.

Interrupt TRAZIMERA infusion in all patients experiencing dyspnea, clinically significant hypotension, and intervention of medical therapy administered (which may include epinephrine, corticosteroids, diphenhydramine, bronchodilators, and oxygen). Patients should be evaluated and carefully monitored until complete resolution of signs and symptoms. Permanent discontinuation should be strongly considered in all patients with severe infusion reactions.

There are no data regarding the most appropriate method of identification of patients who may safely be retreated with trastuzumab products after experiencing a severe infusion reaction. Prior to resumption of trastuzumab infusion, the majority of patients who experienced a severe infusion reaction were pre-medicated with antihistamines and/or corticosteroids. While some patients tolerated trastuzumab infusions, others had recurrent severe infusion reactions despite pre-medications.

5.4 Pulmonary Toxicity

Trastuzumab product use can result in serious and fatal pulmonary toxicity. Pulmonary toxicity includes dyspnea, interstitial pneumonitis, pulmonary infiltrates, pleural effusions, non-cardiogenic pulmonary edema, pulmonary insufficiency and hypoxia, acute respiratory distress syndrome, and pulmonary fibrosis. Such events can occur as sequelae of infusion reactions [see Warnings and Precautions (5.2)]. Patients with symptomatic intrinsic lung disease or with extensive tumor involvement of the lungs, resulting in dyspnea at rest, appear to have more severe toxicity.

1 Indications and Usage (1 INDICATIONS AND USAGE)

TRAZIMERA is a HER2/neu receptor antagonist indicated in adults for:

  • The treatment of HER2-overexpressing breast cancer. (1.1, 1.2)
  • The treatment of HER2-overexpressing metastatic gastric or gastroesophageal junction adenocarcinoma. (1.3)

Select patients for therapy based on an FDA-approved companion diagnostic for a trastuzumab product. (1, 2.2)

12.1 Mechanism of Action

The HER2 (or c-erbB2) proto-oncogene encodes a transmembrane receptor protein of 185 kDa, which is structurally related to the epidermal growth factor receptor. Trastuzumab products have been shown, in both in vitro assays and in animals, to inhibit the proliferation of human tumor cells that overexpress HER2.

Trastuzumab products are mediators of antibody-dependent cellular cytotoxicity (ADCC). In vitro, trastuzumab product-mediated ADCC has been shown to be preferentially exerted on HER2 overexpressing cancer cells compared with cancer cells that do not overexpress HER2.

5.3 Embryo Fetal Toxicity (5.3 Embryo-Fetal Toxicity)

Trastuzumab products can cause fetal harm when administered to a pregnant woman. In post-marketing reports, use of trastuzumab during pregnancy resulted in cases of oligohydramnios and oligohydramnios sequence manifesting as pulmonary hypoplasia, skeletal abnormalities, and neonatal death.

Verify the pregnancy status of females of reproductive potential prior to the initiation of TRAZIMERA. Advise pregnant women and females of reproductive potential that exposure to TRAZIMERA during pregnancy or within 7 months prior to conception can result in fetal harm. Advise females of reproductive potential to use effective contraception during treatment and for 7 months following the last dose of TRAZIMERA [see Use in Specific Populations (8.1, 8.3) and Clinical Pharmacology (12.3)].

1.1 Adjuvant Breast Cancer

TRAZIMERA is indicated in adults for adjuvant treatment of HER2-overexpressing node positive or node negative (ER/PR negative or with one high risk feature [see Clinical Studies (14.1)]) breast cancer

  • as part of a treatment regimen consisting of doxorubicin, cyclophosphamide, and either paclitaxel or docetaxel
  • as part of a treatment regimen with docetaxel and carboplatin
  • as a single agent following multi-modality anthracycline based therapy.

Select patients for therapy based on an FDA-approved companion diagnostic for a trastuzumab product [see Dosage and Administration (2.2)].

5 Warnings and Precautions (5 WARNINGS AND PRECAUTIONS)
  • Exacerbation of Chemotherapy-Induced Neutropenia. (5.5, 6.1)
14.1 Adjuvant Breast Cancer

The safety and efficacy of trastuzumab in women receiving adjuvant chemotherapy for HER2 overexpressing breast cancer were evaluated in an integrated analysis of two randomized, open-label, clinical trials (NSABP B31 and NCCTG N9831) with a total of 4063 women at the protocol-specified final overall survival analysis, a third randomized, open-label, clinical trial (HERA) with a total of 3386 women at definitive Disease-Free Survival analysis for one-year trastuzumab treatment versus observation, and a fourth randomized, open-label clinical trial with a total of 3222 patients (BCIRG006).

2 Dosage and Administration (2 DOSAGE AND ADMINISTRATION)

For intravenous (IV) infusion only. Do not administer as an intravenous push or bolus. TRAZIMERA has different dosage and administration instructions than subcutaneous trastuzumab products. ( 2.3 )

Do not substitute TRAZIMERA (trastuzumab-qyyp) for or with ado-trastuzumab emtansine or fam-trastuzumab deruxtecan. (2.3)

Perform HER2 testing using FDA-approved tests by laboratories with demonstrated proficiency. (1, 2.2)



Adjuvant Treatment of HER2-Overexpressing Breast Cancer (2.2)

Administer at either:

  • Initial dose of 4 mg/kg over 90 minutes intravenous infusion, then 2 mg/kg over 30 minutes intravenous infusion weekly for 12 weeks (with paclitaxel or docetaxel) or 18 weeks (with docetaxel and carboplatin). One week after the last weekly dose of TRAZIMERA, administer 6 mg/kg as an intravenous infusion over 30 to 90 minutes every three weeks to complete a total of 52 weeks of therapy, or
  • Initial dose of 8 mg/kg over 90 minutes intravenous infusion, then 6 mg/kg over 30 to 90 minutes intravenous infusion every three weeks for 52 weeks.

Metastatic HER2-Overexpressing Breast Cancer ( 2.3 )

  • Initial dose of 4 mg/kg as a 90 minutes intravenous infusion followed by subsequent weekly doses of 2 mg/kg as 30 minutes intravenous infusions.

Metastatic HER2-Overexpressing Gastric Cancer ( 2.3 )

  • Initial dose of 8 mg/kg over 90 minutes intravenous infusion, followed by 6 mg/kg over 30 to 90 minutes intravenous infusion every 3 weeks.
1.2 Metastatic Breast Cancer

TRAZIMERA is indicated in adults:

  • In combination with paclitaxel for first-line treatment of HER2-overexpressing metastatic breast cancer
  • As a single agent for treatment of HER2-overexpressing breast cancer in patients who have received one or more chemotherapy regimens for metastatic disease.

Select patients for therapy based on an FDA-approved companion diagnostic for a trastuzumab product [see Dosage and Administration (2.2)].

2.6 Preparation Instructions

To prevent medication errors, it is important to check the vial labels to ensure that the drug being prepared and administered is TRAZIMERA (trastuzumab-qyyp) and not ado-trastuzumab emtansine or fam-trastuzumab deruxtecan.

3 Dosage Forms and Strengths (3 DOSAGE FORMS AND STRENGTHS)
  • For injection: 150 mg of TRAZIMERA as a white lyophilized powder in a single-dose vial.
  • For injection: 420 mg of TRAZIMERA as a white lyophilized powder in a multiple-dose vial.
1.3 Metastatic Gastric Cancer

TRAZIMERA is indicated in adults, in combination with cisplatin and capecitabine or 5-fluorouracil, for the treatment of patients with HER2-overexpressing metastatic gastric or gastroesophageal junction adenocarcinoma who have not received prior treatment for metastatic disease.

Select patients for therapy based on an FDA-approved companion diagnostic for a trastuzumab product [see Dosage and Administration (2.2)].

14.2 Metastatic Breast Cancer

The safety and efficacy of trastuzumab in treatment of women with metastatic breast cancer were studied in a randomized, controlled clinical trial in combination with chemotherapy (H0648g, n = 469 patients) and an open-label single agent clinical trial (H0649g, n = 222 patients). Both trials studied patients with metastatic breast cancer whose tumors overexpress the HER2 protein. Patients were eligible if they had 2 or 3 levels of overexpression (based on a 0 to 3 scale) by immunohistochemical assessment of tumor tissue performed by a central testing lab.

6.2 Post Marketing Experience (6.2 Post-Marketing Experience)

The following adverse reactions have been identified during post-approval use of trastuzumab products. Because these reactions are reported voluntarily from a population of uncertain size, it is not always possible to reliably estimate their frequency or establish a causal relationship to drug exposure.

  • Infusion reaction [see Warnings and Precautions (5.2)]
  • Oligohydramnios or oligohydramnios sequence, including pulmonary hypoplasia, skeletal abnormalities, and neonatal death [see Warnings and Precautions (5.3)]
  • Glomerulopathy [see Adverse Reactions (6.1)]
  • Immune thrombocytopenia
  • Tumor lysis syndrome (TLS): Cases of possible TLS have been reported in patients treated with trastuzumab products. Patients with significant tumor burden (e.g. bulky metastases) may be at a higher risk. Patients could present with hyperuricemia, hyperphosphatemia, and acute renal failure which may represent possible TLS. Providers should consider additional monitoring and/or treatment as clinically indicated.
8 Use in Specific Populations (8 USE IN SPECIFIC POPULATIONS)

Females and Males of Reproductive Potential: Verify the pregnancy status of females prior to initiation of TRAZIMERA. (8.3)

14.3 Metastatic Gastric Cancer

The safety and efficacy of trastuzumab in combination with cisplatin and a fluoropyrimidine (capecitabine or 5-fluorouracil) were studied in patients previously untreated for metastatic gastric or gastroesophageal junction adenocarcinoma (ToGA). In this open-label, multi-center trial, 594 patients were randomized 1:1 to trastuzumab in combination with cisplatin and a fluoropyrimidine (FC+H) or chemotherapy alone (FC). Randomization was stratified by extent of disease (metastatic vs. locally advanced), primary site (gastric vs. gastroesophageal junction), tumor measurability (yes vs. no), ECOG performance status (0,1 vs. 2), and fluoropyrimidine (capecitabine vs. 5-fluorouracil). All patients were either HER2 gene amplified (FISH+) or HER2 overexpressing (IHC 3+). Patients were also required to have adequate cardiac function (e.g., LVEF > 50%).

On the trastuzumab-containing arm, trastuzumab was administered as an IV infusion at an initial dose of 8 mg/kg followed by 6 mg/kg every 3 weeks until disease progression. On both study arms cisplatin was administered at a dose of 80 mg/m2 Day 1 every 3 weeks for 6 cycles as a 2 hour IV infusion. On both study arms, capecitabine was administered at 1000 mg/m2 dose orally twice daily (total daily dose 2000 mg/m2) for 14 days of each 21 day cycle for 6 cycles. Alternatively, continuous intravenous infusion (CIV) 5-fluorouracil was administered at a dose of 800 mg/m2/day from Day 1 through Day 5 every three weeks for 6 cycles.

The median age of the study population was 60 years (range: 21 to 83); 76% were male; 53% were Asian, 38% Caucasian, 5% Hispanic, 5% other racial/ethnic groups; 91% had ECOG PS of 0 or 1; 82% had primary gastric cancer and 18% had primary gastroesophageal adenocarcinoma. Of these patients, 23% had undergone prior gastrectomy, 7% had received prior neoadjuvant and/or adjuvant therapy, and 2% had received prior radiotherapy.

The main outcome measure of ToGA was overall survival (OS), analyzed by the unstratified log-rank test. The final OS analysis based on 351 deaths was statistically significant (nominal significance level of 0.0193). An updated OS analysis was conducted at one year after the final analysis. The efficacy results of both the final and the updated analyses are summarized in Table 13 and Figure 7.

Table 12: Overall Survival in ToGA (ITT Population)

FC

FC = capecitabine vs. 5-fluorouracil.
+ Trastuzumab Arm

N = 298

FC

Arm

N = 296

Overall Survival (interim analysis)

 N (%)

167 (56.0%)

184 (62.2%)

 Median (months)

13.5

11.0

 95% CI

(11.7, 15.7)

(9.4, 12.5)

 Hazard Ratio

0.73

 95% CI

(0.60, 0.91)

 p-value

Two sided p-value comparing with the nominal significance level of 0.0193.

0.0038

Overall Survival (updated)

 N (%)

221 (74.2%)

227 (76.7%)

 Median (months)

13.1

11.7

 95% CI

(11.9, 15.1)

(10.3, 13.0)

 Hazard Ratio

0.80

 95% CI

(0.67, 0.97)

Figure 7

Updated Overall Survival in Patients with Metastatic Gastric Cancer (ToGA)

  •  

An exploratory analysis of OS in patients based on HER2 gene amplification (FISH) and protein overexpression (IHC) testing is summarized in Table 14.

Table 13: Exploratory Analyses by HER2 Status Using Updated Overall Survival Results

FC

(N = 296)

Two patients on the FC arm who were FISH+ but IHC status unknown were excluded from the exploratory subgroup analyses.

FC + H

(N = 298)

Five patients on the trastuzumab-containing arm who were FISH+, but IHC status unknown were excluded from the exploratory subgroup analyses.

FISH+ / IHC 0, 1+ subgroup (N=133)

 No. Deaths / n (%)

57/71 (80%)

56/62 (90%)

 Median OS Duration (mos.)

8.8

8.3

 95% CI (mos.)

(6.4, 11.7)

(6.2, 10.7)

 Hazard ratio (95% CI)

1.33 (0.92, 1.92)

FISH+ / IHC2+ subgroup (N=160)

 No. Deaths / n (%)

65/80 (81%)

64/80 (80%)

 Median OS Duration (mos.)

10.8

12.3

 95% CI (mos.)

(6.8, 12.8)

(9.5, 15.7)

 Hazard ratio (95% CI)

0.78 (0.55, 1.10)

FISH+ or FISH- / IHC3+

Includes 6 patients on chemotherapy arm, 10 patients on trastuzumab arm with FISH-, IHC3+ and 8 patients on chemotherapy arm, 8 patients on trastuzumab arm with FISH status unknown, IHC 3+.
subgroup (N=294)

 No. Deaths / n (%)

104/143 (73%)

96/151 (64%)

 Median OS Duration (mos.)

13.2

18.0

 95% CI (mos.)

(11.5, 15.2)

(15.5, 21.2)

 Hazard ratio (95% CI)

0.66 (0.50, 0.87)

6.1 Clinical Trials Experience

Because clinical trials are conducted under widely varying conditions, adverse reaction rates observed in the clinical trials of a drug cannot be directly compared to rates in the clinical trials of another drug and may not reflect the rates observed in practice.

The most common adverse reactions in patients receiving trastuzumab products in the adjuvant and metastatic breast cancer setting are fever, nausea, vomiting, infusion reactions, diarrhea, infections, increased cough, headache, fatigue, dyspnea, rash, neutropenia, anemia, and myalgia. Adverse reactions requiring interruption or discontinuation of trastuzumab product treatment include CHF, significant decline in left ventricular cardiac function, severe infusion reactions, and pulmonary toxicity [see Dosage and Administration (2.5)].

In the metastatic gastric cancer setting, the most common adverse reactions (≥ 10%) that were increased (≥ 5% difference) in the trastuzumab arm as compared to the chemotherapy alone arm were neutropenia, diarrhea, fatigue, anemia, stomatitis, weight loss, upper respiratory tract infections, fever, thrombocytopenia, mucosal inflammation, nasopharyngitis, and dysgeusia. The most common adverse reactions which resulted in discontinuation of treatment on the trastuzumab-containing arm in the absence of disease progression were infection, diarrhea, and febrile neutropenia.

Adjuvant Breast Cancer

The information below reflects exposure to one-year trastuzumab therapy across three randomized, open-label studies, NSABP B31, NCCTG N9831, and HERA, with (n = 3678) or without (n = 3363) trastuzumab in the adjuvant treatment of breast cancer.

HERA

Table 3 reflects exposure to trastuzumab in 1678 patients in HERA; the median treatment duration was 51 weeks and median number of infusions was 18 [see Clinical Studies (14.1)].

Table 3: Adverse Reactions (≥ 1%) in HERA (All Grades)
The incidence of Grade 3 or higher adverse reactions was < 1% in both arms for each listed term.

Adverse Reactions

Trastuzumab

(n = 1678)

%

Observation

(n = 1708)

%

Nervous System

 Headache

10

3

 Paresthesia

2

0.6

Musculoskeletal

 Arthralgia

8

6

 Back pain

5

3

 Myalgia

4

1

 Bone pain

3

2

 Muscle spasm

3

0.2

Infections

 Nasopharyngitis

8

3

 Urinary tract infection

3

0.8

Gastrointestinal

 Diarrhea

7

1

 Nausea

6

1

 Vomiting

3.5

0.6

 Constipation

2

1

 Dyspepsia

2

0.5

 Upper abdominal pain

2

1

General

 Pyrexia

6

0.4

 Peripheral edema

5

2

 Chills

5

0

 Asthenia

4.5

2

 Influenza-like illness

2

0.2

Respiratory Thoracic Mediastinal

 Cough

5

2

 Influenza

4

0.5

 Dyspnea

3

2

 URI

3

1

 Rhinitis

2

0.4

 Pharyngolaryngeal pain

2

0.5

 Sinusitis

2

0.3

 Epistaxis

2

0.06

Cardiac

 Hypertension

4

2

 Dizziness

4

2

 Ejection fraction decreased

3.5

0.6

 Palpitations

3

0.7

 Cardiac arrhythmias

Higher level grouping term.

3

1

 Cardiac failure (congestive)

2

0.3

Skin & Subcutaneous Tissue

 Rash

4

0.6

 Nail disorders

2

0

 Pruritus

2

0.6

Clinically relevant adverse reactions in < 1% of patients who received trastuzumab in HERA included hypersensitivity (0.6%), cardiac failure (0.5%), cardiac disorder (0.3%), interstitial pneumonitis (0.2%), pulmonary hypertension (0.2%), ventricular disorder (0.2%), autoimmune thyroiditis (0.3%), and sudden death (0.06%).

Adjuvant Treatment of Breast Cancer with Trastuzumab Beyond One Year

Extending adjuvant treatment beyond one year is not recommended [see Dosage and Administration (2.3)]. In HERA, a comparison of trastuzumab administered once every 3 weeks for two years versus one year was performed. The rate of asymptomatic cardiac dysfunction was increased in the 2-year trastuzumab compared to the 1-year trastuzumab treatment arm (8.1% versus 4.6%, respectively). More patients experienced at least one adverse reaction of Grade 3 or higher in the 2-year trastuzumab treatment arm (20.4%) compared with the one-year trastuzumab treatment arm (16.3%).

NSABP B31 and NCCTG N9831

The safety data from NSABP B31 and NCCTG N9831 were obtained from 3655 patients, of whom 2000 received trastuzumab; the median treatment duration was 51 weeks [see Clinical Studies (14.1)].

In NSABP B31, only Grade 3 to 5 adverse events, treatment-related Grade 2 events, and Grade 2 to 5 dyspnea were collected during and for up to 3 months following protocol-specified treatment. The following non-cardiac adverse reactions of Grade 2 to 5 occurred at an incidence of at least 2% greater among patients receiving trastuzumab plus chemotherapy as compared to chemotherapy alone: fatigue (29.5% vs. 22.4%), infection (24.0% vs. 12.8%), hot flashes (17.1% vs. 15%), anemia (12.3% vs. 6.7%), dyspnea (11.8% vs. 4.6%), rash/desquamation (10.9% vs. 7.6%), leukopenia (10.5% vs. 8.4%), neutropenia (6.4% vs. 4.3%), headache (6.2% vs. 3.8%), pain (5.5% vs. 3%), edema (4.7% vs. 2.7%), and insomnia (4.3% vs. 1.5%). The majority of these events were Grade 2 in severity.

In NCCTG N9831, data collection was limited to the following investigator-attributed treatment-related adverse reactions: NCI-CTC Grade 4 and 5 hematologic toxicities, Grade 3 to 5 non-hematologic toxicities, selected Grade 2 to 5 toxicities associated with taxanes (myalgia, arthralgias, nail changes, motor neuropathy, and sensory neuropathy) and Grade 1 to 5 cardiac toxicities occurring during chemotherapy and/or trastuzumab treatment. The following non-cardiac adverse reactions of Grade 2 to 5 occurred at an incidence of at least 2% greater among patients receiving trastuzumab plus chemotherapy as compared to chemotherapy alone: arthralgia (12.2% vs. 9.1%), nail changes (11.5% vs. 6.8%), dyspnea (2.4% vs. 0.2%), and diarrhea (2.2% vs. 0%). The majority of these events were Grade 2 in severity.

BCIRG006

Safety data from BCIRG006 reflect exposure to trastuzumab as part of an adjuvant treatment regimen from 2124 patients receiving at least one dose of study treatment [AC-TH: n = 1068; TCH: n = 1056]. The overall median treatment duration was 54 weeks in both the AC-TH and TCH arms. The median number of infusions was 26 in the AC-TH arm and 30 in the TCH arm, including weekly infusions during the chemotherapy phase and once every three weeks dosing in the monotherapy period [see Clinical Studies (14.1)]. In BCIRG006, the toxicity profile was similar to that reported in NSABP B31, NCCTG N9831, and HERA with the exception of a lower incidence of CHF in the TCH arm.

Metastatic Breast Cancer Studies

The safety of trastuzumab was evaluated in one randomized, open-label study (H0648g) of chemotherapy with (n = 235) or without (n = 234) intravenous trastuzumab in patients with metastatic breast cancer, and in one single-arm study (H0649g) in patients with metastatic breast cancer (n = 222) [see Clinical Studies (14.1)]. Patients received 4 mg/kg initial dose of trastuzumab followed by 2 mg/kg weekly. In H0648g, 58% of patients received trastuzumab for ≥ 6 months and 9% received trastuzumab for ≥ 12 months, respectively. In H0649g, 31% of patients received trastuzumab for ≥ 6 months and 16% received trastuzumab for ≥ 12 months, respectively.

Table 4 shows the adverse reactions (≥ 5%) in patients from H0648g and H0649g.

Table 4: Adverse Reactions
Data for trastuzumab single agent were from 4 studies, including 213 patients from H0649g.
(≥ 5%) in the Trastuzumab Arms in H0648g and H0649g

Trastuzumab

n = 352

%

Trastuzumab + Paclitaxel

n = 91

%

Paclitaxel n = 95

%

Trastuzumab + AC

Anthracycline (doxorubicin or epirubicin) and cyclophosphamide.


n = 143

%

AC



n = 135

%

General

 

 

 

 

 

 Pain

47

61

62

57

42

 Asthenia

42

62

57

54

55

 Fever

36

49

23

56

34

 Chills

32

41

4

35

11

 Headache

26

36

28

44

31

 Abdominal pain

22

34

22

23

18

 Back pain

22

34

30

27

15

 Infection

20

47

27

47

31

 Flu syndrome

10

12

5

12

6

 Accidental injury

6

13

3

9

4

 Allergic reaction

3

8

2

4

2

Gastrointestinal

 Nausea

33

51

9

76

77

 Diarrhea

25

45

29

45

26

 Vomiting

23

37

28

53

49

 Anorexia

14

24

16

31

26

 Nausea and vomiting

8

14

11

18

9

Respiratory

 Cough increased

26

41

22

43

29

 Dyspnea

22

27

26

42

25

 Rhinitis

14

22

5

22

16

 Pharyngitis

12

22

14

30

18

 Sinusitis

9

21

7

13

6

Skin

 Rash

18

38

18

27

17

 Herpes simplex

2

12

3

7

9

 Acne

2

11

3

3

< 1

Nervous

 Insomnia

14

25

13

29

15

 Dizziness

13

22

24

24

18

 Paresthesia

9

48

39

17

11

 Depression

6

12

13

20

12

 Peripheral neuritis

2

23

16

2

2

 Neuropathy

1

13

5

4

4

Metabolic

 Peripheral edema

10

22

20

20

17

 Edema

8

10

8

11

5

Cardiovascular

 Congestive heart failure

7

11

1

28

7

 Tachycardia

5

12

4

10

5

Musculoskeletal

 Bone pain

7

24

18

7

7

 Arthralgia

6

37

21

8

9

Urogenital

 Urinary tract infection

5

18

14

13

7

Blood and Lymphatic

 Anemia

4

14

9

36

26

 Leukopenia

3

24

17

52

34

Metastatic Gastric Cancer

The safety of trastuzumab was evaluated in patients with previously untreated for metastatic gastric or gastroesophageal junction adenocarcinoma in an open label, multi-center trial (ToGA) [see Clinical Studies (14.3)]. Patients were randomized (1:1) to receive trastuzumab in combination with cisplatin and a fluoropyrimidine (FC+H) (n=294) or chemotherapy alone (FC) (n=290). Patients in the trastuzumab plus chemotherapy arm received trastuzumab 8 mg/kg administered on Day 1 (prior to chemotherapy) followed by 6 mg/kg every 21 days until disease progression. Cisplatin was administered at 80 mg/m2 on Day 1 and the fluoropyrimidine was administered as either capecitabine 1000 mg/m2 orally twice a day on Days 1 to 14 or 5-fluorouracil 800 mg/m2/day as a continuous intravenous infusion Days 1 through 5. Chemotherapy was administered for six 21-day cycles. Median duration of trastuzumab treatment was 21 weeks and the median number of trastuzumab infusions administered was eight.

Table 5: Adverse Reactions (All Grades ≥ 5% or Grade 3-4 ≥ 1% between Arms) in ToGA

Adverse Reactions

Trastuzumab + FC

(N = 294)

%

FC

(N = 290)

%

All Grades

Grades 3-4

All Grades

Grades 3-4

Investigations

 Neutropenia

78

34

73

29

 Hypokalemia

28

10

24

6

 Anemia

28

12

21

10

 Thrombocytopenia

16

5

11

3

Blood and Lymphatic System Disorders

 Febrile Neutropenia

5

3

Gastrointestinal Disorders

 Diarrhea

37

9

28

4

 Stomatitis

24

1

15

2

 Dysphagia

6

2

3

< 1

General

 Fatigue

35

4

28

2

 Fever

18

1

12

0

 Mucosal Inflammation

13

2

6

1

 Chills

8

< 1

0

0

Metabolism and Nutrition Disorders

 Weight Decrease

23

2

14

2

Infections and Infestations

 Upper Respiratory Tract Infections

19

0

10

0

 Nasopharyngitis

13

0

6

0

Renal and Urinary Disorders

 Renal Failure and Impairment

18

3

15

2

Nervous System Disorders

 Dysgeusia

10

0

5

0

The following subsections provide additional detail regarding adverse reactions observed in clinical trials of adjuvant breast cancer, metastatic breast cancer, metastatic gastric cancer, or post-marketing experience.

Cardiomyopathy

Serial measurement of cardiac function (LVEF) was obtained in clinical trials in the adjuvant treatment of breast cancer. In HERA, the median duration of follow-up was 12.6 months (12.4 months in the observation arm; 12.6 months in the 1-year trastuzumab arm); and in NSABP B31 and NCCTG N9831, 7.9 years in the AC-T arm, 8.3 years in the AC-TH arm. Following initiation of trastuzumab therapy, the incidence of new-onset dose-limiting myocardial dysfunction was higher among patients receiving trastuzumab and paclitaxel as compared to those receiving paclitaxel alone in NSABP B31 and NCCTG N9831, and in patients receiving one-year trastuzumab monotherapy compared to observation in HERA (see Table 6, Figures 1 and 2). The incidence of new-onset cardiac dysfunction, as measured by LVEF, remained similar when compared to the analysis performed at a median follow-up of 2.0 years in the AC-TH arm. This analysis showed evidence of reversibility of left ventricular dysfunction, with 64.5% of patients who experienced symptomatic CHF in the AC-TH group being asymptomatic at latest follow-up, and 90.3% having full or partial LVEF recovery.

Table 6: Myocardial Dysfunction (by LVEF) in NSABP B31, NCCTG N9831, HERA and BCIRG006
For NSABP B31, NCCTG N9831 and HERA, events are counted from the beginning of trastuzumab treatment. For BCIRG006, events are counted from the date of randomization.

Study and Arm

LVEF < 50%

and Decrease from Baseline

LVEF Decrease

LVEF

< 50%

≥ 10% decrease

≥ 16% decrease

< 20% and ≥ 10%

≥ 20%

NSABP B31 & NCCTG N9831

NSABP B31 and NCCTG N9831 regimens: doxorubicin and cyclophosphamide followed by paclitaxel (AC→T) or paclitaxel plus trastuzumab (AC→TH).
Median duration of follow-up for NSABP B31 and NCCTG N9831 combined was 8.3 years in the AC→TH arm.

AC→TH

(n = 1856)

23.1%

(428)

18.5%

(344)

11.2%

(208)

37.9%

(703)

8.9%

(166)

AC→T

(n = 1170)

11.7%

(137)

7.0%

(82)

3.0%

(35)

22.1%

(259)

3.4%

(40)

HERA

Median follow-up duration of 12.6 months in the one-year trastuzumab treatment arm.

Trastuzumab

(n = 1678)

8.6%

(144)

7.0%

(118)

3.8%

(64)

22.4%

(376)

3.5%

(59)

Observation

(n = 1708)

2.7%

(46)

2.0%

(35)

1.2%

(20)

11.9%

(204)

1.2%

(21)

BCIRG006

BCIRG006 regimens: doxorubicin and cyclophosphamide followed by docetaxel (AC→T) or docetaxel plus trastuzumab (AC→TH); docetaxel and carboplatin plus trastuzumab (TCH).

TCH

(n = 1056)

8.5%

(90)

5.9%

(62)

3.3%

(35)

34.5%

(364)

6.3%

(67)

AC→TH

(n = 1068)

17%

(182)

13.3%

(142)

9.8%

(105)

44.3%

(473)

13.2%

(141)

AC→T

(n = 1050)

9.5%

(100)

6.6%

(69)

3.3%

(35)

34%

(357)

5.5%

(58)

Figure 1

NSABP B31 and NCCTG N9831: Cumulative Incidence of Time to First LVEF Decline of ≥ 10 Percentage Points from Baseline and to Below 50% with Death as a Competing Risk Event

Time 0 is initiation of paclitaxel or trastuzumab + paclitaxel therapy.

Figure 2

HERA: Cumulative Incidence of Time to First LVEF Decline of ≥ 10 Percentage Points from Baseline and to Below 50% with Death as a Competing Risk Event

Time 0 is the date of randomization.

Figure 3

BCIRG006: Cumulative Incidence of Time to First LVEF Decline of ≥ 10 Percentage Points from Baseline and to Below 50% with Death as a Competing Risk Event



Time 0 is the date of randomization.

The incidence of congestive heart failure among patients in the metastatic breast cancer trials was classified for severity using the New York Heart Association classification system (I–IV, where IV is the most severe level of cardiac failure) (see Table 2). In the metastatic breast cancer trials, the probability of cardiac dysfunction was highest in patients who received trastuzumab concurrently with anthracyclines.

In ToGA, 5% of patients in the trastuzumab plus chemotherapy arm compared to 1.1% of patients in the chemotherapy alone arm had LVEF value below 50% with a ≥ 10% absolute decrease in LVEF from pretreatment values.

Infusion Reactions

During the first infusion with trastuzumab, the symptoms most commonly reported were chills and fever, occurring in approximately 40% of patients in clinical trials. Symptoms were treated with acetaminophen, diphenhydramine, and meperidine (with or without reduction in the rate of trastuzumab infusion); permanent discontinuation of trastuzumab for infusion reactions was required in < 1% of patients. Other signs and/or symptoms may include nausea, vomiting, pain (in some cases at tumor sites), rigors, headache, dizziness, dyspnea, hypotension, elevated blood pressure, rash, and asthenia. Infusion reactions occurred in 21% and 35% of patients, and were severe in 1.4% and 9% of patients, on second or subsequent trastuzumab infusions administered as monotherapy or in combination with chemotherapy, respectively. In the post-marketing setting, severe infusion reactions, including hypersensitivity, anaphylaxis, and angioedema have been reported.

Anemia

In randomized controlled clinical trials, the overall incidence of anemia (30% vs. 21% [H0648g]), of selected NCI-CTC Grade 2 to 5 anemia (12.3% vs. 6.7% [NSABP B31]), and of anemia requiring transfusions (0.1% vs. 0 patients [NCCTG N9831]) were increased in patients receiving trastuzumab and chemotherapy compared with those receiving chemotherapy alone. Following the administration of trastuzumab as a single agent (H0649g), the incidence of NCI-CTC Grade 3 anemia was < 1%. In ToGA (metastatic gastric cancer), on the trastuzumab containing arm as compared to the chemotherapy alone arm, the overall incidence of anemia was 28% compared to 21% and of NCI-CTC Grade 3/4 anemia was 12.2% compared to 10.3%.

Neutropenia

In randomized controlled clinical trials in the adjuvant setting, the incidence of selected NCI-CTC Grade 4 to 5 neutropenia (1.7% vs. 0.8% [NCCTG N9831]) and of selected Grade 2 to 5 neutropenia (6.4% vs. 4.3% [NSABP B31]) were increased in patients receiving trastuzumab and chemotherapy compared with those receiving chemotherapy alone. In a randomized, controlled trial in patients with metastatic breast cancer, the incidences of NCI-CTC Grade 3/4 neutropenia (32% vs. 22%) and of febrile neutropenia (23% vs. 17%) were also increased in patients randomized to trastuzumab in combination with myelosuppressive chemotherapy as compared to chemotherapy alone. In ToGA (metastatic gastric cancer) on the trastuzumab containing arm as compared to the chemotherapy alone arm, the incidence of NCI-CTC Grade 3/4 neutropenia was 36.8% compared to 28.9%; febrile neutropenia 5.1% compared to 2.8%.

Infection

The overall incidences of infection (46% vs. 30% [H0648g]), of selected NCI-CTC Grade 2 to 5 infection/febrile neutropenia (24.3% vs. 13.4% [NSABP B31]) and of selected Grade 3 to 5 infection/febrile neutropenia (2.9% vs. 1.4% [NCCTG N9831]) were higher in patients receiving trastuzumab and chemotherapy compared with those receiving chemotherapy alone. The most common site of infections in the adjuvant setting involved the upper respiratory tract, skin, and urinary tract.

In BCIRG006, the overall incidence of infection was higher with the addition of trastuzumab to AC-T but not to TCH [44% (AC-TH), 37% (TCH), 38% (AC-T)]. The incidences of NCI-CTC Grade 3 to 4 infection were similar [25% (AC-TH), 21% (TCH), 23% (AC-T)] across the three arms.

In a randomized, controlled trial in treatment of metastatic breast cancer, the reported incidence of febrile neutropenia was higher (23% vs. 17%) in patients receiving trastuzumab in combination with myelosuppressive chemotherapy as compared to chemotherapy alone.

Pulmonary Toxicity

Adjuvant Breast Cancer

Among women receiving adjuvant therapy for breast cancer, the incidence of selected NCI-CTC Grade 2 to 5 pulmonary toxicity (14.3% vs. 5.4% [NSABP B31]) and of selected NCI-CTC Grade 3 to 5 pulmonary toxicity and spontaneous reported Grade 2 dyspnea (3.4% vs. 0.9% [NCCTG N9831]) was higher in patients receiving trastuzumab and chemotherapy compared with chemotherapy alone. The most common pulmonary toxicity was dyspnea (NCI-CTC Grade 2 to 5: 11.8% vs. 4.6% [NSABP B31]; NCI-CTC Grade 2 to 5: 2.4% vs. 0.2% [NCCTG N9831]).

Pneumonitis/pulmonary infiltrates occurred in 0.7% of patients receiving trastuzumab compared with 0.3% of those receiving chemotherapy alone. Fatal respiratory failure occurred in 3 patients receiving trastuzumab, one as a component of multi-organ system failure, as compared to 1 patient receiving chemotherapy alone.

In HERA, there were 4 cases of interstitial pneumonitis in the one-year trastuzumab treatment arm compared to none in the observation arm at a median follow-up duration of 12.6 months.

Metastatic Breast Cancer

Among women receiving trastuzumab for treatment of metastatic breast cancer, the incidence of pulmonary toxicity was also increased. Pulmonary adverse events have been reported in the post-marketing experience as part of the symptom complex of infusion reactions. Pulmonary events include bronchospasm, hypoxia, dyspnea, pulmonary infiltrates, pleural effusions, non-cardiogenic pulmonary edema, and acute respiratory distress syndrome. For a detailed description, see Warnings and Precautions (5.4).

Thrombosis/Embolism

In 4 randomized, controlled clinical trials, the incidence of thrombotic adverse events was higher in patients receiving trastuzumab and chemotherapy compared to chemotherapy alone in three studies (2.6% vs. 1.5% [NSABP B31], 2.5% and 3.7% vs. 2.2% [BCIRG006] and 2.1% vs. 0% [H0648g]).

Diarrhea

Among women receiving adjuvant therapy for breast cancer, the incidence of NCI-CTC Grade 2 to 5 diarrhea (6.7% vs. 5.4% [NSABP B31]) and of NCI-CTC Grade 3 to 5 diarrhea (2.2% vs. 0% [NCCTG N9831]), and of Grade 1 to 4 diarrhea (7% vs. 1% [HERA; one-year trastuzumab treatment at 12.6 months median duration of follow-up]) were higher in patients receiving trastuzumab as compared to controls. In BCIRG006, the incidence of Grade 3 to 4 diarrhea was higher [5.7% AC-TH, 5.5% TCH vs. 3.0% AC-T] and of Grade 1 to 4 was higher [51% AC-TH, 63% TCH vs. 43% AC-T] among women receiving trastuzumab. Of patients receiving trastuzumab as a single agent for the treatment of metastatic breast cancer, 25% experienced diarrhea. An increased incidence of diarrhea was observed in patients receiving trastuzumab in combination with chemotherapy for treatment of metastatic breast cancer.

Renal Toxicity

In ToGA (metastatic gastric cancer) on the trastuzumab-containing arm as compared to the chemotherapy alone arm the incidence of renal impairment was 18% compared to 14.5%. Severe (Grade 3/4) renal failure was 2.7% on the trastuzumab-containing arm compared to 1.7% on the chemotherapy only arm. Treatment discontinuation for renal insufficiency/failure was 2% on the trastuzumab-containing arm and 0.3% on the chemotherapy only arm.

In the post-marketing setting, rare cases of nephrotic syndrome with pathologic evidence of glomerulopathy have been reported. The time to onset ranged from 4 months to approximately 18 months from initiation of trastuzumab therapy. Pathologic findings included membranous glomerulonephritis, focal glomerulosclerosis, and fibrillary glomerulonephritis. Complications included volume overload and congestive heart failure.

2.4 Important Dosing Considerations

Missed Dose

If the patient has missed a dose of TRAZIMERA by one week or less, then the usual maintenance dose (weekly schedule: 2 mg/kg; once every three weeks schedule: 6 mg/kg) should be administered as soon as possible. Do not wait until the next planned cycle. Subsequent TRAZIMERA maintenance doses should be administered 7 days or 21 days later according to the weekly or once every three weeks schedules, respectively.

If the patient has missed a dose of TRAZIMERA by more than one week, a re-loading dose of TRAZIMERA should be administered over approximately 90 minutes (weekly schedule: 4 mg/kg; once every three weeks schedule: 8 mg/kg) as soon as possible. Subsequent TRAZIMERA maintenance doses (weekly schedule: 2 mg/kg; once every three weeks schedule: 6 mg/kg) should be administered 7 days or 21 days later according to the weekly or once every three weeks schedules, respectively.

16 How Supplied/storage and Handling (16 HOW SUPPLIED/STORAGE AND HANDLING)

420 mg Multiple-dose vial

TRAZIMERA (trastuzumab-qyyp) for injection 420 mg/vial is supplied in a multiple-dose vial as a sterile, white lyophilized powder. Each carton contains one multiple-dose vial of TRAZIMERA and one vial (20 mL) of Bacteriostatic Water for Injection (BWFI) containing 1.1% benzyl alcohol as a preservative.

NDC 0069-0305-01.

150 mg Single-dose vial

TRAZIMERA (trastuzumab-qyyp) for injection 150 mg/vial is supplied in a single-dose vial as a sterile, white lyophilized powder. Each carton contains one single-dose vial of TRAZIMERA.

NDC 0069-0308-01.

Store TRAZIMERA vials in the refrigerator at 2°C to 8°C (36°F to 46°F) in the original carton to protect from light.

If needed, unopened TRAZIMERA vials may be removed from the refrigerator and stored at room temperature up to 30°C (86°F) for a single period of up to 3 months in the original carton to protect from light. Once removed from the refrigerator, do not return to the refrigerator and discard after 3 months or by the expiration date stamped on the vial, whichever occurs first. Write the revised expiration date in the space provided on the carton labeling.

Principal Display Panel Kit Carton (PRINCIPAL DISPLAY PANEL - Kit Carton)

NDC 0069-0305-01

Trazimera™

(trastuzumab-qyyp)

For Injection

420 mg/vial

For intravenous infusion after reconstitution

Multiple-dose vial

Rx only

Pfizer Oncology

Principal Display Panel 20 Ml Vial Label (PRINCIPAL DISPLAY PANEL - 20 mL Vial Label)

BACTERIOSTATIC WATER FOR INJECTION

NOT FOR USE IN NEWBORNS

NDC 0069-0307-01

For Drug Diluent Use Only

Use 20 mL as DILUENT for reconstitution of

Trazimera

Each mL contains: 1.1% benzyl alcohol;

Water for Injection q.s. pH 4.5 to 8.0

See enclosed full prescribing information.

Use only if solution is clear and seal intact.

Sterile. Nonpyrogenic.

Store at controlled room temperature

2°C to 30°C (36°F to 86°F).

20 mL VIAL

PAA140335

Principal Display Panel 150 Mg Vial Label (PRINCIPAL DISPLAY PANEL - 150 mg Vial Label)

NDC 0069-0308-01

Rx only

Trazimera™

(trastuzumab-qyyp)

For Injection

Mfg. by Pfizer Ireland

Pharmaceuticals

Cork, Ireland

US License No. 2060

150 mg/vial

For intravenous infusion after reconstitution

Single-dose vial

For Reconstitution, Dilution and Dosage: See Prescribing Information.

Storage: Refrigerate at 2°C to 8°C (36°F to 46°F) in the original carton

to protect from light. Unopened vial can be stored up to 30°C (86°F) for

a single period of up to 3 months but not exceeding the expiry date.

Discard after ____/____/____. Do Not Freeze. Do Not Shake After

Reconstitution. Discard unused reconstituted solution after 24 hours.

Principal Display Panel 420 Mg Vial Label (PRINCIPAL DISPLAY PANEL - 420 mg Vial Label)

NDC 0069-0306-01

Rx only

Trazimera™

(trastuzumab-qyyp)

For Injection

Mfg. by

Pfizer Ireland Pharmaceuticals

Cork, Ireland

US License No. 2060

420 mg/vial

For intravenous infusion after reconstitution

Multiple-dose vial

Reconstitution, Dosage, and Administration: For IV administration only.

See prescribing information for preparation instructions, dosage, and administration.

Storage: Refrigerate at 2°C to 8°C (36°F to 46°F). Unopened vial can be stored up to 30°C

(86°F) for a single period of up to 3 months but not exceeding the expiry date.

Reconstitute with 20 mL Bacteriostatic Water for Injection (1.1% benzyl alcohol) to yield a

21 mg/mL multiple-dose solution that delivers 20 mL (420 mg trastuzumab-qyyp). Store

reconstituted solution in refrigerator at 2°C to 8°C (36°F to 46°F). Do Not Freeze.

Do Not Shake After Reconstitution. Discard unused reconstituted solution after 28 days.

Discard after ____/____/____

Principal Display Panel 150 Mg Vial Carton (PRINCIPAL DISPLAY PANEL - 150 mg Vial Carton)

NDC 0069-0308-01

Trazimera™

(trastuzumab-qyyp)

For Injection

150 mg/vial

For intravenous infusion after

reconstitution

Single-dose vial

Rx only

Pfizer Oncology

2.5 Dosage Modifications for Adverse Reactions

Infusion Reactions

[See Boxed Warning and Warnings and Precautions (5.2)]

  • Decrease the rate of infusion for mild or moderate infusion reactions
  • Interrupt the infusion in patients with dyspnea or clinically significant hypotension
  • Discontinue TRAZIMERA for severe or life-threatening infusion reactions.

Cardiomyopathy

[See Boxed Warning, Warnings and Precautions (5.1)]

Assess left ventricular ejection fraction (LVEF) prior to initiation of TRAZIMERA and at regular intervals during treatment. Withhold TRAZIMERA dosing for at least 4 weeks for either of the following:

  • ≥ 16% absolute decrease in LVEF from pre-treatment values
  • LVEF below institutional limits of normal and ≥ 10% absolute decrease in LVEF from pretreatment values.

TRAZIMERA may be resumed if, within 4 to 8 weeks, the LVEF returns to normal limits and the absolute decrease from baseline is ≤ 15%.

Permanently discontinue TRAZIMERA for a persistent (> 8 weeks) LVEF decline or for suspension of TRAZIMERA dosing on more than 3 occasions for cardiomyopathy.

5.5 Exacerbation of Chemotherapy Induced Neutropenia (5.5 Exacerbation of Chemotherapy-Induced Neutropenia)

In randomized, controlled clinical trials, the per-patient incidences of NCI-CTC Grade 3 to 4 neutropenia and of febrile neutropenia were higher in patients receiving trastuzumab in combination with myelosuppressive chemotherapy as compared to those who received chemotherapy alone. The incidence of septic death was similar among patients who received trastuzumab and those who did not [see Adverse Reactions (6.1)].

2.1 Evaluation and Testing Before Initiating Trazimera (2.1 Evaluation and Testing Before Initiating TRAZIMERA)

Assess left ventricular ejection fraction (LVEF) prior to initiation of TRAZIMERA and at regular intervals during treatment [see Boxed Warning , Dosage and Administration (2.5) and Warnings and Precautions (5.1)] .

Verify the pregnancy status of females of reproductive potential prior to the initiation of TRAZIMERA [see Warnings and Precautions (5.3) and Use in Specific Populations (8.1, 8.3)].

13.1 Carcinogenesis, Mutagenesis, Impairment of Fertility

Trastuzumab products have not been tested for carcinogenic potential.

No evidence of mutagenic activity was observed when trastuzumab was tested in the standard Ames bacterial and human peripheral blood lymphocyte mutagenicity assays at concentrations of up to 5000 mcg/mL. In an in vivo micronucleus assay, no evidence of chromosomal damage to mouse bone marrow cells was observed following bolus intravenous doses of up to 118 mg/kg of trastuzumab.

A fertility study was conducted in female cynomolgus monkeys at doses up to 25 times the weekly recommended human dose of 2 mg/kg of trastuzumab and has revealed no evidence of impaired fertility, as measured by menstrual cycle duration and female sex hormone levels.

Warning: Cardiomyopathy, Infusion Reactions, Embryo Fetal Toxicity, and Pulmonary Toxicity (WARNING: CARDIOMYOPATHY, INFUSION REACTIONS, EMBRYO-FETAL TOXICITY, and PULMONARY TOXICITY)

WARNING: CARDIOMYOPATHY, INFUSION REACTIONS, EMBRYO-FETAL TOXICITY, and PULMONARY TOXICITY

See full prescribing information for complete boxed warning

Cardiomyopathy: Trastuzumab products can result in subclinical and clinical cardiac failure manifesting as CHF, and decreased LVEF, with greatest risk when administered concurrently with anthracyclines. Evaluate cardiac function prior to and during treatment. Discontinue TRAZIMERA for cardiomyopathy. (2.5, 5.1)

Infusion Reactions, Pulmonary Toxicity: Discontinue TRAZIMERA for anaphylaxis, angioedema, interstitial pneumonitis, or acute respiratory distress syndrome. (5.2, 5.4)

Embryo-Fetal Toxicity: Exposure to trastuzumab products during pregnancy can result in oligohydramnios, in some cases complicated by pulmonary hypoplasia and neonatal death. Advise patients of these risks and the need for effective contraception. (5.3, 8.1, 8.3)


Advanced Ingredient Data


Raw Label Data

All Sections (JSON)