These Highlights Do Not Include All The Information Needed To Use Azithromycin Tablets Safely And Effectively. See Full Prescribing Information For Azithromycin Tablets.

These Highlights Do Not Include All The Information Needed To Use Azithromycin Tablets Safely And Effectively. See Full Prescribing Information For Azithromycin Tablets.
SPL v1
SPL
SPL Set ID b88f5839-8e8b-4bf6-a577-5c8b7cffeec6
Route
ORAL
Published
Effective Date 2023-10-31
Document Type 34391-3 HUMAN PRESCRIPTION DRUG LABEL

Drug Facts

Composition & Product

Active Ingredients
Azithromycin Anhydrous (600 mg)
Inactive Ingredients
Croscarmellose Sodium Dibasic Calcium Phosphate Dihydrate Polyethylene Glycol 3350 Magnesium Stearate Polyvinyl Alcohol, Unspecified Starch, Corn Talc Titanium Dioxide

Identifiers & Packaging

Pill Appearance
Imprint: OE;600 Shape: oval Color: white Size: 19 mm Score: 1
Marketing Status
ANDA Active Since 2024-02-15

Description

Warnings and Precautions, Cardiovascular Death ( 5.5 ) 07/2021

Indications and Usage

Azithromycin is a macrolide antibacterial drug indicated for the treatment of patients with mild to moderate infections caused by susceptible strains of the designated microorganisms in the specific conditions listed below.

Dosage and Administration

[see Indications and Usage (1) ] Azithromycin can be taken with or without food. However, increased tolerability has been observed when tablets are taken with food. For pediatric suspension see the prescribing information for azithromycin for oral suspension 100 mg/5 mL and 200 mg/5 mL bottles.

Warnings and Precautions

Serious (including fatal) allergic and skin reactions. Discontinue azithromycin and initiate appropriate therapy if reaction occurs. ( 5.1 ) Hepatotoxicity: Discontinue azithromycin immediately if signs and symptoms of hepatitis occur. ( 5.2 ) Infantile Hypertrophic Pyloric Stenosis (IHPS): Following the use of azithromycin in neonates (treatment up to 42 days of life), IHPS has been reported. Direct parents and caregivers to contact their physician if vomiting or irritability with feeding occurs. ( 5.3 ) Prolongation of QT interval and cases of torsades de pointes have been reported. This risk which can be fatal should be considered in patients with certain cardiovascular disorders including known QT prolongation or history torsades de pointes, those with proarrhythmic conditions, and with other drugs that prolong the QT interval. ( 5.4 ) Cardiovascular Death: Some observational studies have shown an approximately two-fold increased short-term potential risk of acute cardiovascular death in adults exposed to azithromycin relative to other antibacterial drugs, including amoxicillin. Consider balancing this potential risk with treatment benefits when prescribing azithromycin. ( 5.5 ) Clostridium difficile -Associated Diarrhea: Evaluate patients if diarrhea occurs. ( 5.6 ) Azithromycin may exacerbate muscle weakness in persons with myasthenia gravis. ( 5.7 )

Contraindications

Patients with known hypersensitivity to azithromycin, erythromycin, any macrolide, or ketolide antibiotic. ( 4.1 ) Patients with a history of cholestatic jaundice/hepatic dysfunction associated with prior use of azithromycin. ( 4.2 )

Adverse Reactions

The following clinically significant adverse reactions are described elsewhere in labeling: Hypersensitivity [see Warnings and Precautions (5.1) ] Hepatotoxicity [see Warnings and Precautions (5.2) ] Infantile Hypertrophic Pyloric Stenosis (IHPS) [see Warnings and Precautions (5.3) ] QT Prolongation [see Warnings and Precautions (5.4) ] Cardiovascular Death [see Warnings and Precautions (5.5) ] Clostridiodes difficile-Associated Diarrhea (CDAD) [see Warnings and Precautions (5.6) ] Exacerbation of Myasthenia Gravis [see Warnings and Precautions (5.7) ]

Drug Interactions

Nelfinavir: Close monitoring for known side effects of azithromycin, such as liver enzyme abnormalities and hearing impairment, is warranted. ( 7.1 ) Warfarin: Use with azithromycin may increase coagulation times; monitor prothrombin time. ( 7.2 )

Storage and Handling

Azithromycin Tablets USP, 600 mg (debossed "OE" on one side and "600" on the other side) are supplied as white, oval-shaped, film coated tablets containing azithromycin dihydrate equivalent to 600 mg azithromycin. These are packaged in bottles of 30 tablets: Bottles of 30 tablets with child-resistant closure NDC 68094-690-30

How Supplied

Azithromycin Tablets USP, 600 mg (debossed "OE" on one side and "600" on the other side) are supplied as white, oval-shaped, film coated tablets containing azithromycin dihydrate equivalent to 600 mg azithromycin. These are packaged in bottles of 30 tablets: Bottles of 30 tablets with child-resistant closure NDC 68094-690-30


Medication Information

Warnings and Precautions

Serious (including fatal) allergic and skin reactions. Discontinue azithromycin and initiate appropriate therapy if reaction occurs. ( 5.1 ) Hepatotoxicity: Discontinue azithromycin immediately if signs and symptoms of hepatitis occur. ( 5.2 ) Infantile Hypertrophic Pyloric Stenosis (IHPS): Following the use of azithromycin in neonates (treatment up to 42 days of life), IHPS has been reported. Direct parents and caregivers to contact their physician if vomiting or irritability with feeding occurs. ( 5.3 ) Prolongation of QT interval and cases of torsades de pointes have been reported. This risk which can be fatal should be considered in patients with certain cardiovascular disorders including known QT prolongation or history torsades de pointes, those with proarrhythmic conditions, and with other drugs that prolong the QT interval. ( 5.4 ) Cardiovascular Death: Some observational studies have shown an approximately two-fold increased short-term potential risk of acute cardiovascular death in adults exposed to azithromycin relative to other antibacterial drugs, including amoxicillin. Consider balancing this potential risk with treatment benefits when prescribing azithromycin. ( 5.5 ) Clostridium difficile -Associated Diarrhea: Evaluate patients if diarrhea occurs. ( 5.6 ) Azithromycin may exacerbate muscle weakness in persons with myasthenia gravis. ( 5.7 )

Indications and Usage

Azithromycin is a macrolide antibacterial drug indicated for the treatment of patients with mild to moderate infections caused by susceptible strains of the designated microorganisms in the specific conditions listed below.

Dosage and Administration

[see Indications and Usage (1) ] Azithromycin can be taken with or without food. However, increased tolerability has been observed when tablets are taken with food. For pediatric suspension see the prescribing information for azithromycin for oral suspension 100 mg/5 mL and 200 mg/5 mL bottles.

Contraindications

Patients with known hypersensitivity to azithromycin, erythromycin, any macrolide, or ketolide antibiotic. ( 4.1 ) Patients with a history of cholestatic jaundice/hepatic dysfunction associated with prior use of azithromycin. ( 4.2 )

Adverse Reactions

The following clinically significant adverse reactions are described elsewhere in labeling: Hypersensitivity [see Warnings and Precautions (5.1) ] Hepatotoxicity [see Warnings and Precautions (5.2) ] Infantile Hypertrophic Pyloric Stenosis (IHPS) [see Warnings and Precautions (5.3) ] QT Prolongation [see Warnings and Precautions (5.4) ] Cardiovascular Death [see Warnings and Precautions (5.5) ] Clostridiodes difficile-Associated Diarrhea (CDAD) [see Warnings and Precautions (5.6) ] Exacerbation of Myasthenia Gravis [see Warnings and Precautions (5.7) ]

Drug Interactions

Nelfinavir: Close monitoring for known side effects of azithromycin, such as liver enzyme abnormalities and hearing impairment, is warranted. ( 7.1 ) Warfarin: Use with azithromycin may increase coagulation times; monitor prothrombin time. ( 7.2 )

Storage and Handling

Azithromycin Tablets USP, 600 mg (debossed "OE" on one side and "600" on the other side) are supplied as white, oval-shaped, film coated tablets containing azithromycin dihydrate equivalent to 600 mg azithromycin. These are packaged in bottles of 30 tablets: Bottles of 30 tablets with child-resistant closure NDC 68094-690-30

How Supplied

Azithromycin Tablets USP, 600 mg (debossed "OE" on one side and "600" on the other side) are supplied as white, oval-shaped, film coated tablets containing azithromycin dihydrate equivalent to 600 mg azithromycin. These are packaged in bottles of 30 tablets: Bottles of 30 tablets with child-resistant closure NDC 68094-690-30

Description

Warnings and Precautions, Cardiovascular Death ( 5.5 ) 07/2021

Section 42229-5

Prophylaxis of Disseminated Mycobacterium avium complex (MAC) Disease

Azithromycin tablets, taken alone or in combination with rifabutin at its approved dose, are indicated for the prevention of disseminated MAC disease in persons with advanced HIV infection. [see Dosage and Administration (2)]

Section 43683-2
Warnings and Precautions, Cardiovascular Death (5.5) 07/2021
Section 44425-7

Storage

Store at 20° to 25°C (68° to 77°F); excursions permitted from 15° to 30°C (59° to 86°F) [see USP Controlled Room Temperature].

Dispense in tight containers (USP).

1.3 Usage

To reduce the development of drug-resistant bacteria and maintain the effectiveness of azithromycin tablets and other antibacterial drugs, azithromycin tablets should be used only to treat infections that are proven or strongly suspected to be caused by susceptible bacteria. When culture and susceptibility information are available, they should be considered in selecting or modifying antibacterial therapy. In the absence of such data, local epidemiology and susceptibility patterns may contribute to the empiric selection of therapy.

7.2 Warfarin

Spontaneous postmarketing reports suggest that concomitant administration of azithromycin may potentiate the effects of oral anticoagulants such as warfarin, although the prothrombin time was not affected in the dedicated drug interaction study with azithromycin and warfarin. Prothrombin times should be carefully monitored while patients are receiving azithromycin and oral anticoagulants concomitantly.

10 Overdosage

Adverse reactions experienced in higher than recommended doses were similar to those seen at normal doses. In the event of overdosage, general symptomatic and supportive measures are indicated as required.

15 References
  • Griffith DE, Aksamit T, Brown-Elliot BA, et al. An official ATS/IDSA statement: Diagnosis, treatment, and prevention of nontuberculous mycobacterial diseases. Am J Respir Crit Care Med. 2007; 175:367-416.
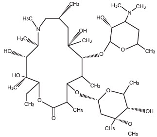
11 Description

Azithromycin tablets, USP contain the active ingredient azithromycin, a macrolide antibacterial drug, for oral administration. Azithromycin has the chemical name (2R,3S,4R,5R,8R,10R,11R,12S,13S,14R)-13-[(2,6-dideoxy-3-C-methyl-3-O-methyl-α-L-ribo-hexopyranosyl)oxy]-2-ethyl-3,4,10-trihydroxy-3,5,6,8,10,12,14-heptamethyl-11-[[3,4,6-trideoxy-3-(dimethylamino)-β-D-xylo-hexopyranosyl] oxy]-1-oxa-6-azacyclopentadecan-15-one. Azithromycin is derived from erythromycin; however, it differs chemically from erythromycin in that a methyl-substituted nitrogen atom is incorporated into the lactone ring. Its molecular formula is C38H72N2O12, and its molecular weight is 749.0. Azithromycin has the following structural formula:

Azithromycin, as the dihydrate, is a white crystalline powder with a molecular formula of C38H72N2O12∙2H2O and a molecular weight of 785.0.

Azithromycin tablets, USP contain azithromycin dihydrate equivalent to 600 mg azithromycin. They also contain the following inactive ingredients: croscarmellose sodium, dibasic calcium phosphate anhydrous, magnesium stearate, pregelatinized starch, and an aqueous film coat of macrogol/PEG, polyvinyl alcohol, talc, and titanium dioxide.

7.1 Nelfinavir

Co-administration of nelfinavir at steady-state with a single oral dose of azithromycin resulted in increased azithromycin serum concentrations. Although a dose adjustment of azithromycin is not recommended when administered in combination with nelfinavir, close monitoring for known adverse reactions of azithromycin, such as liver enzyme abnormalities and hearing impairment, is warranted. [see Adverse Reactions (6)]

8.4 Pediatric Use

In controlled clinical studies, azithromycin has been administered to pediatric patients ranging in age from 6 months to 12 years. For information regarding the use of azithromycin for oral suspension in the treatment of pediatric patients, [see Indications and Usage (1) and Dosage and Administration (2)] of the prescribing information for azithromycin for oral suspension 100 mg/ 5 mL and 200 mg/5 mL bottles.

8.5 Geriatric Use

In multiple-dose clinical trials of oral azithromycin, 9% of patients were at least 65 years of age (458/4,949) and 3% of patients (144/4,949) were at least 75 years of age. No overall differences in safety or effectiveness were observed between these subjects and younger subjects, and other reported clinical experience has not identified differences in responses between the elderly and younger patients, but greater sensitivity of some older individuals cannot be ruled out.

Elderly patients may be more susceptible to development of torsades de pointes arrhythmias than younger patients. [see Warnings and Precautions (5.4)]

Azithromycin 600 mg tablets contain 2.1 mg of sodium per tablet.

5.2 Hepatotoxicity

Abnormal liver function, hepatitis, cholestatic jaundice, hepatic necrosis, and hepatic failure have been reported, some of which have resulted in death. Discontinue azithromycin immediately if signs and symptoms of hepatitis occur.

4 Contraindications
  • Patients with known hypersensitivity to azithromycin, erythromycin, any macrolide, or ketolide antibiotic. (4.1)
  • Patients with a history of cholestatic jaundice/hepatic dysfunction associated with prior use of azithromycin. (4.2)
5.4 Qt Prolongation

Prolonged cardiac repolarization and QT interval, imparting a risk of developing cardiac arrhythmia and torsades de pointes, have been seen with treatment with macrolides, including azithromycin. Cases of torsades de pointes have been spontaneously reported during postmarketing surveillance in patients receiving azithromycin. Providers should consider the risk of QT prolongation which can be fatal when weighing the risks and benefits of azithromycin for at-risk groups including:

  • patients with known prolongation of the QT interval, a history of torsades de pointes, congenital long QT syndrome, bradyarrhythmias or uncompensated heart failure
  • patients on drugs known to prolong the QT interval
  • patients with ongoing proarrhythmic conditions such as uncorrected hypokalemia or hypomagnesemia, clinically significant bradycardia, and in patients receiving Class IA (quinidine, procainamide) or Class III (dofetilide, amiodarone, sotalol) antiarrhythmic agents.

Elderly patients may be more susceptible to drug-associated effects on the QT interval.

6 Adverse Reactions

The following clinically significant adverse reactions are described elsewhere in labeling:

7 Drug Interactions
  • Nelfinavir: Close monitoring for known side effects of azithromycin, such as liver enzyme abnormalities and hearing impairment, is warranted. (7.1)
  • Warfarin: Use with azithromycin may increase coagulation times; monitor prothrombin time. (7.2)
4.1 Hypersensitivity

Azithromycin tablets are contraindicated in patients with known hypersensitivity to azithromycin, erythromycin, any macrolide, or ketolide drug.

5.1 Hypersensitivity

Serious allergic reactions, including angioedema, anaphylaxis, and dermatologic reactions including Acute Generalized Exanthematous Pustulosis (AGEP), Stevens-Johnson Syndrome, and toxic epidermal necrolysis, have been reported rarely in patients on azithromycin therapy. [see Contraindications (4.1)]

Fatalities have been reported. Cases of Drug Reaction with Eosinophilia and Systemic Symptoms (DRESS) have also been reported. Despite initially successful symptomatic treatment of the allergic symptoms, when symptomatic therapy was discontinued, the allergic symptoms recurred soon thereafter in some patients without further azithromycin exposure. These patients required prolonged periods of observation and symptomatic treatment. The relationship of these episodes to the long tissue half-life of azithromycin and subsequent prolonged exposure to antigen is presently unknown.

If an allergic reaction occurs, the drug should be discontinued and appropriate therapy should be instituted. Physicians should be aware that allergic symptoms may reappear when symptomatic therapy is discontinued.

12.2 Pharmacodynamics

Based on animal models of infection, the antibacterial activity of azithromycin appears to correlate with the ratio of area under the concentration-time curve to minimum inhibitory concentration (AUC/MIC) for certain pathogens (S. pneumoniae and S. aureus).

The principal pharmacokinetic/pharmacodynamic parameter best associated with clinical and microbiological cure has not been elucidated in clinical trials with azithromycin.

12.3 Pharmacokinetics

The pharmacokinetic parameters of azithromycin in plasma after dosing as per labeled recommendations in healthy young adults and asymptomatic HIV-positive adults (age 18 to 40 years old) are portrayed in the following chart:

MEAN (CV%) PK PARAMETER
DOSE/DOSAGE FORM

(serum, except as indicated)
Subjects Day No. Cmax

(mcg/mL)
Tmax

(hr)
C24

(mcg/mL)
AUC

(mcg∙hr/mL)


(hr)
Urinary Excretion

(% of dose)
500 mg/250 mg capsule 12 1 0.41 2.5 0.05 2.6
AUC0-24;
4.5
and 250 mg on Days 2 to 5 12 5 0.24 3.2 0.05 2.1
6.5
1,200 mg/600 mg tablets 12 1 0.66 2.5 0.074 6.8
0-last.
40
%CV (62%) (79%) (49%) (64%) (33%)
600 mg tablet/day 7 1 0.33 2.0 0.039 2.4
%CV 25% (50%) (36%) (19%)
7 22 0.55 2.1 0.14 5.8
84.5 -
%CV (18%) (52%) (26%) (25%) -
600 mg tablet/day (leukocytes) 7 22 252 10.9 146 4,763
82.8 -
%CV (49%) (28%) (33%) (42%) - -

With a regimen of 500 mg on Day 1 and 250 mg/day on Days 2 to 5, Cmin and Cmax remained essentially unchanged from Day 2 through Day 5 of therapy. However, without a loading dose, azithromycin Cmin levels required 5 to 7 days to reach steady state.

In asymptomatic HIV-positive adult subjects receiving 600 mg azithromycin tablets once daily for 22 days, steady state azithromycin serum levels were achieved by Day 15 of dosing.

The high values in adults for apparent steady-state volume of distribution (31.1 L/kg) and plasma clearance (630 mL/min) suggest that the prolonged half-life is due to extensive uptake and subsequent release of drug from tissues.

13.2 Animal Toxicology

Phospholipidosis (intracellular phospholipid accumulation) has been observed in some tissues of mice, rats, and dogs given multiple doses of azithromycin. It has been demonstrated in numerous organ systems (e.g., eye, dorsal root ganglia, liver, gallbladder, kidney, spleen, and/or pancreas) in dogs and rats treated with azithromycin at doses which, expressed on the basis of body surface area, are similar to or less than the highest recommended adult human dose. This effect has been shown to be reversible after cessation of azithromycin treatment. Based on the pharmacokinetic data, phospholipidosis has been seen in the rat (50 mg/kg/day dose) at the observed maximal plasma concentration of 1.3 mcg/mL (1.6 times the observed Cmax of 0.821 mcg/mL at the adult dose of 2 g). Similarly, it has been shown in the dog (10 mg/kg/day dose) at the observed maximal serum concentration of 1 mcg/mL (1.2 times the observed Cmax of 0.821 mcg/mL at the adult dose of 2 g).

Phospholipidosis was also observed in neonatal rats dosed for 18 days at 30 mg/kg/day, which is less than the pediatric dose of 60 mg/kg based on the surface area. It was not observed in neonatal rats treated for 10 days at 40 mg/kg/day with mean maximal serum concentrations of 1.86 mcg/mL, approximately 1.5 times the Cmax of 1.27 mcg/mL at the pediatric dose. Phospholipidosis has been observed in neonatal dogs (10 mg/kg/day) at maximum mean whole blood concentrations of 3.54 mcg/mL, approximately 3 times the pediatric dose Cmax.

The significance of the finding for animals and for humans is unknown.

1 Indications and Usage

Azithromycin is a macrolide antibacterial drug indicated for the treatment of patients with mild to moderate infections caused by susceptible strains of the designated microorganisms in the specific conditions listed below.

4.2 Hepatic Dysfunction

Azithromycin tablets are contraindicated in patients with a history of cholestatic jaundice/hepatic dysfunction associated with prior use of azithromycin.

12.1 Mechanism of Action

Azithromycin is a macrolide antibacterial drug. [see Microbiology (12.4)]

5.5 Cardiovascular Death

Some observational studies have shown an approximately two-fold increased short-term potential risk of acute cardiovascular death in adults exposed to azithromycin relative to other antibacterial drugs, including amoxicillin. The five-day cardiovascular mortality observed in these studies ranged from 20 to 400 per million azithromycin treatment courses. This potential risk was noted to be greater during the first five days of azithromycin use and does not appear to be limited to those patients with preexisting cardiovascular diseases. The data in these observational studies are insufficient to establish or exclude a causal relationship between acute cardiovascular death and azithromycin use. Consider balancing this potential risk with treatment benefits when prescribing azithromycin.

5.6 Clostridium Difficile

CDAD has been reported with use of nearly all antibacterial agents, including azithromycin, and may range in severity from mild diarrhea to fatal colitis. Treatment with antibacterial agents alters the normal flora of the colon, leading to overgrowth of C. difficile.

C. difficile produces toxins A and B which contribute to the development of CDAD. Hypertoxin-producing strains of C. difficile cause increased morbidity and mortality, as these infections can be refractory to antibacterial therapy and may require colectomy. CDAD must be considered in all patients who present with diarrhea following antibiotic use. Careful medical history is necessary since CDAD has been reported to occur over two months after the administration of antibacterial agents.

If CDAD is suspected or confirmed, ongoing antibiotic use not directed against C. difficile may need to be discontinued. Appropriate fluid and electrolyte management, protein supplementation, antibiotic treatment of C. difficile, and surgical evaluation should be instituted as clinically indicated.

5 Warnings and Precautions
  • Serious (including fatal) allergic and skin reactions. Discontinue azithromycin and initiate appropriate therapy if reaction occurs. (5.1)
  • Hepatotoxicity: Discontinue azithromycin immediately if signs and symptoms of hepatitis occur. (5.2)
  • Infantile Hypertrophic Pyloric Stenosis (IHPS): Following the use of azithromycin in neonates (treatment up to 42 days of life), IHPS has been reported. Direct parents and caregivers to contact their physician if vomiting or irritability with feeding occurs. (5.3)
  • Prolongation of QT interval and cases of torsades de pointes have been reported. This risk which can be fatal should be considered in patients with certain cardiovascular disorders including known QT prolongation or history torsades de pointes, those with proarrhythmic conditions, and with other drugs that prolong the QT interval. (5.4)
  • Cardiovascular Death: Some observational studies have shown an approximately two-fold increased short-term potential risk of acute cardiovascular death in adults exposed to azithromycin relative to other antibacterial drugs, including amoxicillin. Consider balancing this potential risk with treatment benefits when prescribing azithromycin. (5.5)
  • Clostridium difficile-Associated Diarrhea: Evaluate patients if diarrhea occurs. (5.6)
  • Azithromycin may exacerbate muscle weakness in persons with myasthenia gravis. (5.7)
2 Dosage and Administration

[see Indications and Usage (1)]

Azithromycin can be taken with or without food. However, increased tolerability has been observed when tablets are taken with food.

For pediatric suspension see the prescribing information for azithromycin for oral suspension 100 mg/5 mL and 200 mg/5 mL bottles.

3 Dosage Forms and Strengths

Azithromycin Tablets USP, 600 mg (debossed "OE" on one side and "600" on the other side) are supplied as white, oval-shaped, film coated tablets containing azithromycin dihydrate equivalent to 600 mg azithromycin.

6.2 Postmarketing Experience

The following adverse reactions have been identified during post approval use of azithromycin. Because these reactions are reported voluntarily from a population of uncertain size, it is not always possible to reliably estimate their frequency or establish a causal relationship to drug exposure.

Adverse reactions reported with azithromycin during the postmarketing period in adult and/or pediatric patients for which a causal relationship may not be established include:

Allergic: Arthralgia, edema, urticaria, and angioedema.

Cardiovascular: Arrhythmias including ventricular tachycardia and hypotension. There have been reports of QT prolongation and torsades de pointes, and cardiovascular death.

Gastrointestinal: Anorexia, constipation, dyspepsia, flatulence, vomiting/diarrhea, pseudomembranous colitis, pancreatitis, oral candidiasis, pyloric stenosis, and tongue discoloration.

General: Asthenia, paresthesia, fatigue, malaise, and anaphylaxis.

Genitourinary: Interstitial nephritis, acute renal failure, and vaginitis.

Hematopoietic: Thrombocytopenia.

Liver/Biliary: Abnormal liver function, hepatitis, cholestatic jaundice, hepatic necrosis, and hepatic failure. [see Warnings and Precautions (5.2)]

Nervous System: Convulsions, dizziness/vertigo, headache, somnolence, hyperactivity, nervousness, agitation, and syncope.

Psychiatric: Aggressive reaction and anxiety.

Skin/Appendages: Pruritus, and serious skin reactions including erythema multiforme, AGEP, Stevens-Johnson Syndrome, toxic epidermal necrolysis, and DRESS.

Special Senses: Hearing disturbances including hearing loss, deafness, and/or tinnitus, and reports of taste/smell perversion and/or loss.

6.3 Laboratory Abnormalities

Significant abnormalities (irrespective of drug relationship) occurring during the clinical trials were reported as follows:

  • With an incidence of 1% to 2%, elevated serum creatine phosphokinase, potassium, ALT (SGPT), GGT, and AST (SGOT).
  • With an incidence of less than 1%, leukopenia, neutropenia, decreased platelet count, elevated serum alkaline phosphatase, bilirubin, BUN, creatinine, blood glucose, LDH, and phosphate.

When follow-up was provided, changes in laboratory tests appeared to be reversible.

In multiple-dose clinical trials involving more than 3,000 patients, 3 patients discontinued therapy because of treatment-related liver enzyme abnormalities and 1 because of a renal function abnormality.

In a phase 1 drug interaction study performed in normal volunteers, 1 of 6 subjects given the combination of azithromycin and rifabutin, 1 of 7 given rifabutin alone, and 0 of 6 given azithromycin alone developed a clinically significant neutropenia (< 500 cells/mm3).

Laboratory abnormalities seen in clinical trials for the prevention of disseminated Mycobacterium avium disease in severely immunocompromised HIV-infected patients. [see Clinical Studies (14)]

Chronic therapy (median duration: 87.5 days, range: 1 to 229 days) that resulted in laboratory abnormalities in > 5% of subjects with normal baseline values in the pivotal trial for treatment of disseminated MAC in severely immunocompromised HIV-infected patients treated with azithromycin 600 mg daily in combination with ethambutol include: a reduction in absolute neutrophils to < 50% of the lower limit of normal (10/52, 19%) and an increase to five times the upper limit of normal in alkaline phosphatase (3/35, 9%). These findings in subjects with normal baseline values are similar when compared to all subjects for analyses of neutrophil reductions (22/75, 29%) and elevated alkaline phosphatase (16/80, 20%). Causality of these laboratory abnormalities due to the use of study drug has not been established.

8 Use in Specific Populations
  • Pediatric Use: Safety and effectiveness in the treatment of patients under 6 months of age have not been established. (8.4)
  • Geriatric Use: Elderly patients may be more susceptible to development of torsades de pointes arrhythmias. (8.5)
6.1 Clinical Trials Experience

Because clinical trials are conducted under widely varying conditions, adverse reaction rates observed in the clinical trials of a drug cannot be directly compared to rates in the clinical trials of another drug and may not reflect the rates observed in practice.

In clinical trials, most of the reported adverse reactions were mild to moderate in severity and were reversible upon discontinuation of the drug. Approximately 0.7% of the patients from the multiple-dose clinical trials discontinued azithromycin therapy because of treatment-related adverse reactions. Serious adverse reactions included angioedema and cholestatic jaundice. Most of the adverse reactions leading to discontinuation were related to the gastrointestinal tract, e.g., nausea, vomiting, diarrhea, or abdominal pain. [see Clinical Studies (14)]

17 Patient Counseling Information

Azithromycin tablets may be taken with or without food. However, increased tolerability has been observed when tablets are taken with food.

Patients should also be cautioned not to take aluminum- and magnesium-containing antacids and azithromycin simultaneously.

The patient should be directed to discontinue azithromycin immediately and contact a physician if any signs of an allergic reaction occur.

Direct parents or caregivers to contact their physician if vomiting and irritability with feeding occurs in the infant.

Patients should be counseled that antibacterial drugs, including azithromycin, should only be used to treat bacterial infections. They do not treat viral infections (e.g., the common cold). When azithromycin is prescribed to treat bacterial infection, patients should be told that although it is common to feel better early in the course of therapy, the medication should be taken exactly as directed. Skipping doses or not completing the full course of therapy may (1) decrease the effectiveness of the immediate treatment and (2) increase the likelihood that bacteria will develop resistance and will not be treatable by azithromycin or other antibacterial drugs in the future.

Diarrhea is a common problem caused by antibacterial which usually ends when the antibiotic is discontinued. Sometimes after starting treatment with antibacterials, patients can develop watery and bloody stools (with or without stomach cramps and fever) even as late as two or more months after having taken the last dose of the antibacterial. If this occurs, patients should contact their physician as soon as possible.

16 How Supplied/storage and Handling

Azithromycin Tablets USP, 600 mg (debossed "OE" on one side and "600" on the other side) are supplied as white, oval-shaped, film coated tablets containing azithromycin dihydrate equivalent to 600 mg azithromycin. These are packaged in bottles of 30 tablets:

Bottles of 30 tablets with child-resistant closure NDC 68094-690-30
5.7 Exacerbation of Myasthenia Gravis

Exacerbations of symptoms of myasthenia gravis and new onset of myasthenic syndrome have been reported in patients receiving azithromycin therapy.

5.8 Development of Drug Resistant Bacteria

Prescribing azithromycin in the absence of a proven or strongly suspected bacterial infection or a prophylactic indication is unlikely to provide benefit to the patient and increases the risk of the development of drug-resistant bacteria.

5.3 Infantile Hypertrophic Pyloric Stenosis (ihps)

Following the use of azithromycin in neonates (treatment up to 42 days of life), IHPS has been reported. Direct parents and caregivers to contact their physician if vomiting or irritability with feeding occurs.

7.3 Potential Drug Drug Interaction With Macrolides

Interactions with digoxin, colchicine or phenytoin have not been reported in clinical trials with azithromycin. No specific drug interaction studies have been performed to evaluate potential drug-drug interaction. However, drug interactions have been observed with other macrolide products. Until further data are developed regarding drug interactions when digoxin, colchicine or phenytoin are used with azithromycin careful monitoring of patients is advised.

Principal Display Panel 600 Mg Tablet Bottle Label

NDC 68094-690-30

Azithromycin

Tablets, USP

600 mg

CSPC

PrecisionDose

30 Tablets

Rx only

13.1 Carcinogenesis, Mutagenesis, Impairment of Fertility

Long-term studies in animals have not been performed to evaluate carcinogenic potential. Azithromycin has shown no mutagenic potential in standard laboratory tests: mouse lymphoma assay, human lymphocyte clastogenic assay, and mouse bone marrow clastogenic assay. In fertility studies conducted in male and female rats, oral administration of azithromycin for 64 to 66 days (males) or 15 days (females) prior to and during cohabitation resulted in decreased pregnancy rate at 20 mg/kg/day and 30 mg/kg/day when both males and females were treated with azithromycin. This minimal effect on pregnancy rate (approximately 12% reduction compared to concurrent controls) did not become more pronounced when the dose was increased from 20 mg/kg/day to 30 mg/kg/day (approximately 0.3 to 0.5 times the adult human daily dose of 600 mg based on body surface area) and it was not observed when only one animal in the mated pair was treated. There were no effects on any other reproductive parameters, and there were no effects on fertility at 10 mg/kg/day. The relevance of these findings to patients being treated with azithromycin at the doses and durations recommended in the prescribing information is uncertain.

14.1 Clinical Studies in Patients With Advanced Hiv Infection for the Prevention and Treatment of Disease Due to Disseminated Mycobacterium Avium

Structured Label Content

Section 42229-5 (42229-5)

Prophylaxis of Disseminated Mycobacterium avium complex (MAC) Disease

Azithromycin tablets, taken alone or in combination with rifabutin at its approved dose, are indicated for the prevention of disseminated MAC disease in persons with advanced HIV infection. [see Dosage and Administration (2)]

Section 43683-2 (43683-2)
Warnings and Precautions, Cardiovascular Death (5.5) 07/2021
Section 44425-7 (44425-7)

Storage

Store at 20° to 25°C (68° to 77°F); excursions permitted from 15° to 30°C (59° to 86°F) [see USP Controlled Room Temperature].

Dispense in tight containers (USP).

1.3 Usage

To reduce the development of drug-resistant bacteria and maintain the effectiveness of azithromycin tablets and other antibacterial drugs, azithromycin tablets should be used only to treat infections that are proven or strongly suspected to be caused by susceptible bacteria. When culture and susceptibility information are available, they should be considered in selecting or modifying antibacterial therapy. In the absence of such data, local epidemiology and susceptibility patterns may contribute to the empiric selection of therapy.

7.2 Warfarin

Spontaneous postmarketing reports suggest that concomitant administration of azithromycin may potentiate the effects of oral anticoagulants such as warfarin, although the prothrombin time was not affected in the dedicated drug interaction study with azithromycin and warfarin. Prothrombin times should be carefully monitored while patients are receiving azithromycin and oral anticoagulants concomitantly.

10 Overdosage (10 OVERDOSAGE)

Adverse reactions experienced in higher than recommended doses were similar to those seen at normal doses. In the event of overdosage, general symptomatic and supportive measures are indicated as required.

15 References (15 REFERENCES)
  • Griffith DE, Aksamit T, Brown-Elliot BA, et al. An official ATS/IDSA statement: Diagnosis, treatment, and prevention of nontuberculous mycobacterial diseases. Am J Respir Crit Care Med. 2007; 175:367-416.
11 Description (11 DESCRIPTION)

Azithromycin tablets, USP contain the active ingredient azithromycin, a macrolide antibacterial drug, for oral administration. Azithromycin has the chemical name (2R,3S,4R,5R,8R,10R,11R,12S,13S,14R)-13-[(2,6-dideoxy-3-C-methyl-3-O-methyl-α-L-ribo-hexopyranosyl)oxy]-2-ethyl-3,4,10-trihydroxy-3,5,6,8,10,12,14-heptamethyl-11-[[3,4,6-trideoxy-3-(dimethylamino)-β-D-xylo-hexopyranosyl] oxy]-1-oxa-6-azacyclopentadecan-15-one. Azithromycin is derived from erythromycin; however, it differs chemically from erythromycin in that a methyl-substituted nitrogen atom is incorporated into the lactone ring. Its molecular formula is C38H72N2O12, and its molecular weight is 749.0. Azithromycin has the following structural formula:

Azithromycin, as the dihydrate, is a white crystalline powder with a molecular formula of C38H72N2O12∙2H2O and a molecular weight of 785.0.

Azithromycin tablets, USP contain azithromycin dihydrate equivalent to 600 mg azithromycin. They also contain the following inactive ingredients: croscarmellose sodium, dibasic calcium phosphate anhydrous, magnesium stearate, pregelatinized starch, and an aqueous film coat of macrogol/PEG, polyvinyl alcohol, talc, and titanium dioxide.

7.1 Nelfinavir

Co-administration of nelfinavir at steady-state with a single oral dose of azithromycin resulted in increased azithromycin serum concentrations. Although a dose adjustment of azithromycin is not recommended when administered in combination with nelfinavir, close monitoring for known adverse reactions of azithromycin, such as liver enzyme abnormalities and hearing impairment, is warranted. [see Adverse Reactions (6)]

8.4 Pediatric Use

In controlled clinical studies, azithromycin has been administered to pediatric patients ranging in age from 6 months to 12 years. For information regarding the use of azithromycin for oral suspension in the treatment of pediatric patients, [see Indications and Usage (1) and Dosage and Administration (2)] of the prescribing information for azithromycin for oral suspension 100 mg/ 5 mL and 200 mg/5 mL bottles.

8.5 Geriatric Use

In multiple-dose clinical trials of oral azithromycin, 9% of patients were at least 65 years of age (458/4,949) and 3% of patients (144/4,949) were at least 75 years of age. No overall differences in safety or effectiveness were observed between these subjects and younger subjects, and other reported clinical experience has not identified differences in responses between the elderly and younger patients, but greater sensitivity of some older individuals cannot be ruled out.

Elderly patients may be more susceptible to development of torsades de pointes arrhythmias than younger patients. [see Warnings and Precautions (5.4)]

Azithromycin 600 mg tablets contain 2.1 mg of sodium per tablet.

5.2 Hepatotoxicity

Abnormal liver function, hepatitis, cholestatic jaundice, hepatic necrosis, and hepatic failure have been reported, some of which have resulted in death. Discontinue azithromycin immediately if signs and symptoms of hepatitis occur.

4 Contraindications (4 CONTRAINDICATIONS)
  • Patients with known hypersensitivity to azithromycin, erythromycin, any macrolide, or ketolide antibiotic. (4.1)
  • Patients with a history of cholestatic jaundice/hepatic dysfunction associated with prior use of azithromycin. (4.2)
5.4 Qt Prolongation (5.4 QT Prolongation)

Prolonged cardiac repolarization and QT interval, imparting a risk of developing cardiac arrhythmia and torsades de pointes, have been seen with treatment with macrolides, including azithromycin. Cases of torsades de pointes have been spontaneously reported during postmarketing surveillance in patients receiving azithromycin. Providers should consider the risk of QT prolongation which can be fatal when weighing the risks and benefits of azithromycin for at-risk groups including:

  • patients with known prolongation of the QT interval, a history of torsades de pointes, congenital long QT syndrome, bradyarrhythmias or uncompensated heart failure
  • patients on drugs known to prolong the QT interval
  • patients with ongoing proarrhythmic conditions such as uncorrected hypokalemia or hypomagnesemia, clinically significant bradycardia, and in patients receiving Class IA (quinidine, procainamide) or Class III (dofetilide, amiodarone, sotalol) antiarrhythmic agents.

Elderly patients may be more susceptible to drug-associated effects on the QT interval.

6 Adverse Reactions (6 ADVERSE REACTIONS)

The following clinically significant adverse reactions are described elsewhere in labeling:

7 Drug Interactions (7 DRUG INTERACTIONS)
  • Nelfinavir: Close monitoring for known side effects of azithromycin, such as liver enzyme abnormalities and hearing impairment, is warranted. (7.1)
  • Warfarin: Use with azithromycin may increase coagulation times; monitor prothrombin time. (7.2)
4.1 Hypersensitivity

Azithromycin tablets are contraindicated in patients with known hypersensitivity to azithromycin, erythromycin, any macrolide, or ketolide drug.

5.1 Hypersensitivity

Serious allergic reactions, including angioedema, anaphylaxis, and dermatologic reactions including Acute Generalized Exanthematous Pustulosis (AGEP), Stevens-Johnson Syndrome, and toxic epidermal necrolysis, have been reported rarely in patients on azithromycin therapy. [see Contraindications (4.1)]

Fatalities have been reported. Cases of Drug Reaction with Eosinophilia and Systemic Symptoms (DRESS) have also been reported. Despite initially successful symptomatic treatment of the allergic symptoms, when symptomatic therapy was discontinued, the allergic symptoms recurred soon thereafter in some patients without further azithromycin exposure. These patients required prolonged periods of observation and symptomatic treatment. The relationship of these episodes to the long tissue half-life of azithromycin and subsequent prolonged exposure to antigen is presently unknown.

If an allergic reaction occurs, the drug should be discontinued and appropriate therapy should be instituted. Physicians should be aware that allergic symptoms may reappear when symptomatic therapy is discontinued.

12.2 Pharmacodynamics

Based on animal models of infection, the antibacterial activity of azithromycin appears to correlate with the ratio of area under the concentration-time curve to minimum inhibitory concentration (AUC/MIC) for certain pathogens (S. pneumoniae and S. aureus).

The principal pharmacokinetic/pharmacodynamic parameter best associated with clinical and microbiological cure has not been elucidated in clinical trials with azithromycin.

12.3 Pharmacokinetics

The pharmacokinetic parameters of azithromycin in plasma after dosing as per labeled recommendations in healthy young adults and asymptomatic HIV-positive adults (age 18 to 40 years old) are portrayed in the following chart:

MEAN (CV%) PK PARAMETER
DOSE/DOSAGE FORM

(serum, except as indicated)
Subjects Day No. Cmax

(mcg/mL)
Tmax

(hr)
C24

(mcg/mL)
AUC

(mcg∙hr/mL)


(hr)
Urinary Excretion

(% of dose)
500 mg/250 mg capsule 12 1 0.41 2.5 0.05 2.6
AUC0-24;
4.5
and 250 mg on Days 2 to 5 12 5 0.24 3.2 0.05 2.1
6.5
1,200 mg/600 mg tablets 12 1 0.66 2.5 0.074 6.8
0-last.
40
%CV (62%) (79%) (49%) (64%) (33%)
600 mg tablet/day 7 1 0.33 2.0 0.039 2.4
%CV 25% (50%) (36%) (19%)
7 22 0.55 2.1 0.14 5.8
84.5 -
%CV (18%) (52%) (26%) (25%) -
600 mg tablet/day (leukocytes) 7 22 252 10.9 146 4,763
82.8 -
%CV (49%) (28%) (33%) (42%) - -

With a regimen of 500 mg on Day 1 and 250 mg/day on Days 2 to 5, Cmin and Cmax remained essentially unchanged from Day 2 through Day 5 of therapy. However, without a loading dose, azithromycin Cmin levels required 5 to 7 days to reach steady state.

In asymptomatic HIV-positive adult subjects receiving 600 mg azithromycin tablets once daily for 22 days, steady state azithromycin serum levels were achieved by Day 15 of dosing.

The high values in adults for apparent steady-state volume of distribution (31.1 L/kg) and plasma clearance (630 mL/min) suggest that the prolonged half-life is due to extensive uptake and subsequent release of drug from tissues.

13.2 Animal Toxicology

Phospholipidosis (intracellular phospholipid accumulation) has been observed in some tissues of mice, rats, and dogs given multiple doses of azithromycin. It has been demonstrated in numerous organ systems (e.g., eye, dorsal root ganglia, liver, gallbladder, kidney, spleen, and/or pancreas) in dogs and rats treated with azithromycin at doses which, expressed on the basis of body surface area, are similar to or less than the highest recommended adult human dose. This effect has been shown to be reversible after cessation of azithromycin treatment. Based on the pharmacokinetic data, phospholipidosis has been seen in the rat (50 mg/kg/day dose) at the observed maximal plasma concentration of 1.3 mcg/mL (1.6 times the observed Cmax of 0.821 mcg/mL at the adult dose of 2 g). Similarly, it has been shown in the dog (10 mg/kg/day dose) at the observed maximal serum concentration of 1 mcg/mL (1.2 times the observed Cmax of 0.821 mcg/mL at the adult dose of 2 g).

Phospholipidosis was also observed in neonatal rats dosed for 18 days at 30 mg/kg/day, which is less than the pediatric dose of 60 mg/kg based on the surface area. It was not observed in neonatal rats treated for 10 days at 40 mg/kg/day with mean maximal serum concentrations of 1.86 mcg/mL, approximately 1.5 times the Cmax of 1.27 mcg/mL at the pediatric dose. Phospholipidosis has been observed in neonatal dogs (10 mg/kg/day) at maximum mean whole blood concentrations of 3.54 mcg/mL, approximately 3 times the pediatric dose Cmax.

The significance of the finding for animals and for humans is unknown.

1 Indications and Usage (1 INDICATIONS AND USAGE)

Azithromycin is a macrolide antibacterial drug indicated for the treatment of patients with mild to moderate infections caused by susceptible strains of the designated microorganisms in the specific conditions listed below.

4.2 Hepatic Dysfunction

Azithromycin tablets are contraindicated in patients with a history of cholestatic jaundice/hepatic dysfunction associated with prior use of azithromycin.

12.1 Mechanism of Action

Azithromycin is a macrolide antibacterial drug. [see Microbiology (12.4)]

5.5 Cardiovascular Death

Some observational studies have shown an approximately two-fold increased short-term potential risk of acute cardiovascular death in adults exposed to azithromycin relative to other antibacterial drugs, including amoxicillin. The five-day cardiovascular mortality observed in these studies ranged from 20 to 400 per million azithromycin treatment courses. This potential risk was noted to be greater during the first five days of azithromycin use and does not appear to be limited to those patients with preexisting cardiovascular diseases. The data in these observational studies are insufficient to establish or exclude a causal relationship between acute cardiovascular death and azithromycin use. Consider balancing this potential risk with treatment benefits when prescribing azithromycin.

5.6 Clostridium Difficile (5.6 Clostridium difficile)

CDAD has been reported with use of nearly all antibacterial agents, including azithromycin, and may range in severity from mild diarrhea to fatal colitis. Treatment with antibacterial agents alters the normal flora of the colon, leading to overgrowth of C. difficile.

C. difficile produces toxins A and B which contribute to the development of CDAD. Hypertoxin-producing strains of C. difficile cause increased morbidity and mortality, as these infections can be refractory to antibacterial therapy and may require colectomy. CDAD must be considered in all patients who present with diarrhea following antibiotic use. Careful medical history is necessary since CDAD has been reported to occur over two months after the administration of antibacterial agents.

If CDAD is suspected or confirmed, ongoing antibiotic use not directed against C. difficile may need to be discontinued. Appropriate fluid and electrolyte management, protein supplementation, antibiotic treatment of C. difficile, and surgical evaluation should be instituted as clinically indicated.

5 Warnings and Precautions (5 WARNINGS AND PRECAUTIONS)
  • Serious (including fatal) allergic and skin reactions. Discontinue azithromycin and initiate appropriate therapy if reaction occurs. (5.1)
  • Hepatotoxicity: Discontinue azithromycin immediately if signs and symptoms of hepatitis occur. (5.2)
  • Infantile Hypertrophic Pyloric Stenosis (IHPS): Following the use of azithromycin in neonates (treatment up to 42 days of life), IHPS has been reported. Direct parents and caregivers to contact their physician if vomiting or irritability with feeding occurs. (5.3)
  • Prolongation of QT interval and cases of torsades de pointes have been reported. This risk which can be fatal should be considered in patients with certain cardiovascular disorders including known QT prolongation or history torsades de pointes, those with proarrhythmic conditions, and with other drugs that prolong the QT interval. (5.4)
  • Cardiovascular Death: Some observational studies have shown an approximately two-fold increased short-term potential risk of acute cardiovascular death in adults exposed to azithromycin relative to other antibacterial drugs, including amoxicillin. Consider balancing this potential risk with treatment benefits when prescribing azithromycin. (5.5)
  • Clostridium difficile-Associated Diarrhea: Evaluate patients if diarrhea occurs. (5.6)
  • Azithromycin may exacerbate muscle weakness in persons with myasthenia gravis. (5.7)
2 Dosage and Administration (2 DOSAGE AND ADMINISTRATION)

[see Indications and Usage (1)]

Azithromycin can be taken with or without food. However, increased tolerability has been observed when tablets are taken with food.

For pediatric suspension see the prescribing information for azithromycin for oral suspension 100 mg/5 mL and 200 mg/5 mL bottles.

3 Dosage Forms and Strengths (3 DOSAGE FORMS AND STRENGTHS)

Azithromycin Tablets USP, 600 mg (debossed "OE" on one side and "600" on the other side) are supplied as white, oval-shaped, film coated tablets containing azithromycin dihydrate equivalent to 600 mg azithromycin.

6.2 Postmarketing Experience

The following adverse reactions have been identified during post approval use of azithromycin. Because these reactions are reported voluntarily from a population of uncertain size, it is not always possible to reliably estimate their frequency or establish a causal relationship to drug exposure.

Adverse reactions reported with azithromycin during the postmarketing period in adult and/or pediatric patients for which a causal relationship may not be established include:

Allergic: Arthralgia, edema, urticaria, and angioedema.

Cardiovascular: Arrhythmias including ventricular tachycardia and hypotension. There have been reports of QT prolongation and torsades de pointes, and cardiovascular death.

Gastrointestinal: Anorexia, constipation, dyspepsia, flatulence, vomiting/diarrhea, pseudomembranous colitis, pancreatitis, oral candidiasis, pyloric stenosis, and tongue discoloration.

General: Asthenia, paresthesia, fatigue, malaise, and anaphylaxis.

Genitourinary: Interstitial nephritis, acute renal failure, and vaginitis.

Hematopoietic: Thrombocytopenia.

Liver/Biliary: Abnormal liver function, hepatitis, cholestatic jaundice, hepatic necrosis, and hepatic failure. [see Warnings and Precautions (5.2)]

Nervous System: Convulsions, dizziness/vertigo, headache, somnolence, hyperactivity, nervousness, agitation, and syncope.

Psychiatric: Aggressive reaction and anxiety.

Skin/Appendages: Pruritus, and serious skin reactions including erythema multiforme, AGEP, Stevens-Johnson Syndrome, toxic epidermal necrolysis, and DRESS.

Special Senses: Hearing disturbances including hearing loss, deafness, and/or tinnitus, and reports of taste/smell perversion and/or loss.

6.3 Laboratory Abnormalities

Significant abnormalities (irrespective of drug relationship) occurring during the clinical trials were reported as follows:

  • With an incidence of 1% to 2%, elevated serum creatine phosphokinase, potassium, ALT (SGPT), GGT, and AST (SGOT).
  • With an incidence of less than 1%, leukopenia, neutropenia, decreased platelet count, elevated serum alkaline phosphatase, bilirubin, BUN, creatinine, blood glucose, LDH, and phosphate.

When follow-up was provided, changes in laboratory tests appeared to be reversible.

In multiple-dose clinical trials involving more than 3,000 patients, 3 patients discontinued therapy because of treatment-related liver enzyme abnormalities and 1 because of a renal function abnormality.

In a phase 1 drug interaction study performed in normal volunteers, 1 of 6 subjects given the combination of azithromycin and rifabutin, 1 of 7 given rifabutin alone, and 0 of 6 given azithromycin alone developed a clinically significant neutropenia (< 500 cells/mm3).

Laboratory abnormalities seen in clinical trials for the prevention of disseminated Mycobacterium avium disease in severely immunocompromised HIV-infected patients. [see Clinical Studies (14)]

Chronic therapy (median duration: 87.5 days, range: 1 to 229 days) that resulted in laboratory abnormalities in > 5% of subjects with normal baseline values in the pivotal trial for treatment of disseminated MAC in severely immunocompromised HIV-infected patients treated with azithromycin 600 mg daily in combination with ethambutol include: a reduction in absolute neutrophils to < 50% of the lower limit of normal (10/52, 19%) and an increase to five times the upper limit of normal in alkaline phosphatase (3/35, 9%). These findings in subjects with normal baseline values are similar when compared to all subjects for analyses of neutrophil reductions (22/75, 29%) and elevated alkaline phosphatase (16/80, 20%). Causality of these laboratory abnormalities due to the use of study drug has not been established.

8 Use in Specific Populations (8 USE IN SPECIFIC POPULATIONS)
  • Pediatric Use: Safety and effectiveness in the treatment of patients under 6 months of age have not been established. (8.4)
  • Geriatric Use: Elderly patients may be more susceptible to development of torsades de pointes arrhythmias. (8.5)
6.1 Clinical Trials Experience

Because clinical trials are conducted under widely varying conditions, adverse reaction rates observed in the clinical trials of a drug cannot be directly compared to rates in the clinical trials of another drug and may not reflect the rates observed in practice.

In clinical trials, most of the reported adverse reactions were mild to moderate in severity and were reversible upon discontinuation of the drug. Approximately 0.7% of the patients from the multiple-dose clinical trials discontinued azithromycin therapy because of treatment-related adverse reactions. Serious adverse reactions included angioedema and cholestatic jaundice. Most of the adverse reactions leading to discontinuation were related to the gastrointestinal tract, e.g., nausea, vomiting, diarrhea, or abdominal pain. [see Clinical Studies (14)]

17 Patient Counseling Information (17 PATIENT COUNSELING INFORMATION)

Azithromycin tablets may be taken with or without food. However, increased tolerability has been observed when tablets are taken with food.

Patients should also be cautioned not to take aluminum- and magnesium-containing antacids and azithromycin simultaneously.

The patient should be directed to discontinue azithromycin immediately and contact a physician if any signs of an allergic reaction occur.

Direct parents or caregivers to contact their physician if vomiting and irritability with feeding occurs in the infant.

Patients should be counseled that antibacterial drugs, including azithromycin, should only be used to treat bacterial infections. They do not treat viral infections (e.g., the common cold). When azithromycin is prescribed to treat bacterial infection, patients should be told that although it is common to feel better early in the course of therapy, the medication should be taken exactly as directed. Skipping doses or not completing the full course of therapy may (1) decrease the effectiveness of the immediate treatment and (2) increase the likelihood that bacteria will develop resistance and will not be treatable by azithromycin or other antibacterial drugs in the future.

Diarrhea is a common problem caused by antibacterial which usually ends when the antibiotic is discontinued. Sometimes after starting treatment with antibacterials, patients can develop watery and bloody stools (with or without stomach cramps and fever) even as late as two or more months after having taken the last dose of the antibacterial. If this occurs, patients should contact their physician as soon as possible.

16 How Supplied/storage and Handling (16 HOW SUPPLIED/STORAGE AND HANDLING)

Azithromycin Tablets USP, 600 mg (debossed "OE" on one side and "600" on the other side) are supplied as white, oval-shaped, film coated tablets containing azithromycin dihydrate equivalent to 600 mg azithromycin. These are packaged in bottles of 30 tablets:

Bottles of 30 tablets with child-resistant closure NDC 68094-690-30
5.7 Exacerbation of Myasthenia Gravis

Exacerbations of symptoms of myasthenia gravis and new onset of myasthenic syndrome have been reported in patients receiving azithromycin therapy.

5.8 Development of Drug Resistant Bacteria (5.8 Development of Drug-Resistant Bacteria)

Prescribing azithromycin in the absence of a proven or strongly suspected bacterial infection or a prophylactic indication is unlikely to provide benefit to the patient and increases the risk of the development of drug-resistant bacteria.

5.3 Infantile Hypertrophic Pyloric Stenosis (ihps) (5.3 Infantile Hypertrophic Pyloric Stenosis (IHPS))

Following the use of azithromycin in neonates (treatment up to 42 days of life), IHPS has been reported. Direct parents and caregivers to contact their physician if vomiting or irritability with feeding occurs.

7.3 Potential Drug Drug Interaction With Macrolides (7.3 Potential Drug-Drug Interaction with Macrolides)

Interactions with digoxin, colchicine or phenytoin have not been reported in clinical trials with azithromycin. No specific drug interaction studies have been performed to evaluate potential drug-drug interaction. However, drug interactions have been observed with other macrolide products. Until further data are developed regarding drug interactions when digoxin, colchicine or phenytoin are used with azithromycin careful monitoring of patients is advised.

Principal Display Panel 600 Mg Tablet Bottle Label (PRINCIPAL DISPLAY PANEL - 600 mg Tablet Bottle Label)

NDC 68094-690-30

Azithromycin

Tablets, USP

600 mg

CSPC

PrecisionDose

30 Tablets

Rx only

13.1 Carcinogenesis, Mutagenesis, Impairment of Fertility

Long-term studies in animals have not been performed to evaluate carcinogenic potential. Azithromycin has shown no mutagenic potential in standard laboratory tests: mouse lymphoma assay, human lymphocyte clastogenic assay, and mouse bone marrow clastogenic assay. In fertility studies conducted in male and female rats, oral administration of azithromycin for 64 to 66 days (males) or 15 days (females) prior to and during cohabitation resulted in decreased pregnancy rate at 20 mg/kg/day and 30 mg/kg/day when both males and females were treated with azithromycin. This minimal effect on pregnancy rate (approximately 12% reduction compared to concurrent controls) did not become more pronounced when the dose was increased from 20 mg/kg/day to 30 mg/kg/day (approximately 0.3 to 0.5 times the adult human daily dose of 600 mg based on body surface area) and it was not observed when only one animal in the mated pair was treated. There were no effects on any other reproductive parameters, and there were no effects on fertility at 10 mg/kg/day. The relevance of these findings to patients being treated with azithromycin at the doses and durations recommended in the prescribing information is uncertain.

14.1 Clinical Studies in Patients With Advanced Hiv Infection for the Prevention and Treatment of Disease Due to Disseminated Mycobacterium Avium (14.1 Clinical Studies in Patients with Advanced HIV Infection for the Prevention and Treatment of Disease Due to Disseminated Mycobacterium avium)

Advanced Ingredient Data


Raw Label Data

All Sections (JSON)