These Highlights Do Not Include All The Information Needed To Use Aimovig Safely And Effectively. See Full Prescribing Information For Aimovig.

These Highlights Do Not Include All The Information Needed To Use Aimovig Safely And Effectively. See Full Prescribing Information For Aimovig.
SPL v24
SPL
SPL Set ID b998ed05-94b0-47fd-b28f-cddd1e128fd8
Route
SUBCUTANEOUS
Published
Effective Date 2025-03-31
Document Type 34391-3 HUMAN PRESCRIPTION DRUG LABEL

Drug Facts

Composition & Product

Active Ingredients
Erenumab (70 mg)
Inactive Ingredients
Acetate Ion Sucrose Polysorbate 80

Identifiers & Packaging

Marketing Status
BLA Active Since 2019-03-15 Until 2021-01-31

Description

Warnings and Precautions ( 5.4 ) 3/2025

Indications and Usage

AIMOVIG is indicated for the preventive treatment of migraine in adults.

Dosage and Administration

For subcutaneous use only ( 2.1 , 2.2 ) Recommended dosage is 70 mg once monthly; some patients may benefit from a dosage of 140 mg once monthly ( 2.1 ) Administer in the abdomen, thigh, or upper arm subcutaneously ( 2.2 ) See Dosage and Administration for important administration instructions ( 2.2 )

Warnings and Precautions

Hypersensitivity Reactions: If a serious hypersensitivity reaction occurs, discontinue administration of AIMOVIG and initiate appropriate therapy. Hypersensitivity reactions can occur within hours to more than one week after administration. ( 5.1 ) Constipation with Serious Complications: Serious complications of constipation may occur. ( 5.2 ) Hypertension: New-onset or worsening of pre-existing hypertension may occur. ( 5.3 ) Raynaud's Phenomenon: New-onset or worsening of pre-existing Raynaud's phenomenon may occur. ( 5.4 )

Contraindications

AIMOVIG is contraindicated in patients with serious hypersensitivity to erenumab-aooe or to any of the excipients. Reactions have included anaphylaxis and angioedema [see Warnings and Precautions (5.1) ] .

Adverse Reactions

The following serious adverse reactions are described below and elsewhere in the labeling: Hypersensitivity Reactions [see Warnings and Precautions (5.1) ] Constipation with Serious Complications [see Warnings and Precautions (5.2) ] Hypertension [see Warnings and Precautions (5.3) ] Raynaud's Phenomenon [see Warnings and Precautions (5.4) ]

Storage and Handling

Store refrigerated at 2°C to 8°C (36°F to 46°F) in the original carton to protect from light until time of use. If removed from the refrigerator, AIMOVIG should be kept at room temperature (up to 25°C [77°F]) in the original carton and must be used within 7 days. Throw away AIMOVIG that has been left at room temperature for more than 7 days. Do not freeze. Do not shake.

How Supplied

AIMOVIG (erenumab-aooe) injection is a sterile, clear to opalescent, colorless to light yellow solution for subcutaneous administration. AIMOVIG prefilled autoinjectors and prefilled syringes are not made with natural rubber latex. Each single-dose prefilled SureClick ® autoinjector or single-dose prefilled syringe of AIMOVIG contains a Type 1 glass syringe and stainless steel needle and delivers 1 mL of 70 mg/mL or 140 mg/mL solution. AIMOVIG is supplied as follows: SureClick ® Autoinjector Pack of 1 autoinjector: 70 mg/mL single-dose prefilled autoinjector       NDC 55513-841-01 Pack of 1 autoinjector: 140 mg/mL single-dose prefilled autoinjector       NDC 55513-843-01 Syringe Pack of 1 syringe: 70 mg/mL single-dose prefilled syringe       NDC 55513-840-01 Pack of 1 syringe: 140 mg/mL single-dose prefilled syringe       NDC 55513-842-01


Medication Information

Warnings and Precautions

Hypersensitivity Reactions: If a serious hypersensitivity reaction occurs, discontinue administration of AIMOVIG and initiate appropriate therapy. Hypersensitivity reactions can occur within hours to more than one week after administration. ( 5.1 ) Constipation with Serious Complications: Serious complications of constipation may occur. ( 5.2 ) Hypertension: New-onset or worsening of pre-existing hypertension may occur. ( 5.3 ) Raynaud's Phenomenon: New-onset or worsening of pre-existing Raynaud's phenomenon may occur. ( 5.4 )

Indications and Usage

AIMOVIG is indicated for the preventive treatment of migraine in adults.

Dosage and Administration

For subcutaneous use only ( 2.1 , 2.2 ) Recommended dosage is 70 mg once monthly; some patients may benefit from a dosage of 140 mg once monthly ( 2.1 ) Administer in the abdomen, thigh, or upper arm subcutaneously ( 2.2 ) See Dosage and Administration for important administration instructions ( 2.2 )

Contraindications

AIMOVIG is contraindicated in patients with serious hypersensitivity to erenumab-aooe or to any of the excipients. Reactions have included anaphylaxis and angioedema [see Warnings and Precautions (5.1) ] .

Adverse Reactions

The following serious adverse reactions are described below and elsewhere in the labeling: Hypersensitivity Reactions [see Warnings and Precautions (5.1) ] Constipation with Serious Complications [see Warnings and Precautions (5.2) ] Hypertension [see Warnings and Precautions (5.3) ] Raynaud's Phenomenon [see Warnings and Precautions (5.4) ]

Storage and Handling

Store refrigerated at 2°C to 8°C (36°F to 46°F) in the original carton to protect from light until time of use. If removed from the refrigerator, AIMOVIG should be kept at room temperature (up to 25°C [77°F]) in the original carton and must be used within 7 days. Throw away AIMOVIG that has been left at room temperature for more than 7 days. Do not freeze. Do not shake.

How Supplied

AIMOVIG (erenumab-aooe) injection is a sterile, clear to opalescent, colorless to light yellow solution for subcutaneous administration. AIMOVIG prefilled autoinjectors and prefilled syringes are not made with natural rubber latex. Each single-dose prefilled SureClick ® autoinjector or single-dose prefilled syringe of AIMOVIG contains a Type 1 glass syringe and stainless steel needle and delivers 1 mL of 70 mg/mL or 140 mg/mL solution. AIMOVIG is supplied as follows: SureClick ® Autoinjector Pack of 1 autoinjector: 70 mg/mL single-dose prefilled autoinjector       NDC 55513-841-01 Pack of 1 autoinjector: 140 mg/mL single-dose prefilled autoinjector       NDC 55513-843-01 Syringe Pack of 1 syringe: 70 mg/mL single-dose prefilled syringe       NDC 55513-840-01 Pack of 1 syringe: 140 mg/mL single-dose prefilled syringe       NDC 55513-842-01

Description

Warnings and Precautions ( 5.4 ) 3/2025

Section 42229-5

Pregnancy Exposure Registry

There is a pregnancy exposure registry that monitors pregnancy outcomes in women exposed to AIMOVIG during pregnancy. Patients should be encouraged to enroll by calling 1-833-244-4083 or visiting https://www.genesispregnancyregistry.com/.

Section 42230-3
Patient Information

AIMOVIG® (AIM-oh-vig) (erenumab-aooe)

injection, for subcutaneous use
This Patient Information has been approved by the U.S. Food and Drug Administration.

[part number] v10
Revised: 3/2025    
What is AIMOVIG?

AIMOVIG is a prescription medicine used for the preventive treatment of migraine in adults.

It is not known if AIMOVIG is safe and effective in children under 18 years of age.
Who should not use AIMOVIG?

Do not use AIMOVIG if you are allergic to erenumab-aooe or any of the ingredients in AIMOVIG. See the end of this Patient Information for a complete list of ingredients in AIMOVIG.
Before you start using AIMOVIG, tell your healthcare provider about all your medical conditions, including if you:
  • have high blood pressure
  • have circulation problems in your fingers and toes
  • are pregnant or plan to become pregnant. It is not known if AIMOVIG will harm your unborn baby.
    • Pregnancy Registry: There is a pregnancy registry for women who take AIMOVIG. The purpose of this registry is to collect information about your health and your baby's health. You may enroll yourself by calling 1-833-244-4083 or visiting https://www.genesispregnancyregistry.com/. Or you may talk to your healthcare provider about how you can take part in this registry.
  • are breastfeeding or plan to breastfeed. It is not known if AIMOVIG passes into your breast milk. Talk to your healthcare provider about the best way to feed your baby while using AIMOVIG.
Tell your pharmacist or healthcare provider about all the medicines you take, including any prescription and over-the-counter medicines, vitamins, or herbal supplements.
How should I take AIMOVIG?
  • See the detailed "Instructions for Use" on complete information on how to take AIMOVIG.
  • Take AIMOVIG exactly as your healthcare provider tells you to take it.
  • Before you inject, always check the label of your single-dose prefilled autoinjector or single-dose prefilled syringe to make sure you have the correct medicine and the correct dose of AIMOVIG.
  • Also, before you inject, leave AIMOVIG at room temperature for at least 30 minutes protected from direct sunlight.
  • AIMOVIG is injected under your skin (subcutaneously) 1 time each month.
  • AIMOVIG comes in 2 different types of devices: a single-dose (1 time) prefilled autoinjector or a single-dose (1 time) prefilled syringe. Your healthcare provider will prescribe the type and dose that is best for you.
  • If you forget to take AIMOVIG or are not able to take the dose at the regular time, take your missed dose as soon as you remember. After that, you can continue to take AIMOVIG 1 time each month from the date of your last dose.
What are possible side effects of AIMOVIG?

AIMOVIG may cause serious side effects, including:
  • Allergic reactions. Allergic reactions, including rash or swelling can happen after receiving AIMOVIG. This can happen within hours to days after using AIMOVIG. Call your healthcare provider or get emergency medical help right away if you have any of the following symptoms of an allergic reaction:
    • swelling of the face, mouth, tongue, or throat
    • trouble breathing
  • Constipation with serious complications. Severe constipation can happen after receiving AIMOVIG. In some cases, people have been hospitalized or needed surgery. Contact your healthcare provider if you have severe constipation or constipation associated with symptoms such as severe or constant belly pain, vomiting, swelling of belly or bloating.
  • High blood pressure. High blood pressure or worsening of high blood pressure can happen after receiving AIMOVIG. Contact your healthcare provider if you have an increase in blood pressure.
  • Raynaud's phenomenon. A type of circulation problem can worsen or happen after receiving AIMOVIG. Raynaud's phenomenon can lead to your fingers or toes feeling numb, cool, or painful, or changing color from pale, to blue, to red. Contact your healthcare provider if these symptoms occur.
The most common side effects of AIMOVIG include: pain, redness, or swelling at the injection site and constipation.

Tell your healthcare provider if you have any side effect that bothers you or that does not go away.

These are not all of the possible side effects of AIMOVIG. Ask your pharmacist or healthcare provider for more information.

Call your healthcare provider for medical advice about side effects. You may report side effects to the FDA at 1-800-FDA-1088. You may also report side effects to Amgen at 1-800-77-AMGEN (1-800-772-6436).
How should I store AIMOVIG?
  • Store AIMOVIG in the refrigerator between 36°F to 46°F (2°C to 8°C).
  • Keep AIMOVIG in the original carton. This will protect the medicine from light.
  • After removing AIMOVIG from the refrigerator, it can be stored at room temperature between 68°F to 77°F (20°C to 25°C) for up to 7 days.
  • Throw away AIMOVIG that has been left at room temperature for more than 7 days.
  • Do not freeze.
  • Do not shake.
Keep AIMOVIG and all medicines out of the reach of children.
General information about the safe and effective use of AIMOVIG.

Medicines are sometimes prescribed for purposes other than those listed in a Patient Information leaflet. Do not use AIMOVIG for a condition for which it is not prescribed. Do not give AIMOVIG to other people, even if they have the same symptoms that you have. It can harm them. You can ask your pharmacist or healthcare provider for information about AIMOVIG that is written for healthcare professionals.
What are the ingredients in AIMOVIG?
  • Active Ingredient: erenumab-aooe
  • Inactive Ingredients: acetate, polysorbate 80, and sucrose
AIMOVIG prefilled autoinjectors and prefilled syringes are not made with natural rubber latex.
AIMOVIG® (erenumab-aooe)

Manufactured by:

Amgen Inc.

One Amgen Center Drive

Thousand Oaks, CA 91320-1799 U.S.A.

U.S. License No. 1080

Patent: http://pat.amgen.com/aimovig/

© 2018-2025 Amgen Inc. All rights reserved.

For more information, go to www.aimovig.com or call 1-800-77-AMGEN (1-800-772-6436).
Section 43683-2
Warnings and Precautions (5.4) 3/2025
11 Description

Erenumab-aooe is a human immunoglobulin G2 (IgG2) monoclonal antibody that has high affinity binding to the calcitonin gene-related peptide receptor. Erenumab-aooe is produced using recombinant DNA technology in Chinese hamster ovary (CHO) cells. It is composed of 2 heavy chains, each containing 456 amino acids, and 2 light chains of the lambda subclass, each containing 216 amino acids, with an approximate molecular weight of 150 kDa.

AIMOVIG (erenumab-aooe) injection is supplied as a sterile, preservative-free, clear to opalescent, colorless to light yellow solution for subcutaneous administration. Each 1 mL 70 mg single-dose prefilled autoinjector and 70 mg single-dose prefilled glass syringe contains 70 mg erenumab-aooe, acetate (1.5 mg), polysorbate 80 (0.10 mg), and sucrose (73 mg). Each 1 mL 140 mg single-dose prefilled autoinjector and 140 mg single-dose prefilled glass syringe contains 140 mg erenumab-aooe, acetate (2.0 mg), polysorbate 80 (0.10 mg), and sucrose (65 mg). Enclosed within the autoinjector is a single-dose, prefilled glass syringe. The solution of AIMOVIG has a pH of 5.2.

5.3 Hypertension

Development of hypertension and worsening of pre-existing hypertension have been reported following the use of AIMOVIG in the postmarketing setting. Many of the patients had pre-existing hypertension or risk factors for hypertension. There were cases requiring pharmacological treatment and, in some cases, hospitalization. Hypertension may occur at any time during treatment but was most frequently reported within seven days of dose administration. In the majority of the cases, the onset or worsening of hypertension was reported after the first dose. AIMOVIG was discontinued in many of the reported cases.

Monitor patients treated with AIMOVIG for new-onset hypertension, or worsening of pre-existing hypertension, and consider whether discontinuation of AIMOVIG is warranted if evaluation fails to establish an alternative etiology.

16.1 How Supplied

AIMOVIG (erenumab-aooe) injection is a sterile, clear to opalescent, colorless to light yellow solution for subcutaneous administration.

AIMOVIG prefilled autoinjectors and prefilled syringes are not made with natural rubber latex. Each single-dose prefilled SureClick® autoinjector or single-dose prefilled syringe of AIMOVIG contains a Type 1 glass syringe and stainless steel needle and delivers 1 mL of 70 mg/mL or 140 mg/mL solution.

AIMOVIG is supplied as follows:

SureClick® Autoinjector

  • Pack of 1 autoinjector: 70 mg/mL single-dose prefilled autoinjector

          NDC 55513-841-01
  • Pack of 1 autoinjector: 140 mg/mL single-dose prefilled autoinjector

          NDC 55513-843-01

Syringe

  • Pack of 1 syringe: 70 mg/mL single-dose prefilled syringe

          NDC 55513-840-01
  • Pack of 1 syringe: 140 mg/mL single-dose prefilled syringe

          NDC 55513-842-01
8.4 Pediatric Use

Safety and effectiveness in pediatric patients have not been established.

8.5 Geriatric Use

Clinical studies of AIMOVIG did not include sufficient numbers of patients aged 65 and over to determine whether they respond differently from younger patients. In general, dose selection for an elderly patient should be cautious, usually starting at the low end of the dosing range, reflecting the greater frequency of decreased hepatic, renal, or cardiac function, and of concomitant disease or other drug therapy.

12.6 Immunogenicity

The observed incidence of anti-drug antibodies is highly dependent on the sensitivity and specificity of the assay. Differences in assay methods preclude meaningful comparisons of the incidence of anti-drug antibodies in the studies described below with the incidence of anti-drug antibodies in other studies, including those of erenumab-aooe.

The immunogenicity of AIMOVIG has been evaluated using an immunoassay for the detection of binding anti-erenumab-aooe antibodies. For patients whose sera tested positive in the screening immunoassay, an in vitro biological assay was performed to detect neutralizing antibodies.

In controlled studies with AIMOVIG [see Clinical Studies (14)], the incidence of anti-erenumab-aooe antibody development was 6.2% (48/778) in patients receiving AIMOVIG 70 mg once monthly (2 of whom had in vitro neutralizing activity) and 2.6% (13/504) in patients receiving AIMOVIG 140 mg once monthly (none of whom had in vitro neutralizing activity). In a long-term study, including 12 weeks of double-blind treatment and up to 256 weeks of open-label treatment, the incidence of anti-erenumab-aooe antibody development was 11.1% (25/225) among patients whose AIMOVIG dose was 70 mg or 140 mg (2 of whom had in vitro neutralizing activity). The neutralizing anti-erenumab-aooe antibody positive rate may be underestimated because of limitations of the assay. Although these data do not demonstrate an impact of anti-erenumab-aooe antibody development on the efficacy or safety of AIMOVIG in these patients, the available data are too limited to make definitive conclusions.

14 Clinical Studies

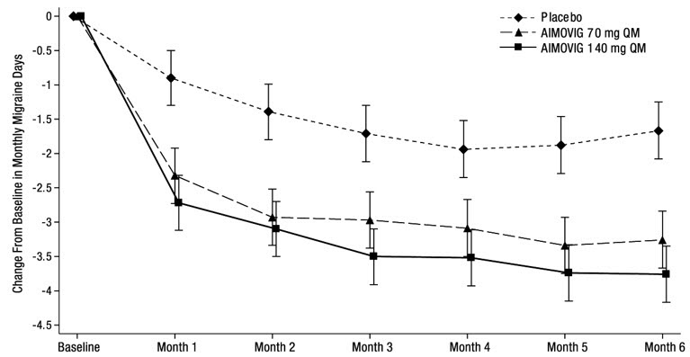
The efficacy of AIMOVIG was evaluated as a preventive treatment of episodic or chronic migraine in three randomized, double-blind, placebo-controlled studies: two studies in patients with episodic migraine (4 to 14 migraine days per month) (Study 1 and Study 2) and one study in patients with chronic migraine (≥ 15 headache days per month with ≥ 8 migraine days per month) (Study 3). The studies enrolled patients with a history of migraine, with or without aura, according to the International Classification of Headache Disorders (ICHD-III) diagnostic criteria.

4 Contraindications

AIMOVIG is contraindicated in patients with serious hypersensitivity to erenumab-aooe or to any of the excipients. Reactions have included anaphylaxis and angioedema [see Warnings and Precautions (5.1)].

6 Adverse Reactions

The following serious adverse reactions are described below and elsewhere in the labeling:

Instructions for Use

This Instructions for Use contains information on how to inject AIMOVIG with a SureClick autoinjector.

If your healthcare provider decides that you or a caregiver may be able to give your injections of AIMOVIG at home, you should receive training on the right way to prepare and inject AIMOVIG. Do not try to inject yourself until you have been shown the right way to give the injections by your healthcare provider or nurse.

The medicine in the AIMOVIG autoinjector is for injection under the skin (subcutaneous injection). See the AIMOVIG Patient Information for information about AIMOVIG.

 
Getting to know your prefilled autoinjector
 
Important Information You Need to Know Before Injecting AIMOVIG
  • It is important that you do not try to give the injection until you have fully read and understood this Instructions for Use.
  • Check the autoinjector label and prescription to make sure you have the correct medicine and dose.
  • Do not use the autoinjector if the carton is damaged or the seal is broken.
  • Do not use the autoinjector after the expiration date on the label.
  • Do not shake the autoinjector.
  • Do not remove the white cap from the autoinjector until you are ready to inject.
  • Do not use the autoinjector if it has been frozen.
  • Do not use the autoinjector if it has been dropped on a hard surface. Part of the autoinjector may be broken even if you cannot see the break. Use a new autoinjector, and call 1-800-77-AMGEN (1-800-772-6436).
  • The autoinjector is not made with natural rubber latex.
Frequently asked questions:

For additional information and answers to frequently asked questions, visit www.aimovig.com.
Where to get help:

If you want more information or help using AIMOVIG:
  • Contact your healthcare provider,
  • Visit www.aimovig.com, or
  • Call 1-800-77-AMGEN (1-800-772-6436)

Storing and Preparing to Inject AIMOVIG

1 Refrigerate the autoinjector carton until you are ready to use it.

  • Keep the autoinjector in the refrigerator between 36°F to 46°F (2°C to 8°C).
  • Keep the autoinjector in the original carton to protect it from light or physical damage.
  • Do not freeze the autoinjector.
  • Do not store the autoinjector in extreme heat or cold. For example, avoid storing in your vehicle's glove box or trunk.
Important: Keep the autoinjector and all medicines out of the sight and reach of children.
 
WAIT
2 Wait 30 minutes for the autoinjector to reach room temperature.
  • Let the autoinjector warm up naturally.
  • Do not heat the autoinjector with hot water, a microwave, or direct sunlight.
  • Do not shake the autoinjector at any time.
  • Using the autoinjector at room temperature makes sure the full dose is delivered and allows for a more comfortable injection.

3 You may keep AIMOVIG at room temperature for up to 7 days, if needed.

  • For example, when you are traveling, you may keep AIMOVIG at room temperature.
    • Keep it at room temperature between 68°F to 77°F (20°C to 25°C).
    • Do not put it back in the refrigerator.
    • Record the date you removed it from the refrigerator and use it within 7 days.
Important: Place the autoinjector in a sharps disposal container if it has reached room temperature and has not been used within 7 days.
 

4 Inspect the medicine. It should be clear and colorless to slightly yellow.

  • It is okay to see air bubbles.
  • Do not use the autoinjector if the medicine is cloudy, discolored, or contains flakes or particles.
Important: If the medicine is cloudy, discolored, contains flakes or particles, or if the autoinjector is damaged or expired, call 1-800-77-AMGEN (1-800-772-6436).
 

5 Check the expiration date (Exp.) and inspect the autoinjector for damage.

  • Do not use the autoinjector if the expiration date has passed.
  • Do not use the autoinjector if:
    • the white cap is missing or loose in carton.
    • it has cracks or broken parts, or
    • it has been dropped on a hard surface.
 

Getting Ready to Inject AIMOVIG

6 Gather and place the following items for your injection on a clean, flat, and well-lit surface:

 

7 Select 1 of these injection sites.

  • Select the thigh or stomach (except for 2 inches around the belly button).
  • Someone else can inject in your thigh, stomach, or back of the upper arm.
Important: Avoid areas with scars or stretch marks, or where the skin is tender, bruised, red, hard, raised, thick or scaly skin patch, or lesion.
 

8 Wash your hands thoroughly with soap and water.

 

9 Clean the injection site with an alcohol wipe.

  • Let the skin dry on its own.
  • Do not touch this area again before injecting.
 

Injecting AIMOVIG

Important: Only remove the white cap when you can inject right away (within 5 minutes) because the medicine can dry out. Do not recap.

10 Grasp the autoinjector so you can see the window. Pull the white cap straight off. You may need to pull hard.

  • Do not twist, bend, or wiggle the white cap to pull it off.
  • Never put the white cap back on. It may damage the needle.
  • Do not put your finger inside the dark green safety guard.
  • It is normal to see a drop of medicine come out of the needle or dark green safety guard.
 

11 Stretch or pinch the skin to create a firm surface at the injection site until the injection is finished. Place the dark green safety guard straight against the skin.

  • Make sure you can see the window.
  • Make sure the autoinjector is positioned straight on the injection site (at a 90-degree angle).
 
PUSH

and hold against skin

12 Firmly push the autoinjector down until the dark green safety guard stops moving. Hold the autoinjector down, do not lift.

  • The dark green safety guard pushes in and unlocks the purple start button.
 
PRESS

purple start button

13 Keep pushing the autoinjector down and press the purple start button to start the injection.

  • You may hear or feel a click.
  • The window starts to turn yellow.
  • It is okay to let go of the purple start button.
 
WATCH

window will turn fully yellow

14 Keep pushing the autoinjector down. Wait for the window to turn fully yellow.

  • The injection may take up to 15 seconds to complete.
  • You may hear or feel a click.
  • After the window turns fully yellow, lift the autoinjector away from the skin.
  • The dark green safety guard locks around the needle.
 

Completing the Injection and Disposal

CONFIRM

15 Confirm a full dose of medicine was injected.

  • Do not touch the dark green safety guard.
  • A small drop of liquid on the injection site is okay.
Important: If the window has not turned fully yellow or if it looks like the medicine is still coming out, a full dose was not injected. Call your healthcare provider right away.
 

16 Check the injection site.

  • Do not rub the injection site.
  • If there is blood, press a cotton ball or gauze pad on your injection site.
  • Apply an adhesive bandage if necessary.

For more information or help call 1-800-77-AMGEN (1-800-772-6436).

 

17 Place the used autoinjector and white cap in an FDA-cleared sharps disposal.

Important: Do not throw away the autoinjector in your household trash.
  • Do not reuse the autoinjector.
  • Do not touch the dark green safety guard.
 

Additional information about your sharps disposal container

If you do not have an FDA-cleared sharps disposal container, you may use a household container that is:

  • made of a heavy-duty plastic,
  • can be closed with a tight-fitting, puncture-resistant lid, without sharps being able to come out,
  • upright and stable during use,
  • leak-resistant, and
  • properly labeled to warn of hazardous waste inside the container.

Disposing of sharps disposal containers:

When your sharps disposal container is almost full, you will need to follow your community guidelines for the right way to dispose of your sharps disposal container.

There may be state or local laws about how you should throw away used needles and syringes.

For more information about safe sharps disposal, and for specific information about sharps disposal in the state that you live in, go to the FDA's website at:

http://www.fda.gov/safesharpsdisposal

Do not dispose of your used sharps disposal container in your household trash unless your community guidelines permit this.

Do not recycle your used sharps disposal container.

Keep the autoinjector and sharps disposal container out of the sight and reach of children.

 

AIMOVIG® (AIM-oh-vig)

Manufactured by:

Amgen Inc.

One Amgen Center Drive

Thousand Oaks, California 91320-1799

U.S. License Number 1080

© 2018 – 2025 Amgen Inc.

All rights reserved.

1XXXXXX

This Instructions for Use has been approved by the U.S. Food and Drug Administration.

Revised: 6/2025

v12

Instructions for Use

Important: Needle is inside the gray needle cap.

Important

Before you use AIMOVIG prefilled syringe, read this important information:

Storing your AIMOVIG prefilled syringe

  • Keep the syringe out of the reach of children.
  • Keep the syringe in the original carton to protect from light.
  • The syringe should be kept in the refrigerator at 36°F to 46°F (2°C to 8°C).
  • After removing AIMOVIG from the refrigerator, it can be stored at room temperature between 68°F to 77°F (20°C to 25°C) for up to 7 days.
  • Throw away AIMOVIG that has been left at room temperature for more than 7 days.
  • Do not freeze.

Using your AIMOVIG prefilled syringe

  • It is important that you do not try to give the injection unless you or your caregiver has received training from your healthcare provider.
  • Do not use a syringe after the expiration date on the label.
  • Do not shake the syringe.
  • Do not remove the gray needle cap from the syringe until you are ready to inject.
  • Do not use the syringe if it has been frozen.
  • Do not use a syringe if it has been dropped on a hard surface. Part of the syringe may be broken even if you cannot see the break. Use a new syringe, and call 1-800-77-AMGEN (1-800-772-6436).
  • The prefilled syringe is not made with natural rubber latex.

Step 1: Prepare

AIMOVIG comes as a single-dose (1 time) prefilled syringe. Your healthcare provider will prescribe the dose that is best for you.

Before you inject, always check the label of your single-dose prefilled syringe to make sure you have the correct medicine and the correct dose of AIMOVIG.

A Remove AIMOVIG prefilled syringe from the carton.

Grab the syringe barrel to remove the syringe from the tray.

Place finger or thumb on edge of tray to secure it while you remove the syringe.           Grab Here

For safety reasons:

  • Do not grab the plunger rod.
  • Do not grab the gray needle cap.
  • Do not remove the gray needle cap until you are ready to inject.
  • Do not remove the finger flange. This is part of the syringe.

Leave the syringe at room temperature for at least 30 minutes before injecting.

  • Do not put the syringe back in the refrigerator after it has reached room temperature.
  • Do not try to warm the syringe by using a heat source such as hot water or microwave.
  • Do not leave the syringe in direct sunlight.
  • Do not shake the syringe.

Important: Always hold the prefilled syringe by the syringe barrel.

B Inspect the AIMOVIG prefilled syringe.

Always hold the syringe by the syringe barrel.

Make sure the medicine in the syringe is clear and colorless to slightly yellow.

  • Do not use the syringe if the medicine is cloudy or discolored or contains flakes or particles.
  • Do not use the syringe if any part appears cracked or broken.
  • Do not use the syringe if the syringe has been dropped.
  • Do not use the syringe if the gray needle cap is missing or not securely attached.
  • Do not use the syringe if the expiration date printed on the label has passed.

In all cases, use a new syringe, and call 1-800-77-AMGEN (1-800-772-6436).

C Gather all materials needed for your injection.

Wash your hands thoroughly with soap and water.

On a clean, well-lit work surface, place the:

  • New syringe
  • Alcohol wipes
  • Cotton balls or gauze pads
  • Adhesive bandages
  • Sharps disposal container

D Prepare and clean your injection site.

Only use these injection sites:

  • Your thigh
  • Stomach area (abdomen), except for a two inch area right around your navel
  • Outer area of upper arm (only if someone else is giving you the injection)

Clean your injection site with an alcohol wipe. Let your skin dry.

  • Do not touch this area again before injecting.
  • Do not inject into areas where the skin is tender, bruised, red, or hard. Avoid injecting directly into raised, thick, red, or scaly skin patch or lesion, or areas with scars or stretch marks.

Step 2: Get ready

E Pull gray needle cap straight out and away from your body, only when you are ready to inject. Do not leave the gray needle cap off for more than five minutes. This can dry out the medicine.

It is normal to see a drop of liquid at the end of the needle.

  • Do not twist or bend the gray needle cap.
  • Do not put the gray needle cap back onto the syringe.
  • Do not remove the gray needle cap from the syringe until you are ready to inject.

Important: Throw the gray needle cap into the sharps disposal container.

F Pinch your injection site to create a firm surface.

Pinch skin firmly between your thumb and fingers, creating an area about two inches wide.

Important: Keep skin pinched while injecting.

Step 3: Inject

G Hold the pinch. With the gray needle cap off, insert the syringe into your skin at 45 to 90 degrees.

Do not place your finger on the plunger rod while inserting the needle.

H Place your finger on the plunger rod. Using slow and constant pressure, push the plunger rod all the way down until the prefilled syringe stops moving.

I When done, release your thumb, and gently lift the syringe off of your skin.

Important: When you remove the syringe, if it looks like the medicine is still in the syringe barrel, this means you have not received a full dose. Call your healthcare provider immediately.

Step 4: Finish

J Discard the used syringe and the gray needle cap.

Put the used AIMOVIG syringe and gray needle cap in a FDA-cleared sharps disposal container right away after use. Do not throw away (dispose of) the syringe in your household trash.

If you do not have a FDA-cleared sharps disposal container, you may use a household container that is:

  • Made of a heavy-duty plastic
  • Can be closed with a tight-fitting, puncture-resistant lid, without sharps being able to come out
  • Upright and stable during use
  • Leak-resistant
  • Properly labeled to warn of hazardous waste inside the container

When your sharps disposal container is almost full, you will need to follow your community guidelines for the right way to dispose of your sharps disposal container. There may be state or local laws about how you should throw away used needles and syringes. For more information about safe sharps disposal, and for specific information about sharps disposal in the state that you live in, go to the FDA's website at: http://www.fda.gov/safesharpsdisposal.

  • Do not reuse the syringe.
  • Do not recycle the syringe or sharps disposal container or throw them into household trash.

Important: Always keep the sharps disposal container out of the reach of children.

K Examine the injection site.

If there is blood, press a cotton ball or gauze pad on your injection site. Do not rub the injection site. Apply an adhesive bandage if needed.

For more information, go to www.aimovig.com or call 1-800-77-AMGEN (1-800-772-6436).

AIMOVIG® (erenumab-aooe)

Manufactured by:

Amgen Inc.

One Amgen Center Drive

Thousand Oaks, CA 91320-1799 USA

U.S. License No. 1080

© 2018-2022, 2024 Amgen Inc. All rights reserved.

Symbol table
Do not reuse CAUTION, Prior to use, read the enclosed Instructions For Use for administration information and see package insert for full Prescribing Information Lot number

This Instructions for Use has been approved by the U.S. Food and Drug Administration.

Approved: 8/2024

[partnumber] v7

12.2 Pharmacodynamics

In a randomized, double-blind, placebo-controlled study in healthy volunteers, concomitant administration of erenumab-aooe (140 mg intravenous, single-dose) with sumatriptan (12 mg subcutaneous, given as two 6 mg doses separated by one hour) had no effect on resting blood pressure compared with sumatriptan alone. AIMOVIG is for subcutaneous use only.

12.3 Pharmacokinetics

Erenumab-aooe exhibits non-linear kinetics as a result of binding to the CGRP receptor. The Cmax mean and AUClast mean following subcutaneous administration of a 70 mg once monthly and a 140 mg once monthly dose in healthy volunteers or migraine patients are included in Table 2.

Less than 2-fold accumulation was observed in trough serum concentrations (Cmin) for episodic and chronic migraine patients following subcutaneous administration of 70 mg once monthly and 140 mg once monthly doses (see Table 2). Serum trough concentrations approached steady state by 3 months of dosing. The effective half-life of erenumab-aooe is 28 days.

Table 2: Pharmacokinetic Parameters of AIMOVIG
AIMOVIG 70 mg

Subcutaneously Once Monthly
AIMOVIG 140 mg

Subcutaneously Once Monthly
Cmax mean (SD)
SD = standard deviation
,
from a single-dose study
6.1 (2.1) mcg/mL 15.8 (4.8) mcg/mL
AUClast mean (SD)
,
159 (58) day*mcg/mL 505 (139) day*mcg/mL
Cmin (SD)
  Episodic migraine 5.7 (3.1) mcg/mL 12.8 (6.5) mcg/mL
  Chronic migraine 6.2 (2.9) mcg/mL 14.9 (6.5) mcg/mL
2.1 Recommended Dosing

The recommended dosage of AIMOVIG is 70 mg injected subcutaneously once monthly. Some patients may benefit from a dosage of 140 mg injected subcutaneously once monthly.

If a dose of AIMOVIG is missed, administer as soon as possible. Thereafter, AIMOVIG can be scheduled monthly from the date of the last dose.

1 Indications and Usage

AIMOVIG is indicated for the preventive treatment of migraine in adults.

12.1 Mechanism of Action

Erenumab-aooe is a human monoclonal antibody that binds to the calcitonin gene-related peptide (CGRP) receptor and antagonizes CGRP receptor function.

5.4 Raynaud's Phenomenon

Development of Raynaud's phenomenon and recurrence or worsening of pre-existing Raynaud's phenomenon have been reported in the postmarketing setting following the use of CGRP antagonists, including AIMOVIG. In reported cases with monoclonal antibody CGRP antagonists, symptom onset occurred a median of 71 days following dosing. Many of the cases reported serious outcomes, including hospitalizations and disability, generally related to debilitating pain. In most reported cases, discontinuation of the CGRP antagonist resulted in resolution of symptoms.

AIMOVIG should be discontinued if signs or symptoms of Raynaud's phenomenon develop, and patients should be evaluated by a healthcare provider if symptoms do not resolve. Patients with a history of Raynaud's phenomenon should be monitored for, and informed about the possibility of, worsening or recurrence of signs and symptoms.

16.2 Storage and Handling
  • Store refrigerated at 2°C to 8°C (36°F to 46°F) in the original carton to protect from light until time of use.
  • If removed from the refrigerator, AIMOVIG should be kept at room temperature (up to 25°C [77°F]) in the original carton and must be used within 7 days. Throw away AIMOVIG that has been left at room temperature for more than 7 days.
  • Do not freeze.
  • Do not shake.
5 Warnings and Precautions
  • Hypersensitivity Reactions: If a serious hypersensitivity reaction occurs, discontinue administration of AIMOVIG and initiate appropriate therapy. Hypersensitivity reactions can occur within hours to more than one week after administration. (5.1)
  • Constipation with Serious Complications: Serious complications of constipation may occur. (5.2)
  • Hypertension: New-onset or worsening of pre-existing hypertension may occur. (5.3)
  • Raynaud's Phenomenon: New-onset or worsening of pre-existing Raynaud's phenomenon may occur. (5.4)
2 Dosage and Administration
  • For subcutaneous use only (2.1, 2.2)
  • Recommended dosage is 70 mg once monthly; some patients may benefit from a dosage of 140 mg once monthly (2.1)
  • Administer in the abdomen, thigh, or upper arm subcutaneously (2.2)
  • See Dosage and Administration for important administration instructions (2.2)
3 Dosage Forms and Strengths

AIMOVIG is a sterile, clear to opalescent, colorless to light yellow solution available as follows:

  • Injection: 70 mg/mL in a single-dose prefilled SureClick® autoinjector
  • Injection: 140 mg/mL in a single-dose prefilled SureClick® autoinjector
  • Injection: 70 mg/mL in a single-dose prefilled syringe
  • Injection: 140 mg/mL in a single-dose prefilled syringe
6.2 Postmarketing Experience

The following adverse reactions have been identified during postapproval use of AIMOVIG. Because these reactions are reported voluntarily from a population of uncertain size, it is not always possible to reliably estimate their frequency or establish a causal relationship to drug exposure.

Immune System Disorders: Hypersensitivity reactions, including rash, angioedema, and anaphylaxis [see Warnings and Precautions (5.1)].

Gastrointestinal Disorders: Constipation with serious complications [see Warnings and Precautions (5.2)], oral mucosal ulceration.

Skin and Subcutaneous Tissue Disorders: Rash, alopecia.

Vascular Disorders: Hypertension [see Warnings and Precautions (5.3)], Raynaud's Phenomenon [see Warnings and Precautions (5.4)].

5.1 Hypersensitivity Reactions

Hypersensitivity reactions, including rash, angioedema, and anaphylaxis, have been reported with AIMOVIG in postmarketing experience. Most hypersensitivity reactions were not serious and occurred within hours of administration, although some occurred more than one week after administration. If a serious or severe hypersensitivity reaction occurs, discontinue administration of AIMOVIG and initiate appropriate therapy [see Contraindications (4), and Patient Counseling Information (17)].

6.1 Clinical Trials Experience

Because clinical trials are conducted under widely varying conditions, adverse reaction rates observed in the clinical trials of a drug cannot be directly compared to rates in the clinical trials of another drug and may not reflect the rates observed in clinical practice.

The safety of AIMOVIG has been evaluated in 2537 patients with migraine who received at least one dose of AIMOVIG, representing 3040.2 patient-years of exposure. Of these, 2271 patients were exposed to 70 mg or 140 mg once monthly for at least 6 months, 1305 patients were exposed for at least 12 months, and 216 patients were exposed through 5 years.

In placebo-controlled clinical studies (Studies 1, 2, and 3) of 2184 patients, 787 patients received at least one dose of AIMOVIG 70 mg once monthly, 507 patients received at least one dose of AIMOVIG 140 mg once monthly, and 890 patients received placebo during 3 months or 6 months of double-blind treatment [see Clinical Studies (14)]. Approximately 84% were female, 91% were white, and the mean age was 42 years at study entry.

The most common adverse reactions (incidence ≥ 3% and more often than placebo) in the migraine studies were injection site reactions and constipation. Table 1 summarizes the adverse reactions that occurred during the first 3 months in the migraine studies (Studies 1, 2, and 3).

Table 1: Adverse Reactions Occurring with an Incidence of at Least 2% for Either Dose of AIMOVIG and at Least 2% Greater than Placebo During the First 3 Months in Studies 1, 2, and 3
Adverse Reaction AIMOVIG

70 mg Once Monthly

N = 787

%
AIMOVIG

140 mg Once Monthly

N = 507

%
Placebo



N = 890

%
Injection site reactions
Injection site reactions include multiple adverse reactions related terms, such as injection site pain and injection site erythema.
,
The rate of injection site reactions reported in Table 1 is with the prefilled syringe.
6 5 3
Constipation 1 3 1
Cramps, muscle spasms < 1 2 < 1

In Studies 1, 2, and 3, 1.3% of patients treated with AIMOVIG 70 mg or 140 mg discontinued double-blind treatment because of adverse events. The most frequent injection site reactions were injection site pain, injection site erythema, and injection site pruritus.

17 Patient Counseling Information

Advise the patient to read the FDA-approved patient labeling (Patient Information and Instructions for Use).

2.2 Important Administration Instructions

AIMOVIG is for subcutaneous use only.

AIMOVIG is intended for patient self-administration. Prior to use, provide proper training to patients and/or caregivers on how to prepare and administer AIMOVIG using the single-dose prefilled autoinjector or single-dose prefilled syringe, including aseptic technique [see Instructions for Use]:

  • Prior to subcutaneous administration, allow AIMOVIG to sit at room temperature for at least 30 minutes protected from direct sunlight [see How Supplied/Storage and Handling (16.2)]. This is important for administering the entire dose and helps minimize discomfort. Do not warm by using a heat source such as hot water or a microwave.
  • Do not shake the product.
  • Inspect visually for particulate matter and discoloration prior to administration [see Dosage Forms and Strengths (3)]. Do not use if the solution is cloudy or discolored or contains flakes or particles.
  • Administer AIMOVIG in the abdomen, thigh, or upper arm subcutaneously. Do not inject into areas where the skin is tender, bruised, red, or hard.
  • Both prefilled autoinjector and prefilled syringe are single-dose and deliver the entire contents.
5.2 Constipation With Serious Complications

Constipation with serious complications has been reported following the use of AIMOVIG in the postmarketing setting. There were cases that required hospitalization, including cases where surgery was necessary. In a majority of these cases, the onset of constipation was reported after the first dose of AIMOVIG; however, patients have also presented with constipation later on in treatment. AIMOVIG was discontinued in most reported cases of constipation with serious complications. Constipation was one of the most common (up to 3%) adverse reactions reported in clinical studies [see Adverse Reactions (6.1)].

Monitor patients treated with AIMOVIG for severe constipation and manage as clinically appropriate [see Patient Counseling Information (17)]. The concurrent use of medications associated with decreased gastrointestinal motility may increase the risk for more severe constipation and the potential for constipation-related complications.

Principal Display Panel 70 Mg/ml Syringe Carton

AMGEN®

1 x 70 mg/mL Prefilled Syringe

NDC 55513-840-01

Rx Only

aimovig®

(erenumab-aooe)

Injection

70

mg/mL

70 mg/mL

Single-dose Prefilled Syringe

For Subcutaneous Use Only

Store refrigerated at 2°C to 8°C (36°F to 46°F) in original

carton to protect from light. Do Not Freeze. Do Not Shake.

Before injecting, allow AIMOVIG to sit

at room temperature for at least 30 minutes

with cap on, protected from direct sunlight.

Keep out of the sight and reach of children.

For more information, go to Aimovig.com or

call 1-800-77-AMGEN (1-800-772-6436).

CAUTION, Prior to use,

read the enclosed

Instructions for Use for

administration information

and see package insert for

full Prescribing

Information

Do Not Reuse

Not made with

natural rubber latex

Principal Display Panel 140 Mg/ml Syringe Carton

AMGEN®

1 x 140 mg/mL Prefilled Syringe

NDC 55513-842-01

Rx Only

aimovig®

(erenumab-aooe)

Injection

140

mg/mL = 1

dose

140 mg/mL

Single-dose Prefilled Syringe

For Subcutaneous Use Only

Store refrigerated at 2°C to 8°C (36°F to 46°F) in original

carton to protect from light. Do Not Freeze. Do Not Shake.

Before injecting, allow AIMOVIG to sit at

room temperature for at least 30 minutes

with cap on, protected from direct sunlight.

Keep out of the sight and reach of children.

For more information, go to Aimovig.com or

call 1-800-77-AMGEN (1-800-772-6436).

CAUTION, Prior to use,

read the enclosed

Instructions for Use for

administration information

and see package insert for

full Prescribing Information

Do Not Reuse

Not made with

natural rubber latex

Principal Display Panel 70 Mg/ml Autoinjector Carton

1 x 70 mg/mL Prefilled Autoinjector

NDC 55513-841-01

aimovig®

(erenumab-aooe)

Injection

70

mg/mL

Aimovig.com/demo

70 mg/mL

Prefilled Autoinjector

For Subcutaneous Use Only

Store carton in refrigerator at 36°F to 46°F (2°C to 8°C).

Do Not Freeze or Shake.

Store in Carton to Protect from Light. Discard Any

Unused Portion.

Keep out of the sight and reach of children.

Not made with natural rubber latex

No U.S. standard of potency

CAUTION, Consult

Accompanying Documents

Do not re-use

Refrigerate

until ready

to use

Rx Only

AMGEN

Principal Display Panel 140 Mg/ml Autoinjector Carton

1 x 140 mg/mL Prefilled Autoinjector

NDC 55513-843-01

aimovig®

(erenumab-aooe)

Injection

140

mg/mL

Aimovig.com/demo

140 mg/mL

Prefilled Autoinjector

For Subcutaneous Use Only

Store carton in refrigerator at 36°F to 46°F (2°C to 8°C).

Do Not Freeze or Shake.

Store in Carton to Protect from Light. Discard Any

Unused Portion.

Keep out of the sight and reach of children.

Not made with natural rubber latex

No U.S. standard of potency

CAUTION, Consult

Accompanying Documents

Do not re-use

Refrigerate

until ready

to use

Rx Only

AMGEN

Principal Display Panel 70 Mg/ml Autoinjector Carton Not for Sale

1 x 70 mg/mL Prefilled Autoinjector

NDC 55513-841-00

aimovig®

(erenumab-aooe)

Injection

70

mg/mL

Aimovig.com/demo

70 mg/mL

Not for Sale

Prefilled Autoinjector

For Subcutaneous Use Only

Store carton in refrigerator at 36°F to 46°F (2°C to 8°C).

Do Not Freeze or Shake.

Store in Carton to Protect from Light. Discard Any

Unused Portion.

Keep out of the sight and reach of children.

Not made with natural rubber latex

No U.S. standard of potency

CAUTION, Consult

Accompanying Documents

Do not re-use

Refrigerate

until ready

to use

Rx Only

AMGEN

Principal Display Panel 140 Mg/ml Autoinjector Carton Not for Sale

1 x 140 mg/mL Prefilled Autoinjector

NDC 55513-843-00

aimovig®

(erenumab-aooe)

Injection

140

mg/mL

Aimovig.com/demo

140 mg/mL

Prefilled Autoinjector

Not for Sale

For Subcutaneous Use Only

Store carton in refrigerator at 36°F to 46°F (2°C to 8°C).

Do Not Freeze or Shake.

Store in Carton to Protect from Light. Discard Any

Unused Portion.

Keep out of the sight and reach of children.

Not made with natural rubber latex

No U.S. standard of potency

CAUTION, Consult

Accompanying Documents

Do not re-use

Refrigerate

until ready

to use

Rx Only

AMGEN


Structured Label Content

Section 42229-5 (42229-5)

Pregnancy Exposure Registry

There is a pregnancy exposure registry that monitors pregnancy outcomes in women exposed to AIMOVIG during pregnancy. Patients should be encouraged to enroll by calling 1-833-244-4083 or visiting https://www.genesispregnancyregistry.com/.

Section 42230-3 (42230-3)
Patient Information

AIMOVIG® (AIM-oh-vig) (erenumab-aooe)

injection, for subcutaneous use
This Patient Information has been approved by the U.S. Food and Drug Administration.

[part number] v10
Revised: 3/2025    
What is AIMOVIG?

AIMOVIG is a prescription medicine used for the preventive treatment of migraine in adults.

It is not known if AIMOVIG is safe and effective in children under 18 years of age.
Who should not use AIMOVIG?

Do not use AIMOVIG if you are allergic to erenumab-aooe or any of the ingredients in AIMOVIG. See the end of this Patient Information for a complete list of ingredients in AIMOVIG.
Before you start using AIMOVIG, tell your healthcare provider about all your medical conditions, including if you:
  • have high blood pressure
  • have circulation problems in your fingers and toes
  • are pregnant or plan to become pregnant. It is not known if AIMOVIG will harm your unborn baby.
    • Pregnancy Registry: There is a pregnancy registry for women who take AIMOVIG. The purpose of this registry is to collect information about your health and your baby's health. You may enroll yourself by calling 1-833-244-4083 or visiting https://www.genesispregnancyregistry.com/. Or you may talk to your healthcare provider about how you can take part in this registry.
  • are breastfeeding or plan to breastfeed. It is not known if AIMOVIG passes into your breast milk. Talk to your healthcare provider about the best way to feed your baby while using AIMOVIG.
Tell your pharmacist or healthcare provider about all the medicines you take, including any prescription and over-the-counter medicines, vitamins, or herbal supplements.
How should I take AIMOVIG?
  • See the detailed "Instructions for Use" on complete information on how to take AIMOVIG.
  • Take AIMOVIG exactly as your healthcare provider tells you to take it.
  • Before you inject, always check the label of your single-dose prefilled autoinjector or single-dose prefilled syringe to make sure you have the correct medicine and the correct dose of AIMOVIG.
  • Also, before you inject, leave AIMOVIG at room temperature for at least 30 minutes protected from direct sunlight.
  • AIMOVIG is injected under your skin (subcutaneously) 1 time each month.
  • AIMOVIG comes in 2 different types of devices: a single-dose (1 time) prefilled autoinjector or a single-dose (1 time) prefilled syringe. Your healthcare provider will prescribe the type and dose that is best for you.
  • If you forget to take AIMOVIG or are not able to take the dose at the regular time, take your missed dose as soon as you remember. After that, you can continue to take AIMOVIG 1 time each month from the date of your last dose.
What are possible side effects of AIMOVIG?

AIMOVIG may cause serious side effects, including:
  • Allergic reactions. Allergic reactions, including rash or swelling can happen after receiving AIMOVIG. This can happen within hours to days after using AIMOVIG. Call your healthcare provider or get emergency medical help right away if you have any of the following symptoms of an allergic reaction:
    • swelling of the face, mouth, tongue, or throat
    • trouble breathing
  • Constipation with serious complications. Severe constipation can happen after receiving AIMOVIG. In some cases, people have been hospitalized or needed surgery. Contact your healthcare provider if you have severe constipation or constipation associated with symptoms such as severe or constant belly pain, vomiting, swelling of belly or bloating.
  • High blood pressure. High blood pressure or worsening of high blood pressure can happen after receiving AIMOVIG. Contact your healthcare provider if you have an increase in blood pressure.
  • Raynaud's phenomenon. A type of circulation problem can worsen or happen after receiving AIMOVIG. Raynaud's phenomenon can lead to your fingers or toes feeling numb, cool, or painful, or changing color from pale, to blue, to red. Contact your healthcare provider if these symptoms occur.
The most common side effects of AIMOVIG include: pain, redness, or swelling at the injection site and constipation.

Tell your healthcare provider if you have any side effect that bothers you or that does not go away.

These are not all of the possible side effects of AIMOVIG. Ask your pharmacist or healthcare provider for more information.

Call your healthcare provider for medical advice about side effects. You may report side effects to the FDA at 1-800-FDA-1088. You may also report side effects to Amgen at 1-800-77-AMGEN (1-800-772-6436).
How should I store AIMOVIG?
  • Store AIMOVIG in the refrigerator between 36°F to 46°F (2°C to 8°C).
  • Keep AIMOVIG in the original carton. This will protect the medicine from light.
  • After removing AIMOVIG from the refrigerator, it can be stored at room temperature between 68°F to 77°F (20°C to 25°C) for up to 7 days.
  • Throw away AIMOVIG that has been left at room temperature for more than 7 days.
  • Do not freeze.
  • Do not shake.
Keep AIMOVIG and all medicines out of the reach of children.
General information about the safe and effective use of AIMOVIG.

Medicines are sometimes prescribed for purposes other than those listed in a Patient Information leaflet. Do not use AIMOVIG for a condition for which it is not prescribed. Do not give AIMOVIG to other people, even if they have the same symptoms that you have. It can harm them. You can ask your pharmacist or healthcare provider for information about AIMOVIG that is written for healthcare professionals.
What are the ingredients in AIMOVIG?
  • Active Ingredient: erenumab-aooe
  • Inactive Ingredients: acetate, polysorbate 80, and sucrose
AIMOVIG prefilled autoinjectors and prefilled syringes are not made with natural rubber latex.
AIMOVIG® (erenumab-aooe)

Manufactured by:

Amgen Inc.

One Amgen Center Drive

Thousand Oaks, CA 91320-1799 U.S.A.

U.S. License No. 1080

Patent: http://pat.amgen.com/aimovig/

© 2018-2025 Amgen Inc. All rights reserved.

For more information, go to www.aimovig.com or call 1-800-77-AMGEN (1-800-772-6436).
Section 43683-2 (43683-2)
Warnings and Precautions (5.4) 3/2025
11 Description (11 DESCRIPTION)

Erenumab-aooe is a human immunoglobulin G2 (IgG2) monoclonal antibody that has high affinity binding to the calcitonin gene-related peptide receptor. Erenumab-aooe is produced using recombinant DNA technology in Chinese hamster ovary (CHO) cells. It is composed of 2 heavy chains, each containing 456 amino acids, and 2 light chains of the lambda subclass, each containing 216 amino acids, with an approximate molecular weight of 150 kDa.

AIMOVIG (erenumab-aooe) injection is supplied as a sterile, preservative-free, clear to opalescent, colorless to light yellow solution for subcutaneous administration. Each 1 mL 70 mg single-dose prefilled autoinjector and 70 mg single-dose prefilled glass syringe contains 70 mg erenumab-aooe, acetate (1.5 mg), polysorbate 80 (0.10 mg), and sucrose (73 mg). Each 1 mL 140 mg single-dose prefilled autoinjector and 140 mg single-dose prefilled glass syringe contains 140 mg erenumab-aooe, acetate (2.0 mg), polysorbate 80 (0.10 mg), and sucrose (65 mg). Enclosed within the autoinjector is a single-dose, prefilled glass syringe. The solution of AIMOVIG has a pH of 5.2.

5.3 Hypertension

Development of hypertension and worsening of pre-existing hypertension have been reported following the use of AIMOVIG in the postmarketing setting. Many of the patients had pre-existing hypertension or risk factors for hypertension. There were cases requiring pharmacological treatment and, in some cases, hospitalization. Hypertension may occur at any time during treatment but was most frequently reported within seven days of dose administration. In the majority of the cases, the onset or worsening of hypertension was reported after the first dose. AIMOVIG was discontinued in many of the reported cases.

Monitor patients treated with AIMOVIG for new-onset hypertension, or worsening of pre-existing hypertension, and consider whether discontinuation of AIMOVIG is warranted if evaluation fails to establish an alternative etiology.

16.1 How Supplied

AIMOVIG (erenumab-aooe) injection is a sterile, clear to opalescent, colorless to light yellow solution for subcutaneous administration.

AIMOVIG prefilled autoinjectors and prefilled syringes are not made with natural rubber latex. Each single-dose prefilled SureClick® autoinjector or single-dose prefilled syringe of AIMOVIG contains a Type 1 glass syringe and stainless steel needle and delivers 1 mL of 70 mg/mL or 140 mg/mL solution.

AIMOVIG is supplied as follows:

SureClick® Autoinjector

  • Pack of 1 autoinjector: 70 mg/mL single-dose prefilled autoinjector

          NDC 55513-841-01
  • Pack of 1 autoinjector: 140 mg/mL single-dose prefilled autoinjector

          NDC 55513-843-01

Syringe

  • Pack of 1 syringe: 70 mg/mL single-dose prefilled syringe

          NDC 55513-840-01
  • Pack of 1 syringe: 140 mg/mL single-dose prefilled syringe

          NDC 55513-842-01
8.4 Pediatric Use

Safety and effectiveness in pediatric patients have not been established.

8.5 Geriatric Use

Clinical studies of AIMOVIG did not include sufficient numbers of patients aged 65 and over to determine whether they respond differently from younger patients. In general, dose selection for an elderly patient should be cautious, usually starting at the low end of the dosing range, reflecting the greater frequency of decreased hepatic, renal, or cardiac function, and of concomitant disease or other drug therapy.

12.6 Immunogenicity

The observed incidence of anti-drug antibodies is highly dependent on the sensitivity and specificity of the assay. Differences in assay methods preclude meaningful comparisons of the incidence of anti-drug antibodies in the studies described below with the incidence of anti-drug antibodies in other studies, including those of erenumab-aooe.

The immunogenicity of AIMOVIG has been evaluated using an immunoassay for the detection of binding anti-erenumab-aooe antibodies. For patients whose sera tested positive in the screening immunoassay, an in vitro biological assay was performed to detect neutralizing antibodies.

In controlled studies with AIMOVIG [see Clinical Studies (14)], the incidence of anti-erenumab-aooe antibody development was 6.2% (48/778) in patients receiving AIMOVIG 70 mg once monthly (2 of whom had in vitro neutralizing activity) and 2.6% (13/504) in patients receiving AIMOVIG 140 mg once monthly (none of whom had in vitro neutralizing activity). In a long-term study, including 12 weeks of double-blind treatment and up to 256 weeks of open-label treatment, the incidence of anti-erenumab-aooe antibody development was 11.1% (25/225) among patients whose AIMOVIG dose was 70 mg or 140 mg (2 of whom had in vitro neutralizing activity). The neutralizing anti-erenumab-aooe antibody positive rate may be underestimated because of limitations of the assay. Although these data do not demonstrate an impact of anti-erenumab-aooe antibody development on the efficacy or safety of AIMOVIG in these patients, the available data are too limited to make definitive conclusions.

14 Clinical Studies (14 CLINICAL STUDIES)

The efficacy of AIMOVIG was evaluated as a preventive treatment of episodic or chronic migraine in three randomized, double-blind, placebo-controlled studies: two studies in patients with episodic migraine (4 to 14 migraine days per month) (Study 1 and Study 2) and one study in patients with chronic migraine (≥ 15 headache days per month with ≥ 8 migraine days per month) (Study 3). The studies enrolled patients with a history of migraine, with or without aura, according to the International Classification of Headache Disorders (ICHD-III) diagnostic criteria.

4 Contraindications (4 CONTRAINDICATIONS)

AIMOVIG is contraindicated in patients with serious hypersensitivity to erenumab-aooe or to any of the excipients. Reactions have included anaphylaxis and angioedema [see Warnings and Precautions (5.1)].

6 Adverse Reactions (6 ADVERSE REACTIONS)

The following serious adverse reactions are described below and elsewhere in the labeling:

Instructions for Use (INSTRUCTIONS FOR USE)

This Instructions for Use contains information on how to inject AIMOVIG with a SureClick autoinjector.

If your healthcare provider decides that you or a caregiver may be able to give your injections of AIMOVIG at home, you should receive training on the right way to prepare and inject AIMOVIG. Do not try to inject yourself until you have been shown the right way to give the injections by your healthcare provider or nurse.

The medicine in the AIMOVIG autoinjector is for injection under the skin (subcutaneous injection). See the AIMOVIG Patient Information for information about AIMOVIG.

 
Getting to know your prefilled autoinjector
 
Important Information You Need to Know Before Injecting AIMOVIG
  • It is important that you do not try to give the injection until you have fully read and understood this Instructions for Use.
  • Check the autoinjector label and prescription to make sure you have the correct medicine and dose.
  • Do not use the autoinjector if the carton is damaged or the seal is broken.
  • Do not use the autoinjector after the expiration date on the label.
  • Do not shake the autoinjector.
  • Do not remove the white cap from the autoinjector until you are ready to inject.
  • Do not use the autoinjector if it has been frozen.
  • Do not use the autoinjector if it has been dropped on a hard surface. Part of the autoinjector may be broken even if you cannot see the break. Use a new autoinjector, and call 1-800-77-AMGEN (1-800-772-6436).
  • The autoinjector is not made with natural rubber latex.
Frequently asked questions:

For additional information and answers to frequently asked questions, visit www.aimovig.com.
Where to get help:

If you want more information or help using AIMOVIG:
  • Contact your healthcare provider,
  • Visit www.aimovig.com, or
  • Call 1-800-77-AMGEN (1-800-772-6436)

Storing and Preparing to Inject AIMOVIG

1 Refrigerate the autoinjector carton until you are ready to use it.

  • Keep the autoinjector in the refrigerator between 36°F to 46°F (2°C to 8°C).
  • Keep the autoinjector in the original carton to protect it from light or physical damage.
  • Do not freeze the autoinjector.
  • Do not store the autoinjector in extreme heat or cold. For example, avoid storing in your vehicle's glove box or trunk.
Important: Keep the autoinjector and all medicines out of the sight and reach of children.
 
WAIT
2 Wait 30 minutes for the autoinjector to reach room temperature.
  • Let the autoinjector warm up naturally.
  • Do not heat the autoinjector with hot water, a microwave, or direct sunlight.
  • Do not shake the autoinjector at any time.
  • Using the autoinjector at room temperature makes sure the full dose is delivered and allows for a more comfortable injection.

3 You may keep AIMOVIG at room temperature for up to 7 days, if needed.

  • For example, when you are traveling, you may keep AIMOVIG at room temperature.
    • Keep it at room temperature between 68°F to 77°F (20°C to 25°C).
    • Do not put it back in the refrigerator.
    • Record the date you removed it from the refrigerator and use it within 7 days.
Important: Place the autoinjector in a sharps disposal container if it has reached room temperature and has not been used within 7 days.
 

4 Inspect the medicine. It should be clear and colorless to slightly yellow.

  • It is okay to see air bubbles.
  • Do not use the autoinjector if the medicine is cloudy, discolored, or contains flakes or particles.
Important: If the medicine is cloudy, discolored, contains flakes or particles, or if the autoinjector is damaged or expired, call 1-800-77-AMGEN (1-800-772-6436).
 

5 Check the expiration date (Exp.) and inspect the autoinjector for damage.

  • Do not use the autoinjector if the expiration date has passed.
  • Do not use the autoinjector if:
    • the white cap is missing or loose in carton.
    • it has cracks or broken parts, or
    • it has been dropped on a hard surface.
 

Getting Ready to Inject AIMOVIG

6 Gather and place the following items for your injection on a clean, flat, and well-lit surface:

 

7 Select 1 of these injection sites.

  • Select the thigh or stomach (except for 2 inches around the belly button).
  • Someone else can inject in your thigh, stomach, or back of the upper arm.
Important: Avoid areas with scars or stretch marks, or where the skin is tender, bruised, red, hard, raised, thick or scaly skin patch, or lesion.
 

8 Wash your hands thoroughly with soap and water.

 

9 Clean the injection site with an alcohol wipe.

  • Let the skin dry on its own.
  • Do not touch this area again before injecting.
 

Injecting AIMOVIG

Important: Only remove the white cap when you can inject right away (within 5 minutes) because the medicine can dry out. Do not recap.

10 Grasp the autoinjector so you can see the window. Pull the white cap straight off. You may need to pull hard.

  • Do not twist, bend, or wiggle the white cap to pull it off.
  • Never put the white cap back on. It may damage the needle.
  • Do not put your finger inside the dark green safety guard.
  • It is normal to see a drop of medicine come out of the needle or dark green safety guard.
 

11 Stretch or pinch the skin to create a firm surface at the injection site until the injection is finished. Place the dark green safety guard straight against the skin.

  • Make sure you can see the window.
  • Make sure the autoinjector is positioned straight on the injection site (at a 90-degree angle).
 
PUSH

and hold against skin

12 Firmly push the autoinjector down until the dark green safety guard stops moving. Hold the autoinjector down, do not lift.

  • The dark green safety guard pushes in and unlocks the purple start button.
 
PRESS

purple start button

13 Keep pushing the autoinjector down and press the purple start button to start the injection.

  • You may hear or feel a click.
  • The window starts to turn yellow.
  • It is okay to let go of the purple start button.
 
WATCH

window will turn fully yellow

14 Keep pushing the autoinjector down. Wait for the window to turn fully yellow.

  • The injection may take up to 15 seconds to complete.
  • You may hear or feel a click.
  • After the window turns fully yellow, lift the autoinjector away from the skin.
  • The dark green safety guard locks around the needle.
 

Completing the Injection and Disposal

CONFIRM

15 Confirm a full dose of medicine was injected.

  • Do not touch the dark green safety guard.
  • A small drop of liquid on the injection site is okay.
Important: If the window has not turned fully yellow or if it looks like the medicine is still coming out, a full dose was not injected. Call your healthcare provider right away.
 

16 Check the injection site.

  • Do not rub the injection site.
  • If there is blood, press a cotton ball or gauze pad on your injection site.
  • Apply an adhesive bandage if necessary.

For more information or help call 1-800-77-AMGEN (1-800-772-6436).

 

17 Place the used autoinjector and white cap in an FDA-cleared sharps disposal.

Important: Do not throw away the autoinjector in your household trash.
  • Do not reuse the autoinjector.
  • Do not touch the dark green safety guard.
 

Additional information about your sharps disposal container

If you do not have an FDA-cleared sharps disposal container, you may use a household container that is:

  • made of a heavy-duty plastic,
  • can be closed with a tight-fitting, puncture-resistant lid, without sharps being able to come out,
  • upright and stable during use,
  • leak-resistant, and
  • properly labeled to warn of hazardous waste inside the container.

Disposing of sharps disposal containers:

When your sharps disposal container is almost full, you will need to follow your community guidelines for the right way to dispose of your sharps disposal container.

There may be state or local laws about how you should throw away used needles and syringes.

For more information about safe sharps disposal, and for specific information about sharps disposal in the state that you live in, go to the FDA's website at:

http://www.fda.gov/safesharpsdisposal

Do not dispose of your used sharps disposal container in your household trash unless your community guidelines permit this.

Do not recycle your used sharps disposal container.

Keep the autoinjector and sharps disposal container out of the sight and reach of children.

 

AIMOVIG® (AIM-oh-vig)

Manufactured by:

Amgen Inc.

One Amgen Center Drive

Thousand Oaks, California 91320-1799

U.S. License Number 1080

© 2018 – 2025 Amgen Inc.

All rights reserved.

1XXXXXX

This Instructions for Use has been approved by the U.S. Food and Drug Administration.

Revised: 6/2025

v12

Instructions for Use

Important: Needle is inside the gray needle cap.

Important

Before you use AIMOVIG prefilled syringe, read this important information:

Storing your AIMOVIG prefilled syringe

  • Keep the syringe out of the reach of children.
  • Keep the syringe in the original carton to protect from light.
  • The syringe should be kept in the refrigerator at 36°F to 46°F (2°C to 8°C).
  • After removing AIMOVIG from the refrigerator, it can be stored at room temperature between 68°F to 77°F (20°C to 25°C) for up to 7 days.
  • Throw away AIMOVIG that has been left at room temperature for more than 7 days.
  • Do not freeze.

Using your AIMOVIG prefilled syringe

  • It is important that you do not try to give the injection unless you or your caregiver has received training from your healthcare provider.
  • Do not use a syringe after the expiration date on the label.
  • Do not shake the syringe.
  • Do not remove the gray needle cap from the syringe until you are ready to inject.
  • Do not use the syringe if it has been frozen.
  • Do not use a syringe if it has been dropped on a hard surface. Part of the syringe may be broken even if you cannot see the break. Use a new syringe, and call 1-800-77-AMGEN (1-800-772-6436).
  • The prefilled syringe is not made with natural rubber latex.

Step 1: Prepare

AIMOVIG comes as a single-dose (1 time) prefilled syringe. Your healthcare provider will prescribe the dose that is best for you.

Before you inject, always check the label of your single-dose prefilled syringe to make sure you have the correct medicine and the correct dose of AIMOVIG.

A Remove AIMOVIG prefilled syringe from the carton.

Grab the syringe barrel to remove the syringe from the tray.

Place finger or thumb on edge of tray to secure it while you remove the syringe.           Grab Here

For safety reasons:

  • Do not grab the plunger rod.
  • Do not grab the gray needle cap.
  • Do not remove the gray needle cap until you are ready to inject.
  • Do not remove the finger flange. This is part of the syringe.

Leave the syringe at room temperature for at least 30 minutes before injecting.

  • Do not put the syringe back in the refrigerator after it has reached room temperature.
  • Do not try to warm the syringe by using a heat source such as hot water or microwave.
  • Do not leave the syringe in direct sunlight.
  • Do not shake the syringe.

Important: Always hold the prefilled syringe by the syringe barrel.

B Inspect the AIMOVIG prefilled syringe.

Always hold the syringe by the syringe barrel.

Make sure the medicine in the syringe is clear and colorless to slightly yellow.

  • Do not use the syringe if the medicine is cloudy or discolored or contains flakes or particles.
  • Do not use the syringe if any part appears cracked or broken.
  • Do not use the syringe if the syringe has been dropped.
  • Do not use the syringe if the gray needle cap is missing or not securely attached.
  • Do not use the syringe if the expiration date printed on the label has passed.

In all cases, use a new syringe, and call 1-800-77-AMGEN (1-800-772-6436).

C Gather all materials needed for your injection.

Wash your hands thoroughly with soap and water.

On a clean, well-lit work surface, place the:

  • New syringe
  • Alcohol wipes
  • Cotton balls or gauze pads
  • Adhesive bandages
  • Sharps disposal container

D Prepare and clean your injection site.

Only use these injection sites:

  • Your thigh
  • Stomach area (abdomen), except for a two inch area right around your navel
  • Outer area of upper arm (only if someone else is giving you the injection)

Clean your injection site with an alcohol wipe. Let your skin dry.

  • Do not touch this area again before injecting.
  • Do not inject into areas where the skin is tender, bruised, red, or hard. Avoid injecting directly into raised, thick, red, or scaly skin patch or lesion, or areas with scars or stretch marks.

Step 2: Get ready

E Pull gray needle cap straight out and away from your body, only when you are ready to inject. Do not leave the gray needle cap off for more than five minutes. This can dry out the medicine.

It is normal to see a drop of liquid at the end of the needle.

  • Do not twist or bend the gray needle cap.
  • Do not put the gray needle cap back onto the syringe.
  • Do not remove the gray needle cap from the syringe until you are ready to inject.

Important: Throw the gray needle cap into the sharps disposal container.

F Pinch your injection site to create a firm surface.

Pinch skin firmly between your thumb and fingers, creating an area about two inches wide.

Important: Keep skin pinched while injecting.

Step 3: Inject

G Hold the pinch. With the gray needle cap off, insert the syringe into your skin at 45 to 90 degrees.

Do not place your finger on the plunger rod while inserting the needle.

H Place your finger on the plunger rod. Using slow and constant pressure, push the plunger rod all the way down until the prefilled syringe stops moving.

I When done, release your thumb, and gently lift the syringe off of your skin.

Important: When you remove the syringe, if it looks like the medicine is still in the syringe barrel, this means you have not received a full dose. Call your healthcare provider immediately.

Step 4: Finish

J Discard the used syringe and the gray needle cap.

Put the used AIMOVIG syringe and gray needle cap in a FDA-cleared sharps disposal container right away after use. Do not throw away (dispose of) the syringe in your household trash.

If you do not have a FDA-cleared sharps disposal container, you may use a household container that is:

  • Made of a heavy-duty plastic
  • Can be closed with a tight-fitting, puncture-resistant lid, without sharps being able to come out
  • Upright and stable during use
  • Leak-resistant
  • Properly labeled to warn of hazardous waste inside the container

When your sharps disposal container is almost full, you will need to follow your community guidelines for the right way to dispose of your sharps disposal container. There may be state or local laws about how you should throw away used needles and syringes. For more information about safe sharps disposal, and for specific information about sharps disposal in the state that you live in, go to the FDA's website at: http://www.fda.gov/safesharpsdisposal.

  • Do not reuse the syringe.
  • Do not recycle the syringe or sharps disposal container or throw them into household trash.

Important: Always keep the sharps disposal container out of the reach of children.

K Examine the injection site.

If there is blood, press a cotton ball or gauze pad on your injection site. Do not rub the injection site. Apply an adhesive bandage if needed.

For more information, go to www.aimovig.com or call 1-800-77-AMGEN (1-800-772-6436).

AIMOVIG® (erenumab-aooe)

Manufactured by:

Amgen Inc.

One Amgen Center Drive

Thousand Oaks, CA 91320-1799 USA

U.S. License No. 1080

© 2018-2022, 2024 Amgen Inc. All rights reserved.

Symbol table
Do not reuse CAUTION, Prior to use, read the enclosed Instructions For Use for administration information and see package insert for full Prescribing Information Lot number

This Instructions for Use has been approved by the U.S. Food and Drug Administration.

Approved: 8/2024

[partnumber] v7

12.2 Pharmacodynamics

In a randomized, double-blind, placebo-controlled study in healthy volunteers, concomitant administration of erenumab-aooe (140 mg intravenous, single-dose) with sumatriptan (12 mg subcutaneous, given as two 6 mg doses separated by one hour) had no effect on resting blood pressure compared with sumatriptan alone. AIMOVIG is for subcutaneous use only.

12.3 Pharmacokinetics

Erenumab-aooe exhibits non-linear kinetics as a result of binding to the CGRP receptor. The Cmax mean and AUClast mean following subcutaneous administration of a 70 mg once monthly and a 140 mg once monthly dose in healthy volunteers or migraine patients are included in Table 2.

Less than 2-fold accumulation was observed in trough serum concentrations (Cmin) for episodic and chronic migraine patients following subcutaneous administration of 70 mg once monthly and 140 mg once monthly doses (see Table 2). Serum trough concentrations approached steady state by 3 months of dosing. The effective half-life of erenumab-aooe is 28 days.

Table 2: Pharmacokinetic Parameters of AIMOVIG
AIMOVIG 70 mg

Subcutaneously Once Monthly
AIMOVIG 140 mg

Subcutaneously Once Monthly
Cmax mean (SD)
SD = standard deviation
,
from a single-dose study
6.1 (2.1) mcg/mL 15.8 (4.8) mcg/mL
AUClast mean (SD)
,
159 (58) day*mcg/mL 505 (139) day*mcg/mL
Cmin (SD)
  Episodic migraine 5.7 (3.1) mcg/mL 12.8 (6.5) mcg/mL
  Chronic migraine 6.2 (2.9) mcg/mL 14.9 (6.5) mcg/mL
2.1 Recommended Dosing

The recommended dosage of AIMOVIG is 70 mg injected subcutaneously once monthly. Some patients may benefit from a dosage of 140 mg injected subcutaneously once monthly.

If a dose of AIMOVIG is missed, administer as soon as possible. Thereafter, AIMOVIG can be scheduled monthly from the date of the last dose.

1 Indications and Usage (1 INDICATIONS AND USAGE)

AIMOVIG is indicated for the preventive treatment of migraine in adults.

12.1 Mechanism of Action

Erenumab-aooe is a human monoclonal antibody that binds to the calcitonin gene-related peptide (CGRP) receptor and antagonizes CGRP receptor function.

5.4 Raynaud's Phenomenon

Development of Raynaud's phenomenon and recurrence or worsening of pre-existing Raynaud's phenomenon have been reported in the postmarketing setting following the use of CGRP antagonists, including AIMOVIG. In reported cases with monoclonal antibody CGRP antagonists, symptom onset occurred a median of 71 days following dosing. Many of the cases reported serious outcomes, including hospitalizations and disability, generally related to debilitating pain. In most reported cases, discontinuation of the CGRP antagonist resulted in resolution of symptoms.

AIMOVIG should be discontinued if signs or symptoms of Raynaud's phenomenon develop, and patients should be evaluated by a healthcare provider if symptoms do not resolve. Patients with a history of Raynaud's phenomenon should be monitored for, and informed about the possibility of, worsening or recurrence of signs and symptoms.

16.2 Storage and Handling
  • Store refrigerated at 2°C to 8°C (36°F to 46°F) in the original carton to protect from light until time of use.
  • If removed from the refrigerator, AIMOVIG should be kept at room temperature (up to 25°C [77°F]) in the original carton and must be used within 7 days. Throw away AIMOVIG that has been left at room temperature for more than 7 days.
  • Do not freeze.
  • Do not shake.
5 Warnings and Precautions (5 WARNINGS AND PRECAUTIONS)
  • Hypersensitivity Reactions: If a serious hypersensitivity reaction occurs, discontinue administration of AIMOVIG and initiate appropriate therapy. Hypersensitivity reactions can occur within hours to more than one week after administration. (5.1)
  • Constipation with Serious Complications: Serious complications of constipation may occur. (5.2)
  • Hypertension: New-onset or worsening of pre-existing hypertension may occur. (5.3)
  • Raynaud's Phenomenon: New-onset or worsening of pre-existing Raynaud's phenomenon may occur. (5.4)
2 Dosage and Administration (2 DOSAGE AND ADMINISTRATION)
  • For subcutaneous use only (2.1, 2.2)
  • Recommended dosage is 70 mg once monthly; some patients may benefit from a dosage of 140 mg once monthly (2.1)
  • Administer in the abdomen, thigh, or upper arm subcutaneously (2.2)
  • See Dosage and Administration for important administration instructions (2.2)
3 Dosage Forms and Strengths (3 DOSAGE FORMS AND STRENGTHS)

AIMOVIG is a sterile, clear to opalescent, colorless to light yellow solution available as follows:

  • Injection: 70 mg/mL in a single-dose prefilled SureClick® autoinjector
  • Injection: 140 mg/mL in a single-dose prefilled SureClick® autoinjector
  • Injection: 70 mg/mL in a single-dose prefilled syringe
  • Injection: 140 mg/mL in a single-dose prefilled syringe
6.2 Postmarketing Experience

The following adverse reactions have been identified during postapproval use of AIMOVIG. Because these reactions are reported voluntarily from a population of uncertain size, it is not always possible to reliably estimate their frequency or establish a causal relationship to drug exposure.

Immune System Disorders: Hypersensitivity reactions, including rash, angioedema, and anaphylaxis [see Warnings and Precautions (5.1)].

Gastrointestinal Disorders: Constipation with serious complications [see Warnings and Precautions (5.2)], oral mucosal ulceration.

Skin and Subcutaneous Tissue Disorders: Rash, alopecia.

Vascular Disorders: Hypertension [see Warnings and Precautions (5.3)], Raynaud's Phenomenon [see Warnings and Precautions (5.4)].

5.1 Hypersensitivity Reactions

Hypersensitivity reactions, including rash, angioedema, and anaphylaxis, have been reported with AIMOVIG in postmarketing experience. Most hypersensitivity reactions were not serious and occurred within hours of administration, although some occurred more than one week after administration. If a serious or severe hypersensitivity reaction occurs, discontinue administration of AIMOVIG and initiate appropriate therapy [see Contraindications (4), and Patient Counseling Information (17)].

6.1 Clinical Trials Experience

Because clinical trials are conducted under widely varying conditions, adverse reaction rates observed in the clinical trials of a drug cannot be directly compared to rates in the clinical trials of another drug and may not reflect the rates observed in clinical practice.

The safety of AIMOVIG has been evaluated in 2537 patients with migraine who received at least one dose of AIMOVIG, representing 3040.2 patient-years of exposure. Of these, 2271 patients were exposed to 70 mg or 140 mg once monthly for at least 6 months, 1305 patients were exposed for at least 12 months, and 216 patients were exposed through 5 years.

In placebo-controlled clinical studies (Studies 1, 2, and 3) of 2184 patients, 787 patients received at least one dose of AIMOVIG 70 mg once monthly, 507 patients received at least one dose of AIMOVIG 140 mg once monthly, and 890 patients received placebo during 3 months or 6 months of double-blind treatment [see Clinical Studies (14)]. Approximately 84% were female, 91% were white, and the mean age was 42 years at study entry.

The most common adverse reactions (incidence ≥ 3% and more often than placebo) in the migraine studies were injection site reactions and constipation. Table 1 summarizes the adverse reactions that occurred during the first 3 months in the migraine studies (Studies 1, 2, and 3).

Table 1: Adverse Reactions Occurring with an Incidence of at Least 2% for Either Dose of AIMOVIG and at Least 2% Greater than Placebo During the First 3 Months in Studies 1, 2, and 3
Adverse Reaction AIMOVIG

70 mg Once Monthly

N = 787

%
AIMOVIG

140 mg Once Monthly

N = 507

%
Placebo



N = 890

%
Injection site reactions
Injection site reactions include multiple adverse reactions related terms, such as injection site pain and injection site erythema.
,
The rate of injection site reactions reported in Table 1 is with the prefilled syringe.
6 5 3
Constipation 1 3 1
Cramps, muscle spasms < 1 2 < 1

In Studies 1, 2, and 3, 1.3% of patients treated with AIMOVIG 70 mg or 140 mg discontinued double-blind treatment because of adverse events. The most frequent injection site reactions were injection site pain, injection site erythema, and injection site pruritus.

17 Patient Counseling Information (17 PATIENT COUNSELING INFORMATION)

Advise the patient to read the FDA-approved patient labeling (Patient Information and Instructions for Use).

2.2 Important Administration Instructions

AIMOVIG is for subcutaneous use only.

AIMOVIG is intended for patient self-administration. Prior to use, provide proper training to patients and/or caregivers on how to prepare and administer AIMOVIG using the single-dose prefilled autoinjector or single-dose prefilled syringe, including aseptic technique [see Instructions for Use]:

  • Prior to subcutaneous administration, allow AIMOVIG to sit at room temperature for at least 30 minutes protected from direct sunlight [see How Supplied/Storage and Handling (16.2)]. This is important for administering the entire dose and helps minimize discomfort. Do not warm by using a heat source such as hot water or a microwave.
  • Do not shake the product.
  • Inspect visually for particulate matter and discoloration prior to administration [see Dosage Forms and Strengths (3)]. Do not use if the solution is cloudy or discolored or contains flakes or particles.
  • Administer AIMOVIG in the abdomen, thigh, or upper arm subcutaneously. Do not inject into areas where the skin is tender, bruised, red, or hard.
  • Both prefilled autoinjector and prefilled syringe are single-dose and deliver the entire contents.
5.2 Constipation With Serious Complications (5.2 Constipation with Serious Complications)

Constipation with serious complications has been reported following the use of AIMOVIG in the postmarketing setting. There were cases that required hospitalization, including cases where surgery was necessary. In a majority of these cases, the onset of constipation was reported after the first dose of AIMOVIG; however, patients have also presented with constipation later on in treatment. AIMOVIG was discontinued in most reported cases of constipation with serious complications. Constipation was one of the most common (up to 3%) adverse reactions reported in clinical studies [see Adverse Reactions (6.1)].

Monitor patients treated with AIMOVIG for severe constipation and manage as clinically appropriate [see Patient Counseling Information (17)]. The concurrent use of medications associated with decreased gastrointestinal motility may increase the risk for more severe constipation and the potential for constipation-related complications.

Principal Display Panel 70 Mg/ml Syringe Carton (PRINCIPAL DISPLAY PANEL - 70 mg/mL Syringe Carton)

AMGEN®

1 x 70 mg/mL Prefilled Syringe

NDC 55513-840-01

Rx Only

aimovig®

(erenumab-aooe)

Injection

70

mg/mL

70 mg/mL

Single-dose Prefilled Syringe

For Subcutaneous Use Only

Store refrigerated at 2°C to 8°C (36°F to 46°F) in original

carton to protect from light. Do Not Freeze. Do Not Shake.

Before injecting, allow AIMOVIG to sit

at room temperature for at least 30 minutes

with cap on, protected from direct sunlight.

Keep out of the sight and reach of children.

For more information, go to Aimovig.com or

call 1-800-77-AMGEN (1-800-772-6436).

CAUTION, Prior to use,

read the enclosed

Instructions for Use for

administration information

and see package insert for

full Prescribing

Information

Do Not Reuse

Not made with

natural rubber latex

Principal Display Panel 140 Mg/ml Syringe Carton (PRINCIPAL DISPLAY PANEL - 140 mg/mL Syringe Carton)

AMGEN®

1 x 140 mg/mL Prefilled Syringe

NDC 55513-842-01

Rx Only

aimovig®

(erenumab-aooe)

Injection

140

mg/mL = 1

dose

140 mg/mL

Single-dose Prefilled Syringe

For Subcutaneous Use Only

Store refrigerated at 2°C to 8°C (36°F to 46°F) in original

carton to protect from light. Do Not Freeze. Do Not Shake.

Before injecting, allow AIMOVIG to sit at

room temperature for at least 30 minutes

with cap on, protected from direct sunlight.

Keep out of the sight and reach of children.

For more information, go to Aimovig.com or

call 1-800-77-AMGEN (1-800-772-6436).

CAUTION, Prior to use,

read the enclosed

Instructions for Use for

administration information

and see package insert for

full Prescribing Information

Do Not Reuse

Not made with

natural rubber latex

Principal Display Panel 70 Mg/ml Autoinjector Carton (PRINCIPAL DISPLAY PANEL - 70 mg/mL Autoinjector Carton)

1 x 70 mg/mL Prefilled Autoinjector

NDC 55513-841-01

aimovig®

(erenumab-aooe)

Injection

70

mg/mL

Aimovig.com/demo

70 mg/mL

Prefilled Autoinjector

For Subcutaneous Use Only

Store carton in refrigerator at 36°F to 46°F (2°C to 8°C).

Do Not Freeze or Shake.

Store in Carton to Protect from Light. Discard Any

Unused Portion.

Keep out of the sight and reach of children.

Not made with natural rubber latex

No U.S. standard of potency

CAUTION, Consult

Accompanying Documents

Do not re-use

Refrigerate

until ready

to use

Rx Only

AMGEN

Principal Display Panel 140 Mg/ml Autoinjector Carton (PRINCIPAL DISPLAY PANEL - 140 mg/mL Autoinjector Carton)

1 x 140 mg/mL Prefilled Autoinjector

NDC 55513-843-01

aimovig®

(erenumab-aooe)

Injection

140

mg/mL

Aimovig.com/demo

140 mg/mL

Prefilled Autoinjector

For Subcutaneous Use Only

Store carton in refrigerator at 36°F to 46°F (2°C to 8°C).

Do Not Freeze or Shake.

Store in Carton to Protect from Light. Discard Any

Unused Portion.

Keep out of the sight and reach of children.

Not made with natural rubber latex

No U.S. standard of potency

CAUTION, Consult

Accompanying Documents

Do not re-use

Refrigerate

until ready

to use

Rx Only

AMGEN

Principal Display Panel 70 Mg/ml Autoinjector Carton Not for Sale (PRINCIPAL DISPLAY PANEL - 70 mg/mL Autoinjector Carton - Not for Sale)

1 x 70 mg/mL Prefilled Autoinjector

NDC 55513-841-00

aimovig®

(erenumab-aooe)

Injection

70

mg/mL

Aimovig.com/demo

70 mg/mL

Not for Sale

Prefilled Autoinjector

For Subcutaneous Use Only

Store carton in refrigerator at 36°F to 46°F (2°C to 8°C).

Do Not Freeze or Shake.

Store in Carton to Protect from Light. Discard Any

Unused Portion.

Keep out of the sight and reach of children.

Not made with natural rubber latex

No U.S. standard of potency

CAUTION, Consult

Accompanying Documents

Do not re-use

Refrigerate

until ready

to use

Rx Only

AMGEN

Principal Display Panel 140 Mg/ml Autoinjector Carton Not for Sale (PRINCIPAL DISPLAY PANEL - 140 mg/mL Autoinjector Carton - Not for Sale)

1 x 140 mg/mL Prefilled Autoinjector

NDC 55513-843-00

aimovig®

(erenumab-aooe)

Injection

140

mg/mL

Aimovig.com/demo

140 mg/mL

Prefilled Autoinjector

Not for Sale

For Subcutaneous Use Only

Store carton in refrigerator at 36°F to 46°F (2°C to 8°C).

Do Not Freeze or Shake.

Store in Carton to Protect from Light. Discard Any

Unused Portion.

Keep out of the sight and reach of children.

Not made with natural rubber latex

No U.S. standard of potency

CAUTION, Consult

Accompanying Documents

Do not re-use

Refrigerate

until ready

to use

Rx Only

AMGEN


Advanced Ingredient Data


Raw Label Data

All Sections (JSON)