Clindamycin And Benzoyl Peroxide Gel,  1%/5%

Clindamycin And Benzoyl Peroxide Gel,  1%/5%
SPL v1
SPL
SPL Set ID b7ba182e-4e36-4ea5-b9bb-5efa7e3f67d0
Route
TOPICAL
Published
Effective Date 2025-10-07
Document Type 34391-3 HUMAN PRESCRIPTION DRUG LABEL

Drug Facts

Composition & Product

Active Ingredients
Clindamycin (10 mg) Benzoyl Peroxide (50 mg)
Inactive Ingredients
Carbomer Homopolymer Type C Limonene, (+)- Docusate Sodium Phosphoric Acid Propylene Glycol Water Sodium Hydroxide

Identifiers & Packaging

Marketing Status
ANDA Active Since 2025-10-07

Description

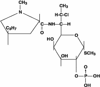
Clindamycin and Benzoyl Peroxide Gel, 1%/5% contains clindamycin phosphate, (7(S)-chloro-7-deoxylincomycin-2-phosphate). Clindamycin phosphate is a water soluble ester of the semi-synthetic antibiotic produced by a 7(S)-chloro-substitution of the 7(R)-hydroxyl group of the parent antibiotic lincomycin. Chemically, clindamycin phosphate is (C 18 H 34 ClN 2 O 8 PS). The structural formula for clindamycin is represented below: Clindamycin phosphate has molecular weight of 504.97 and its chemical name is Methyl 7-chloro-6,7, 8-trideoxy-6-(1-methyl-trans- 4-propyl-L-2-pyrrolidinecarboxamido) -1-thio-L- threo-alpha-D- galacto-octopyranoside 2-(dihydrogen phosphate). Clindamycin and benzoyl peroxide gel, 1%/5%also contains benzoyl peroxide, for topical use. Chemically, benzoyl peroxide is (C 14 H 10 O 4 ). It has the following structural formula: Benzoyl peroxide has a molecular weight of 242.23. Each gram of clindamycin and benzoyl peroxide gel, 1%/5% contains, as dispensed, 10 mg (1%) clindamycin as phosphate and 50 mg (5%) benzoyl peroxide in a base of carbopol 980, d-limonene, docusate sodium solution, phosphoric acid, propylene glycol, purified water and sodium hydroxide.

Indications and Usage

Clindamycin and Benzoyl Peroxide Gel, 1%/5% is indicated for the topical treatment of acne vulgaris.

Dosage and Administration

Clindamycin and Benzoyl Peroxide Gel, 1%/5%  should be applied twice daily, morning and evening, or as directed by a physician, to affected areas after the skin is gently washed, rinsed with warm water and patted dry.

Contraindications

Clindamycin and benzoyl peroxide gel, 1%/5% is contraindicated in those individuals who have shown hypersensitivity to any of its components or to lincomycin. It is also contraindicated in those having a history of regional enteritis, ulcerative colitis, or antibiotic-associated colitis.

Adverse Reactions

During clinical trials, the most frequently reported adverse event in the clindamycin and benzoyl peroxide gel, 1%/5% treatment group was dry skin (12%). The Table below lists local adverse events reported by at least 1% of patients in the clindamycin and benzoyl peroxide gel, 1%/5% and vehicle groups. Local Adverse Events - all causalities in >/= 1% of patients  Clindamycin and Benzoyl Peroxide Gel, 1%/5% n = 420 Vehicle n = 168  Application site reaction 13 (3%) 1 (<1%)  Dry skin   50 (12%)  10 (6%)  Pruritus  8 (2%)  1 (<1%)  Peeling  9 (2%)  -  Erythema  6 (1%)  1 (<1%)  Sunburn 5 (1%) - The actual incidence of dry skin might have been greater were it not for the use of a moisturizer in these studies. Anaphylaxis, as well as allergic reactions leading to hospitalization, have been reported during post-marketing use of clindamycin/benzoyl peroxide products. Because these reactions are reported voluntarily from a population of uncertain size, it is not always possible to reliably estimate their frequency or establish a causal relationship to drug exposure.

How Supplied

Size (Net Weight) NDC Benzoyl Peroxide Gel Clindamycin Phosphate Solution (In plastic bottle) 25 grams 21922-068-43 20 grams 5 grams 35 grams (pump) 21922-068-44 28 grams 7 grams 50 grams 21922-068-45 40 grams 10 grams 50 grams (pump) 21922-068-46 40 grams 10 grams Prior to dispensing, add the solution in the bottle to the gel and stir until homogenous in appearance (1 to 1½ minutes). For the 35 and 50 gram pumps only, reassemble jar with pump dispenser. Clindamycin and Benzoyl Peroxide Gel, 1%/5% (as reconstituted) can be stored at room temperature up to 25°C (77°F) for 3 months. Place a 3 month expiration date on the label immediately following mixing. Store at room temperature up to 25°C (77°F) [See USP]. Do not freeze. Keep tightly closed. Keep out of the reach of children. Call your doctor for medical advice about side effects. You may report side effects to Encube Ethicals Pvt. Ltd. 1-833-285-4151 or FDA at 1-800-FDA-108 Prescribing Information as of July 2017. Rx Only Manufactured by: Encube Ethicals Pvt. Ltd. Plot No. C-1, Madkaim Industrial Estate, Madkaim, Post: Mardol, Ponda, Goa - 403 404, India. Distributed by: Encube Ethicals, Inc. 200 Meredith Drive, Suite 202 Durham, NC 27713 USA Rev.: 06/2023


Medication Information

Indications and Usage

Clindamycin and Benzoyl Peroxide Gel, 1%/5% is indicated for the topical treatment of acne vulgaris.

Dosage and Administration

Clindamycin and Benzoyl Peroxide Gel, 1%/5%  should be applied twice daily, morning and evening, or as directed by a physician, to affected areas after the skin is gently washed, rinsed with warm water and patted dry.

Contraindications

Clindamycin and benzoyl peroxide gel, 1%/5% is contraindicated in those individuals who have shown hypersensitivity to any of its components or to lincomycin. It is also contraindicated in those having a history of regional enteritis, ulcerative colitis, or antibiotic-associated colitis.

Adverse Reactions

During clinical trials, the most frequently reported adverse event in the clindamycin and benzoyl peroxide gel, 1%/5% treatment group was dry skin (12%). The Table below lists local adverse events reported by at least 1% of patients in the clindamycin and benzoyl peroxide gel, 1%/5% and vehicle groups.

Local Adverse Events - all causalities

in >/= 1% of patients 

Clindamycin and Benzoyl

Peroxide Gel, 1%/5%

n = 420

Vehicle

n = 168

 Application site reaction

13 (3%)

1 (<1%) 

Dry skin 

 50 (12%)

 10 (6%)

 Pruritus

 8 (2%)

 1 (<1%)

 Peeling

 9 (2%)

 -

 Erythema

 6 (1%)

 1 (<1%)

 Sunburn

5 (1%)

-

The actual incidence of dry skin might have been greater were it not for the use of a moisturizer in these studies.

Anaphylaxis, as well as allergic reactions leading to hospitalization, have been reported during post-marketing use of clindamycin/benzoyl peroxide products. Because these reactions are reported voluntarily from a population of uncertain size, it is not always possible to reliably estimate their frequency or establish a causal relationship to drug exposure.

How Supplied

Size (Net Weight) NDC Benzoyl Peroxide Gel Clindamycin Phosphate Solution (In plastic bottle) 25 grams 21922-068-43 20 grams 5 grams 35 grams (pump) 21922-068-44 28 grams 7 grams 50 grams 21922-068-45 40 grams 10 grams 50 grams (pump) 21922-068-46 40 grams 10 grams Prior to dispensing, add the solution in the bottle to the gel and stir until homogenous in appearance (1 to 1½ minutes). For the 35 and 50 gram pumps only, reassemble jar with pump dispenser. Clindamycin and Benzoyl Peroxide Gel, 1%/5% (as reconstituted) can be stored at room temperature up to 25°C (77°F) for 3 months. Place a 3 month expiration date on the label immediately following mixing. Store at room temperature up to 25°C (77°F) [See USP]. Do not freeze. Keep tightly closed. Keep out of the reach of children. Call your doctor for medical advice about side effects. You may report side effects to Encube Ethicals Pvt. Ltd. 1-833-285-4151 or FDA at 1-800-FDA-108 Prescribing Information as of July 2017. Rx Only Manufactured by: Encube Ethicals Pvt. Ltd. Plot No. C-1, Madkaim Industrial Estate, Madkaim, Post: Mardol, Ponda, Goa - 403 404, India. Distributed by: Encube Ethicals, Inc. 200 Meredith Drive, Suite 202 Durham, NC 27713 USA Rev.: 06/2023

Description

Clindamycin and Benzoyl Peroxide Gel, 1%/5% contains clindamycin phosphate, (7(S)-chloro-7-deoxylincomycin-2-phosphate). Clindamycin phosphate is a water soluble ester of the semi-synthetic antibiotic produced by a 7(S)-chloro-substitution of the 7(R)-hydroxyl group of the parent antibiotic lincomycin.

Chemically, clindamycin phosphate is (C18H34ClN2O8PS). The structural formula for clindamycin is represented below:

Clindamycin phosphate has molecular weight of 504.97 and its chemical name is Methyl 7-chloro-6,7, 8-trideoxy-6-(1-methyl-trans- 4-propyl-L-2-pyrrolidinecarboxamido) -1-thio-L- threo-alpha-D- galacto-octopyranoside 2-(dihydrogen phosphate).

Clindamycin and benzoyl peroxide gel, 1%/5%also contains benzoyl peroxide, for topical use.

Chemically, benzoyl peroxide is (C14H10O4). It has the following structural formula:

Benzoyl peroxide has a molecular weight of 242.23.

Each gram of clindamycin and benzoyl peroxide gel, 1%/5% contains, as dispensed, 10 mg (1%) clindamycin as phosphate and 50 mg (5%) benzoyl peroxide in a base of carbopol 980, d-limonene, docusate sodium solution, phosphoric acid, propylene glycol, purified water and sodium hydroxide.

General

For dermatological use only; not for ophthalmic use. Concomitant topical acne therapy should be used with caution because a possible cumulative irritancy effect may occur, especially with the use of peeling, desquamating, or abrasive agents.

The use of antibiotic agents may be associated with the overgrowth of nonsusceptible organisms including fungi. If this occurs, discontinue use of this medication and take appropriate measures. Avoid contact with eyes and mucous membranes. Clindamycin and erythromycin containing products should not be used in combination. In vitro studies have shown antagonism between these two antimicrobials. The clinical significance of this in vitro antagonism is not known.

Warnings

ORALLY AND PARENTERALLY ADMINISTERED CLINDAMYCIN HAS BEEN ASSOCIATED WITH SEVERE COLITIS WHICH MAY RESULT IN PATIENT DEATH. USE OF THE TOPICAL FORMULATION OF CLINDAMYCIN RESULTS IN ABSORPTION OF THE ANTIBIOTIC FROM THE SKIN SURFACE. DIARRHEA, BLOODY DIARRHEA, AND COLITIS (INCLUDING PSEUDOMEMBRANOUS COLITIS) HAVE BEEN REPORTED WITH THE USE OF TOPICAL AND SYSTEMIC CLINDAMYCIN. STUDIES INDICATE A TOXIN(S) PRODUCED BY CLOSTRIDIA IS ONE PRIMARY CAUSE OF ANTIBIOTIC- ASSOCIATED COLITIS. THE COLITIS IS USUALLY CHARACTERIZED BY SEVERE PERSISTENT DIARRHEA AND SEVERE ABDOMINAL CRAMPS AND MAY BE ASSOCIATED WITH THE PASSAGE OF BLOOD AND MUCUS. ENDOSCOPIC EXAMINATION MAY REVEAL PSEUDOMEMBRANOUS COLITIS. STOOL CULTURE FOR Clostridium Difficile AND STOOL ASSAY FOR C.difficile TOXIN MAY BE HELPFUL DIAGNOSTICALLY. WHEN SIGNIFICANT DIARRHEA OCCURS, THE DRUG SHOULD BE DISCONTINUED. LARGE BOWEL ENDOSCOPY SHOULD BE CONSIDERED TO ESTABLISH A DEFINITIVE DIAGNOSIS IN CASES OF SEVERE DIARRHEA. ANTIPERISTALTIC AGENTS SUCH AS OPIATES AND DIPHENOXYLATE WITH ATROPINE MAY PROLONG AND/OR WORSEN THE CONDITION. DIARRHEA, COLITIS, AND PSEUDOMEMBRANOUS COLITIS HAVE BEEN OBSERVED TO BEGIN UP TO SEVERAL WEEKS FOLLOWING CESSATION OF ORAL AND PARENTERAL THERAPY WITH CLINDAMYCIN.

Mild cases of pseudomembranous colitis usually respond to drug discontinuation alone. In moderate to severe cases, consideration should be given to management with fluids and electrolytes, protein supplementation and treatment with an antibacterial drug clinically effective against C. difficile colitis.

Microbiology

The clindamycin and benzoyl peroxide components individually have been shown to have in vitro activity against Propionibacterium acnes an organism which has been associated with acne vulgaris; however, the clinical significance of this activity against P. acnes was not examined in clinical trials with this product.

Nursing Women

It is not known whether clindamycin and benzoyl peroxide gel, 1%/5% is excreted in human milk after topical application. However, orally and parenterally administered clindamycin has been reported to appear in breast milk. Because of the potential for serious adverse reactions in nursing infants, a decision should be made whether to discontinue nursing or to discontinue the drug, taking into account the importance of the drug to the mother.

Pediatric Use

Safety and effectiveness of this product in pediatric patients below the age of 12 have not been established.

Clinical Studies

In two adequate and well controlled clinical studies of 758 patients, 214 used clindamycin and benzoyl peroxide gel, 1%/5%, 210 used benzoyl peroxide, 168 used clindamycin, and 166 used vehicle. Clindamycin and benzoyl peroxide gel, 1%/5% applied twice daily for 10 weeks was significantly more effective than vehicle in the treatment of moderate to moderately severe facial acne vulgaris. Patients were evaluated and acne lesions counted at each clinical visit; weeks 2, 4, 6, 8 and 10. The primary efficacy measures were the lesion counts and the investigator’s global assessment evaluated at week 10. Patients were instructed to wash the face with a mild soap, using only the hands. Fifteen minutes after the face was thoroughly dry, application was made to the entire face. Non-medicated make-up could be applied at one hour after the clindamycin and benzoyl peroxide gel, 1%/5% application. If a moisturizer was required, the patients were provided a moisturizer to be used as needed. Patients were instructed to avoid sun exposure. Percent reductions in lesion counts after treatment for 10 weeks in these two studies are shown below:

Study 1
Clindamycin and Benzoyl Peroxide Gel,1%/5%n=120 Benzoyl

peroxide

n=120
Clindamycin

n=120
Vehicle

N=120

Mean percent reduction in inflammatory lesion counts

46%

32%

16%

+ 3%

Mean percent reduction in non-inflammatory lesion counts

22%

22%

9%

+1%

Mean percent reduction in total lesion counts

36%

28%

15%

0.2%

Study 2

Clindamycin and

Benzoyl Peroxide Gel,

1%/5%

n=95

Benzoyl

peroxide

n=95

Clindamycin

n=49

Vehicle

N=48

Mean percent reduction in inflammatory lesion counts

63%

53%

45%

42%

Mean percent reduction in non-inflammatory lesion counts

54%

50%

39%

36%

Mean percent reduction in total lesion counts

58%

52%

42%

39%

The clindamycin and benzoyl peroxide gel, 1%/5% group showed greater overall improvement than the benzoyl peroxide, clindamycin and vehicle groups as rated by the investigator.

Pharmacokinetics

The pharmacokinetics (plasma and urine) of clindamycin from clindamycin and benzoyl peroxide gel, 1%/5% was studied in male and female patients (n=13) with acne vulgaris. Clindamycin and benzoyl peroxide gel, 1%/5% (~2g) was applied topically to the face and back twice daily for four and a half (4.5) days. Quantifiable (>LOQ=1ng/mL) clindamycin plasma concentrations were obtained in six of thirteen subjects (46.2%) on Day 1 and twelve of thirteen subjects (92.3%) on Day 5. Peak plasma concentrations (Cmax) of clindamycin ranged from 1.47 ng/mL to 2.77 ng/mL on Day 1 and 1.43 ng/mL to 7.18 ng/mL on Day 5. The AUC (0-12h) ranged from 2.74 ng.h/mL to 12.86 ng.h/mL on Day 1 and 11.4 ng.h/mL to 69.7 ng.h/mL on Day 5.

The amount of clindamycin excreted in the urine during the 12 hour dosing interval increased from a mean (SD) of 5745 (3130) ng on Day 1 to 12069 (7660) ng on Day 5. The mean % (SD) of the administered dose that was excreted in the urine ranged from 0.03% (0.02) to 0.08% (0.04).

A comparison of the single (Day 1) and multiple (Day 5) dose plasma and urinary concentrations of clindamycin indicates that there is accumulation of clindamycin following multiple dosing of clindamycin and benzoyl peroxide gel, 1%/5%. The degree of accumulation calculated from the plasma and urinary excretion data was ~2-fold.

Clinical Pharmacology

An in vitro percutaneous penetration study comparing clindamycin and benzoyl peroxide gel, 1%/5% and topical 1% clindamycin gel alone, demonstrated there was no statistical difference in penetration between the two drugs. Mean systemic bioavailability of topical clindamycin in clindamycin and benzoyl peroxide gel, 1%/5% is suggested to be less than 1%.

Benzoyl peroxide has been shown to be absorbed by the skin where it is converted to benzoic acid. Less than 2% of the dose enters systemic circulation as benzoic acid. It is suggested that the lipophilic nature of benzoyl peroxide acts to concentrate the compound into the lipid-rich sebaceous follicle.

Principal Display Panel

NDC 21922-068-43

Clindamycin and Benzoyl Peroxide Gel 1%/5%

FOR TOPICAL USE ONLY

Reconstitute with Clindamycin Phosphate Solution

One 25g Jar (after reconstitution)

Rx only

NDC 21922-068-44

Clindamycin and Benzoyl Peroxide Gel 1%/5%

FOR TOPICAL USE ONLY

Reconstitute with Clindamycin Phosphate Solution

One 35g Pump (after reconstitution)

Rx only

NDC 21922-068-45

Clindamycin and Benzoyl Peroxide Gel 1%/5%

FOR TOPICAL USE ONLY

Reconstitute with Clindamycin Phosphate Solution

One 50 g Jar (after reconstitution)

Rx only

NDC 21922-068-46

Clindamycin and Benzoyl Peroxide Gel 1%/5%

FOR TOPICAL USE ONLY

Reconstitute with Clindamycin Phosphate Solution

One 50 g Pump (after reconstitution)

Rx only

Information for Patients

Patients using clindamycin and benzoyl peroxide gel, 1%/5% should receive the following information and instructions:

  • Clindamycin and benzoyl peroxide gel, 1%/5% is to be used as directed by the physician. It is for external use only. Avoid contact with eyes, and inside the nose, mouth, and all mucous membranes, as this product may be irritating.
  • This medication should not be used for any disorder other than that for which it was prescribed.
  • Patients should not use any other topical acne preparation unless otherwise directed by physician.
  • Patients should minimize or avoid exposure to natural or artificial sunlight (tanning beds or UVA/B treatment) while using clindamycin and benzoyl peroxide gel, 1%/5%. To minimize exposure to sunlight, a wide-brimmed hat or other protective clothing should be worn, and a sunscreen with SPF 15 rating or higher should be used.
  • Patients who develop allergic symptoms such as severe swelling or shortness of breath should discontinue clindamycin and benzoyl peroxide gel, 1%/5% and contact their physician immediately. In addition, patients should report any signs of local adverse reactions to their physician.
  • Clindamycin and benzoyl peroxide gel, 1%/5% may bleach hair or colored fabric.
  • Clindamycin and benzoyl peroxide gel, 1%/5% can be stored at room temperature up to 25°C (77°F) for 3 months. Do not freeze. Discard any unused product after 3 months.
  • Before applying clindamycin and benzoyl peroxide gel, 1%/5% to affected areas wash the skin gently, then rinse with warm water and pat dry.
How Supplied and Compounding Instructions
Size (Net Weight) NDC Benzoyl Peroxide Gel Clindamycin Phosphate Solution (In plastic bottle)

25 grams

21922-068-43

20 grams

5 grams

35 grams (pump)

21922-068-44

28 grams

7 grams

50 grams

21922-068-45

40 grams

10 grams

50 grams (pump)

21922-068-46

40 grams

10 grams

Prior to dispensing, add the solution in the bottle to the gel and stir until homogenous in appearance (1 to 1½ minutes). For the 35 and 50 gram pumps only, reassemble jar with pump dispenser. Clindamycin and Benzoyl Peroxide Gel, 1%/5% (as reconstituted) can be stored at room temperature up to 25°C (77°F) for 3 months. Place a 3 month expiration date on the label immediately following mixing.

Store at room temperature up to 25°C (77°F) [See USP].

Do not freeze. Keep tightly closed. Keep out of the reach of children.

Call your doctor for medical advice about side effects. You may report side effects to Encube Ethicals Pvt. Ltd. 1-833-285-4151 or FDA at 1-800-FDA-108

Prescribing Information as of July 2017.

Rx Only

Manufactured by:

Encube Ethicals Pvt. Ltd.

Plot No. C-1, Madkaim Industrial Estate,

Madkaim, Post: Mardol, Ponda, Goa - 403 404, India.

Distributed by:

Encube Ethicals, Inc.

200 Meredith Drive, Suite 202 Durham, NC 27713 USA

Rev.: 06/2023

Carcinogenesis, Mutagenesis, Impairment of Fertility

Benzoyl peroxide has been shown to be a tumor promoter and progression agent in a number of animal studies. The clinical significance of this is unknown.

Benzoyl peroxide in acetone at doses of 5 and 10 mg administered twice per week induced skin tumors in transgenic Tg.AC mice in a study using 20 weeks of topical treatment.

In a 52 week dermal photocarcinogenicity study in hairless mice, the median time to onset of skin tumor formation was decreased and the number of tumors per mouse increased following chronic concurrent topical administration of clindamycin and benzoyl peroxide gel, 1%/5% with exposure to ultraviolet radiation (40 weeks of treatment followed by 12 weeks of observation).

In a 2-year dermal carcinogenicity study in rats, treatment with clindamycin and benzoyl peroxide gel, 1%/5% at doses of 100, 500 and 2000 mg/kg/day caused a dose-dependent increase in the incidence of keratoacanthoma at the treated skin site of male rats. The incidence of keratoacanthoma at the treated site of males treated with 2000 mg/kg/day (8 times the highest recommended adult human dose of 2.5 g clindamycin and benzoyl peroxide gel, 1%/5%, based on mg/m2) was statistically significantly higher than that in the sham- and vehicle-controls.

Genotoxicity studies were not conducted with clindamycin and benzoyl peroxide gel, 1%/5%. Clindamycin phosphate was not genotoxic in Salmonella typhimurium or in a rat micronucleus test. Clindamycin phosphate sulfoxide, an oxidative degradation product of clindamycin phosphate and benzoyl peroxide, was not clastogenic in a mouse micronucleus test. Benzoyl peroxide has been found to cause DNA strand breaks in a variety of mammalian cell types, to be mutagenic in S.typhimurium tests by some but not all investigators, and to cause sister chromatid exchanges in Chinese hamster ovary cells. Studies have not been performed with clindamycin and benzoyl peroxide gel, 1%/5% or benzoyl peroxide to evaluate the effect on fertility. Fertility studies in rats treated orally with up to 300 mg/kg/day of clindamycin (approximately 120 times the amount of clindamycin in the highest recommended adult human dose of 2.5 g clindamycin and benzoyl peroxide gel, 1%/5%, based on mg/m2) revealed no effects on fertility or mating ability.

Pregnancy: Teratogenic Effects: Pregnancy Category C:

Animal reproductive/developmental toxicity studies have not been conducted with clindamycin and benzoyl peroxide gel, 1%/5% or benzoyl peroxide. Developmental toxicity studies performed in rats and mice using oral doses of clindamycin up to 600 mg/kg/day (240 and 120 times amount of clindamycin in the highest recommended adult human dose based on mg/m2, respectively) or subcutaneous doses of clindamycin up to 250 mg/kg/day (100 and 50 times the amount of clindamycin in the highest recommended adult human dose based on mg/m2, respectively) revealed no evidence of teratogenicity.

There are no well-controlled trials in pregnant women treated with clindamycin and benzoyl peroxide gel, 1%/5%. It also is not known whether clindamycin and benzoyl peroxide gel, 1%/5% can cause fetal harm when administered to a pregnant woman.


Structured Label Content

General

For dermatological use only; not for ophthalmic use. Concomitant topical acne therapy should be used with caution because a possible cumulative irritancy effect may occur, especially with the use of peeling, desquamating, or abrasive agents.

The use of antibiotic agents may be associated with the overgrowth of nonsusceptible organisms including fungi. If this occurs, discontinue use of this medication and take appropriate measures. Avoid contact with eyes and mucous membranes. Clindamycin and erythromycin containing products should not be used in combination. In vitro studies have shown antagonism between these two antimicrobials. The clinical significance of this in vitro antagonism is not known.

Warnings (WARNINGS)

ORALLY AND PARENTERALLY ADMINISTERED CLINDAMYCIN HAS BEEN ASSOCIATED WITH SEVERE COLITIS WHICH MAY RESULT IN PATIENT DEATH. USE OF THE TOPICAL FORMULATION OF CLINDAMYCIN RESULTS IN ABSORPTION OF THE ANTIBIOTIC FROM THE SKIN SURFACE. DIARRHEA, BLOODY DIARRHEA, AND COLITIS (INCLUDING PSEUDOMEMBRANOUS COLITIS) HAVE BEEN REPORTED WITH THE USE OF TOPICAL AND SYSTEMIC CLINDAMYCIN. STUDIES INDICATE A TOXIN(S) PRODUCED BY CLOSTRIDIA IS ONE PRIMARY CAUSE OF ANTIBIOTIC- ASSOCIATED COLITIS. THE COLITIS IS USUALLY CHARACTERIZED BY SEVERE PERSISTENT DIARRHEA AND SEVERE ABDOMINAL CRAMPS AND MAY BE ASSOCIATED WITH THE PASSAGE OF BLOOD AND MUCUS. ENDOSCOPIC EXAMINATION MAY REVEAL PSEUDOMEMBRANOUS COLITIS. STOOL CULTURE FOR Clostridium Difficile AND STOOL ASSAY FOR C.difficile TOXIN MAY BE HELPFUL DIAGNOSTICALLY. WHEN SIGNIFICANT DIARRHEA OCCURS, THE DRUG SHOULD BE DISCONTINUED. LARGE BOWEL ENDOSCOPY SHOULD BE CONSIDERED TO ESTABLISH A DEFINITIVE DIAGNOSIS IN CASES OF SEVERE DIARRHEA. ANTIPERISTALTIC AGENTS SUCH AS OPIATES AND DIPHENOXYLATE WITH ATROPINE MAY PROLONG AND/OR WORSEN THE CONDITION. DIARRHEA, COLITIS, AND PSEUDOMEMBRANOUS COLITIS HAVE BEEN OBSERVED TO BEGIN UP TO SEVERAL WEEKS FOLLOWING CESSATION OF ORAL AND PARENTERAL THERAPY WITH CLINDAMYCIN.

Mild cases of pseudomembranous colitis usually respond to drug discontinuation alone. In moderate to severe cases, consideration should be given to management with fluids and electrolytes, protein supplementation and treatment with an antibacterial drug clinically effective against C. difficile colitis.

Description (DESCRIPTION)

Clindamycin and Benzoyl Peroxide Gel, 1%/5% contains clindamycin phosphate, (7(S)-chloro-7-deoxylincomycin-2-phosphate). Clindamycin phosphate is a water soluble ester of the semi-synthetic antibiotic produced by a 7(S)-chloro-substitution of the 7(R)-hydroxyl group of the parent antibiotic lincomycin.

Chemically, clindamycin phosphate is (C18H34ClN2O8PS). The structural formula for clindamycin is represented below:

Clindamycin phosphate has molecular weight of 504.97 and its chemical name is Methyl 7-chloro-6,7, 8-trideoxy-6-(1-methyl-trans- 4-propyl-L-2-pyrrolidinecarboxamido) -1-thio-L- threo-alpha-D- galacto-octopyranoside 2-(dihydrogen phosphate).

Clindamycin and benzoyl peroxide gel, 1%/5%also contains benzoyl peroxide, for topical use.

Chemically, benzoyl peroxide is (C14H10O4). It has the following structural formula:

Benzoyl peroxide has a molecular weight of 242.23.

Each gram of clindamycin and benzoyl peroxide gel, 1%/5% contains, as dispensed, 10 mg (1%) clindamycin as phosphate and 50 mg (5%) benzoyl peroxide in a base of carbopol 980, d-limonene, docusate sodium solution, phosphoric acid, propylene glycol, purified water and sodium hydroxide.

Microbiology

The clindamycin and benzoyl peroxide components individually have been shown to have in vitro activity against Propionibacterium acnes an organism which has been associated with acne vulgaris; however, the clinical significance of this activity against P. acnes was not examined in clinical trials with this product.

Nursing Women

It is not known whether clindamycin and benzoyl peroxide gel, 1%/5% is excreted in human milk after topical application. However, orally and parenterally administered clindamycin has been reported to appear in breast milk. Because of the potential for serious adverse reactions in nursing infants, a decision should be made whether to discontinue nursing or to discontinue the drug, taking into account the importance of the drug to the mother.

Pediatric Use

Safety and effectiveness of this product in pediatric patients below the age of 12 have not been established.

Clinical Studies (CLINICAL STUDIES)

In two adequate and well controlled clinical studies of 758 patients, 214 used clindamycin and benzoyl peroxide gel, 1%/5%, 210 used benzoyl peroxide, 168 used clindamycin, and 166 used vehicle. Clindamycin and benzoyl peroxide gel, 1%/5% applied twice daily for 10 weeks was significantly more effective than vehicle in the treatment of moderate to moderately severe facial acne vulgaris. Patients were evaluated and acne lesions counted at each clinical visit; weeks 2, 4, 6, 8 and 10. The primary efficacy measures were the lesion counts and the investigator’s global assessment evaluated at week 10. Patients were instructed to wash the face with a mild soap, using only the hands. Fifteen minutes after the face was thoroughly dry, application was made to the entire face. Non-medicated make-up could be applied at one hour after the clindamycin and benzoyl peroxide gel, 1%/5% application. If a moisturizer was required, the patients were provided a moisturizer to be used as needed. Patients were instructed to avoid sun exposure. Percent reductions in lesion counts after treatment for 10 weeks in these two studies are shown below:

Study 1
Clindamycin and Benzoyl Peroxide Gel,1%/5%n=120 Benzoyl

peroxide

n=120
Clindamycin

n=120
Vehicle

N=120

Mean percent reduction in inflammatory lesion counts

46%

32%

16%

+ 3%

Mean percent reduction in non-inflammatory lesion counts

22%

22%

9%

+1%

Mean percent reduction in total lesion counts

36%

28%

15%

0.2%

Study 2

Clindamycin and

Benzoyl Peroxide Gel,

1%/5%

n=95

Benzoyl

peroxide

n=95

Clindamycin

n=49

Vehicle

N=48

Mean percent reduction in inflammatory lesion counts

63%

53%

45%

42%

Mean percent reduction in non-inflammatory lesion counts

54%

50%

39%

36%

Mean percent reduction in total lesion counts

58%

52%

42%

39%

The clindamycin and benzoyl peroxide gel, 1%/5% group showed greater overall improvement than the benzoyl peroxide, clindamycin and vehicle groups as rated by the investigator.

Pharmacokinetics

The pharmacokinetics (plasma and urine) of clindamycin from clindamycin and benzoyl peroxide gel, 1%/5% was studied in male and female patients (n=13) with acne vulgaris. Clindamycin and benzoyl peroxide gel, 1%/5% (~2g) was applied topically to the face and back twice daily for four and a half (4.5) days. Quantifiable (>LOQ=1ng/mL) clindamycin plasma concentrations were obtained in six of thirteen subjects (46.2%) on Day 1 and twelve of thirteen subjects (92.3%) on Day 5. Peak plasma concentrations (Cmax) of clindamycin ranged from 1.47 ng/mL to 2.77 ng/mL on Day 1 and 1.43 ng/mL to 7.18 ng/mL on Day 5. The AUC (0-12h) ranged from 2.74 ng.h/mL to 12.86 ng.h/mL on Day 1 and 11.4 ng.h/mL to 69.7 ng.h/mL on Day 5.

The amount of clindamycin excreted in the urine during the 12 hour dosing interval increased from a mean (SD) of 5745 (3130) ng on Day 1 to 12069 (7660) ng on Day 5. The mean % (SD) of the administered dose that was excreted in the urine ranged from 0.03% (0.02) to 0.08% (0.04).

A comparison of the single (Day 1) and multiple (Day 5) dose plasma and urinary concentrations of clindamycin indicates that there is accumulation of clindamycin following multiple dosing of clindamycin and benzoyl peroxide gel, 1%/5%. The degree of accumulation calculated from the plasma and urinary excretion data was ~2-fold.

Adverse Reactions (ADVERSE REACTIONS)

During clinical trials, the most frequently reported adverse event in the clindamycin and benzoyl peroxide gel, 1%/5% treatment group was dry skin (12%). The Table below lists local adverse events reported by at least 1% of patients in the clindamycin and benzoyl peroxide gel, 1%/5% and vehicle groups.

Local Adverse Events - all causalities

in >/= 1% of patients 

Clindamycin and Benzoyl

Peroxide Gel, 1%/5%

n = 420

Vehicle

n = 168

 Application site reaction

13 (3%)

1 (<1%) 

Dry skin 

 50 (12%)

 10 (6%)

 Pruritus

 8 (2%)

 1 (<1%)

 Peeling

 9 (2%)

 -

 Erythema

 6 (1%)

 1 (<1%)

 Sunburn

5 (1%)

-

The actual incidence of dry skin might have been greater were it not for the use of a moisturizer in these studies.

Anaphylaxis, as well as allergic reactions leading to hospitalization, have been reported during post-marketing use of clindamycin/benzoyl peroxide products. Because these reactions are reported voluntarily from a population of uncertain size, it is not always possible to reliably estimate their frequency or establish a causal relationship to drug exposure.

Contraindications (CONTRAINDICATIONS)

Clindamycin and benzoyl peroxide gel, 1%/5% is contraindicated in those individuals who have shown hypersensitivity to any of its components or to lincomycin. It is also contraindicated in those having a history of regional enteritis, ulcerative colitis, or antibiotic-associated colitis.

Clinical Pharmacology (CLINICAL PHARMACOLOGY)

An in vitro percutaneous penetration study comparing clindamycin and benzoyl peroxide gel, 1%/5% and topical 1% clindamycin gel alone, demonstrated there was no statistical difference in penetration between the two drugs. Mean systemic bioavailability of topical clindamycin in clindamycin and benzoyl peroxide gel, 1%/5% is suggested to be less than 1%.

Benzoyl peroxide has been shown to be absorbed by the skin where it is converted to benzoic acid. Less than 2% of the dose enters systemic circulation as benzoic acid. It is suggested that the lipophilic nature of benzoyl peroxide acts to concentrate the compound into the lipid-rich sebaceous follicle.

Indications and Usage (INDICATIONS AND USAGE)

Clindamycin and Benzoyl Peroxide Gel, 1%/5% is indicated for the topical treatment of acne vulgaris.

Principal Display Panel (PRINCIPAL DISPLAY PANEL)

NDC 21922-068-43

Clindamycin and Benzoyl Peroxide Gel 1%/5%

FOR TOPICAL USE ONLY

Reconstitute with Clindamycin Phosphate Solution

One 25g Jar (after reconstitution)

Rx only

NDC 21922-068-44

Clindamycin and Benzoyl Peroxide Gel 1%/5%

FOR TOPICAL USE ONLY

Reconstitute with Clindamycin Phosphate Solution

One 35g Pump (after reconstitution)

Rx only

NDC 21922-068-45

Clindamycin and Benzoyl Peroxide Gel 1%/5%

FOR TOPICAL USE ONLY

Reconstitute with Clindamycin Phosphate Solution

One 50 g Jar (after reconstitution)

Rx only

NDC 21922-068-46

Clindamycin and Benzoyl Peroxide Gel 1%/5%

FOR TOPICAL USE ONLY

Reconstitute with Clindamycin Phosphate Solution

One 50 g Pump (after reconstitution)

Rx only

Information for Patients

Patients using clindamycin and benzoyl peroxide gel, 1%/5% should receive the following information and instructions:

  • Clindamycin and benzoyl peroxide gel, 1%/5% is to be used as directed by the physician. It is for external use only. Avoid contact with eyes, and inside the nose, mouth, and all mucous membranes, as this product may be irritating.
  • This medication should not be used for any disorder other than that for which it was prescribed.
  • Patients should not use any other topical acne preparation unless otherwise directed by physician.
  • Patients should minimize or avoid exposure to natural or artificial sunlight (tanning beds or UVA/B treatment) while using clindamycin and benzoyl peroxide gel, 1%/5%. To minimize exposure to sunlight, a wide-brimmed hat or other protective clothing should be worn, and a sunscreen with SPF 15 rating or higher should be used.
  • Patients who develop allergic symptoms such as severe swelling or shortness of breath should discontinue clindamycin and benzoyl peroxide gel, 1%/5% and contact their physician immediately. In addition, patients should report any signs of local adverse reactions to their physician.
  • Clindamycin and benzoyl peroxide gel, 1%/5% may bleach hair or colored fabric.
  • Clindamycin and benzoyl peroxide gel, 1%/5% can be stored at room temperature up to 25°C (77°F) for 3 months. Do not freeze. Discard any unused product after 3 months.
  • Before applying clindamycin and benzoyl peroxide gel, 1%/5% to affected areas wash the skin gently, then rinse with warm water and pat dry.
Dosage and Administration (DOSAGE AND ADMINISTRATION)

Clindamycin and Benzoyl Peroxide Gel, 1%/5%  should be applied twice daily, morning and evening, or as directed by a physician, to affected areas after the skin is gently washed, rinsed with warm water and patted dry.

How Supplied and Compounding Instructions (HOW SUPPLIED AND COMPOUNDING INSTRUCTIONS)
Size (Net Weight) NDC Benzoyl Peroxide Gel Clindamycin Phosphate Solution (In plastic bottle)

25 grams

21922-068-43

20 grams

5 grams

35 grams (pump)

21922-068-44

28 grams

7 grams

50 grams

21922-068-45

40 grams

10 grams

50 grams (pump)

21922-068-46

40 grams

10 grams

Prior to dispensing, add the solution in the bottle to the gel and stir until homogenous in appearance (1 to 1½ minutes). For the 35 and 50 gram pumps only, reassemble jar with pump dispenser. Clindamycin and Benzoyl Peroxide Gel, 1%/5% (as reconstituted) can be stored at room temperature up to 25°C (77°F) for 3 months. Place a 3 month expiration date on the label immediately following mixing.

Store at room temperature up to 25°C (77°F) [See USP].

Do not freeze. Keep tightly closed. Keep out of the reach of children.

Call your doctor for medical advice about side effects. You may report side effects to Encube Ethicals Pvt. Ltd. 1-833-285-4151 or FDA at 1-800-FDA-108

Prescribing Information as of July 2017.

Rx Only

Manufactured by:

Encube Ethicals Pvt. Ltd.

Plot No. C-1, Madkaim Industrial Estate,

Madkaim, Post: Mardol, Ponda, Goa - 403 404, India.

Distributed by:

Encube Ethicals, Inc.

200 Meredith Drive, Suite 202 Durham, NC 27713 USA

Rev.: 06/2023

Carcinogenesis, Mutagenesis, Impairment of Fertility

Benzoyl peroxide has been shown to be a tumor promoter and progression agent in a number of animal studies. The clinical significance of this is unknown.

Benzoyl peroxide in acetone at doses of 5 and 10 mg administered twice per week induced skin tumors in transgenic Tg.AC mice in a study using 20 weeks of topical treatment.

In a 52 week dermal photocarcinogenicity study in hairless mice, the median time to onset of skin tumor formation was decreased and the number of tumors per mouse increased following chronic concurrent topical administration of clindamycin and benzoyl peroxide gel, 1%/5% with exposure to ultraviolet radiation (40 weeks of treatment followed by 12 weeks of observation).

In a 2-year dermal carcinogenicity study in rats, treatment with clindamycin and benzoyl peroxide gel, 1%/5% at doses of 100, 500 and 2000 mg/kg/day caused a dose-dependent increase in the incidence of keratoacanthoma at the treated skin site of male rats. The incidence of keratoacanthoma at the treated site of males treated with 2000 mg/kg/day (8 times the highest recommended adult human dose of 2.5 g clindamycin and benzoyl peroxide gel, 1%/5%, based on mg/m2) was statistically significantly higher than that in the sham- and vehicle-controls.

Genotoxicity studies were not conducted with clindamycin and benzoyl peroxide gel, 1%/5%. Clindamycin phosphate was not genotoxic in Salmonella typhimurium or in a rat micronucleus test. Clindamycin phosphate sulfoxide, an oxidative degradation product of clindamycin phosphate and benzoyl peroxide, was not clastogenic in a mouse micronucleus test. Benzoyl peroxide has been found to cause DNA strand breaks in a variety of mammalian cell types, to be mutagenic in S.typhimurium tests by some but not all investigators, and to cause sister chromatid exchanges in Chinese hamster ovary cells. Studies have not been performed with clindamycin and benzoyl peroxide gel, 1%/5% or benzoyl peroxide to evaluate the effect on fertility. Fertility studies in rats treated orally with up to 300 mg/kg/day of clindamycin (approximately 120 times the amount of clindamycin in the highest recommended adult human dose of 2.5 g clindamycin and benzoyl peroxide gel, 1%/5%, based on mg/m2) revealed no effects on fertility or mating ability.

Pregnancy: Teratogenic Effects: Pregnancy Category C:

Animal reproductive/developmental toxicity studies have not been conducted with clindamycin and benzoyl peroxide gel, 1%/5% or benzoyl peroxide. Developmental toxicity studies performed in rats and mice using oral doses of clindamycin up to 600 mg/kg/day (240 and 120 times amount of clindamycin in the highest recommended adult human dose based on mg/m2, respectively) or subcutaneous doses of clindamycin up to 250 mg/kg/day (100 and 50 times the amount of clindamycin in the highest recommended adult human dose based on mg/m2, respectively) revealed no evidence of teratogenicity.

There are no well-controlled trials in pregnant women treated with clindamycin and benzoyl peroxide gel, 1%/5%. It also is not known whether clindamycin and benzoyl peroxide gel, 1%/5% can cause fetal harm when administered to a pregnant woman.


Advanced Ingredient Data


Raw Label Data

All Sections (JSON)