These Highlights Do Not Include All The Information Needed To Use Timolol Maleate Ophthalmic Solution Safely And Effectively. See Full Prescribing Information For Timolol Maleate Ophthalmic Solution.

These Highlights Do Not Include All The Information Needed To Use Timolol Maleate Ophthalmic Solution Safely And Effectively. See Full Prescribing Information For Timolol Maleate Ophthalmic Solution.
SPL v5
SPL
SPL Set ID b686bbad-1ef7-4b94-a316-4d182a40b89a
Route
OPHTHALMIC
Published
Effective Date 2022-03-31
Document Type 34391-3 HUMAN PRESCRIPTION DRUG LABEL

Drug Facts

Composition & Product

Active Ingredients
Timolol Anhydrous (0.05 mg)
Inactive Ingredients
Sodium Phosphate, Monobasic, Monohydrate Potassium Sorbate Sodium Chloride Water Sodium Hydroxide Benzalkonium Chloride

Identifiers & Packaging

Marketing Status
NDA AUTHORIZED GENERIC Active Since 2022-06-23

Description

Timolol Maleate Ophthalmic Solution is indicated in the treatment of elevated intraocular pressure in patients with ocular hypertension or open-angle glaucoma.

Indications and Usage

Timolol Maleate Ophthalmic Solution is indicated in the treatment of elevated intraocular pressure in patients with ocular hypertension or open-angle glaucoma.

Dosage and Administration

One drop of Timolol Maleate Ophthalmic Solution should be administered in the affected eye(s) once a day in the morning (AM). If more than one topical ophthalmic drug is being used, the drugs should be administered at least five minutes apart.

Warnings and Precautions

Potentiation of Respiratory Reactions Including Asthma ( 5.1 ) Cardiac Failure ( 5.2 ) Obstructive Pulmonary Disease ( 5.3 ) Increased Reactivity to Allergens ( 5.4 ) Potentiation of Muscle Weakness ( 5.5 ) Masking of Hypoglycemic Symptoms in Patients with Diabetes Mellitus ( 5.6 ) Masking of Thyrotoxicosis ( 5.7 )

Contraindications

Bronchial asthma, a history of bronchial asthma, severe chronic obstructive pulmonary disease ( 4.1 , 5.1 , 5.3 ) Sinus bradycardia, second or third degree atrioventricular block, overt cardiac failure, cardiogenic shock ( 4.2 , 5.2 ) Hypersensitivity to any component of this product ( 4.3 )

Adverse Reactions

The most frequently reported adverse reactions have been burning and stinging upon instillation in 38% of patients treated with Timolol Maleate Ophthalmic Solution. Additional reactions reported with Timolol Maleate Ophthalmic Solution at a frequency of 4% to 10% include: blurred vision, cataract, conjunctival injection, headache, hypertension, infection, itching and decreased visual acuity. ( 6 ) To report SUSPECTED ADVERSE REACTIONS, contact Bausch & Lomb Incorporated at 1-800-553-5340 or FDA at 1-800-FDA-1088 or www.fda.gov/medwatch.

Drug Interactions

Concomitant use with systemic beta-blockers may potentiate systemic beta-blockade. ( 7.1 ) Oral or intravenous calcium antagonists may cause atrioventricular conduction disturbances, left ventricular failure, and hypotension. ( 7.2 ) Catecholamine-depleting drugs may have additive effects and produce hypotension and/or marked bradycardia. ( 7.3 ) Digitalis and calcium antagonists may have additive effects in prolonging atrioventricular conduction time. ( 7.4 ) Potentiated systemic beta-blockade (e.g., decreased heart rate) has been reported during combined treatment with quinidine and timolol. ( 7.5 )

Storage and Handling

Timolol Maleate Ophthalmic Solution 0.5% is supplied in white LDPE bottles with 15 mm PP yellow caps and 15 mm LLDPE white dropper tips as follows: NDC 82260-045-05 5 mL in 10 mL container NDC 82260-045-25 2.5 mL in 7.5 mL container Storage: Store at 15°C to 25°C (59°F to 77°F). After opening, Timolol Maleate Ophthalmic Solution can be used until the expiration date on the bottle.

How Supplied

Timolol Maleate Ophthalmic Solution 0.5% is supplied in white LDPE bottles with 15 mm PP yellow caps and 15 mm LLDPE white dropper tips as follows: NDC 82260-045-05 5 mL in 10 mL container NDC 82260-045-25 2.5 mL in 7.5 mL container Storage: Store at 15°C to 25°C (59°F to 77°F). After opening, Timolol Maleate Ophthalmic Solution can be used until the expiration date on the bottle.


Medication Information

Warnings and Precautions

Potentiation of Respiratory Reactions Including Asthma ( 5.1 ) Cardiac Failure ( 5.2 ) Obstructive Pulmonary Disease ( 5.3 ) Increased Reactivity to Allergens ( 5.4 ) Potentiation of Muscle Weakness ( 5.5 ) Masking of Hypoglycemic Symptoms in Patients with Diabetes Mellitus ( 5.6 ) Masking of Thyrotoxicosis ( 5.7 )

Indications and Usage

Timolol Maleate Ophthalmic Solution is indicated in the treatment of elevated intraocular pressure in patients with ocular hypertension or open-angle glaucoma.

Dosage and Administration

One drop of Timolol Maleate Ophthalmic Solution should be administered in the affected eye(s) once a day in the morning (AM). If more than one topical ophthalmic drug is being used, the drugs should be administered at least five minutes apart.

Contraindications

Bronchial asthma, a history of bronchial asthma, severe chronic obstructive pulmonary disease ( 4.1 , 5.1 , 5.3 ) Sinus bradycardia, second or third degree atrioventricular block, overt cardiac failure, cardiogenic shock ( 4.2 , 5.2 ) Hypersensitivity to any component of this product ( 4.3 )

Adverse Reactions

The most frequently reported adverse reactions have been burning and stinging upon instillation in 38% of patients treated with Timolol Maleate Ophthalmic Solution. Additional reactions reported with Timolol Maleate Ophthalmic Solution at a frequency of 4% to 10% include: blurred vision, cataract, conjunctival injection, headache, hypertension, infection, itching and decreased visual acuity. ( 6 ) To report SUSPECTED ADVERSE REACTIONS, contact Bausch & Lomb Incorporated at 1-800-553-5340 or FDA at 1-800-FDA-1088 or www.fda.gov/medwatch.

Drug Interactions

Concomitant use with systemic beta-blockers may potentiate systemic beta-blockade. ( 7.1 ) Oral or intravenous calcium antagonists may cause atrioventricular conduction disturbances, left ventricular failure, and hypotension. ( 7.2 ) Catecholamine-depleting drugs may have additive effects and produce hypotension and/or marked bradycardia. ( 7.3 ) Digitalis and calcium antagonists may have additive effects in prolonging atrioventricular conduction time. ( 7.4 ) Potentiated systemic beta-blockade (e.g., decreased heart rate) has been reported during combined treatment with quinidine and timolol. ( 7.5 )

Storage and Handling

Timolol Maleate Ophthalmic Solution 0.5% is supplied in white LDPE bottles with 15 mm PP yellow caps and 15 mm LLDPE white dropper tips as follows: NDC 82260-045-05 5 mL in 10 mL container NDC 82260-045-25 2.5 mL in 7.5 mL container Storage: Store at 15°C to 25°C (59°F to 77°F). After opening, Timolol Maleate Ophthalmic Solution can be used until the expiration date on the bottle.

How Supplied

Timolol Maleate Ophthalmic Solution 0.5% is supplied in white LDPE bottles with 15 mm PP yellow caps and 15 mm LLDPE white dropper tips as follows: NDC 82260-045-05 5 mL in 10 mL container NDC 82260-045-25 2.5 mL in 7.5 mL container Storage: Store at 15°C to 25°C (59°F to 77°F). After opening, Timolol Maleate Ophthalmic Solution can be used until the expiration date on the bottle.

Description

Timolol Maleate Ophthalmic Solution is indicated in the treatment of elevated intraocular pressure in patients with ocular hypertension or open-angle glaucoma.

10 Overdosage

There have been reports of inadvertent overdosage with Timolol Maleate Ophthalmic Solution resulting in systemic effects similar to those seen with systemic beta-adrenergic blocking agents such as dizziness, headache, shortness of breath, bradycardia, bronchospasm, and cardiac arrest.

An in vitro hemodialysis study, using 14C timolol added to human plasma or whole blood, showed that timolol was readily dialyzed from these fluids; however, a study of patients with renal failure showed that timolol did not dialyze readily.

7.6 Clonidine

Oral beta-adrenergic blocking agents may exacerbate the rebound hypertension which can follow the withdrawal of clonidine. There have been no reports of exacerbation of rebound hypertension with ophthalmic timolol maleate.

8.1 Pregnancy

Risk Summary

There are no adequate and well-controlled studies in pregnant women with timolol maleate to inform a drug-associated risk. Administration of oral timolol maleate to pregnant mice, rats and rabbits did not produce teratogenicity at clinically relevant systemic exposures (see Data).Because animal reproductive studies are not always predictive of human response, Timolol Maleate Ophthalmic Solution should be used during pregnancy only if the potential benefit justifies the potential risk to the fetus.

In the U.S. general population, the estimated background risk of major birth defects and miscarriage in clinically recognized pregnancies is 2-4% and 15-20%, respectively.

Data

Animal Data

Teratogenicity studies with timolol in pregnant mice, rats, and rabbits at oral doses up to 50 mg/kg/day (7,000 times the systemic exposure following the maximum recommended human ophthalmic dose) demonstrated no evidence of fetal malformations. Although delayed fetal ossification was observed at this dose in rats, there were no adverse effects on postnatal development of offspring. Doses of 1,000 mg/kg/day (142,000 times the systemic exposure following the maximum recommended human ophthalmic dose) were maternally toxic in mice and resulted in an increased number of fetal resorptions. Increased fetal resorptions were also seen in rabbits at doses of 14,000 times the systemic exposure following the maximum recommended human ophthalmic dose without apparent maternal toxicity.

8.2 Lactation

Risk Summary

Timolol has been detected in human milk following oral and ophthalmic drug administration. The developmental and health benefits of breastfeeding should be considered along with the mother’s clinical need for Timolol Maleate Ophthalmic Solution and any potential adverse effects on the breastfed child from Timolol Maleate Ophthalmic Solution.

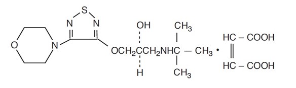
11 Description

Timolol Maleate Ophthalmic Solution 0.5% is a non-selective beta-adrenergic receptor blocking agent for topical ophthalmic use. Its chemical name is (-)-1-( tert-butylamino)-3-[(4-morpholino-1,2,5-thiadiazol-3-yl)oxy]-2-propanol maleate (1:1) (salt). Timolol maleate possesses an asymmetric carbon atom in its structure and is provided as the levo-isomer.

Its molecular formula is C 13H 24N 4O 3S-C 4H 4O 4and its structural formula is:

Timolol maleate has a molecular weight of 432.49. It is a white, odorless, crystalline powder which is soluble in water, methanol, and alcohol. Timolol Maleate Ophthalmic Solution is stable at room temperature. Timolol Maleate Ophthalmic Solution is supplied as a sterile, isotonic, buffered, aqueous solution of timolol maleate in a single strength. It has a pH of 6.5-7.5 and an osmolality of 275-330 mOsm/kg.

Each mL of  Timolol Maleate Ophthalmic Solution contains the active ingredient 5 mg of timolol (6.8 mg of timolol maleate) with the inactive ingredients benzalkonium chloride (0.05 mg/mL), monobasic sodium phosphate monohydrate, potassium sorbate 0.47%, sodium chloride, sodium hydroxide, and purified water.

4.1 Asthma, Copd

Timolol Maleate Ophthalmic Solution is contraindicated in patients with bronchial asthma; a history of bronchial asthma; severe chronic obstructive pulmonary disease [see Warnings and Precautions ( 5.1, 5.3)] .

8.4 Pediatric Use

The safety and effectiveness of Timolol Maleate Ophthalmic Solution in pediatric patients have not been established.

8.5 Geriatric Use

No overall differences in safety or effectiveness have been observed between elderly and younger patients.

14 Clinical Studies

In a controlled, double-masked, parallel study in 332 patients with untreated intraocular pressures of 22 mm Hg or greater, Timolol Maleate Ophthalmic Solution 0.5% administered once daily (AM) was equivalent to timolol maleate ophthalmic solution 0.5% administered twice daily. In both groups, mean intraocular pressure decreased from 25 mm Hg at baseline to 18 mm Hg at peak and 19 mm Hg at trough. Timolol Maleate Ophthalmic Solution was generally well tolerated, and 3% of patients had treatment discontinued for adverse events judged related to treatment. There was a slight decrease in cardiovascular function consistent with known systemic absorption of a β-adrenoceptor antagonist.

4 Contraindications
  • Bronchial asthma, a history of bronchial asthma, severe chronic obstructive pulmonary disease ( 4.1, 5.1, 5.3)
  • Sinus bradycardia, second or third degree atrioventricular block, overt cardiac failure, cardiogenic shock ( 4.2, 5.2)
  • Hypersensitivity to any component of this product ( 4.3)
5.2 Cardiac Failure

Sympathetic stimulation may be essential for support of the circulation in individuals with diminished myocardial contractility, and its inhibition of beta-adrenergic receptor blockade may precipitate more severe failure.

In patients without a history of cardiac failure, continued depression of the myocardium with beta-blocking agents over a period of time can, in some cases, lead to cardiac failure. At the first sign or symptom of cardiac failure, Timolol Maleate Ophthalmic Solution should be discontinued [see Contraindications ( 4.2)].

6 Adverse Reactions

The most frequently reported adverse reactions have been burning and stinging upon instillation in 38% of patients treated with Timolol Maleate Ophthalmic Solution. Additional reactions reported with Timolol Maleate Ophthalmic Solution at a frequency of 4% to 10% include: blurred vision, cataract, conjunctival injection, headache, hypertension, infection, itching and decreased visual acuity. ( 6)

To report SUSPECTED ADVERSE REACTIONS, contact Bausch & Lomb Incorporated at 1-800-553-5340 or FDA at 1-800-FDA-1088 or www.fda.gov/medwatch.

7 Drug Interactions
  • Concomitant use with systemic beta-blockers may potentiate systemic beta-blockade. ( 7.1)
  • Oral or intravenous calcium antagonists may cause atrioventricular conduction disturbances, left ventricular failure, and hypotension. ( 7.2)
  • Catecholamine-depleting drugs may have additive effects and produce hypotension and/or marked bradycardia. ( 7.3)
  • Digitalis and calcium antagonists may have additive effects in prolonging atrioventricular conduction time. ( 7.4)
  • Potentiated systemic beta-blockade (e.g., decreased heart rate) has been reported during combined treatment with quinidine and timolol. ( 7.5)
12.3 Pharmacokinetics

In a study of plasma drug concentration in 12 healthy subjects, the systemic exposure to timolol was determined following twice daily administration of Timolol Maleate Ophthalmic Solution (exaggerated regimen) for eight days. With Timolol Maleate Ophthalmic Solution, mean plasma concentrations of timolol were 0.68 ng/mL and 0.88 ng/mL two hours after the first dose and the dose on the eighth day, respectively.

5.13 Contact Lens Use

Timolol Maleate Ophthalmic Solution contains benzalkonium chloride, an anti-microbial preservative which may be absorbed by soft contact lenses. Contact lenses should be removed prior to administration of the solution. Lenses may be reinserted 15 minutes following Timolol Maleate Ophthalmic Solution administration.

7.5 Cyp2d6 Inhibitors

Potentiated systemic beta-blockade (e.g., decreased heart rate) has been reported during combined treatment with CYP2D6 inhibitors (e.g., quinidine) and timolol.

1 Indications and Usage

Timolol Maleate Ophthalmic Solution is indicated in the treatment of elevated intraocular pressure in patients with ocular hypertension or open-angle glaucoma.

7.2 Calcium Antagonists

Caution should be used in the co-administration of beta-adrenergic blocking agents, such as Timolol Maleate Ophthalmic Solution, and oral or intravenous calcium antagonists because of possible atrioventricular conduction disturbances, left ventricular failure, and hypotension. In patients with impaired cardiac function, co-administration should be avoided.

12.1 Mechanism of Action

Timolol maleate is a beta 1and beta 2(non-selective) adrenergic receptor blocking agent that does not have significant intrinsic sympathomimetic, direct myocardial depressant, or local anesthetic (membrane-stabilizing) activity.

Beta-adrenergic receptor blockade reduces cardiac output in both healthy subjects and patients with heart disease. In patients with severe impairment of myocardial function, beta-adrenergic receptor blockade may inhibit the stimulatory effect of the sympathetic nervous system necessary to maintain adequate cardiac function.

Beta-adrenergic receptor blockade in the bronchi and bronchioles results in increased airway resistance from unopposed parasympathetic activity. Such an effect in patients with asthma or other bronchospastic conditions is potentially dangerous.

Timolol Maleate Ophthalmic Solution, when applied topically on the eye, has the action of reducing elevated as well as normal intraocular pressure, whether or not accompanied by glaucoma. Elevated intraocular pressure is a major risk factor in the pathogenesis of glaucomatous visual field loss. The higher the level of intraocular pressure, the greater the likelihood of glaucomatous visual field loss and optic nerve damage.

The onset of reduction in intraocular pressure following administration of Timolol Maleate Ophthalmic Solution can usually be detected within one-half hour after a single dose. The maximum effect usually occurs in one to two hours and significant lowering of intraocular pressure can be maintained for periods as long as 24 hours with a single dose. Repeated observations over a period of one year indicate that the intraocular pressure lowering effect of Timolol Maleate Ophthalmic Solution is well maintained.

The precise mechanism of the ocular hypotensive action of Timolol Maleate Ophthalmic Solution is not clearly established at this time. Tonography and fluorophotometry studies in man suggest that its predominant action may be related to reduced aqueous formation. However, in some studies a slight increase in outflow facility was also observed.

5.12 Choroidal Detachment

Choroidal detachment after filtration procedures has been reported with the administration of aqueous suppressant therapy (e.g., timolol).

5 Warnings and Precautions
  • Potentiation of Respiratory Reactions Including Asthma ( 5.1)
  • Cardiac Failure ( 5.2)
  • Obstructive Pulmonary Disease ( 5.3)
  • Increased Reactivity to Allergens ( 5.4)
  • Potentiation of Muscle Weakness ( 5.5)
  • Masking of Hypoglycemic Symptoms in Patients with Diabetes Mellitus ( 5.6)
  • Masking of Thyrotoxicosis ( 5.7)
2 Dosage and Administration

One drop of Timolol Maleate Ophthalmic Solution should be administered in the affected eye(s) once a day in the morning (AM).

If more than one topical ophthalmic drug is being used, the drugs should be administered at least five minutes apart.

5.10 Angle Closure Glaucoma

In patients with angle-closure glaucoma, the immediate objective of treatment is to reopen the angle. This may require constricting the pupil. Timolol maleate has little or no effect on the pupil. Timolol Maleate Ophthalmic Solution should not be used alone in the treatment of angle-closure glaucoma.

3 Dosage Forms and Strengths

Ophthalmic solution containing 0.5% (5 mg/mL) of timolol (6.8 mg/mL of timolol maleate).

6.2 Postmarketing Experience

The following adverse reactions have been identified during postapproval use of Timolol Maleate Ophthalmic Solution. Because these reactions are reported voluntarily from a population of uncertain size, it is not always possible to reliably estimate their frequency or establish a causal relationship to drug exposure.

Oral Timolol/Oral Beta-Blockers

The following additional adverse effects have been reported in clinical experience with ORAL timolol maleate or other ORAL beta-blocking agents and may be considered potential effects of ophthalmic timolol maleate: Allergic:

Erythematous rash, fever combined with aching and sore throat, laryngospasm with respiratory distress; Body as a Whole:Extremity pain, decreased exercise tolerance, weight loss; Cardiovascular:Worsening of arterial insufficiency, vasodilatation; Digestive:Gastrointestinal pain, hepatomegaly, vomiting, mesenteric arterial thrombosis, ischemic colitis; Hematologic:Nonthrombocytopenic purpura; thrombocytopenic purpura, agranulocytosis; Endocrine:Hyperglycemia, hypoglycemia; Skin:Pruritus, skin irritation, increased pigmentation, sweating; Musculoskeletal:Arthralgia; Nervous System/Psychiatric:Vertigo, local weakness, diminished concentration, reversible mental depression progressing to catatonia, an acute reversible syndrome characterized by disorientation for time and place, emotional lability, slightly clouded sensorium and decreased performance on neuropsychometrics; Respiratory:Rales, bronchial obstruction; Urogenital:Urination difficulties.

5.7 Masking of Thyrotoxicosis

Beta-adrenergic blocking agents may mask certain clinical signs (e.g., tachycardia) of hyperthyroidism. Patients suspected of developing thyrotoxicosis should be managed carefully to avoid abrupt withdrawal of beta-adrenergic blocking agents that might precipitate a thyroid storm.

4.3 Hypersensitivity Reactions

Timolol Maleate Ophthalmic Solution is contraindicated in patients who have exhibited a hypersensitivity reaction to any component of this product in the past.

6.1 Clinical Trials Experience

Because clinical trials are conducted under widely varying conditions, adverse reaction rates observed in the clinical trials of a drug cannot be directly compared to rates in the clinical trials of another drug and may not reflect the rates observed in practice.

The most frequently reported adverse reactions have been burning and stinging upon instillation in 38% of patients treated with Timolol Maleate Ophthalmic Solution. Additional reactions reported with Timolol Maleate Ophthalmic Solution at a frequency of 4% to 10% include: blurred vision, cataract, conjunctival injection, headache, hypertension, infection, itching and decreased visual acuity.

The following additional adverse reactions have been reported less frequently with ocular administration of this or other timolol maleate formulations.

Timolol (Ocular Administration)

Body as a Whole:Asthenia/fatigue and chest pain; Cardiovascular:Bradycardia, arrhythmia, hypotension, syncope, heart block, cerebral vascular accident, cerebral ischemia, cardiac failure, worsening of angina pectoris, palpitation, cardiac arrest, pulmonary edema, edema, claudication, Raynaud’s phenomenon and cold hands and feet; Digestive:Nausea, diarrhea, dyspepsia, anorexia, and dry mouth; Immunologic:Systemic lupus erythematosus; Nervous System/Psychiatric:Dizziness, increase in signs and symptoms of myasthenia gravis, paresthesia, somnolence, insomnia, nightmares, behavioral changes and psychic disturbances including depression, confusion, hallucinations, anxiety, disorientation, nervousness and memory loss; Skin:Alopecia and psoriasiform rash or exacerbation of psoriasis; Hypersensitivity:Signs and symptoms of systemic allergic reactions, including angioedema, urticaria, and localized and generalized rash; Respiratory:Bronchospasm (predominantly in patients with pre-existing bronchospastic disease), respiratory failure, dyspnea, nasal congestion, cough and upper respiratory infections; Endocrine:Masked symptoms of hypoglycemia in diabetic patients [see Warnings and Precautions ( 5.6)]; Special Senses: Signs and symptoms of ocular irritation including conjunctivitis, blepharitis, keratitis, ocular pain, discharge (e.g., crusting), foreign body sensation, itching and tearing, and dry eyes; ptosis, decreased corneal sensitivity; cystoid macular edema; visual disturbances including refractive changes and diplopia; pseudopemphigoid; choroidal detachment following filtration surgery [see Warnings and Precautions ( 5.12)]; Urogenital: Retroperitoneal fibrosis, decreased libido, impotence, and Peyronie’s disease.

17 Patient Counseling Information

Asthma, COPD, Sinus Bradycardia, AV Block, Cardiac Failure, Cardiogenic Shock

Patients with bronchial asthma, a history of bronchial asthma, severe chronic obstructive pulmonary disease (COPD), sinus bradycardia, second or third degree atrioventricular block, or cardiac failure should be advised not to use Timolol Maleate Ophthalmic Solution [see Contraindications ( 4.1, 4.2)].

Avoiding Contamination of the Product

Instruct patients that ocular solutions, if handled improperly or if the tip of the dispensing container contacts the eye or surrounding structures, can become contaminated by common bacteria known to cause ocular infections. Serious damage to the eye and subsequent loss of vision may result from using contaminated solutions [see Warnings and Precautions ( 5.8)].

When to Seek Physician Advice

Advise patients that if they have ocular surgery or develop an intercurrent ocular condition (e.g., trauma or infection), they should immediately seek their physician’s advice concerning the continued use of the present multiple-dose container.

Concomitant Topical Ophthalmic Medications

Advise patients that if more than one topical ophthalmic drug is being used, the drugs should be administered at least five minutes apart.

Contact Lens Use

Advise patients that Timolol Maleate Ophthalmic Solution contains benzalkonium chloride, an anti-microbial preservative, which may be absorbed by soft contact lenses. Contact lenses should be removed prior to administration of the solution. Lenses may be reinserted 15 minutes following Timolol Maleate Ophthalmic Solution administration.

Distributed by:

Bausch & Lomb Americas Inc.

Bridgewater, NJ 08807 USA

Manufactured by:

Bausch & Lomb Incorporated

Tampa, FL 33637 USA

Under License from:

Senju Pharmaceutical Co., Ltd.

Osaka, Japan 541-0046

© 2024 Bausch & Lomb Incorporated or its affiliates

9777101 (Folded)

9777201 (Flat)

5.3 Obstructive Pulmonary Disease

Patients with chronic obstructive pulmonary disease (e.g., chronic bronchitis, emphysema) of mild or moderate severity, bronchospastic disease, or a history of bronchospastic disease [other than bronchial asthma or a history of bronchial asthma in which Timolol Maleate Ophthalmic Solution is contraindicated] should, in general, not receive beta-blocking agents, including Timolol Maleate Ophthalmic Solution [see Contraindications ( 4.1)].

7.3 Catecholamine Depleting Drugs

Close observation of the patient is recommended when a beta-blocker is administered to patients receiving catecholamine-depleting drugs such as reserpine, because of possible additive effects and the production of hypotension and/or marked bradycardia, which may result in vertigo, syncope, or postural hypotension.

5.11 Cerebrovascular Insufficiency

Because of potential effects of beta-adrenergic blocking agents on blood pressure and pulse, these agents should be used with caution in patients with cerebrovascular insufficiency. If signs or symptoms suggesting reduced cerebral blood flow develop following initiation of therapy with Timolol Maleate Ophthalmic Solution, alternative therapy should be considered.

5.5 Potentiation of Muscle Weakness

Beta-adrenergic blockade has been reported to potentiate muscle weakness consistent with certain myasthenic symptoms (e.g., diplopia, ptosis, and generalized weakness). Timolol has been reported rarely to increase muscle weakness in some patients with myasthenia gravis or myasthenic symptoms.

7.1 Beta Adrenergic Blocking Agents

Patients who are receiving a beta-adrenergic blocking agent orally and Timolol Maleate Ophthalmic Solution should be observed for potential additive effects of beta-blockade, both systemic and on intraocular pressure. The concomitant use of two topical beta-adrenergic blocking agents is not recommended.

16 How Supplied/storage and Handling

Timolol Maleate Ophthalmic Solution 0.5% is supplied in white LDPE bottles with 15 mm PP yellow caps and 15 mm LLDPE white dropper tips as follows:

NDC 82260-045-05 5 mL in 10 mL container

NDC 82260-045-25 2.5 mL in 7.5 mL container

Storage:

Store at 15°C to 25°C (59°F to 77°F). After opening, Timolol Maleate Ophthalmic Solution can be used until the expiration date on the bottle.

5.4 Increased Reactivity to Allergens

While taking beta-blockers, patients with a history of atopy or a history of severe anaphylactic reactions to a variety of allergens may be more reactive to repeated accidental, diagnostic, or therapeutic challenge with such allergens. Such patients may be unresponsive to the usual doses of epinephrine used to treat anaphylactic reactions.

7.4 Digitalis and Calcium Antagonists

The concomitant use of beta-adrenergic blocking agents with digitalis and calcium antagonists may have additive effects in prolonging atrioventricular conduction time.

Package/label Display Panel – Carton, 5 Ml



NDC82260-045-05



Timolol Maleate

Ophthalmic

Solution

0.5%

Sterile

FOR TOPICAL

OPHTHALMIC USE

(EYE IMAGE)

Once Daily

Rx only 5 mL

BAUSCH + LOMB

9777002

MA44207A

13.1 Carcinogenesis, Mutagenesis, Impairment of Fertility

Carcinogenesis

In a two-year study of timolol maleate administered orally to rats, there was a statistically significant increase in the incidence of adrenal pheochromocytomas in male rats administered 300 mg/kg/day (approximately 42,000 times the systemic exposure following the maximum recommended human ophthalmic dose). Similar differences were not observed in rats administered oral doses equivalent to approximately 14,000 times the maximum recommended human ophthalmic dose.

In a lifetime oral study in mice, there were statistically significant increases in the incidence of benign and malignant pulmonary tumors, benign uterine polyps and mammary adenocarcinomas in female mice at 500 mg/kg/day, (approximately 71,000 times the systemic exposure following the maximum recommended human ophthalmic dose), but not at 5 or 50 mg/kg/day (approximately 700 or 7,000, respectively, times the systemic exposure following the maximum recommended human ophthalmic dose). In a subsequent study in female mice, in which post-mortem examinations were limited to the uterus and the lungs, a statistically significant increase in the incidence of pulmonary tumors was again observed at 500 mg/kg/day.

The increased occurrence of mammary adenocarcinomas was associated with elevations in serum prolactin which occurred in female mice administered oral timolol at 500 mg/kg/day, but not at doses of 5 or 50 mg/kg/day. An increased incidence of mammary adenocarcinomas in rodents has been associated with administration of several other therapeutic agents that elevate serum prolactin, but no correlation between serum prolactin levels and mammary tumors has been established in humans. Furthermore, in adult human female subjects who received oral dosages of up to 60 mg of timolol maleate (the maximum recommended human oral dosage), there were no clinically meaningful changes in serum prolactin.

Mutagenesis

Timolol maleate was devoid of mutagenic potential when tested in vivo (mouse) in the micronucleus test and cytogenetic assay (doses up to 800 mg/kg) and in vitro in a neoplastic cell transformation assay (up to 100 mcg/mL). In Ames tests the highest concentrations of timolol employed, 5,000 or 10,000 mcg/plate, were associated with statistically significant elevations of revertants observed with tester strain TA100 (in seven replicate assays), but not in the remaining three strains. In the assays with tester strain TA100, no consistent dose response relationship was observed, and the ratio of test to control revertants did not reach 2. A ratio of 2 is usually considered the criterion for a positive Ames test.

Impairment of Fertility

Reproduction and fertility studies in rats demonstrated no adverse effect on male or female fertility at doses up to 21,000 times the systemic exposure following the maximum recommended human ophthalmic dose.

5.1 Potentiation of Respiratory Reactions Including Asthma

Timolol Maleate Ophthalmic Solution contains timolol maleate; and although administered topically, it can be absorbed systemically. Therefore, the same adverse reactions found with systemic administration of beta-adrenergic blocking agents may occur with topical administration. For example, severe respiratory reactions and cardiac reactions including death due to bronchospasm in patients with asthma, and rarely death in association with cardiac failure, have been reported following systemic or ophthalmic administration of timolol maleate [see Contraindications ( 4.1)].

5.8 Contamination of Topical Ophthalmic Products After Use

There have been reports of bacterial keratitis associated with the use of multiple-dose containers of topical ophthalmic products. These containers had been inadvertently contaminated by patients who, in most cases, had a concurrent corneal disease or a disruption of the ocular epithelial surface [see Patient Counseling Information ( 17)].

4.2 Sinus Bradycardia, Av Block, Cardiac Failure, Cardiogenic Shock

Timolol Maleate Ophthalmic Solution is contraindicated in patients with sinus bradycardia; second or third degree atrioventricular block; overt cardiac failure; cardiogenic shock [see Warnings and Precautions ( 5.2)] .

5.9 Impairment of Beta Adrenergically Mediated Reflexes During Surgery

The necessity or desirability of withdrawal of beta-adrenergic blocking agents prior to major surgery is controversial. Beta-adrenergic receptor blockade impairs the ability of the heart to respond to beta-adrenergically mediated reflex stimuli. This may augment the risk of general anesthesia in surgical procedures. Some patients receiving beta-adrenergic receptor blocking agents have experienced protracted severe hypotension during anesthesia. Difficulty in restarting and maintaining the heartbeat has also been reported. For these reasons, in patients undergoing elective surgery, some authorities recommend gradual withdrawal of beta-adrenergic receptor blocking agents. If necessary during surgery, the effects of beta-adrenergic blocking agents may be reversed by sufficient doses of adrenergic agonists.

5.6 Masking of Hypoglycemic Symptoms in Patients With Diabetes Mellitus

Beta-adrenergic blocking agents should be administered with caution in patients subject to spontaneous hypoglycemia or to diabetic patients (especially those with labile diabetes) who are receiving insulin or oral hypoglycemic agents. Beta-adrenergic receptor blocking agents may mask the signs and symptoms of acute hypoglycemia.


Structured Label Content

10 Overdosage (10 OVERDOSAGE)

There have been reports of inadvertent overdosage with Timolol Maleate Ophthalmic Solution resulting in systemic effects similar to those seen with systemic beta-adrenergic blocking agents such as dizziness, headache, shortness of breath, bradycardia, bronchospasm, and cardiac arrest.

An in vitro hemodialysis study, using 14C timolol added to human plasma or whole blood, showed that timolol was readily dialyzed from these fluids; however, a study of patients with renal failure showed that timolol did not dialyze readily.

7.6 Clonidine

Oral beta-adrenergic blocking agents may exacerbate the rebound hypertension which can follow the withdrawal of clonidine. There have been no reports of exacerbation of rebound hypertension with ophthalmic timolol maleate.

8.1 Pregnancy

Risk Summary

There are no adequate and well-controlled studies in pregnant women with timolol maleate to inform a drug-associated risk. Administration of oral timolol maleate to pregnant mice, rats and rabbits did not produce teratogenicity at clinically relevant systemic exposures (see Data).Because animal reproductive studies are not always predictive of human response, Timolol Maleate Ophthalmic Solution should be used during pregnancy only if the potential benefit justifies the potential risk to the fetus.

In the U.S. general population, the estimated background risk of major birth defects and miscarriage in clinically recognized pregnancies is 2-4% and 15-20%, respectively.

Data

Animal Data

Teratogenicity studies with timolol in pregnant mice, rats, and rabbits at oral doses up to 50 mg/kg/day (7,000 times the systemic exposure following the maximum recommended human ophthalmic dose) demonstrated no evidence of fetal malformations. Although delayed fetal ossification was observed at this dose in rats, there were no adverse effects on postnatal development of offspring. Doses of 1,000 mg/kg/day (142,000 times the systemic exposure following the maximum recommended human ophthalmic dose) were maternally toxic in mice and resulted in an increased number of fetal resorptions. Increased fetal resorptions were also seen in rabbits at doses of 14,000 times the systemic exposure following the maximum recommended human ophthalmic dose without apparent maternal toxicity.

8.2 Lactation

Risk Summary

Timolol has been detected in human milk following oral and ophthalmic drug administration. The developmental and health benefits of breastfeeding should be considered along with the mother’s clinical need for Timolol Maleate Ophthalmic Solution and any potential adverse effects on the breastfed child from Timolol Maleate Ophthalmic Solution.

11 Description (11 DESCRIPTION)

Timolol Maleate Ophthalmic Solution 0.5% is a non-selective beta-adrenergic receptor blocking agent for topical ophthalmic use. Its chemical name is (-)-1-( tert-butylamino)-3-[(4-morpholino-1,2,5-thiadiazol-3-yl)oxy]-2-propanol maleate (1:1) (salt). Timolol maleate possesses an asymmetric carbon atom in its structure and is provided as the levo-isomer.

Its molecular formula is C 13H 24N 4O 3S-C 4H 4O 4and its structural formula is:

Timolol maleate has a molecular weight of 432.49. It is a white, odorless, crystalline powder which is soluble in water, methanol, and alcohol. Timolol Maleate Ophthalmic Solution is stable at room temperature. Timolol Maleate Ophthalmic Solution is supplied as a sterile, isotonic, buffered, aqueous solution of timolol maleate in a single strength. It has a pH of 6.5-7.5 and an osmolality of 275-330 mOsm/kg.

Each mL of  Timolol Maleate Ophthalmic Solution contains the active ingredient 5 mg of timolol (6.8 mg of timolol maleate) with the inactive ingredients benzalkonium chloride (0.05 mg/mL), monobasic sodium phosphate monohydrate, potassium sorbate 0.47%, sodium chloride, sodium hydroxide, and purified water.

4.1 Asthma, Copd (4.1 Asthma, COPD)

Timolol Maleate Ophthalmic Solution is contraindicated in patients with bronchial asthma; a history of bronchial asthma; severe chronic obstructive pulmonary disease [see Warnings and Precautions ( 5.1, 5.3)] .

8.4 Pediatric Use

The safety and effectiveness of Timolol Maleate Ophthalmic Solution in pediatric patients have not been established.

8.5 Geriatric Use

No overall differences in safety or effectiveness have been observed between elderly and younger patients.

14 Clinical Studies (14 CLINICAL STUDIES)

In a controlled, double-masked, parallel study in 332 patients with untreated intraocular pressures of 22 mm Hg or greater, Timolol Maleate Ophthalmic Solution 0.5% administered once daily (AM) was equivalent to timolol maleate ophthalmic solution 0.5% administered twice daily. In both groups, mean intraocular pressure decreased from 25 mm Hg at baseline to 18 mm Hg at peak and 19 mm Hg at trough. Timolol Maleate Ophthalmic Solution was generally well tolerated, and 3% of patients had treatment discontinued for adverse events judged related to treatment. There was a slight decrease in cardiovascular function consistent with known systemic absorption of a β-adrenoceptor antagonist.

4 Contraindications (4 CONTRAINDICATIONS)
  • Bronchial asthma, a history of bronchial asthma, severe chronic obstructive pulmonary disease ( 4.1, 5.1, 5.3)
  • Sinus bradycardia, second or third degree atrioventricular block, overt cardiac failure, cardiogenic shock ( 4.2, 5.2)
  • Hypersensitivity to any component of this product ( 4.3)
5.2 Cardiac Failure

Sympathetic stimulation may be essential for support of the circulation in individuals with diminished myocardial contractility, and its inhibition of beta-adrenergic receptor blockade may precipitate more severe failure.

In patients without a history of cardiac failure, continued depression of the myocardium with beta-blocking agents over a period of time can, in some cases, lead to cardiac failure. At the first sign or symptom of cardiac failure, Timolol Maleate Ophthalmic Solution should be discontinued [see Contraindications ( 4.2)].

6 Adverse Reactions (6 ADVERSE REACTIONS)

The most frequently reported adverse reactions have been burning and stinging upon instillation in 38% of patients treated with Timolol Maleate Ophthalmic Solution. Additional reactions reported with Timolol Maleate Ophthalmic Solution at a frequency of 4% to 10% include: blurred vision, cataract, conjunctival injection, headache, hypertension, infection, itching and decreased visual acuity. ( 6)

To report SUSPECTED ADVERSE REACTIONS, contact Bausch & Lomb Incorporated at 1-800-553-5340 or FDA at 1-800-FDA-1088 or www.fda.gov/medwatch.

7 Drug Interactions (7 DRUG INTERACTIONS)
  • Concomitant use with systemic beta-blockers may potentiate systemic beta-blockade. ( 7.1)
  • Oral or intravenous calcium antagonists may cause atrioventricular conduction disturbances, left ventricular failure, and hypotension. ( 7.2)
  • Catecholamine-depleting drugs may have additive effects and produce hypotension and/or marked bradycardia. ( 7.3)
  • Digitalis and calcium antagonists may have additive effects in prolonging atrioventricular conduction time. ( 7.4)
  • Potentiated systemic beta-blockade (e.g., decreased heart rate) has been reported during combined treatment with quinidine and timolol. ( 7.5)
12.3 Pharmacokinetics

In a study of plasma drug concentration in 12 healthy subjects, the systemic exposure to timolol was determined following twice daily administration of Timolol Maleate Ophthalmic Solution (exaggerated regimen) for eight days. With Timolol Maleate Ophthalmic Solution, mean plasma concentrations of timolol were 0.68 ng/mL and 0.88 ng/mL two hours after the first dose and the dose on the eighth day, respectively.

5.13 Contact Lens Use

Timolol Maleate Ophthalmic Solution contains benzalkonium chloride, an anti-microbial preservative which may be absorbed by soft contact lenses. Contact lenses should be removed prior to administration of the solution. Lenses may be reinserted 15 minutes following Timolol Maleate Ophthalmic Solution administration.

7.5 Cyp2d6 Inhibitors (7.5 CYP2D6 Inhibitors)

Potentiated systemic beta-blockade (e.g., decreased heart rate) has been reported during combined treatment with CYP2D6 inhibitors (e.g., quinidine) and timolol.

1 Indications and Usage (1 INDICATIONS AND USAGE)

Timolol Maleate Ophthalmic Solution is indicated in the treatment of elevated intraocular pressure in patients with ocular hypertension or open-angle glaucoma.

7.2 Calcium Antagonists

Caution should be used in the co-administration of beta-adrenergic blocking agents, such as Timolol Maleate Ophthalmic Solution, and oral or intravenous calcium antagonists because of possible atrioventricular conduction disturbances, left ventricular failure, and hypotension. In patients with impaired cardiac function, co-administration should be avoided.

12.1 Mechanism of Action

Timolol maleate is a beta 1and beta 2(non-selective) adrenergic receptor blocking agent that does not have significant intrinsic sympathomimetic, direct myocardial depressant, or local anesthetic (membrane-stabilizing) activity.

Beta-adrenergic receptor blockade reduces cardiac output in both healthy subjects and patients with heart disease. In patients with severe impairment of myocardial function, beta-adrenergic receptor blockade may inhibit the stimulatory effect of the sympathetic nervous system necessary to maintain adequate cardiac function.

Beta-adrenergic receptor blockade in the bronchi and bronchioles results in increased airway resistance from unopposed parasympathetic activity. Such an effect in patients with asthma or other bronchospastic conditions is potentially dangerous.

Timolol Maleate Ophthalmic Solution, when applied topically on the eye, has the action of reducing elevated as well as normal intraocular pressure, whether or not accompanied by glaucoma. Elevated intraocular pressure is a major risk factor in the pathogenesis of glaucomatous visual field loss. The higher the level of intraocular pressure, the greater the likelihood of glaucomatous visual field loss and optic nerve damage.

The onset of reduction in intraocular pressure following administration of Timolol Maleate Ophthalmic Solution can usually be detected within one-half hour after a single dose. The maximum effect usually occurs in one to two hours and significant lowering of intraocular pressure can be maintained for periods as long as 24 hours with a single dose. Repeated observations over a period of one year indicate that the intraocular pressure lowering effect of Timolol Maleate Ophthalmic Solution is well maintained.

The precise mechanism of the ocular hypotensive action of Timolol Maleate Ophthalmic Solution is not clearly established at this time. Tonography and fluorophotometry studies in man suggest that its predominant action may be related to reduced aqueous formation. However, in some studies a slight increase in outflow facility was also observed.

5.12 Choroidal Detachment

Choroidal detachment after filtration procedures has been reported with the administration of aqueous suppressant therapy (e.g., timolol).

5 Warnings and Precautions (5 WARNINGS AND PRECAUTIONS)
  • Potentiation of Respiratory Reactions Including Asthma ( 5.1)
  • Cardiac Failure ( 5.2)
  • Obstructive Pulmonary Disease ( 5.3)
  • Increased Reactivity to Allergens ( 5.4)
  • Potentiation of Muscle Weakness ( 5.5)
  • Masking of Hypoglycemic Symptoms in Patients with Diabetes Mellitus ( 5.6)
  • Masking of Thyrotoxicosis ( 5.7)
2 Dosage and Administration (2 DOSAGE AND ADMINISTRATION)

One drop of Timolol Maleate Ophthalmic Solution should be administered in the affected eye(s) once a day in the morning (AM).

If more than one topical ophthalmic drug is being used, the drugs should be administered at least five minutes apart.

5.10 Angle Closure Glaucoma (5.10 Angle-Closure Glaucoma)

In patients with angle-closure glaucoma, the immediate objective of treatment is to reopen the angle. This may require constricting the pupil. Timolol maleate has little or no effect on the pupil. Timolol Maleate Ophthalmic Solution should not be used alone in the treatment of angle-closure glaucoma.

3 Dosage Forms and Strengths (3 DOSAGE FORMS AND STRENGTHS)

Ophthalmic solution containing 0.5% (5 mg/mL) of timolol (6.8 mg/mL of timolol maleate).

6.2 Postmarketing Experience

The following adverse reactions have been identified during postapproval use of Timolol Maleate Ophthalmic Solution. Because these reactions are reported voluntarily from a population of uncertain size, it is not always possible to reliably estimate their frequency or establish a causal relationship to drug exposure.

Oral Timolol/Oral Beta-Blockers

The following additional adverse effects have been reported in clinical experience with ORAL timolol maleate or other ORAL beta-blocking agents and may be considered potential effects of ophthalmic timolol maleate: Allergic:

Erythematous rash, fever combined with aching and sore throat, laryngospasm with respiratory distress; Body as a Whole:Extremity pain, decreased exercise tolerance, weight loss; Cardiovascular:Worsening of arterial insufficiency, vasodilatation; Digestive:Gastrointestinal pain, hepatomegaly, vomiting, mesenteric arterial thrombosis, ischemic colitis; Hematologic:Nonthrombocytopenic purpura; thrombocytopenic purpura, agranulocytosis; Endocrine:Hyperglycemia, hypoglycemia; Skin:Pruritus, skin irritation, increased pigmentation, sweating; Musculoskeletal:Arthralgia; Nervous System/Psychiatric:Vertigo, local weakness, diminished concentration, reversible mental depression progressing to catatonia, an acute reversible syndrome characterized by disorientation for time and place, emotional lability, slightly clouded sensorium and decreased performance on neuropsychometrics; Respiratory:Rales, bronchial obstruction; Urogenital:Urination difficulties.

5.7 Masking of Thyrotoxicosis

Beta-adrenergic blocking agents may mask certain clinical signs (e.g., tachycardia) of hyperthyroidism. Patients suspected of developing thyrotoxicosis should be managed carefully to avoid abrupt withdrawal of beta-adrenergic blocking agents that might precipitate a thyroid storm.

4.3 Hypersensitivity Reactions

Timolol Maleate Ophthalmic Solution is contraindicated in patients who have exhibited a hypersensitivity reaction to any component of this product in the past.

6.1 Clinical Trials Experience

Because clinical trials are conducted under widely varying conditions, adverse reaction rates observed in the clinical trials of a drug cannot be directly compared to rates in the clinical trials of another drug and may not reflect the rates observed in practice.

The most frequently reported adverse reactions have been burning and stinging upon instillation in 38% of patients treated with Timolol Maleate Ophthalmic Solution. Additional reactions reported with Timolol Maleate Ophthalmic Solution at a frequency of 4% to 10% include: blurred vision, cataract, conjunctival injection, headache, hypertension, infection, itching and decreased visual acuity.

The following additional adverse reactions have been reported less frequently with ocular administration of this or other timolol maleate formulations.

Timolol (Ocular Administration)

Body as a Whole:Asthenia/fatigue and chest pain; Cardiovascular:Bradycardia, arrhythmia, hypotension, syncope, heart block, cerebral vascular accident, cerebral ischemia, cardiac failure, worsening of angina pectoris, palpitation, cardiac arrest, pulmonary edema, edema, claudication, Raynaud’s phenomenon and cold hands and feet; Digestive:Nausea, diarrhea, dyspepsia, anorexia, and dry mouth; Immunologic:Systemic lupus erythematosus; Nervous System/Psychiatric:Dizziness, increase in signs and symptoms of myasthenia gravis, paresthesia, somnolence, insomnia, nightmares, behavioral changes and psychic disturbances including depression, confusion, hallucinations, anxiety, disorientation, nervousness and memory loss; Skin:Alopecia and psoriasiform rash or exacerbation of psoriasis; Hypersensitivity:Signs and symptoms of systemic allergic reactions, including angioedema, urticaria, and localized and generalized rash; Respiratory:Bronchospasm (predominantly in patients with pre-existing bronchospastic disease), respiratory failure, dyspnea, nasal congestion, cough and upper respiratory infections; Endocrine:Masked symptoms of hypoglycemia in diabetic patients [see Warnings and Precautions ( 5.6)]; Special Senses: Signs and symptoms of ocular irritation including conjunctivitis, blepharitis, keratitis, ocular pain, discharge (e.g., crusting), foreign body sensation, itching and tearing, and dry eyes; ptosis, decreased corneal sensitivity; cystoid macular edema; visual disturbances including refractive changes and diplopia; pseudopemphigoid; choroidal detachment following filtration surgery [see Warnings and Precautions ( 5.12)]; Urogenital: Retroperitoneal fibrosis, decreased libido, impotence, and Peyronie’s disease.

17 Patient Counseling Information (17 PATIENT COUNSELING INFORMATION)

Asthma, COPD, Sinus Bradycardia, AV Block, Cardiac Failure, Cardiogenic Shock

Patients with bronchial asthma, a history of bronchial asthma, severe chronic obstructive pulmonary disease (COPD), sinus bradycardia, second or third degree atrioventricular block, or cardiac failure should be advised not to use Timolol Maleate Ophthalmic Solution [see Contraindications ( 4.1, 4.2)].

Avoiding Contamination of the Product

Instruct patients that ocular solutions, if handled improperly or if the tip of the dispensing container contacts the eye or surrounding structures, can become contaminated by common bacteria known to cause ocular infections. Serious damage to the eye and subsequent loss of vision may result from using contaminated solutions [see Warnings and Precautions ( 5.8)].

When to Seek Physician Advice

Advise patients that if they have ocular surgery or develop an intercurrent ocular condition (e.g., trauma or infection), they should immediately seek their physician’s advice concerning the continued use of the present multiple-dose container.

Concomitant Topical Ophthalmic Medications

Advise patients that if more than one topical ophthalmic drug is being used, the drugs should be administered at least five minutes apart.

Contact Lens Use

Advise patients that Timolol Maleate Ophthalmic Solution contains benzalkonium chloride, an anti-microbial preservative, which may be absorbed by soft contact lenses. Contact lenses should be removed prior to administration of the solution. Lenses may be reinserted 15 minutes following Timolol Maleate Ophthalmic Solution administration.

Distributed by:

Bausch & Lomb Americas Inc.

Bridgewater, NJ 08807 USA

Manufactured by:

Bausch & Lomb Incorporated

Tampa, FL 33637 USA

Under License from:

Senju Pharmaceutical Co., Ltd.

Osaka, Japan 541-0046

© 2024 Bausch & Lomb Incorporated or its affiliates

9777101 (Folded)

9777201 (Flat)

5.3 Obstructive Pulmonary Disease

Patients with chronic obstructive pulmonary disease (e.g., chronic bronchitis, emphysema) of mild or moderate severity, bronchospastic disease, or a history of bronchospastic disease [other than bronchial asthma or a history of bronchial asthma in which Timolol Maleate Ophthalmic Solution is contraindicated] should, in general, not receive beta-blocking agents, including Timolol Maleate Ophthalmic Solution [see Contraindications ( 4.1)].

7.3 Catecholamine Depleting Drugs (7.3 Catecholamine-Depleting Drugs)

Close observation of the patient is recommended when a beta-blocker is administered to patients receiving catecholamine-depleting drugs such as reserpine, because of possible additive effects and the production of hypotension and/or marked bradycardia, which may result in vertigo, syncope, or postural hypotension.

5.11 Cerebrovascular Insufficiency

Because of potential effects of beta-adrenergic blocking agents on blood pressure and pulse, these agents should be used with caution in patients with cerebrovascular insufficiency. If signs or symptoms suggesting reduced cerebral blood flow develop following initiation of therapy with Timolol Maleate Ophthalmic Solution, alternative therapy should be considered.

5.5 Potentiation of Muscle Weakness

Beta-adrenergic blockade has been reported to potentiate muscle weakness consistent with certain myasthenic symptoms (e.g., diplopia, ptosis, and generalized weakness). Timolol has been reported rarely to increase muscle weakness in some patients with myasthenia gravis or myasthenic symptoms.

7.1 Beta Adrenergic Blocking Agents (7.1 Beta-Adrenergic Blocking Agents)

Patients who are receiving a beta-adrenergic blocking agent orally and Timolol Maleate Ophthalmic Solution should be observed for potential additive effects of beta-blockade, both systemic and on intraocular pressure. The concomitant use of two topical beta-adrenergic blocking agents is not recommended.

16 How Supplied/storage and Handling (16 HOW SUPPLIED/STORAGE AND HANDLING)

Timolol Maleate Ophthalmic Solution 0.5% is supplied in white LDPE bottles with 15 mm PP yellow caps and 15 mm LLDPE white dropper tips as follows:

NDC 82260-045-05 5 mL in 10 mL container

NDC 82260-045-25 2.5 mL in 7.5 mL container

Storage:

Store at 15°C to 25°C (59°F to 77°F). After opening, Timolol Maleate Ophthalmic Solution can be used until the expiration date on the bottle.

5.4 Increased Reactivity to Allergens

While taking beta-blockers, patients with a history of atopy or a history of severe anaphylactic reactions to a variety of allergens may be more reactive to repeated accidental, diagnostic, or therapeutic challenge with such allergens. Such patients may be unresponsive to the usual doses of epinephrine used to treat anaphylactic reactions.

7.4 Digitalis and Calcium Antagonists

The concomitant use of beta-adrenergic blocking agents with digitalis and calcium antagonists may have additive effects in prolonging atrioventricular conduction time.

Package/label Display Panel – Carton, 5 Ml (Package/Label Display Panel – Carton, 5 mL)



NDC82260-045-05



Timolol Maleate

Ophthalmic

Solution

0.5%

Sterile

FOR TOPICAL

OPHTHALMIC USE

(EYE IMAGE)

Once Daily

Rx only 5 mL

BAUSCH + LOMB

9777002

MA44207A

13.1 Carcinogenesis, Mutagenesis, Impairment of Fertility

Carcinogenesis

In a two-year study of timolol maleate administered orally to rats, there was a statistically significant increase in the incidence of adrenal pheochromocytomas in male rats administered 300 mg/kg/day (approximately 42,000 times the systemic exposure following the maximum recommended human ophthalmic dose). Similar differences were not observed in rats administered oral doses equivalent to approximately 14,000 times the maximum recommended human ophthalmic dose.

In a lifetime oral study in mice, there were statistically significant increases in the incidence of benign and malignant pulmonary tumors, benign uterine polyps and mammary adenocarcinomas in female mice at 500 mg/kg/day, (approximately 71,000 times the systemic exposure following the maximum recommended human ophthalmic dose), but not at 5 or 50 mg/kg/day (approximately 700 or 7,000, respectively, times the systemic exposure following the maximum recommended human ophthalmic dose). In a subsequent study in female mice, in which post-mortem examinations were limited to the uterus and the lungs, a statistically significant increase in the incidence of pulmonary tumors was again observed at 500 mg/kg/day.

The increased occurrence of mammary adenocarcinomas was associated with elevations in serum prolactin which occurred in female mice administered oral timolol at 500 mg/kg/day, but not at doses of 5 or 50 mg/kg/day. An increased incidence of mammary adenocarcinomas in rodents has been associated with administration of several other therapeutic agents that elevate serum prolactin, but no correlation between serum prolactin levels and mammary tumors has been established in humans. Furthermore, in adult human female subjects who received oral dosages of up to 60 mg of timolol maleate (the maximum recommended human oral dosage), there were no clinically meaningful changes in serum prolactin.

Mutagenesis

Timolol maleate was devoid of mutagenic potential when tested in vivo (mouse) in the micronucleus test and cytogenetic assay (doses up to 800 mg/kg) and in vitro in a neoplastic cell transformation assay (up to 100 mcg/mL). In Ames tests the highest concentrations of timolol employed, 5,000 or 10,000 mcg/plate, were associated with statistically significant elevations of revertants observed with tester strain TA100 (in seven replicate assays), but not in the remaining three strains. In the assays with tester strain TA100, no consistent dose response relationship was observed, and the ratio of test to control revertants did not reach 2. A ratio of 2 is usually considered the criterion for a positive Ames test.

Impairment of Fertility

Reproduction and fertility studies in rats demonstrated no adverse effect on male or female fertility at doses up to 21,000 times the systemic exposure following the maximum recommended human ophthalmic dose.

5.1 Potentiation of Respiratory Reactions Including Asthma

Timolol Maleate Ophthalmic Solution contains timolol maleate; and although administered topically, it can be absorbed systemically. Therefore, the same adverse reactions found with systemic administration of beta-adrenergic blocking agents may occur with topical administration. For example, severe respiratory reactions and cardiac reactions including death due to bronchospasm in patients with asthma, and rarely death in association with cardiac failure, have been reported following systemic or ophthalmic administration of timolol maleate [see Contraindications ( 4.1)].

5.8 Contamination of Topical Ophthalmic Products After Use

There have been reports of bacterial keratitis associated with the use of multiple-dose containers of topical ophthalmic products. These containers had been inadvertently contaminated by patients who, in most cases, had a concurrent corneal disease or a disruption of the ocular epithelial surface [see Patient Counseling Information ( 17)].

4.2 Sinus Bradycardia, Av Block, Cardiac Failure, Cardiogenic Shock (4.2 Sinus Bradycardia, AV Block, Cardiac Failure, Cardiogenic Shock)

Timolol Maleate Ophthalmic Solution is contraindicated in patients with sinus bradycardia; second or third degree atrioventricular block; overt cardiac failure; cardiogenic shock [see Warnings and Precautions ( 5.2)] .

5.9 Impairment of Beta Adrenergically Mediated Reflexes During Surgery (5.9 Impairment of Beta-adrenergically Mediated Reflexes During Surgery)

The necessity or desirability of withdrawal of beta-adrenergic blocking agents prior to major surgery is controversial. Beta-adrenergic receptor blockade impairs the ability of the heart to respond to beta-adrenergically mediated reflex stimuli. This may augment the risk of general anesthesia in surgical procedures. Some patients receiving beta-adrenergic receptor blocking agents have experienced protracted severe hypotension during anesthesia. Difficulty in restarting and maintaining the heartbeat has also been reported. For these reasons, in patients undergoing elective surgery, some authorities recommend gradual withdrawal of beta-adrenergic receptor blocking agents. If necessary during surgery, the effects of beta-adrenergic blocking agents may be reversed by sufficient doses of adrenergic agonists.

5.6 Masking of Hypoglycemic Symptoms in Patients With Diabetes Mellitus (5.6 Masking of Hypoglycemic Symptoms in Patients with Diabetes Mellitus)

Beta-adrenergic blocking agents should be administered with caution in patients subject to spontaneous hypoglycemia or to diabetic patients (especially those with labile diabetes) who are receiving insulin or oral hypoglycemic agents. Beta-adrenergic receptor blocking agents may mask the signs and symptoms of acute hypoglycemia.


Advanced Ingredient Data


Raw Label Data

All Sections (JSON)